2015 Draft Final Edition as of September 2015
How to Conduct a
Sanitary Survey of
Drinking Water Systems
A Learner’s Guide
DESIGNED TO ASSIST IN THE DELIVERY OF A
SANITARY SURVEY TRAINING COURSE
ii
Table of Contents
Table of Contents............................................................................................................................ ii
List of Figures...............................................................................................................................vii
List of Tables ................................................................................................................................. xi
List of Acronyms .......................................................................................................................... xii
Introduction..................................................................................................................................... 1
Learning Objectives.................................................................................................................. 1
What is a Sanitary Survey?....................................................................................................... 1
Course Description.................................................................................................................... 3
1 Organizing and Completing the Sanitary Survey ..................................................................1-1
1.1 Learning Objectives.........................................................................................................1-1
1.2 Estimating Time Required...............................................................................................1-1
1.3 Organizing Field Equipment............................................................................................1-4
1.4 General Recommendations for On-Site Inspections........................................................1-7
1.5 Sequence of Activities .....................................................................................................1-8
1.6 The Sanitary Survey Report...........................................................................................1-11
1.7 Corrective Action...........................................................................................................1-12
2 Regulations ............................................................................................................................2-1
2.1 Learning Objectives.........................................................................................................2-1
2.2 Data Collection ................................................................................................................2-2
2.3 Regulations and Standards to Consider ...........................................................................2-2
2.4 Drinking Water Regulations ............................................................................................2-3
2.5 Sanitary Deficiency Questions and Considerations - Regulations ................................2-18
2.6 Significant Deficiency Examples...................................................................................2-19
3 Ground Water Sources...........................................................................................................3-1
3.1 Learning Objectives.........................................................................................................3-1
3.2 Data Collection ................................................................................................................3-1
3.3 Regulations and Standards to Consider ...........................................................................3-1
3.4 Basic Ground Water Source Information ........................................................................3-1
3.5 Water Quantity.................................................................................................................3-2
3.6 Water Quality...................................................................................................................3-5
3.7 Wells ................................................................................................................................3-6
iii
3.8 Springs ...........................................................................................................................3-14
3.9 Special Monitoring Evaluation ......................................................................................3-18
3.10 Significant Deficiency Examples for Ground Water Sources .................................3-18
4 Surface Water Sources...........................................................................................................4-1
4.1 Learning Objectives.........................................................................................................4-1
4.2 Data Collection ................................................................................................................4-1
4.3 Regulations and Standards to Consider ...........................................................................4-1
4.4 Basic Surface Water Source Information ........................................................................4-1
4.5 Water Quantity.................................................................................................................4-2
4.6 Water Quality...................................................................................................................4-5
4.7 Source Water Protection ..................................................................................................4-8
4.8 Reservoirs ......................................................................................................................4-10
4.9 Streams and Rivers ........................................................................................................4-12
4.10 Infiltration Galleries (Riverbank Filtration).............................................................4-13
4.11 Roof Catchments......................................................................................................4-16
4.12 Significant Deficiency Examples for Surface Water Sources .................................4-19
5 Water Supply Pumps, Pumping Facilities and Controls........................................................5-1
5.1 Learning Objectives.........................................................................................................5-1
5.2 Data Collection ................................................................................................................5-1
5.3 Regulations and Standards to Consider ...........................................................................5-2
5.4 Basic Information Water Supply Pumps and Pumping Facilities....................................5-2
5.5 Water System Applications..............................................................................................5-2
5.6 Pumping Equipment and Appurtenances.........................................................................5-2
5.7 Pumping Facilities .........................................................................................................5-11
5.8 Controls..........................................................................................................................5-12
5.9 Auxiliary Power.............................................................................................................5-14
5.10 Operation and Maintenance.....................................................................................5-16
5.11 Safety .......................................................................................................................5-17
5.12 Significant Deficiency Examples for Pumps and Pumping Facilities .....................5-18
6 Chemical Feed Systems .........................................................................................................6-1
6.1 Learning Objectives.........................................................................................................6-1
6.2 Data Collection ................................................................................................................6-1
6.3 Regulations and Standards to Consider ...........................................................................6-2
iv
6.4 Purpose of Water Treatment............................................................................................6-2
6.5 Chemical Feed Systems ...................................................................................................6-3
6.6 Specialty Treatment: Fluoridation ...................................................................................6-9
6.7 Significant Deficiency Examples for Chemical Feed Systems......................................6-13
7 Chemical Contaminant Removal...........................................................................................7-1
7.1 Learning Objectives.........................................................................................................7-1
7.2 Data Collection ................................................................................................................7-1
7.3 Regulations and Standards to Consider ...........................................................................7-2
7.4 Purpose of Water Treatment............................................................................................7-2
7.5 Removal Processes...........................................................................................................7-2
7.6 Significant Deficiency Examples for Chemical Contaminant Removal........................7-19
8 Disinfection............................................................................................................................8-1
8.1 Learning Objectives.........................................................................................................8-1
8.2 Data Collection ................................................................................................................8-1
8.3 Regulations and Standards to Consider ...........................................................................8-2
8.4 Purpose of Disinfection....................................................................................................8-2
8.5 Understanding Disinfection .............................................................................................8-2
8.6 Common Types of Disinfection.......................................................................................8-7
8.7 Significant Deficiency Examples for Disinfection ........................................................8-32
9 Turbidity Removal.................................................................................................................9-1
9.1 Learning Objectives.........................................................................................................9-1
9.2 Data Collection ................................................................................................................9-1
9.3 Regulations and Standards to consider ............................................................................9-1
9.4 Basic Information Turbidity Removal.............................................................................9-1
9.5 Conventional Filtration Treatment...................................................................................9-2
9.6 Direct Filtration................................................................................................................9-7
9.7 Package Filtration ............................................................................................................9-7
9.8 Slow Sand Filtration ........................................................................................................9-8
9.9 Diatomaceous Earth (DE) Filtration..............................................................................9-10
9.10 Bag and Cartridge Filtration ....................................................................................9-11
9.11 Membrane Filtration ................................................................................................9-13
9.12 Significant Deficiency Examples for Turbidity Removal .......................................9-17
10 Finished Water Storage Facilities ........................................................................................10-1
v
10.1 Learning Objectives.................................................................................................10-1
10.2 Data Collection ........................................................................................................10-1
10.3 Regulations and Standards to Consider ...................................................................10-1
10.4 Finished Water Storage Facilities ............................................................................10-2
10.5 Significant Deficiency Examples for Storage Facilities........................................10-25
11 Distribution Systems............................................................................................................11-1
11.1 Learning Objectives.................................................................................................11-1
11.2 Data Collection ........................................................................................................11-2
11.3 Regulations and Standards to Consider ...................................................................11-2
11.4 Basic Distribution Systems Information..................................................................11-3
11.5 Distribution System Components ............................................................................11-3
11.6 Material Standards ...................................................................................................11-8
11.7 Water Quality.........................................................................................................11-10
11.8 Maps, Drawings and Planning...............................................................................11-13
11.9 Distribution System Monitoring ............................................................................11-14
11.10 Operation and Maintenance...................................................................................11-16
11.11 Significant Deficiency Examples for Distribution Systems ..................................11-19
12 Cross-Connections...............................................................................................................12-1
12.1 Learning Objectives.................................................................................................12-1
12.2 Data Collection ........................................................................................................12-1
12.3 Regulations and Standards to Consider ...................................................................12-1
12.4 Basic Information.....................................................................................................12-2
12.5 Protection against Sanitary Deficiencies from Cross-Connections .........................12-5
12.6 Sanitary Deficiency Questions and Considerations – Cross-Connections ............12-13
12.7 Significant Deficiency Examples for Cross Connections......................................12-15
13 Process Control Monitoring.................................................................................................13-1
13.1 Learning Objectives.................................................................................................13-1
13.2 Data Collection ........................................................................................................13-1
13.3 Regulations and Standards to Consider ...................................................................13-2
13.4 Basic Information.....................................................................................................13-2
13.5 Approved Laboratory...............................................................................................13-2
13.6 In-House Monitoring ...............................................................................................13-2
13.7 Electronic Data Recording, Monitoring, and Testing: SCADA ..............................13-7
vi
13.8 Significant Deficiency Examples for Process Control Monitoring .........................13-9
14 Utility Management .............................................................................................................14-1
14.1 Learning Objectives.................................................................................................14-1
14.2 Data Collection ........................................................................................................14-1
14.3 Regulations and Standards to Consider ...................................................................14-1
14.4 Basic Information.....................................................................................................14-2
14.5 Organization.............................................................................................................14-2
14.6 Planning ...................................................................................................................14-5
14.7 Personnel..................................................................................................................14-6
14.8 Operations................................................................................................................14-8
14.9 Finance.....................................................................................................................14-8
14.10 Significant Deficiency Examples for Utility Management....................................14-11
15 Other Considerations ...........................................................................................................15-1
15.1 Introduction..............................................................................................................15-1
15.2 Learning Objectives for this Chapter.......................................................................15-1
15.3 Sustainability............................................................................................................15-1
15.4 Water System Security.............................................................................................15-5
Appendix A Reference Material .................................................................................................A-1
vii
List of Figures
Figure 3-1: Components of a Drinking Water Well ....................................................................3-6
Figure 3-2: Lineshaft Turbine and Submersible Turbine ............................................................3-7
Figure 3-3: Aquifer Types ...........................................................................................................3-8
Figure 3-4: Recharge and Zones of Influence..............................................................................3-9
Figure 3-5: Sample Minimum Distances from Well to Pollution Sources................................3-11
Figure 3-6: Potential Contamination Sources............................................................................3-12
Figure 3-7: Typical Lineshaft Turbine Installation....................................................................3-13
Figure 3-8: Example of a Spring Collection System .................................................................3-16
Figure 4-1: Source Water Protection Map...................................................................................4-9
Figure 4-2: In-stream Drop Inlet Location.................................................................................4-12
Figure 4-3: Example of an Infiltration Gallery..........................................................................4-14
Figure 4-4: Ranney Well............................................................................................................4-15
Figure 4-5: Roof Catchment System Example ..........................................................................4-17
Figure 4-6: Roof Catchment Collection System........................................................................4-17
Figure 5-1: Submersible Turbine and Lineshaft Turbine Pump Units ........................................5-3
Figure 5-2: Cutaway Illustration of a Centrifugal Pump .............................................................5-3
Figure 5-3: Centrifugal Pump: Horizontal-Split Case .................................................................5-4
Figure 5-4: Centrifugal Pump: Horizontal-Close Coupled..........................................................5-4
Figure 5-5: Swing Check Valve...................................................................................................5-4
Figure 5-6: Gate Valve.................................................................................................................5-5
Figure 5-7: Turbine Flow Meter ..................................................................................................5-6
Figure 5-8: Booster Pump Station................................................................................................5-8
Figure 5-9: Lineshaft Turbine Pump Station ...............................................................................5-8
Figure 5-10: Submersible Turbine Pumping Station ...................................................................5-9
viii
Figure 5-11: Pumping Station/Well House..................................................................................5-9
Figure 5-12: Low-Flow Switch..................................................................................................5-12
Figure 5-13: Auxiliary Power....................................................................................................5-14
Figure 6-1: Liquid Feed Pump (Hypochlorinator).......................................................................6-3
Figure 6-2: Volumetric Dry Feeder .............................................................................................6-4
Figure 6-3: Belt Gravimetric Dry Feeder.....................................................................................6-4
Figure 6-4: Chemical Feed System..............................................................................................6-6
Figure 6-5: Fluoride Saturator ...................................................................................................6-10
Figure 6-6: Fluoride Acid Feed System.....................................................................................6-11
Figure 7-1: Reverse Osmosis.......................................................................................................7-3
Figure 7-2: Chlorine Oxidation – Filtration.................................................................................7-7
Figure 7-3: Aeration – Filtration..................................................................................................7-8
Figure 7-4: Ion Exchange.............................................................................................................7-8
Figure 7-5: Manganese Greensand Filtration Continuous Regeneration (CR)............................7-9
Figure 7-6: Manganese Greensand Filtration Intermittent Regeneration (IR).............................7-9
Figure 7-7: Ion Exchange Water Softener .................................................................................7-17
Figure 8-1: Reactions of Chlorine in Water.................................................................................8-5
Figure 8-2: Chlorine Gas Treatment Room ...............................................................................8-10
Figure 8-3: Components of an Ammonia Squeeze Bottle .........................................................8-11
Figure 8-4: Basic Ozone Generator ...........................................................................................8-15
Figure 8-5: Simplified Ozone System Schematic......................................................................8-15
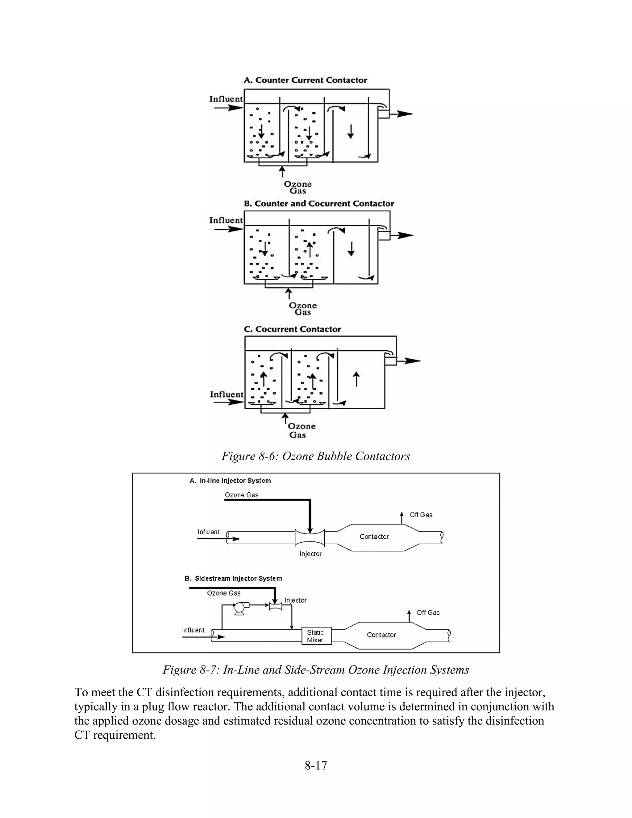
Figure 8-6: Ozone Bubble Contactors .......................................................................................8-17
Figure 8-7: In-Line and Side-Stream Ozone Injection Systems ................................................8-17
Figure 8-8: Conventional Chlorine Dioxide Generator: Chlorine-Chlorite Method .................8-24
Figure 8-9: Chlorine Dioxide Generator: Recycled Aqueous Chlorine Method.......................8-25
ix
Figure 9-1: Conventional Filtration Treatment............................................................................9-2
Figure 9-2: Direct Filtration.........................................................................................................9-7
Figure 9-3: Conventional Filtration Package Plant......................................................................9-8
Figure 9-4: Slow Sand Filter........................................................................................................9-9
Figure 9-5: Diatomaceous Earth Filtration ................................................................................9-10
Figure 9-6: Filter Mechanics of Diatomaceous Earth................................................................9-10
Figure 9-7: Bag and Cartridge Filtration ...................................................................................9-12
Figure 9-8: Spiral Wound RO Filter Core .................................................................................9-14
Figure 10-1: Clearwell ...............................................................................................................10-4
Figure 10-2: Gravity Storage .....................................................................................................10-5
Figure 10-3: Large vs. Narrow Diameter Tanks........................................................................10-5
Figure 10-4: Tank Components .................................................................................................10-8
Figure 10-5: Direct Pumping ...................................................................................................10-10
Figure 10-6: Tank Floating on the System ..............................................................................10-10
Figure 10-7: Submersible Turbine and Hydropneumatic Tank...............................................10-20
Figure 10-8: Styles of Pressure Tanks .....................................................................................10-21
Figure 11-1: Types of Pipes.......................................................................................................11-4
Figure 11-2: Service Meter Installation Graphic .......................................................................11-5
Figure 11-3: Gate and Butterfly Valves.....................................................................................11-5
Figure 11-4: Air Release Valves................................................................................................11-6
Figure 11-5: Pressure Control Valve .........................................................................................11-6
Figure 11-6: Fire Hydrants.........................................................................................................11-7
Figure 12-1: Backflow as a Result of Back-Pressure ................................................................12-3
Figure 12-2: Backflow as a Result of Back-Siphonage.............................................................12-3
Figure 12-3: Backflow as a Result of Hydraulic Head..............................................................12-4
x
Figure 12-4: Direct Cross-Connection.......................................................................................12-4
Figure 12-5: Indirect Cross-Connection ....................................................................................12-5
Figure 12-6: Air Gap..................................................................................................................12-6
Figure 12-7: Atmospheric Vacuum Breaker..............................................................................12-7
Figure 12-8: Pressure Vacuum Breaker.....................................................................................12-8
Figure 12-9: Double Check Valve Assembly............................................................................12-8
Figure 12-10: Reduced Pressure Principle Backflow Prevention Assembly.............................12-9
Figure 12-11: Chlorine Split Feed ...........................................................................................12-11
Figure 12-12: Filter Surface Wash...........................................................................................12-11
Figure 12-13: Air Relief Valve Incorrectly Piped Directly to Floor Drain .............................12-12
Figure 12-14: Hydrant Drain to Manhole................................................................................12-13
Figure 13-1: Comprehensive Monitoring Program: Conventional Treatment Plant .................13-3
Figure 13-2: Process Control Sample Points for Ground Water Systems .................................13-7
Figure 13-3: Analog Signal Scale..............................................................................................13-7
Figure 13-4: Data Flow from Instrument to Report...................................................................13-8
xi
List of Tables
Table 1-1: Essential Contacts.......................................................................................................1-3
Table 2-1: Grab Samples Frequency by Population ..................................................................2-10
Table 2-2: Records and Retention Schedule..............................................................................2-18
Table 3-1: Example Minimum Distances between Wells and Pollution Sources .....................3-11
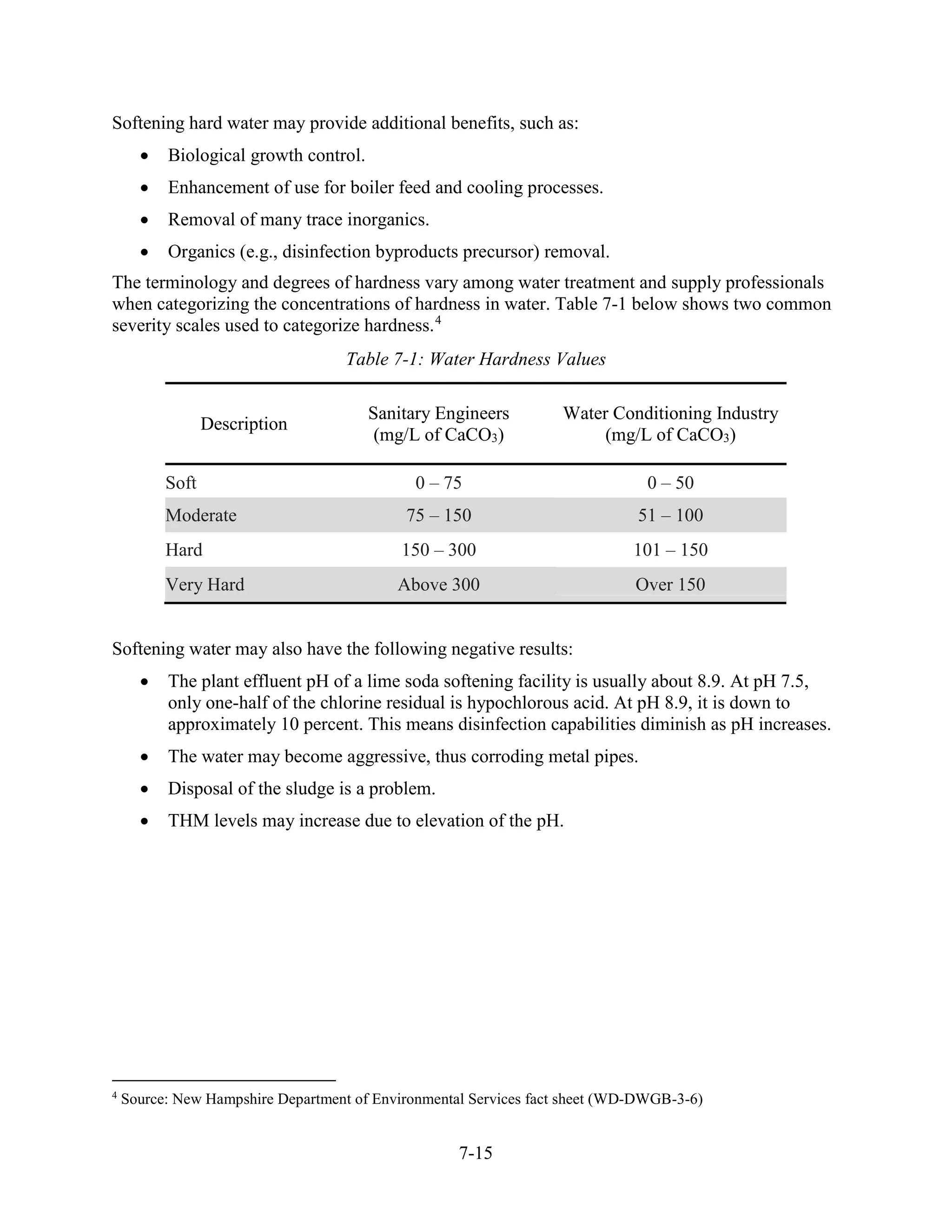
Table 7-1: Water Hardness Values ............................................................................................7-15
Table 7-2: Definitions Pertaining to Water Softening...............................................................7-16
Table 8-1: Threshold of Odor of Various Residuals....................................................................8-5
Table 8-2: Half Life Deterioration in Days of Sodium Hypochlorite..........................................8-8
Table 10-1: Example of Water Use ...........................................................................................10-3
Table 10-2: Varying Daily Water Demands ..............................................................................10-3
Table 14-1: Managerial and Financial Capacity........................................................................14-9
xii
List of Acronyms
ADD................... Average daily demand
ANSI .................. American National Standards Institute
APU.................... Auxiliary Power Unit
APWA................ American Public Works Association
AWWA .............. American Water Works Association
CaCO3 ................ Calcium carbonate
CEO.................... Chief Executive Officer
CFR.................... Code of Federal Regulations
Cl2 ...................... Chlorine
ClO2.................... Chlorine dioxide
CR ...................... Continuous regeneration process
CT ...................... Residual disinfectant concentration (mg/L) X Contact time (minutes)
CWS................... Community Water System
D/DBPs .............. Disinfectants and Disinfection Byproducts
DBP.................... Disinfection Byproducts
DBPR................. Disinfection Byproducts Rule
DE ...................... Diatomaceous Earth
DPD.................... N,N Diethyl-1,4 phenylenediamine sulfate
EPA.................... Environmental Protection Agency
GAC................... Granular activated carbon
g/cm3
.................. Grams per cubic centimeter
gpd...................... Gallons per day
gpm .................... Gallons per minute
GWUDI.............. Ground Water under Direct Influence of Surface Water
xiii
HAA5s ............... Haloacetic acids
HDPE................. High-density polyethylene
HOCl-
................. Hypochlorous acid
IESWTR............. Interim Enhanced Surface Water Treatment Rule
IR........................ Intermittent regeneration process
KMnO4............... Potassium permanganate
LCR.................... Lead and Copper Rule
LOX ................... Liquid oxygen
LRAA................. Locational Running Annual Average
LT1 ESWTR...... Long Term 1 Enhanced Surface Water Treatment Rule
LT2 ESWTR...... Long Term 2 Enhanced Surface Water Treatment Rule
mA...................... Milliamp
MCL................... Maximum Contaminant Level
MF...................... Microfiltration
mg/L................... Milligrams per liter
mg-min/L ........... Milligram-minutes per liter
mm ..................... Millimeters
MRDL................ Maximum Residual Disinfectant Level
NaClO2............... Sodium chlorite
NELAC .............. National Environmental Laboratory Accreditation Committee
NF ...................... Nanofiltration
NPDWR............. National Primary Drinking Water Regulations
NSDWR............. National Secondary Drinking Water Regulations
NSF .................... NSF International (formerly National Sanitation Foundation)
NTNCWS........... Non-Transient, Non-Community Water System
xiv
NTU ................... Nephelometric Turbidity Unit
OCl-
.................... Hypochlorite ion
O&M.................. Operation and maintenance
OEL.................... Operation Evaluation Level
OSHA................. Occupational Safety and Health Administration
PAC.................... Powdered activated carbon
pH....................... Hydrogen ion concentration
PLC .................... Programmable Logic Controller
PM...................... Preventive maintenance
PSOCs................ Potential sources of contamination
PPE..................... Personal protective equipment
ppm .................... Parts per million
PRV.................... Pressure Reducing Valve
psi....................... Pounds per square inch
PVB.................... Pressure Vacuum Breaker
PVC.................... Polyvinyl chloride
PWS ................... Public Water System
QA...................... Quality assurance
QC...................... Quality control
QCRV ................ Quality Control Release Valve
RADs.................. Radionuclides
RO...................... Reverse osmosis
RPP .................... Reduced Pressure Principle Backflow Preventer
RPZ .................... Reduced Pressure Zone
SCADA.............. Supervisory Control and Data Acquisition
xv
SDS .................... Safety Data Sheets (formerly MSDS: Material Safety Data Sheets)
SDWA................ Safe Drinking Water Act
SOP .................... Standard Operating Procedure
SWAP ................ Source Water Assessment Program
SWTR ................ Surface Water Treatment Rule
TCR.................... Total Coliform Rule
TDS.................... Total dissolved solids
TMF ................... Technical, managerial, and financial
TNCWS.............. Transient, Non-Community Water System
TT ...................... Treatment technique
TTHMs............... Total trihalomethanes
µ ......................... Micron
µm...................... Micrometer
UF ...................... Ultrafiltration
UV...................... Ultraviolet (light)
VOCs.................. Volatile Organic Contaminants
WHPP ................ Wellhead Protection Program
1
Introduction
A sound sanitary survey program is an essential element of an effective primary enforcement
(primacy) agency Public Water System Supervision (PWSS) program. A sanitary survey
provides a snapshot of the operating status of a public water system. Utilizing this information,
staff can evaluate the status of a system. Well-executed and documented sanitary surveys are
fundamental to helping the PWSS program ensure that a water system is providing safe drinking
water and protecting public health.
The intent of this guide is to provide sanitary survey students with an additional resource they
can reference in conjunction with their field guides, for use during field and classroom training,
and during subsequent mentor-lead sanitary surveys.
Disclaimer: Terminology may vary from agency to agency. For this reason, please understand
this guide may use terms such as “sanitary survey” and “inspection” interchangeably. In
addition, this guide often refers to the personnel conducting a survey as “inspectors”.
Learning Objectives
By the end of this chapter, students should be able to:
• Define “sanitary survey,” identify the eight elements of a sanitary survey, describe
sanitary and significant deficiencies, and explain the purpose of a sanitary survey of a
public water system.
• Explain the “multiple barrier” approach and understand how a breach of one or more
barriers indicates conditions or deficiencies that may cause public health risks in a typical
public water system.
• Understand the focus of the training is the identification of conditions or deficiencies that
may cause public health risks in a typical public water system.
• Understand the components of sanitary survey training, and the layout of the Learner’s
Guide and Field References.
• Identify knowledge gaps that will require additional training.
What is a Sanitary Survey?
Definition: A sanitary survey is an on-site evaluation of the water source and its adequacy,
facilities, equipment, operation and maintenance of a public water system, and its capability for
producing and distributing safe drinking water (see 40 CFR 141.2 for the regulatory definition).
A sanitary survey must include the following eight essential elements:
• Water source (protection, physical components and condition).
• Water treatment.
• Distribution system.
• Finished water storage.
2
• Pumps, pumping facilities, and controls.
• Monitoring, reporting, and data verification.
• Water system management and operation.
• Operator compliance with state requirements.
Note: An inspection for cross-connections at the water system should always be included in a
sanitary survey, as cross connections are a concern for both treatment and distribution systems.
The Multiple Barrier Approach
The first three elements of the sanitary survey are barriers to contamination. Working together,
they provide an in depth defense to prevent drinking water contamination. Even if one of these
barriers was to fail, as long as the other two barriers are still in place, it is likely that the public
will not have its health compromised. Understanding this concept is vital as a water system can
be producing safe drinking water and still have one or more deficiencies that need correction. As
much as possible, we discuss the best practices of sanitary integrity to protect public health in the
appropriate chapters.
Purpose of a Sanitary Survey
Every primacy agency is required to have a sanitary survey program that meets the requirements
of the Safe Drinking Water Act (SDWA). Title 40 of the Code of Federal Regulations (CFR)
Part 142.16 describes specific requirements for the sanitary survey program and its authorities.
Every primacy agency must create a standard measurement system for evaluating each of the
eight essential elements to ensure consistency in conducting sanitary surveys.
The purpose of a sanitary survey is to determine if sanitary deficiencies are present in a water
system and to verify the system’s compliance with SDWA regulations. This information serves
as a benchmark with which to gauge the effectiveness of a water system and is valuable in
addressing the system’s present and future needs.
Sanitary surveys can also be a valuable tool for primacy agencies to go beyond what is required
and to educate a water system on topics such as upcoming regulations, proper sampling
techniques, capacity development opportunities, strategies for extreme weather events and
conditions, and any other technical assistance needs (see Chapter 15 – Other Considerations).
Sanitary deficiencies are defects in a water system’s infrastructure, design, operation,
maintenance, or management that cause, or may cause interruptions to the “multiple barrier”
protection system and adversely affect the system’s ability to produce safe and reliable drinking
water in adequate quantities.
Significant deficiencies are serious sanitary deficiencies identified in water systems which
include, but are not limited to, defects in design, operation, maintenance, or a failure or
malfunction of the sources, treatment, storage, or distribution system that the primacy agency
determines to be causing, or has potential to cause, the introduction of contamination into the
water delivered to consumers. Though agencies are required to have a list of significant
deficiencies available, with at least one for each of the eight elements, these lists should not be
limiting, and any inspector conducting a sanitary survey should have the ability and authority to
make significant deficiency determinations based on observations on site. Water systems must
3
correct significant deficiencies in accordance with timeframes established in the National
Primary Drinking Water Regulations (see details in Chapter 2).
Though the purpose of a survey is to identify deficiencies before they become a problem, there
are instances where identifying a serious public health threat may occur. The inspector
conducting the survey needs to have the ability to identify these situations and the authority to
take appropriate action to address these situations as soon as possible.
Frequency of Sanitary Surveys
Sanitary surveys must be conducted no less than once every three years for community water
systems and no less than once every five years for non-community water systems. Primacy
agencies may choose to conduct sanitary surveys more frequently than the minimum
requirements. Inspectors may conduct surveys in a phased approach, evaluating specific
elements over multiple visits; however, inspectors must evaluate all elements within the required
period. Students can find details on reducing sanitary survey frequency in Chapter 2: Drinking
Water Regulations.
Who Conducts Sanitary Surveys?
Competent personnel who have experience and knowledge of the design, operation,
maintenance, and management of public water systems must conduct sanitary surveys. These
individuals must be qualified to assess problems and make sound decisions using hydrological,
hydraulic, mechanical, and other basic engineering and management knowledge.
Course Description
Purpose of the Training
EPA has designed this training course for personnel who inspect and evaluate public water
systems. Its purpose is to apply basic scientific information and a working knowledge of the
operation, maintenance, management, and technology of a public water system in order to
identify sanitary deficiencies, including significant deficiencies. This course addresses each of
the eight essential elements of a sanitary survey, presents the activities of a survey, and identifies
questions to ask as well as the conditions to look for while conducting a survey. This training
also presents the process for conducting a sanitary survey, familiarizes the student with security
concerns, reviews applicable federal drinking water regulations, and explains the relationship
between federal and state regulations.
Length of Training
Sanitary survey training lasts 3 1/2 days and focuses on the information an inspector needs to
understand in order to recognize and identify conditions or practices that may contribute to a
sanitary risk. The training can also be a 2-day session focusing either on sanitary surveys of
ground water systems or surface water systems. It can also be adapted to address state-specific
needs such as a state’s standard sanitary survey form and significant deficiencies, or sanitary
surveys of non-community systems. In each case, the training presents the opportunity to discuss
what sanitary deficiencies are, where they are most likely to occur and how to recognize or
anticipate them.
4
Entering Competencies of Participants: Essential Background
Participants who have a working knowledge of the vocabulary associated with water systems and
an understanding of how water systems work will benefit from the competency-based sanitary
survey training. Basic knowledge of water systems is essential. Participants will be encouraged
to interact with one another, share experiences and case histories, enter into team exercises and
discussions, ask questions, and contribute answers and solutions to presented problems.
Approach
The training combines classroom presentations, photos, and discussion with site visits to ground
water and surface water systems. The field exercises conducted during the site visits provide
opportunities for hands-on application of classroom information to identify actual problematic
conditions (e.g., sanitary deficiencies) that may contribute to a public health or “sanitary” risk.
Guided team discussions after the field exercise are a critical component of the course and clarify
the reasons the deficiencies present public health risks.
Field Exercise
Instructors will divide students into teams that conduct a sanitary survey during the on-site field
exercises. Afterwards, students present summaries of team findings for discussion. Students
should be punctual and dress appropriately for field exercises and for possible inclement
weather.
Training Materials
Trainers typically conduct this training course using this Student Guide, visual presentations, and
two Field References (ground water and surface water) for the field exercise.
Student’s Guide on How to Conduct a Sanitary Survey
EPA has also designed this guide to compliment classroom training. As much as possible,
chapters follow the same order as a sanitary survey; from organizing the survey to moving
through the water system starting at the source and ending at the “tap” (distribution). Most
chapters follow the format described below:
• Provide a general introduction and learning objectives.
• Discuss data collection.
• Provide technical information on a topic and present potential questions to ask during the
survey for that specific topic.
• Present additional technical information and questions if necessary.
• Provide some examples of potential significant deficiencies. All significant deficiencies
listed in the Guide are examples only. Each primacy agency may have identified a
different set of significant deficiencies than those listed in each chapter.
Many chapters provide references where students can find additional information on a specific
topic. In order to facilitate the reader’s ability to locate those materials, a comprehensive list of
reference material (publications, videos, CDs, DVDs, etc.) appears in Appendix A.
5
Disclaimer: Unless otherwise noted, the standards and rates mentioned throughout the Guide
are excerpts from the publications Technologies for Upgrading Existing or Designing New
Drinking Water Treatment Facilities, and Recommended Standards for Water Works. Students
may find these references in Appendix A.
The components of this guide, and the activities the student will be able to perform after working
through them, include:
• Organizing the Sanitary Survey - Prepare for, conduct, and perform follow-up activities
for a sanitary survey.
• Drinking Water Regulations - Explain the applicability of federal regulations that apply
to water systems during a sanitary survey and their relationship to state regulations.
• Water Sources - Evaluate water supply sources and intake structures to determine proper
source protection and sufficiency.
• Pumps and Pumping Facilities - Identify proper operation and maintenance of water
system pumps and pumping facilities.
• Treatment Processes - Evaluate treatment processes, facilities, components, and
techniques and related chemical addition and handling.
• Storage Facilities - Evaluate the adequacy, reliability, and safety of finished water
storage.
• Distribution System - Evaluate the adequacy, reliability, and safety of the system for
distributing water to consumers.
• Cross-Connections - Identify cross-connections and evaluate the cross-connection control
program.
• Process Control Monitoring, Laboratory Procedures, and Data Integrity - Review
monitoring data for source and finished water quality for bacteriological, physical,
chemical and radiological properties and, as required, perform and evaluate results of
field analyses.
• Management - Evaluate the effect of management practices on the reliability of the
system and review the qualifications of system personnel.
• Other Considerations - While the eight essential elements must be included in a sanitary
survey, it may be helpful to the system to discuss other considerations, e.g.,
sustainability, water system security, extreme weather, etc., during the survey. This guide
briefly discusses these additional considerations, with references for additional related
resources.
Field References
There are two field references provided during training:
• Drinking Water Inspector’s Field Reference: For Use When Conducting a Sanitary
Survey of a Ground Water System.
6
• Drinking Water Inspector’s Field Reference: For Use When Conducting a Sanitary
Survey of a Surface Water System.
These references are compact in design so an inspector can easily use them in the field. They
contain a few important bullets about adequate preparation for the field portion of a sanitary
survey and list all of the questions contained in the guide. Some graphics are also included.
1-1
1 Organizing and Completing the
Sanitary Survey
Organization and planning are required in order to conduct an effective and efficient sanitary
survey. Planning begins even before the first phone call to arrange the on-site inspection, and
does not end until the sustainable correction of all sanitary deficiencies. The sanitary survey
process has three stages:
• Preparation, including background research.
• On-site inspection.
• Follow-up activities to ensure systems correct sanitary deficiencies.
Though the Safe Drinking Water Act (SDWA) requires sanitary surveys, the sanitary survey
process should be a cooperative partnership between the primacy agency and the water purveyor
since each share the common goal of providing safe drinking water to the public.
1.1 Learning Objectives
By the end of this chapter, students should be able to:
• Determine how, and with whom, to communicate before, during and after an on-site
inspection.
• Explain the activities that the inspector needs to accomplish during the preparation phase
and the importance of each activity.
• Know the sequence of activities that are required during the on-site inspection, and how
to properly document findings during the survey.
• Explain the follow-up activities, which are required after the inspector completes the on-
site survey, including finalizing deficiencies and writing the sanitary survey report.
1.2 Estimating Time Required
Time management is an essential element in completing a sanitary survey in an efficient manner.
The estimation of time should include all activities required prior to, during, and after the on-site
inspection. Although the time required to complete a sanitary survey will vary with the
complexity of the water system and the experience of the inspector, a good rule of thumb is that
it will take 2 hours in the office for every hour spent in the field.
1.2.1 Research
1.2.1.1 Review Files
Prior to each survey, the inspector should review at least 5 years of available information on the
water system. This review helps the inspector become familiar with the system’s history and
condition and understand remarks made during the inspection regarding previous letters or
conversations which otherwise may be taken out of context or misunderstood.
1-2
It is important to gather as much of the following water system information as possible. This
information should be available from the primacy agency’s electronic databases and hard-copy
files, or the inspector may acquire it during the inspection. Knowledge of the system’s history
conveys to water system personnel the inspector’s professionalism and concern for the system.
• Prior sanitary survey reports and follow-up documentation on all deficiencies identified
in those reports.
• Correspondence with the primacy agency.
• Compliance monitoring results.
• The system’s consumer confidence reports.
• Records of enforcement actions or warnings of potential actions.
• Plans and schematics on file. For example:
• Source protection.
• Treatment plant schematics including chemical feed points and treatment processes.
• Monitoring, emergency or contingency plans.
• Cross-connection control.
• Capital improvement plans.
1.2.1.2 Regulations and Standards to Consider
The inspector should also review and consider the following materials prior to the inspection
(See Chapter 2 for details on regulations):
• 40 CFR Part 141 - National Primary Drinking Water Regulations, as adopted by the
primacy agency, including, but not limited to, the following subparts:
• Subparts C & G, Total Coliform Rule.
• Subpart H, Filtration and Disinfection.
• Subpart I, Lead and Copper Control.
• Subpart L, Disinfection and Disinfection Byproducts.
• Subpart P and Subpart T, Enhanced Filtration.
• Subpart S, Ground Water Rule.
• Subpart W, Source Monitoring for Enhanced Filtration.
• Subpart V, Stage 2 Disinfection Byproducts Requirements.
• Subpart Y, Revised Total Coliform Rule.
• 40 CFR Part 142 National Primary Drinking Water Regulations Implementation, as
implemented by the primacy agency. This includes 142.16 that describes the sanitary
survey program, among other things, and 142.34 that describes entry of establishments,
facilities, or other property.
1-3
• Additional state regulations.
• State engineering and construction standards.
• Minimum operator certification requirements.
1.2.2 Contacts
The inspector must contact the water system owner in order to:
• Explain the purpose of the sanitary survey.
• Schedule a meeting location, date, and time when key personnel will be available.
• Discuss any preparations the water system staff will need to make for the sanitary survey.
Note: In many cases, the inspector must give written notice prior to conducting the sanitary
survey (see 40 CFR Part 142.34).
The inspector should verbally contact the water system, followed by a short written notification
summarizing the phone call. Primacy agencies have different requirements for written
notification (hard copy versus email), so the inspector should know which is required for their
agency. In addition to reiterating the content of the phone conversation, written notification
should also provide instructions for requesting changes to the schedule. This is also a good
opportunity to inform water system personnel of specific information they need to provide. The
written notification should occur within a time frame that will give system personnel sufficient
time to respond.
It is essential that the inspector contact the person directly responsible for the overall
management of the system (e.g., CEO, mayor, water commissioner, utility manager) in order to
obtain cooperation, gather information, coordinate with other departments or agencies, and
transmit the results of the inspection. Prior to the on-site inspection, the inspector should contact
the people identified in the table below.
Table 1-1: Essential Contacts
Contact Purpose
Water System
Owner and
Operator
• Obtain cooperation.
• Establish survey dates.
• Explain purpose of survey.
• Request that necessary information be available.
• Coordinate gaining entry to site.
• Ensure presence of all necessary operational personnel during survey.
Other
Regulatory
Agencies
• Ensure cooperation and coordination.
• Obtain information pertinent to the system.
1-4
1.2.3 Schedule Changes
The inspector should make any needed schedule changes as early as possible. An inspector must
never postpone or cancel a survey without prior notification to the water system’s
representatives.
1.3 Organizing Field Equipment
Having the necessary field equipment is critical to conducting a successful sanitary survey. The
inspector needs to bring multiple types of equipment for testing, support, and safety. The
inspector should also verify all equipment is in good working condition before leaving for the
on-site inspection. Equipment that is broken, dirty, in disrepair, out of calibration, or otherwise
improperly maintained does not provide accurate, dependable, or reproducible data needed to
support potential violations, nor does it provide adequate protection.
The following sections provide information on the various types of equipment and their uses as
well as a list of recommended equipment. The inspector needs to bring equipment based on the
type of system surveyed.
Note: Always bring extra batteries into the field and fully charge all equipment before leaving
the office.
1.3.1 Field Testing Equipment
Properly calibrated testing equipment is necessary to ensure the water system is providing
accurate data and is a good way to verify the water system’s equipment is in proper working
condition. Many inspectors have the operator take simultaneous measurements using their own
equipment as a way to spot check calibrations. Prior to the on-site inspection, it is important for
the inspector to calibrate all testing instruments, check expiration dates of reagents and control
solutions, and understand current standard testing methods.
1.3.1.1 Recommended Field Testing Equipment List
Recommended types of field testing equipment include, but are not limited to, the following:
• Portable pH meter (digital, not analog): Used at both surface water and ground water
systems. Inspectors use the pH results to assist with 4-log calculations and to ensure
systems are using the right chemical treatment for their water.
• Pressure gauge: Used at all types of systems to check water pressure in the distribution
system. The inspector should know the required minimum pressure and check levels in
multiple locations within the distribution system, including the high points and the points
furthest from the plant/wells.
• Residual chlorine test kit (hand held colorimeter or portable spectrophotometer): Used at
all types of systems to record the chlorine (free or total) residual throughout the system.
For systems that chloraminate, the inspector should also check for free ammonia,
monochloramine and, optionally, nitrite and nitrate to determine if nitrification is
occurring.
1-5
1.3.2 Survey Support Equipment
Survey support equipment is needed to aid the inspector in all aspects of the survey including
getting to the location, photo documentation, making observations, performing calculations, and
transporting samples (if necessary).
1.3.2.1 Recommended Survey Support Equipment List
Recommended types of survey support equipment include, but are not limited to, the following:
• Locational equipment (GPS units, maps, smart phones): Used to locate the desired
destination. GPS units and smart phones can also provide latitude/longitude information
for critical facilities.
• Camera with automatic time stamp: Provides photographic evidence of any deficiencies
found during the sanitary survey. The time and date stamp document when the inspector
took a picture to ensure there are no questions that the inspector took the picture during
the sanitary survey.
• Calculator: Used to calculate the appropriate CT (residual disinfectant concentration in
mg/L multiplied by contact time in minutes) requirements, average daily demand,
sufficient capacity, appropriate hydraulic detention time, surface overflow rate, or
hydraulic loading rates.
• Tape measure: Used to measure distances from potential sources of contamination. The
calculator and tape measure are also necessary to determine the size of the different
basins, calculate the appropriate hydraulic detention time, surface overflow rate, or
hydraulic loading rates.
• Watch with second hand or stopwatch function: Used to determine flow rates for
calculating CT values or calibrating chemical feed pumps.
• Binoculars: Used to observe tank hatches, vents, and overflow pipes that are located at
the top of standpipes or elevated storage tanks.
• Mirror: Used to look under vents on tanks, wells and air relief valves as well as provide
natural lighting by reflecting sunlight into dark areas such as vaults, valve pits, or other
dark areas in a water system.
• Flashlight: Provide lighting in dark areas such as vaults, valve pits, or other areas in a
water system.
• Clipboard: Provide support to fill out the sanitary survey forms. Storage clipboards allow
an inspector to store completed forms, especially on windy days.
• Small rag: Useful for wiping base plates, cleaning faces on gauges and wiping hands.
• Ice chest (if taking samples): May be needed to preserve and ship any samples that may
have to be taken during the sanitary survey. Some samples, such as, bacteriological
samples may also require ice to keep them at an appropriate temperature during
transportation.
1-6
1.3.3 Safety Equipment and Safety Precautions
A critical aspect of the sanitary survey is safety. This is a concern for the field inspector as well
as operating staff of the system. Inspectors should create a site-specific safety plan before the
inspection that includes a map, verified emergency phone numbers, and directions to the nearest
medical facility.
Safety hazards vary based on geographic locations and type/complexity of systems. Inspectors
should be cognizant of the potential hazards on site and take the appropriate steps to mitigate
such hazards. Some examples of safety hazards typically found at water systems include, but are
not limited to:
• Electrical shock.
• Exposure to chemicals.
• Entering confined spaces.
• High-intensity noise.
• Slips, trips, and falls.
• Falls from elevated sites.
• Environmental exposures (animals, weather, plants, etc.).
• Drowning.
1.3.3.1 Recommended Safety Equipment List
Prior to the on-site inspection, the sanitary survey inspector should ensure that personal
protective equipment is available. We acknowledge that many agencies do not provide this
equipment; however, the inspector may wish to provide some of the equipment and ensure that
items such as respirators are available at the site. The following is a list of the most frequently
used equipment:
• Safety hats (hard hats): Provide protection from falling objects and overhead obstructions
in pipe galleries. They also may provide a means of identification.
• Safety glasses with side shields: Provide eye protection from chemicals and flying
objects. Supplement the safety glasses with a full-face shield when working around some
chemicals.
• Gloves: Provide protection against injuries from chemicals and equipment. Rubberized
materials are preferred over leather or cloth gloves.
• Steel-toed safety boots: Provide protection from falling objects.
• Earplugs or muffs: Provide hearing protection around pumps or other machinery.
• Safety harness (fall protection): Protects the wearer from falls while climbing tanks.
• Respirators: Protects the wearer from inhaling dust, Hantavirus, organic vapors, and other
chemicals. Use this equipment where the atmosphere is not oxygen-deficient.
1-7
• Self-contained breathing apparatus: Provides protection in oxygen-deficient atmospheres
(e.g., confined spaces).
Note: Oxygen-deficient atmosphere areas should be labeled as a “permit required
confined space” and would require the inspector to be trained and permitted to enter.
Most agencies do not allow inspectors to enter confined spaces. Agencies should also
train inspectors to recognize confined spaces and to avoid them.
1.4 General Recommendations for On-Site Inspections
1.4.1 Keep Purpose in Mind
In conducting the on-site inspection, it is important for the inspector to remember the purpose of
the survey. The inspector is to perform an on-site review of the elements of the system utilized
for the production and distribution of safe drinking water, including water source, facilities,
equipment, operation, maintenance, and management. The inspector should not let the sanitary
survey become just an exercise in filling in the blanks on a particular form. An inspector needs to
concentrate on identifying potential or existing problems and evaluating their risks.
Caution: Inspectors should always avoid instructing water system officials on how to “fix
something,” Giving advice on how to correct or fix a problem could lead to enforcement and
credibility issues if the system personnel listen to the inspector and “the fix” does not work.
1.4.2 Be Punctual – Work With the Water System Staff
The first step in performing a successful on-site inspection is to be punctual. A successful survey
requires representatives of the water system to participate in the sanitary survey process, and
tardiness is unprofessional and reflects poorly on the inspector’s abilities. Individuals in charge
of management, operation, and maintenance should all be involved during the on-site inspection.
This provides the inspector with critical information about the system and allows the inspector
and staff members to interact and develop a mutual understanding of the purpose of the survey as
well as confidence in each other’s abilities. Once the inspector has established this trust, the staff
may be willing to be more open about system operations and problems.
1.4.3 Use Forms and Field Notes
Field notes, diagrams, and completed inspection forms are critical to the sanitary survey process.
A properly designed form, whether paper or electronic, can facilitate and simplify the inspector’s
evaluation. A field inspection form is a data management tool. It can serve as a systematic guide
during the survey and ensure completeness so the inspector does not overlook critical data or
other information. A good form anticipates questions and affords the inspector the opportunity to
focus on answers and responses as well as record observations without the distraction of
planning the next question.
In most cases, the best practice involves the inspector using a standard form to help cover all
points of the system, while remembering that filling out a form is not the primary function of the
survey. The inspector should understand the purpose of each question. The judicious use of a
standard form provides uniformity of inspections, ensures completeness, facilitates
recordkeeping, documents observations, and provides a benchmark for future inspections.
1-8
1.4.4 Communications During the On-Site Inspection
1.4.4.1 Contacts During the Inspection
During the inspection, the inspector should work with the owner of the water system and the
operational personnel.
When meeting with the system owner, the inspector should:
• Obtain information pertinent to the system.
• Explain required follow up and recommended follow up actions.
• Explain what action will result from the survey.
When communicating with the operational personnel, the inspector should:
• Obtain information pertinent to the system.
• Explain required and recommended actions.
1.4.4.2 Relationship with Operator
Establishing a good relationship with the operational personnel is important to the success of the
survey. The operator of the water system occupies a unique position in the water supply industry.
In many cases, the operator is responsible for all aspects of the system from operation of the
plant to budgeting for equipment. In small systems especially, the operator may also be
responsible for other services in the community (e.g., wastewater treatment, road repair).
Consequently, the operator may have a basic working knowledge of his water system and
processes, but not necessarily knowledge of the regulatory requirements.
1.5 Sequence of Activities
The inspector should conduct the on-site survey in a systematic fashion. The sequence should
include the following steps (details of these steps follow):
• Initial briefing and introductions.
• Background review.
• Management assessment.
• Facility walk-through.
• Inspector’s assimilation of findings.
• Debriefing.
1.5.1 Initial Briefing and Introductions
After introductions, the inspector should describe the sequence of activities to complete during
the on-site inspection. This is also an opportunity for the inspector and water system personnel to
discuss concerns not directly related to the inspection (e.g., proposed regulations or activities of
the primacy agency). The water system should have management, operations, and maintenance
staff represented at this briefing.
1-9
1.5.2 Background Review
During this phase, the inspector should review previous sanitary survey reports and discuss
actions taken by the water system on any sanitary deficiencies identified or cited in that report. In
addition, basic information should be obtained or verified, including (but not limited to):
• Number and classification of connections and the population served.
• A schematic of the system layout (or a map).
• A description of the major facilities and future improvement.
1.5.3 Management Assessment
Although the owners and managers are the primary focus, the operations and maintenance
personnel should also participate. During this phase, the inspector will assess the adequacy of
programs and procedures including:
• SDWA compliance sampling and site plans.
• Source protection.
• Cross-connection control.
• Contingency and emergency plans.
• Corrosion control.
• Safety.
• Training.
• Distribution system flushing and pressure testing.
• Financial management.
• Capital improvement.
• Recordkeeping.
• Preventive maintenance and standard operating procedures.
The inspector will also assess how the utility deals with customer complaints and whether
staffing is adequate. Does the system have an updated map of their system and have they
indicated on the map (e.g., with push pins) locations of customer complaints, locations of line
breaks, points of low residual, positive Total Coliform Rule (TCR) samples, or other problem
areas?
Finally, the inspector should review the operational records from in-house monitoring, records
required for compliance reporting, and records the water system is not required to submit to the
primacy agency in preparation for the next phase of the on-site inspection.
1.5.4 Facility Walk-Through
It is imperative to the successful outcome of a sanitary survey that the individuals responsible for
operation and maintenance (O&M) participate in this phase. The inspector should begin at the
water source and follow the “water stream” to work through the entire system including the
1-10
water distribution system and the pumping and storage facilities. At each step in the process, the
inspector should conduct visual observations and ask the O&M staff specific questions about the
process, equipment, and O&M strategies employed. The manner in which the inspector poses
questions to the operators should not be suggestive in nature. For example, an accurate answer is
more likely to be obtained when asking, “How do you determine when to backwash a filter?”
rather than, “You always backwash the filter prior to an increase in filtered water turbidity,
right?” Another rule of thumb is never to assume anything. Even if the inspector believes they
know the answer to a particular question, the inspector should ask the question anyway. The
answer will build on the inspector’s assessment of the operator’s knowledge and may lead to an
additional series of questions regarding the system.
Note: The inspector should not attempt to adjust or operate any of the plant equipment.
1.5.5 Inspector’s Assimilation of Findings
At this stage, the inspector should work alone to complete the survey form and to identify and
prioritize the sanitary deficiencies found during the survey. Top priority should be given to the
sanitary deficiencies that are determined to pose an imminent threat to public health, then to
significant deficiencies, then other deficiencies, and finally to recommendations. The primacy
agency should provide and maintain all current definitions and policies for making
determinations of significant deficiencies. The inspector, however, should always be free to act
on deficiencies he or she sees which fall outside the boundaries of anticipated significant
deficiencies. The inspector should be able to identify new types of significant deficiencies on site
if necessary. This is the time when the inspector should, if necessary, seek advice from peers or
supervisors in the primacy agency office regarding the findings and required actions. The
inspector should also use this time to prepare for the debriefing.
1.5.6 Debriefing
Prior to leaving the site, the inspector should meet again with the individuals who attended the
initial meeting and brief them on the sanitary deficiencies identified in order of priority. The
inspector should explain what action will result from the survey and advise the water system
representatives that the primacy agency will provide them with a sanitary survey report of
findings, required action, and recommendations. If possible, the inspector should provide the
system with a preliminary list of significant deficiencies and lead a discussion of the resolution
of those deficiencies. The sanitary survey report includes an official list of significant
deficiencies, which require system follow-up. The inspector should discuss all-important issues
in the debriefing so there are no surprises in the final written report.
Caution: When going through the findings, inspectors may be tempted to tell water system
officials how to “fix something,” but they should not specify exactly how to fix it. Doing so could
lead to enforcement and credibility issues if the system personnel do what the inspector says and
it does not work. Also, determining deficiencies is an important task of the inspector. If there is
any doubt while on site, the inspector may be better off to return to the office and discuss
findings before making specific deficiency determinations or setting deficiency priority (e.g.
significant).
1.5.7 Follow-up
Follow-up activities include:
1-11
• Finalizing documentation and prioritization of all sanitary deficiencies and
recommendations identified during the on-site inspection.
• Completing the formal sanitary survey report. The inspector should include corrective
action requirements for any significant deficiencies identified, as well as timelines for
completion, even though not required by regulation. Also, identify any differences
between the findings in the written report, the oral debriefing, or any preliminary
deficiency list provided to the water system.
• Notifying appropriate organizations of the results.
• Following up on questions asked by water utility personnel.
1.6 The Sanitary Survey Report
1.6.1 Importance of the Report
The sanitary survey report is a critical component of the sanitary survey for use in tracking
compliance with safe drinking water statutes and regulations as well as for evaluating a system’s
compliance strategy. Perhaps more importantly, it provides a record that supports enforcement
actions if deficiencies are not addressed and to allow future inspectors to track progress. It also
provides information needed during emergencies and when technical assistance providers are on
site. It is the inspector’s responsibility to the water system and to the public to provide an
accurate and detailed description of improper operation or other system deficiencies in a sanitary
survey report.
1.6.2 Official Notification
In most cases, the sanitary survey report constitutes the official written notification of the
inspection and significant deficiency determination results. Receipt of the report starts the clock
for correcting significant deficiencies. Some primacy agencies use the preliminary deficiency list
(if written and left with the water system staff) discussed during the on-site debriefing as official
written notification of significant deficiencies, but they are not required to do so. Undocumented
verbal communication is not reliable. The inspector must document important information, such
as violations and deficiency determinations, in the sanitary survey report. The completed report
should reiterate the information presented to system personnel by the inspector at the end of the
on-site inspection. If the written report is different from the oral debriefing, the inspector should
inform the water system manager in advance.
The report itself can be as brief as a letter, if the inspector found few deficiencies, but it must be
as detailed as necessary to convey to the water utility what deficiencies exist. However, by just
listing the deficiencies, the inspector may not accomplish the objective of informing the system
of a problem and seeking its correction. Primacy agencies sometimes incorrectly assume all
managers or operators can understand the inspector’s comments and technical references. Even if
the system personnel understand what the inspector wants, it is quite unlikely they will complete
corrective actions if they do not understand the reason for doing them. The report should
describe the problems in basic terms and explain the reasons for correction. An explanation of
how a problem adversely affects the system is more likely to motivate the system operator to
correct it. The primacy agency should send the report via certified mail with a “return receipt
requested” to document receipt by the system.
1-12
1.6.3 Report Content
The report should contain:
• The date the survey was conducted and by whom.
• The names of those present during the survey, besides the inspector.
• A schematic of the system and, when possible, photographs of key components and
significant deficiencies.
• A schematic of any treatment facilities showing locations of chemical injection.
• The survey findings and a discussion of any differences in the findings presented in the
debriefing and the final report.
• The inspector’s findings regarding current compliance monitoring plans including
sampling frequency, number of samples, sample locations and collection dates, if
required, as applicable for the Total Coliform rules, Lead/Copper, Stage 2 DBP, Ground
Water rule, etc.
• A list of all significant deficiencies with corrective action requirements and deadlines for
completion.
• The inspector’s signature, and in some cases the water system official’s signature.
• A listing of all other sanitary deficiencies, in order of priority, for the water system to
address to enhance operations and safety.
1.6.4 Importance of Documentation
No matter how professional the sanitary survey was, how involved or detailed the field aspects of
the survey were, or how many deficiencies were pointed out verbally during the inspection, it is
important for the primacy agency to document all findings in writing so the system’s owners and
managers are made aware of deficiencies that require correction.
In addition, if the inspector does not properly document all details, the state will find the use of
any of the survey findings for enforcement purposes very difficult. Remember, when the state
finds and cites significant violations, a compliance schedule, consent agreement, administrative
order, or litigation may be necessary to ensure prompt and proper correction.
1.7 Corrective Action
1.7.1 Correcting Significant Deficiencies
Corrective action is required for any system with a significant deficiency identified by the
primacy agency (Ground Water Rule and 40 CFR Part 142 National Primary Drinking Water
Regulations Implementation of the Interim Enhanced Surface Water Treatment Rule
(IESWTR)). The period for completion depends on the system type.
1.7.2 Correcting Sanitary Defects
If the state conducted a sanitary survey instead of a level 2 assessment, triggered under the
Revised Total Coliform Rule (RTCR), in addition to identifying deficiencies as significant, the
1-13
inspector will need to identify any that are sanitary defects. The water system has a very short
(30-day) timeframe in which to address these defects or have an approved schedule for
correction under the RTCR.
1.7.3 Technical Assistance and Training
Water systems can address many of the items identified as sanitary deficiencies in-house.
However, some deficiencies may be complex and require outside assistance. While water
systems strive to be in compliance, many water systems with compliance issues may need some
assistance in determining the cause of their performance problems and in the planning of
corrective actions needed to achieve compliance. This assistance often takes the form of training
and on-site, over-the-shoulder, system-specific technical assistance. The integration of training
and technical assistance into the overall enforcement strategy has, in many states, proven to be
the most effective method for achieving and maintaining compliance while promoting a
partnership between the water system, the regulatory staff, and the training and technical
assistance providers.
Technical assistance and training resources vary from state to state, can take many forms, and
involve a variety of approaches. Many states have developed a means to provide assistance to a
water system, either at the request of the water system or through a referral from a sanitary
survey inspector. In most states, the primacy agency provides some form of technical assistance,
either directly or through an agency grantee (a technical assistance provider). Often, field
inspectors provide resource listings, referrals, and other forms of general technical assistance.
Many states have an environmental training center or other organization that can provide more
specific technical assistance to explain and demonstrate exactly what to do to resolve problems.
Private-sector consulting services are also available in most states.
1.7.4 Limitations
Inspectors should temper any advice with a realistic assessment of their personal experience and
knowledge of the problem. If the inspector provides erroneous information, money, time, and
credibility could be lost, while the sanitary deficiency continues. Inspectors who have limited
experience should refer problems to more experienced personnel. Incorrect technical assistance
that does not correct the problem can have ramifications ranging from loss of credibility to
challenges to authority regarding corrective action.
2-1
2 Regulations
In addition to specifying Maximum Contaminant Levels (MCLs), the federal drinking water
regulations address sampling location, frequency, recordkeeping, and other requirements that
should be subject to compliance determinations during a sanitary survey. The inspector should
also review variances, exemptions and any enforcement orders. Though not addressed in this
chapter, there may also be other requirements found in national safety standards, such as those
promulgated by the Occupational Safety and Health Administration that the inspector should also
review during the survey. There are many requirements for each drinking water regulation;
however, in this chapter, we only focus on the aspects of regulations the inspector needs to
address during the sanitary survey.
The regulations provide protection at each of the barriers within the multiple barrier approach.
The suite of surface water treatment rules and Ground Water Rule cover the source barrier. The
chemical rules (e.g., Phase I, II and V, arsenic, etc.), along with the suite of surface water
treatment rules, address the treatment barrier. The Disinfectants/Disinfection Byproduct Rules
and the Total and Revised Total Coliform rules address the distribution barrier. The rules
mentioned above are not a comprehensive accounting for all three barriers so the inspector must
understand all applicable regulations and how they relate to the multiple barrier approach to
protecting public health with respect to public water systems, in order to make on-site
compliance determinations.
2.1 Learning Objectives
By the end of this chapter, students should be able to:
• Explain the importance of making an accurate determination of population served by the
system and number of service connections.
• Determine if a water system is a public water system subject to EPA regulations, as
adopted by the state.
• Properly classify a public water system as community, non-transient non-community, or
transient non­community.
• Explain the importance of and determine whether the system has made modifications to
its sources, treatment, or distribution system without state approval.
• Describe the on-site compliance determinations that should be made for various
provisions of the National Primary Drinking Water Regulations (NPDWRs) adopted by
the state, including: siting; total coliform monitoring; triggered source monitoring;
surface water treatment; lead and copper; organic, inorganic and radiological
contaminants; disinfectants and disinfection byproducts; reporting; recordkeeping; and
public notification.
• Determine whether the system is operating in accordance with the National Secondary
Drinking Water Regulations (NSDWRs) as adopted by the state.
2-2
• Determine compliance with American National Standards Institute (ANSI) and NSF
International (formerly National Sanitation Foundation) standards for direct and indirect
additives.
• Determine if the system is complying with conditions set forth in variances, exemptions,
or compliance orders.
2.2 Data Collection
When determining a system’s compliance with regulatory requirements, the inspector must rely
on information available in the primacy agency office as well as information gathered in the
field. Various reports, correspondence, engineering studies, and monitoring data are important
sources of information for determining a system’s compliance. This information is typically
available in the office for review and evaluation. Prior to an inspection, the inspector should
review the following:
• Any violations of MCLs, treatment techniques, monitoring, or reporting.
• Current information on population served and number of service connections.
• State-approved coliform sample siting plan.
• State-approved disinfection byproduct sample siting plan.
• State-approved lead copper sample siting plan.
• State-approved determination of 4-log treatment of viruses, (using inactivation, removal,
or a primacy agency-approved combination of 4-log inactivation and removal) before or
at the first customer for all ground water sources, if the system is claiming 4-log credit
for any of its ground water sources for Ground Water Rule compliance.
• Consistency with NSDWRs.
• Variances or exemptions that apply to the system.
• Compliance orders that apply to the system.
• Documentation of state approval for the installation of new facilities or changes to the
system.
Upon arrival at the system, the inspector should ensure the information evaluated prior to the
inspection is still valid and consistent with the records held at the primacy agency. The inspector
should also review as appropriate:
• Monthly operating reports (MORs).
• Daily logs appropriate to the treatment in use.
• Calibration logs for instruments in use.
2.3 Regulations and Standards to Consider
The inspector should review the following regulations and standards prior to the inspection:
• EPA or state primary and secondary drinking water regulations.
• State design standards or guidelines.
2-3
• ANSI/NSF standards.
2.4 Drinking Water Regulations
2.4.1 Safe Drinking Water Act of 1974 and Amendments
In recognition of potential public health risks associated with the nation’s drinking water,
Congress enacted the Safe Drinking Water Act (SDWA) in 1974. Congress intended for the Act
to ensure the delivery of safe drinking water by public water systems and to protect underground
water sources from contamination. In 1986, Congress greatly expanded the number and type of
contaminants to be regulated and strengthened EPA’s enforcement authority by amending
SDWA. In 1996, Congress amended SDWA once again to include provisions for state revolving
loan funds to improve water systems. Because of these amendments, EPA was also required to
base regulations on cost/benefit and risk assessment considerations, identify best available
treatment technologies, and establish guidelines for operator certification and for providing
monitoring relief to small systems.
2.4.2 Code of Federal Regulations
EPA publishes (promulgates) final regulations in the Federal Register, and annually, EPA
regulations are published in Title 40 of the Code of Federal Regulations (CFR). The agency has
incorporated, or codified, all NPDWR under 40 CFR Part 141, which is divided into subparts and
sections for specific regulatory provisions. For example, Section 21 of Part 141 (40 CFR 141.21)
codifies the coliform monitoring requirements. The CFR is available from the Government
Printing Office in Washington, D.C., and can be accessed electronically from the internet (please
see National Primary Drinking Water Regulations in Appendix A). The EPA Drinking Water
Hotline (1­800-426-4791) provides another easily accessible source of information on SDWA
regulations.
2.4.3 National Primary Drinking Water Regulations
SDWA requires EPA to establish regulations for contaminants in drinking water that may have
an adverse effect on public health. These NPDWRs (40 CFR Part 141) include MCLs or
treatment techniques for more than 100 contaminants. The regulations also specify monitoring
and testing procedures.
2.4.4 NPDWR Implementation
Congress intended state agencies to primarily implement SDWA requirements. Therefore, the
SDWA requires EPA to define the requirements for allowing state primary enforcement
(“primacy”) agencies to implement and enforce state regulations. EPA codified these primacy
requirements in 40 CFR Part 142, National Primary Drinking Water Regulations
Implementation. For this delegation of authority, states must promulgate regulations at least as
stringent as the federal regulations. When EPA promulgates new regulations, the states must
submit primacy revision packages containing the new state regulations to EPA for review and
approval in order to maintain primacy. In primacy states (every state but Wyoming and the
District of Columbia), state personnel derive their authority from state, rather than federal,
drinking water regulations. Therefore, the inspector needs to apply the equivalent state
regulations to any federal regulations cited in this guide.
2-4
2.4.5 National Secondary Drinking Water Regulations
EPA also sets National Secondary Drinking Water Regulations, codified in 40 CFR Part 143.
These regulations address drinking water contaminants that primarily affect the taste, odor, or
color of drinking water. Such aesthetic considerations are a concern because where a system
provides water that is unappealing to the senses, its users may seek alternative supplies, some of
which may be unsanitary. In addition, there may be health implications at considerably higher
concentrations of these contaminants. Although not federally enforceable, EPA intended for
these regulations to be guidelines for states and public water systems. Individual states may
choose to adopt and enforce these secondary regulations.
2.4.6 Public Water Systems
2.4.6.1 Definition
A public water system (PWS) is a system for providing water for human consumption through
pipes or other constructed conveyances, which has at least 15 service connections or regularly
serves at least 25 people at least 60 days a year. A system includes any collection, treatment,
storage, and distribution facilities under control of the system operator and used primarily in
connection with its operation and any collection or treatment facilities not under such control that
are used primarily in connection with such a system.
The inspector will determine if the system continues to meet the definition of a public water
system by verifying answers to the following questions during the survey:
• How many people does the system serve?
• How many service connections does the system have?
• Does the system provide service at least 60 days a year?
This information determines whether a system meets the definition of a public water system in
SDWA and whether it is subject to NPDWRs.
2.4.6.2 Types of Systems
Although NPDWR apply to all public water systems, the regulations make a distinction between
community and non-community systems. The regulations also make a distinction between
transient and non-transient non-community systems.
2.4.6.2.1 Community Water Systems
Community water systems (CWS) serve residential populations of at least 25 people or 15
service connections year-round. Users of community systems may be exposed to any
contaminants in the water supply over an extended period (e.g., years) which would subject them
to both acute and chronic health effects.
2.4.6.2.2 Non-Community Water Systems
Non-community water systems do not serve permanent residential populations. Non-community
systems are either non-transient or transient systems.
• Non-transient non-community water systems (NTNCWS) serve on a regular basis at least
25 of the same persons at least 6 months per year. Like community systems, these
2-5
systems can expose users to drinking water contaminants over an extended period
(subjecting users to risks of both acute and chronic health effects). Schools, churches and
factories that have their own water systems fall under this definition.
• Transient non-community water systems (TNCWS) serve short-term users. As a result,
user-exposure to any contaminants would only be brief (i.e., no chronic exposure), but
users would still be subject to experiencing acute health effects. Examples of TNCWS are
restaurants, hotels, campgrounds or gas stations that have their own water systems.
These distinctions, and others such as service population and water source, are important because
the primacy agency regulates these systems differently. Population served determines sampling
frequency in a number of regulations such as the Total Coliform Rule, Lead and Copper Rule,
inorganic chemicals, and the suites of rules covering disinfectants/disinfection byproducts and
surface water treatment.
Most water system operators know precisely how many individual service connections their
system has, but not necessarily the population served by the system. Some states use a factor
(i.e., estimated persons per connection) multiplied by the number of service connections to
estimate population. During the survey, the inspector should determine if the state records on
population and number of service connections are up-to-date. The state will have to evaluate how
changes in the population affect the system’s status relative to any SDWA requirement.
An inspector must evaluate a system’s characteristics for proper classification and application of
regulations.
2.4.7 Sanitary Surveys and the Regulations
2.4.7.1 Sanitary Survey Definition and Frequency
2.4.7.1.1 Definition
Sanitary survey means an on-site review of the water source, facilities, equipment, operation and
maintenance of a public water system for evaluating the adequacy of such source, facilities,
equipment, operation and maintenance for producing and distributing safe drinking water.
Clearly, the definition requires a comprehensive review of the entire water system from source to
treatment to storage and distribution, including operation and maintenance of all the system’s
facilities.
2.4.7.1.2 Sanitary Survey Frequency
The primacy agency must conduct sanitary surveys no less than once every three years for
community water systems and no less than once every five years for non-community water
systems to meet the requirements under Section 40 of CFR Part 142.16(o) (2) for groundwater
systems and under 40 CFR 142.16(b) for subpart H systems. Subpart H systems are those whose
sources include surface water or Ground Water Under the Direct Influence of Surface Water
(GWUDI) or both.
Primacy agencies may choose to conduct sanitary surveys more frequently than the minimum
requirements. The state may also conduct surveys in a phased approach, evaluating specific
elements over multiple visits; however, the state must evaluate all eight elements within the
required period. Primacy agencies may reduce the frequency of sanitary surveys of community
2-6
water systems to once every 5 years if the system meets either of the following requirements. (1)
The water system must provide at least 4-log treatment of viruses (using inactivation, removal, or
a primacy agency-approved combination of 4-log inactivation and removal) before or at the first
customer for all its ground water sources. (2) The water system must have an outstanding
performance record (as determined by the primacy agency and documented in previous sanitary
surveys) and have no history of total coliform MCL or monitoring violations since the last
sanitary survey.
2.4.7.2 Deficiencies, Defects and Significant Deficiencies
Sanitary deficiencies are defects in a water system’s infrastructure, design, operation,
maintenance, or management that cause, or may cause interruptions to the “multiple barrier”
protection system and adversely affect the system’s ability to produce safe and reliable drinking
water in adequate quantities.
A sanitary defect, as defined in 40 CFR 141.2, is “a defect that could provide a pathway of entry
for microbial contamination into the distribution system or that is indicative of a failure or
imminent failure in a barrier that is already in place.”
The Ground Water Rule introduced the definition for significant deficiencies for systems using
ground water under 40 CFR 142.16(o)(2)(iv):
Significant deficiencies are serious sanitary deficiencies identified in water systems which
include, but are not limited to, defects in design, operation, maintenance, or a failure or
malfunction of the sources, treatment, storage, or distribution system that the primacy agency
determines to be causing, or has potential to cause, the introduction of contamination into the
water delivered to consumers.
The Ground Water Rule also requires primacy agencies to define at least one significant
deficiency for each of the 8 essential elements of a sanitary survey.
For subpart H systems, the regulations are not as prescriptive. Under 40 CFR 142.16(b)(1)(ii):
The State must describe how it will decide whether a deficiency identified during a sanitary
survey is significant for the purposes of paragraph (b)1)(ii) of this section.
Paragraph (b)(1)(ii) requires:
States must … assure that PWSs respond in writing to significant deficiencies outlined in
sanitary survey reports … no later than 45 days after receipt of the report, indicating how and
on what schedule the system will address significant deficiencies noted in the survey.
2.4.7.3 Correcting Significant Deficiencies
Corrective action is required for any system with a significant deficiency identified by the
primacy agency (surface water treatment regulations, Ground Water Rule, and 40 CFR Part 142
National Primary Drinking Water Regulation Implementation).
2.4.7.3.1 Ground Water Systems
Per the Ground Water Rule, if the state identifies a significant deficiency at a ground water
system, the system must implement one or more of the following corrective action options:
2-7
• Correct all significant deficiencies.
• Eliminate the source of contamination.
• Provide an alternate source of water.
• Provide treatment, which reliably achieves 99.99 percent (4-log) inactivation or removal
of viruses.
Once the system receives written notification from the state, with findings of one or more
significant deficiencies, the system has 30 days from receipt of that written notification to
consult with the primacy agency regarding any required corrective actions. In many cases, the
primacy agency tells the system what actions need to be taken (not exactly how to correct
deficiencies) and gives the system a deadline in the original written notification, constituting the
consulting requirement. The system then has 120 days (or earlier if directed by the primacy
agency) from receipt of the original written notification to complete the required corrective
action or be on a plan and schedule approved by the primacy agency
2.4.7.3.2 Surface Water Systems
If the state identifies a significant deficiency at a surface water system, the system has 45 days
from receipt of written notification to respond to the primacy agency in writing concerning a
corrective action plan to address the significant deficiencies. The primacy agency determines the
schedule for completion.
Note: In order to maintain consistency within the sanitary survey program, many primacy
agencies use the same corrective action requirements regardless of the type of system. As long as
the primacy agency program is as stringent as the federal regulations, the state can use the same
requirements for both system types.
2.4.7.4 Siting Requirements: Advance Notification
Section 40 of CFR 141.5 requires water systems to notify the state before a new water system is
constructed or the capacity of an existing system is increased. The regulation also specifies that
the system should avoid siting in areas subject to earthquakes, floods, and fires.
The inspector should be alert to any changes made by the system without the primacy agency’s
approval. The inspector should evaluate all facilities, particularly wells, subject to flooding and
recommend protection, if lacking, for those facilities located in flood plains. EPA’s Flood
Resilience Guide: A Basic Guide To Water and Wastewater Utilities will prepare an inspector
for this task.
2.4.8 Total Coliform Requirements
2.4.8.1 Sample Site Plan
The Total Coliform Rule (TCR) and Revised Total Coliform Rule (40 CFR 141.21 & 40 CFR
141.802) require a water system to have a written sample siting plan that is subject to state
approval. The inspector must verify that the system has an approved plan and is using it. The
inspector must also evaluate the plan to determine if it meets the requirements of the RTCR. The
rule requires collecting samples “which are representative of water throughout the distribution
2-8
system.” The rule also contains a table that shows the minimum number of samples required
based on population served.
In reviewing the sample-siting plan, the inspector should note that more samples than the
minimum might be required in order to be “representative.” Some issues to be concerned with
include failing to meet CT at or before the first customer, dead ends, long residence time in the
system, multiple sources, storage tanks, areas of low pressure, biofilm, and cross-connections.
Furthermore, the inspector should review and document in the sanitary survey report the findings
from the Revised Total Coliform Rule special monitoring evaluation, which the inspector is
required to conduct during sanitary surveys for small ground water systems.
2.4.8.2 Reduced Monitoring
Sanitary surveys can be used to allow the RTCR monitoring frequency for certain community
systems serving fewer than 1,000 persons to be reduced to no less than one coliform sample per
quarter (40 CFR 141.21(a)(2)). Surveys also can be used as a basis for reduced monitoring for
certain non­community systems (40 CFR 141.21(a)(3)).
2.4.8.3 Variances
Primacy agencies may grant variances from the total coliform MCL if a system can demonstrate
to the state that a violation is due to persistent bacterial regrowth in the distribution system,
rather than from a treatment lapse, a treatment deficiency, or a problem in the operation or
maintenance of the distribution system (40 CFR 141.4(b)).
2.4.8.4 Sanitary Survey Instead of a Level 1 or Level 2 Evaluation
When monitoring results trigger a level 1 or level 2 assessment under RTCR, systems may have
a sanitary survey performed within 30 days. When this is triggered, special care must be made to
annotate sanitary defects, defined as “…a defect that could provide a pathway of entry for
microbial contamination into the distribution system or that is indicative of a failure or imminent
failure in a barrier that is already in place” (40 CFR 141.2). Additionally, the system must
correct any sanitary defect or have an approved schedule of corrective actions within 30 days
after triggering the assessment.
2.4.9 Ground Water Rule
Under 40 CFR Parts 9, 141.400 and 142, the Ground Water Rule addresses risks posed to
drinking water from microbiological contaminants in ground water sources through a risk-
targeting approach that relies on four major components:
1. Periodic sanitary surveys of ground water systems that require the evaluation of the
eight essential elements and the identification of significant deficiencies (e.g., a well
located near a leaking septic system). Primacy agencies were to complete the initial
survey by December 31, 2012 for most CWSs and by December 31, 2014 for CWSs
with outstanding performance and for all non-community water systems.
2. Source water monitoring to test for the presence of enterococci or coliphage in raw
source water samples. There are two monitoring provisions:
2-9
• Triggered monitoring: For systems that do not already provide treatment that
achieves at least 99.99 percent, (4-log) inactivation or removal of viruses and that
have a total coliform-positive routine sample under Total Coliform Rule sampling
in the distribution system.
• Assessment monitoring: As a complement to triggered monitoring, a primacy
agency has the option to require systems, at any time, to conduct source water
assessment monitoring to help identify high-risk systems.
3. Corrective actions required for any system with a significant deficiency or source
water fecal contamination. The system must implement one or more of the following
corrective action options:
• Correct all significant deficiencies.
• Eliminate the source of contamination.
• Provide an alternate source of water.
• Provide treatment, which reliably achieves 99.99 percent (4-log) inactivation or
removal of viruses.
4. Compliance monitoring to ensure that treatment technology installed to treat
drinking water reliably achieves at least 99.99 percent (4-log) inactivation or
removal of viruses at or before the first customer of each ground water source.
During the inspection and in addition to the check of source waters and components at ground
water systems, the inspector should examine the sanitary conditions around the source water
monitoring points. The inspector should determine whether the system has addressed past
significant deficiencies or source water fecal indicator positives using at least one of the four
required corrective actions listed in component #3 above.
For any systems approved for compliance (4-log) monitoring, the inspector should check the
sanitary conditions at the compliance monitoring point(s). The inspector should also review the
monthly operating report to make sure the system is monitoring disinfectant residuals as
required. In addition, the inspector should determine if any changes have occurred that would
require a re-evaluation of the minimum residual required to achieve 4-log before the first
customer for each ground water source (e.g., additional wells, changes to disinfection, additional
distribution line, new booster pumps, etc.).
2.4.10 Surface Water Treatment Rule
2.4.10.1 General Requirements
Subpart H of 40 CFR Part 141 (Filtration and Disinfection) contains requirements for the
filtration and disinfection of surface water supplies and ground water supplies under the direct
influence of surface water (defined as “subpart H systems”). The treatment technique
requirements consist of installing and properly operating water treatment processes that achieve
99.9 percent removal and/or inactivation of Giardia lamblia (G. lamblia) and 99.99 percent
removal and/or inactivation of viruses. Water systems have two ways of complying with the
Surface Water Treatment Rule (SWTR) requirements. They can meet all the filtration avoidance
criteria in 40 CFR 141.71 and provide 99.9 percent G. lamblia and 99.99 percent virus
2-10
inactivation by disinfection, or they can provide both filtration and disinfection that, in
combination, meet the removal/ inactivation requirements for G. lamblia and viruses.
2.4.10.2 Ground Water Under the Direct Influence of Surface Water
As noted above, systems that use ground water sources under the direct influence of surface
water are subject to the SWTR and, therefore, are included in the definition of subpart H systems.
The state may base its determination for direct influence on site-specific measurements of water
quality (such as the occurrence of insects, algae, or pathogens such as G. lamblia or
Cryptosporidium) or documentation of well-construction characteristics and geology with field
evaluations. A source subject to flooding, or the alteration of a stream course bringing it closer to
a well, might result in a change in water quality. During the survey, the inspector should evaluate
any conditions that might cause the state to alter its determination that surface water is
influencing a ground water source.
2.4.10.3 No Recontamination
Water cannot be subject to recontamination by surface water after treatment, for example, by
using open, uncovered finished water storage or transmission lines subject to runoff. During a
sanitary survey, the inspector should verify that treated water is not subject to recontamination
by surface water.
2.4.10.4 First Customer
The system must meet the removal and/or inactivation requirements at or before the first
customer. In many cases, the first customer is the treatment plant itself, and, in some cases, the
system may connect a new first customer to the distribution system. The inspector should
identify the first customer and ensure the system is meeting the requirements for removal and/or
inactivation at that point.
2.4.10.5 Entry Point Residual
The disinfectant residual entering the system cannot be less than 0.2 mg/L for more than 4 hours
and the system must provide continuous monitoring. The only exception is for systems that do
not provide filtration and serve fewer than 3,300 persons; such systems may take grab samples at
specified frequencies in lieu of continuous monitoring (40 CFR 141.74(b)(5)).
Table 2-1: Grab Samples Frequency by Population
System Size by
Population
Grab Samples
per Day
<500 1
501 - 1,000 2
1,001 - 2,500 3
2,051 - 3,300 4
2.4.10.6 Residual in the Distribution System
A disinfectant residual must be detectable in 95 percent of the distribution samples taken in the
system. Samples must be taken at the same time and place as coliform samples. Systems may
also use a heterotrophic plate count to determine disinfectant residual compliance. During the
2-11
sanitary survey, the inspector should verify the system meets all conditions for disinfection. The
inspector should also determine whether the system measures residuals at the proper locations
throughout the distribution system as well as at times required by specific regulations (e.g.,
TCR). Testing techniques should also conform to the rule.
2.4.10.7 Qualified Personnel
The SWTR requires that qualified personnel operate each subpart H system. Compliance with the
state’s operator certification program meets this requirement, and the inspector should verify
operator licenses during the survey.
2.4.10.8 Unfiltered System Requirements
To avoid filtration, a subpart H system must meet stringent source water quality and site-specific
conditions designed to ensure safe drinking water.
• Source quality conditions: Unfiltered systems must monitor raw source water
immediately before the first point of disinfection and have a fecal coliform concentration
of less than or equal to 20/100 mL, or a total coliform concentration of less than or equal
to 100/100 mL in at least 90 percent of all measurements over the previous 6 months. In
addition, the turbidity of the source water cannot exceed 5 Nephelometric Turbidity Units
(NTU) at the same sampling point (with some exceptions).
• Site-specific conditions: In addition to the source water quality conditions, systems
meeting the filtration avoidance criteria must comply with disinfection requirements that:
• Ensure 3-log G. lamblia and 4-log virus inactivation. The regulations specify CT values
that the water system must meet at or before the first customer.
• Provide redundancy of components or automatic shut-off when the residual is < 0.2
mg/L.
• Ensure a residual of 0.2 mg/L entering the distribution system.
• Provide a detectable residual in the distribution system when measured at the same time
and place where coliform samples are collected.
• Maintain a watershed control program that minimizes the potential for contamination by
G. lamblia, viruses, Cryptosporidium, and other pathogens.
• Be subject to an annual on-site inspection. On-site inspections for systems subject to the
filtration avoidance criteria are similar to sanitary surveys, and the state may accomplish
this during sanitary surveys. Items to be reviewed include:
• Effectiveness of watershed control.
• Condition of intake.
• Disinfection facilities and their operation and maintenance (O&M).
• Operating records.
• Effectiveness of disinfection.
• Needed improvements.
2-12
• Waterborne disease outbreaks.
• Compliance with MCLs for total coliform and Stage 1 disinfectants and disinfection
byproducts.
• Maintain compliance with the Total Coliform Rule and the Disinfectants/ Disinfection
Byproducts Rule.
During the sanitary survey, the inspector should review the system’s data on raw water quality
and its source water protection program. The inspector also should check the available CT for
compliance.
2.4.10.9 Filtered System Requirements
Systems providing filtration must meet the requirements described below.
2.4.10.9.1 Pathogen Filtration Performance Requirements
Systems that are unable to comply with all criteria to avoid filtration must meet the 3-log G.
lamblia and 4-log virus inactivation and/or removal requirements by using both an appropriate
filtration technology and disinfection. Systems must measure compliance with the treatment
technique requirements of the SWTR against turbidity performance criteria that is specific to the
type of filtration in use (subject to primacy agency approval) and adequate CT to inactivate the
remaining G. lamblia and viruses.
2.4.10.9.2 Turbidity Requirements
The regulations for surface water treatment establish minimum turbidity performance criteria for
the various filtration methods. Regardless of the filtration method, the turbidity level of filtered
water must never exceed 5 NTU.
2.4.10.9.3 Conventional and Direct Filtration
Filtered water turbidity must be less than or equal to 0.3 NTU in 95 percent of the measurements
taken every month. At the primacy agency’s discretion, levels less than or equal to 1 NTU may
be permitted in 95 percent of the measurements on a case-by-case basis. If the state permits
levels greater than 0.3 NTU at the system, the inspector should verify the system complies with
any conditions placed on it by the primacy agency, such as redundant disinfection facilities. The
turbidity level of representative samples of a system's filtered water must not exceed 1 NTU at
any time.
2.4.10.9.4 Slow Sand Filtration
Filtered water turbidity must be less than or equal to 1 NTU in 95 percent of the measurements
taken every month. A primacy agency may allow a higher level of turbidity if it determines that
there is no significant interference with disinfection at the higher turbidity level. The turbidity of
slow sand filter effluent must never exceed 5 NTU. The inspector should verify the system meets
these conditions if the primacy agency allows the system to exceed 1 NTU.
2-13
2.4.10.9.5 Diatomaceous Earth Filtration
Filtered water turbidity must be less than or equal to1 NTU in 95 percent of the measurements,
after all measurements for each month have been taken. The turbidity level of representative
samples must not exceed 5 NTU at any time.
2.4.10.9.6 Other Filtration Technologies
Alternative filtration technologies must be capable of consistently achieving 99.9 percent and
99.99 percent removal and/or inactivation of G. lamblia cysts and viruses, respectively. The
original SWTR requires systems using alternative filtration technologies to comply with the
turbidity performance criteria for slow sand filtration (40 CFR Section 141.73(b) and (d)). With
the promulgation of the Long Term 1 Enhanced Surface Water Treatment Rule in January 2002,
subpart H systems, regardless of population, must demonstrate to the primacy agency that
alternative technologies are capable of 99 percent Cryptosporidium, 99.9 percent G. lamblia, and
99.99 percent virus removal and/or inactivation. For systems that can make this demonstration,
the primacy agency establishes turbidity performance criteria at a level that ensures adequate
pathogen removal.
2.4.10.9.7 Turbidity Measurements
The inspector should verify that the water system is taking the required turbidity measurements,
that the results are accurate and reliable, that sampling frequency, locations, and analytical
procedures are appropriate, and that the turbidity readings comply with the SWTR requirements.
The inspector should check for compliance with CT requirements and ensure the system operator
is properly completing the daily calculations.
2.4.10.9.8 Operation and Maintenance
The inspector should verify the water system has in place all required filtration and disinfection
facilities and is properly operating and maintaining those facilities.
2.4.11 Interim Enhanced SWTR
Title 40 CFR Part 141, Subpart P, Enhanced Filtration and Disinfection (40 CFR 141.170-.175),
includes additional requirements for subpart H systems that serve 10,000 or more persons. These
requirements took effect January 1, 2001, and primarily address public health risks from
Cryptosporidium. They include:
• Turbidity limits that are more stringent for combined filter effluent from conventional
and direct filtration plants.
• Continuous monitoring of individual filter effluent in conventional and direct filtration
plants.
• Follow-up actions for exceeding “trigger” turbidity levels in two consecutive
measurements taken 15 minutes apart at an individual filter for conventional and direct
filtration plants.
• Requirements for all filtered systems to remove 99 percent (2-log) Cryptosporidium
cysts.
• Disinfection profiling and benchmarking.
2-14
• Measures to control Cryptosporidium in the watersheds of unfiltered systems meeting the
criteria for avoiding filtration.
Inspectors should check to see if systems that are required to prepare disinfection profiles have
actually done so. Water systems must retain disinfection profile data in a graphical format
acceptable to the state for review during the survey regarding any significant changes to
disinfection practices, planned or otherwise. As part of IESWTR, the inspector must also
designate in the sanitary survey report any sanitary deficiencies deemed by the state to be
“significant” deficiencies. Inspector follow-up is then necessary to ensure the system responds in
writing and addresses the significant deficiencies.
2.4.12 Long Term 1 (LT1) Enhanced SWTR
The rule applies requirements similar to those of the IESWTR to systems that use surface water
or ground water under the direct influence of surface water and serve fewer than 10,000 persons.
2.4.13 Long Term 2 (LT2) Enhanced SWTR
This rule requires monitoring of raw source water to determine if levels of Cryptosporidium exist
in quantities high enough to warrant additional treatment. Depending on the calculated average,
public water systems could be required to provide additional treatment that achieves an
additional one, two, or 2.5 log removal/inactivation of Cryptosporidium. Systems serving less
than 10,000 people have the option to monitor each source for E. coli as a surrogate and would
only monitor for Cryptosporidium at sources with an average result of all 52 biweekly samples
exceeding the appropriate trigger level.
2.4.14 Filter Backwash Recycling Rule
The inspector should determine whether direct and conventional filtration plants recycle spent
filter backwash water, sludge thickener supernatant, or liquids from dewatering processes. Plants
that recycle regulated flows must bring them back to the head of the plant (after June 1, 2003) or
to an alternative location approved by the primacy agency. The primacy agency also determines
if treatment or equalization of the recycle stream is necessary. The inspector should also make
sure the plant complies with the rule’s monitoring and reporting requirements.
2.4.15 Lead and Copper Rule
Under 40 CFR 141.80 to 91, community and non-transient, non-community water systems must
collect first-draw samples from strategically located service connections and have them analyzed
for lead and copper. If the levels of lead or copper exceed action levels (0.015 mg/L for lead and
1.3 mg/L for copper) in more than 10 percent of the required samples, the system must take
corrective action.
The inspector should verify that the system has taken the required first-draw samples at sites
from its monitoring plan and that the plan is up to date. It is particularly important with small
systems to make sure they are sampling at appropriate locations and times. Small schools, for
example, often sample at the beginning of the school year usually from taps not used for weeks
or months; they then exceed action levels because of the excessive time water was in the line.
Schools and other non-transient systems must take samples from taps used for drinking and not
utility sinks or hose bibs.
2-15
When monitoring results exceed either of the action levels, the inspector must ensure that the
system has taken appropriate follow-up corrective actions, including optimal corrosion control
studies and treatment when necessary.
2.4.16 Stages 1 and 2 Disinfectants and Disinfection Byproducts (D/DBPs)
Community and non-transient, non-community systems that chemically disinfect their water
must meet the requirements of 40 CFR Part 141, subparts L and V, Disinfectant Residuals,
Disinfection Byproducts, and Disinfection Byproduct (DBP) Precursors Rule (DBPR). Portions
of subpart L also apply to transient, non-community systems that use chlorine dioxide.
Components of subpart L and V that inspectors must be aware of include:
• MCLs for disinfection byproducts including bromate and chlorite as well as MCLs based
on locational running annual averages (LRAAs) for total trihalomethanes (TTHMs) and
haloacetic acids (HAA5s).
• Maximum residual disinfectant levels (MRDLs) for chlorine, chloramines, and chlorine
dioxide.
• Monitoring plan requirements.
• Enhanced coagulation and enhanced softening requirements to address DBP precursors
for subpart H systems that have conventional or softening plants.
• Operational Evaluation Level (OEL) requirements: An OELreport is required if the OEL
is exceeded. See 40 CFR 141.626 for the OEL definitions for TTHM and HAA5.
Each system affected by this rule must develop and implement an approved monitoring plan. The
system must then maintain the monitoring plan and make it available for inspection by the
primacy agency and customers (systems serving more than 3,300 persons must submit their plans
to the primacy agency). The inspector should review the monitoring plan while on site to ensure
that monitoring is in accordance with the rule.
2.4.17 Inorganic and Organic Chemicals
Community and non-transient, non-community systems are required to monitor for inorganic and
organic chemicals as found in 40 CFR 141.23 and 40 CFR 141.24, respectively. For both groups
of contaminants, samples are required at the entry points to the distribution system. Inspectors
should verify that the system appropriately monitors all sources (including emergency sources) at
their entry points. It is important to note that transient, non-community systems are required to
monitor for nitrate and nitrite.
2.4.17.1 Waivers
Under certain conditions, states may grant waivers to water systems from monitoring
requirements (including reduced or no monitoring) for volatile, synthetic and inorganic
chemicals. The primacy agency may grant “use” waivers based on knowledge of previous use of
a contaminant including application, manufacture, transport, storage or disposal. Additionally,
the primacy agency may grant a waiver based on resistance to sources of contamination and
wellhead or watershed protection. The inspector should review any waivers during initial
preparation and evaluate any of these factors during the survey. If conditions have changed, the
2-16
primacy agency may have cause to reconsider a waiver previously granted or to grant a new
waiver.
• The system must monitor for asbestos, unless the state has issued a waiver, at a tap served
by asbestos cement pipe. The inspector should verify this information.
• The state bases reduced monitoring for inorganic chemicals on factors that can affect
contaminant concentrations. These include:
• Changes in ground water pumping rates.
• Changes in the system’s configuration.
• Changes in the system’s procedures for operations.
• Changes in stream flow or characteristics.
• Changes in local land use.
2.4.18 Radiological Contaminants
Community water systems are required to sample for radiological contaminants. Samples are
required at the entry points to the distribution system. Inspectors should verify that systems are
appropriately monitoring all sources (including emergency sources) at their entry points. The
inspector should review compliance with radiological monitoring requirements while on site or
when reviewing the system’s files, prior to the sanitary survey.
2.4.19 Direct and Indirect Additives
2.4.19.1 Contaminants Not Regulated
During a sanitary survey, the inspector must be alert to contaminants other than those regulated
under national primary or secondary regulations. Of particular concern are contaminants the
system may introduce to the water during the processes of collecting, treating, storing, or
distributing.
2.4.19.2 Treatment, Chemicals, and Coatings
Water systems are responsible for assuring treatments, chemicals, and coatings in contact with
drinking water meet certain industry consensus standards for water contact or treatment.
Agencies or other non-governmental organizations acceptable to the primacy agency can provide
certification standards for products intended for contact with potable water.
2.4.19.3 40 CFR 141.111
EPA regulations place limits on two contaminants that may be contained in organic polymers
used in coagulation and filtration. The water system must annually certify to the primacy agency
in writing that the dose and monomer level do not exceed the following:
• Acrylamide, 0.05 percent dosed at 1 ppm.
• Epichlorohydrin, 0.01 percent dosed at 20 ppm.
During a survey, the inspector should determine that the system is complying with these
requirements.
2-17
2.4.19.4 NSF Standard 60
NSF International is the organization responsible for developing Standard 60, which covers
direct additives to drinking water. Examples of direct additives include water treatment
chemicals such as chlorine, polymers, coagulants and aids, fluoride compounds, copper sulfate,
and corrosion control chemicals.
2.4.19.5 NSF Standard 61
NSF Standard 61 covers indirect additives. This category of additives includes products that
come into contact with drinking water or into contact with treatment chemicals, such as filter
media, coatings, liners, solvents, gaskets, welding materials, pipes, fittings, valves, chlorinators,
and separation membranes. Systems can identify NSF Standard 60 or 61 certified products by
markings directly on the product or on their packaging. Lists of certified products are available
from the certifying agencies.
2.4.19.6 State Requirements
Although there are no federal regulations requiring that additives used must meet NSF Standards
60 and 61, many states have or will adopt such requirements. In any event, the inspector should
determine if the system uses additives specifically designated for use with potable water and is
aware of the certification program for those additives.
2.4.20 Operator Certification
EPA guidelines specify minimum standards for the certification and recertification of operators
of community and non-transient, non-community public water systems. All states have
requirements that meet the EPA guidelines. The inspector should always check to ensure each
system complies with the state requirements.
2.4.21 Recordkeeping
There are a number of general recordkeeping requirements specified in 40 CFR 141.33. In
addition, SWTR (40 CFR 141.75) and the Lead and Copper Rule (LCR) (40 CFR 141.91) have
specific requirements. The inspector should verify and evaluate the availability of these records
for each applicable rule at the water system during a sanitary survey.
2.4.21.1 Other Records
In addition to records required by federal regulation, the water system should maintain a variety
of other records to ensure the continual proper operation and maintenance of the system. These
include monitoring plans for disinfectants and disinfection byproducts; disinfection profiles;
maps of the system; as-built plans; and water quality data from source, treatment, and
distribution. The inspector should evaluate the availability and security of these records during
the survey.
2-18
Table 2-2: Records and Retention Schedule
Records to Keep Retention Period
Bacteriological analyses 5 years
Chemical analyses 10 years
Actions to correct violations 3 years
Sanitary survey reports 10 years
Variance or exemption 5 years
Turbidity results 10 years
All lead/copper data 12 years
Monitoring plans for TCR, LCR & Stage II DBPR As long as subject to the rule(s)
2.4.21.2 Data Integrity
SDWA and its regulations require self-monitoring and self-reporting by water systems to show
compliance with the regulations. The consequences of non-compliance can be severe (e.g.,
compliance orders and penalties). Errors in information reported to the state can result from
ignorance of proper testing procedures and instruments that are out of calibration. Data
falsification is rare, but serious. During a survey, the inspector should be alert to intentional or
unintentional errors in data. Chapter 13 provides more information on data integrity.
2.4.22 Variances, Exemptions, and Orders
Variances, exemptions, and compliance orders contain provisions that require the public water
system to comply with certain conditions. (For example, a compliance order will normally
include a schedule.) The state can use a sanitary survey to determine a system’s progress in
complying with these conditions. The primacy agency can also use sanitary surveys to
determine, case by case, the need for, and the possible conditions that may be set forth in, a
variance, exemption, or order.
2.5 Sanitary Deficiency Questions and Considerations - Regulations
1. Is the information in the primacy agency files on population served and number of
service connections accurate?
2. Is the information on the status of the system correct (i.e., is it large enough to be a
public water system, and is its classification as CWS, TNCWS , or NTNCWS
correct)?
3. Is the system in compliance with various provisions of the NPDWRs, including
siting of facilities, coliform monitoring, filtration and disinfection, lead and copper
corrosion control, organic and inorganic contaminants, and direct and indirect
additives?
2-19
4. Has the system modified its source, treatment process, chemicals used, or
distribution system without state approval?
5. Is the system using chemicals and coatings approved by ANSI/NSF or another third
party?
6. Do qualified operators staff the system?
7. Does the system maintain all appropriate records?
8. Does the system comply with conditions set forth in any waivers, variances,
exemptions, or orders?
9. Does the system have a written monitoring plan for disinfectants and disinfection
byproducts?
10. Was the system required to prepare a disinfection profile? If so, is it available for
review?
2.6 Significant Deficiency Examples
All significant deficiencies listed below are examples only. Each primacy agency may have
identified a different set of significant deficiencies than those listed. The primacy agency
determines both significant deficiencies, and the corresponding corrective actions.
• No or inadequate site maps for:
• TCR.
• LCR.
• Stage 2 DBPR.
• Chemical monitoring.
• Inadequate or incorrect sample point(s).
• Not using NSF-approved materials or additives.
• Not abiding by the records retention policy.
• Recycled water not flowing back to head of plant.
• Insufficient or no qualified operators.
• Incorrect CT calculation under the Ground Water Rule.
3-1
3 Ground Water Sources
Inspectors should determine the safety and reliability of any ground water source during the
sanitary survey. Ground water sources, such as wells and springs, are the first safety barrier in
the multiple-barrier approach including the prevention of waterborne diseases.
3.1 Learning Objectives
By the end of this chapter, students should be able to:
• Evaluate the safety, adequacy, and reliability in terms of quantity and quality of ground
water sources.
• Evaluate the adequacy of well head protection.
• Review the key components of wells and springs.
• Identify the key data required to determine sanitary deficiencies.
• Recognize sanitary deficiencies associated with facilities, operations, maintenance,
management, and contingency planning.
• Identify improper well construction and equipment installation.
• Determine compliance with federal, state, and local regulations.
Recognize ricks associated with extreme weather events, i.e., drought, flood, etc.
3.2 Data Collection
Generally, the inspector should collect enough data needed to evaluate the safety, adequacy, and
reliability of all water sources used by the system, including emergency sources. For example,
raw water quality data can help evaluate the safety of the source. Information about aquifer yield
and design flow rate is important to determine the capability to meet water demands. The
following narrative and sanitary survey questions discuss the types of data the inspector should
collect.
3.3 Regulations and Standards to Consider
Most of a system’s regulatory requirements focus on the quality of water entering the distribution
system. However, source water quality is a major part of the Safe Drinking Water Act (SDWA),
including the Ground Water Rule and Revised Total Coliform Rule.
3.4 Basic Ground Water Source Information
Ground water systems are the easiest of all the system types to operate and maintain, and they
usually require the least amount of training for operator certification, unless special treatment is
required (e.g., iron, manganese, arsenic, radionuclides or other regulated contaminants found in
the aquifer). Operators must still have the skills necessary to operate and maintain the system as
well as provide continuous disinfection, if required by the primacy agency.
Very small systems usually do not have much management structure. The operator is usually the
owner, meter reader, maintenance crew, bill collector and financier for the entire system. The
3-2
operator may also have other duties, including a full time job. This means that all the technical,
managerial and financial responsibilities for the system’s sustainability could very well fall on
the shoulders of one person who only operates the system on a part-time basis.
As a result, these very small systems tend to have more problems because the operator does not
understand or is not sufficiently diligent in finding and correcting sanitary deficiencies or even
understand why something is a deficiency (e.g., poor seal around the electrical wiring to the
submersible pump or a cracked, poorly constructed or missing well pad and tank maintenance).
They may also be apathetic toward the collection of routine total coliform and other samples.
3.5 Water Quantity
A range of factors affect water availability including, but not limited to, water loss, conservation,
extreme weather (drought, flooding, etc.), and security over a long-term planning horizon, such
as 15 to 20 years. The water system should demonstrate water availability in its capital
improvement program and planning documents.
The inspector should evaluate the capability of the system to meet the demands placed on each of
its applicable components. Demands exceeding available treatment capacity can cause
inadequately treated water to enter the distribution system. Similarly, inadequate pressure in the
system may exist when demand exceeds well pumping capacities (as well as the capacity of
transmission lines, pumps, distribution system piping, storage facilities, etc.).
Inadequate pressure affects consumers’ use of the water supply, hinders firefighting capabilities,
and creates opportunities for contaminants to enter the system through cross-connections.
Prolonged interruptions in water service represent a public health hazard. A general rule of
thumb for minimum water pressure is about 30 psi; however, primacy agencies set their own
standard.
3.5.1 Estimating Demand1
Water demand is the volume of water required by users to satisfy their needs. Water demand
varies from location to location and from day to day within a location. Demand also depends on
the time of day, the day of the week, the season of the year, prevailing weather conditions and
unusual events such as fires or mains breaks.
The water system should be recording the daily demand (or daily total flow rate) and should be
able to produce and understand average daily water demand (ADD), the maximum daily water
demand (MDD), and the hourly maximum demand (HMD). The inspector may calculate ADD,
MDD and HMD directly, if the system has historic daily flow records.
Alternatively, most primacy agencies have community water demand factors (expressed as
gallon per capita per day (GPCD) for estimating the ADD. Most primacy agencies also have
equations to estimate MDD as well as the HMD for various water systems as illustrated below.
The water demand factor (excluding firefighting) for most regions range from 120 to 300 GPCD
(depending on allowances for frequent lawn watering, swimming pool maintenance, industrial
and commercial process water, cooling water, etc.). Rural communities, for example, tend to use
1
See Appendix A for references on this topic, Water Treatment Plant Operation, Volumes I and II.
3-3
water primarily for residential purposes, so the water demand can be as low as 100 GPCD.
Calculate typical demand equations as shown:
ADD (GPCD) = community water demand factor (≈ 120 to 300 GPCD ) × customers.
MDD = 1.8 × ADD
HMD = 3 × ADD
The inspector should recognize the importance of the relationship between source water quantity
and storage. For example, when the water system provides bulk storage, the sources have to be
capable of providing at least the maximum daily demand. Water systems should provide enough
water storage for up to five days of ADD as necessary to cover emergencies such as electrical
outage, firefighting, and process maintenance. Storage facilities can provide water during periods
of high demand and can fill during periods of low demand.
On the other hand, manufacturers typically design hydropneumatic tanks to maintain acceptable
pressures while limiting the cycling of pumps. Hydropneumatic tanks often provide storage for
very small systems. The source yield and pumping must be capable of meeting the system’s
much higher maximum momentary demand. The inspector should be prepared to make
reasonably accurate estimates of probable water demands for a wide variety of types and sizes of
public water systems.
3.5.2 Emergency Demand
Many states require alternate sources of water in case of emergencies. For ground water systems,
these emergencies include well failures, catastrophic events (tornados, hurricanes, etc.), flooding
in well locations, aquifer depletion and contamination incidents around the wellhead or in the
aquifer itself.
System managers are responsible for planning, identifying and securing alternate sources of
water supply, and how the system would deliver water to the system’s customers. In fact, their
water system may serve as an alternate supply for another water system. Alternate sources might
include an interconnection to another system, use of inactive or backup wells, drilling a new
well, water tanker delivery, bottled water delivered to customers on an interim period, or other
means of safe water supply.
3.5.3 Sanitary Deficiency Questions and Considerations – Quantity
1. Is the safe yield sufficient to meet current and future demands?
Capital improvements may be necessary if average daily production approaches or
exceeds the design capacity of major system components (e.g., the safe yields of the
sources of supply or the raw water pumping and transmission, treatment, finished water
pumping, storage, and additional sources).
2. Is the quantity of the source adequate?
Given that a water system’s source is one of the first areas evaluated using the multiple
barrier approach, the key to ensuring the sustainability of the water system is for the
inspector to evaluate several factors that could affect the long-term viability of the source.
3-4
These factors may include system type, size, extreme weather conditions, storage
facilities used, and customer type.
Decreasing trends in quantity (i.e., aquifer depletion) are also important to note.
Operating records should provide this information, but the inspector must be prepared to
make reasonable estimates when operating records are not available.
The following questions will help the inspector assess the adequacy of source capacity.
• Does the system have plans or procedures to respond to variations in their source
water supplies?
• Does the system track or have data regarding aquifer levels, recharge areas
(watersheds) and related information for its sources?
• Has the system had to increase pumping depths in their wells or drill deeper
wells? Have any wells gone dry?
• Do operators monitor and maintain alternate/emergency supplies (e.g. intakes,
valves, pumps, consecutive connections) to assure good operational conditions?
• Are there constraints or limits on reserve or alternate sources (e.g. permits, water
rights, hydraulic limitations)?
• Does the capacity/flow of ground water source vary? If so, how does the system
meet demand during those periods?
• Are consecutive systems subject to reductions in supply due to wholesale supply
variations? If so, does the consecutive system have alternatives or contingencies
to meet demands?
3. Does the system have an operational master meter?
Without an operational and calibrated master meter, it is difficult for the utility to monitor
production accurately. Some systems meter the hours their pumps run. With this
information, the inspector can use pump curves to estimate production.
4. How many service connections are there? Does the system meter all service
connections?
This number of residential and other service connections gives the inspector an idea of
the size of the system in terms of number of homes and businesses served by the system.
Meters allow the system to calculate a water balance that may aide the system in
determining water loss, as well as determine demand estimates. There is also a
correlation between metered service connections and water conservation (i.e., the cost of
water as a function of the amount used).
If the primacy agency bases population served estimates on the number of connections
multiplied by a certain factor, the state should only include connections billed by the
system (e.g., exclude connections at vacant lots).
5. Does the system have interconnections with neighboring systems or a contingency
plan for water outages?
3-5
System plans to quickly correct causes of water outages are important to minimize
pressure drops in the distribution system and other potential adverse effects throughout
the system, especially in arid or drought-stricken areas. These plans should include
contact information and locations of the valves that interconnect the system with their
emergency source. Operators also need maps of valve locations to isolate sections of pipe
if a line break is the source of the outage. The inspector should ensure interconnections
are only to sources approved by the state.
6. Does the system have redundant sources?
Many states require community water systems supplied by ground water to have at least
two supply wells where each can independently meet demand, or an emergency
connection to another water system in case the primary source fails.
3.6 Water Quality
3.6.1 Source Contamination
The likelihood of contamination (depending on the well’s vulnerability and geology of the area)
increases as the proximity to potential sources of contamination (PSOCs) to the source increases.
Examples of PSOCs include septic tanks, construction projects, chemically treated agricultural
land, concentrated animal feeding operations, chemical storage areas, and industrial discharge.
Other sources of contamination include proximity to a lake or a stream, sewers, runoff from a
flooding event, iron, manganese, or other chemicals (e.g., arsenic, selenium, fluoride,
radionuclides, etc.) in soil and rock formations.
3.6.2 Sources of Impurities
The impurities in natural waters depend largely on the circumstances of the source and its
history. Water destined to become ground water may pick up impurities, including possible
contaminants, as it seeps through soil and rock. As a preliminary step for determining the
contamination risk, the inspector should refer to the system’s source water assessment, which
should have an inventory of potential contaminant sources and a determination of the well’s
vulnerability.
Uptake of minerals by water is common. The natural straining of water as it moves through soil
and aquifer material can remove some particulates, and, combined with a relatively long
retention period in the ground, often aids in removing and inactivating microorganisms. A long
retention time can, create problems. Purging naturally contaminated ground water typically
requires time and money.
3.6.3 Sanitary Deficiency Questions and Considerations – Quality
1. Does the system have a raw water tap and treated water tap on each well?
Under the Ground Water Rule, any total coliform positive sample in routine distribution
sampling triggers raw water sampling at the wells. Have any raw water samples
(compliance or non-compliance) indicated a problem?
2. Are there any abandoned, unused, or auxiliary sources?
3-6
Surface supplies or improperly abandoned wells physically connected to a water system
may constitute a public health threat, may be the source of a cross-connection or
otherwise provide a source of contamination. For example, any feed lines used to treat
raw water can create a cross-connection if the treatment inlet to the raw water does not
have a sufficient air-gap to prevent siphoning of raw water to finished water in the event
of a pump or power failure. This is, of course, a public safety risk (i.e., a cross-
connection). The system should physically disconnect raw water transmission lines from
abandoned sources. The system also should properly plug unused or abandoned wells in a
manner prescribed by state regulations to prevent contamination of the aquifer.
3.7 Wells
3.7.1 Utilities - Main Source
Ground water is a primary water source for many systems. It is readily available in most areas of
the country in sufficient quantities to meet the needs of small water systems. Ground water
generally has better microbiological quality than surface water. However, a number of ground
water systems have contamination issues due to erosion of natural deposits, improper
underground chemical storage tanks, agricultural chemical application, etc. Ground water often
requires little treatment prior to use, while surface water usually needs extensive treatment to
remove or inactivate bacteria, Giardia lamblia, Cryptosporidium and viruses as well as remove
organic material.
Figure 3-1: Components of a Drinking Water Well
3-7
3.7.2 Well Components
Inspectors will not be able to evaluate many well components because they are underground. The
following narrative describes some of the more important components.
3.7.2.1 Casing
A well casing prevents the collapse of the bore hole, keeps surface and subsurface pollutants
from entering the water source, provides a column of stored water for positive well pump suction
head, and houses the pump and its discharge pipe.
3.7.2.2 Grout
During construction, well drillers frequently fill the open annular space left around the outside of
the well casing with cement or bentonite clay grout. This grout prevents surface water and
shallow ground water from entering the well, and it prevents water from moving between
aquifers.
3.7.2.3 Screens
Screens installed at a well’s intake point hold back unstable aquifer material and permit the free
flow of water into the well. The well screen should be of good quality (e.g., good structural
properties, corrosion resistant, and hydraulically efficient). Where formation conditions are
suitable, many small systems use perforated or slotted casings in lieu of screens.
3.7.2.4 Sanitary Seal
Wellhead covers or seals at the top of the casing or pipe sleeve connections prevent
contaminated water and other material from entering the well. Several types of covers and seals
are available to meet the variety of conditions encountered, but the principles and objectives of
allowing free movement of air while excluding contamination are the same.
Figure 3-2: Lineshaft Turbine and Submersible Turbine
3-8
3.7.2.5 Pitless Units
Pitless adapters eliminate the need for a well pit. Design standards do not recommend a well pit
to house the pumping equipment or to allow access to the top of the well casing because the pits
can flood, introduce pollution hazards, and present confined space entry risks. Some states
prohibit the use of pits. A pitless adapter generally includes a special fitting designed for
placement on the side of the well casing. The well discharge piping is screw-threaded into the
fitting, providing a tight seal. The pitless system allows connection of the well piping to the
casing underground below frost depth and, at the same time, provides good accessibility to the
well pump and drop pipe for repairs without excavation.
3.7.3 Aquifer Classification
Confined (artesian) and unconfined (water table) define the two classifications of aquifers. The
distinction between the two is important in terms of the vulnerability of the aquifer to man-made
contamination. In a confined aquifer, the water is sandwiched between an upper and a lower
layer of impermeable material called an aquiclude. Clay, the most frequently encountered
aquiclude, forms a natural barrier to the upward or downward migration of ground water. This
barrier restricts the downward movement of contaminants from the surface into the confined
aquifer, protecting the wells and springs that draw water from it. Aquicludes also restrict
migration of contaminants from other aquifers above or below the confined aquifer. Because of
the protection provided to confined aquifers, their water is relatively invulnerable to
contamination.
Figure 3-3: Aquifer Types
3-9
3.7.4 Unconfined Aquifer Contamination
An unconfined aquifer rests on an aquiclude and has no confining layer above it. As a result,
percolation of precipitation and infiltration of surface water from streams, lakes, and reservoirs
carries water and contaminants from the surface into the aquifer. Therefore, water in unconfined
aquifers is comparatively vulnerable to contamination.
During the sanitary survey, the inspector should determine the adequacy of the system’s source
water protection program that may include an evaluation of resources devoted to the effort. The
inspector may also have to consider: Does the system have an actual program? Is the program
active? Is the program able to control sources of contamination identified in the source water
assessments? Has the system discontinued the program because the system was unable to
implement important tasks such as identifying or controlling sources of contamination?
3.7.5 Wellhead Protection Program
The Wellhead Protection Program (WHPP) is a pollution prevention and management program
used to protect underground sources of drinking water. Section 1428 of the 1986 SDWA
amendments established the national WHPP. The law specified states incorporate certain
program activities, such as delineation, contaminant source inventory, contingency planning, and
source management into their WHPPs. The law required EPA approval of the plans prior to
implementation, and all states have EPA-approved WHPPs. Although section 1428 applies only
to states, a number of tribes are implementing the program as well.
WHPPs provided the foundation for many of the state source water assessment programs
(SWAP) under the 1996 SDWA amendments (as referenced in Chapter 4 under Source Water
Protection). Most states also use the wellhead protection program as a foundation for assessing
and protecting ground water systems. State WHPPs vary greatly. For example, some states
require community water systems to develop management plans, while others rely on education
and technical assistance to encourage voluntary action. Other states have mandatory
requirements for wellhead protection at the local level.
Figure 3-4: Recharge and Zones of Influence
3-10
3.7.6 Sanitary Deficiency Questions and Considerations - Wells
1. Is the well in a confined or unconfined aquifer?
The inspector needs to know the class of aquifer to evaluate properly the source’s
vulnerability to contamination. Ask the operator or manager at the water system for the
name of the aquifer and its type or obtain them from well drilling records. Well logs
made during well drilling can indicate whether there are one or more confining layers
above the well screen. Confining layers may impede the flow of groundwater or
contaminants downward into the aquifer. The inspector may already know this
information from preparation work done prior to the survey but should ask anyway to
evaluate the operator’s knowledge of the source.
2. Is the well site subject to flooding?
The system should maintain the area around a well such that the grading directs any
surface water or runoff away from the well site. At the least, any openings in the well
casing should be located at least 3 feet above the 100-year flood elevation.
The Federal Emergency Management Agency (FEMA) can provide Flood Insurance Rate
Maps (FIRMs) through its National Flood Insurance Program. FIRMs show the base
flood elevation in a given area. The inspector may obtain information on flooding and
site drainage from the operator or through visual inspection, and flood-stage records.
The inspector should also be familiar with EPA’s Flood Resilience Guide: A Basic
Guide to Water and Wastewater Utilities, which outlines a simple, 4-step assessment
process to help and water utilities know their flooding threat and identify practical
mitigation options to protect critical assets.
3. Is the well located near any immediate or potential sources of pollution?
The appropriate state regulatory agency should be consulted for its policy concerning
well location, particularly the minimum protective distances between the well and
sources of existing or potential pollution. Table 3-1 provides examples of typical
minimum distances. These distances are based on general experience and do not
guarantee protection from contamination. The information in the table makes no
distinction between unconfined and confined aquifers, although confined aquifers are
typically much better at reducing vulnerability. The water purveyor should provide even
greater protection where possible. The table applies to properly constructed wells with
the protective casing set to a depth of at least 20 feet below the ground surface. Other
types of wells require special considerations.
3-11
Table 3-1: Example Minimum Distances between Wells and Pollution Sources
Source Feet from Well
Watertight Sewers 50
Other Sewers 100
Septic Tanks 100
Sewage Field, Bed, or Pit 200
Animal Pens and Yards 200
Consult the state regulatory agency for special local requirements.
Figure 3-5: Sample Minimum Distances from Well to Pollution Sources
4. Look for Other Sources.
During the sanitary survey, inspectors should also be alert for potential sources of
contamination, other than those listed above. Fuel and chemical storage facilities and
transmission lines are important sources to evaluate. Pollution from these sources can
travel much farther than pollution from the sources in the table and illustration above.
The inspector should evaluate on-site water treatment chemical storage and fuel tanks as
well as off-site sources. Spills and highway runoff that contain petroleum products or
deicing salt can contaminate shallower wells nearby. The application of fertilizers and
other chemicals in rural areas, and the proximity of sources to cultivated fields and golf
courses are additional considerations.
3-12
Figure 3-6: Potential Contamination Sources
5. How deep is the well?
The greater the depth of the aquifer being used, the less chance there is that surface
contamination will degrade water quality. Deeper aquifers generally have a more
consistent quality of water.
6. Is drawdown measured?
Drawdown is the difference between static water levels and pumping water levels.
Measuring drawdown is important because changes in static water level or drawdown can
indicate problems in the aquifer (declining water levels) or pump. Such changes also can
indicate well encrustation. The operator should be regularly measuring drawdown and
recording the results.
7. What is the depth of the casing?
The casing must be strong enough to resist the pressures exerted by the surrounding
formation and corrosion by soil and water environments. The casing should extend above
potential levels of flooding and be protected from floodwater contamination and damage.
8. What is the depth of grouting?
Specific grouting requirements for a well depend on surface conditions, especially the
location of pollution sources, and subsurface geologic and hydrologic conditions. To
achieve the desired protection against contamination, ask the operator if the annular space
is sealed to whatever depth is necessary, but in no case less than 20 feet.
3-13
Figure 3-7: Typical Lineshaft Turbine Installation
9. Does the casing extend at least 18 inches above the floor or ground?
This provides protection against surface runoff or drainage problems. State design and
construction standards typically recommend 18 inches when there is no potential for
flooding – due in part to dust sized vector protection.
10. Is the well properly sealed?
Wellhead covers or sanitary seals at the top of the casing or pipe sleeve connections
prevent contaminated water and other material from entering the well. Well covers and
pump platforms should be elevated above the adjacent finished ground level and sloped
to drain away from the well casing.
11. Does the well vent terminate 18 inches above the ground or floor, or 3 feet above
maximum flood level with return bend facing downward and screened?
This is necessary to keep water (from water-cooled bearings, for example), dust, insects,
and animals out of the well casing.
12. Does the well have a suitable smooth-nozzle raw-water sampling tap?
This is important to take raw water samples. Though a state may not prohibit their use, a
threaded tap can introduce contaminants through the attachment of a hose, creating a
cross-connection.
13. Do check valves, blow-off valves, and water meters function properly and does the
system maintain them?
Operators should maintain, operate and regularly exercise valves to prevent contaminants
from entering the well and to assure all valves open and fully close when needed.
14. Has the system properly protected the upper termination of the well?
3-14
The water system should protect the upper termination of the well with either a small
building (well house) or a security fence to protect it from vandalism and vehicle
damage. The area should be sloped away from the well to prevent surface water from
draining toward the casing.
15. Does the system provide lightning protection?
Lightning surges can develop in power lines during thunderstorms. Such surges can
damage pump motors, resulting in loss of water supply and costly repairs. To protect
against this, the system can install lightning arresters where electrical service lines
connect to service entrance cables, or at the motor control box. The system can also use
multi-ground arrangements to protect the entire pump and well against damage.
16. Is the pump intake located below maximum drawdown?
Locating the pump intake below maximum drawdown prevents the pump from running
dry and protects against the pumping of contamination from upper portions of the water
table.
17. Are foot valves and check valves accessible for cleaning?
As with aboveground valves, the operator must maintain these valves and keep them
operational to prevent the backflow of distribution system water into the well.
3.8 Springs
3.8.1 Safe Capture
To properly develop a spring as a source of supply, the system must capture the natural flow of
ground water below the ground surface in a way that does not contaminate the water. Springs are
subject to contamination by wastewater disposal systems, animal wastes, and surface drainage. If
not mitigated, the state may classify these springs as a “Subpart H” surface water source subject
to requirements of the Surface Water Treatment Rules (SWTRs.)
3.8.2 Spring Types
Springs may be gravity or artesian. Gravity springs occur where a water-bearing stratum overlays
an impermeable stratum and outcrops to the surface. The water permeates at the point where the
impermeable stratum outcrops. They also occur where the ground surface intersects the water
table. This type of spring is particularly sensitive to seasonal fluctuations in ground water storage
and frequently dwindles or disappears during dry periods. Gravity springs are characteristically
low-yielding sources, but when properly developed they may be satisfactory for small water
systems.
Artesian springs discharge from openings in the confining layers of artesian aquifers. They may
occur where a fault ruptures the confining formation over the artesian aquifer. Artesian springs
are usually more dependable than gravity springs, but they are particularly sensitive to the
pumping of wells developed in the same aquifer. Consequently, pumping of nearby wells, as
well as seasonal flow variations, may reduce or eliminate flow to artesian springs.
3-15
3.8.3 Criteria for Selection
Important criteria for spring sources include selection of a source with acceptable water quality,
development to provide the required quantity of water, and sanitary protection of the spring
collection system. Water systems must develop springs based on prevailing geological
conditions.
3.8.4 Spring Source Collection System
3.8.4.1 Perforated Pipe
A system of perforated pipes, driven into the water-bearing stratum or laid in gravel-packed
trenches, intercepts spring flow. This collection of pipes then directs the flow into a storage tank.
As an alternative, a watertight concrete collection chamber, constructed with openings in the
bottom, a sidewall, or both, intercepts the flow. This chamber may also serve as a storage tank.
Where possible, the walls of the collection chamber should extend to bedrock or into an
impervious stratum. The watertight walls should extend at least 2 feet above the finished ground
level to prevent surface water from entering. An overlapping (shoebox) cover prevents the
entrance of debris.
3.8.4.2 Spring Box
Constructed in place out of reinforced concrete, the spring box is designed to intercept as much
of the spring as possible. When a spring is located on a hillside, the downhill wall and sides
extend downward to bedrock or impervious soil to ensure that the structure holds back water to
maintain the desired level in the chamber. Systems may use supplementary cutoff walls of
concrete or impermeable clay to assist in controlling the water table near the tank. The lower
portion of the uphill wall of the tank must have an open construction to allow water to move in
freely while holding back aquifer material. Back filling with graded gravel helps restrict the
movement of aquifer material.
3-16
Figure 3-8: Example of a Spring Collection System
At the completion of construction, the system should maintain an area around the spring box,
covered with an impermeable material (clay or membrane). This area should be sloped away to
prevent surface water from entering the collection system.
3.8.4.3 Spring Box Cover
The tank’s manhole should have a shoebox designed cover framed at least 4 inches, and
preferably 6 inches, above the surface of the roof to ensure a good fit. The opening should be
fitted with a hinged, lockable, watertight cover that extends down the frame at least 2 inches. The
inside of the cover, usually has a rubber gasket to provide the seal and should be pliable. When
the spring box is covered, the manhole should be elevated 24 to 36 inches above the covering
sod.
3.8.4.4 Drain Pipe
A pipe passing through a wall of the spring box at the floor level with an exterior valve allows
draining when the interior of the tanks needs cleaning or an inspection. The end of the pipe
should extend far enough to direct water away from the spring box and should freely discharge
onto a drain apron to prevent erosion. The valve works to exclude small animals and insects, so
there may or may not be a screen depending on state requirements.
3.8.4.5 Overflow
The tank should also have an overflow pipe placed slightly below its maximum water level
elevation that discharges any overflow away from the spring box onto a drain apron to prevent
3-17
erosion. The overflow pipe could allow insects and small animals direct access to the water in
the tank unless a 24-mesh screen covers the discharge end of the pipe. A flapper cover alone may
not be adequate protection as debris, ice or snow can prevent the flap from completely closing.
3.8.4.6 Intake to System
Water flows through a screened intake line located about 6 inches above the floor of the tank to
provide water to the distribution system. The inspector should examine the area between the
intake pipe and the concrete structure for signs of leakage.
3.8.5 Sanitary Deficiency Questions and Considerations – Springs
1. Has the system protected the recharge area?
Activities in the recharge area and the degree to which they are controlled can affect the
quality of the water source.
2. What is the nature of the recharge area?
Is it industrial, agricultural, forested, or residential? Different types of activities
potentially subject the spring to pollutants from land uses, spills, and runoff.
3. Is the site subject to flooding?
Does the grade direct surface water and runoff away from the spring? The system should
maintain a proper grade to avoid introducing surface water into a spring.
4. Is the supply intake adequate?
Is the supply intake properly located, and is the tank-side of the intake screened? The
screen and location reduces the withdrawal of sludge or debris that may build up in the
chamber. Ask the operator to pump water from the chamber through a blow-off valve, if
available, to see if sludge or otherwise discolored water is visible, which would indicate
the tank needs cleaning. If larger debris particles are present, the screen on the tank side
of the intake is either damaged or missing.
5. Does the system provide adequate site protection?
The following precautionary measures help ensure spring water of consistently high
quality:
• Locate a surface drainage ditch uphill from the source to intercept surface water
runoff and carry it away from the source. Springs close to agriculturally
developed land treated by pesticides and herbicides may be particularly
susceptible to contamination.
• Provide security fencing, locked covers, and warning signs for protection from
stray livestock and from tampering.
6. Is the spring box properly constructed?
The spring box should be watertight to prevent the inflow of undesirable water. The
spring box cover should be overlapping, impervious, and lockable. Are drain and
overflow pipes properly constructed? Do they discharge onto a concrete apron or other
3-18
suitable material that prevents erosion and directs water away from the spring box? The
drain valve provides protection from small animals and insects so the water system may
or may not have it screened depending on state requirements. The system may have a
flapper valve on the end of the overflow to exclude small animals and insects, but the
operator should also have installed a 24-mesh screen in case debris, ice or snow props
open the flap.
7. What conditions cause changes to the quality of the water?
A good indicator that surface water is reaching the spring is a marked increase in
turbidity or flow after a rainstorm. The inspector should, for this and any other observed
contamination issues, determine if the spring is a GWUDI system subject to the SWTRs.
3.9 Special Monitoring Evaluation
During each sanitary survey, the inspector must conduct a special monitoring evaluation for all
ground water systems serving 1,000 or fewer people. The special monitoring evaluation is a
Revised Total Coliform Rule requirement where the inspector must assess the appropriateness of
the sampling frequency, number of samples, sample locations and collection dates based on new
data from the sanitary survey.
The inspector should determine how effective the source, treatment and distribution barriers are
regarding protection from contamination, and then modify the sampling as needed for public
health protection. In addition, the inspector may need to change the sampling sites and frequency
for any of the following reasons as determined during the survey:
• Increase in population.
• New distribution system areas served.
• New storage tanks.
• Deterioration of water system infrastructure.
• Concentration of immunocompromised customers in a geographic location.
3.10 Significant Deficiency Examples for Ground Water Sources
All significant deficiencies listed below are examples only. Each primacy agency may have
identified a different set of significant deficiencies than those listed. The state (primacy agency)
determines both significant deficiencies and the corresponding corrective actions.
• No or inadequate access buffer (restricted area) around well.
• No emergency or secondary well.
• Openings, holes, pitting, corrosion on well casing, subjecting the well to surface water
contamination.
• Bad seal around electrical conduit to submersible pump.
• No air venting of the well to prevent creating a vacuum within the well, which could
draw in water of questionable quality from upper strata.
3-19
• No or cracked well pad, erosion under/around the pad, pad not sloped away from casing,
or pad too small.
• Improperly constructed spring boxes, including cracks, holes, or lack of seal around
electrical conduit. No means of locking access hatch.
4-1
4 Surface Water Sources
A public water systems’ source water is the first area of protection in the multiple-barrier
approach to achieve safe drinking water. Inspectors should determine the quality, adequacy and
reliability of the source during a sanitary survey.
4.1 Learning Objectives
By the end of this chapter, students should be able to:
• Evaluate the surface water source adequacy and reliability in terms of quantity and
quality, especially considering impacts from extreme weather events such as flooding and
drought.
• Understand the Source Water Assessment Plan (SWAP) for relevant information.
• Identify surface water source sanitary deficiencies.
• Evaluate surface water intake adequacy.
• Evaluate roof catchment sanitary deficiencies.
• Determine compliance with federal, state, and local regulations.
4.2 Data Collection
Generally, the inspector should collect enough data needed to evaluate the safety, adequacy, and
reliability of all water sources used by the system, including emergency sources. For example,
raw water quality data help evaluate the safety of the source. High raw water turbidity or
coliform indicates problems with source quality and may assist in regulatory compliance
determinations. Information on surface water treatment plant (SWTP) design flow rate (or
capacity) is important to determine adequacy to meet specific water demands. The following
narrative and sanitary survey questions discuss the types of data the inspector should evaluate.
4.3 Regulations and Standards to Consider
Most of the regulatory requirements focus on the quality of water entering the distribution
system. However, surface water quality is a major part of the Long Term 2 Enhanced Surface
Water Treatment Rule and the Stage 2 Disinfectant/Disinfection Byproducts Rule. See Chapter 2
of this Guide for more information on these and other applicable rules.
4.4 Basic Surface Water Source Information
Surface sources used by water systems require consideration of additional factors not usually
associated with ground water sources. When water systems use rivers, streams, open ponds,
lakes, or open reservoirs as sources of water, the danger of contamination and spread of intestinal
diseases such as cholera, typhoid fever, cryptosporidiosis, giardiasis and dysentery generally
increase.
The physical, chemical, and bacteriological contamination of surface water make it necessary to
regard such sources as unsafe for domestic potable use unless surface water treatment, including
filtration and disinfection, is provided. However, some states allow water systems to avoid
4-2
filtration so long as the system meets all avoidance criteria defined in the SWTR. A public water
system that uses surface water or GWUDI must disinfect.
The treatment of surface water to ensure a constant, safe supply requires diligent attention to
operation and maintenance by the system’s owner and operator. Principal surface water sources
that may be developed or controlled include catchments, ponds or lakes, surface streams, and
irrigation canals. Except for irrigation canals, where flows depend on irrigation activity, these
sources derive water from direct precipitation over the drainage area.
4.5 Water Quantity
The value of a reservoir (pond or lake) as a source includes its ability to store water during wet
periods for use during times of little or no precipitation. According to “Recommended Practices
for Water Works” (10-State Standards), the quantity of water at the source shall:
• Be adequate to meet the maximum projected water demand of the service area as shown
by calculations based on a one in fifty year drought or the extreme drought of record, and
should include consideration of multiple year droughts. Requirements for flows
downstream of the intake shall comply with requirements of the appropriate reviewing
authority.
• Provide a reasonable surplus for anticipated growth.
• Be adequate to compensate for all losses such as silting, evaporation, seepage, etc.
• Be adequate to provide ample water for other legal users of the source.
A range of factors affect water availability including, but not limited to, water loss, conservation,
extreme weather events, and security over a long-term planning horizon, such as 15 to 20 years.
The water system should demonstrate water availability in its capital improvement program and
planning documents.
For multiple reservoirs located on a river, water systems and primacy agencies must be cognizant
of drought conditions at upstream reservoirs that may limit discharge from those reservoirs,
ultimately affecting flow into downstream reservoirs.
The inspector should evaluate the capability of the system to meet the demands placed on each of
its applicable components. Demands exceeding available treatment capacity can cause
inadequately treated water to enter the distribution system. Similarly, inadequate pressure in the
system exists when demand exceeds the source capacity (as well as the capacity of transmission
lines, pumps, distribution system piping, storage facilities, etc.).
Inadequate pressure affects the consumers’ use of the water supply, hinders firefighting
capabilities, and creates opportunities for contaminants to enter the system through cross-
connections. Prolonged interruptions in water service represent a public health hazard. A general
rule of thumb for minimum water pressure is about 30 psi; however, primacy agencies set their
own standard.
4.5.1 Estimating Demand
Water demand is the volume of water required by users to satisfy their needs. Water demand
varies from location to location and from day to day within a location. Demand also depends on
4-3
the time of day, the day of the week, the season of the year, prevailing weather conditions, and
unusual events such as fires or main breaks.
The water system should be recording the daily demand (or daily total flow rate) and should be
able to produce and understand average daily water demand (ADD), the maximum daily water
demand (MDD), and the hourly maximum demand (HMD). The inspector may calculate ADD,
MDD and HMD directly, if the system has historic daily flow records.
Alternatively, most primacy agencies have community water demand factors (expressed as
gallon per capita per day (GPCD) for estimating the ADD. Most primacy agencies also have
equations to estimate MDD as well as the HMD for various water systems as illustrated below.
The water demand factor (excluding firefighting) for most regions range from 120 to 300 GPCD
(depending on allowances for frequent lawn watering, swimming pool maintenance, industrial
and commercial process water, cooling water, etc.). Rural communities, for example, tend to use
water primarily for residential purposes, so the water demand can be as low as 100 GPCD.
Calculate typical demand equations as shown below:
ADD (GPCD ) = community water demand factor (≈ 120 to 300 GPCD ) × customers.
MDD = 1.8 × ADD
HMD = 3 × ADD
The inspector should recognize the importance of the relationship between source water quantity
and finished water storage. For example, when the water system provides bulk storage, the
sources have to be capable of providing at least the maximum daily demand. Water systems
should provide enough finished water storage for up to five days of ADD, as necessary to cover
emergencies such as electrical outage, firefighting, and process maintenance.
4.5.2 Emergency Demand
In case of the depletion of source water such as during extreme drought, substantial ground water
subsidence, or water conservation district allocation limits, the water system should identify an
alternate source of water supply and explain how the system would deliver water to the system’s
customers. Alternate sources might include a second reservoir, an interconnection to another
system, use of inactive wells, digging a new well (major time factor issue), water tanker delivery,
bottled water delivered to customers on an interim period, or other means of safe water supply.
4.5.3 Sanitary Deficiency Questions and Considerations – Water Quantity
1. What is the total design production capacity?
Comparing this figure with metered or estimated demand figures allows the inspector to
determine if the source quantity is adequate.
2. What is the present average daily production?
Comparing this figure with values for other, similar systems on a per capita basis may
point out problems within the system. For example, if consumption is at a relatively high
rate, or if production trends are increasing without an accompanying population or
metered-use increase, the system may be experiencing excessive water loss (i.e.,
4-4
leakage). Alternatively, high per capita consumption may indicate an opportunity to
conserve water during an extreme drought via water use restrictions.
Water loss: A direct method to determine water loss is to compare master meter production with
the corresponding accounted-for demand using the equation:
Production – Consumption = Water Loss (estimate)
Consumption would include metered water from customers (such as homes and industry)
as well as accounted-for water flushed or used by the municipality (e.g., Fire Department,
irrigation of public areas, etc.).
3. What is the maximum daily production?
The inspector should compare the maximum daily production to the design capacity of
the various major system components. Review the operating records from the maximum
demand day to determine the performance of the source, treatment, storage, and
distribution system under stressful conditions.
4. Is the safe yield sufficient to meet current and future demands?
The water system should have a plan for capital improvements once average daily
production approaches or exceeds a certain percentage of the design capacity of major
system components (e.g., the safe yields of the sources of supply or the raw water
pumping and transmission, treatment, finished water pumping, storage, and additional
sources). Many states have regulations that define the percentage of design capacity
where systems have to begin planning for expansion.
5. Is the quantity of the source adequate?
Given that a water system’s source is one of the first areas evaluated using the multiple
barrier approach, the key to ensuring the sustainability of the water system is for the
inspector to evaluate several factors that could affect the long-term viability of the source,
which also gives the inspector a better understanding of future potential deficiencies.
These factors may include system type, size, extreme weather conditions, storage
facilities used, and customer type.
Decreasing trends in quantity are also important to note. Operating records should
provide this information, but the inspector must be prepared to make reasonable estimates
when operating records are not available.
The following questions help the inspector assess the adequacy of source capacity.
• Does the supply vary by season? During which period is water most abundant?
• Does the system have plans or procedures to respond to variations in their source
water supplies?
• Does the system track or have access to flows, levels, and related information for
its sources?
• If a lake or reservoir is a source, are multiple intake depths/locations available for
variations in water levels?
4-5
• What is the capacity of raw water/off stream storage? Is it adequate to meet
existing or expected seasonal variations?
• Do operators monitor and maintain alternate/emergency supplies (e.g. intakes,
valves, pumps, consecutive connections) to assure good operational conditions?
• Are there constraints or limits on reserve or alternate sources (e.g. permits, water
rights, hydraulic limitations)?
• Are consecutive systems subject to reductions in supply due to wholesale supply
variations? If so, does the consecutive system have alternatives or contingencies
to meet demands?
6. If permits are required, is the facility operating within the limits? Are permits
available?
Some states require systems to have operating permits. Systems that discharge waste
streams to ground or surface water may be required to have discharge permits (e.g.,
National Pollutant Discharge Elimination System permits).
7. Does the system have an operational master meter?
Accurately monitoring production is difficult for the utility without an operational and
calibrated master meter. Some systems meter the hours their pumps run. With this
information, the operators can use pump curves to estimate production.
8. Does the system have interconnections with neighboring systems or a contingency
plan for water outages?
System plans to quickly correct causes of water outages are important to minimize
pressure drops in the distribution system and other potential adverse effects throughout
the system, especially in arid or drought-stricken areas. These plans should include
locations of the valves that interconnect the system with their emergency source. These
plans also need locations of valves to isolate sections of pipe if a line break is the source
of the outage. The inspector should ensure interconnections are only to sources approved
by the state.
4.6 Water Quality
4.6.1 Source Contamination
The likelihood of contamination increases as the proximity to potential sources of contamination
(PSOCs) to the source increases. Examples of PSOCs include septic tanks, construction projects,
chemically treated agricultural land, concentrated animal feeding operations, chemical storage
areas, and industrial discharge. The inspector should review the water system’s source water
protection plan for potential pollutant sources.
An additional health based contamination (and treatment cost) issue includes algae blooms that
can increase DBP precursors (algal-derived carbon), create cyanotoxins, as well as generate taste
and odor issues. Cyanotoxins are toxins produced by bacteria called cyanobacteria (also known
as blue-green algae). To assist public water systems in managing risks from cyanotoxins, see
Recommendations for Public Water Systems to Manage Cyanotoxins in Drinking Water.
4-6
4.6.2 Contaminant Classifications
Typical classifications of substances that alter the quality of source water include 1) organic, 2)
inorganic, 3) biological, or 4) radiological, as listed below. Students may find further information
on regulated contaminants in Appendix A of this guide.
• Organic chemicals contain the element carbon. The National Primary Drinking water
Regulations (NPDWR) currently regulate over 50 organic chemical contaminants.
Different organic chemicals derive their names from their differing carbon structures.
Organic water pollutants include:
• Detergents.
• Disinfection byproducts, such as chloroform, found in chemically disinfected drinking
water.
• Food processing waste, which can include oxygen-demanding substances, fats and
grease.
• Insecticides and herbicides (a huge range of organohalides and other chemical
compounds).
• Petroleum hydrocarbons.
• Decomposing vegetative matter.
• Volatile organic compounds (VOCs), such as industrial solvents.
• Chlorinated solvents, which are dense non-aqueous phase liquids (DNAPLs), may fall to
the bottom of reservoirs, since they do not mix well with water and are denser.
• Polychlorinated biphenyl (PCBs).
• Trichloroethylene.
• Perchlorate.
• Various chemical compounds found in personal hygiene and cosmetic products.
• Drug pollution involving pharmaceutical drugs and their metabolites.
• Toxins from harmful algal blooms.
• Inorganic contaminants, including organometallic compounds, cover all chemical
compounds except the organic compounds. Some of the regulated inorganic chemicals
(IOCs) include nitrate, cyanide, and toxic metals (arsenic, fluoride. etc.). Inorganic water
pollutants include:
• Acidity caused by industrial discharges.
• Ammonia from food processing waste.
• Chemical waste as industrial byproducts.
• Fertilizers containing nutrients - nitrates and phosphates.
• Heavy metals from motor vehicles and acid mine drainage.
4-7
• Silt (sediment) in runoff from construction sites, logging, slash and burn practices or land
clearing sites.
• Biological contaminants are pathogenic microorganisms. Inadequately treated water may
contain disease-causing organisms, or pathogens. Pathogens include various types of
bacteria, viruses, protozoan parasites, and other organisms. Regulated biological
pathogens, indicators, and treatment techniques (TT) are shown below:
• Pathogens that EPA regulates:
• Cryptosporidium.
• Giardia lamblia (G. lamblia).
• Legionella.
• Viruses (enteric).
• Indicators that EPA regulates:
• Turbidity.
• Fecal coliform or Escherichia coli (E. coli).
• Fecal indicators (Enterococci or coliphage).
• Total coliforms (revised to a TT under the Revised Total Coliform Rule).
• Treatment techniques and Maximum Contaminant Level for indicators:
• Turbidity.
• Total coliforms.
• Fecal coliforms and E. coli.
• Fecal indicators (Enterococci or coliphage), and E. coli.
• Radionuclides (RADs) are an unstable form of a nuclide. A nuclide is a general term
applicable to all atomic forms of an element. The number of protons and neutrons in the
nucleus characterize nuclides, as does the amount of energy contained within the atom.
Nuclides may occur naturally or be artificially produced. There are four RADs currently
regulated by the National Primary Drinking Water Regulations. Usually RADs come
from natural deposits (except beta particles that are usually man-made). The regulated
RADs are listed below:
• Combined radium-226/-228.
• (Adjusted) Gross alpha.
• Beta particle and photon radioactivity.
• Uranium.
• Tritium.
• Strontium.
4-8
4.6.3 Treatment
Because surface water is subject to contamination by humans and natural processes, and because
its quality can vary considerably over time, a relatively high degree of treatment is required to
ensure surface water’s safety on a continuous basis. Surface water treatment is generally more
sophisticated than ground water treatment, requires more diligent operation and maintenance,
and results in higher costs.
4.6.4 Sanitary Deficiency Questions and Considerations – Water Quality
1. Does the system monitor raw water quality? Has raw water monitoring of the
source(s) indicated high levels of E. coli or Cryptosporidium?
A review of monitoring data required under the LT2 rule will indicate if the source has
elevated levels of E. coli or Cryptosporidium. If the level of Cryptosporidium is high
enough, the water system will have been required to provide additional treatment to
remove or inactivate the oocysts. If there are multiple sources, was each source
monitored as required under LT2 or at least monitored after a common blending location
before the system applied any treatment? Did the system conduct monitoring after all raw
water was no longer subject to additional runoff?
Most drinking water regulatory monitoring requirements relate to treated water, which is
water in the treatment process, at the entry point to the distribution system, or in the
distribution system. Water systems should have an appropriate raw water monitoring
program to track changes in quality that includes attention to periods of high runoff,
drought, and other stressful situations, such as potential or actual contaminant sources.
2. Are there any abandoned, unused, or auxiliary sources?
Surface supplies physically connected to the water system may contaminate finished
water through a cross-connection. For example, any feed lines that are used to treat raw
and finished water can easily create a cross-connection if the treatment inlet to the raw
water does not have a sufficient air-gap to prevent siphoning of raw water to finished
water in the event of a pump or power failure. Has the system physically disconnected
transmission lines from abandoned sources?
4.7 Source Water Protection
The Safe Drinking Water Act (SDWA) Amendments of 1996 required states to develop and
implement SWAPs to analyze existing and potential threats to the quality of the public drinking
water throughout the state. Using these programs, many states have completed source water
assessments for most if not every public water system – from major metropolitan areas to the
smallest towns. Even schools, restaurants, and other public facilities have surface water supplies
previously assessed by inspectors.
A source water assessment is a study and report unique to a specific water system that provides
basic information about the water used to provide drinking water. States should work with local
communities and public water systems to identify protection measures to address potential
threats to sources of drinking water. The inspector should review the results of the system’s
source water assessment before source inspection. The report may provide valuable information
that will aid the inspector in evaluating the source water protection practices of the water system.
4-9
In general, systems should follow the steps below to protect the water source:
1. Define the source water protection area.
2. Inventory actual or potential sources of contamination in the defined area.
3. Determine the susceptibility of the system to sources of contamination.
4. Develop a Source Protection Plan with protection measures and include contingency
measures and a plan for the future.
5. Implement measures to control sources of contamination.
During the sanitary survey, the inspector should determine the adequacy of the system’s source
water protection program that may include an evaluation of resources devoted to the effort. The
inspector may also have to consider:
• Does the system have an actual program?
• Is the program active?
• Is the program able to control sources of contamination identified in the source water
assessments?
• Did the system discontinue a program because the system was unable to implement tasks
such as identifying or controlling sources of contamination?
Figure 4.1 shows a delineated source water area with surface water intakes and wellheads, and
potential contaminant threats.
Figure 4-1: Source Water Protection Map
4.7.1 Sanitary Deficiency Questions and Considerations – Source Water Protection
1. Is the system implementing a plan to protect watershed or aquifer-recharge areas?
4-10
Source water protection plans for ground water or surface water sources are an effective
way for systems to protect source recharge areas from contamination. The inspector
should determine if such a plan is in place and evaluate its effectiveness.
2. What is the size of the protected area and who owns it?
To reduce the extent of contamination of their watersheds or recharge areas, many
utilities have chosen to purchase a portion of these areas. Another method is to restrict
activities through zoning ordinances or regulations that prohibit certain land uses within a
certain area. Ownership with restricted access is the most stringent measure, but it is also
the most costly. If ordinances are used, the inspector should determine how they are
enforced.
3. What is the nature of the protection area?
Is the protection area industrial, agricultural, forest, or residential? As previously noted,
activities in the watershed affect the water quality of runoff. The potential for spills from
industrial activities, herbicides and pesticides from agricultural land uses, organics from
plant decay, and animal-borne diseases are a few problems associated with land use in a
watershed.
4. Has the system surveyed the watershed area?
If the utility has had a survey conducted, the inspector may be able to answer many of the
above questions by referring to the report. The fact that a utility has conducted such a
survey indicates it is concerned about protecting its water supplies.
5. Is there an emergency spill response plan?
Some industries (e.g., petroleum) are required to have emergency spill plans. The utility
should identify potential spill sites and develop contingency plans to deal with any spills.
However, because a plan is only paper, the utility must also identify the necessary
equipment and personnel. In addition, water systems must be an integral part among
relevant agencies (e.g., fire, police, etc.) including the participation in drills prior to any
emergency.
4.8 Reservoirs
The type of surface water source (e.g., lake, stream, etc.) is an important factor that can affect
raw water quality. A stream with a large watershed in which a land use is predominantly
farming, may experience large swings in raw water turbidity, particularly after a rainfall event.
The use of a lake or reservoir with the same general watershed characteristics greatly reduces the
potential for large raw water turbidity swings due to the dilution and settling that occurs.
Reservoirs, compared to rivers, may offer several advantages:
• As described above, reservoirs should be capable of storing large quantities of water that
can provide water for an extended amount of time. These raw water reserves provide
operators with an opportunity to better plan for the future and provide a more stable water
quality.
4-11
• While rainstorms, snow melt and flooding events create an inconsistent and rapidly
changing raw water quality, these conditions are not as prevalent in reservoirs. In
addition, because of the large quantity of water, large area, and minimal flow variations
in a reservoir, settling of particles results in better water quality.
• Natural settling takes place in a reservoir, providing better raw water quality. Water
systems also have the option to construct multiple intakes at different levels in a
reservoir, which allow an operator to select a level that provides the best raw water
quality. With the more prevalent extreme weather events, operators should understand the
importance of the ability to select the best water quality.
4.8.1 Sanitary Deficiency Questions and Considerations - Reservoirs
1. Does the system add any chemicals to the reservoir?
Determine if the system adds any chemicals to the reservoir and why. Typically, the only
chemicals added are for algae control. However, in some drought stricken areas, there are
chemicals systems can apply that can reduce evaporation rates. Ensure only approved
chemicals are used, that they are properly applied, and that there are no discharges of
treated water that cause violations of the Clean Water Act.
2. Is the area around the intake restricted?
Restricting contact sports (e.g., swimming and water skiing) and the use of powerboats
near the intake is important. These restrictions help reduce the coliform and organic
pollution of the intake water. The inspector should note whether the water system is
following any restrictions.
3. Are there any pollution sources near the intakes?
Identify any sources of pollution such as wastewater discharges, feedlots, marinas and
boat launching ramps. The system must restrict these activities around their intakes by
distance or defensive measures. Does management have records and understand the
results from their source water monitoring for Cryptosporidium under LT2?
4. Is the intake structure designed to draw water from different levels?
Because of fluctuating water surface elevation and variable water quality, systems should
have intake structures designed to draw water from different depths. Seasonal turnover of
the reservoir, algae blooms, and thermal stratification can cause water quality problems.
These concerns apply to deep reservoirs. Streams and shallow reservoirs generally are not
subject to stratification.
If the structure can draw water from different levels, are the operators regularly
exercising and maintaining the valves?
5. Is the system drawing the highest quality water?
The operator should perform monitoring tests to determine the water quality at various
depths in order to draw the best quality water. The inspector should ask the operator how
the intake level is selected, what tests are performed, and at what frequency. Suggested
tests are algae counts, dissolved oxygen, metals, turbidity, and nitrogen values.
4-12
6. How often are intakes inspected?
As with all components, the system must periodically perform maintenance on the intake
structure. Removal of debris and inspection of intake screen integrity prevents damage to
piping valves and pumps. This is particularly important during winter if there is a
possibility of ice buildup, or anytime if zebra mussels, etc., are a problem.
Ask the operators what their inspection schedule is and what they are supposed to be
inspecting and maintaining.
7. What conditions cause fluctuations in water quality?
Conditions such as stratification, algae blooms, ice formation, drought and low water
level, on-shore winds, flooding, and changing currents may adversely change water
quality. Identify the conditions creating such problems along with the measures the
system is taking to mitigate them.
8. When did the system last have the dam inspected for safety (if applicable)?
Routinely have dams inspected to avoid conditions that may endanger their integrity.
Many states require such inspections; however, operators should routinely check for signs
of leakage, erosion, sinkholes, burrowing animals, and trees growing in the face of the
dam.
The inspector should visually check to see if any of these conditions exist.
4.9 Streams and Rivers
4.9.1 Impact on Treatment
Streams that receive runoff from large uncontrolled watersheds may be the only feasible sources
of water supply. The physical, chemical, and bacteriological quality of streams and rivers varies
and may impose unusually or abnormally high loads on the treatment facilities. Figure 4.2 shows
a stream impoundment.
Figure 4-2: In-stream Drop Inlet Location
4-13
4.9.2 Intake Location
Stream and river intakes should be located upstream from wastewater discharges, storm drains,
and other sources of contamination. If possible, a water system should pump water when the silt
load is low. A low-water stage usually means that the temperature of the water is higher than
normal and the water is of poorest chemical quality. Maximum silt loads, however, occur during
maximum runoff. High-water stages shortly after storms are usually the most favorable for
diverting or pumping water to storage. These conditions vary and systems should develop
operating plans for the various conditions for the particular stream. Many systems have no raw
water storage facilities and have to meet daily demands with run-of-the­river water quality.
4.9.3 Sanitary Deficiency Questions and Considerations – Streams and Rivers
1. Is the area around the intake restricted and clearly marked?
Restricting areas around intakes in streams and rivers may be more difficult than for
those in reservoirs. Whenever possible, operators should identify the location of the
intake with an appropriate buoy or other form of demarcation, and they should inspect the
location daily and reposition the marker if necessary. Watercraft do not have as much
room on rivers as they do on reservoirs to navigate around intakes and their markers as
well as any other restriction areas.
2. Are there any pollution sources near the intakes?
Identify any sources of pollution such as wastewater discharges, feedlots, marinas and
boat launching ramps. Whenever possible, the system should restrict these activities
around their intakes by distance or defensive measures. Does management have records
from their source water monitoring for Cryptosporidium under LT2?
3. How often are intakes inspected?
As with all components, the system must periodically perform maintenance on the intake
structure. Removal of debris and inspection of intake screen integrity prevents damage to
piping valves and pumps. This is particularly important after significant rain events and
during the winter, if there is a possibility of ice buildup. Significant rain events can wash
large debris into the stream and increase the flow rate, which creates a powerful
destructive force.
4. What conditions cause fluctuations in water quality?
Conditions such as significant rain events (including those events miles upstream from
the intake), algae blooms (but to a lesser extent than in reservoirs), ice formation, drought
and low water level, on-shore winds, flooding, and changing rates of flow may adversely
change river water quality. Identify the conditions creating such problems along with the
measures the system is taking to mitigate them.
4.10 Infiltration Galleries (Riverbank Filtration)
4.10.1 Use and Location
Periods of heavy rainfall or spring thaws can adversely affect the quality of water available to
infiltration galleries. Debris and turbidity may cause problems at the water intake and can
4-14
increase the required degree of treatment. If the conditions are suitable, the water system can
avoid this problem by constructing the intake in an underground chamber (infiltration gallery)
along the shore of the stream or lake.
Operators of infiltration galleries must be cognizant of activities within the watershed where
unexpected incidents can adversely affect the quality of water at the intake structure. Clear,
mountain streams in areas once considered pristine, may now have experienced various
development activities – recreational or residential areas, logging (deforestation), etc. Whether
conditions in the watershed have changed or not, and even in the absence of all human activity,
never consider these "clear" streams pristine as they may harbor contaminants like G. lamblia or
Cryptosporidium, which are passed through warm-blooded animals.
4.10.2 Use with Streams and Lakes
Water systems may consider the use of infiltration galleries where porous soil formations adjoin
a stream or lake to intercept water underground and take advantage of natural filtration. Systems
should locate any gallery access structures above the level of severe flooding.
4.10.3 Components
A typical installation generally involves the construction of an under-drained, sand filter trench,
parallel to the streambed and about 10 feet from the high-water mark. The sand filter is usually
located in a trench at least 30 inches wide and about 10 feet deep, sufficient to intercept the water
table. At the bottom of the trench, perforated or open joint tile lays in a bed of gravel, about 12
inches thick, with about 4 inches of graded gravel over the tile to support the sand. At least 24
inches of clean, coarse sand covers the embedded tile, and fairly impervious material backfills
the remainder of the trench. The collection tile drains to a watertight, concrete chamber from
which water may flow to the distribution system by gravity or pump, whichever is appropriate.
Figure 4-3: Example of an Infiltration Gallery
Where soil formations adjoining a stream are unfavorable for the location of an infiltration
gallery, systems may control the debris and turbidity occasionally encountered in a mountain
4-15
stream by constructing a modified infiltration gallery in the streambed.
4.10.4 Using a Dam
If there is no natural pool in the streambed, the state or other applicable government agency may
issue a permit to construct a dam across the stream to form a reservoir. At least 24 inches of
clean, coarse sand covers the filter that consists of perforated pipe in a bed of graded gravel in
the reservoir. There should be about 24 inches of free board between the surface of the sand and
the surface water level. The collection lines may terminate in a watertight, concrete basin located
adjacent to the upstream face of the dam through which gravity or pumps divert the water to
chlorination and treatment facilities.
4.10.5 Ranney Well Collector
Ranney well collectors are located in the flood plain to draw water from a riverbed water table.
These are similar to infiltration galleries in that perforated or screened collection lines extend
radially from the bottom of a caisson. The water level in the caisson rises to that of the river and
serves as the chamber from which pumps from a pump house above the collector draw the raw
water.
Figure 4-4: Ranney Well
4.10.6 Sanitary Deficiency Questions and Considerations – Infiltration Galleries
Note: The sanitary deficiencies related to streams and rivers also apply to this section.
1. Does the system provide adequate security for the pump house and the area around
the collection area?
The water system should provide security for the pump house and the surrounding
collection area, the same as they would for a ground water system with wells. The
inspector should determine what measures the system employs for notification of
operators for various problems including pump failures, loss of disinfection, general
power failure, etc.
4-16
2. What conditions or events trigger a more thorough inspection of the collection
system?
Significant rain events, flooding and winter freezes can adversely affect the collection of
water. Large debris, ice and floods can wash out areas above the collection laterals and
actually wash away or damage the laterals. Water systems should also consider
inspecting the system with a camera every few years to determine the condition of the
screens and laterals.
3. If the system received a permit to construct a dam, when did an engineer last inspect
the dam?
Water systems should routinely have dams inspected to avoid conditions that may
endanger their integrity. Many states require such inspections; however, operators should
routinely check for signs of erosion, sinkholes, burrowing animals and trees growing in
the face of the dam.
4.11 Roof Catchments
Roof catchment systems are designed to capture, store and, and treat rainwater for both non-
potable (such as toilet flushing and irrigation) and potable uses (such as drinking, washing, and
cooking). While the quality and quantity of rainwater may be questionable, these systems may
also be a reliable source of water available to a small community or an individual. The type of
roofing material, its age, and the amount of debris collected on the roof, including bird or other
animal droppings, affect the quality of water. Regulatory agencies classify rainwater as surface
water. If rainwater serves a public water system, then SDWA rules apply. Examples of rainwater
systems include a hotel roof catchment system, a subdivision with a common rainwater cistern
and treatment system, an industrial facility rainwater system to serve employees via sinks and
drinking fountains, or any other cooperative rainwater system.
4.11.1 Roof Catchment Treatment
Primacy agencies would specify roof catchment system feasibility, treatment, cross connection,
and any general design requirements. Owners of roof catchment systems connected to premise
plumbing that also connects to the distribution system of a public water system must provide
adequate, annually inspected, backflow protection, per state plumbing code requirements. As
indicated above, rainwater PWSs are subject to the surface water treatment rules. The example
illustration below depicts a home potable rainwater system that may also collect in a common
cistern, providing source water to a PWS. The illustrated filtration includes a 5 micron cartridge
filter in series with a similar 1 micron filter, connected to a UV system (40 mJ/cm2
at 254 nm)
that then provides water to the home or PWS. The owner/operator adds sufficient chlorine to the
cistern, to maintain a residual throughout the distribution system. Any treatment, including
disinfection, should achieve a minimum recommended 99.9% (3-log) inactivation of Giardia
prior to any potable access.
4.11.2 Rainwater System Common Components
• Collection: Rainwater collects in a roof gutter, which then directs the water through one
or more downspouts into a storage tank.
4-17
• Diversion box: The first water that runs off the roof usually contains the maximum
amount of debris and bird droppings. The diversion box prevents this material from
flowing into the storage tank.
• The tank (cistern): The tank is usually constructed of plastic, concrete, fiberglass, or
metal. The design for the tank size generally depends on projected rainfall across the roof
surface as well as system demand.
• The tank cover: The tank’s manhole should have a “shoebox” designed cover framed at
least 4 inches, and preferably 6 inches, above the surface of the roof to ensure a good fit.
The opening should be fitted with a hinged, lockable, watertight cover that extends down
the frame at least 2 inches. The inside of the cover usually has a rubber gasket to provide
a seal. The gasket should be pliable.
Figure 4-5: Roof Catchment System Example
Figure 4-6: Roof Catchment Collection System
4-18
• Drainpipe: The tank should have a drainpipe with an exterior valve placed close to a wall
of the tank at the floor level to permit draining. The end of the pipe should extend far
enough to allow free discharge to the ground surface, away from the tank.
• Overflow: The tank should also have an overflow pipe placed slightly below its
maximum water level elevation that discharges any overflow onto a drain apron such as
rip-rap or concrete pad to prevent erosion. The overflow pipe could allow insects and
small animals direct access to the water in the tank unless a 24-mesh screen covers the
discharge end of the pipe. A flapper cover alone may not be adequate protection as
debris, ice or snow can prevent the flap from completely closing.
• Intake to system: Water flows through a screened intake line located about 6 inches
above the floor of the tank to provide water to the distribution system. Inspect the area
between the intake pipe and the concrete structure for signs of leakage.
4.11.3 Sanitary Deficiency Questions and Considerations – Roof Catchments
1. What is the condition of the roof?
Old roofs, especially roofs made of galvanized metal, can contribute to high
concentrations of contaminants.
2. Is there a diversion box?
This is key to reducing contamination. Is excessive debris clogging the box, and does the
box properly divert debris during the initial rainfall?
3. What is the condition of the gutter system?
The gutters should be in good repair and protected from excessive debris.
4. Is the collection chamber properly constructed?
The tank cover should be lockable with a watertight shoebox lid. The outlet of the
overflow should be properly screened and direct water away from the tank onto a drain
apron such as rip-rap or concrete pad to prevent soil erosion. Obtain this information by
inspecting the collection tank.
5. Is the supply intake adequate and properly maintained?
Is the supply intake properly located, and is the tank-side of the intake screened? The
screen and location reduces the withdrawal of sludge or debris that may build up in the
chamber. Ask the operator to pump water from the chamber through a blow-off valve, if
available, to see if sludge or otherwise discolored water is visible which would indicate
the tank needs cleaning. If larger debris particles are present, the screen on the tank side
of the intake is either damaged or missing. The diverter box may also need maintenance.
Are the roof area and gutter system properly sized for adequate collection of water?
6. Is the roof catchment system cross-connected to another public water system?
The water system must have backflow prevention protection between it and any private,
and possibly “communal”, roof catchment systems. These cross-connections may be
4-19
either direct or through premise plumbing to the distribution system. Does the system
know the results and date of the last inspection of the backflow prevention device?
4.12 Significant Deficiency Examples for Surface Water Sources
All significant deficiencies listed below are examples only. Each primacy agency may have
identified a different set of significant deficiencies than those listed. The state (primacy agency)
determines both significant deficiencies and the corresponding corrective actions:
• No or inadequate access buffer (restricted area) around surface water intake structure.
• Inability to draw water from different depths at surface intakes.
• No emergency or secondary source.
• Cross-connections between treated and untreated water.
5-1
5 Water Supply Pumps, Pumping
Facilities and Controls
Pumps and pumping facilities are essential, yet vulnerable, components in nearly all water
systems. Improper design, operation, or maintenance of pump systems can pose serious sanitary
deficiencies, including a complete loss of the water supply. To assess the safety, adequacy, and
reliability of the entire water system, the inspector must include water supply pumps and
pumping facilities as an integral part of the sanitary survey.
The primary purpose of reviewing the pumps is to verify they are in proper working order, to
ensure they are the best fit for their intended use, to determine their reliability, and to establish if
there are any sanitary risks. The primacy agency will obtain information about the pumps,
including available data from previous sanitary surveys, the emergency power system (if
available), pump tests and remote monitoring controls and alarms.
5.1 Learning Objectives
By the end of this chapter, students will be able to:
• List the regulatory standards that apply and key data required to conduct a sanitary survey
of a pumping facility.
• Identify various types of water supply pumps, their appropriate uses, and their associated
components.
• Recognize sanitary deficiencies and serious safety hazards associated with physical
facilities including the pumping station, pumping equipment, appurtenances, and stand-
by power systems.
• Recognize sanitary deficiencies and serious safety hazards associated with procedures
and practices including management, operations, and maintenance of pumping facilities.
• Provide sanitary deficiency examples of pumps, pump facilities, and controls the primacy
agency may identify as significant.
5.2 Data Collection
The inspector should review the following data, if available, prior to conducting the on-site
inspection of a pumping facility:
• Operating records provided by the water utility.
• The utility’s construction, operation and maintenance specifications.
If this information is not available in advance, collect it during the inspection. Once in the field,
during the initial interview with the operator, the inspector should develop a list of the pumps in
the system to ensure evaluation of all during the sanitary survey.
5-2
5.3 Regulations and Standards to Consider
Prior to the inspection, the inspector should review and consider as part of the sanitary survey the
following regulations:
• State design standards for pumping systems.
• ANSI/NSF International standards 60 and 61.
• Chapter 2 of this Guide.
5.4 Basic Information Water Supply Pumps and Pumping Facilities
There are several types of pumps and applications in water systems. Pumps used to transport
water through the system are either variable displacement or centrifugal pumps. Other
applications such as chemical feed, sludge removal, sampling, and air compression require
positive displacement pumps. This chapter covers the prime movers of water and facilities,
which house them. Subsequent chapters address other pumping applications.
During the sanitary survey, the inspector must be able to evaluate pumping facilities and identify
pumps by type to assess appropriate use. Each category of pump has its own operating
characteristics and appropriate set of applications. There are multiple types of pumps in each
category.
5.5 Water System Applications
Water systems use several types of centrifugal pumps for a wide variety of applications. The
most common applications are:
• Well pumps (vertical turbine and submersible).
• Gas chlorine system and vacuum booster pumps.
• Backwash water pumps.
• Raw water pumps.
• Finished water pumps (high lift).
• Booster pumps in distribution system.
5.6 Pumping Equipment and Appurtenances
The inspector should evaluate the pumping equipment and appurtenances. This includes pumps,
motors, drives, valves, piping, meters, gauges, electrical controls, and alarm systems. The
integrity of the multiple barriers is dependent on the proper function and maintenance of this
equipment. Pumps are critical to get water where it is needed, including higher elevations like
storage tanks, to maintain the pressures needed to protect the distribution system barrier. Smaller
pumps are critical for treatment, including disinfectant for the disinfection barrier. Protection of
the source barrier is also dependent on the proper pumps, valves, and other appurtenances.
Operators cannot visibly see much of a water system, so they must rely on the various
appurtenances such as valves, gauges, meters and other controls. If these do not function
properly or are missing, operators cannot reliably assess the integrity of the barriers.
5-3
Figure 5-1: Submersible Turbine and Lineshaft Turbine Pump Units
5.6.1 Variable Displacement Pumps, Applications, and Components
Variable displacement pumps are used in high-volume applications where an even flow rate is
required (e.g., transporting water through the treatment and distribution systems). Their
discharge rate varies with the head (i.e., as the lift or head increases, the pump output decreases).
These pumps are not self-priming. Consequently, they depend on a positive suction head or an
airtight seal on the intake side of the pump if the level of the water is below the impeller. The
most common class of variable displacement pump is the centrifugal pump.
Figure 5-2: Cutaway Illustration of a Centrifugal Pump
5-4
Figure 5-3: Centrifugal Pump: Horizontal-Split Case
A centrifugal pump has a rotating impeller mounted on a shaft turned by the power source. The
rotating impeller increases the velocity of the water and discharges it into a surrounding casing
(volute) designed to slow its flow and convert the velocity to pressure. Centrifugal pumps
classified as single-stage are equipped with one impeller, and multi-stage pumps contain two or
more impellers. Multi-stage pumps are capable of pumping against greater discharge heads, but
do not increase the volume of flow.
Figure 5-4: Centrifugal Pump: Horizontal-Close Coupled
Figure 5-5: Swing Check Valve
5-5
Figure 5-6: Gate Valve
5.6.2 Appurtenances
In addition to the general review of pumping equipment, the inspector needs to review and
evaluate any appurtenances such as check valves, air relief valves, isolation valves, backflow
prevention, etc., installed on the system. The inspector should also note any missing
appurtenances that are critical to the operations of the pump and pumping equipment.
5.6.3 Sanitary Deficiency Questions and Considerations – Pumping Equipment and
Appurtenances
1. Are the pumping systems equipped with:
Check valves?
On centrifugal pump systems, each pump should have an operating check valve.
When observing the operation of each pumping unit during the sanitary survey,
the inspector should pay particular attention to the check valve during the start-up
and shutdown periods. The check valve should not slam open or shut. If it does,
pressure surge or water hammer conditions could be occurring in the distribution
system, resulting in breaks in the mains or service lines. When the pump is not
running, the drive shaft should not spin backwards. Backspin is an indicator that
the check valve is not functioning which, could lead to the impeller spinning off
the drive shaft.
Isolation valves?
Each pump should have an isolation valve on the discharge line. In systems where
the intake water level is above the pump impeller (an application known as
“flooded suction” or “suction head”), an isolation valve is also required on the
intake side of each pump. Isolation valves facilitate removing the pump for
maintenance. Simply because a valve is present does not mean it is working. The
inspector should ask the operator how frequently they exercise the valves and
should request the opening and closing of one or more isolation valves.
5-6
Pressure gauges?
Each pump should have a discharge pressure gauge so the operator can measure
the actual operating head conditions. A pressure gauge and flow meter are critical
for determining pump capacity and detecting changes in operating conditions. In
addition to a discharge pressure gauge, distribution system booster pumps should
also be equipped with compound gauges on the intake side of the pumps.
Compound gauges measure positive and negative pressures. Operators should not
allow the pressure on the intake side of distribution booster pumps to fall below
20 psi because lower pressures can cause backflow problems in the distribution
system upstream of the booster pump.
Flow meter?
The inspector should note if the pump has a flow meter and if the meter is
functioning properly. A meter can help the operator detect changes in the system
and take corrective action before a serious problem develops as well as provide
more accurate accounting of water production. Depending on the location of the
metered pump, knowing the flow can make determining contact time for
disinfection a simple process. Flow meters should be equipped with totalizers to
record the total amount of water pumped over a given time period.
Figure 5-7: Turbine Flow Meter
Blow-off line?
Pumping systems, especially well pumps and raw water pumping systems, should
be fitted with isolation valves and piping to direct the discharge to the open air
and not into the water supply line. Blow-off lines facilitate flushing the immediate
water source and testing the pump.
Air/vacuum relief valve?
To prevent air from entering the distribution system at startup and to prevent
vacuum and possible collapse of the column pipe during shutdown, well pumping
systems should be equipped with a foot valve (submersible well pumps) or
air/vacuum relief units (vertical turbine well pumps). Some water systems may
use snifter valves to vent flowing wells. Snifter valves used on flowing well
5-7
pitless adapter spools are prone to failure due to hard water encrustation or
scaling. Failure of the snifter valve can result in the leakage of water above the
spool and above the frost line. Consequently, freezing and damage to the upper
casing can occur. Water discharging out of a casing vent or between the casing
and the well cap are indicators that the flow control mechanism within the casing
is malfunctioning. Problems associated with snifter valve leakage outweigh the
benefits of venting in this case.
The inspector should determine whether the relief valve closes properly following
startup and opens properly following shutdown. A properly installed discharge
pipe on the relief valve points downward, has a screen, and terminates with a
suitable air-gap (as needed to prevent cross connection).
2. Are there any cross-connections present?
Inspectors may find cross-connections in:
• Water lubricated bearing systems.
• Pump seal water lubrication systems.
• Air/vacuum release discharge lines.
• Priming lines for suction-lift pumps.
In each case, if the source water for these systems is treated water, the potential for
backflow exists. Water systems must protect themselves by using air-gaps or
approved backflow prevention devices. Chapter 12 – Cross-connections provides a
thorough description of cross-connections and examples.
3. What are the number (including reserves), location, and type of pumps?
There should be at least two equal pumping units for each application – except in the
case of well pumps where another complete well system provides suitable backup.
The system may use pumps for various reasons, and the operator should match the
type of pump to the application. For example, do not use centrifugal (variable
displacement) pumps to feed liquid chemicals when precise delivery is required
against a variable head. Talking to the operator and reviewing plant schematics can
provide this information.
4. Is the actual capacity of the pumping facility adequate to meet the demand?
Pumps should have ample capacity to supply enough water to meet peak demands.
The required reserve capacity for pumps may vary from state to state, but a rule of
thumb for a water supply/multiple unit/constant speed pump application is: With the
largest pump out of service, the remaining available pumps should supply the average
daily demand within a maximum combined pumping time of 18 hours. A review of
pump system operating records should provide this information. Booster pump
stations are generally not adequate for providing constant pressure to the distribution
system and, therefore, the water system should use storage tanks on the high-pressure
side in conjunction with the pump stations.
5. When and how are pump capacities determined?
5-8
The inspector should determine the results of any pump tests and the last date of each
pump rating. The inspector should also verify that the method used was correct. This is
particularly important when the water system uses elapsed-time meters (pumping time) to
estimate water production. For example, 10 years ago the pump may have operated at an
average of 8 hours per day. Now the same pump averages 12 hours per day. The question
is has the increase in running time been due to an increase in water demand or a change
in operational strategy, or has pump output capacity been reduced because of an increase
in operating head or mechanical wear? The reason can only be determined with a
functioning flow meter and pressure gauge and suitable operating records. Upon
reviewing pump operating records, the inspector should determine if duplicate pumps are
equally productive.
Figure 5-8: Booster Pump Station
Figure 5-9: Lineshaft Turbine Pump Station
6. What is the condition of the equipment?
All units operable?
5-9
All pumps should be operable. A serious sanitary deficiency exists, for example,
if only one of two raw water pumps is functional. The inspector should inquire
about the operation strategy of the pumps. Ask how often backup units are
exercised. If there is no disruption to the operation, the inspector should ask the
operator to run each unit, one at a time, to observe it. While each pump is
operating, the inspector should examine the state of repair by looking and
listening for excessive noise, vibration, heat, odors, and leaking water or
lubricant. The inspector should also look for signs of moisture and dirt around
motor cooling inlets.
Figure 5-10: Submersible Turbine Pumping Station
Figure 5-11: Pumping Station/Well House
5-10
Excessive noise, vibration, heat or odors?
While running, the pump and motor should have a smooth sound and should not
be excessively hot. Excessive noise, vibration, and heat indicate serious problems
such as bearing failure, shaft misalignment, pump cavitation, impeller wear, or
motor breakdown. Heat and the smell of ozone or burning insulation can indicate
many problems including motor winding failure, poor power supply, excessive
current draw, loose connections, and motor control system deficiencies. Any one
of the items cited above is an indicator that immediate maintenance is required.
Leaking water?
A pump stuffing box requires a constant drip of water through the packing gland,
not an excessive spray. Leaking water can produce moisture around the motor,
unsafe conditions around the pump room, and a pathway for contaminants to enter
the water supply if vacuum conditions occur at the stuffing box when the pump
shuts off.
Dirt and grime?
The inspector should look for signs of dirt around the motor cooling fins and air
intake ports. Dirt and grime can inhibit the flow of air necessary to cool the motor
windings.
Leaking lubricant?
Over lubrication of pumps and motors may cause bearing failure and motor
burnout. Signs of improper or excessive lubrication are grease pushing out of
bearing seals and grease or oil accumulating around the pump and motor.
7. Are the correct types of lubricant used?
Use ANSI/NSF-approved lubricants where parts come in contact with the water supply
(i.e., stuffing box, oil-lubricated well shaft bearings, and check valves). It is not necessary
to use ANSI/NSF-approved lubricants on components that do not come into direct
contact with the water supply (i.e., motor bearings, shaft, and external pump bearings).
Ensure the system uses any lubricants according to the manufacturer’s recommendations.
8. Is the frequency of addition and amount of lubrication adequate?
The inspector should observe the level and appearance of oil in pump and motor lubricant
reservoirs to determine if the operators properly maintain the condition of lubricants. For
example, moisture has contaminated oil that has a milky appearance.
In the case of well pumps, the type and amount of lubrication are particularly important.
Some manufacturers design vertical turbine pumping systems with oil-lubricated shaft
bearings. If the sealing tube surrounding one of these bearings fails, oil will enter the
water supply. The inspector should find out how much oil the operator regularly adds and
compare that to the amount used when the equipment was new. A significant increase in
oil addition is a sure sign of a broken seal.
5-11
An indication that operators do not properly lubricate or grease pumps are unbroken
painted surfaces covering the grease fittings and exit port plugs. A schedule for
lubrication should be part of a preventive maintenance program.
5.7 Pumping Facilities
The inspector should evaluate the pumps as well as the facilities that house pumping systems.
These facilities include well houses, booster stations, and raw and finished water pumping
stations.
5.7.1 Sanitary Deficiency Questions and Considerations – Pumping Facilities
1. Is security adequate?
Pumping facilities should be protected against vandalism and unauthorized entry. The
perimeter of the property should be fenced and the building’s doors and windows locked.
Check around the outside of the building for electrical panels, switches, and valves. Make
sure there is no public access. Also, ensure the water system has protected structural drain
and vent openings in the building with a recommended 24 mesh screen to prevent insects
and animals from entering.
2. Is the building and equipment protected from flooding?
The pumping station should be at least 3 feet above the highest flood level, and surface
runoff should drain away from it. Pumping stations should have adequate drains to
protect the pumping equipment from flooding if a pipe breaks inside the facility. Water
systems should have compartments that are below grade, such as wet wells and dry pits,
properly sealed to prevent the entry of undesirable water, either through the walls or from
surface runoff. Dry pits should include a sump and sump pump. Check to make sure that
electrical controls and motors are not subject to flooding.
3. What is the structural condition of the building?
Check the condition of the walls, roof, windows, and doors to make sure that rain cannot
enter the building, and check concrete floors and masonry walls for cracks. The control
panel should be located near the door and not across the room as shown in the
illustration. The operator should be able to shut off power without having to cross
through water to access the panel. Cracks around pump piping indicate water hammer
conditions when pumps start or stop. This can result in pressure surges that cause breaks
in the distribution system.
4. Are heating, ventilation, and lighting adequate?
Water systems in colder climates should provide heat to buildings with pipes and other
applicable equipment subject to freezing, as well as ventilation in all climates to reduce
heat, moisture, and corrosion. The interior of the building should have permanent lighting
to facilitate inspections and maintenance at night.
5. Can operators access and remove equipment from the building for maintenance?
Check to see that there is access to the equipment for inspection and maintenance. In
addition, there should be a way to remove large equipment from the building. For
5-12
example, a well house should have a removable access hatch in the roof directly over the
well. This makes it easier to use a crane to remove mechanical equipment.
6. Is the building orderly and clean?
The inspector should observe the order and cleanliness of the pumping facility. Dirt can
combine with lubricants and reduce bearing life. In addition, dirt and moisture form an
insulating coating on motor windings and can cause the motor to burn out. Are there
signs of animal activity (e.g., mouse or bird droppings, nests, etc.)? Poor housekeeping is
in most cases a sign of poor operation and maintenance (O&M). However, do not
automatically assume that an orderly and clean room indicates the water system follows
good O&M practices.
7. Does the system use the pumping station for storage?
Operators should not use the pumping equipment room to store hazardous, flammable, or
corrosive materials. Chemicals (including water treatment chemicals such as chlorine,
hypochlorite, fluoride, and sodium hydroxide) should be stored in and fed from a room
separate from the pumping equipment and electrical controls. (For more information on
chemical feed and storage, see Chapter 6 – Chemical Feed Systems.)
8. Is safety equipment adequate?
Each pumping station should be equipped with a fire extinguisher rated at minimum for
class B (flammable liquids) and class C (electrical equipment) fires. Also, check if the
water system has identified all confined spaces and has provided proper ventilation. The
operator should activate the vent fans and test the atmosphere prior to entry. Follow all
Occupational Safety and Health Administration, confined-space entry procedures when
entering any confined space, if allowed. Check that all access ladders are firmly anchored
and structurally stable.
Figure 5-12: Low-Flow Switch
5.8 Controls
Automatic systems are widely used to control pumping cycles. The inspector should evaluate the
control system and determine if it is suitable for the application, if it is functioning properly, and
5-13
if it is equipped with resets and a manual override switch. Based on the pressure in the system,
controls should automatically regulate pumps that supply water to the distribution system.
5.8.1 Sanitary Deficiency Questions and Considerations - Controls
1. Is the motor control system adequately designed and reliable?
An example of unsuitable application of a control system is the use of time clocks alone
to control finished water pumps. In this case, the pumps would not supply additional
water if demand were unusually high, for example if a main breaks or firefighters must
connect to a hydrant. This could result in low pressure or a total loss of supply. The
inspector should ask the operator how frequently, if ever, he or she resets the motor
controls or operates the pumps manually in order to maintain the system pressure.
A hydropneumatic system typically uses a simple pressure switch to cycle pumps off and
on. The inspector should check to see that the system is operating properly and should
make sure there is no shut-off valve between the pressure switch and the pump. If there is
a closed valve between the pressure switch and the pump, the system will call for water
and the pump will become damaged by pumping against a closed valve.
2. Is the pump system equipped with an adequate failure alarm system?
The pump control system should be equipped with failure alarms. If the pump fails to
start, or stops for any reason other than normal shutdown on the automatic cycle, an
alarm system should activate to notify the operator that the system has failed. The water
system should also consider the type of alarm. Many pumping stations are equipped with
a flashing light or a horn situated outside the building and activated when the system
fails. This type of alarm depends on someone actually seeing the light or hearing the horn
and calling the water system operator. It is not, of course, foolproof. A more dependable
alarm system is one connected to a telephone line and programmed to dial automatically
a series of telephone numbers until an operator responds and corrects the problem.
3. Does the auxiliary equipment have fail-safe devices?
The inspector should evaluate the control sequence for equipment that operates in
conjunction with the main pump and motor. For example, the electrical supply to a
chemical feeder that activates automatically with the water pump motor should be
equipped with an automatic shutdown device in case the pump fails to produce water for
any reason. The system can do this by installing a “low-flow” or “low-pressure” cutout
switch between the pump and the check valve. This device must sense water flow or
pressure in order to energize the chemical feeder. The absence of such a device has led to
a significant overfeed of chemical in many cases.
4. Are controls equipped with elapsed time meters?
Motor control systems should be equipped with an elapsed time meter for each pump.
This meter is similar to an automobile odometer and registers the cumulative running
time of the pump motors. The operator can use this information to schedule maintenance,
estimate pump output, and compare duty cycles and efficiency of equal pumping units.
5. Does the system adequately protect controls?
5-14
The inspector should take note of the general condition of the control devices and that
protective cabinets house the devices and equipment. Control enclosures that are outside
buildings should close tightly and have a National Electrical Manufacturer Association
4X rating (weatherproof). Control switches such as hand, off, or automatic switches,
disconnects, and resets should not be accessible to the public.
6. Does the system adequately maintain control systems?
The control systems should be included in the water system’s preventive maintenance
program. Maintenance of these systems requires a particular expertise in industrial
controls. A thoroughly trained operator or another expert in this area should be available
to respond to system malfunctions.
5.9 Auxiliary Power
The inspector should evaluate the need for auxiliary power and, if provided, should evaluate the
design, condition, and O&M of auxiliary power units (APUs). Many states require either
auxiliary power or two power sources.
Figure 5-13: Auxiliary Power
5-15
5.9.1 Sanitary Deficiency Questions and Considerations – Auxiliary Power
1. Is auxiliary power needed and, if so, is it provided?
Auxiliary power may be necessary for the continuous operation of a water system. It is
especially critical if outages are frequent or if a system has limited capacity for storing
finished water. The inspector should ascertain the frequency and duration of previous
power outages and what effect they have had on the water supply. The system should
consult state design guidelines when determining the need for auxiliary power.
2. What type of auxiliary power does the system provide? What conditions activate
auxiliary power?
The system may provide emergency power by an auxiliary generator driven by diesel,
natural gas, gasoline engines, or by engines directly connected to the pump drive shaft by
a right-angle drive mechanism. Activation of the APU should be automatic upon the loss
of primary power. There should be an “automatic transfer switch” that transfers the
current load to the auxiliary power unit. Upon loss of power, the system should not
require the operator to manually start the APU and transfer the load, although the system
should allow manual operation.
3. Does the auxiliary power unit supply ALL electrical systems at the pumping
station?
In addition to the pump motor, the APU should operate all electrical functions in the
pumping station, including lights, heat, ventilation, automatic controls, and – most
importantly – any chemical feed systems that are connected. This is a problem when
mechanically driven (right-angle drive) type systems operate only the pump during
primary-power outages; consequently, untreated or partially treated water is pumped to
the distribution system.
4. Where is the fuel tank located?
Is the fuel tank for the APU underground? If so, is there a risk of fuel leaking into the
water supply? If the fuel tank is above ground, is it mounted inside a spill containment
vessel?
5. Does the system regularly exercise and properly test the auxiliary power unit?
The inspector should ascertain how and how often the operators exercise and test the
APU . Operators should exercise and test the auxiliary power system at least once a week
or per manufacturer’s recommendations. If an actuator automatically exercises APU
without an operator in attendance, there is no way to monitor the system’s performance
and no way to detect small problems before they escalate. Furthermore, operators need to
exercise auxiliary systems under a load. The APU should be the source of power for the
pumping facility during the exercise period. This procedure ensures that all functions of
the APU are tested and working properly. Water systems should keep records of APU
exercising, and these records should include engine and generator gauge readings.
6. Is the auxiliary power unit secure and maintained in good condition?
5-16
The inspector should check to see that the APU is included in the preventive maintenance
program. Water systems should perform regular maintenance according to the
manufacturer’s recommendations. The inspector should visually check the general
condition of the unit for signs of leaking fluids or lubricants. Water systems should
protect the APU from lightning and other elements as well as from public access. Ensure
screens protect vent openings and openings around piping to prevent the entrance of
animals. Generators will not run with a blocked exhaust port.
7. Are there any cross-connections between the auxiliary power system and potable
water?
Some APU engines use potable water for cooling. The inspector should determine how
the unit cools the engine. If potable water is used, the coolant should not return to the
potable system, and an air-gap or approved backflow-prevention device should protect
the connection between the water supply and the engine.
5.10 Operation and Maintenance
Earlier, this chapter addressed equipment-specific O&M concerns. During the sanitary survey,
the inspector should also assess the overall O&M approach as it relates to the pumping systems
from a programmatic standpoint. From this aspect of the survey, water systems should have
written asset management plans for all pumps and associated equipment that includes estimated
life expectancies, purpose, budgeting and other information (e.g., pumping capacities, sizing
requirements, etc.) needed for their eventual replacement. There should also be a current
inventory and location of spare parts available so operators can minimize down time in case of a
failure.
5.10.1 Sanitary Deficiency Questions and Considerations – Operation and Maintenance
1. Are the number and skill level of the staff adequate for operating and maintaining
the pumping facilities?
Chapter 14, Utility Management, discusses recommendations on evaluating the
management and operations staff. Only individuals trained in electrical and mechanical
systems should be responsible for troubleshooting and maintaining pumping systems. If
no one on the staff is competent in these areas, contractors should perform maintenance.
2. Do the operators maintain adequate operational records for pumping facilities?
The system should maintain, at a minimum, the following operating records for each
pumping unit:
• Suction and discharge pressures.
• Operating hours.
• Flow meter readings.
• Amperage and voltage readings.
3. Does the water system provide written standard operating procedures available,
and do all operators follow them?
5-17
All operators should follow the same written operational procedures. This may be as
complex as a comprehensive operations manual, or as simple as a one-page list of
instructions. Written procedures should cover items such as daily operations and
inspections (including a checklist), start-up and shutdown procedures, and responses to
equipment failure and other emergencies. A well-managed water system should include
contingency plans in their procedures.
4. Is there an established and documented preventive maintenance (PM) program?
Improper maintenance can lead to system failures and sanitary deficiencies. A written
PM program (also called an Asset Management program – see Chapter 15, Other
Considerations) should be established and followed for each piece of equipment in the
pumping facility. Water systems should base these programs on manufacturers’
recommended maintenance tasks and record maintenance information immediately upon
completion. In general, smaller water systems need much less sophisticated PM
programs; however, all water systems should have a program in place, even if it is very
basic. The inspector should determine if specific components of a PM program exist and
ask to see records. Critical components of a PM program include:
• Equipment inventories: A record that includes data plate information such as
model and serial numbers, manufacturer’s ratings, and performance specifications
for each piece of major equipment.
• Manufacturers’ technical literature: Provided with new equipment by its
manufacturer. This includes O&M specifications, schematics, and spare parts lists.
• Written PM tasks and schedule: A written list of PM tasks (from the O&M
manuals), a schedule, and instructions for performing these tasks. This can be part
of a computer program, or smaller systems can simply record tasks on index
cards.
• Records of maintenance performed: In small systems, operators can record
completed maintenance on index cards. The inspector should look for recent dates
and make spot comparisons to the task schedule.
• List of technical resources: This should include manufacturers’ representatives for
service and parts, local specialists for instrumentation maintenance, electrical and
mechanical repair specialists, and construction contractors.
• Tools: The operator should have a complete set of tools for performing basic
maintenance.
• Spare parts inventory: Critical and frequently replaced parts for pumping
equipment should be included in the water system’s inventory. Materials not
maintained in stock should be readily available from local suppliers or factory
authorized representatives.
5.11 Safety
Inspecting pumping facilities also includes observing any unsafe conditions that could pose a
safety risk to the operator or other staff involved in the operations of the system.
5-18
5.11.1 Sanitary Deficiency Questions and Considerations – Operation and Maintenance
1. Does rotating and electrical equipment have protective guards?
The inspector should be concerned with safety as well as with the sanitary aspects of the
equipment. Check to see that belts, gears, rotating shafts, and electrical wiring have
proper shields to prevent injury.
Note: While conducting the sanitary survey, the inspector should not wear loose clothing
or a necktie. When evaluating an energized piece of equipment (e.g., a pump) and if
necessary to touch the casing to see if it is running, only use the back of your hand.
2. Are there any indications of electrical shorts or over-heating?
Look for any signs of black smudge marks on the equipment or nearby walls or support
structures. Does any exposed wiring have missing or melted insulation?
3. Are fire extinguishers available?
Fire extinguishers should be conveniently located, be properly marked, have valid
inspection dates, and be of the proper kind for the different types of fires.
5.12 Significant Deficiency Examples for Pumps and Pumping Facilities
All significant deficiencies listed below are examples only. Each primacy agency may have
identified a different set of significant deficiencies than those listed. The state (primacy agency)
determines both significant deficiencies and the corresponding corrective actions.
• Inadequate pump capacity.
• Cross-connections.
• Inadequate / inoperable or unsecure control system.
• No back-up pump.
• Inadequate alarm system for booster pumps.
• No pressure gauge on pump discharge line or on pump suction side.
• No cut off for low pressure on pump suction side.
• Well sanitary seal is not adequate.
6-1
6 Chemical Feed Systems
The sanitary survey inspector must evaluate water treatment processes to ensure the production
of a safe, adequate, and reliable supply of water for consumers. The water treatment plant is the
main barrier against unsafe water, and any malfunction in the treatment process could result in
water quality problems. Of major importance is the consistent and continual feed of water
treatment chemicals. The inspector must evaluate the operation, maintenance, design and
location of the chemical feed systems to identify any sanitary deficiencies.
6.1 Learning Objectives
By the end of this chapter, students should be able to:
• Identify key data items required to evaluate sanitary survey risks associated with
chemical feed systems at water treatment plants, such as whether liquid, gas or dry
chemicals are being used.
• Review of chemical feed systems as key components of water treatment processes, such
as coagulation, flocculation, sedimentation, filtration and disinfection.
• Recognize chemical feed system sanitary deficiencies as they relate to the physical
facilities, operation and maintenance, and management. Issues may include inadequate
treatment, inadequate application of water treatment concepts to process control,
hydraulic surges, poor maintenance procedures (lack of O&M manual or failure to
implement what is in the manual), staffing and funding deficiencies (lack of training),
and cross-connections.
• Identify safety issues that affect the operations staff, and could affect the facility’s ability
to perform effectively. Safety issues may include chemical handling, chemical storage,
and confined spaces.
• Review regulatory issues that are appropriate to each specific process to determine their
relationship to sanitary deficiencies.
6.2 Data Collection
The inspector needs to obtain as much of the following information about the water system as
possible before the survey, otherwise the water system must provide any missing or updated
information during the inspection.
6.2.1 Chemical Usage in Treatment Processes
The inspector should evaluate the following to assess the appropriateness of chemical usage in
treatment processes:
• Specific chemicals used and purpose of addition.
• Quantities added.
• Application points used.
6-2
6.2.2 Chemical Feed Equipment
The inspector should evaluate the following to assess the efficacy of chemical feed equipment
and processes:
• Type of feed system in operation (i.e., liquid, gas, solid).
• Condition of feed system equipment.
• Calibration procedures used.
• Available redundancy for all systems.
• Provision of safe and adequate chemical storage.
6.2.3 Process Control Data
The inspector should verify the following to assess the quality of process control data:
• Type and frequency of testing throughout treatment processes.
• Availability and operability of on-line monitoring equipment.
• Adequacy and consistency of data recording procedures.
6.2.4 Physical Facilities Information
The inspector needs to evaluate the following on the system’s physical facilities:
• Buildings and rooms where chemical feed systems are located with respect to
accessibility, safety, and overall maintenance.
• Operation, maintenance and design of chemical feed systems, such as adequately sized
chemical feed pumps, proper ventilation, appropriate feed points, and adequate chemical
storage.
6.3 Regulations and Standards to Consider
The inspector needs to consider and review the following information prior to the inspection:
• Chapter 2 of this Guide.
• Specific regulations that apply to the facility.
• Past inspection reports to identify previous compliance problems.
6.4 Purpose of Water Treatment
The purpose of water treatment is to condition, modify, or remove undesirable impurities or
pathogens in order to provide water that is safe, palatable, and acceptable to consumers. National
standards for some of the impurities considered important to the health of consumers are set
under the federal Safe Drinking Water Act (specified in Title 40 Code of Federal Regulations
Part 141 with maximum contaminant levels (MCLs) and treatment techniques). If the levels of
contaminants present exceed the established MCLs, water systems must provide the treatment
necessary to reduce the levels. The regulations specify treatment techniques when MCLs are not
appropriate for public health protection.
6-3
Forty CFR Part 143 specifies secondary standards for some impurities that affect the aesthetic
qualities of water. These standards are not enforceable by the federal government, but states may
choose to adopt and enforce them. Treatment or modification of the water to comply with
secondary standards is highly recommended. Consumers may seek out unsafe sources if the
drinking water supplied by the PWS has an undesirable appearance, taste, or odor.
6.5 Chemical Feed Systems
Chemical feed systems are common to all types of treatment plants. They may feed treatment
chemicals such as coagulants and disinfectants into the water, as well as corrosion inhibitors, pH
adjustment chemicals, chemicals for taste and odor control, oxidants, and fluoride. Types of
chemical feed systems include liquid feed pumps and dry feeders.
6.5.1 Liquid Feed Pumps
Figure 6-1: Liquid Feed Pump (Hypochlorinator)
These systems are very simple, as illustrated in Figure 6-1, and composed of these basic
components:
• Tank to hold the chemical solution.
• Chemical feed pump (the illustration shows a diaphragm pump).
• Injection valve with check valve.
• Electrical control system with fail-safe flow switch.
• Chemical storage area.
6-4
6.5.2 Dry Feeders (Volumetric).
In these feeders, operators base the feed rate on the volume of chemical rather than weight.
Volumetric feeders can achieve acceptable performance for materials with stable density and
uniformity, particularly at low feed rates.
Figure 6-2: Volumetric Dry Feeder
6.5.3 Dry Feeders (Gravimetric)
This type of system feeds dry chemicals based on actual weight. Consequently, it is more
accurate than other types of dry feeders and better able to achieve the desired dose rates.
Figure 6-3: Belt Gravimetric Dry Feeder
6-5
6.5.4 Operation and Maintenance of Chemical Feed
The proper operation and maintenance of chemical feed systems is critical to the overall
performance of the treatment plant. For example, a conventional surface water plant cannot
consistently achieve optimum performance unless its chemical feed systems are functioning
properly. Issues the inspector should address for all chemical feed systems include:
• Adequate maintenance, including a preventive maintenance program, spare parts for
critical components, components that need regular replacement, and repair budgeting.
• Back-up units for redundancy, particularly for critical processes, such as coagulation and
disinfection.
• Physical condition of buildings and areas housing feed equipment.
• How often the operator calibrates the equipment.
Storage of chemicals, including the segregation of incompatible chemicals that should not be
stored together. For example, storing powdered activated carbon (PAC) and potassium
permanganate (KMnO4) in the same area could result in explosion or fire hazards. Chemicals
should not be stored where they could contaminate the system’s water supply in the event of a
spill.
• A hazardous communication program in place to deal with the handling of all chemicals.
• Containment of chemical spills and the location of proper drains in chemical areas.
• Safety in terms of the handling and feeding of chemicals and the availability and proper
use of safety equipment, such as chemical goggles and respiratory protection.
6.5.5 Sanitary Deficiency Questions and Considerations – Chemical Feed Systems
1. What chemicals are used?
The inspector should determine what chemicals operators use, if a certifying organization
or agency has approved them for water treatment, and if the operators apply them
properly. The operator should be aware of possible adverse effects of adding the
chemicals, such as the development of disinfection byproducts, because of disinfection
practices.
2. What is the amount of chemicals used?
Operators should base the amount of chemicals used on process-control testing. The
operator should be able to explain how the dosage is determined (such as by jar testing,
pH measurement, or streaming current detectors) and the frequency with which this
determination is made. The water system should only be using chemicals approved for
use in potable waters by ANSI/NSF Standard 60 or other acceptable federal or state
standards.
3. Where is the application point of each chemical?
The inspector should note the application points and evaluate them in light of the purpose
of the chemical addition. Chemicals may counteract each other if not applied in the
6-6
proper sequence. For example, PAC will remove chlorine if it is fed downstream of the
chlorine injection point. This situation often unintentionally wastes chlorine and PAC.
Figure 6-4: Chemical Feed System
Similarly, operators must add sequestering agents fed to control iron or manganese ahead
of chlorine because the chlorine oxidizes the dissolved metals and renders the
sequestering chemicals useless. For example, insoluble calcium fluoride may precipitate
out of the water if the addition of fluoride compounds and lime are in close proximity to
each other. Water systems should in general apply certain chemicals, such as corrosion
inhibitors or fluoride, at the end of the treatment process.
As a rule, the inspector should know the application points and feed rates of all the
chemicals used in the system’s treatment plants. The inspector must understand the
purpose of the chemicals in order to evaluate the feed locations and rates. Therefore, the
inspector will often need to perform, either before or after the survey, some research on
the chemicals used by the system.
Chemical addition should not result in a cross-connection. For example, there may be a
dilution water feed line taking finished water below the filters in order to provide
disinfection to the top of the filters (i.e., unfinished water). This line would terminate
below the maximum water level of a filter or the channel feeding water to the filter beds.
This creates the possible back-siphon hazard of unfinished water entering the fresh water
supply.
4. Does the system have adequate monitoring and testing procedures?
Systems should monitor for the chemicals added as well as for the chemicals targeted for
removal. This monitoring requires following standard testing procedures, using properly
calibrated and maintained monitoring and testing equipment. The system should have
adequate facilities to undertake this monitoring and testing.
5. What is the condition of the chemical feed equipment?
The equipment must be functional and properly maintained. For example, with dry
6-7
chemical feeders, the inspector should watch for problems with “bridging” of the
chemical in the hopper. Operators should routinely check liquid feeder lines to ensure
there are no obstructions. There should also be chemical feeder redundancy.
Operators should replace chemical feed pump diaphragm foot valves, injection valves,
and control valves at least once a year. Inspect the suction and discharge piping for
discoloration and clogging. Operators must also replace discolored (opaque) feed tubing
with clear tubing to allow for visual verification of chemical feed and the absence of
clogs. The inspector should determine if there is a preventative maintenance program in
place and should examine preventive maintenance and repair records. The chemical
addition program is vital to ensure proper treatment, and the operator should have
adequate spare parts or redundant equipment to prevent interruptions due to equipment
malfunctions.
6. Do the operators routinely calibrate the chemical feed equipment?
Operators should calibrate the equipment each time they start using a new batch of
chemicals. They should also check the equipment feed rate at least daily.
Ideally, the operator should calibrate chemical feed pumps at least annually. An
alternative method is to use a graduated cylinder to verify the feed rate on a weekly or
monthly basis.
7. Are instrumentation and controls for the process adequate, operational, and used?
Controlling processes is difficult when instrumentation such as flow meters,
turbidimeters, and chlorine residual analyzers are not functional or properly calibrated.
The inspector should observe the controls and ask the operator about calibration checks
and how they make process control decisions based on the measurements. The
instrumentation is useless if the operator does not know the significance of the
measurement.
8. Is chemical storage adequate and safe?
As a recommendation, water systems should maintain a minimum of a 30-day supply of
chemicals. To address safety concerns, liquid chemical storage needs level indicators,
overflow protection, and spill containment. This is particularly important to prevent
contamination of the aquifer by tanks located near a well. Chemicals stored in the same
area should be compatible. For example, petroleum-based oils and lubricants must not be
stored near oxidizers such as KMnO4 because of fire and explosion hazards. Chemicals
must be stored in a manner that precludes a spill from entering the water undergoing
treatment or the raw water source.
PAC storage areas need to be dry and equipped with an explosion-proof electrical system.
Make sure that sodium fluoride is stored in a separate area and not with any other
chemicals. Sodium fluoride is very corrosive.
Check on access to the chemical storage. If access is difficult, the operator may not be
diligent in transferring chemicals from storage to use.
See Chapter 8 (section 8.6.2) for chlorine gas storage and safety requirements.
6-8
9. Do daily operating records reflect chemical dosages and total quantities used?
It is critical that the operator monitor daily chemical use and dose rates. Overfeeding
chemicals can be as detrimental as under-dosing. The monitoring of feed rates is a key
component to the optimized performance of any chemical feed system.
10. Is the chemical feed system tied to flow (i.e., flow paced)?
A four to 20 mA signal from a flow recorder can control the rate of the chemical feed
pump, or it can activate another pump (e.g., well or service pump) which, in turn, can
activate the feed pump when there is flow in the line.
For chemical feeders tied to a pump, it is very important that water systems use some
type of flow sensor as a failsafe. The chemical feeder should not activate until there is
flow in the pipe. Without flow control, a pump motor starter may engage but not start the
pump. If the signal that engages the starter also starts the chemical feed system, the
feeder could pump highly concentrated chemicals into the line and on to a customer.
11. Is there an operating 4-in-1 valve or equivalent on each feed pump?
This valve reduces the possibility of siphoning the chemical into the system and protects
the pump from damage due to shutdown of the discharge piping. Ask the operator to
show you how it works.
12. Is there a hazardous chemicals protection and communication program in place?
The utility should have an inventory of all hazardous chemicals, a Safety Data Sheet
(SDS) for each chemical, and written procedures for using, transporting, and handling
these chemicals. The utility also should have an emergency response plan in the event of
a spill of hazardous chemicals.
13. Is there appropriate safety equipment (e.g., cartridge respirator for calcium
hypochlorite) and personal protective equipment (PPE) (e.g., goggles and gloves)
available and in use? Do operators have the training needed to use the safety
equipment?
The PPE should be in good condition; respirators must be clean and stored in a sealed
bag. All PPE should be readily available in an appropriate location (e.g., right outside a
chlorine room instead of inside the room).
When respiratory protection is required, the utility should have a written respiratory
protection program. This program includes a fit test of the device and training in
selection, use, and care of the device. In addition, the program requires annual physical
exams of all personnel required to use the devices.
14. Is the building as clean and dry as possible?
Keeping the interior of the building clean and dry reduces the opportunity for spills of
liquid or powdered chemicals to react with water, increasing corrosion in the building.
When calcium hypochlorite mixes with water, chlorine gas escapes into the atmosphere.
This gas increases the rate of corrosion and deterioration in the facility.
15. Are all chemicals labeled and listed as NSF or UL approved for drinking water?
6-9
What is the procedure for ensuring that the chemicals delivered on the truck match the
chemical listed on the SDS? Do staff perform periodic checks, such as specific gravity to
ensure that the chemical delivered on the truck matches the SDS?
6.6 Specialty Treatment: Fluoridation
Drinking water systems may add fluoride to their water as a public health measure to prevent
tooth decay. The inspector’s responsibility is to focus on the sanitary risk of the fluoridation
system in the same way that he or she focuses on the sanitary risk of any chemical feed system in
a public water supply.
This section discusses the following four topics:
• General application of the fluoridation processes.
• Use of fluoride saturators (sodium fluoride).
• Use of sodium silicofluoride (dry feeder fluoride).
• Use of hydrofluorosilicic acid (fluoride acid feed).
6.6.1 General Application
Definition: Fluoridation is the addition of fluoride to a water supply in order to obtain an
optimum fluoride concentration in drinking water.
Chemicals: There are three chemicals used in the application of fluoride to drinking water:
• Sodium fluoride, a powder.
• Hydrofluorosilicic acid, a liquid.
• Sodium silicofluoride, a powder.
The most common chemical used in small systems is sodium fluoride.
Optimum concentration:2
Traditionally, states have based their optimum concentration on the
ambient temperature; the assumption being that as the ambient temperature increases so does the
volume of water consumed. However, acceptable ranges may vary between states, and the
inspector is responsible for being familiar with local and state regulations on fluoride.
Reaction: Fluoride in a sodium fluoride solution is fairly stable, so there is little noticeable
difference between the dosage and the residual. The notable exception is calcium. Fluoride reacts
with calcium, reducing the fluoride residual. This is most noticeable when the concentration of
calcium in the water exceeds 75 mg/L.
Fluoride is one of two chemicals that has both a primary and a secondary MCL. The primary
MCL is 4.0 mg/L, and the secondary MCL is 2.0 mg/L. At concentrations above 4.0 mg/ L
2
The U.S. Department of Health and Human Services, in a notice published in the Federal Register on January 13,
2011, proposed a change to the recommendation for the optimal fluoride level in drinking water to prevent tooth
decay. The new recommendation, 0.7 mg/L, replaces the previous recommended range of 0.7 to 1.2 milligrams per
liter. When (if) finalized, the new guidance will update and replace original recommendations provided in 1962 by
the U.S. Public Health Service.
6-10
fluoride will cause skeletal fluorosis. At a concentration of 2.0 mg/L fluoride will cause dental
fluorosis.
6.6.2 Fluoride Saturator System
Introduction: Water systems use up-flow and down-flow saturators to feed sodium fluoride. Up-
flow saturators are the most common method in small systems.
Equipment: Saturator systems are very simple, as seen in the drawing below, and are comprised
of these basic components:
• Saturator tank connected at its top to a water supply and equipped with a manifold at its
bottom.
• Float switch used to maintain the water level in the saturator.
• Water inlet system, which contains a water meter, solenoid valve, vacuum breaker, and a
softener if the feed water is relatively hard.
• Chemical feed pump.
• Electrical system including fail-safe controls.
Figure 6-5: Fluoride Saturator
Operation: Sodium fluoride crystals at the bottom of the tank dissolve and saturate the water
filling the tank. A pump feeds the fluoride solution from the tank into the water flow, eventually
dropping the water level in the saturator. When the solution drops to a certain level, a float
switch opens a solenoid valve. The valve’s opening sends make-up water down through the
distributor and up through the fluoride crystals maintaining the level in the tank and preventing
the solution’s concentrations from changing significantly.
6-11
The only way to determine the amount of fluoride fed each day is from the water meter readings
on the make-up water.
Low flow systems may need to stir or mix the solution to ensure consistent concentration of
fluoride.
Fail-safe: A low-flow or low-pressure switch must control the chemical feed pump so fluoride
can be fed only when there is adequate flow in the water line.
6.6.3 Dry Feeder Fluoride System
Introduction: Volumetric and gravimetric dry feeders feed sodium silicofluoride or sodium
fluoride crystals. Due to its lower cost, however, sodium silicofluoride is most commonly used.
Water systems typically use dry feeder systems where system flows exceed 1 million gallons per
day.
Note: See drawings and descriptions of volumetric and gravimetric dry chemical feeders earlier
in this chapter.
Operation: Metered water system flow determines the dry chemical feed rate into the solution
tank. Operators adjust the feed rate using a 4 to 20 mA signal from a flow meter. Usually, gravity
flow feeds the solution to the clearwell, or a chemical feed pump injects the solution into a water
line.
6.6.4 Fluoride Acid Feed System
Introduction: Acid feed systems are one of the simplest fluoride feed systems used. They feed
hydrofluorosilicic acid directly from a shipping container into the water system flow.
Figure 6-6: Fluoride Acid Feed System
Equipment: These basic components comprise an acid feed system:
6-12
• Set of scales to determine the quantity of chemical feed.
• Chemical feed pump system.
• Electrical system including fail-safe controls.
• Spill containment.
Operation: An acid feed system uses a chemical feed pump with an anti-siphon valve to pump
concentrated acid directly into the system flow. The only way to determine the amount of
fluoride fed each day is by weighing the solution.
Fail-safe: A low-flow or low-pressure switch must control the chemical feed pump so the pump
only injects fluoride when there is a flow in the water line.
Corrosion: Hydrofluorosilicic acid leaks are a hazard and very corrosive.
6.6.5 Sanitary Deficiency Questions and Considerations – Fluoridation
1. Can the operator answer basic questions about the fluoridation process, including
what they need to do, when, and why?
An operator’s lack of knowledge about the process and equipment is an indication that
failures of equipment or the effectiveness of the process may not be resolved in a timely
manner. Management is responsible for ensuring only well-trained staff operate and
maintain the fluoridation equipment. Inspectors may consider a lack of knowledge of this
key process a significant sanitary deficiency.
2. Is there a proper concentration of fluoride in the distribution system at all times?
Historically, states based the residual on the ambient temperature of the area. They
assume the public consumes more water as the temperature increases. Make sure the
water system follows current state requirements.
3. Do operators test fluoride concentrations in the system daily?
A key way to prevent overfeeding of fluoride is to test its concentration in the system.
The fact that there are primary and secondary MCLs for fluoride also indicates that a
prudent operator would perform this test daily. In addition, if there is any natural fluoride
in the raw water, operators must test daily because the concentration may vary from day
to day, requiring adjustments of the feed system.
4. Does the fluoride concentration vary from day to day?
The variation should not be more than 0.2 mg/L. If there is a change, check to see that
operators correctly conduct tests at the same time of day and under the same conditions.
For example, are pumps on or off? What is the concentration of fluoride in the raw
water?
5. Do operators perform testing correctly?
There are three common procedures for testing fluoride: the SPADNS method, the
ALIZARIN-VISUAL test, and the specific ion probe method. The inspector should verify
that the operator knows the proper test procedure and that the chemicals are not past their
expiration date.
6-13
6. How often do operators calibrate the testing instrument? When was the last
calibration?
Operators should perform both color tests against a standard that is part of the routine test
procedure. The inspector should determine whether the operator is performing this
portion of the test. If a specific ion probe is used, the inspector should check to see how it
is used and how often the operator replaces it.
7. Is there a water meter on the inlet line when using a saturator?
The amount of fluoride solution fed each day can be determined only by reading the
water meter on the dilution tank inlet water supply. The inspector should determine
whether the operator records this reading and calculates the total amount of water used
each day.
8. How often do operators clean the saturator tank?
The fluoride saturator should be disassembled and cleaned once a year. The operator
should remove all the crystals and replace them with new ones. This annual cleaning and
crystal replacement helps maintain the stability of the fluoride solution.
9. Is there a scale for weighing the solution tank for a liquid acid system?
The amount of acid fed each day can be determined only by daily weighing of the
solution tank. The inspector should check to see that the operator records this reading and
calculates the total amount of fluoride used each day.
10. How often are the scales calibrated?
For weight-based only dosages, operators should calibrate the scales at least annually.
11. Does a fail-safe switch control the fluoride feed system?
A low-flow or low-pressure switch must control the pump used to feed fluoride to the
water flow. The fluoride feed pump should not be allowed to come on until there is a
flow in the pipe. Without a fail-safe flow detection system, a pump motor starter may
engage but not start the pump. If the signal that engaged the pump starter also starts the
fluoride feed pump, the feed pump may feed a highly concentrated fluoride solution into
the line and into the distribution system.
6.7 Significant Deficiency Examples for Chemical Feed Systems
All significant deficiencies listed below are examples only. Each primacy agency may have
identified a different set of significant deficiencies than those listed. The state (primacy agency)
determines both significant deficiencies, and the corresponding corrective actions.
• The chlorinator feed pump is the wrong size, not working, or needs repair.
• No “4-in-1” valve if the pump supports a critical chemical feed process (i.e., fluoride,
coagulant feed, or chlorine).
• The chemical feed control system is inoperable.
• There are interruptions in the requisite disinfection process.
6-14
• There are cross connections present.
• There is no means to determine fluoride residual (i.e., a flow meter and associated
saturator for use in calculating the feed rate or a fluoride test kit).
• Failure to use NSF or ANSI-approved additives.
• Improperly labeled chemicals or missing labels.
• Operator is not performing tests daily for treatment chemicals added.
• There is not a check valve between metering pump and inlet pipe to prevent siphoning of
chemical to drinking water.
7-1
7 Chemical Contaminant Removal
The sanitary survey inspector must thoroughly evaluate all water treatment processes to ensure
the production of a safe, adequate, and reliable supply of water for consumers. The water
treatment plant is the primary barrier against unsafe water, and any malfunction in the treatment
process could result in water quality problems. Of major importance is the consistent and
continual removal of chemical contamination. The inspector must evaluate the operation,
maintenance, and management of advanced removal systems used at the water treatment plant to
identify any existing or potential sanitary deficiencies.
7.1 Learning Objectives
By the end of this chapter, students should be able to:
• Recognize sanitary deficiencies of advanced water treatment processes as they relate to
the physical facilities, operation and maintenance, and management. Issues may include
inadequate treatment, inadequate application of water treatment concepts, process
controls and cross-connections.
• Identify safety issues that affect the operations staff as well as those that could affect the
facility’s ability to perform effectively. Safety issues may include handling and storage of
hazardous chemicals, high voltage equipment, air quality and confined spaces.
• Review regulatory issues that are appropriate to each specific process to determine their
relationship to sanitary deficiencies.
7.2 Data Collection
The inspector needs to obtain as much of the following information about the water system as
possible before the survey, otherwise the water system must provide any missing or updated
information during the inspection.
7.2.1 Treatment Processes Information
The inspector should evaluate the following to assess the appropriateness of treatment processes:
• Schematics of complete treatment facilities showing the type of treatment processes used
and application points of all chemicals.
• Treatment and monitoring data for water systems required to achieve additional log-
removal/inactivation of Cryptosporidium under LT2. The Microbial Toolbox, 40 CFR
Section 141.715 and the Long Term 2 Enhanced Surface Water Treatment Rule Toolbox
Guidance Manual (EPA 815R09016) describe these treatment options.
7.2.2 Process Control Data
The inspector should verify the following to assess the quality of process control data:
• Type and frequency of testing throughout the treatment process.
• Availability and operability of on-line monitoring equipment.
• Adequacy and consistency of data recording procedures.
7-2
7.2.3 Physical Facilities Information
The inspector needs to evaluate the following regarding the system’s physical facilities:
• Buildings and rooms where treatment processes are located, with respect to accessibility,
safety, and overall maintenance.
• Operation, maintenance and design of treatment units.
7.3 Regulations and Standards to Consider
The inspector needs to consider and review the following information prior to the inspection:
• Chapter 2 of this Guide.
• Specific regulations that apply to the facility.
• Past inspection reports to identify previous compliance problems.
7.4 Purpose of Water Treatment
The purpose of water treatment is to condition, modify, or remove undesirable impurities or
pathogens in order to provide water that is safe, palatable, and acceptable to consumers. National
standards for some of the impurities considered important to the health of consumers are set
under the federal Safe Drinking Water Act (specified in 40 CFR Part 141 with maximum
contaminant levels [MCLs] and treatment techniques). If the levels of contaminants present
exceed the established MCLs, water systems must treat the water to reduce the levels.
Regulations specify treatment techniques when MCLs are not appropriate for public health
protection.
Title 40 CFR Part 143 establishes secondary standards for some impurities that affect the
aesthetic qualities of water. These standards are not enforceable by the federal government, but
states may choose to adopt and enforce them. Treatment or modification of the water to comply
with secondary standards is highly recommended because consumers may seek out unsafe
sources if the drinking water supplied by the public system has an undesirable appearance, taste,
or odor.
7.5 Removal Processes
The types of chemical removal processes covered in this section include:
• Reverse osmosis.
• Corrosion control.
• Iron and manganese removal.
• Organics removal.
• Aeration.
• Water softening.
7-3
7.5.1 Reverse Osmosis
Water systems use reverse osmosis (RO) to demineralize salt water, brackish water, and water
with high concentrations of total dissolved solids (TDS), as well as for microbial removal.
When a semipermeable membrane separates a solution that has a high TDS concentration from a
solution of low TDS, fluid flows from the dilute solution to the concentrated solution, a process
called osmosis. Osmotic pressure is the pressure created by the difference in concentration of the
two fluids.
Reverse osmosis occurs when pressure on the concentrated solution forces the fluid backward
through the membrane. The membrane removes (rejects) the TDS in the concentrated solution,
thus producing fresh water from brackish water.
Figure 7-1: Reverse Osmosis
7.5.1.1 Equipment
A typical RO facility is composed of the following components.
• Pump: A high pressure pump (typically 350 to 500 psi).
• Membrane: The membrane is commonly made of cellulose acetate. There are two
common types of membranes:
• Spiral wound.
• Hollow fiber.
• Acid feed: A pump, usually peristaltic or positive displacement, injects acid into feed
water, which blends with the raw or partially treated water flow to control or adjust pH.
Sulfuric acid is commonly used. Adjusting the water to a low pH is normal as it reduces
7-4
the natural destruction of the membrane (called hydrolysis) and retards the buildup of
calcium carbonate scale on the membrane.
• Scale inhibitor feeder: While pH adjustment controls calcium carbonate scale, the low pH
has little effect on calcium sulfate. To control calcium sulfate, water systems need to add
a polyphosphate chemical.
• Chlorinator: A chlorinator provides a residual through the unit in order to reduce bacterial
growth in the membrane.
• Cleaning tank, pump, and solution: Typical cleaning solutions include citric acid, sodium
tripolyphosphate, and proprietary products.
7.5.1.2 Performance
The primary advantage of the RO process is that it rejects a high percentage of dissolved solids
from the raw water. The rejection of the dissolved solids from contaminated, brackish, and saline
water produces water suitable for potable use. Problems associated with RO plants include:
• High initial and operating costs.
• Need for pre-treatment of turbid raw water with acid and other chemicals to prevent
fouling of the membranes by slimes, suspended solids, iron, manganese, and precipitates
of calcium carbonate and magnesium hydroxide.
• Need to stabilize finished water with pH adjustment chemicals to prevent corrosion in the
distribution system.
• Disposal of reject waste stream.
7.5.1.3 Sanitary Deficiency Questions and Considerations – Reverse Osmosis
Note: The sanitary deficiencies related to chemical feed systems in the previous chapter also
apply to this section.
1. What performance testing is the system conducting?
The facility should be testing for TDS, pH, temperature, turbidity, and alkalinity.
2. What operational data is the system collecting?
The operator needs to observe, record, and respond to pressure pump suction, discharge
pressure, and RO unit pressure differences between feed and product water. The
difference between feed and product water pressures over time is a key to determining
scale and biological buildup on the membrane.
3. Is the system using RO to meet additional Cryptosporidium removal requirements
under LT2?
If so, the operator must record daily integrity test and any process control results for all
membrane units in use that day as required by the state.
4. What chemicals are being fed and at what dosages?
The facility should calculate feed rates and dosages for the feed acid, scale inhibitor,
chlorine, and cleaning solutions.
7-5
5. Is adequate protection readily available to operators?
Because these units require the feeding of chlorine and various acids, operators need
rubber gloves, eye protection, breathing protection, rubber aprons (worn when mixing or
pouring the acids), and a safety shower in case of accidents or spills.
6. Are all automatic controls in operation?
RO facilities have various shutdown alarms and automatic systems to control the facility.
Because of the high pressures and the presence of acids, this equipment tends to fail
frequently. All automatic equipment, safety shutdowns, and alarms must be in working
order.
7. If the system blends RO-treated water with water that bypasses RO treatment, how
is the blending ratio determined and is the final water satisfactory?
Systems still must provide full treatment of water that bypasses RO treatment and must
blend the different streams in a ratio where the system meets all applicable compliance
measures. These ratios must account for any contaminants in the “bypassed water” and
must result in contaminant concentrations in the blended water that meet all applicable
water quality standards.
7.5.2 Corrosion Control
Corrosion causes the deterioration of pipe materials. It generally occurs in drinking water
distribution systems by the principle mechanism of dissolution. The dissolution of pipe materials
occurs when favorable water chemistry and physical conditions combine.
7.5.2.1 Need for Treatment
Altering water quality characteristics through treatment can extensively reduce some forms of
corrosion activity, but may have less significant effects on pipe corrosion results. Many public
water systems must implement optimal corrosion control treatment to meet the lead and copper
action levels established by the federal Lead and Copper Rule.
7.5.2.2 Corrosion Control Treatment
The primary goal of corrosion control treatment is to inhibit dissolution. The objective is to alter
the water quality so that the chemical reactions between the water supply and the pipe materials
favor the formation of a protective layer on the interior of the pipe walls. Corrosion control
treatment attempts to reduce the contact between the pipe and the water by creating a film that is:
• Present throughout the distribution and home plumbing systems.
• Relatively impermeable.
• Resistant to abrupt changes in velocity.
• Less soluble than the pipe material.
Two general approaches characterize corrosion control technologies used to inhibit lead and
copper dissolution:
7-6
• Precipitation of insoluble compounds on the pipe wall because of adjusting the water
chemistry.
• Passivation3
of the pipe material itself through the formation of less soluble metal
compounds (carbonates or phosphates) that adhere to the pipe wall.
In general, the available corrosion treatment technologies are precipitation by calcium hardness
adjustment and passivation by pH/alkalinity adjustment or the addition of a corrosion inhibitor.
7.5.2.3 Sanitary Deficiency Questions and Considerations – Corrosion Control
Note: The sanitary deficiencies related to chemical feed systems in the previous chapter also
apply to this section.
1. What are the results of current lead and copper sampling?
The water system may need to consider different corrosion control strategies if they
exceeded lead or copper action levels.
2. What are the characteristics of the water entering and leaving the treatment plant?
The operator should be able to provide test data that indicate the chemical characteristics
of the water entering and leaving the treatment plant. These data should be the basis for
developing an appropriate corrosion control program and for demonstrating chemical
additives are accomplishing the desired goals.
3. What process-control sampling do operators conduct throughout the distribution
system as part of the corrosion control program?
Operators should sample appropriate locations in the distribution system to ensure they
meet and maintain corrosion control goals and to prevent problems possibly associated
with overfeeding chemicals. For example, excessive feeding of a phosphate inhibitor
could encourage the growth of undesirable biological slimes in the distribution system
piping.
4. Is the test equipment to monitor the data appropriate and in good working order?
Since pH is generally a critical parameter in corrosion control, the test equipment must be
accurate and properly calibrated.
7.5.3 Iron and Manganese Removal
Iron and manganese comprise approximately 5 percent and 0.1 percent, respectively, of the
earth’s crust and are widely distributed in surface and ground waters in nearly all geographic
areas.
7.5.3.1 Iron and Manganese in Surface Water
Iron and manganese may be present in surface water due to their dissolution from the associated
geologic formations or from the decomposition of organic materials. Nearly all of the available
methods for iron and manganese removal, except ion exchange, rely on the oxidation of the
3
Passivation is a generic term referring to the process whereby a dense protective layer forms on the surface, which
then protects that surface from corrosion.
7-7
soluble forms to insoluble forms along with, or followed by, clarification or filtration to remove
the resulting precipitates. Therefore, the processes discussed in the section on surface water
treatment (pre-treatment, chemical addition, coagulation, flocculation, sedimentation, and
filtration) are generally adequate to deal with iron and manganese problems in surface water.
7.5.3.2 Iron and Manganese in Ground Water
Ground water drawn from underground formations of shale, sandstone, and alluvial deposits are
particularly prone to contain iron and manganese. Iron in ground water is normally in the range
of a few hundredths to about 25 mg/L with the majority of wells drawing water in which the iron
concentration is less than 5 mg/L. Manganese is usually present in ground water in a
concentration less than 1 mg/L, although, in some places, levels have been significantly higher.
7.5.3.3 Treatment Processes
Processes for removing iron and manganese from ground water are generally one of the
following:
• Oxidation (aeration, chlorination, chlorine dioxide, or potassium permanganate) followed
by filtration.
• Oxidation, clarification, and filtration.
• Ion exchange.
• Manganese greensand filtration.
Figure 7-2: Chlorine Oxidation – Filtration
7-8
Figure 7-3: Aeration – Filtration
Figure 7-4: Ion Exchange
7-9
Figure 7-5: Manganese Greensand Filtration Continuous Regeneration (CR)
Figure 7-6: Manganese Greensand Filtration Intermittent Regeneration (IR)
7.5.3.4 Application
The applicability of each of the above processes and the sequence of chemical addition depends
on the raw water quality and plant capacity at each water treatment facility. For specific
information on the design and operation of each of these processes, consult the suggested
references at the end of this guide.
7-10
7.5.3.5 Sanitary Deficiency Questions and Consideration – Iron and Manganese
Removal
Note: The sanitary deficiencies related to chemical feed systems in the previous chapter also
apply to this section.
1. What treatment process is used?
A number of processes, as well as variations on some of the standard processes, are
available for iron and manganese removal. The operator should be able to describe the
process used and why the plant is operating in that particular mode.
2. Do visual observations confirm the removal process is performing adequately?
The inspector should examine the filtered water to determine if any color is evident.
Discolored finished water could indicate iron or manganese breakthrough or an overdose
of potassium permanganate, which could result in water with a pink color.
3. What chemicals are used and in what amounts?
In a manganese greensand filtration plant, the operator may be using some combination
of chlorine, potassium permanganate, and a chemical for pH adjustment (caustic soda,
soda ash, or lime). The quantity of each chemical is critical to consistent plant
performance.
4. Where do the operators apply chemicals?
The sequence of chemical addition in a manganese greensand filtration plant greatly
influences the effectiveness of the system in removing iron and manganese. The inspector
should determine whether the plant operates in the continuous regeneration (CR) or
intermittent regeneration (IR) mode and ask the operator their objectives for operating in
a particular mode.
Generally, water systems operate in CR mode where iron removal is the main objective,
with or without the presence of manganese and requires the continuous feeding of an
oxidizer, such as chlorine, potassium permanganate (KMn04), or a combination of the
two, into the raw water prior to the filter.
Operators run the treatment process in IR mode when the water contains all or mostly
manganese, with lesser quantities of iron. In this mode, manganese oxidation occurs
directly using the properties of the freshly regenerated manganese greensand. After
treating a specific amount of water, the removed manganese depletes the oxidation
capacity of the media and regeneration is required. A normal backwash cycle regenerates
the filter bed by the down-flow passage of a dilute KMn04 solution through the filter bed.
When polyphosphate is used to sequester lower concentrations of the metals, the
inspector should check to be sure the sequestering agent has sufficient time and mixing
prior to chlorine addition.
7.5.4 Organics Removal
Commonly used methods to remove organic substances from drinking water include granular
activated carbon, powdered activated carbon, aeration, and enhanced coagulation.
7-11
7.5.4.1 Carbon Absorption
Water systems primarily use carbon absorption to reduce organics that contribute to taste and
odor and to reduce organics that contribute to trihalomethanes (THMs) formation, some of which
may be carcinogenic. The two forms of activated carbon used in the water works industry are
powdered activated carbon (PAC) and granular activated carbon (GAC).
7.5.4.1.1 Powdered Activated Carbon
Powdered activated carbon is less than 0.1 mm in diameter. One gram of PAC contains 500 to
600 square meters of surface area and weighs approximately 20 to 45 pounds per cubic foot
(0.32 - 0.72 g/cm3
).
• Use: Primarily used to remove taste and odor caused by organic compounds, as well as a
flocculation aid. Because of its high density, PAC helps to form the nuclei of the floc
particles.
• Feeding: Commonly delivered to the site in 50-pound bags. It can be fed dry or as a
slurry. The most common method of application is the use of special dry chemical
feeders where it mixes approximately 1 pound of PAC per gallon to create a slurry. This
slurry then feeds into the plant flow. Because a chemical feeder can add PAC, it is more
effective than GAC when the concentration of organics varies. However, filtration must
remove the carbon before it enters the distribution system.
• Handling: PAC requires special handling and storage. Because PAC produces large
amounts of fine powder, it is highly combustible and explosive.
• Contact Time: Contact time and concentration determine the effectiveness of PAC. The
most important of these, however, is contact time. Because PAC absorbs chlorine, it loses
its effectiveness if fed after the introduction of chlorine.
• Effectiveness: For best results in reducing taste and odor and in absorbing the precursors
to THMs, operators should feed PAC into the raw water at the front end of the plant prior
to the introduction of Cl2, with a lesser dosage fed just prior to filtration.
7.5.4.1.2 Granular Activated Carbon
Granular activated carbon ranges from 1.2 to 1.6 mm in diameter. One gram of GAC contains
650 to 1,150 square meters of surface area and weighs approximately 26 to 30 pounds per cubic
foot (0.42 - 0.48 g/cm3
).
• Use: Primarily used to remove organic compounds, which may be associated with taste
and odor production, and to prevent the formation of THMs when the concentration of
the organics is constant. Water systems may also use GAC to remove disinfection
byproducts after they have formed and to remove volatile organic contaminants (VOCs)
and synthetic organic contaminants. GAC does not require post-treatment filtration.
• Bag sizes: Usually delivered to the site in 60-pound bags or in bulk. Common uses are as
a filter medium or as media in contactor columns.
• Filter placement: The placement of GAC in a typical filter can enhance turbidity removal.
A common filtration rate for a GAC filter is 2 gpm/ft2
. Life expectancy of GAC filters
ranges from up to 3 years for taste and odor removal to as little as 1 month for THM
7-12
removal. Due to GAC’s lower specific gravity, operators must change backwashing
procedures when using GAC in filters.
• Contactor beds: GAC contactors are composed of enclosed beds of GAC. Parallel
operation of the beds allows operators to replace media in one bed while the other
remains on-line. Alternatively, columns may operate in series so that the contaminant is
entirely contained within the downstream column after the lead column becomes
saturated. After replacing the activated carbon in the saturated (upstream) column, the
operators reverse the flow so it goes through the freshest column last. This arrangement
helps maximize the use of carbon.
Water systems often use these contactors when the life expectancy of the GAC is only a few
months. It is easier to change the GAC in a contactor than in a filter bed. Systems usually install
contactors after filtration and size them based on empty bed-contact time and regeneration
frequency.
7.5.4.2 Sanitary Deficiency Questions and Considerations – Organics Removal
Note: The sanitary deficiencies related to chemical feed systems in the previous chapter also
apply to this section.
1. Why does the water system use activated carbon?
There should be some documentation of the need, such as an engineering study or a
management decision. The reasons could include taste and odor, THM, or the removal of
organics. In any case, there needs to be defined reasons (goals and treatment objectives)
for the use of activated carbon.
2. Which process does the water system use?
Is the PAC or GAC process used? It is important to remember that PAC is most effective
when the concentrations of the contaminants vary.
3. What testing do operators conduct to determine the effectiveness of the activated
carbon?
The testing should be directly associated with the defined need for activated carbon. If
the presence of THMs is the reason for using activated carbon, operators should conduct
tests to determine its effectiveness. For example, water systems use GAC as a media
layer in a filter to solve a specific problem and then forgot about it. Without proper
maintenance and testing, the GAC media can become ineffective without the operator
knowing it.
If the water system feeds PAC:
4. Have they had any problems with black water?
PAC passes through some filter media, especially pressure filters.
5. How often are the feeders calibrated?
Operators should calibrate chemical feeders feeding PAC with each new batch of PAC
and conduct daily feed rate checks by measuring the output.
7-13
6. Do the operators have proper safety equipment?
They should have dust masks, sealed safety glasses, and shower facilities.
7. Is the PAC stored properly?
PAC is an explosive dust. Storage should include an explosion-proof electrical system
and adequate ventilation.
When water systems add GAC to a filter:
8. Is the backwash adequate?
Check for the presence of mud balls, filter surface cracking, or compaction.
9. What is the depth of the GAC?
Since it is lighter than most other media, the backwash process can easily wash away
GAC. The inspector should also check to see that the operators replace carbon on a
schedule that ensures proper treatment.
10. Is the system using GAC contactors?
Ask the operator what the empty-bed contact time is, as well as the regeneration or
replacement frequency.
7.5.5 Aeration
Primarily used at ground water systems, aeration forces intimate contact between water and air,
often for transferring volatile contaminants from the water into the air. Water systems may use
aeration to:
• Reduce volatile organic compounds, radon gas, and taste and odor-producing compounds
such as hydrogen sulfide.
• Oxidize organic and inorganic chemicals such as iron, manganese, and organic matter.
7.5.5.1 Packed Tower Aeration
There are many types of aeration devices. Packed towers in particular are becoming widely used
to reduce VOCs. The objective is to contact a small volume of organic-contaminated water with
a large volume of contaminant-free air. Packing material, typically a plastic media about the size
of a ping-pong ball, fills the tower.
• Water and airflow: Water flows into the top of the tower and falls over the balls while
nozzles at the bottom of the tower force pressurized air up through the cascading water –
commonly referred to as countercurrent tower aeration. The packing material creates very
fine droplets of water in the downward flow. This aids in diffusing dissolved gases into
the upward flow of air.
• Air-to-water relationship: The air-to­water relationship typically ranges from 20-to-1 to
50-to-1 (air-to-water, volume-to-volume).
• Problems: There are two major problems associated with this process: contamination of
the water from contaminated air and violation of air quality standards from the tower.
(The output from the tower may contain a high VOC level.)
7-14
7.5.5.2 Sanitary Deficiency Questions and Considerations – Aeration
1. What type of aeration system is used?
Different types of units (cascade, tray, mechanical, packed tower, spray) are used,
depending on the purpose of treatment. The operator should be able to explain the reason
for the type of system in place.
2. What process-control parameters do the operators monitor to evaluate
performance?
Operators should routinely evaluate the efficiency of the tower. Failure to do so is an
indication that the tower may not be performing as designed. The inspector should
determine if the frequency in which operators evaluate tower efficiency meets any local
and state requirements for the facility.
Parameters typically monitored include pH, moisture, VOCs, odor, and color. If used to
reduce odor and taste, the tower may release methane gas. If this is the case, there should
be a systematic monitoring program to determine the level of methane in the area.
3. Are there contaminants nearby that the blower could draw into the air supply?
If the air intake is next to the chlorine room, lime storage area, or in a dusty environment,
the water supply may become contaminated. There should be a filter on the blower
through which the air is drawn and the operator should be able to explain the
maintenance of the filter including any cleaning or replacement requirements.
4. What types of operational problems has the facility experienced that could
contribute to poor performance of the aeration device?
Typical problems include plugged nozzles on the air system, algae and other biological
growth on the media, failure of the air blower, dirty air filter that restricts flow, and
breaking up of the floc, which causes high floc carry-over onto the filters.
5. After aeration, does the water system adequately disinfect the effluent before it
enters the water distribution system?
Contamination by wind-borne pollutants and biological growth in the packing material
requires diligent post-treatment disinfection.
6. What is the condition, both inside and outside, of the aerator?
If the aerator is not accessible for close examination, the inspector should review the
maintenance records to determine the status of the equipment.
7.5.6 Water Softening
7.5.6.1 Purpose
The primary purpose of water softening is to reduce the content of dissolved minerals,
particularly calcium and magnesium, in order to minimize the tendency of scale to form.
7-15
Softening hard water may provide additional benefits, such as:
• Biological growth control.
• Enhancement of use for boiler feed and cooling processes.
• Removal of many trace inorganics.
• Organics (e.g., disinfection byproducts precursor) removal.
The terminology and degrees of hardness vary among water treatment and supply professionals
when categorizing the concentrations of hardness in water. Table 7-1 below shows two common
severity scales used to categorize hardness.4
Table 7-1: Water Hardness Values
Description
Sanitary Engineers
(mg/L of CaCO3)
Water Conditioning Industry
(mg/L of CaCO3)
Soft 0 – 75 0 – 50
Moderate 75 – 150 51 – 100
Hard 150 – 300 101 – 150
Very Hard Above 300 Over 150
Softening water may also have the following negative results:
• The plant effluent pH of a lime soda softening facility is usually about 8.9. At pH 7.5,
only one-half of the chlorine residual is hypochlorous acid. At pH 8.9, it is down to
approximately 10 percent. This means disinfection capabilities diminish as pH increases.
• The water may become aggressive, thus corroding metal pipes.
• Disposal of the sludge is a problem.
• THM levels may increase due to elevation of the pH.
4
Source: New Hampshire Department of Environmental Services fact sheet (WD-DWGB-3-6)
7-16
Table 7-2: Definitions Pertaining to Water Softening
Term Definition
Hardness
A characteristic of water caused by divalent metallic cations, mainly
calcium and magnesium, but also strontium, ferrous iron, and
manganous ions. These cations are typically associated with anions
such as bicarbonate, carbonate, sulfate, chloride, and nitrate.
Calcium Hardness Hardness caused by calcium ions (Ca2+
).
Magnesium Hardness Hardness caused by magnesium ions (Mg2+
).
Total Hardness The sum of the hardness caused by calcium and magnesium.
Carbonate Hardness
Hardness caused by the divalent metallic cations and the alkalinity
present in the water, up to the level of the total hardness.
Non-Carbonate
Hardness
That portion of the hardness in excess of an amount equal to the
alkalinity.
Alkalinity
The buffering capacity of water to retard the change of pH; the result
of carbonate, bicarbonate, hydroxide, and occasional bicarbonate,
silicate, and phosphate; commonly expressed as an equivalent
concentration of calcium carbonate.
Calcium Carbonate
(CaCO3) Equivalent
An expression of the concentration of specified constituents in water
in terms of their equivalent value of calcium carbonate.
7.5.6.2 Softening Processes
There are two common softening techniques: lime soda and ion exchange. A number of factors
associated with operating costs, operating effectiveness, and construction costs determine the
basis for process selection.
7.5.6.2.1 Lime Soda Softening
There are three common lime soda softening processes: conventional, excess lime, and split
treatment.
7.5.6.2.1.1 Conventional Removal of Carbonate Hardness
Water systems can use a lime soda process to remove carbonate hardness by precipitation. When
magnesium hardness is high, operators can feed excess lime to raise the pH and cause the
precipitation of magnesium hydroxide. After precipitation, addition of carbon dioxide to the flow
in a process called recarbonation reduces the pH and stabilizes the water. The amount of lime
required depends on the concentration of the hardness and the type of hardness (calcium or
magnesium). Water systems use the conventional lime soda process when there is only a small
amount of magnesium hardness and feed excess lime to reduce higher levels of magnesium
hardness.
7-17
7.5.6.2.1.2 Removing Noncarbonate Hardness
In this process, soda ash addition follows excess lime softening. This second step is effective in
removing noncarbonate hardness, but additional treatment units and associated capital costs often
dissuade a water system from using it.
7.5.6.2.1.3 Split Treatment Process
The split treatment process is an adaption of the excess lime process. A portion of the water is
treated and added back into the untreated water to dilute it to the desired level of hardness. This
process reduces the amount of chemical required to soften the water and thus reduces operating
costs.
7.5.6.2.2 Ion Exchange Softening
When needed, small ground water systems and individual homes primarily use ion exchange
softeners. The unit is composed of a pressurized vessel resembling a pressure filter and primarily
filled with a resin creating a filter bed. An excess of sodium ions desorb from the resin in
exchange for the calcium and magnesium ions in the plant flow. Once the plant flow depletes the
resin of sodium ions, the treatment process reverses where a brine solution regenerates the resin
by removing excess calcium and magnesium and leaves excess calcium adsorbed onto the resin.
The hardness of the effluent of this type of facility is zero or near zero. Common ion exchange
resins include synthetic zeolites and organic polymers (polystyrene resins).
Figure 7-7: Ion Exchange Water Softener
7-18
Any water treated by an ion exchange process must be relatively free of particulate matter in
order to prevent plugging the medium and subsequent operational problems. Iron, manganese or
other heavy metals, if present at high levels, may cause problems with ion exchange resins by
binding permanently to the medium, thereby reducing the exchange capacity over time. One
problem in the operation of an ion exchange system is the disposal of spent brine from the
regeneration of the medium. Severe limits may be in place relating to the proper discharge of this
high salinity water.
7.5.6.3 Sanitary Deficiency Questions and Considerations – Water Softening
Note: The sanitary deficiencies related to chemical feed systems in the previous chapter also
apply to this section.
Lime Soda Process
1. What are the treatment goals?
The staff should have finished water quality targets for parameters such as pH, alkalinity,
and hardness. It is important that these targets are clear to all staff in order to obtain
optimum plant performance.
2. Is the facility performing adequate process control testing?
Testing at each stage of the process should include at least the following process control
tests:
• Alkalinity.
• Hardness.
• pH - Carbon dioxide.
3. Is the facility tracking the chemicals used?
Operators must monitor this process carefully as it involves the use of a number of
chemicals that may conflict with other treatment functions. For example, too high a
finished pH could cause disinfection or disinfection byproducts problems.
4. Is the facility meeting the Total Organic Carbon (TOC) removal requirements (if
applicable) of the Stage 1 DBP Rule?
Surface water systems that employ lime softening must meet Stage 1 TOC removal
requirements. The inspector should check the system’s operating records and state reports
to make sure the system is in compliance.
Ion Exchange
5. What are the treatment goals?
This treatment process can reduce water hardness to a very low level. This may result in
aggressive water quality that could contribute to lead and copper problems in the
distribution system. The operators must understand the implications of their treatment
goals in light of other possible problems.
7-19
6. What is the condition of the equipment?
Operators must understand the importance of monitoring the condition of the media.
Without careful monitoring, media fouling can result and process efficiency reduction
can result. Also, the overall condition of the filter units and valves is important to proper
operation.
7. What is the operator’s knowledge of the softening process?
Softening chemistry is typically more complicated than other treatment processes, and,
therefore, operators may have little understanding of the processes. Operators need to
understand the softening process in order to handle problems when they arise. Chemistry
training is available, and management is responsible for providing this training to the
operators.
Water systems can use the treatment processes discussed above for a variety of contaminants.
National Primary Drinking Water Regulations (NPDWR) has established best available
technologies for all of the contaminants regulated under part 40 CFR141. These regulations
define the term Best Available Technology (BAT) as the technology, treatment techniques, or
other means identified by EPA for use in complying with a NPDWR. Appendix A lists more
information on publications on regulated contaminants and their best technologies for treatment.
In addition, NPDWR has identified technologies that are feasible to small communities. EPA has
also established the Small System Compliance Technology lists and has published the three
corresponding guidance documents listed below (also listed in Appendix A). These lists present
options for small systems regarding NPDWR set prior to the 1996 Safe Drinking Water Act
(SDWA) amendments.
Guidance Documents:
• Small System Compliance Technology List for the Surface Water Treatment Rule and
Total Coliform Rule (EPA 815R98001).
• Small System Compliance Technology List for the Non-Microbial Contaminants
Regulated Before 1996 (EPA 815R98002).
• Variance Technology Findings for Contaminants Regulated Before 1996 (EPA
815R98003).
As directed by SDWA, EPA provides small system technology assessments for both existing and
future regulations. These tables are in Small Drinking Water Systems: State of the Industry and
Treatment Technologies to Meet the Safe Drinking Water Act Requirements (EPA 600R07110
(September 2007).
7.6 Significant Deficiency Examples for Chemical Contaminant Removal
All significant deficiencies listed below are examples only. Each primacy agency may have
identified a different set of significant deficiencies than those listed. The state (primacy agency)
determines both significant deficiencies, and the corresponding corrective actions.
• Improper storage and handling of powdered activated carbon (combustion/explosion
hazard).
7-20
• Proximity of compressors to potential sources of contamination for aeration processes.
• No or inoperable low flow/low pressure switches on acid, chemical, corrosion control or
scale inhibitor feed-lines.
• Missing or improper backflow prevention for chemical feed lines.
8-1
8 Disinfection
The sanitary survey inspector must evaluate the disinfection process to ensure the production of a
safe, adequate, and reliable supply of water for consumers. The water treatment plant is the
primary barrier against unsafe water, and any malfunction in the treatment process could result in
water quality problems. Of major importance is the consistent and continual feed of disinfection
chemicals to assure proper inactivation of bacteria, viruses, Giardia and Cryptosporidium. The
inspector must evaluate the operation, maintenance, and design of the disinfection process,
including the feed systems, to identify any sanitary deficiencies.
8.1 Learning Objectives
By the end of this chapter, students should be able to:
• Identify key data items required to evaluate sanitary survey risks associated with the
disinfection process at water treatment plants, such as whether liquid or gas is being used.
• Review the disinfection feed systems as key components of water treatment processes
and determine if it is adequately sized and in good operating condition.
• Recognize disinfection treatment process sanitary deficiencies as they relate to the
physical facilities, operation and maintenance, and management. Issues may include
inadequate disinfection, inadequate application of water treatment concepts to process
control, lack of understanding the purpose of disinfection, inadequate understanding of
treatment process, especially for chloramination process, poor maintenance procedures,
staffing and funding deficiencies, and cross-connections.
• Identify safety issues that affect the operations staff, and could affect the facility’s ability
to perform effectively. Safety issues may include chemical handling, chemical storage,
inadequate safety precautions for gas chlorination, and confined spaces.
• Review regulatory issues that are appropriate to each specific process to determine their
relationship to sanitary deficiencies.
8.2 Data Collection
The inspector needs to obtain as much of the following information about the water system as
possible before the survey, otherwise the water system must provide any missing or updated
information during the inspection.
8.2.1 Disinfectant Usage in Treatment Processes
The inspector should evaluate the following to assess the appropriateness of the utility’s
disinfection practices:
• The specific chemicals used and purpose of addition.
• The types of disinfection systems in operation (i.e., liquid, gas, solid).
• If gas chlorination is under vacuum or pressure.
• The quantities added.
8-2
• The application points.
8.2.2 Process Control Data
The inspector should verify the following to assess the quality of process control data:
• Type and frequency of testing throughout treatment process.
• Availability and operability of on-line monitoring equipment.
• Adequacy and consistency of data recording procedures.
8.2.3 Physical Facilities Information
The inspector needs to evaluate the following regarding the system’s physical facilities:
• Buildings and rooms where disinfection feed systems are located with respect to
accessibility, safety, and overall maintenance.
• Operation, maintenance and design of disinfection feed systems such as adequately sized
chemical feed pumps, proper ventilation, appropriate feed points, and adequate
disinfectant storage.
8.3 Regulations and Standards to Consider
The inspector needs to consider and review the following information prior to the inspection:
• Chapter 2 of this Guide.
• Specific regulations that apply to the facility.
• Past inspection reports to identify previous compliance problems.
• ANSI/NSF International standards 60 and 61.
8.4 Purpose of Disinfection
Disinfection is the process of killing or inactivating a large portion of the microorganisms in
water, with the probability that the process will inactivate all pathogenic bacteria and viruses.
Inadequate disinfection directly relates to many of the failures to meet drinking water standards.
In addition, chlorine, the most widely used disinfectant, must be stored and handled properly for
the protection of operators and the public. The inspector must determine if the disinfection
system is adequate and reliable. This helps ensure that the water is safe to drink.
8.5 Understanding Disinfection
Chlorination is the most common disinfection method used by water systems in the United
States. However, there is a general trend in public water systems to use other disinfection
systems such as:
• Ozone.
• Ultraviolet light (UV).
• Chlorine dioxide.
• Chloramination.
8-3
Ozone and UV usually require the addition of chlorine or chloramines to meet the residual
requirements of the Surface Water Treatment Rule (SWTR), 40 CFR 141.73.
8.5.1 Dosages and Residuals
8.5.1.1 Review of Terms
The standard term for the concentration of chlorine in water is milligrams per liter (mg/L). The
concentration of chlorine gas in the atmosphere is measured in parts per million (ppm).
8.5.1.2 Dosage
The total amount of chlorine fed into a volume of water by the chlorinator is the dosage. This
value should be calculated da0ily in mg/L. Operators may record chlorine usage as pounds or
gallons per day. While the number of pounds or gallons used per day is important, it is not the
dosage but the feed rate that is important. As flow rates vary, the amount of disinfectant must
also adjust to prevent over or under dosing.
Changes in disinfection practices may affect the production of disinfection byproducts, such as
trihalomethanes (THM) and haloacetic acids (HAA), and have a significant impact on the
disinfection benchmark. Therefore, the inspector should not suggest changes to treatment
practices without fully understanding the system’s specific situation.
8.5.1.3 Demand
Chlorine is a very active chemical oxidizing agent. When injected into water, it combines readily
with certain inorganic substances that are oxidizable (e.g., hydrogen sulfide, nitrate, and ferrous
iron), and organic impurities including microorganisms, and organic nitrogen compounds such as
protein and amino acids. The definition of “chlorine demand” is the amount of chlorine
consumed by these reactions. Temperature, pH and other factors can extend the reaction time
between chlorine and most organic compounds to hours or days. That is, the measurable demand
at the end of 20 minutes could be less than the measurable demand at the end of one hour of
contact.
8.5.1.4 Residual
Residual, measured in mg/L, is the amount of chlorine present in the water after the dose has
reacted with organics and other substances present in the water.
Chlorine Residual (mg/L) = Chlorine Dose (mg/ L) - Chlorine demand (mg/L)
8.5.1.5 Contact Time
The contact time is the interval in minutes (T) that elapses between the dosage point into the
water and a downstream sampling point. Completion of the disinfection process requires a
certain minimum period of time, depending on disinfectant and its residual concentration (C),
water temperature, pH, and flow rate.
In general, the contact time for ground water systems should be adequate to ensure inactivation
of 4-log viruses under peak demand flow conditions. The contact time for surface water systems
must be adequate to ensure compliance with the requirements of SWTR. More time may be
8-4
desirable under unfavorable conditions, such as when the raw water has high levels of microbial
contamination.
To determine if disinfection is adequate to inactivate viruses and Giardia cysts, the SWTR
requires unfiltered systems to determine CT values and show they are adequate to ensure
inactivation of 4-log viruses and 3-log Giardia lamblia. Under LT2, unfiltered systems using
chlorine dioxide or ozone must determine CT values daily, to show they are meeting their
required Cryptosporidium inactivation.
Filtered systems must show that filtration and disinfection combined provide the required 3 and 4
log inactivation of Giardia and viruses. Also under LT2, filtered systems may be required to
provide additional Cryptosporidium removal and/or inactivation. The Surface Water Treatment
and LT2 rules and their respective guidance manuals provide additional information on the
requirements and methods for determining CT values.
8.5.2 Chlorine Chemistry
Regardless of the form of chlorination – chlorine gas or hypochlorites – the reaction in water is
basically the same. Chlorine mixed with water produces two general compounds, HOCl
(hypochlorous acid) and OCl (hypochlorite ion). The free chlorine residual is the measurement of
both compounds. If organic or inorganic compounds, especially nitrogen compounds, are
available, the HOCl combines with them to produce chloramines or chloro-organic compounds.
The combined chlorine residual is the measurement of these particular compounds present in the
water.
8.5.2.1 Germicidal Effectiveness
The consensus among water professionals is that a free chlorine residual of HOCl and OCl is
much more effective as a disinfectant than a combined chlorine residual.
8.5.2.2 Breakpoint Chlorination
To produce a free chlorine residual, operators must add enough chlorine to destroy the nitrogen
compounds through a process called breakpoint chlorination. While this process destroys most of
the nitrogen compounds, it does not destroy all of them. Those that remain combine with the
chlorine, which produces the “irreducible combined residual.”
Free + Combined = Total
For many systems, this results in a residual in the distribution system that includes free and
combined residuals. The “total chlorine” residual is the measurement of both of these residuals.
The combined residuals are the primary contributors to taste and odor problems in a system.
Table 8-1 shows the threshold of odor of various residuals.
8-5
Table 8-1: Threshold of Odor of Various Residuals
Compound Threshold of Odor
Free HOCl 20 mg/L
Monochloramine 5 mg/L
Dichloroamine 0.8 mg/L
Nitrogen trichloride 0.02 mg/L
8.5.2.3 Taste and Odor Considerations
As can be seen from the previous table, taste and odor complaints result primarily from
combined residuals that form after the system has added enough chlorine to produce
dichloramines and nitrogen trichloride. If the system operates with a free chlorine residual but
receives chlorine taste and odor complaints, the inspector should suggest that the operator
measure both free and total residuals. As a rule of thumb, if the free chlorine residual is less than
85 percent of the total, the odor and taste problem is a result of combined residuals, which may
be resolved in two ways:
• Remove the precursors that cause the combined residuals.
• Increase the chlorine dosage. There may be an insufficient quantity of chlorine (pound for
pound with the organics) to oxidize the organic compounds sufficiently to avoid the
problem.
When a system uses chloramines as a residual disinfectant, the operator must pay close attention
to the chlorine-ammonia feed ratio to ensure that the residual is monochloramine.
Figure 8-1: Reactions of Chlorine in Water
8-6
8.5.3 Stage 1 and Stage 2 Disinfectants and Disinfection Byproducts Rules
Two considerations for the sanitary survey inspector should be the development of disinfection
byproducts and maximum residual disinfectant levels (MRDLs). In addition to THM and HAA
byproducts, plants that use ozone or chlorine dioxide can also produce other regulated
disinfection byproducts – bromate and chlorite, respectively.
The inspector should review the Stage 1 and Stage 2 Disinfectants and Disinfection Byproducts
Rule (D/DBPR) for information on maximum allowable residual disinfectants, maximum
contaminant level for disinfection byproducts, and treatment technique requirements (i.e.,
enhanced coagulation and enhanced softening).
8.5.4 Sanitary Deficiency Questions and Considerations – Disinfection Methods
1. Can the operator answer basic questions about the specifics of their disinfection
process? Do they know when and where disinfection occurs and why they are dosing
at particular sites?
An operator’s lack of knowledge of the process and equipment indicates that equipment
failure or process effectiveness may not be resolved in a timely manner. Management is
responsible for ensuring operators are well trained in the use and maintenance of
disinfection equipment. The inspector could consider a lack of knowledge related to this
key process a significant sanitary deficiency.
2. Have there been any interruptions in disinfection? If so, why?
If the system provides disinfection because they use a surface water source or has had a
bacteriological problem, then interruption of service is a significant consideration.
Interruptions often occur when a chemical feed pump fails or during cylinder changes
when operators connect only one cylinder at a time.
3. Is a proper residual entering the distribution system at all times?
The SWTR requires that a disinfectant residual of 0.2 mg/L be present at the entry point
to the distribution system. This residual must occur after sufficient contact time to meet
SWTR inactivation requirements. Some states may require a higher residual at the entry
point to the system. In addition, the inspector should verify where this point is in the
system and that an operator measures this residual at this point at least daily.
If the system adds ammonia to create chloramines, the residual is combined chlorine and
should generally be considerably higher than 0.2 mg/L, but, again, the federal
requirement is only 0.2 mg/L.
4. What disinfectant residual does the system maintain?
The SWTR includes requirements for a detectable disinfectant residual to be present at
coliform sampling points in the system, but some states may require a higher value. The
inspector should verify that testing sites are representative of the system and thus provide
sufficient information to ensure the system meets the disinfectant residual requirements
and does not exceed the MRDLs of the Stage 1 D/DBPR. The inspector may wish to
measure residuals at points of high residence time.
8-7
In addition to verifying that there is a proper residual, the inspector should determine
whether the equipment and testing methods are adequate. See the Distribution and
Process Control chapters (11 and 13, respectively) for more details on testing.
5. Is the contact time between the point of disinfection and the first customer
adequate?
Maintaining disinfection residuals at adequate concentrations throughout the distribution
is important to assure safe drinking water to the consumers. There are, however, some
drinking water regulations (the various Surface Water Treatment Rules and in some cases
the Ground Water Rule) that require sufficient disinfection residual and contact time prior
to or at the first customer to achieve the CT needed to inactivate viruses, Giardia and
Cryptosporidium. The inspector should ask questions about disinfectant residuals, contact
time and first customer location.
6. Do the operators measure and record the temperature and pH of the water at the
point of chlorine application?
The CT value required for proper inactivation of Giardia and viruses depends on the pH
and temperature of the water. Therefore, the SWTR requires operators to take these two
measurements daily and calculate CT at peak hourly flow. Operators must measure pH
with a meter, not with litmus paper or a color comparator, and temperature with a
calibrated thermometer. CT values for the inactivation of Cryptosporidium with chlorine
dioxide or ozone depend on water temperature and is not dependent on pH.
7. Was the system required to prepare a disinfection profile? Is the profile available
for review?
The inspector should review the system’s disinfection profile on site and check to ensure
that adequate CT is available to meet the surface water treatment rule (SWTR)
removal/inactivation requirements. The inspector should inquire about any planned or
potential changes in disinfection practices.
8.6 Common Types of Disinfection
8.6.1 Hypochlorination Systems Facilities
8.6.1.1 Introduction
Modern hypochlorination systems are very reliable and effective. With the implementation of
new regulations regarding chlorine, many small and medium-size facilities have switched to this
safe, easy method of disinfecting water. The primary disadvantage of hypochlorination systems
is their higher annual operating costs compared to gas systems. However, as a result of new
safety and environmental regulations, the cost of using chlorine gas has continued to rise, making
hypochlorination systems more desirable. Water systems should list hypochlorites in their
hazardous materials inventories, and they should have written procedures for handling and using
hypochlorites, and responding to spills.
8-8
8.6.1.2 Sodium Hypochlorite Considerations
Of all the chlorine disinfection products, sodium hypochlorite presents the least handling hazard
to the operator. Sodium hypochlorite is available in concentrations from 5 to 15 percent. Personal
protective equipment for handling sodium hypochlorite includes chemical goggles and gloves.
8.6.1.3 Calcium Hypochlorite Considerations
Calcium hypochlorite is a powder containing chlorine in concentrations up to 67 percent.
Operators mix enough of the powder in a solution tank using finished make-up water to create a
1 percent to 3 percent solution, which feeds into the water flow. Calcium hypochlorite can be
difficult to dissolve in hard water (above 125 mg/L total hardness). It is also available in tablet
form with flow through contactors for residual formation.
Personal protective equipment needed for handling includes a cartridge respirator for chlorine
with a dust filter, chemical goggles, and gloves.
8.6.1.4 Sanitary Deficiency Questions and Considerations – Hypochlorination Systems
Facilities
Note: The sanitary deficiencies related to Disinfection Dosages and Residuals earlier in this
chapter apply to this section too.
1. What kind of hypochlorite is used (e.g., calcium, sodium, or others)?
Sodium hypochlorite is vulnerable to a significant loss of available chlorine over time.
The deterioration of sodium hypochlorite solutions is more rapid with increasing
concentrations and increasing temperatures. Thus, the inspector should ask how much
chemical is on hand and how old it is. Table 8-2 shows the half-life (in days)
deterioration of sodium hypochlorite. Water systems can use this information to
determine the concentration of solution that best fits their needs.
Table 8-2: Half Life Deterioration in Days of Sodium Hypochlorite
Percent Temperature
212 °F 140 °F 77 °F 59 °F
10.0 0.079 3.5 220 800
5.0 0.25 13.0 790 5,000
2.5 0.63 28.0 1,800
0.5 2.5 100.0 6,000
Sodium hypochlorite is a corrosive liquid. It should not be stored with dry chemicals or
other liquids with which it can react, such as petroleum products.
Calcium hypochlorite has a long life, but feed equipment requires greater maintenance
than when sodium hypochlorite is used. The calcium hypochlorite solution contains a
8-9
great deal of abrasive material that deteriorates the chemical feed pump suction and
discharge valves.
Calcium hypochlorite is a fairly reactive oxidizer that should not be stored with other
chemicals with which it can react. Under no conditions should petroleum products be
stored with calcium hypochlorite. The reaction between chlorine and petroleum products
is quick and violent.
2. Is there a cover on the solution tank to minimize corrosive vapors?
If the tank is not covered, chlorine gas escapes into the room and could deteriorate the
equipment.
3. Is there adequate spill containment?
Water systems should use a double tank or a secondary containment area around all
chemical storage tanks.
4. Do operators follow safety procedures during chemical handling and mixing?
Observe operator Personal Protective Equipment (PPE) and the space where chemicals
are stored and used. If PPE is missing, damaged, located in inappropriate areas, or the
space is not clean, the inspector should question if the operators are actually following
safety procedures.
8.6.2 Gas Chlorination Systems
8.6.2.1 Gas Systems
Various manufacturers produce a varying array of gas systems, but the inspector need not be
familiar with all of these systems. The systems used by water utilities fall into one of three
general categories:
• Pressure systems.
• Remote vacuum systems.
• Cylinder-mounted systems.
The easiest way to tell a remote vacuum system from a pressure system is to look at the line from
the cylinder to the chlorinator. If the line is metal, the system uses gas under pressure between
the cylinder and the chlorinator. If the line is plastic, a remote vacuum system is in use and the
gas is under a vacuum between the cylinder and the chlorinator.
8.6.2.2 Facility
The following drawing shows the key points of a small gas-chlorine facility. In general, these
include:
• Containment of the chlorine, should there be a release or leak.
• Air treatment system.
• Gas leak alarm system.
• Crash bars on doors.
8-10
• Negative pressure in the room when the air treatment system is operating.
• Overhead sprinkler system with a 20-minute capacity.
• Containment of the air treatment system and sprinkler water.
• Emergency power for the air treatment system.
• Booster pump to provide pressure to the injector.
• Scales to weigh the cylinders.
8.6.2.3 Gas Containers
Manufacturers provide gas chlorine in 100 and 150 pound cylinders, 1-ton containers, and tank
cars. (These values are the net weight of liquid chlorine in the container.) Most small systems use
100 and 150 pound cylinders.
Note: Classification of gas chlorine has changed. As a result, different regulations apply to gas
chlorine.
Figure 8-2: Chlorine Gas Treatment Room
8.6.2.4 Safety Consideration for Operators
The inspector must focus on the adequacy and reliability of the chlorination system to provide
disinfection. However, the threat of injury or illness to the operator caused by the chlorination
system means a review of the major safety considerations for gas chlorination systems is
advisable.
8-11
8.6.2.5 Sanitary Deficiency Questions and Considerations – Gas Chlorination Systems
Note: The sanitary deficiencies related to Disinfection Dosages and Residuals earlier in this
chapter also apply to this section.
1. How do operators detect leaks? Do they use automatic detectors or some manual
form of detection?
If water systems use automatic detectors, at what detection concentration do the operators
set the instruments? The operators should also test them at least monthly. For manual
detection methods, some operators may have a squeeze bottle of diluted liquid soap to
squirt around fittings, which detect leaks if bubbles form. Others may use a dilute
ammonia solution. Figure 8-3 shows 26o
Baume ammonia water and strips from a
cellulose acetate cleaning sponge in a squeeze bottle5
that operators can use to create
ammonia vapor to detect leaks. If chlorine gas is present, a dense white cloud or fume
will develop.
Figure 8-3: Components of an Ammonia Squeeze Bottle
2. Is the sensor tube for the automatic detector near the floor level? Is there a screen
on the end of tube?
Look at the leak detector. Some new detectors use solid-state sensors, which operators
must replace each year. The sensor tube should be located no more than 12 inches from
floor level.
3. Is the chlorination equipment properly contained?
The design of the room that houses the chlorination equipment should fully contain a
chlorine release or leak.
One common deficiency of these rooms are floor drains. The inspector should ask the
operator if he keeps the drain sealed when not used for floor cleaning especially if the
drain connects to others in different areas of the facility.
5
Source: AWWA OpFlow, December 1986, Volume 12, Number 12, page 3, Gimmicks and Gadgets
8-12
4. Is the chlorination room vented at floor level with an adequate make-up air supply
coming from the ceiling across the room? Where is the vent switch located?
The inspector should determine if the design of the air exhaust and intake systems
provide a slight negative pressure in the chlorine room when the air ventilation system is
operating. A switch on the outside of the door allows the operator to turn on the air
handling system prior to entry. The ventilation system may also be automatically
activated when the door is opened or when the light is turned on.
Many organizations have classified chlorine rooms as confined spaces. [Note: Do not
enter if you are not sure that the air handling system is operating properly.]
5. Does the door in the chlorination room open out and have a panic bar and a
window?
The panic bar and outward-opening door are operator safety concerns and not a direct
sanitary deficiency. The window allows the operator to observe the conditions in the
chlorine room without entry, thus reducing exposure to hazardous conditions.
6. Are there any cross-connections in the chlorine feed make-up water or injection
points?
A common cross-connection problem in chlorination facilities is a drinking water
connection to the injector and the make-up water for hypochlorination systems. There
must be a physical separation or an acceptable backflow preventer between the drinking
water system and the feed water to the injector.
7. Is there an alarm tied to interruptions in the chlorine feed?
Low system vacuum and low cylinder pressure are the two most common alarm systems.
If there is an alarm system, does it work? Does the system shut down the flow of water,
or just initiate an alarm?
8. Does the system use automation, pace with flow, chlorine residual analyzer, or other
system to adjust feed rates? Does it work?
Finding automatic equipment that does not work is fairly common. Determine whether
the system provides adequate residual during high flows and whether the residuals are
higher during low flows. Failure of the system to dose according to varying flow rates is
a significant sanitary deficiency.
9. Is there more than one cylinder, and are they equipped with a manifold and an
automatic switch-over to avoid running out of chlorine?
The inspector should determine whether the switch-over devices work. If there is only
one cylinder, determine if the operator shuts off water flow when the cylinder is changed.
Failure to shut off the flow of water interrupts disinfection.
10. Are the cylinders on a working scale?
Operators must use a scale to determine the amount of chlorine used each day. To
calculate dosage and signal the amount of chlorine remaining in the cylinders, operators
must also routinely maintain and calibrate the scales.
8-13
11. Are the valves on the tanks only open a quarter turn and have a wrench in place for
quick turnoff?
Cylinders can provide a full feed of 40 pounds per day by opening the valve one-quarter
of a turn. Opening the valve more is not necessary. By opening it only one-quarter of a
turn and leaving the wrench in place, the operator can quickly shut down the cylinder if
there is a release.
12. Are the operators properly marking all cylinders and restraining them to prevent
falling?
Operators should clearly mark and store cylinders in a manner that clearly indicates
which cylinders are full and which are empty.
All cylinders should each be restrained to an immovable object (e.g., a wall) with their
own chain at a height of about two-thirds their height from the bottom to prevent falling.
A single chain restraining multiple cylinders is not sufficient nor safe. In an earthquake
zone, restrain cylinders with their own chains at or near the bottom.
13. Do operators follow safe practices during cylinder changes and maintenance?
Has the utility provided detailed training on handling and changing cylinders? Managers
should document this training, and operators should practice safety training at least
yearly.
Check to see if there is a written standard operating procedure for changing cylinders.
Operators may use ammonia to check if there is a proper seal when replacing or installing
a chlorine gas tank. Determine if the operators use the proper strength of ammonia for
chlorine leak detection.
14. How many individuals are present when the chlorine cylinders are changed?
Industry standards call for two people, one to change the cylinder and one to watch. If
this is not possible, switching to hypochlorination may be a safer option.
15. What type of respiratory protection is used?
When respiratory protection is required, the utility should provide a written respiratory
protection program. This program usually includes a fit test of the device and training in
its selection, use, and care.
16. Is there an emergency plan, and when was it last practiced?
The facility should have a written emergency evacuation plan and should practice
implementing the plan at least annually.
17. What is the operating condition of the chlorinator?
Operators should disassemble, clean and rebuild all gas chlorination equipment every
year. The rotameter can provide a clue as to the frequency of cleaning. If there is a heavy
green or blackish film coating on the inside, the machine is past due for cleaning.
In addition, general appearance can also be a key. Check preventative maintenance and
repair records and determine if operators routinely perform preventative maintenance.
8-14
Some indicators of problems for gas chlorination are valves, piping, and fittings that are
damaged, badly corroded, or loose; no gas flow to the chlorinator; and frost on tank,
valves or piping.
18. Is redundant equipment available, and are there adequate spare parts?
Disinfection must be continuous. Therefore, the utility’s standard operational procedures
should have provisions for stand-by equipment of sufficient capacity to replace the
largest unit. If stand-by equipment is not available, operators should stop flow to the
water system for any interruptions in disinfection and have critical spare parts on hand for
immediate replacement. At a minimum, the system must have spare diaphragms and a set
of lead gaskets.
19. Are the appropriate lighting, guards, and railings in place? Are there other safety
concerns, such as electrical hazards?
There should be no exposed wiring, and equipment should not be hard-wired into the
electrical system unless designed to do so. The breaker box should be located outside the
building and locked. Operators should have feed pumps properly mounted and secured to
prevent moving or falling from the vibrations. As with all other water system facilities,
operators must keep the building adequately secured from public access.
Note: These general sanitary deficiencies of chemical feed systems are applicable to all feed
systems used for all chemicals employed in the treatment process.
8.6.3 Disinfection with Ozone6
8.6.3.1 Introduction
Utilities use ozone in water treatment for disinfection and oxidation. Early application of ozone
in the United States was primarily for non-disinfection purposes such as color removal or taste
and odor control. However, since the implementation of the SWTR and D/DBPR, ozone usage
for primary disinfection has increased in the United States.
Ozone, a gas at room temperature, is highly corrosive and toxic. It is also a powerful oxidant,
second only to the hydroxyl free radical, among chemicals typically used in water treatment.
Therefore, it is capable of oxidizing many organic and inorganic compounds in water. These
reactions with organic and inorganic compounds cause an ozone demand in the water flow,
which should be satisfied during ozonation, prior to developing a measurable residual. Typical
concentrations of ozone found during water treatment range from <0.1 to 1 mg/L, although
optimum conditions can produce higher concentrations.
Because ozone is an unstable molecule, water systems generate it at the point of application for
use in water treatment. The source of oxygen needed to produce ozone can be from oxygen
present in air or high purity oxygen. The most common method for generating ozone is corona
discharge, but systems may use other methods as well.
6
For more information on disinfection with ozone, please refer to the publication, EPA Guidance Manual on
Alternative Disinfectants and Oxidants (April 1999).
8-15
Corona discharge, also known as silent electrical discharge, consists of passing an oxygen-
containing gas through two electrodes separated by a dielectric and a discharge gap. Voltage
applied to the electrodes causes an electron flow across the discharge gap. These electrons
provide the energy to disassociate the oxygen molecules, leading to the formation of ozone. The
following illustrations depict a basic and a simplified ozone generator.
Figure 8-4: Basic Ozone Generator
Figure 8-5: Simplified Ozone System Schematic
8.6.3.2 Systems
Ozone water treatment systems have four basic components: a gas feed system, an ozone
generator, an ozone contactor and an off-gas destruction system. The gas feed system provides a
8-16
clean, dry source of oxygen to the generator. The ozone contactor transfers the ozone-rich gas
into the water to be treated, and provides contact time for disinfection (or other reactions). The
final process step, off-gas destruction, is required, as ozone is toxic in the concentrations present
in the off-gas. Some plants include an off-gas recycle system that returns the ozone-rich off-gas
to the first contact chamber to reduce the ozone demand in the subsequent chambers. Some
systems also include a quench chamber to remove ozone residual in solution.
8.6.3.3 Facilities
As mentioned above, systems can generate ozone from oxygen present in air or high purity
oxygen. Following is a description of the two types of ozone generation systems and other
components.
8.6.3.3.1 Oxygen Feed Systems
Liquid oxygen feed systems are relatively simple, consisting of a storage tank or tanks,
evaporators to convert the liquid to a gas, filters to remove impurities, and pressure regulators to
limit the gas pressure to the ozone generators.
8.6.3.3.2 Air Feed Systems
Air feed systems for ozone generators are fairly complicated as water systems need to properly
condition the air to prevent damage to the generator. Air preparation systems typically consist of
air compressors, filters, dryers, and pressure regulators.
8.6.3.3.3 Ozone Contactors
After injection into the water flow, the dissolved ozone reacts with the organic and inorganic
constituents, as well as any pathogens. Common ozone dissolution methods include bubble
diffuser contactors and injectors.
8.6.3.3.4 Bubble Diffuser Contactors
The most commonly used ozone contactor is the bubble diffuser. This method offers the
advantages of no additional energy requirements, high ozone transfer rates, process flexibility,
operational simplicity, and no moving parts. The Ozone Bubble Contactor (Figure 8-6) illustrates
a typical three stage ozone bubble diffuser contactor. This illustration shows a countercurrent
flow configuration (ozone and water flowing in opposite directions), an alternating
cocurrent/countercurrent arrangement, and a cocurrent flow configuration (ozone and water
flowing in the same direction). Bubble diffuser contactors use ceramic or stainless steel diffusers
that are either rod-type or disc-type to generate bubbles.
8.6.3.3.5 Injector Contactors
Typical injector contactors rely on a venturi section of the water stream which creates a negative
pressure that draws the ozone into the water. In many cases, a higher pressure side-stream of the
total flow increases the available vacuum for ozone injection. After injection into this side-
stream, the water containing all the added ozone blends with the remainder of the plant flow
under high turbulence to enhance dispersion of ozone into the total flow of water. Figure 8-7
illustrates typical in-line and side-stream ozone injection systems.
8-17
Figure 8-6: Ozone Bubble Contactors
Figure 8-7: In-Line and Side-Stream Ozone Injection Systems
To meet the CT disinfection requirements, additional contact time is required after the injector,
typically in a plug flow reactor. The additional contact volume is determined in conjunction with
the applied ozone dosage and estimated residual ozone concentration to satisfy the disinfection
CT requirement.
8-18
8.6.3.3.6 Off-gas Destruction Systems
Destruction systems collect the off-gas from an ozone contactor and convert the ozone back to
oxygen prior to release to the atmosphere. A blower on the discharge side of the destruct unit
pulls the air from the contactor, which places the contactor under a slight vacuum to ensure no
ozone escapes.
8.6.3.4 Sanitary Deficiency Questions and Considerations – Ozone
1. Why is the utility using ozone?
The operator should be able to discuss the purpose for using ozone and the treatment
objectives.
2. What secondary disinfectant does the water system use?
Water systems can only use ozone as a primary disinfectant since it cannot maintain a
residual in the distribution system. Therefore, these systems must use a secondary
disinfectant, such as chlorine, chloramine, or chlorine dioxide for a complete disinfection
system.
3. What type of process control monitoring does the utility conduct?
Operators can use raw water quality, turbidity and ozone demand (the amount of ozone
required for all oxidation requirements of the water) to assess how to effectively use
ozone in the treatment process (see discussion on question 8). Water temperature, pH and
alkalinity are also important in some of the other treatment objectives.
4. How and where does the system generate ozone?
Water systems need a properly constructed building to protect ozone generators from the
environment and to protect personnel from leaking ozone in the case of a malfunction.
This generator room needs adequate ventilation to control the temperature and for
exhausting the room in the case of a leak. The room must also have adequate space to
remove the tubes from the generator shell and to service the generator power supplies.
Air prep systems tend to be noisy; therefore, it is desirable to separate them from the
ozone generators. Off-gas destruct units can be located outside, if the climate permits. If
placed inside, the room should have an ambient ozone detector installed in the enclosure.
All rooms need properly installed ventilation, heating and cooling to match the
equipment-operating environment.
5. Is there an ozone monitoring plan to address the entire ozonation process?
During operation of an ozonation system it is necessary to analyze for ozone in both the
liquid and gas phase to determine the applied ozone dose, ozone transfer efficiency, and
(for primary disinfection) residual ozone level. A monitor, where the gas stream exits the
ozone generator, measures the applied ozone dose. A second monitor, where the off-gas
exits the ozone contactor measures the amount of ozone transferred to the liquid phase in
the contactor, which determines the ozone transfer efficiency. A third monitor measures
the residual ozone in the disinfected water, exiting the ozone contactor or cells within the
contactor, to ensure the process meets any CT requirements.
6. What are the application points for the ozone?
8-19
The typical locations for feeding ozone in a water treatment plant are at the head of the
treatment plant (raw water) pre-ozonation and after sedimentation.
7. How is ozone inactivation (CT) determined?
There are several methods of determining ozone inactivation credit. The methods differ
in the level of effort needed and in the ozone dose needed to achieve a level of
inactivation. The operator should be able to explain the method used, as well as the
contactor sampling locations used in inactivation calculations. Methods for determining
ozone inactivation are included in the EPA SWTR Guidance Manual and in the EPA Long
Term 2 Enhanced Surface Water Treatment Rule Toolbox Guidance Manual.
8. Does the utility have an operation and maintenance plan for the ozone system?
Even though ozone systems are complex, using highly technical instruments, the process
is highly automated and very reliable. Maintenance on generators requires skilled
technicians. Operators should check generators daily, when in operation and periodically
change filters and desiccant in air preparation systems, where the frequency depends on
the quality of the inlet air and the number of hours in operation. Compressors require
periodic service, depending on the type and operating time.
Certified professionals should periodically pressure test liquid oxygen tanks as well. Ask
the operator how often they inspect piping and contact chambers for leaks and corrosion
and how often they clean the dielectric tubes. The water system should have procedures
in place and provide the equipment needed for cleaning operations as well as storage
space for spare tubes.
9. Is the utility complying with the MCL for bromide and the monitoring requirements
under the D/DBPR?
Ozone does not form halogenated Disinfectants and Disinfection Byproducts (D/DBPs-
[THM and HAA ]) in reactions with natural organic matter, but it does form a variety of
organic and inorganic byproducts. However, if bromide ions are present in the raw water,
ozone may react with them to form halogenated DBPs. Therefore, the rule requires water
systems, community and non-transient/non-community, using ozone for disinfection or
oxidation to monitor for bromate.
10. Has management provided for the safety of the operators responsible for the
operation and maintenance of all ozonation processes?
The water system is responsible for providing necessary instrumentation for ozone
systems to protect both personnel and the equipment such as gas phase ozone detectors
installed in generator rooms, where ozone gas may exist and personnel are routinely
present. Systems should also have an ozone detector installed on the outlet from the off-
gas destruct unit, to ensure the unit is working properly.
8.6.4 Disinfection with Ultraviolet Light
8.6.4.1 Introduction
The use of UV for disinfection of drinking water continues to grow in public water systems, due
to its ability to inactivate pathogenic microorganisms without forming regulated disinfection
8-20
byproducts. UV light is effective against some pathogens, such as Cryptosporidium, that are
resistant to common disinfectants like chlorine. UV can achieve significant inactivation of
Cryptosporidium, as well as Giardia, at relatively low doses of UV light. Unlike some other
disinfectants, inactivation using ultraviolet light (UV) is not dependent on temperature or pH.
Some viruses, particularly adenoviruses, are much more resistant to UV light than
Cryptosporidium and Giardia and require much higher doses of UV light. EPA has published a
table providing UV dosages required for differing log inactivation of pathogenic microorganisms
(40 CFR 141.720). These doses are appropriate for ground water, filtered water or waters that
meet the turbidity requirements for unfiltered surface water systems. However, ground water that
is high in iron, manganese or hardness may require pretreatment.
8.6.4.2 Ultraviolet Lamps
UV lamps operate in much the same way as fluorescent lamps. UV radiation emitted from
electron flow through ionized mercury vapor, produces the ultraviolet energy in most units. The
difference between the two lamps is that the fluorescent lamp bulb has a phosphorous coating,
which converts the UV radiation to visible light. There is no coating on the UV lamp so it
transmits the ultraviolet radiation generated by the arc.
Both low-pressure and medium-pressure lamps are available for disinfection applications. Low
pressure lamps emit their maximum energy output at a wavelength of 253.7 nm, while medium
pressure lamps emit energy with wavelengths ranging from 180 to 1370 nm. The intensity of
medium-pressure lamps is much greater than low-pressure lamps. Thus, fewer medium pressure
lamps are required for an equivalent dosage. For small systems, the medium pressure system
may consist of a single lamp. Although both types of lamps work equally well for inactivation of
organisms, the recommendation for small systems is the use of low-pressure UV lamps, because
of the reliability associated with multiple low-pressure lamps, as opposed to a single medium
pressure lamp, and for adequate operation during cleaning cycles.
Recommended specifications for low-pressure lamps include:
• L-type ozone-free quartz.
• Instant start (minimal delay on startup).
• Designed to withstand vibration and shock.
• Standard nonproprietary lamp design.
Typically, a quartz sleeve enclosure around the low-pressure lamps separates the water from the
lamp surface. This arrangement is required to maintain the lamp surface operating temperature
near its optimum of 40o
C.
8.6.4.3 Ballasts
Ballasts are transformers that control the power to the UV lamps. Ballasts should operate at
temperatures below 60o
C to prevent premature failure. Typically, the ballasts generate enough
heat to warrant cooling fans or air conditioning.
Two types of transformers are commonly used with UV lamps; namely, electronic and
electromagnetic. Electronic ballasts operate at a much higher frequency than electromagnetic
8-21
ballasts, resulting in lower lamp operating temperatures, less energy use, less heat production,
and longer ballast life.
8.6.4.4 UV Reactor Design
Most conventional UV reactors are available in two types; namely, closed vessel and open
channel. For drinking water applications, the closed vessel is generally the preferred UV reactor
for the following reasons (USEPA, 1996):
• Smaller footprint.
• Minimized pollution from airborne material.
• Minimal personnel exposure to UV.
• Modular design for installation simplicity.
Some reactors are capable of providing UV dosages adequate to inactivate only bacteria and
viruses for flows up to 600 gallons per minute. However, these reactors are incapable of the
higher dosages required for protozoan cysts. To increase the dosage, systems need to increase the
number of UV lamps and/or the exposure time.
Additional design features for conventional UV disinfection systems include:
• UV sensors to detect any drop in UV lamp output intensity.
• Alarms and shut-down systems.
• Automatic or manual cleaning cycles.
• Telemetry systems for remote installations.
8.6.4.5 General Application and Review
Water systems cannot directly measure UV dosage. Ultraviolet reactors should undergo
validation testing to determine the operating conditions under which the reactor delivers the UV
dose required for the necessary inactivation levels. In general, the operating conditions
determined in validation testing should include flow rate, UV intensity as measured by a UV
sensor, and UV lamp status. These monitoring and operating conditions would both be a part of
state approval of an alternative treatment process and associated compliance monitoring.
Other important non-regulatory operating considerations include reliability, redundancy, lamp
cleaning and replacement, and lamp breakage. For systems using UV for compliance with LT2,
validation testing is required and must meet minimum requirements established in that rule. The
Ultraviolet Disinfection Guidance Manual for the Final Long Term 2 Enhanced Surface Water
Treatment Rule (EPA 815R06007) provides additional information on UV disinfection, planning
and design of UV facilities, validation of UV reactors, and start-up operation and monitoring of
UV facilities.
8-22
8.6.4.6 Sanitary Deficiency Questions and Considerations – Ultraviolet Disinfection
Systems7
1. Is the system meeting its UV dose and inactivation requirements?
The inspector should confirm that the system is operating within the validated conditions
for range of flow, UV intensity lamp status, and UV transmittance. There should be
records documenting episodes of operating outside of validated conditions. The inspector
should confirm that the UV dose equation or UV set points and any other critical
parameters are consistent with the validation and state approval.
2. Has the system met the requirement to treat at least 95% of the water delivered to
the public within validated conditions for each month?
The inspector should review periods where the UV system was operating outside of
validated conditions or “off-spec” and what causes the operators identified. If extended
periods of “off-spec” operations are noted, the inspector should review what changes the
operators have made to address these episodes.
3. Do the operators monitor the UV reactor for validated conditions?
Monitoring should include UV intensity, transmittance, reactor flow rate, lamp status, and
any state designated parameters.
The inspector should confirm that the system is verifying UV sensor calibration and
recalibrating consistent with the state-approved protocol. The inspector should also
confirm that a reference UV sensor is present and operating. The inspector should also
verify regular maintenance of UV and flow monitoring equipment. Procedures for testing
of critical alarms should be in place.
4. Are UV reactor maintenance procedures in place and followed?
Maintenance procedures would include cleaning of UV sleeves and maintenance of
sleeve cleaning equipment, ultraviolet transmittance analyzer cleaning and maintenance
and maintenance, of ballast cooling systems, water level indicators, and thermometers.
7
See Chapter 6 “Start-up and Operation of UV Facilities” in the US EPA Ultraviolet Disinfection Guidance Manual
for the Final Long Term 2 Enhanced Surface Water Treatment Rule. EPA 815R06007 (November 2006).
8-23
5. Is upstream treatment performance meeting requirements?
The inspector should review the performance of treatment processes upstream of UV
disinfection that could have an impact on UV effectiveness. These processes would
include turbidity reduction, iron removal and softening.
6. Have there been changes to the treatment train?
The inspector should review the current plant configuration and operating conditions that
could affect the delivery of UV disinfection. This would include changes to:
• Inlet and outlet piping or channel conditions.
• Plant hydraulics or in plant flows.
• Any upstream treatment.
• UV lamps or sensors-make/models should match those approved by the state.
7. Have there been changes in the source water?
The inspector should review the source(s) of supply and any changes that could affect the
delivery of UV disinfection. Those changes include:
• New sources.
• Changes in watershed conditions.
• Turbidity events/ increases.
• Algae blooms, lake turnover or other limnology/water quality changes.
• Changes in UV absorbance of the source.
8. Is compliance reporting and recordkeeping meeting requirements?
The inspector should review the records being maintained by the water system to assure
they are in compliance with LT2, including but not limited to the validation test results
and percentage of water per month not being treated with UV.
8.6.5 Disinfection with Chlorine Dioxide8
8.6.5.1 Introduction
Chlorine dioxide (ClO2) is a neutral compound of chlorine and a strong oxidant. It is a relatively
small, volatile, and highly energetic molecule, and a free radical even while in dilute aqueous
solutions. Today, the major uses of chlorine dioxide are:
• CT disinfection credit.
• Pre-oxidant to control tastes and odor.
• Control of iron and manganese.
8
For more information on disinfection with chlorine dioxide, please refer to the publication, EPA Guidance Manual
on Alternative Disinfectants and Oxidants (April 1999).
8-24
• Control of hydrogen sulfide and phenolic compounds.
Chlorine dioxide cannot be compressed or stored and shipped commercially as a gas because it is
explosive under pressure. Therefore, water systems must generated it on-site. Most commercial
generators use sodium chlorite (NaClO2) as the common precursor feedstock chemical to
generate chlorine dioxide for drinking water application. Chlorine dioxide can be formed by
sodium chlorite reacting with gaseous chlorine (Cl2(g)), hypochlorous acid (HOCl), or
hydrochloric acid (HCl). The conventional chlorine-chlorite solution method generates chlorine
dioxide in a two-step process. First, chlorine gas is reacted with water to form hypochlorous acid
and hydrochloric acid. These acids then react with sodium chlorite to form chlorine dioxide.
Water systems should carefully control the ratio of sodium chlorite to hypochlorous acid.
Insufficient chlorine feed results in a large amount of unreacted chlorite. Excess chlorine feed
may result in the formation of chlorate ion, which is an oxidation product of chlorine dioxide and
not currently regulated.
8.6.5.2 Facilities
There are several types of methods to generate chlorine dioxide. Following are schematics of two
of the more common methods used.
8.6.5.2.1 Aqueous Chlorine-Chlorite Solution
Chlorite ion (from dissolved NaClO2) reacts with hydrochloric acid and hypochlorous acid to
form chlorine dioxide in these systems, commonly referred to as conventional systems. Figure 8-
8 shows a typical chlorine dioxide generator using aqueous chlorine-chlorite solution.
Figure 8-8: Conventional Chlorine Dioxide Generator: Chlorine-Chlorite Method
8-25
When chlorine gas and chlorite ion react under ideal conditions (not usually formed in aqueous
chlorine type systems), the resulting pH of the effluent may be close to seven. To fully utilize
sodium chlorite solution, excess chlorine is often used. This approach lowers the pH and drives
the reaction further toward completion. The reaction is faster than the acid-chlorite solution
method, but much slower than the other commercial method.
8.6.5.2.2 Recycled Aqueous Chlorine
In the aqueous chlorine design (Figure 8-9), the injection of chlorine gas occurs in a continuously
circulating water loop. This eliminates the need for a great excess of Cl2 gas feed to the
generator, since the molecular chlorine dissolves in the feed water, and thus maintain a low pH
level of the feed water. Loop-based generators keep chlorine at or above saturation levels. The
low pH condition results in high yields of chlorine. Chlorine in the generator effluent may react
with chlorine dioxide to form chlorate, if allowed to stand in batch storage too long.
Figure 8-9: Chlorine Dioxide Generator: Recycled Aqueous Chlorine Method
8.6.5.3 Sanitary Deficiency Questions and Considerations – Chlorine Dioxide
1. Why is the water system using chlorine dioxide, and what are their treatment
objectives?
8-26
Water systems can utilize chlorine dioxide as a primary or secondary disinfectant, for
taste and odor control, THM /HAA reduction, iron and manganese control, color removal,
sulfide and phenol destruction, and zebra mussel control. Another common application of
chlorine dioxide in drinking water is for control of tastes and odors associated with algae
and decaying vegetation.
2. Did the water system conduct an oxidant demand study? Is a copy available for
review?
Before selecting chlorine dioxide for use as a primary disinfectant, the water system
should complete an oxidant demand study. Ideally, this study should consider the
seasonal variations in water quality, temperature, and application points. The Maximum
Residual Disinfectant Level (MRDL) for chlorine dioxide is 0.8 mg/L and the MCLfor
chlorite is 1.0 mg/L per the D/DBPR. Oxidant demand will affect chlorite/chlorate ions
byproduct formation.
3. Is the water system using sodium chlorite and, if so, at what percentage?
Most commercial generators use NaClO2 as the common precursor feedstock chemical to
generate chlorine dioxide for drinking water application.
4. What is the secondary disinfectant being used?
Concerns with chlorite and chlorate formation limit the use of chlorine dioxide to provide
a disinfectant residual in the distribution system. Consequently, systems that use chlorine
dioxide for oxidation and primary disinfectant applications will need an alternate
disinfectant for residual disinfection.
5. What is the purity of the chlorine dioxide produced?
Water systems operate chlorine dioxide generators to obtain the maximum production
(yield) of chlorine dioxide while minimizing free chlorine or other residual oxidant
formation. The specified yield for chlorine dioxide generators is typically greater than 95
percent.
6. Does the operator adjust the chlorine gas feed rate as required and recalibrate the
equipment according to manufacturer specifications?
In all generators, large excess amounts of Cl2 may result in the over-oxidization of
chlorite and directly form chlorate in aqueous solution. Operators should always adjust
the precursor chemical feed rates for the generators according to the chart settings
supplied with generators, notably with the continuous flow, direct gas injection systems.
Sometimes the operator will need to recalibrate these systems on-site, if feed stock
sodium chlorite is not of the correct strength, or if the utility has replaced pre-calibrated
flow devices.
7. Are sample petcocks available to perform the required sampling?
Chlorine dioxide generators are relatively simple mixing chambers. Some type of media,
which is usually TeflonTM
chips, ceramic or raschig rings, usually fills the reactor
chamber to generate hydraulic turbulence for mixing. A sample petcock valve on the
discharge side of the generator allows operators to monitor the generation process.
8-27
8. How and where is the sodium chlorite stored?
Storage and chlorine dioxide systems typically include the following:
• Storage and feeding in a designated space.
• Use of non-combustible materials such as concrete for construction.
• Storage in clean, closed, non-translucent containers. Exposure to sunlight, UV
light, or excessive heat reduces product strength.
• Avoid storage and handling of combustible or reactive materials, such as acids or
organic materials, in the sodium chlorite area.
• Secondary containment for storage and handling areas to handle the worst-case
spill with sumps provided, to facilitate recovery.
• A water supply near storage and handling areas for cleanup.
• Any material in contact with the strong oxidizing and/or acid solutions involved
in chlorine dioxide systems should be inert.
• Storage tanks with vents to outside.
• Adequate ventilation and air monitoring.
• Gas masks and first aid kits outside of the chemical areas.
• Reactor with glass view ports if it is not made of transparent material.
• Flow monitoring on all chemical feed lines, dilution water lines, and chlorine
dioxide solution lines.
9. Is the utility monitoring for potential byproducts of chlorine dioxide?
Utilities that use chlorine dioxide should measure excess chlorine (as Free Available
Chlorine) in the generator effluent, in addition to the ClO2-related species. Free available
chlorine may appear as false ClO2 residuals for CT purposes, or result in the formation of
chlorinated D/DBPs if high, relative to the ClO2 level in the generated mixture. Chlorine
dioxide treatment and its subsequent degradation produce chlorite and chlorate in varying
ratios as end products.
10. What are the application points for the chlorine dioxide? Is the CT value properly
calculated?
The calculation of CT for chlorine dioxide is similar to other disinfectants, with accurate
determinations of residual concentrations being a prerequisite for effective disinfection.
Water systems receive primary disinfectant credit from the residual concentration and the
effective contact time. For post CT disinfection credit, operators can add chlorine dioxide
before clearwells or transfer pipelines. The systems should also have ample sampling
points installed to allow close monitoring of residual concentrations.
11. Is the utility complying with the MRDL for chlorine dioxide and MCL for chlorite as
well as the monitoring requirements under the D/DBPR ?
8-28
The MRDLfor chlorine dioxide is 0.8 mg/L and the MCLfor chlorite is 1.0 mg/L per the
D/DBPR.For chlorine dioxide monitoring, community, non-transient non-community,
and transient noncommunity water systems that use chlorine dioxide for disinfection or
oxidation, are required to take daily samples at the entrance to the distribution system.
For any daily sample that exceeds the chlorine dioxide MRDLof 0.8 mg/L, the system
must take additional samples in the distribution system the following day at the locations
specified in the D/DBPR, in addition to the daily sample required at the entrance to the
distribution system.
For chlorite monitoring, community and non-transient non-community water systems that
use chlorine dioxide for disinfection or oxidation are required to take daily samples at the
entrance to the distribution system. For any daily sample that exceeds the chlorite MCL
of 1.0 mg/L, the system must take additional samples in the distribution system the
following day at the locations specified in the D/DBPR. These additional samples are to
be collected at: (1) a location as close to the first customer as possible, (2) a location
representative of average residence time, and (3) a location as close to the end of the
distribution system as possible (reflecting maximum residence time in the distribution
system). These are some of the monitoring requirements. Utility personal should be
familiar with D/DBPR monitoring requirements.
12. Has management provided for the safety of the operators responsible for the
operation and maintenance of the chlorine dioxide generation processes?
At high concentrations, chlorine dioxide reacts violently with reducing agents. However,
it is stable in dilute solution, in a closed container in the absence of light. The major
safety concern for solutions of sodium chlorite is the unintentional and uncontrollable
release of high levels of chlorine dioxide. Another concern when handling and storing
sodium chlorite solutions is crystallization, which occurs because of lower temperatures
and/or higher concentrations.
8.6.6 Disinfection with Chloramines9
8.6.6.1 Introduction
The reaction of ammonia with aqueous chlorine (i.e., HOCl) forms chloramines. Initially,
chloramines were used for taste and odor control. Concern over chlorinated organics (e.g., THM
and HAA formation) in water treatment and distribution systems has increased interest in
chloramines because they form very few D/DBPs.
However, because of its relatively weak
disinfecting properties for inactivation of viruses and protozoa pathogens, it is rarely used as a
primary disinfectant, and even then, only with long contact times.
The primary use of monochloramine in water systems is usually as a secondary disinfectant for
maintaining a residual in the distribution system. Chloramines are a good choice for secondary
disinfectant because of the following potential benefits:
• Chloramines are not as reactive with organics as free chlorine in forming D/DBPs.
9
For more information on disinfection with chloramines, please refer to the publication, EPA Guidance Manual on
Alternative Disinfectants and Oxidants (April 1999).
8-29
• The monochloramine residual is more stable and longer lasting than free chlorine or
chlorine dioxide, providing better protection against bacterial regrowth in distribution
systems.
• Research has shown that a monochloramine residual is more effective in controlling
biofilms, because of its superior ability to penetrate the biofilm. Controlling biofilms also
tends to reduce coliform concentrations and biofilm induced corrosion.
• Because chloramines do not tend to react with organic compounds, many systems
experience less taste and odor complaints when using chloramines.
8.6.6.2 Ammonia Feed Facilities
Water systems may locate ammonia feed facilities on-site at the water treatment plant or at
remote locations in the distribution system. Most ammonia feed facilities use either gaseous
(anhydrous ammonia) or liquid (aqueous) ammonia. Though anhydrous ammonia is a gas at
ambient temperature and pressure, it is commonly stored and transported as a liquid in pressure
vessels. In this phase, ammonia is highly soluble in water. Water systems should keep storage
facilities and handling equipment dry and store anhydrous ammonia in portable cylinders or
stationary tanks.
An ammoniator is a self-contained modular unit with a pressure reducing valve, gas flow meter,
feed rate control valve, and miscellaneous piping for controlling the flow of ammonia into the
water flow. Water systems can use an evaporator when they need large quantities of ammonia.
Operators should have an anti-siphon valve or check valve installed to prevent water from
entering the ammoniator.
Anhydrous ammonia is usually applied by direct feed or solution feed. Typical application points
are at open channels and basin facilities. Since excessive temperatures cause ammonia gas to
vaporize, each storage tank should be equipped with a water trap or ammonia scrubber to keep
vapors from escaping to the atmosphere.
Aqueous ammonia feed systems are similar to other liquid chemical feed systems. They require a
storage tank, chemical metering pump, relief valve, pulsation dampener, flow meter, and back-
pressure valve. Typically, the feed pumps are positive displacement or progressive cavity type
metering pumps (eccentric screw pumps).
Operators should place feed pumps fairly close to the storage tank to minimize chances of
ammonia vaporization in the piping. The pump design should compensate for changes in ambient
temperatures, different aqueous ammonia solutions, and changes in the chlorine-to-ammonia
ratio.
8.6.6.3 Nitrification
Nitrification in chloraminated drinking waters is usually partial. Partial nitrification occurs when
the chloraminated water has excess ammonia present in the distribution system. Partial
nitrification can have various adverse effects on water quality, including a loss of total chlorine
and ammonia residuals and an increase in heterotrophic plate count bacteria concentration. The
excess ammonia encourages the growth of nitrifying bacteria that convert ammonia to nitrates.
An intermediate step in this conversion results in the formation of a small amount of nitrite. The
8-30
nitrites rapidly reduce free chlorine, accelerate decomposition of chloramines, and can interfere
with the measurement of free chlorine.
8.6.6.3.1 Factors
Factors contributing to nitrification include low chlorine-to-ammonia ratio, long detention times,
and elevated temperatures. Nitrifying bacteria are relatively more resistant to disinfection by
monochloramine than free chlorine. Nitrifying bacteria exhibit slow growth and the sediment of
distribution systems may have higher numbers of the bacteria than in the biofilm.
8.6.6.3.2 Control Measures
Nitrification may pose a potential problem for any utility using monochloramine as a
disinfectant. Thus, water systems should carefully assess and control nitrification. For the
distribution system, operators should identify and evaluate low-flow or dead-end sections and
minimize the detention times (i.e., water age) throughout the system as well as managing
turnover rates of floating storage tanks (those with single inlet-outlet configurations).
Operators need to minimize the amount of free ammonia and maximize monochloramine
production leaving the plant through process control monitoring. Measuring total chlorine and
monochloramine is required where the desired result involvesboth measurements being close to
the same value (e.g., no more than 0.1 mg/L difference as a goal). Systems also typically revert
to straight chlorine disinfection annually to conduct a “chlorine burn” which, along with
flushing, helps reduce biofilm growth that may have developed while using chloramines.
8.6.6.4 Sanitary Deficiency Questions and Considerations – Chloramines
1. Did the water system conduct a bench study to determine if chloramination is
suitable? Is a copy available for review?
A bench scale study is necessary to identify the water characteristics and to determine if
chloramination is suitable. The reaction time to form free chloramine residuals varies for
each water source, since the reaction rate between chlorine and ammonia nitrogen
depends on the water’s temperature and pH as well as the concentrations of the two
components.
2. What are the treatment objectives for chloramination?
The primary use of monochloramine in water systems is as a secondary disinfectant for
maintaining a residual in the distribution system. Because the germicidal effectiveness of
monochloramine is less than for free chlorine, monochloramine requires extremely long
contact times in order to meet disinfection CT requirements.
3. What type of process control monitoring do operators conduct?
The reaction time to form free chloramine residuals varies for each water source, since
the reaction rate between chlorine and ammonia nitrogen depends on the water’s
temperature and pH of the water. It is important for the utility to develop operational
procedures including a comprehensive monitoring program that alerts operators to
implement nitrification control measures when required. The monitoring strategy should
include monitoring of the following parameters:
8-31
• Total chlorine residual.
• Monochloramine residuals.
• Dichloramine residuals.
• Naturally occurring ammonia.
• Free ammonia.
• pH.
• Temperature.
• Total organic carbon.
• Nitrate/nitrite.
4. What are the points of application for the chlorine and ammonia?
Depending on the treatment objective, adding ammonia and chlorine in either order forms
monochloramine. Ammonia is added first, where formation of objectionable taste and
odor compounds caused by the reaction of chlorine and organic matter are a concern.
However, most drinking water systems add chlorine first in the treatment plant in order to
achieve the required concentration and contact time (CT), to meet EPA’s SWTR
disinfection requirements
Imbalances in chlorine and ammonia concentrations can cause breakpoint chlorination
reactions to occur when encountered in distribution systems. Monochloramine addition
upstream of filters reduces biological growth on filters. This has a favorable impact on
the filters by keeping them clean and reducing the backwash frequency. It also has the
undesirable impact of reducing biodegradable dissolved organic carbon removal in the
filters, when operators run the filters in a biological mode.
5. Does the utility sell water to communities that use chlorine instead of chloramines?
When chlorinated water blends with chloraminated water, the chloramine residual
decreases after the excess ammonia combines with the chlorine and monochloramine
converts to dichloramine and nitrogen trichloride. This can deplete the entire residual.
Therefore, operators need to know how much chlorinated water can blend with a
particular chloraminated water stream without significantly affecting the
monochloramine residual.
6. Has management provided for the safety of the operators responsible for the
operation and maintenance of the chloramination processes?
Anhydrous ammonia is lighter than air, so any leaking vapor will rise quickly. Under
pressure, anhydrous ammonia is a liquid. Great amounts of heat are absorbed when the
pressurized liquid reverts to a gas.
For storage tanks and/or chemical feed equipment installed indoors, ventilation and vapor
detection devices should be located at high points in the room. The ventilation rates vary,
depending on the appropriate regulatory agency’s requirements.
8-32
Utilities should protect ammonia gas storage tanks from direct sunlight or direct sources
of heat to avoid pressure increases in the tank. Otherwise, the tanks may release ammonia
gas into the atmosphere through the pressure relief valves. In warm regions, water
systems should cover outdoor tanks with a shelter or outfit the tanks with a temperature-
controlled sprinkler system.
Where fugitive emissions of ammonia are a concern, fume control may be required. If the
accidental release from a storage container is a concern, the water system should consider
installing an emergency scrubber system, similar to a chlorine gas scrubber system.
7. Has the water system notified critical populations of the use of chloramines?
Users of kidney dialysis equipment are the most critical group affected by chloramine
use. Chloramines can cause methemoglobinemia and adversely affect the health of
kidney dialysis patients, if hospitals do not remove chloramines from the dialysate water.
Chloramines can also be toxic to fish. The water system should notify hobbyists, pet
stores and other establishments regarding the water system’s use of chloramines, so they
can take measures to remove or neutralize chloramines from the water, prior to contact
with any fish or other aquatic species.
8.7 Significant Deficiency Examples for Disinfection
All significant deficiencies listed below are examples only. Each primacy agency may have
identified a different set of significant deficiencies than those listed. The state (primacy agency)
determines both significant deficiencies and the corresponding corrective actions.
• Missing no-flow/fail-safe device for the chlorination system.
• Incompatible storage of chemicals with chlorine.
• No redundant chemical feed pumps for disinfection system.
• Inoperable chemical feed pump that cause interruption in disinfection process.
• Cross-connection in disinfection process.
• No backflow/back siphonage devices for make-up water.
• UV lights are deteriorating.
• No process control monitoring.
• Gas chlorine cylinders are not properly restrained.
9-1
9 Turbidity Removal
The sanitary survey inspector must thoroughly evaluate all water treatment processes to ensure
the production of a safe, adequate, and reliable supply of water for consumers. The water
treatment plant is the primary barrier against unsafe water, and any malfunction in the treatment
process could result in water quality problems. Of major importance is the consistent and
continual removal of pathogens, typically using turbidity as an indicator. The inspector must
evaluate the operation, maintenance, and management of conventional removal systems used at
the water treatment plant to identify any existing or potential sanitary deficiencies.
9.1 Learning Objectives
By the end of this chapter, students will be able to:
• Identify different methods for turbidity removal.
• Identify source water conditions that limit removal options.
• Understand what process control is needed for different treatment options.
• Identify deficiencies related to each treatment option.
9.2 Data Collection
If available, review the following data prior to conducting the on-site inspection of a turbidity
removal treatment facility:
• Type of turbidity removal system.
• Monthly operation reports.
• Turbidity level goals for treatment units (e.g., for settling basin effluent).
• Types of coagulant used.
• Designed treatment criteria for plant.
9.3 Regulations and Standards to consider
Prior to the inspection, review and consider the following regulations as part of the sanitary
survey:
• State design standards for surface water treatment systems.
• ANSI/NSF International standards 60 and 61.
9.4 Basic Information Turbidity Removal
Public water systems that use a surface water source or a ground water source under the direct
influence of surface water must meet National Primary Drinking Water Regulations for the
removal or inactivation of Cryptosporidium, Giardia lamblia (G. lamblia) and viruses. For
surface water systems required to filter, the removal of turbidity by one of the treatment
processes is a key step in complying with these requirements.
9-2
9.5 Conventional Filtration Treatment
The most widely used technology for removing turbidity and microbial contaminants from
surface water supplies includes coagulation, flocculation, and sedimentation, followed by
filtration. Conventional treatment plants typically use aluminum or iron compounds in the
coagulation processes and, in some cases, use polymers to enhance coagulation and filtration.
Generally, gravity filters with sand, dual, or mixed media filters are used. The filtration rates
may be from 2 gpm/ft2
with sand as the single medium up to 4 gpm/ft2
(or higher in some cases)
for dual and mixed media filters. For higher rates, states may require pilot testing to demonstrate
satisfactory filtration results.
Figure 9-1: Conventional Filtration Treatment
9.5.1 Sanitary Deficiency Questions and Considerations – Conventional Treatment
9.5.1.1 Coagulation - Rapid Mix
Note: The sanitary deficiencies related to chemical feed systems in Chapter 7, Chemical
Contaminant Removal, also apply to this section.
1. Does treatment include continuous coagulant feed when the plant is in operation?
The inspector should ask if treatment includes a continuous coagulant feed when the
plant is in operation. Lack of coagulant addition is a significant deficiency that needs
immediate attention. The inspector should check that there are redundant pumps for the
primary coagulant and polymers and that spare parts are available. What devices, alarms
and notification procedures do the operators have in place in the event of a failure of the
feed systems?
In answering the questions below, the inspector should observe the operator’s level of
skill and understanding.
2. What type and combination of coagulants are used?
9-3
Water systems typically use alum or ferric salts as primary coagulants. Operators must
control pH, because the effectiveness of alum decreases when pH exceeds 8.0. Operators
must also be aware of any alkalinity requirements, if any, for the particular additives they
use. Systems using low molecular weight cationic polymers as primary coagulants
typically have raw water low in turbidity. This form of treatment is generally more
applicable to direct filtration.
Polyaluminum chloride combines alum and polymer, so the operator adds only one
chemical. Water systems may also use nonionic and anionic polymers as coagulant,
flocculent, filter, and backwash-water aids.
3. Do the operators understand the purpose of each coagulant chemical used?
The operator should be able to fully explain the purpose of each coagulant chemical and
why injection of the chemical occurs at a particular point. For example, “This low
molecular weight polymer which is injected immediately downstream of rapid mix is
used as a coagulant aid, and this high molecular weight polymer is added at a bend in the
pipe prior to the filters as a filter aid.”
4. How do operators determine the dosage of each coagulant chemical?
The inspector should determine whether the operator uses a streaming current monitor,
jar tests, pilot studies, or combinations of such tests to determine dosage. Ask the
operator to show you how to make up stock solutions for jar tests for both alum and
polymers, how to run and dose a jar test, how to calculate mL/min from mg/L, how to
calibrate the feed pump, and how to prepare the proper dilution for day tanks.
5. Is there a process control plan for coagulation addition?
What type of process control plan has the water system developed to control chemical
dosages during routine and emergency levels of raw water turbidity or other water quality
problems? Do the filters have shortened runs due to filter-clogging algae, and what do the
operators do to control this and other special problems? Do the operators respond to
changes in raw water quality with changes in process control in order to keep the quality
of finished water high?
6. Is the rapid mix process adequate?
The rapid mix process is a critical part of the coagulation process. Water systems may
achieve thorough mixing in a variety of ways, such as mechanical units, diffusers, in-line
mixers, and baffles. The inspector should note the type of mixer and determine if the
mixing equipment is functioning properly for all flows and all ranges of coagulant.
Inadequate mixing can severely affect the performance of downstream processes,
particularly when raw water quality is deteriorating.
7. Is the flocculation process adequate?
The inspector should note any problems with short circuiting in the flocculation basin and
observe if there is good floc formation at the effluent end of that basin prior to entry into
the sedimentation basin. The paddles of mechanical flocculators should be in place and
turning at the appropriate speed.
9-4
9.5.1.2 Sedimentation
1. Is the sedimentation process performing adequately?
The inspector should describe the sedimentation process (e.g., tube settlers, lamella
plates) and note problems with short circuiting or excessive turbulence. The inspector
should evaluate the relative thickness (i.e., surface contour) of the sludge blanket
throughout the different sections of the basin, as compared to his or her expectations of
how the blanket should appear, based on the design and direction of flow toward the
weirs.
2. Is the clarifier performing adequately?
Does the inlet to the clarifier reduce the flow (kinetic energy) of the water such that the
current does not re-suspend settled solids? For up flow solids-contact clarifiers, do the
operators keep the mixer in operation to keep the blanket in suspension after shutting
down the unit?
The inspector should determine if the plant’s operational procedures adequately address
sludge removal. Those procedures should include removal of sludge from the
sedimentation basins and ultimate sludge disposal from the treatment plant.
3. How does the system start and stop operations?
Treatment trains are subject to start up and shut down problems, and most unit operations
operate best at steady state conditions. For systems that routinely operate intermittently,
ask to see how the treatment process works during startup and shut down. Look for poor
performance if the system stops and starts often during the day.
4. Look for carry over flock
There should be little or no carryover of floc from the sedimentation basin to the filters.
Ask the operator what their turbidity goals are for settled water, and how they measure
and track them. What actions do they take if the unit is not meeting these goals? The
inspector may want to calculate the surface overflow rate under peak flow conditions and
compare the calculated value with the state’s design standards.
9.5.1.3 Filtration
1. Is the filtration process performing adequately?
The primary purpose of filtration is to remove solids. Measuring the reduction in turbidity
through each filter is critical to determine particulate removal effectiveness. The
inspector should be concerned with the turbidity removal characteristics of each filter in
service. Turbidity measurements of the combined effluent from multiple filters are not
sufficient to assure adequate removal of pathogens as high performing filters tend to
“average out” or mask the performance of a poorly functioning filter. If turbidity spikes
“move through the plant” from source to clarifer to filter effluent, this is a deficiency, and
the inspector needs to investigate to find the cause.
2. Is there adequate pretreatment?
9-5
Water systems must monitor the quality of water entering the filters to ensure the filters
are performing according to design guidelines. The filtration process, regardless of type,
cannot perform effectively if the influent’s characteristics are unacceptable. Note: This
condition is also critical in systems such as slow sand, diatomaceous earth (DE), and
membrane filtration.
3. Are there rapid fluctuations in the flow through the filter?
Rapid changes in flow can cause breakthrough. The inspector should record causes of
rapid flow fluctuations such as operation procedures, recycling of backwash water, or a
cycling rate control valve.
4. What controls and assessments do operators use to evaluate filter performance?
The inspector should determine what methods operators employ, such as continuous
turbidity and other monitoring, to evaluate performance, including raw and settled water
turbidity, pH, alkalinity, and hardness. The inspector should also determine the frequency
of the evaluations. Surface water systems using conventional filtration or direct filtration
must continuously monitor the turbidity of each individual filter and keep a record of the
measurements taken at 15 minute intervals.
At each stage of the process ask what the operational goals are, how they measure them
and how they react when the filtration process is not meeting these goals.
The inspector should request those records and inspect them to make sure the filters are
operating properly and that the system has not exceeded triggers that would require
follow-up action.
5. Are instrumentation and controls for the process adequate, operational, and in
service?
Because turbidimeters must be extremely accurate, they should be calibrated (secondary
and primary standards) regularly, according to manufacturer’s recommendations. Head
loss through the filter is also important to filter operation, as is the use of rate of flow
controllers. The instruments for these measurements and controls should be functioning
properly. The inspector should determine if the operators maintain proper filtration and
backwash rates where applicable.
If the filter-to­waste option is available at the plant, the inspector should ensure the
operators or the automation process properly executes the procedure and that operators
routinely assess its adequacy. The operator should be able to explain the significance of
the readings obtained from the instrumentation at the facility.
6. Do the operators properly operate and maintain filters and related equipment?
• Is there sand in the clearwell indicating underdrain failure or severe media
problems?
• Do the operators use a surface wash to break up the mat on top of the filter?
• Do the operators check the media for accumulation of mud on the surface and
mud balls within the media?
9-6
• Do the operators manually clean the top layer of sand regularly if mud
accumulation is a problem?
• Is the media expansion during backwash adequate at all water temperatures?
• Does the backwash rate increase and decrease slowly to avoid damaging the
filter?
• Do the operators probe through the media to check for adequate media depth and
to find uneven gravel levels or dead spots where damage to the underdrain is not
allowing bed expansion?
• During operation, are there depressions, cracking, or other indications of short-
circuiting in the media?
• Is there filter-to­waste capability, and, if so, is it used? Ask about treatment goals
for this phase of treatment, too.
• Does the system have a maintenance plan for the filter and all related
appurtenances?
• Pressure filters are a special concern due to the difficulty of opening the bolted
hatch for inspection and assessment; the inspector should ask when the system
last opened the hatch and inspected the filter for the above items.
7. What initiates a backwash, and is there a standard operating procedure in place?
Operators may initiate backwashing based on any number of factors including head loss,
time, or effluent turbidity. It is important that all the operators of a system use the same
criteria. In addition, the system should have a written standard operating procedure for
backwashing and for returning the filter to service, to ensure that all staff do these tasks
in the same way.
Backwashes initiated on filter run times are a default industry standard. Water systems in
arid or drought stricken areas need to ensure they are not wasting water and energy by
backwashing filters too often.
The inspector should check how backwash water is disposed of to ensure compliance
with state and federal regulations and to determine its impact on the treatment process.
Research shows that recycling backwash water may concentrate Giardia cysts,
Cryptosporidium oocysts, and disinfection byproducts.
Equalization or treatment of backwash water and other recycle streams prior to their
injection at the plant head-works helps minimize these risks. The inspector should check
to ensure the system’s compliance with the Filter Backwash Recycling Rule.
The inspector needs to have the operator backwash a filter during the sanitary survey, if
feasible, in order to determine the existence of any of the conditions noted above. The
inspector should also examine preventative maintenance and repair records.
8. If the plant is a conventional plant, is it meeting the disinfection byproducts
precursor removal requirements of the Stage 1 Disinfectants/Disinfection
Byproducts Rule (D/DBPR)?
9-7
The inspector should review the system’s operating records and quarterly reports to the
state to make sure adequate removal of total organic carbon is in compliance with the
Stage 1 D/DBPR.
The inspector should request a copy of the system’s disinfection
byproducts (DBP) monitoring plan and review it as well.
9.6 Direct Filtration
This process is similar to conventional treatment, except for the omission of sedimentation.
Direct filtration generally consists of coagulation, flocculation, and filtration using dual or
mixed-media filters. A variation of this process, sometimes called “in-line filtration,” includes
only filters preceded by chemical coagulant application and mixing. Primacy agencies generally
do not consider in-line filtration adequate treatment before disinfection. Direct filtration is best
suited to systems that have high quality and seasonally consistent influent supplies with
relatively low raw turbidity levels (consistently 25 NTU or less).
Figure 9-2: Direct Filtration
9.6.1 Sanitary Deficiency Questions and Considerations – Direct Filtration
• See the discussion above (9.5.1.1) on considerations for coagulation-rapid mix.
• See the discussion above (9.5.1.3) on considerations for filtration.
9.7 Package Filtration
This technology generally includes the processes found in a conventional treatment plant. The
manufacturer combines the unit processes in a “package” delivered to a site, where a simple
hook up of pipes is all that is necessary to provide treatment. Package filtration may be cost
effective for small communities, but requires skilled operators to achieve consistent
performance. In addition, operators must pay particular attention to common walls between
water at differing stages of treatment to ensure cross connections do not develop, due to rust or
over flow. This is particularly true when the raw water is susceptible to rapid changes in quality.
9-8
Figure 9-3: Conventional Filtration Package Plant
Each of the three treatment processes discussed above depends on the operators successfully
providing coagulation and flocculation of the particles in the raw water. Coagulation and
flocculation are chemical and physical processes to improve the particulate and colloid reduction
efficiency of subsequent settling or filtration processes. Coagulation involves feeding chemicals
to destabilize the similar charges on suspended particles, allowing them to coalesce and thereby
begin to form floc. Flocculation, which partly overlaps the coagulation process, requires gentle
mixing of destabilized particles to form floc that can settle or filter out of the water. The
inspector must be able to determine if the operators are using proper process control procedures
to ensure removal of turbidity and associated pathogens. A careful review of the system’s
operating records and logs will help make such determinations.
9.7.1 Sanitary Deficiency Questions and Considerations – Package Filtration
• See the discussion above (9.5.1.1) on considerations for coagulation-rapid mix.
• See the discussion above (9.5.1.2) on considerations for sedimentation.
• See the discussion above (9.5.1.3) on considerations for filtration.
• Ensure there is no cross-contamination at common walls between water at differing
stages of treatment.
9.8 Slow Sand Filtration
This process consists of a single medium of fine sand, approximately three to four feet deep. The
medium is not backwashed as it is in a rapid sand filter; instead, operators manually clean it by
removing the surface of filtration medium.
9-9
Slow sand filters operate in the range of 0.03-0.10 gpm/ft2
, and therefore require extensive land
area. The source water quality also needs to meet 10 NTU or less on a consistent basis. These
filtration systems may be appropriate for small communities, but must include adequate
(physical, not chemical) pretreatment. They are not suitable for raw water with high turbidities
and rapidly changing quality. These filters operate under continuous submerged conditions and
function using biological mechanisms (schmutzdecke) and physical-chemical mechanisms.
Figure 9-4: Slow Sand Filter
9.8.1 Sanitary Deficiency Questions and Considerations – Slow Sand Filtration
1. What pretreatment does the water system use, if any?
Because these filters do not need, and operators should not chemically pre-treat the raw
water with a coagulant due to filter clogging, what pretreatment, if any, does the system
use? Do they use a screen, chlorine, or a roughing filter (coarser sand) prior to slow sand?
2. What method do operators use to clean the slow sand filters?
What is the average and worst-case time between cleaning the filters? Is cleaning
accomplished by scraping (the most common method) or by harrowing (low backwash
rate while turning the medium)? What is the sand depth? The system should replace the
sand when repeated scrapings have reduced the depth of the sand to approximately one
half of its design depth.
3. Are there redundant slow sand filters?
Following scraping, slow sand filters perform poorer at the beginning of filter runs so
filter-to-waste capability or a ripening period of 1 or 2 days is recommended. Operators
should monitor filter effluent turbidity or particle monitoring to determine the end of the
ripening period. The facility should have redundant units to allow the cleaned filter to
build up a biological mat, or schmutzdecke, which builds on the top of the sand layer.
Filters can return to service sooner when the harrowing technique of cleaning is used.
Slow sand filter removal performance depends on microbes, and a lack of moisture
reduces microbial growth. The inspector should ask if the operators ever leave the filter
unsubmerged and, if so, for how long.
9-10
4. Is the slow sand filter covered and light-free?
Systems should enclose these types of filters in a light-free building to eliminate or
minimize algae growth, to facilitate cleaning and to avoid ice build-up in the winter.
9.9 Diatomaceous Earth (DE) Filtration
DE filtration, also known as precoat or diatomite filtration, is appropriate for direct treatment of
surface waters to remove relatively low levels of turbidity and microorganisms. Diatomite filters
consist of a layer of DE (about 1/8-inch thick) supported on a septum or filter element and
operate either in pressurized vessels or under a vacuum in open vessels. Manufacturers generally
design these units for a filtration rate of 1 gpm/ft2
.
Figure 9-5: Diatomaceous Earth Filtration
Figure 9-6: Filter Mechanics of Diatomaceous Earth
Before a filter is ready for use, a pre-coat filtration process recirculates a DE slurry through the
filter septum. This creates a thin, protective layer of diatomaceous earth. The septum is typically
plastic or metal cloth mounted on a wire mesh-covered steel frame. After the pre-coat forms, the
filter is ready for use. Operators must feed a low dose of DE, called body feed, into the raw water
to help reduce the rate of head-loss through the filter. The pre-coat surface separates the
9-11
particulates, including the body feed, from the raw water flow where these particulates actually
become part of the filter media.
9.9.1 Sanitary Deficiency Questions and Considerations – Diatomaceous Earth
Filtration
1. What levels of pre-coat and continuous body feed do the operators maintain?
The recommended amount of filter precoat is 0.2 lb/ft2
, and the recommended minimum
thickness of precoat filter cake is 3mm to 5mm to enhance cyst removal. DE filters do not
need a filter-to­waste cycle because of the precoat process. What amount of precoat is
used?
The filtration process must include a continuous body feed into the raw water to maintain
the porosity of the filter cake. Also, if there is no body feed, there is a rapid increase in
head loss due to buildup on the surface. Some water systems have found the addition of a
coagulant coating (alum or a suitable polymer) to the body feed improves removal
performance. What dosage does the operator maintain for body feed, and is the body feed
continuous? Can the operator verify the dosages?
2. How do operators handle flow interruptions?
Interruptions of flow cause the filter cake to fall off the septum, allowing pathogens to
pass through the DE filter. For this reason, DE is not a recommended technology for
on/off operation. Do the operators reestablish the pre-coating any time there is an
interruption of flow at this facility?
3. When do operators initiate backwashing?
The rate of body feed and size of the media are critical for determining the length of the
filter run. Filter runs typically range from 2 to 4 days. Shorter runs minimize filtered
water taste and odor problems arising from the decomposition of organic matter trapped
in the filter. DE is effective for removing algae, but if prechlorination is used, operators
can expect increased taste and odor issues. The inspector should determine whether this
facility has taste and odor problems that are attributable to prechlorination or long filter
runs. How often is the septum inspected and cleaned? How is spent filter cake disposed?
9.10 Bag and Cartridge Filtration
Manufacturers of bag filters typically construct them of non-rigid fabric filtration media housed
in a pressure vessel. The filter is usually a woven fabric or felt made of materials such as
polypropylene, polyester, nylon or Teflon. Typically, only felt filters have nominal pore sizes as
low as 0.5 to 1 µm, which are values likely to be associated with removal of Cryptosporidium
and G. lamblia. Bag filters also include a sealing system on the open end of the filter at the
connection to the water inlet.
Typical designs of cartridge filters include fiberglass or ceramic membranes supported by a rigid
core or a rigid core wrapped with strings of polypropylene, acrylics or nylon. Nominal pore sizes
range from 0.3 to 200 microns. The advantage of these microporous filters to small systems is
that no chemicals, other than the disinfectant, are required and they are relatively simple to
operate.
9-12
Pore size is a critical element in bag and cartridge filters, and primacy agencies usually require
challenge testing to demonstrate the microbial removal capability. Use of bag or cartridge filters
to meet Cryptosporidium removal requirements under LT2 requires challenge testing and
removal credits are limited because direct integrity testing cannot be used to verify the integrity
of system seals while the filters are in use. Seal integrity is another critical element in bag and
cartridge filters because faulty seals can allow pathogens to partially or completely bypass
filtration. Bag and cartridge filters may be suitable for producing potable water from raw water
supplies containing low levels of turbidity, algae, and microbiological contaminants. The use of
this type of filtration is usually limited to low-turbidity waters (<1.0 NTU ) because of
susceptibility to rapid head loss buildup. Some installations address these limitations by using
bag or cartridge filters after sand or multi-media filters, or by using preliminary bag or cartridge
filters with larger pore sizes (e.g., 10 µm).
Figure 9-7: Bag and Cartridge Filtration
9.10.1 Sanitary Deficiency Questions and Considerations – Bag and Cartridge Filtration
1. What type of pretreatment is used?
Water systems can use bag and cartridge filters on raw water of any quality, depending
on the degree of pretreatment provided. The inspector should verify the pretreatment used
at the facility and whether the system uses bags, cartridges or both as the primary
treatment or as an extra level of physical removal to ensure public health protection (for
example, filters added after a poorly performing conventional treatment plant).
2. Does the final unit provide the required level of removal?
The inspector should verify the filters in use were challenge tested and approved by the
state for microbial removal for the system. Challenge testing must be performed on full-
scale bag or cartridge filters, and the associated filter housing or pressure vessel, that are
identical in material and construction to the filters and housings the system uses for
9-13
removal of Cryptosporidium. Bag or cartridge filters must be challenge tested in the same
configuration that the system uses, either as individual filters or as a series configuration
of filters. Have there been changes in operation, sources or quality of supply that suggest
review of the level of treatment required?
Note: Water systems placed in a higher bin level of treatment category (i.e., Bin 2, 3 or 4)
during the first round of monitoring under LT2 may not reduce treatment (“backslide”) if
calculations of the second round monitoring results equate to a lower bin level treatment
category.
3. What are the average and the shortest times between filter replacements?
The inspector should ask the operator what seasonal site-specific conditions might
shorten filter runs. The inspector should verify that the facility has met the turbidity
standard for finished water at all times. Is bag replacement so frequent that upgrades to
the pretreatment are justified? The inspector should make sure the system never operates
without the filter cartridges or bags in place. There should be a supply of replacement
filters and procedures in place for changing filters without bypassing filtration.
Note: Replacement filters and bags must be identical to those used during challenge
testing.
4. How is filter integrity and the need for filter replacement monitored?
Indirect indicators of leaks or loss of seal integrity include turbidity and pressure
measurements. Operators should monitor and record turbidity, head loss and total number
of hours in service to determine filter replacement cycles. Are there any indirect integrity
tests required by the state and have they been performed?
9.11 Membrane Filtration
Membrane filtration processes act as selective barriers in water treatment, allowing some
constituents to pass through the membrane filter while blocking the passage of larger
constituents. Pressure driven membranes can achieve significant reductions in microbial
contaminants and, in some cases, inorganic and organic compounds. Membrane filtration has
become an attractive alternative for water systems because of its small footprint, lack of need for
chemical coagulants and feasibility for both DBP precursor and microbial control. Membranes do
produce a concentrated waste stream and some membranes are backwashed, resulting in a need
for treatment and/or disposal. Periodic chemical cleaning is required and the resulting product
requires proper disposal.
There are four general types of pressure driven membranes discussed below. Site specific
treatment goals provide the basis for membrane selection. Examples of site specific goals may
include removal of inorganics, natural organic matter, particulates or pathogens.
The advantage of membranes is they can maintain filtered water quality even with changes in
turbidity, microorganism burden, algae blooms, pH, temperature, or other influent water
characteristics that would require treatment changes and operator action in other filtration
processes. Under most circumstances, membrane systems lose operational performance such as
increasing pressure differentials across the membrane and shortening of the time between
cleanings with changes in influent water quality. Membrane integrity and the monitoring of
9-14
membrane integrity, as well as waste stream and backwash treatment or recycle are the main
concerns in the operation of membranes. Fouling and scaling of the membranes are also
concerns, especially for high-pressure membranes.
9.11.1 Reverse Osmosis (RO)
RO uses high pressure to reverse the natural osmotic flow of dissolved minerals from the high
concentration side of the membrane to the low concentration side of the membrane. The
increased pressure on the high concentration side of the membrane forces the solute water
through to the low concentration side of the membrane. Water systems typically use RO to
remove salts from brackish water and seawater. The membrane excludes particles less than 0.001
microns and provides a barrier for cysts, bacteria and viruses so operators must maintain its
integrity and the seals, which are common points where breakthrough can occur.
Figure 9-8: Spiral Wound RO Filter Core10
9.11.2 Nanofiltration (NF)
Nanofiltration, also called membrane softening and low pressure RO is effective in the removal
of calcium and magnesium ions (multivalent cations or hardness). It is also a very efficient
membrane for removing natural organic matter to control DBPs. The membrane excludes
molecules larger than 0.001 microns, the organic compound range, and provides a barrier for
cysts, bacteria and viruses.
9.11.3 Ultrafiltration (UF)
Ultrafiltration uses low-pressure membranes to remove natural organic matter and particulates.
UF excludes molecules larger than 0.01 microns, the molecular/macromolecular range, and is a
barrier to cysts while providing partial removal of bacteria and viruses.
9.11.4 Microfiltration (MF)
Microfiltration uses low-pressure membranes to remove particulates and suspended solids. The
membrane excludes molecules larger than 0.1 microns, the macromolecular/micro particle range
10
Source: http://www.aquanext-inc.com/en/product/desalination02.html
9-15
and is a barrier to cysts and provides partial removal of bacteria. It does not provide significant
removal of viruses.
9.11.5 Membrane Challenge Testing
Because the removal efficiency of a membrane is product specific, manufacturers or water
systems must conduct challenge testing on full scale membrane modules that are identical in
material and construction to those the water system uses in its treatment plant. During challenge
testing, feed water to the unit must include the organism itself or a surrogate that the membrane
cannot remove more efficiently than the target organism. The results of the challenge testing
establishes a quality control release value (QCRV), used for a non-destructive performance test
that demonstrates the removal capability of production units. Operators should conduct
additional challenge testing and establish a new QCRV value for significant changes to the
membrane.
9.11.6 Membrane Integrity Testing
In order for a membrane process to be an effective barrier, the filtration system must be free of
integrity breaches. Operators must understand the importance of evaluating membrane integrity
on an ongoing basis. Direct integrity testing is a very accurate means of assessing the integrity of
a membrane filtration process, as it is a physical test applied to a membrane unit to identify and
isolate integrity breaches. This assessment subjects all the physical components of the entire
membrane unit, including the membranes, seals, potting material, and associated valves and
piping to the testing. Commonly used direct integrity tests are an applied pressure or vacuum and
measurement of a particulate or molecular marker.
Operators should conduct direct integrity tests on a regular basis (LT2 rule requires testing at
least once per day) then compare the results to a system specific control limit. If the direct
integrity test exceeds the control limit, the operator removes the membrane from service for
repair then conducts another test to verify the repairs.
Since operators only conduct direct integrity testing periodically, they should also implement
some level of continuous monitoring to measure process performance between direct integrity
tests. Operators can conduct continuous indirect integrity testing to monitor membrane
performance between direct integrity tests using turbidimeters, particle monitors and particle
counters.
9.11.7 Sanitary Deficiency Questions and Considerations – Membranes
Note: The sanitary deficiencies related to chemical feed systems earlier in this chapter are also
applicable to this section.
1. What type of membrane is used, and what is its intended purpose?
The inspector needs to identify which of the above categories of membranes the system
uses and why the system selected that type. What are/were their treatment goals? For
example, they may have chosen NF to remove the organic compounds that are precursors
to DBPs.
9-16
The inspector should verify that the membranes in use are the same as what the state
approved for the system and that the system is operating the units consistent with any
state required operating conditions or restrictions.
2. What type of pretreatment is used?
Systems may use a fine mesh (e.g., 500-micron) screen or cartridge for pretreatment to
protect MF and UF membranes from large particles. For RO and NF systems to operate
economically, pretreatment processes have to remove suspended solids, microorganisms,
and colloids. Systems often use MF and UF as pretreatment for RO and NF. The operator
should describe what pretreatment the system uses prior to the final membrane.
3. How is membrane integrity being determined?
The inspector should ask the operator about any procedures and frequency for direct
integrity testing. What control limits have the operators defined to determine the removal
of a membrane from service? If membranes frequently need repair or replacement, has
the system investigated the cause? The inspector should assess the type of indirect
integrity testing used, including the calibration and maintenance of instrumentation. What
criteria do the operators use to determine when they need to conduct direct integrity tests?
4. What measures are operators using to control membrane fouling
Are redundant units available, in case one of the units fails or the operator remove it for
cleaning or membrane replacement? What are the fouling rate and life of the membranes?
The degree of pretreatment and pH control helps minimize the fouling rate. The smaller
the pore size of the membrane, the greater the concerns about fouling. Microfiltration
usually does not need pH adjustments since it does not remove uncomplexed dissolved
ions. The inspector should ask the operator to describe the fouling problems that the
facility experiences and how they affect membrane life.
5. What is the percentage recovery and what technique do operators employ for
backwash?
The inspector should determine the percentage recovery (the percentage of raw water that
makes it through the membrane) for the membranes used at the facility. The inspector
should also discuss how backwashing is accomplished (for example, gas backwash), how
often it is performed, and how the raw water quality affects the volume required.
6. What is the frequency of cleaning and disposal of cleaning fluids and brines?
How often do the membranes require cleaning? The operator should describe what
chemicals are used and how the system disposes of them. Several methods are available
for brine disposal: sanitary sewers, surface water streams, lagoons or holding ponds, land
application, underground injection, and recycling back to the head-works. The inspector
should check to see that brine is properly disposed. Some contaminants, if present in high
concentrations in the raw water, may create a brine that is a hazardous waste.
7. What is the condition of the plant, gauges and appurtenances?
Membrane plants are mechanically complex and have many automatic valves and many
more connections that require o-rings to achieve a tight water seal. The inspector should
9-17
determine whether all the valves are operating properly and whether there are leakage
problems throughout the piping network.
9.12 Significant Deficiency Examples for Turbidity Removal
All significant deficiencies listed below are examples only. Each primacy agency may have
identified a different set of significant deficiencies than those listed. The state (primacy agency)
determines both significant deficiencies and the corresponding corrective actions.
• Failure to calibrate turbidity monitoring equipment or to record above the regulatory
threshold (i.e., “capped”).
• Inadequate process control testing or record keeping.
• Key chemical feeds are not flow paced.
• No overfeed protection of a chemical feed (lack of flow-control switch).
• Inadequate process control sample locations (e.g., no way to measure dosages).
• Insufficient or missing backflow prevention for surface wash filters.
• Intermittent coagulant feed.
• Insufficient mixing or too vigorous mixing at chemical feed points.
• Exceeding any of the SWTR triggers, resulting in treatment technique violations.
10-1
10 Finished Water Storage Facilities
Finished water storage facilities play a vital role in providing a safe, adequate, and reliable
supply of water. Schools, hospitals, nursing homes, factories, and homeowners all depend on a
consistent, dependable supply of safe water. Failure to maintain the structural and sanitary
integrity of storage facilities can lead directly to the loss of property, illness, and death.
10.1 Learning Objectives
• Identify key data needed regarding design, maintenance, and operation of storage
facilities, in order to determine their adequacy and reliability.
• Review the major components of ground, elevated, and hydropneumatic finished water
storage facilities.
• Evaluate operator safety practices and equipment in relationship to storage facilities.
• Recognize sanitary deficiencies related to the capacity, physical condition, and operation
of storage systems such as inadequate volume or pressure, contamination by animals and
insects, corrosion, metal fatigue, and vandalism.
10.2 Data Collection
To evaluate water storage for sanitary deficiencies, the inspector should gather the following
information:
• Type and volume of the storage facilities.
• The results of the last inspection.
• Maximum and minimum pressures at high and low elevations in the system.
• Maximum and minimum pressures in each pressure zone.
• Documentation of state approval for changes to or installation of the tanks.
• Number of pressure zones in the system.
• Verification of the presence of a hydraulic model of the system.
• The type of chlorine residual testing method used by operators.
10.3 Regulations and Standards to Consider
The inspector should consider and review the following information prior to inspection:
• 40 CFR 141.714 – Requirements under LT2 for uncovered finished water storage
facilities.
• 40 CFR 1926.146 - Confined space entry.
• The American Water Works Association (AWWA) standard for the type of piping
materials used in the system.
• AWWA C652-11 - Disinfection of Water Storage Facilities.
10-2
• System construction standards.
• State construction standards.
10.4 Finished Water Storage Facilities11
10.4.1 Purpose and Vulnerability of Storage Tanks
The purpose of finished drinking water storage tanks is to ensure that the distribution system is
under constant positive pressure and that there is additional water beyond the seasonal demand
for emergencies. While achieving pressure, water systems must design and maintain tanks to
minimize the degradation of the finished water as it passes through the tank into the distribution
system to the customers’ homes.
On average, the leakage of water out of distribution pipes is about 10%. Tanks protect against
the non-potable water outside of the pipe from entering, by always forcing water out. Operators
accomplish this by raising the height of the water such that its weight provides pressure to the
water below – in the pipes. Although tanks protect against contamination from entering the
network of distribution pipes, the positive pressure they create does not protect the tanks
themselves, because the pressure goes to zero at the air/water interface.
This makes tanks the most vulnerable part of the distribution system, not only because there is
zero pressure at the top, but also because there are designed openings to the atmosphere via
vents, overflows, hatches, roof to sidewall connections, appurtenances entering tanks and
unplanned openings.
To keep rodents, birds, bats, snakes and insects, and any diseases they may be harboring, there
must be no hole larger than that afforded by a #24 mesh screen or 0.027 inches (wire diameter
0.014 inches). A #24 mesh screen will keep out all organisms down to the size of insects
including black widow spiders (0.5518 inches), house flies (0.315 inches), deer ticks (0.166
inches), Asian Tiger mosquitoes (0.078 inches) and Noseeums or biting midges (0.059 inches).
It is not the size of the insect that matters but the size to which an insect can contort its body to
enter a space, and that is against what the #24 mesh screen protects. For these reasons, Ten State
Standards has included the #24 mesh screen for vents and overflows, for ground level tanks,
since its very first revision in 1962.
Water systems must also thoroughly inspect the inside of their tanks every three to five years.
Many systems do not have this expertise and will need to hire an outside company to perform the
inspection. If excessive sedimentation or other issues are detected during the inspection, the
operators will need to take the tank offline for cleaning and any repairs which may include
stripping the old coating and resurfacing with a new coating.
10.4.2 Types of Tanks
Finished water storage often begins at the treatment facility in a structure known as a clearwell.
Out in the distribution system, storage tanks are normally elevated on steel legs or built on hills
to provide water pressure. Tanks are either fully buried (must have a water proof covering),
partially buried (soil must be below the seam where the top joins the walls at a distance required
11
The student may want to consider viewing the video entitled Sanitary Survey Inspection; Before You Begin...
Storage Facilities, prior to reading this section. This and additional reference materials can be found in Appendix A.
10-3
by the primacy design standards), or elevated by either being placed on the ground or raised by a
standpipe or legs. Elevated tanks made of metal must have a vacuum/pressure relief mechanism
to protect them against excessive pressure or vacuum that can damage the tank. A very small
system will often use a pressurized tank known as a hydropneumatic tank to provide pressure
and limit the cycling frequency of pumps.
10.4.3 Adequate Volume and Pressure
Water systems must be able to provide safe water at all times, in adequate volumes, with
sufficient pressure (normally not less than 35 psi at any point in the system). Low pressure,
inadequate volumes, and contaminated water from storage facilities are a result of poor design,
construction, operation, or maintenance.
10.4.4 Varying Demand for Water
Demand for water in a distribution system changes significantly throughout each day. As it
varies, a properly operated finished water storage facility acts as a reserve, or buffer, which
prevents sudden changes in water pressure in the system. Table 10-1 is an example of water use
as an average daily demand.
Table 10-1: Example of Water Use
System Population 800 persons
Average daily per capita usage 100 gallons
Average Daily Demand (ADD) 800 x 100 = 80,000 gpd
100,000 gallons elevated storage (tower); 2 pumps supply the system and fill the
tower
Pump #1 85 gpm 122,400 gpd
Pump #2 120 gpm 172,800 gpd
Note. gpm = Gallons per minute, gpd = Gallons per day
Table 10-2 is an example of varying water demands during one day. An average daily demand of
80,000 gallons per day equals 56 gpm. However, an average gpm is very misleading. As shown
in the table, the demand varies greatly between the low at 3 a.m. and the high during a small
house fire at 3 p.m.
Table 10-2: Varying Daily Water Demands
Time of Day Average Demand Demand
3 a.m. Low 30 gpm
7 a.m. Showers, Dishes 56 gpm
3 p.m. House Fire 750 – 1,000 gpm
10-4
10.4.5 Pumps Alone are Insufficient
Although either pump in the example given above is capable of pumping the required 80,000 gpd
based on 24 hours, neither is capable of keeping up with the day’s peak demands. The water
stored in the tower makes up the difference. In addition, the demand for water varies from day to
day and from one season to the next.
10.4.5.1 Clearwell
Service pumps send water from the clearwells, often in tanks located below ground level, to
storage and distribution after treatment, including disinfection. The effectiveness of chemical
disinfectants, such as chlorine, depends on the concentration of the disinfectant and the contact
time of exposure of the organisms to the disinfectant. Water systems usually achieve contact or
residence time in the clearwell, often with baffling, to ensure adequate CT. See Chapter8:
Disinfection for a complete explanation of CT.
Figure 10-1: Clearwell
10.4.5.2 Gravity Storage
Many of the following items apply to clearwells, as well as to storage in the distribution system.
Gravity storage facilities (tanks) must be elevated to maintain sufficient pressure to all customers
within the service area. Achieve the needed elevation by constructing the tank on structural
supports above ground or by erecting the tank on a hill.
10-5
Figure 10-2: Gravity Storage
10.4.6 Large-Diameter Tanks Preferred
When gravity storage is used, the pressure at the head of the distribution system fluctuates with
the water level in the tank. Shallow, large-diameter storage tanks are preferred over deep, small-
diameter tanks because the larger diameter tanks have more water per foot of drawdown and are
thus less prone to pressure fluctuations.
Figure 10-3: Large vs. Narrow Diameter Tanks
10.4.7 Materials
Buried and partially buried tanks have thick walls constructed of reinforced or pre-stressed
concrete, designed to withstand the pressure from the surrounding ground. Concrete tanks may
also be completely above ground. Tanks constructed of steel may be elevated or placed on the
ground. Water systems in relatively flat areas elevate steel tanks with legs or use standpipes to
create the pressure needed for the distribution system. Concrete tanks require less maintenance
because they don’t have metal surfaces that need painting inside and out.
10-6
10.4.8 Components
Minimized degradation of the water in a tank occurs when all of the components work
together as a system. A storage tank designed to work as a dynamic system, where each
component is dependent upon all of the other components, has the best sanitary protection
and most efficient operation. Relying on one component meeting the best sanitary
protection requirements, while ignoring the other components, will lead to failure.
Operators need to inspect tanks daily or several times per week to verify the condition of
all readily accessible components. It ensures for example, that the overflow is not spilling
water due to telemetry failure, that there are no security breaches, and no new breaches
have occurred to screens or other locations since the last inspection. Operators need to
conduct quarterly inspections of components that they can only assess by climbing (e.g.,
hatches, vents and surface penetrations like cathodic protection).
Typical tank components include:
• Air Vent:
Gravity tanks must “breathe” as the tank is filled and emptied. A plugged vent can result
in structural damage to the tank from either a vacuum or an excess pressure condition.
For protection against all organisms down to the size of insects, all tank vents must have
a #24 mesh, corrosion-resistant, screen. To protect against inhalation of contaminants, the
screen must be at least 24 inches (or at a distance required by the primacy agency) above
the roof or ground.
To protect against rain and snow, and to minimize light and dust from entering;
downturned vents must face the ground, and for other vents (not turned down), a water
proof cover must go down to the bottom of the #24 mesh screen. Metal elevated tanks
must have a pressure/vacuum relief mechanism (e.g., movable palette, flexible inner
screen, low pressure/vacuum relief valve, etc.) to prevent tank damage.
The best configuration for a screen on a pipe is between two flanges, which brings the
screen inside the pipe and protects it against vandalism. Operators must install and
maintain bird screens to prevent them from nesting on horizontally placed screens or to
protect flexible screens.
Note: A globe-shaped device known as a “finial ball,” which is a combination vent
and roof ladder support, was popular on old riveted tanks and generally was
constructed without any kind of protection from rain, birds, or bugs. Water systems
should replace or modify these and other poorly designed vents in a manner that
accommodates air movement while protecting water quality.
• Overflow:
Must protect against all organisms down to the size of insects; all tanks (ground and
elevated) must have a removable #24 mesh, corrosion-resistant, screen. Because flapper
and duckbill valves can fail in the open position, if used, they must also have a #24 mesh
screen, prior to the valves. The configuration must protect against inhalation of
contaminants, rodent damage and erosion, and visibly terminate 24 inches (or at a
distance required by the primacy agency) above the ground. The operators must not
10-7
directly plumb the overflow to a sanitary sewer, storm or tank drain, or submerge the
outlet into any type of drain. If the overflow discharges above a storm sewer, horizontal
displacement of the overflow outlet must be at least 3 feet or have a duckbill valve to
avoid breathing air from the storm sewer. The overflow must discharge over a splash
plate or engineered outlet (concrete or riprap) that will not submerge the overflow when
spilling. The best configuration for a screen on a pipe is between two flanges, which
brings the screen inside the pipe and protects it against vandalism.
Note: The spilling of water through the overflow should be a rare event that constitutes
an emergency. An overflow usually means the systems managing the high water level and
overflow levels have failed (e.g., SCADA/telemetry systems).
• Drain pipe:
Empties the storage facility (not into the distribution system). Operators must protect the
drain outlet against all organisms down to the size of insects; all tanks (ground and
elevated) must have a removable #24 mesh, corrosion resistant, screen or some other
protection such as a removable plug. Rodents, snakes and insects must not be able to
transport any pathogens they may be harboring to the gate valve, which is no barrier to
bacteria growth. Configuration: The outlet must visibly terminate some distance above
the ground, as required by the state (typically, 24 inches). The operators must not directly
plumb the drain to a sanitary sewer, storm or tank drain, or submerge the outlet into any
type of drain. The drain can indirectly discharge to a sanitary sewer or storm drain but
only if there is a 3 pipe diameter air gap. The best configuration for a screen on a pipe is
between two flanges, which brings the screen inside the pipe and protects it against
vandalism.
Note: Water will only be exiting the drain through planned cleaning events, therefore, the
screen or plug needs to be removable, then reinstalled immediately afterwards.
• Access Hatch:
Facilitates inspection and maintenance of the tank. The hatch should be of a “shoe-box”
design. The lid must be solid, watertight, hinged at one side, and have a gasket. The
“knife-edge” must be raised four inches above the roof where the lid may extend two
inches below the top edge. The latch must pull the lid tight against the gasket and have a
locking device.
• Inlet and outlet piping:
Connects to the distribution system for filling and discharging the tank.
• Isolation valve:
Isolates the tank from the distribution system. Water utilities need to design their
distribution system such that they will not lose pressure when operators take a tank
offline for cleaning and repairs.
• Cathodic protection plate:
Provides access to cathodic protection rods.
10-8
Figure 10-4: Tank Components
• Ladders and walkways:
Facilitate inspection and maintenance of interior and exterior. Internal catwalks should
have a solid floor with raised edges to keep dirt out of the water. Operators need to
maintain these structures to avoid failure due to rust.
• Security:
Tanks need to be fenced, to dissuade vandalism and other deliberative attacks. All vital
components gate entrances, vents, hatches and overflows should be under camera
surveillance and alarmed for observation at the plant.
• High level alarm:
Turns off pumps when water reaches the high level set point. This alarm is below the
overflow alarm.
• Overflow alarm:
Alerts staff when the tank is about to overflow and constitutes an emergency
• Ultrasonic sensor:
Measures water level in the tank.
• Pressure gauge:
10-9
Measures head pressure. Operators can use the head pressure to calculate the level of
water in the tank.
• Control system:
Maintains water levels in the tank.
• Altitude valve:
Prevents a tank at a lower elevation from overflowing, while allowing a tank at a higher
elevation to fill.
• Valve pit:
Contains altitude valve, isolation valve, and drain valves.
• Alarm system:
Detects unacceptable low and high water levels and sends signal to operators.
10.4.9 Advantages of Gravity Storage
A gravity storage system offers several advantages over other (e.g., hydropneumatic) systems.
• Greater flexibility to meet peak demands with less variation in pressure.
• Storage for fire-fighting use.
• One to five days of storage, to meet needs.
• Use of lower capacity wells (well not required to meet peak demand by itself).
• Sizing of pumps, to take better advantage of electric load factors (able to pump during
discount hours).
• Reduced on-and-off cycling of pumps.
• Reduces or prevents water hammer.
10.4.9.1 Storage Filling Requirements
For gravity storage, should the largest pump fail or need service, all other pumps should be
capable of providing the average daily demand (ADD) for 18 hours. Using our previous
example:
ADD : 80,000 gallons per day.
Large pump: 120 gpm (not part of determination).
Small pump: 85 gpm (91,800 gallons in 18 hours).
10.4.9.2 Two Methods of Filling and Using Storage
Direct pumping: Ideally, finished water enters at the top of the tank and the water must flow
through the tank to the outlet at the bottom, which may increase the amount of disinfectant
contact time (e.g., CT credit). The amount of CT a water system may receive for this type of
design depends on the location and configuration of the inlet and outlet.
10-10
Figure 10-5: Direct Pumping
Floating tank: Service pumps may send water directly into the distribution system before filling a
storage tank. These tanks usually ride or float on the system and may be located several miles
from the treatment facilities. This type of tank has a single inlet and outlet, so finished water can
actually bypass the tank. These types of tanks do not qualify for disinfection contact time credit.
Figure 10-6: Tank Floating on the System
10.4.10 Sanitary Deficiency Questions and Considerations - Gravity Storage
1. Is the storage system designed for direct pumping or floating on the distribution
system?
Direct pumping systems offer an advantage over floating systems in that the storage tank
provides additional chlorine contact time, while minimizing DBPs. Direct pumping
systems, however, tend to have higher fluctuations in head pressure than floating
systems. In floating systems, the service pumps may send treated water directly to the
customer through the distribution system, when the demand is high.
10-11
2. Is the storage capacity adequate?
The total storage capacity for gravity storage systems should be equal to one to five days
of average daily demand. The storage tank should have enough reserve capacity to
provide adequate fire protection and allow for extreme conditions such as power outages
where the pumps would be unavailable unless the system provides auxiliary power.
Utilities that lack adequate storage run the risk of losing system pressure.
3. Is the storage over-sized?
Conversely, storage facilities that are extremely over-designed run the risk of depleting
the chlorine residual and creating DBPs, as well creating taste and odor problems. The
water system should balance the capacity needs for fire protection with those required for
adequate tank turnover, to prevent stagnation. Failure to use and replace water on a
regular basis (tank turnover frequency) can cause the depletion of disinfectant residuals
and cause the production of disinfection byproducts. In addition, ice buildup can be a
threat to the tank.
4. Do storage tanks turn over at least once every 14 days?
Water held for more than 14 days can become stagnant, causing taste and odor
complaints, a reduction in chlorine residuals, and an increase in bacteriological activity
and disinfection byproduct formation.
5. Is the pumping capacity adequate?
The pumping capacity must be able to supply water for both normal peak demand and
potential fire demand, while preventing the excessive loss of head pressure in the tank.
(Many small systems are not designed to meet fire demands.)
6. Is the elevation of the tank sufficient to maintain pressure throughout the
distribution system?
Properly sized water tanks located sufficiently above the distribution system should
produce minimum operating pressures of 35 psi (about 81 feet of head); operating
pressures of 40-60 psi (92 to 139 feet of head) are preferred.
7. Is there a need for separate pressure zones?
In communities that have varying topography, customers in the higher elevations could
experience low water pressure, if the gravity storage system lacks separate pressure
zones. The inspector should determine if the operators are meeting minimum and
maximum allowable pressures throughout the distribution system.
The inspector must not assume operators are actually managing a well-designed storage
capacity properly. During the sanitary survey, the inspector should evaluate the
operational strategy of the storage system, to ensure operators are maintaining minimum
pressures, while minimizing water age (tank turnover).
8. Does the operator understand the controls that regulate tank water levels?
10-12
The operator should understand the functions of the water level control systems and
should be capable of making minor adjustments. There should be a record of control
pressures and elevation for each phase of the pumping cycle. The record should include
the pressures that activate the alarms.
The operator of a system that has altitude valves and multiple tanks must be capable of
taking pressure and water-level readings, and adjusting the valves to control tank levels.
9. Are there adequate minimum rise and fall distances?
To maintain an adequate volume of water and an even distribution system pressure, the
supply pump’s automatic controls should keep to a minimum the distance the water
inside the tank rises and falls. The difference in the levels should be sufficient to allow
for mixing of the water to minimize stagnation.
The rise and fall should be sufficient, however, to prevent excessive pump cycles during
hours of peak usage. Controllers should allow the water in the tank to rise to the high
level set point that turns off the pump. If the telemetry fails and the pump does not turn
off, it will trigger the overflow level alarm. The maximum water level should be within
six inches to a foot of the overflow alarm.
10. Are control systems reliable and properly protected?
Determine if the controls are suitable for the application and are functioning properly.
Each storage facility should be equipped with a manual override and an alarm system to
warn of pump failures, as well as overflow and low water levels. The inspector should
note the general condition of the control devices and wiring, and determine if the system
has installed adequate protection from lightning and other outside elements.
11. Is the water level indicator accurate?
Every storage tank should have a reliable means of measuring the water level. If properly
maintained, a float and staff gauge is the most reliable level indicator.
Pressure gauges are acceptable for determining the water level, but operators need to
perform occasional visual checks inside the tank to verify the pressure gauge accuracy.
(Note: 1 psi = 2.31 ft.; 1 ft. = 0.433 psi.)
12. Is there a cleaning, inspection and maintenance program?
Routine cleaning and inspection cycles are essential for the maintenance of the tank,
especially for those with coatings. A qualified (certified) professional should conduct the
inspection of the coatings, according to AWWA standard D101-53: Inspecting and
Repairing Steel Water Tanks, Standpipes, Reservoirs, and Elevated Tanks for Water
Storage. If caught early, operators can have minor failures of tank coatings, telemetry,
ladders or other infrastructure repaired at a low cost. This helps maintain the life of the
tank indefinitely.
In between these comprehensive inspections, operators must also conduct daily to
biweekly inspections to observe the condition of key components of the tank, like the
10-13
vent and overflow, and look for holes in the tank. Systems need to conduct quarterly
inspections for elevated tanks to observe the infrastructure, by climbing the tank.
Tanks are the most vulnerable part of the distribution system and a thorough inspection
program is a key part of this dynamic system, to ensure all the components are working
properly and no one has tampered with the tank. Maintaining industrial control systems
requires particular expertise from thoroughly trained operators or a readily available
expert, to respond in case of a system malfunction.
13. Is all treated water storage covered?
Water systems must cover finished-water storage tanks to prevent airborne
contamination, such as that from birds, insects, small animals and algae. Covers must be
watertight, made of permanent material, and constructed to drain freely and prevent
contaminants from entering the stored water. The water system should not use the top
surface of the storage tank for any purpose that may damage the cover or result in
contamination of the stored water. The operators must maintain the seal between the roof
and sidewall joint.
14. Air Vents:
a. Is a #24 mesh non-corrodible screen used?
All vents (ground level and elevated) must have a #24 mesh screen, to keep living
organisms down to the size of insects, and any pathogens they may harbor out of
the tank. Metal elevated tanks must have a pressure/vacuum relief mechanism
(e.g., movable palette, flexible inner screen, low pressure vacuum/pressure relief
valve, etc.) to prevent tank damage. Extreme vacuum events must not be able to
draw the screen into the tank, as well.
b. Is the vent at least 24 inches above the roof?
Vents breathe air in and out of the tank and can inhale contaminants into the
finished water; therefore, the screen must be at least 24 inches (ground and
elevated) above the roof or ground. The vent must also protect against rain and
snow, and minimize light and dust from entering. If the vent is down-turned, it
must face the ground (inverted U).
If the vent is not down-turned, it must have a water-proof cover down to the
bottom of the #24 mesh screen. The best configuration for a screen on a pipe is
between two flanges, which brings the screen inside the pipe and protects it
against vandalism. Operators may need to add screening or other deterrents to
prevent birds from nesting on a horizontally placed screen or to protect flexible
screens.
15. Overflows:
a. Is a #24 mesh, non-corrodible, screen used?
Overflows allow air in and out of the tank just like the vents but through a longer
pipe, unless it is overflowing with water, which should be a rare event. All
overflows (ground level and elevated) must have a #24 mesh screen to keep living
10-14
organisms down to the size of insects and any pathogens they may harbor out of
the tank.
Overflow events should be extremely rare events, but, when they do occur,
operators must inspect the screen for any buildup from the inside and any damage.
Therefore, the screen must be removable. Placing the screen between two flanges
provides the best seal but also allows operators to remove it for inspection.
Flapper and duckbill valves can fail in the open position, so operators must install
and maintain a #24 mesh screen prior to the flapper or valve.
b. Does the overflow terminate 24 inches (but not less than 12 inches) above a
splash plate?
Overflows, like vents, breathe air in and out of the tank and can inhale
contaminants (leaves, soil, dried feces, feathers, etc.) into the finished water.
Therefore, the screen must be at least 24 inches (but not less than 12 inches)
above the splash plate. The overflow must be visible in case the telemetry fails
such that operators or anyone nearby may observe and report the overflow. Water
systems must not connect the overflow to a sanitary sewer, storm drain or tank
drain.
If the overflow discharges above a storm sewer, operators need to displace the
outlet horizontally by at least 3 feet or have a duckbill valve to avoid breathing air
from the storm sewer. The overflow must discharge over a splash plate or
engineered outlet (concrete or riprap) that will not submerge the overflow when
spilling.
16. What is the design and condition of hatches?
For ground level tanks (buried and partially buried), is the hatch at least 24 inches above
the ground?
For elevated tanks, is the hatch at least four inches above the roof? Is the lid solid and
watertight, as well as hinged at one side. Is the lid a shoebox design that overlaps the rim
by one or two inches? Does the lid fit over the hatch like the top of a shoebox, with no
more than a ¼ to ½ of an inch space between the hatch edging and all sides of the lid?
The lid must seal tight to prevent the inhalation or blowing of dust, dried bird droppings,
and feathers into the hatch opening. Improperly fitted hatch covers are a common
problem, but an operator may only need to make minor modifications to make many of
them acceptable.
Is there a gasket between the rim and lid and does the latch pull the lid tight against the
gasket? When shut, push down on the lid to see if it moves. Movement indicates it is not
tight against the gasket creating a pathway for insects, bird droppings, dust, feathers and
mice.
Hatches flush with the roof need to be raised to the minimum heights discussed above to
protect against rain and snow washing sediment, bird droppings, mouse pellets (a single
mouse pellets can have thousands of Salmonella in it), etc., into the tank.
10-15
Constructed tanks may have large double doors that meet in the middle, for removing
construction materials, that do not create a watertight and insect proof seal. These types
of hatches need to be replaced with a solid cover, with a typical manway that has a
shoebox lid.
17. Do operators keep the access hatches locked, and do authorized personnel have
access to the keys or combinations?
What type of locking device do the operators use to secure the hatch? Is the locking
system sturdy? Is the hatch alarmed or under video surveillance to discourage swimming,
vandals and others.
Was the operator easily able to find the keys or combination to open the hatch? Operators
must secure access hatches with a solid watertight cover and a sturdy locking device. It is
not unusual for the wind to lift open an unlocked cover. Operators often lose keys or
forget combinations and cut the padlocks. Unauthorized individuals may also cut the
locks then swim in or throw things in the storage facilities.
After opening the hatch, determine if there are spider webs, indications of other insect
intrusions, floating debris, or sediment buildup in the tank.
Note: you can use a mirror to reflect sunlight into the tank to help with observations.
18. Condition of drains?
Does the drain have a removable #24 mesh, non-corrodible, screen? Water will only be
exiting a drain pipe when an operator opens the gate valve for some planned event like
cleaning the tank. Therefore, one of the steps in this planned process is removing the
screen from the drain pipe, prior to flushing to prevent damage, then immediately
replacing after cleaning. Putting the screen between two flanges makes it easily
removable and prevents rodents, snakes and insects and any diseases they may harbor,
from nesting in the drain pipe.
Drains typically leak, creating a wet environment that attracts life of all sorts. It is simply
good sanitary practice to not allow any rodents, snakes or insects to live in any part of the
drinking water infrastructure. The wet environment from a drain pipe creates an
environment that will support a significant bacteriological community, which is why
water systems must never connect an overflow pipe to the tank’s drain pipe.
The screened outlet must be at least 24 inches (but not less than 12 inches) above the
splash plate. The drain must discharge over a splash plate or an engineered outlet
(concrete or riprap) that will not submerge the drain when it is flowing. Operators must
not directly connect the drain to a sanitary sewer, storm drain or be under water. The
drain can indirectly discharge to a sanitary sewer or storm drain, but only if there is at
least a 3 pipe-diameter air gap.
19. Are there any other openings in the walls, wall-to-roof connections or the roof?
There must be no other hole larger than that afforded by a #24 mesh screen. Record any
openings in the roof, walls or wall-to-roof connection that operators need to seal or need
more significant repair.
10-16
20. Are the cathodic protection access plates watertight?
Access plates that are not sealed allow bird droppings to wash directly into the drinking
water.
21. Is there a roof penetration for a water level indicator cable?
This penetration for the cable allows bird droppings to wash into the storage facility
unless the cable is in conduit, sealed at the opening and designed to cause rainwater to
flow away from the cable opening.
22. Are there other roof penetrations?
Roof penetrations for water lines, chlorine lines, and electrical devices are all
opportunities for contamination, if operators do not maintain the seals.
23. Are there sewer lines within 50 feet of an in-ground storage tank?
Any sewer lines located within 50 feet of a storage facility, such as a clearwell with a
floor below ground level, need to be constructed of extra-heavy or service-weight cast
iron pipe, with tested, watertight joints. No sewer lines should be closer than 10 feet to
the tank.
24. Are there cracks in the walls or covers of the in-ground concrete storage tanks?
Cracks in the tank can allow ground or surface water into the tank. Operators must
include sealing or repairing of cracks as part of their routine (e.g., daily, weekly) checks
of their tanks.
25. Is there protection from flooding?
Would a flood event submerge the drains, overflows, valve pits or other critical
infrastructure? If the drain would be flooded, does it have a duckbill valve to prevent the
flood water from entering the drain pipe to the gate valve?
Is the tank above the 100, 500 and 1,000 year flood event? If the tank is in a flood plain,
is there long term planning to move it to higher ground to avoid any damage during a
flood?
Is the ground graded away from the tank and is large rock used to protect against the
flood waters damaging the foundations of the tank? The water system should maintain
any ground above an underground tank, such that the grade directs surface water away
from the tank and prevents pooling near it. Underground drainage should discharge away
from the structure.
26. Can the tank be isolated from the system? Are there procedures to sustain the water
supply when the storage tank is out of service for maintenance?
The tank should have gate valves to bypass water directly into distribution or into another
tank, as well as a drain pipe to empty to the tank. The operator should exercise these
valves regularly to ensure their integrity.
10-17
The system must be able to maintain pressure in the distribution system, when operators
remove a tank from service for routine cleaning and inspections, or drain it during an
emergency (vandals or terrorist). This is important, because some repairs may take
weeks to a month, like recoating the inside of a metal tank.
Prior to removing the tank from service for maintenance, the water utility staff should
coordinate and practice procedures for sustaining the distribution system pressure. This
can be relatively simple in systems that are equipped with adequate back-up storage
facilities. A small system that has only one storage tank or limited reserve storage would
require a more complex means of maintaining the water supply. This could include
operating high-service pumps manually and positioning fire hydrant relief valves at
various locations within the distribution system.
Water systems should establish temporary measures that they thoroughly test and
practice, before actually removing the storage tank from service for maintenance. They
should notify all water system customers and the fire department well in advance, to
establish conservation and alternative plans, to decrease stress on the water system. When
necessary, the water system should notify high-consumption customers and ask them to
conserve voluntarily.
27. Has the water system protected the site against vandalism?
Is the storage site fenced with a locked gate, alarmed or under video surveillance?
Ladders to the tops of storage tanks should terminate 10 feet above the ground to deter
unauthorized climbing. Many ladders have a section that “telescopes” up into the cage. In
such cases, the operator should have the ladder and access hatch to the ladder cage
locked.
28. Does the system use approved interior surface coatings?
Water systems should only use coatings approved by NSF International on surfaces in
contact with water. Unapproved coatings can create problems, due to organic and
inorganic contamination of stored water.
Certified professionals should apply coatings to a water tank in accordance with AWWA
Standard D102-11Coating Steel Water Storage Tanks.
29. Does the water system monitor for coliform and volatile organic chemicals (VOCs),
before returning the tank to service?
Tanks must have time for interior coatings to properly cure. Before returning a tank into
service, the water system should disinfect and flush the tank, refill it with water and
analyze samples for coliform and VOCs.
30. Has the water system protected the tank against icing?
When temperatures fall below zero for several days, ice may form in underground and
elevated storage tanks. In underground tanks, ice formation is usually limited to surface
ice. In elevated tanks, icing may be more severe where thick accumulations may form.
Serious damage to walls and structures may result. Tanks have blown their tops due to
10-18
the pressures that result; in less severe cases, the ice may damage cathodic protection and
tank interiors.
Operators must prevent tanks from freezing and not allow them to remain idle by using
heaters, circulators, or bubblers in the tanks. The water system should have insulation
around standpipes installed in very cold climates.
31. Are there indications that the tank may not be structurally sound?
The inspector should base the answer to this question on previous cleaning and inspection
reports, as well as visual observation of washouts, signs of foundation failure, cracking or
spalding concrete, tank leakage, buckling of steel, slack in support rods, corrosion, and
signs of other problems.
32. Has the water system protected the tank against corrosion?
The inspector should ask if the water is corrosive and has damaged the tank coatings. If it
is corrosive, what steps are the operators taking to protect metal tanks, i.e. corrosion
control treatment at the plant, cathodic protection and frequent minor coating repairs.
Corrosive water can seriously damage a steel storage tank if the protective coating is not
completely intact.
Note: Coatings can fail for several reasons, including improper surface preparation,
application, and curing, use of the wrong type of coating, removal by ice or other
environmental exposure, and lack of maintenance.
The rise and fall of water in the tank can affect corrosion. Exposed metal surfaces that are
submerged and then exposed to air (oxygen) corrode at an increased rate. Cathodic
protection devices may provide corrosion control for metal storage tanks. Factory-
authorized professionals should inspect and maintain these devices annually.
33. Do the operators or contractors properly disinfect storage tanks following interior
maintenance?
Water systems must disinfect reservoirs and elevated tanks on the distribution system,
before being put into service and after extensive repairs or cleaning.
Operators should disinfect the tank according to AWWA standard C652-11: Disinfection
of Water Storage Facilities.
34. Are emergency procedures established?
The inspector should learn about the procedure to detect and respond to low tank levels
(low pressure) and high tank levels (overflow or high pressure) and determine if the
procedures are adequate. Low levels in the tank can scour sediments off the bottom and
send them into the distribution system so it is important to know when the water system
last had the tank cleaned and if they had any breaches into the tank. Is there a high water
level and overflow alarm to alert operators?
A resource list should be available that contains information on where to obtain essential
storage repair materials and services, in the event of an emergency. An alternative source
of water should be available. Are they part of the state WARN system?
10-19
35. Do the operators follow safety precautions?
There are climbing and atmospheric hazards associated with water storage tanks. Ladders
should be in good condition and secure. The inspector should determine whether safety
gear is available for climbing and for entry into confined spaces.
36. If the tank is wooden, do the operators manage it in a manner to minimize an
increase in bacterial count?
The most effective operating method for a wooden reservoir includes maintaining a
chlorine residual of at least 1 mg/L, varying the water level in the tank a few feet each
day, and never allowing the same water to stand in the tank longer than a few days.
10.4.11 Basic Information - Hydropneumatic Tanks
Hydropneumatic systems to maintain distribution system pressure are very common in small
water systems (fewer than 150 living units). These systems do not provide the consistent
pressure and water quantity needed for firefighting, providing only enough storage to prevent
excess cycling of the pumps. These systems combine the energy from a pump with the principle
of compressed air pressure, to force water into the distribution system. Understanding how the
hydropneumatic system is susceptible to sanitary risk requires an understanding of basic system
operation and the role of system components.
10.4.11.1 How They Operate
The system operates in the following manner:
• The water supply pump starts when the pressure drops to a predetermined level (cut-in
pressure). The pumped water compresses and pressurizes a pocket of air (air volume) at
the top of the pressure tank.
• When the pressure builds to a predetermined level (cut-out pressure), the pump stops and
the compressed air expands as it forces the water into the distribution system in response
to system demand.
• When the pressure falls to the “pump-on” level (often 35 to 40 psi), the pump starts
again, and the cycle repeats. The cycle rate is the number of times the pump starts and
stops in 1 hour and varies based on the system demand.
10.4.11.2 Components
A typical hydropneumatic system consists of:
• Steel tank: Stores water.
• Air volume control: Regulates air volume in the tank.
• Relief valve: Prevents excessively high pressure.
• Inlet and outlet piping: Allows flow of water in and out of the system.
• Sight glass (tube): Allows direct observation of air-to-water ratio, generally one-third air
to two-thirds water.
• Pressure gauges: Monitor pressure, generally a 100 psi gauge.
10-20
• Pump and motor controls: Control cut-in and cut-out points.
• High and low water levels: Regulate water level in tank.
• Low pressure or flow controls: Maintain balance between water and air pressure.
• Air compressor: Forces additional air into tank to increase pressure (prepressurization).
• Master flow meter: Measures quantity of water pumped.
• Cycle counter: Counts number of pump cycles.
• Elapsed time meter: Records hours of operation.
Figure 10-7: Submersible Turbine and Hydropneumatic Tank
10.4.11.3 Different Styles of Pressure Tanks
Most hydropneumatic systems differ only in the kind of pressure storage tank used. Primary
differences in tanks include:
• Size.
• Orientation (horizontal or vertical).
• Methods of separating water and air.
All these factors may contribute to the degree of vulnerability to sanitary deficiencies. The three
kinds of tanks are described below.
10-21
Figure 10-8: Styles of Pressure Tanks
10.4.11.3.1 Conventional Tank
Characteristics of conventional tanks include:
• Air cushion in direct contact with water; air volume controls are necessary.
• Capacity ranges from a few to several thousand gallons.
• Vertical or horizontal placement.
• Outlet located near bottom of tank. Combined inlet-outlet or inlet-outlet separated on
opposite sides of tank to provide disinfectant contact time.
• Air volume control located at the water/ air interface of tank; provisions available for
prepressurizing.
10.4.11.3.2 Floating Wafer Tank
Characteristics of a floating wafer tank include:
• Floating wafer (rigid floats or flexible rubber or plastic) separates water and air, but
separation is not complete. Expect some loss of air, which requires occasional recharging.
• Vertical placement limits tank capacity.
• Inlet and outlet combined at bottom of tank.
• Internal air check valve to prevent premature loss of air due to electric outage or excess
water demand.
10.4.11.3.3 Tank with a Flexible Separator
Characteristics of tanks with a flexible separator include:
• Separator fastened around inside of tank for complete separation of air and water, either
flexible diaphragm or bladder type.
• Vertical placement limits tank capacity.
• Supercharged at factory or on site to pressures just below pump starting pressure.
10-22
10.4.12 Sanitary Deficiency Questions and Considerations - Hydropneumatic Storage
Tanks
1. Is tank capacity adequate?
There are several formulas for determining required tank capacity (two examples are
listed below). In selecting and evaluating the tank, capacity must correlate to the system’s
peak demand. Engineering records, which should be available at the facility, list pump
capacity, cut-in, and cut-out pressures. Operating records show current peak demand and
if peak demand has changed since the installation of the tank. A change in peak demand
could require a change in tank size.
• Tank Capacity Formula
• Tank capacity = at least 10 times the capacity of the well’s largest pump; and,
• The well pumps = at least 10 times the average daily consumption rate.
• Alternative “Rule of Thumb”
• The capacity of the wells and pumps must be at least equal to the peak
instantaneous demand.
Note: to ensure against over stressing facilities at peak demand, system operators must
know the pumping capacity and peak demand rates.
The inspector should be especially concerned about the adequacy of supply capacity and
tank size in communities that have substantially increased their service population
without upgrading the water system.
The active storage volume of the hydropneumatic tanks must be sufficient to limit pump
cycling to manufacturer’s and industry recommendations.
Maximum cycling frequency must be determined for the largest pump, when demand is
one-half the capacity of the largest pump or combination of pumps operated by the same
pressure switch.
2. Does the low pressure “pump-on” level maintain adequate distribution system
pressure?
Maintaining adequate pressure is especially important to keep the water flowing from
storage facilities to serviced areas. This is because the pump and source have to be
capable of meeting the system’s maximum momentary water demands or the potential for
low pressure situations and backflow or back-siphonage is substantially increased. To
prevent backflow and back-siphonage, the system must maintain a minimum pressure at
all times.
Too little pressure can cause the water flow to reverse, allowing water from a polluted
source to enter potable, stored water. Low pressure can indicate improper connections, or
cross connections, made from storage to serviced facilities. Too much pressure, on the
other hand, can strain system components, can cause high leakage rates, and force air out
with water.
• System pressures (pounds per square inch).
10-23
• Optimum working pressure: 60-80 psi.
• Minimum working pressure: 35 psi.
• Maximum pressure at service connections: 100 psi.
• Minimum pressure under fire flow conditions: 20 psi.
Check for Hazards: Inspectors should check engineering records to assess potential
backflow hazards in the water of facilities served by the system. They also should consult
operating records to see whether pressure is adequate, and they should determine whether
and how often breakdowns and pressure losses occur.
3. Are instruments and controls adequate and operational? Do the operators use and
maintain them?
Proper operation and maintenance of the storage system is also essential. Failure to adjust
gauges and controls properly can lead to inadequate pressure or inadequate supplies of
water. Airborne or waterborne foreign matter may pollute tanks equipped with air
compressors. Careful installation and maintenance of air filters and cross-connection
control devices can prevent the entry of foreign material into the hydropneumatic system.
Evaluating components: To ensure proper operation and maintenance of the system,
operators must routinely check and adjust the following components to meet changes in
the peak demand:
• Air volume control.
• Relief valves.
• Motor controls.
• High and low water level controls.
• Low pressure flow controls.
• Air compressor and controls.
• Check records: Frequently, operators do not adjust controls after the equipment
arrives from the factory. Operating records should report the original calibration
and if peak demand has changed.
4. What is the cycle rate and air-to-water ratio?
Cycle rate: The water supply pump should not cycle frequently (10 to 15 cycles per hour
is acceptable). Frequent or constant operation of the pump indicates a “waterlogged”
tank, improper settings on the pressure controls, or system demand that is close to
exceeding the supply pump capacity.
Air-to-water ratio: The air-to-water ratio in conventional hydropneumatic tanks should be
approximately one-third air to two-thirds water at “pump off” pressure. If the air volume
is too high, the tank could lose water before the pump starts, which would send air into
distribution system.
5. Do the operators properly protect the tank and the controls?
10-24
The tank should be located in a secure building or surrounded by a fence, to protect it
from vandalism. House controls should be in a waterproof and secure structure that is
easily accessible for maintenance. Lightning protection should also be included.
6. Are emergency procedures established?
A control system should detect pump failure (in either a low- or high-pressure situation)
which then activates an alarm. Some alarm systems consist of a light or horn at the
facility. This type of alarm is not as reliable as an automatic telephone dialer alarm,
programmed to call several numbers, until an operator responds.
7. Are there back-up systems?
Many water systems, especially small ones, do not have redundant equipment.
Inadequately maintained hydropneumatic systems are extremely prone to malfunction,
and pressure is usually lost before an operator can correct the problem. Back-up systems
can substantially reduce the sanitary deficiencies of pressure loss, due to equipment
failure. Water systems should establish contingency plans for an emergency source of
safe water.
Service contract: The utility should have a service contract with an industrial controls
technician, for maintenance and trouble-shooting.
CAUTION: Hydropneumatic tanks are pressure vessels. A pressure of 50 psi is
equivalent to 3.5 tons per square foot of tank surface area. DO NOT TAP ON THE
TANKS!
8. Are the interior and exterior surfaces in good condition?
The interior and exterior should be in good physical condition. The inspector should
check for signs of coating failure and corrosion. The inspector most likely will not be
able to examine the interior surfaces, but should emphasize to the operator the importance
of regular inspections.
By reviewing maintenance records, the inspector may determine if operators are
inspecting their tanks. Some states require all pressure vessels to undergo regular
hydrostatic testing. Water systems should not bury the tank.
9. Are tank supports adequate and structurally sound?
A proper and permanent structure should support the tank. An inadequately supported
tank may shift and damage the piping connections, or, worse, the tank could rupture.
10. Is the recharge air free of pollutants such as oil from an air compressor?
Air compressors can introduce lubrication oil as an aerosol, into the hydropneumatic
pressure tank. The inspector should ask about the maintenance of the air filter, as well.
11. What is the physical condition of the outside hatch?
An outside access hatch that is in poor physical condition can compromise the integrity of
the pressure vessel, causing safety and sanitary deficiencies.
12. Are the pump and source capable of meeting the system’s maximum momentary
demand?
10-25
The system’s maximum momentary demand can occur when the hydropneumatic tank
has exhausted its stored water (at the “pump-on” pressure), therefore, the system can lose
pressure if the pump and source cannot meet peak demands.
10.5 Significant Deficiency Examples for Storage Facilities
All significant deficiencies listed below are examples only. Each primacy agency may have
identified a different set of significant deficiencies than those listed. The state (primacy agency)
determines both significant deficiencies, and the corresponding corrective actions.
• Access hatches not locked or hatch improperly designed (shoebox lid with intact seal).
• Holes left in tank by removal of cathodic protection rods or any other reason.
• Missing 24-mesh screen on air vents or overflow outlets. Overflows with flapper covers
still need a screen since debris, ice, snow, etc., can prevent them from closing.
• Erosion around the foundation of storage tanks, which could lead to instability and
eventual collapse of the tank (elevated or ground storage).
• Cracks in the walls of concrete storage facilities.
• Inadequate venting or missing air vents. No or improper screening of vents; vents not
terminated at least 3 pipe diameters above the surface.
• Evidence of animals, insects in the storage facility or signs or tampering.
11-1
11 Distribution Systems
The sanitary survey inspector must evaluate the water distribution system to determine if it can
provide a safe, adequate, and reliable supply of water.12
Distribution system piping and
appurtenances have contributed to the deterioration of water quality. In addition, construction
and repair techniques expose personnel and customers to a wide variety of hazards. The
inspector must evaluate each of the operation, maintenance, and management practices that
influence the quality of the water in the distribution system, in order to evaluate the sanitary
deficiencies and to determine if the deficiency is significant, or provides an imminent and
substantial risk to public health. To perform this evaluation, the inspector should be able to meet
the following objectives.
11.1 Learning Objectives
By the end of this chapter, students should be able to:
• Identify data collection requirements necessary for evaluation of sanitary deficiencies of
a water distribution system.
• Review the major components of a water distribution system, including pipes, valves,
meters, meter vaults, fire hydrants, thrust blocks, and anchors.
• Describe how the types of materials, selection standards of water distribution system
components and operations can affect system reliability or water quality.
• Identify the standards used to select water distribution system components, and describe
how these standards protect public health and the reliability of the distribution system.
• Identify factors that contribute to reduction in water quality in a distribution system.
• Identify the information that should be included on water distribution system maps.
• Describe the proper monitoring of a water distribution system.
• Identify operation and maintenance tasks, such as flushing, necessary to maintain the
integrity of the water distribution system.
• Describe the safety practices that should be in place to protect the operator and public
during distribution system operation, construction, and repair.
• Describe the proper methods, based on American Water Works Association (AWWA)
standards, for disinfecting new and repaired water distribution system lines and
appurtenances.
• Identify construction techniques that can be a positive influence on distribution system
integrity.
12
The student may want to consider viewing the video, Sanitary Survey Inspection; Before You Begin...
Distribution, prior to reading this section. This and additional reference materials can be found in Appendix A.
11-2
11.2 Data Collection
To evaluate and assess a water distribution system for sanitary deficiencies, the inspector should
gather or evaluate the following data:
• How the system evaluates and tracks distribution system data.
• Maps or diagrams showing main sizes and locations of valves and hydrants.
• Type and quantity of piping materials.
• Age and condition of piping materials.
• Standards used for the construction of the system.
• Maximum and minimum pressures at high and low elevations in the system.
• Maximum and minimum pressures in each pressure zone.
• Documentation of state approval for changes to or installation of the system.
• Staffing for construction (i.e., in-house staff or by contractors).
• Number of pressure zones in the system.
• Method used to separate pressure zones.
• Hydraulic model of the system.
• Chlorine residual testing technique used.
• The system’s procedures for responding to main breaks, and, if required, whether they
have followed regulations or policies for reporting to the state.
• Routine maintenance tasks performed by outside contractors.
• 24-hour call-out procedure.
• Flushing program procedures.
11.3 Regulations and Standards to Consider
The inspector should consider and review the following information prior to an inspection:
• 29 CFR 1926.650 - Excavation safety.
• 29 CFR 1926.146 – Confined space entry.
• State standards for disposal and worker safety when working with asbestos cement pipe
during repairs and replacement.
• MUTCD – Manual on uniform traffic control devices.
• AWWA G200 – Distribution Systems Operations and Management.
• The AWWA standard for the type of piping materials used in the system.
• System construction standards.
• State construction standards.
11-3
• 40 CFR 141.72 - Chlorine residual requirements.
• 40 CFR 141.86 - Lead and Copper Rule.
• 40 CFR 141.620 –Stage 2 Disinfectants and Disinfection Byproducts.
• 40 CFR 141.21 –Coliform Sampling.
11.4 Basic Distribution Systems Information
Sanitary deficiencies or poor operation and maintenance of the distribution system, directly
correlate to many failures to meet the requirements of the drinking water standards. Some
contributing causes of poor water quality are:
• Insufficient treatment at the point of production.
• Cross-connections.
• Improperly protected distribution system storage.
• Inadequate main disinfection and unsatisfactory main construction, including improper
joint-packing.
• Close proximity of sewers to water mains.
• Improperly constructed, maintained, or located blow-off, vacuum, and air-relief valves.
• Negative pressures in the distribution system.
• Lack of tracking and mapping of distribution system events.
11.5 Distribution System Components
A typical water distribution system may contain the following components:
• Main lines.
• Service lines and service meters.
• In-line valves.
• Blow-offs.
• Air relief, air release, and combination air vacuum valves.
• Pressure reducing valves (PRVs).
• Pumping stations.
• Fire hydrants.
Piping materials and pumping stations are an essential component of a distribution system. As
water systems age or grow, water systems may use different types of pipe materials to replace
old pipes, or in the installation of new portions of the distribution system. Water utility personnel
must understand the importance of knowing what type of piping materials are in place
throughout the distribution system. The inspector should determine what type of pipe materials
are used and determine how their failure may affect the quality of water.
11-4
11.5.1 Main Lines
Typical main line materials include:
• Gray cast iron.
• Ductile cast iron.
• Asbestos cement.
• Steel.
• Polyvinyl chloride (PVC–pressure and class pipe, also called C-900).
• Wood.
• High-density polyethylene (HDPE).
Figure 11-1: Types of Pipes
11.5.2 Services Line Materials
Typical service line materials include:
• Galvanized steel.
• Copper.
• HDPE.
• PVC.
• Lead.
11.5.3 Service Meters
There are two points where water systems use meters in distribution systems:
• The introduction to a pressure zone.
11-5
• The customer’s connection.
Water systems use these meters to determine the amount of water sold, to determine
unaccounted-for water, and to identify leaks.
Figure 11-2: Service Meter Installation Graphic
11.5.4 In-Line Valves and Blow Offs
Gate and butterfly valves are the two most common in-line valves used in a distribution system.
Operators use these valves to isolate portions of the system during repairs.
Figure 11-3: Gate and Butterfly Valves
Blow-offs are gate, butterfly, or globe valves, installed at the end of dead-end lines or in other
locations. Operators use blow-offs to flush water from the distribution system.
11.5.5 Air Valves
Air relief, air release, and combination air vacuum valves remove air that accumulates in the
distribution system and relieve any vacuum conditions caused by line flushing, line breaks, or
other high-flow conditions. Accumulated air can cause system pressure and flow variations.
11-6
Vacuums can contribute to the failure of a pipe joint and intrusion of contaminated ground water
into the system.
Figure 11-4: Air Release Valves
11.5.6 Pressure Control
Pressure-reducing valves are globe valves, used to reduce or maintain the pressure in a specific
zone of the distribution system.
Figure 11-5: Pressure Control Valve
11.5.7 Pumping Stations
High service (or lift) pumping stations, which supply water to the distribution system are located
near the water treatment facility or a finished water storage facility (e.g., clearwell or ground
storage tank), and will pump directly into the distribution system from that storage facility.
Booster pumps may be located anywhere in the system to increase the pressure in the pipeline,
but are usually located remotely from the main pump station, as in hilly topography, where
pressure zones are required. Operators may need booster pumps to handle peak flows in a
distribution system, which can otherwise handle the normal flow requirements.
Before a water system adds a pump station to an existing distribution system, operators should
consult previous plans and designs that are based upon a total system hydraulic analysis. New or
updated studies will determine station location, and present and future demand requirements.
11-7
Locating permanent pumps, so that there will be a positive head on pump suctions, will eliminate
many operational problems. Water systems should determine site selection from evaluations of a
topographic survey and flood plain analysis, to determine if there are any flooding probabilities
of the proposed plant site. The site must not be subject to flooding.
11.5.8 Fire Hydrants
The two general styles of fire hydrants used in the United States are wet barrel and dry barrel.
There are four types of dry barrel hydrants, as shown below: two compression types, toggle, and
slide gate. Besides fire suppression, fire hydrants provide water for construction, sewer line
flushing, and flushing the distribution system piping.
Figure 11-6: Fire Hydrants
11.5.9 Sanitary Deficiency Questions and Considerations - Distribution System
Components
1. Does the system contain any thin-wall PVC pipe?
This material has a 2.5:1 burst ratio and often fails more frequently than class C-900 pipe.
In addition, crews must install this material with hand-tamped backfill to prevent failure
from external loads.
2. Does the system contain any gray cast-iron pipe?
Gray cast-iron pipe is prone to failure from sudden internal or external shock loads.
3. Does the system contain any wood pipe?
Wood pipe is easily contaminated and, once contaminated, is nearly impossible to
disinfect.
11-8
4. Does the water system use HDPE pipe for main lines or service connections?
Petroleum products travel through HDPE and other polyethylene and polybutylene piping
material and into the water system. Contamination can occur if the lines are adjacent to a
leaking underground fuel storage tank or from fuel spills on the ground above the line.
5. Does the system contain any steel pipe that is more than 35 years old?
In most locations, steel pipe has a design life of 35 years. If the ground is wet or the soil
is aggressive, the pipe may deteriorate in less time. Leaks in steel pipe are normally in the
form of pinholes. High water velocity through the pipe may draw contaminated water
through these same pinholes.
6. Does the system contain any solvent-weld PVC pipe larger than 2 inches in
diameter?
Large-diameter solvent-weld PVC pipe has a higher failure rate than push-on joint pipe.
This is due to the expansion and contraction of the pipe, caused by temperature changes
during construction or operation.
7. How many service connections are there? Does the system meter all service
connections?
This number of residential and other service connections gives the inspector an idea of
the size of the system, in terms of number of homes and businesses served by the system.
Meters allow the system to calculate a water balance that may aide the system in
determining water loss, as well as determine demand estimates. There is also a
correlation between metered service connections and water conservation (i.e., the cost of
water as a function of the amount used).
If the primacy agency bases population served estimates on the number of connections
multiplied by a certain factor, the state should only include connections billed by the
system (e.g., exclude connections at vacant lots).
8. Are there any lead goosenecks still in place and used for service connections? If yes,
how many? Are there plans to remove these? If yes, by what date?
Identified as one of the major contributors to high lead levels in finished water, these
gooseneck shaped lead lines connect the water meter to the service line from the main
and to the customer’s service line. They typically prevent line breakage by allowing for
expansion and contraction during temperature changes.
11.6 Material Standards
Water systems must use materials in their distribution systems approved for potable water use.
Most states require that piping materials meet NSF International 61 standards or AWWA
standards. The inspector should determine what standards the system uses for approval of piping
and other materials in the distribution system. In addition, states and water utilities may have
different construction standards. Inspectors should determine what construction standards the
system uses and whether they are in accordance with state requirements.
11-9
11.6.1 Sanitary Deficiency Questions and Considerations – Material Standards
1. What standards does management use to select materials? Are all materials
ANSI/NSF certified?
Water systems should select distribution system components that meet current standards,
including NSF International 61 for indirect additives. If not, the inspector should consider
these sanitary deficiencies. The inspector should consider the corrosive effects of finished
water on metal service line pipe resulting in the dissolution of metals into the water,
together with possible toxicological effects on consumers. Water systems should only use
NSF-approved plastic pipe when plastic pipe is acceptable. Caulking materials should not
support pathogenic bacteria and should be free of tar or greasy substances. Joint-packing
materials should meet the latest AWWA specifications.
2. Do operators only use materials manufactured according to AWWA standards?
The AWWA standard is a “buyer beware” standard. It is the purchaser’s responsibility to
require the manufacturer or supplier to provide proof that the material meets these
standards. AWWA does not test material, and it does not have standards on all
construction materials or all sizes of mains.
3. Is there a set of construction standards used by the utility?
Failure to use construction standards often complicates the installation of piping, valves,
and hydrants that are of different brands, types, and materials. This contributes to
increased materials inventory costs and maintenance worker training. For a small utility,
this increased cost may mean that all appropriate training and repair materials are not on
hand. In addition, lack of construction standards may contribute to poor quality
construction, which results in premature failure of materials.
4. Does the system have its own construction standards, or has it adopted some from
another agency?
Many small utilities borrow construction standards from a larger local community. While
this can work, the standards often do not fit the needs of the community. This can cause
contractors and staff to ignore the standards. The result is the same as not having a
standard.
5. Do the construction standards meet state requirements?
Because some states do not review construction standards, the utility may have adopted
standards that violate existing state standards. Assuming the state developed standards to
provide the minimum degree of reliability to the system, the utility’s standards should be
consistent with, and at least as protective as, the state requirements.
6. Are in-house staff and contractors required to use the same standards?
In many locations, staff construction methods may vary from those used by contractors.
The lack of consistency in construction methods and in the standardization of materials,
leads to maintenance problems and slows repairs during emergencies.
7. Does the water system actually follow their own standards?
11-10
Take a look at the set of standards and compare them to blueprints and materials in
storage. If the system is not following its own standards, the actual construction
techniques are suspect. Thus, the system may not be reliable.
11.7 Water Quality
Water quality can deteriorate in the distribution system. A loss of pressure can allow
contaminants to enter the distribution system as a result of back pressure, and very high pressures
can cause back siphonage. High water pressures can also cause water lines and fixtures to break
allowing contaminants to enter the distribution system. Inspectors will most often find valves in
vaults and should properly inspect them to assure that any valves, especially air relief valves,
extend above ground level, withproper screens installed.
As distributions are built or expanded, dead-ends are sometimes inevitable. Dead-ends in
distribution systems can lead to water becoming stagnant in portions of the distribution system,
which could lead to loss of disinfectant residual and bacterial regrowth.
11.7.1 Disinfection Procedures
The installation of new pipes or the repair of existing pipes can introduce contaminants into the
distribution system. Repair crews must follow proper procedures for disinfecting a water line
after installation or repair. The inspector should determine if utility supervisors ensure these
crews actually follow the disinfection procedures, including bacteriological sampling.
11.7.2 Sanitary Deficiency Questions and Considerations – Water Quality
1. What disinfection procedure does the water system use for new lines?
The procedure outlined in the AWWA Standard for Distribution Systems Operation and
Management (G200-09) should be followed (25 mg/L of chlorine not to drop below 10
mg/L after 24 hours). The inspector should ask the operator what procedures they follow.
Any procedure should end with the requirement that all bacteriological sample results are
negative, before the water system returns to service any new or repaired lines.
2. Does this procedure meet the AWWA G200 Standard?
This standard describes three methods and includes using calcium hypochlorite tablets,
continuously fed sodium or calcium hypochlorite solution, or a slug of high concentration
chlorine solution. Ultimately, the utility needs to destroy any pathogenic microorganisms
that could exist in the new line(s).
3. What disinfection procedure does the water system use during repairs of broken
lines?
It is common industry practice to disinfect all repair parts and any contaminated line with
sodium hypochlorite. (If proper disinfection practices have been followed, in most cases
repaired mains may be returned to service prior to determining the bacteriological quality
of the water, because the sanitary risks of loss of service and cross connections are likely
greater than that of bacterial contamination.)
4. Are water lines looped, or are there dead ends?
11-11
Dead-end lines can lead to reductions in water quality. Where a pipe is dead-ended for
future expansion, it is desirable to provide some type of temporary loop or to flush the
line frequently.
5. Are there any bottlenecks in the piping system (a small diameter pipe connected on
both ends by large diameter pipe)?
Bottlenecks cause high velocities, which can cause a Venturi effect, drawing
contaminated water into the system through leaks in the bottleneck.
6. Are blow-offs connected to sanitary or storm sewers, or do they exit below ground,
below flood level in ditches or streams?
Blow-off connections to sewers or sewer manholes are a direct cross-connection and are
prohibited.
7. Is there any point in the system where pressure drops below 20 psi during peak
demand or fire response?
The inspector should consider pressures below 20 psi a sanitary deficiency. At pressures
this low, or even negative, it is possible for contaminated ground water to enter through
leaks. Also, a backflow condition could occur due to back-pressure. The system’s design
and operation must supply adequate quantities of water under ample pressure to prevent,
as far as possible, conditions leading to the occurrence of negative pressure.
Steps to prevent negative pressure include minimizing unplanned shutdowns, providing
adequate supply capacity, correcting undersized conditions, and properly selecting and
locating booster pumps, to prevent the occurrence of a negative head in piping subject to
suction. Continuity of service and maintenance of adequate pressure throughout a public
water supply system are essential to prevent back-siphonage.
The inspector should determine if the water system has registered complaints about
inadequate pressure and if there is a program to periodically monitor pressures
throughout the system.
8. If the valves are in a vault, can the operator observe pressures without entering the
vault?
a. If the valves are in a confined space, does the operator have and use gas
monitoring equipment and follow a confined space entry procedure?
Vaults are typically confined spaces. Do not enter them! If the operator enters the
space and does not use proper confined space entry procedures, this is a sanitary
deficiency. Injury or illness that keeps the operator from performing required duties
reduces the system’s reliability.
b. If there is a vault, is there a sign identifying it as a confined space?
Water systems must label all confined spaces with a red, white, and black injury-
prevention tag.
9. If there are pressure zones controlled by automatic PRVs, do the PRVs work
properly?
11-12
Check upstream and downstream pressures. The absence of pressure gauges above and
below the PRV is a sanitary deficiency because the operator is unable to determine if the
PRV is working properly. If the upstream and downstream pressures are the same, have
the operator open a fire hydrant downstream and observe the reaction of the pressure
across the valve.
10. If there are PRVs, can the operator describe how they work and what they do?
The operator’s lack of knowledge about key components of the system is a sanitary
deficiency. Such knowledge gaps make it unlikely that operators will resolve in a timely
manner any problems, which arise. Failure of a PRV can cause high downstream
pressures that can lead to the failure of main lines and services.
11. How would the “system” notify operators if a PRV fails?
The failure of the PRV to reduce pressure can cause a main or service line to break. Low
pressures can result in backflow from back-pressure or back-siphonage. The longer a
failure goes undetected, and the longer the delay in fixing it, the greater the possibility of
contaminating the system.
12. Does the system have dead-end lines? Has the addition of service connections
created dead-end lines?
Areas of stagnant water in a distribution system may result in bacteriological regrowth,
increased disinfection byproduct formation, red water or customer complaints. Operators
should routinely flush these areas, and the water system should put into place long-range
plans for new connections and looping, if they are feasible. The inspector should inquire
about records of complaints and corrective actions taken.
13. Are there several low areas in the piping system?
Low areas in the piping system can accumulate silt and organic material that can reduce
chlorine residual, grow bacteria, and cause odor and taste problems. Question 7, above,
explains how to correct the problem.
14. If there is a hydraulic model, have the operators compared it to actual conditions?
When did the operators last update the model? Does it show any low-pressure
conditions?
Hydraulic models help the manager identify low-pressure points and areas of inadequate
supply. While the lack of a hydraulic model is not a sanitary deficiency, it can be if the
water system has not addressed low-pressure problems through the use of a model or
other specific method. A model is of little value if the water system has not calibrated it
against actual system data.
15. Are backflow prevention devices installed and tested at each commercial site where
backflow could cause a reduction in water quality?
The cross-connection chapter discusses this issue in depth. These devices are necessary to
prevent contamination of the system.
16. Does the discharge piping on all air valves extend a proper distance above ground
and flood level?
11-13
One source of contamination is surface water that enters the distribution system through
air valves.
17. Has management or the operators identified distribution system problem areas on a
system map?
A map or other record keeping method for system problems is a good indicator of
management support for solving system problems. If the utility is not using a map or
other method to record system problems, are they aware of their problems? Lack of
awareness means the problems will not be resolved in a timely manner.
18. Does the system provide bulk water stations?
If the system provides stations for bulk water distribution, how does the system monitor
and protect the facilities? Is there an actual facility or is it just a metered hose on a fire
hydrant? How do they prevent cross-connections (e.g., preventing customers from
dangling the supply line into their tank)? How do they track and charge for the quantity
consumed?
11.8 Maps, Drawings and Planning
Almost all distribution system components are underground and, therefore, not visible during an
inspection. As water systems expand distribution systems, it becomes more important for
operators to understand the configuration of the distribution system and maintain adequate maps,
as-built plans and drawings that show the current configuration of the distribution system.
These maps should also have color coding or other types of legends that indicate, valve
locations, pipe diameters, and types of pipes. Without this information, water systems may not
have the proper replacement materials on-hand or available when breaks or other emergencies
occur.
11.8.1 Sanitary Deficiency Questions and Considerations – Maps, Drawings and
Planning
1. Are as-built drawings available?
As-built drawings are scaled drawings that show the actual locations of all constructed
facilities. The lack of as-built drawings makes it difficult for the staff to perform proper
repairs in a timely manner.
2. How often are maps updated?
Annual updates to drawings and as-builts help reflect current conditions. Inaccurate data
can cause the staff to obtain the wrong materials and thus delay a repair. If this happens
too many times, the staff may stop using the drawings. Eventually, staff with historical
knowledge move on, leaving new staff with outdated or no information.
3. Do maps and as-builts contain the proper information?
Maps and as-builts should contain the following information, or the information must be
available in some form of asset data base: pipe size, date of installation, pipe material,
line valve and blow-off locations, hydrant locations, storage tank locations, and
interconnections to other systems.
11-14
4. Is there a master plan showing proposed construction and replacement lines?
To provide adequate and reliable service now and in the future, management should base
system changes and additions on a master plan. If this plan does not exist, the utility
commonly responds to developers’ needs. This can cause the system to expand lines to
areas that it cannot serve with adequate pressure.
11.9 Distribution System Monitoring
The majority of the regulatory monitoring requirements are at the entry point to the distribution
system or at the treatment plant. There are, however, several regulations that require monitoring
be conducted in the distribution system or at the residential taps. These regulations require water
systems to develop monitoring plans and make them available to the inspector upon request.
11.9.1 Sanitary Deficiency Questions and Considerations – Distribution System
Monitoring
1. Have there been changes in the distribution system since the last survey?
Changes in the distribution system such as population and demand shifts, additions to the
distribution system, looping of dead-ends, new dead ends, and storage additions can
affect where representative samples for total coliform, lead & copper, and disinfectants
and disinfection byproducts are taken.
2. Do operators have goals for and monitor for chlorine residuals throughout the
distribution system?
The Surface Water Treatment Rule (SWTR) requires water systems to measure residuals
at the same time and place as coliform samples are collected. Many states require daily
monitoring of disinfectant residuals in the distribution system. The maintenance of a
chlorine residual regardless of source type, is the last line of defense against waterborne
disease. This is one of the key quality control items in the operation of a water system,
and setting measurable goals is a good method for evaluating treatment objectives.
3. What are operators using to measure disinfectant residuals?
The inspector should determine what the operators use for measuring disinfectant
residuals. Some earlier methods are outdated or not sensitive enough to measure below
0.2 mg/L, including DPD (N,N Diethyl-1,4 Phenylenediamine Sulfate) colorimetric
(color wheel) and Industrial Test Systems, Inc. test strips. The preferred instrument is a
portable, electronic photometer. If the system is required to meet minimum CT values
prior to the first customer, the operator needs a more sensitive and reliable instrument
like the photometer.
4. Is the residual at least 0.2 mg/L prior to the first customer?
This is a requirement for all surface water and GWUDI systems. It assumes that this
residual is available after the water system has met disinfection contact time
requirements.
5. Do the operators maintain a measurable residual at coliform sampling points?
11-15
This is a requirement for all surface water and GWUDI systems. It is good operational
practice to keep a measurable residual at all points in the distribution system. If any point
in the system does not have a chlorine residual, the water quality is suspect. Inspectors
should also review state standards regarding minimum residual levels.
6. Are there an adequate number of residual sampling sites, and do they provide a
representative sample of system conditions?
The utility should establish sufficient disinfectant residual sampling points, representative
of the entire system. Small systems may be able to rotate through a number of sample
sites to get an overall picture of disinfectant residuals.
7. Do operators use the correct, unexpired, reagent for testing free residual?
Check the reagents. Many times operators accidentally use reagents for total chlorine
residual when using free chlorine as a secondary disinfectant.
8. Are operators waiting the correct length of time before reading the residual?
Some kits require completion of the test for DPD (N,N Diethyl-1,4 Phenylenediamine
Sulfate) within 1 minute of adding the reagent, for free chlorine and within 3 to 5 minutes
for total chlorine. Manufacturers of photometers specify the steps and time required to
take readings. In general, operators need to follow the manufacturer’s instructions when
using field test kits.
9. When have operators last calibrated or replaced the testing instrument?
Color wheels have a life of about 1 year. In addition, spectrophotometers can give false
data. The operator should check the spectrophotometer against a color wheel once a
quarter or when the accuracy of the data is suspect. For systems using a portable
photometer, when did they last calibrate the instrument? Have the operator compare a
fresh sample result to those from the inspector’s photometer. If the measurements are
significantly different, have the operator calibrate his instrument and repeat the
comparison.
10. Do operators measure and record system pressures at high and low elevations?
To obtain representative data, system pressure must be measured at high and low
elevations. In addition, data should be recorded using blue ink to make it easier to
determine originals.
11. Does management record and analyze customer water quality complaints?
Many states require utilities to record the nature and response to all water quality
complaints. With the 1996 Amendments to the Safe Drinking Water Act, water systems
are now required to provide customers with water quality information in the Consumer
Confidence Report, and communication with customers is no longer just good operations
and customer relations. By recording and analyzing customer complaints, a manager can
prevent problems, or address them before they get out of hand. Many customers are very
sensitive to changes in water quality, and a positive response to customer problems is a
good management practice.
12. What is the percentage of unaccounted-for water?
11-16
National studies indicate that, on average, 14 percent of the water treated by water
systems is lost to leaks. Some water systems have reported water loss exceeding 60
percent. Accounting for water and minimizing water loss are critical functions for any
water utility that wants to be sustainable. Leak detection and correction can save water
and reduce energy used from pumping the lost water. Water systems should record their
responses to water loss in its planning and engineering documents.
• Does the system meet state standards for water loss/leakage?
• Is the system managing water loss and supply efficiency?
• Has the system implemented a leak detection program, including data collection
and analysis?
• Has the water system completed any water loss studies? If so, what is the water
system doing in response to the findings?
• Does the system meter all service connections?
• Does the system have a meter calibration and repair/replacement program?
At the system level or supply-side, improvements in water efficiency in the distribution
system begin with metering, water audits, and water loss control programs. Some states
have standards for distribution system water losses or requirements for water audits. Leak
detection and repair can minimize the potentials for intrusion into distribution systems
and has important public health benefits. An evaluation of water loss and control could be
part of sanitary surveys or other state oversight programs.
A high quantity of unaccounted-for water, above 15 percent, is an indication of either
inaccurate meters or excessive leakage. Inaccurate meters result in a utility losing
revenue for all the water consumed by customers, reducing income and making it more
difficult to maintain the system. Holes in pipelines and bad pipe joints are potential entry
points for contaminated ground water. Current drought conditions may dictate better
conservation measures to assure sufficient water quantity and quality.
11.10 Operation and Maintenance
Utility management and operators should not only record distribution system data about issues
that occur, but also display it in a manner that is functional. Maps and overlays with different
color pushpins that indicate line break locations, low disinfectant residuals, positive total
coliform samples, customer complaints, etc., are especially effective.
The design of the distribution system should include a sufficient number of strategically located
valves to isolate breaks and other construction areas, to facilitate rerouting of water flow to
potentially affected customers, minimizing interruption of services. Operators should have maps
readily available that include the locations of these valves.
The geological conditions of soils can cause piping materials to deteriorate or shift during
drought and other conditions. Construction design standards require proper installation of
bedding and support at elbows, tees and dead-ends in the distribution system. These measures,
when taken, assure the water system minimizes breaks and damage to the distribution system.
11-17
11.10.1 Sanitary Deficiency Questions and Considerations – Operation and Maintenance
1. What is the frequency of main breaks?
The best number is zero, however, main breaks are one of the normal problems in a water
system. If the breaks are frequent, there may be a problem with the integrity of the piping
material (frequency depends on area and type of piping material). Each main break opens
the system to contamination, and frequent breaks increase the potential for introducing
waterborne pathogens into the system.
Most breaks are due to leaks, not age. The leaks undermine the pipe, causing it to fail
under the weight of the overburden. To prevent main breaks, operators should conduct a
routine leak detection program and keep a record of distribution system repairs. This
record should identify the location and type of repair, repair device or length of
replacement pipe, and general condition of the line.
Water systems in draught-stricken or other areas where conditions are significantly
affecting water quantity especially need a robust leak detection/prevention and repair
program.
2. Are the breaks primarily in one area? What type of pipe is involved?
If management has this type of information, it is an indication they are attempting to
address problems before they become critical. They should be comparing this information
with the master plan to ensure they are in agreement. The lack of this information may
indicate a failure by management to respond to the system’s deteriorating conditions.
3. Is there a line flushing program? Is a systematic unidirectional process used? Are
records maintained of frequency, location, and amount of time required?
Operators should flush the whole system once or twice a year to clear sediment in the
lines. The flushing should be well planned and carried out, preferably beginning at points
near the water plant and storage facility and moving to the outer ends of the system.
Flushing must maintain a minimum velocity of 2.5 fps, which operators can only reach
by cutting off portions of the distribution system with isolation valves so they know the
direction of the water flow and that it comes from a single line. A pitometer should be
used to measure flow at questionable areas of the distribution system when the flushing
begins.
4. Is there a fire hydrant flushing program separate from the line flushing program?
Fire hydrant leaks can be a source of water quality deterioration. The water can become
stagnant, consuming chlorine, causing odor and taste problems, and increasing
bacteriological counts. Annual flushing can prevent this problem.
5. Is there a valve inspection and exercising program? Do the operators maintain the
records?
Maintenance crews should annually inspect and exercise every valve in the system. This
should include completely and repeatedly opening and closing, until the valve seats
properly. Operators should schedule repairs for any leaking or damaged valves and
11-18
maintain a record of valve maintenance and operation, including the number and
direction of turns to closure.
6. Does the utility have a backhoe? If not, how long would it take a contractor or
rental company to provide one if needed? Can the system obtain this equipment late
at night?
The lack of equipment, such as a backhoe, can prevent the staff from making repairs in a
timely manner. The longer a portion of the system is shut down at a reduced pressure, the
greater the opportunity for contamination.
7. How often do operators take pressure readings in the distribution system? Are they
representative of the system? What kind of readings result in action? What actions
do operators take?
Operators may conduct a program to read pressures in conjunction with the fire
department to determine adequacy of fire flow. A record of pressures and flows
throughout the system may help to identify problems. Recording these pressures during
the day and at night will indicate hydraulic efficiency under common conditions.
8. Are adequate repair materials on hand?
If repair materials are not available, how many hours would it take to obtain these
materials at 2:00 a.m.? The minimum materials include two full-circle repair bands for
each pipe size, two cast-iron couplings for each pipe size, two cast-iron pipe joint repair
bands, and one length of each size of pipe.
9. Are there written procedures for isolating portions of the system and repairing
mains?
Written emergency response procedures improve the water system’s reliability. In a small
system, they provide a way to handle unexpected problems when the regular operator is
not available. They also give the operator a means of dealing more effectively with non-
routine tasks.
10. Does the utility maintain an updated list of critical customers?
Reducing water pressure, shutting off service, or reducing water quality can severely
affect some customers, including hospitals, clinics, photo developers, and users of special
medical equipment. It is important for customer support and for the reduction of liability
to maintain a list of these customers and to notify them of changes in the system that
could adversely affect them.
11. Does the utility have a corrosion control program?
The utility should have a program to evaluate corrosion, its effectiveness in controlling
contaminants, such as lead and to minimize red water complaints. Management should
maintain records of complaints and the corrective actions.
12. Does the water system have an interconnection with any other water systems?
An interconnection to a second water system may provide an alternative source, in cases
of drought, contamination of the primary source, or similar emergency.
11-19
13. Does the system have adequate AND operable valves?
The system should have enough isolation and blow-off valves to make necessary repairs
without undue interruption of service over any appreciable area. Maintenance crews
should exercise these valves, like all others, regularly.
14. Are all elbows, tees, and dead ends supported by concrete thrust blocks or
restraining fittings?
Concrete thrust blocks, or other devices, must restrain or support all fittings, elbows, tees,
and dead ends.
15. Is proper bedding used, and do operators follow proper backfill procedures during
the installation of new or repaired pipes?
Bedding and backfill protect pipes from external damage. With PVC, they also support
pipe walls and protect them from deflecting, and thus breaking longitudinally. Ask for
billing records to document if the water system procured and actually used proper
materials.
16. Does the system perform pressure or leak tests on all new pipe construction?
Pressure tests check the integrity of the piping material. Leak tests check the integrity of
the pipe joints.
17. Are cast-iron and steel pipe protected from external corrosion?
Placing poly bags over cast-iron pipe is the best way to protect it from external corrosion
and thus extend its life. Any one of many external coatings protect steel pipe.
11.11 Significant Deficiency Examples for Distribution Systems
All significant deficiencies listed below are examples only. Each primacy agency may have
identified a different set of significant deficiencies than those listed. The state (primacy agency)
determines both significant deficiencies and the corresponding corrective actions.
• Cross connection(s).
• Negative pressures in the distribution system.
• Unapproved construction materials and methods.
• Lack of proper valving.
• Air release valves not plumbed to daylight.
• Inadequate pipe size for distribution needs.
• Not maintaining disinfectant residuals as required, by either federal or state standards.
12-1
12 Cross-Connections
Cross-connections in water systems are significant sanitary risks that threaten drinking water
quality and public health.13
During a sanitary survey, the inspector must first evaluate the
adequacy of the system’s cross-connection control program. Second, the inspector should
identify cross-connections owned or controlled by the water system in the treatment facility and
in the distribution system. To perform these evaluations, the inspector should be able to meet the
following objectives.
12.1 Learning Objectives
By the end of this chapter, students should be able to:
• Define the term cross-connection and recognize common cross-connections.
• Differentiate between the two types of backflow that can occur due to cross-connections:
back-pressure and back-siphonage.
• Identify devices to prevent contamination, explain their operation, and determine if the
operators installed them properly.
• Evaluate the water system’s cross-connection control program and its implementation.
• Identify unprotected cross-connections within the water system, including those in a
treatment facility, pumping station, or distribution system.
• Determine if the water system uses, properly tests and maintains appropriate backflow
prevention devices according to the degree of hazard.
12.2 Data Collection
To evaluate the system’s compliance status, the inspector should review the following
information:
• System’s written cross-connection control program.
• Number and type of backflow preventers in the system.
• Frequency of testing of backflow preventers.
• Qualifications of persons authorized to test devices.
• Procedure for reviewing new building construction plans.
12.3 Regulations and Standards to Consider
The inspector should consider or review the following information prior to the inspection:
• State regulatory requirements for cross-connections.
13
The student may want to consider viewing the video entitled Sanitary Survey Inspection; Before You Begin...
Cross Connections, prior to reading this section. This and additional reference materials can be found in Appendix
A.
12-2
• Cross-Connection Control Manual, EPA Publication No. 816R030002.
• Recommended Practice for Backflow Prevention and Cross-Connection Control,
American Water Works Association M14.
• Manual of Cross-Connection Control, University of Southern California – Foundation for
Cross-Connection Control.
12.4 Basic Information
12.4.1 Cross-Connection Defined
To prevent contamination of its water, a system must ensure proper installation of service
connections and continually monitor them for cross-connection hazards. A cross-connection is an
actual or potential physical connection or arrangement between otherwise separate potable water
piping systems and any contaminant that allows water to flow between the two systems. Hazards
occur when a contaminant flows toward the potable supply. Unless controlled, cross-connections
can result in contaminated water replacing potable water at various sites within a water system.
There is a potential for the contamination to spread throughout the distribution system,
endangering the health of the entire community.
12.4.2 Plumbing Defects
Plumbing defects can occur in any part of a water system, and cross-connection hazards can
occur where outside water pressure can exceed potable water pressure. Cross-connections must
be prevented or controlled at all service sites. The water treatment plant is often the site of a
number of cross-connections.
12.4.3 Types of Cross-Connections
A cross-connection link can be either a pipe-to-pipe connection, in which a potable water pipe
connects to a contaminated water pipe without proper control valves, or a pipe-to-water
connection, in which the outlet from a potable water supply (e.g., a chemical feed line) is below
the surface of or the top of the vessel containing untreated water. Cross-connections are usually
made unintentionally or because their hazards are not recognized or are underestimated.
12.4.4 Back-Pressure and Back-Siphonage
There are distinguishing characteristics, based on their origins for the two major types of cross-
connection hazards, back-pressure backflow and back-siphonage backflow. Back-pressure
backflow refers to the flow of contaminated water toward a potable supply when the
contaminated water’s pressure is greater than the potable water’s pressure. Back-siphonage
backflow results from negative pressure (a vacuum) in the distribution pipes of a potable water
supply, drawing contaminated water toward the potable supply.
12.4.5 Control of Cross-Connections
Successful control of cross-connection hazards depends not only on inspecting for cross-
connections by a water system and by water users, but also on an enforceable cross-connection
control program. Some states require water systems to have a cross connection control program
that meets minimum requirements and includes authority to conduct the program. If a
community subscribes to a modern plumbing code, such as the Uniform Plumbing Code or
12-3
International Plumbing Code, the provisions in those codes include requirements for backflow
protection. In either case, the water system must obtain authority to conduct a community
inspection program and require backflow protection through an ordinance or other means and to
carry out a comprehensive cross-connection control program.
Figure 12-1: Backflow as a Result of Back-Pressure
Figure 12-2: Backflow as a Result of Back-Siphonage
12-4
Figure 12-3: Backflow as a Result of Hydraulic Head
Figure 12-4: Direct Cross-Connection
12-5
Figure 12-5: Indirect Cross-Connection
12.4.6 Components of a Water System’s Cross-connection Control Program
A cross-connection control program should have these basic components:
• Ordinance or other authority to establish a program.
• Technical provisions to eliminate cross-connection hazards.
• Right of entry and inspection of existing facilities served by the system.
• Backflow prevention device testing, repair and recordkeeping.
• Certification of backflow prevention device testing personnel.
• Review of new construction plans and new services for potential cross-connection
hazards.
• Penalty provisions for violations.
A cross connection program can protect the potable water supply through a service protection or
containment process, where water systems install backflow prevention, if needed, before the
meter or point of service. Customers can also provide backflow prevention at individual
plumbing fixtures within their plumbing system – commonly referred to as internal protection or
fixture protection. Ideally, customers should install atmospheric vacuum breakers (AVBs) on all
threaded hose bibs. Some local plumbing codes require hose bibs that have threads be of the kind
that only accept AVBs. The AVB has the appropriate threads to which customers may then attach
a hose.
The plan and new service review components of a cross-connection control program may require
coordination with other agencies such as building permits, plumbing code enforcement, or local
health agencies to establish responsibilities and communication.
12.5 Protection against Sanitary Deficiencies from Cross-Connections
Plan review, plumbing code enforcement and cross-connection site inspections can provide some
control of cross-connections at sites serviced by a water system. However, where the potential
12-6
for cross-connections and backflow exists, a potential risk to the potable water supply and public
health also exists, and the water system needs additional methods or mechanical means of
protecting the potable water supply. For example, a temporarily submerged water outlet fixture
in an apartment building could result in contamination of the water for the entire building (as
well as threaten the public water supply), if conditions resulted in back-pressure or back-
siphonage.
12.5.1 Pressure
An important aspect of reducing the threat from cross-connections and backflow is maintaining
adequate pressure in the distribution system. Some states have a minimum pressure requirement
of at least 20 psi, under all conditions of flow in all portions of the system. The inspector needs
to review pressures throughout the system as part of the distribution system element of a sanitary
survey.
12.5.2 Methods and Mechanical Devices
A number of methods and mechanical devices are available to protect the potable water system
from contamination from cross-connections, including the following:
12.5.2.1 Air Gap
Air gaps are non-mechanical methods that are very effective at preventing backflow and back-
siphonage. To prevent a cross-connection hazard in the apartment fixture example described
previously, the fixture in the building should have a vertical air gap of twice the diameter of the
pipe or fixture, between its outlet and its flow level rim. This eliminates the physical cross-
connection link and protect the building (and the municipal supply) water against backflow. An
air gap for water service entering a building only protects the municipal supply, however, and
not the building system. Although very effective, an air gap does interrupt flow and results in a
loss of pressure and, therefore, operators install them at the ends of plumbing lines or to fill
reservoirs or storage tanks where pressure loss is not an issue.
Figure 12-6: Air Gap
12.5.2.2 Backflow Prevention Devices
Water systems can install backflow prevention devices when an air gap is not appropriate or
possible. Surge tanks in booster systems, color-coding, and labeling of pipes in dual water
systems also help protect buildings against cross-connection backflow.
12-7
Although state requirements may vary, there is general agreement that back-siphonage can be
prevented by installing vacuum breakers at water outlets, where contaminated water is present
(for example, at toilets and urinals equipped with flushometers). Use of vacuum breakers at hose
bibs is acceptable; however, they are not effective against back pressure. In-ground irrigation
systems require better backflow prevention devices such as double-check valves, inspected
annually or as required by local plumbing codes.
12.5.2.3 Atmospheric Vacuum Breaker
Atmospheric pressure activates an atmospheric vacuum breaker to block the water supply line
when negative or no pressure develops in the line. This action admits air to the line and prevents
back-siphonage. Vacuum breakers must be installed a minimum of 6 inches above the highest
outlet. A vacuum breaker does not provide protection against backflow resulting from
backpressure and are not suitable for installations where they may be under constant pressure,
because they may stick open. Therefore, operators should not install them where backpressure
may occur or with a valve (or nozzle) on the downstream side that can shut water off. Operators
will not be able to test atmospheric vacuum breakers after installation.
Figure 12-7: Atmospheric Vacuum Breaker
12.5.2.4 Pressure Vacuum Breaker (PVB)
Water systems install PVB devices in pressurized systems, and the devices only operate when a
vacuum occurs. It is usually spring loaded and should be specially designed to perform
adequately after extended periods under pressure. This device is suitable for use when a high
degree of hazard is present, but only under back-siphonage conditions, for example, on irrigation
systems. Pressure vacuum breakers must be installed a minimum of 12 inches above the highest
outlet. Unlike the atmospheric vacuum breaker, operators can inspect and test these devices,
which they should do at least annually.
12-8
Figure 12-8: Pressure Vacuum Breaker
12.5.2.5 Double-Check Valve Assembly
The double-check valve assembly protects against both backflow and back-siphonage and is a
reliable means of backflow protection in non-health hazard applications. For example, water
systems can install these for protection against contaminants that would cause only aesthetic
changes to water quality. The double-check valve assembly can be tested and should be
inspected and tested annually. The double-check system has the advantage of a low head loss
(maximum 10 psi). With the shut-off valves wide open, the two checks, when in an open
position, offer little resistance to flow.
Figure 12-9: Double Check Valve Assembly
12.5.2.6 Reduced Pressure Principle Backflow Preventer (RPP)
The RPP (also called a reduced pressure zone or RPZ backflow preventer) device is the most
reliable of the mechanical devices used to prevent backflow for both backpressure and back-
siphonage and for health or non-health related hazards. Water systems often use RPP s to provide
internal protection such as make-up water to boilers or other pressurized systems, as well as at
the meter or service connection (containment) to high-hazard customers, such as manufacturing
facilities or customers with auxiliary water supplies on the premises. This device consists of two
12-9
independently loaded pressure-reducing check valves and a pressure-regulated relief valve
located between them.
Because all valves may leak as a result of wear or obstruction, check valves alone do not provide
adequate protection. If some obstruction prevents a check valve from closing tightly, the leakage
back into the central chamber would increase the pressure in this zone and the relief valve would
open and discharge flow to the atmosphere. Operators or properly trained personnel can inspect
and test the RPP, which they should do at least annually.
A continuous discharge of water from the relief port indicates a malfunction of one or both of the
check valves or the relief valve; however, the relief port may periodically discharge small
amounts of water during normal operation. Under no circumstances should anyone plug the relief
port, because the device depends on an open port for safe operation.
Figure 12-10: Reduced Pressure Principle Backflow Prevention Assembly
12.5.3 Device Use and Maintenance
All the devices described previously, as well as the air gap, can be used for internal or fixture
protection within the premises (isolation). The device or method needed for protection is
determined by the level of hazard present and the pressure conditions. Protection of the public
water supply at the meter or service connection (containment) usually requires an air gap, RPP or
double check valve assembly, depending on the level of hazard present. In some cases, water
systems or local plumbing codes may allow PVBs at connections that only serve landscape
irrigation systems.
Note: Manufacturers require installation of some devices in a certain orientation (horizontal or
vertical). Operators must also install them according to direction of flow. The inspector should
check for proper installation.
12-10
12.5.3.1 Testing Required
Operators should have applicable backflow preventers inspected and tested at least annually to
assure their proper function. The inspector should verify air gaps to ensure they have not been
defeated or modified.
12.5.3.2 Certified Testers
Many states now require the certification of individuals who test backflow preventers. This is an
important component of a system’s cross-connection control program. Water systems may have
their own employees certified, or allow private contractors to test devices.
12.5.4 Cross-Connections Owned or Controlled by the Water System
12.5.4.1 Requirements
In addition to the many cross-connections that may exist on the premises of a water system’s
customers, there can also be potential cross-connections owned or controlled by the system itself.
These potential cross-connections should be subject to the same scrutiny as those on private
property.
12.5.4.2 Location of Cross-Connections
There can be cross-connections in water treatment plants, pumping stations, or in the distribution
system that can pose a risk to water quality and public health. During a sanitary survey, the
inspector should identify all cross-connections that are under the water system’s control. The
water system must manage all potential cross-connections through a documented cross-
connection control program.
12.5.4.3 Water Treatment Plants
Water treatment plants can have a variety of potential cross-connections. If they do exist, the
water system should eliminate them with an air gap or, if that is not possible, the appropriate
backflow-prevention device. The inspector should determine whether the following cross-
connections exist:
• Submerged inlets or water piped directly to chemical feed tanks.
• No anti-siphon valves on chemical feeders.
• Hose bibs without vacuum breakers.
• Laboratory aspirators.
• Split chemical feeds to raw or partially treated water and finished water. Examples are
pre- and post-chlorination or pre- and post-caustic addition for pH control.
• Surface wash on filters.
• Filter-to-waste piped directly to a drain.
• Drain or sewer traps with direct water injection.
• Floor drains that allow the return of water to the process stream.
• Lack of legends and color coding on pipes.
12-11
• Bypasses around backflow preventers.
• Feed water to boilers with chemical injection.
• Water loading stations for bulk water sales.
Figure 12-11: Chlorine Split Feed
Figure 12-12: Filter Surface Wash
12.5.4.4 Pumping Stations
The inspector should also evaluate pumping stations for cross-connections. Potential cross-
connections include:
• Priming of raw water pumps with finished water.
• Air relief valves piped directly to a drain.
12-12
• Cooling water for an emergency generator submerged in a drain or returned to the potable
supply.
Figure 12-13: Air Relief Valve Incorrectly Piped Directly to Floor Drain
12.5.4.5 Distribution System
The inspector, as well as the operators, cannot see many of the potential cross-connections in a
distribution system. Therefore, the personnel responsible for the operation of the distribution
system must be able to provide the appropriate answers relating to these cross-connections:
• Submerged blow off in streams.
• Water mains passing through sewers or below sewage lines.
• Connections to unapproved water systems or sources (i.e., fire systems or private wells).
• Submerged inlets in the water system’s own meter testing equipment.
• Air relief valves in pits where their open ends may be submerged.
• Submerged relief ports from pressure-reducing valves.
• Overflows from storage tanks connected directly to or not ending at least two pipe
diameters above storm drains, sewers or other catchment.
• Direct connections to sewers for flushing either the water main or sewer.
• Hydrants with drain lines to sewers.
12-13
• Uncontrolled use of fire hydrants. (Water systems must only allow contractors and others
who use fire hydrants to do so through metered flow including protection against
backflow with an RPP ).
• Filling newly installed mains from fire hydrants for flushing and disinfection.
Figure 12-14: Hydrant Drain to Manhole
12.6 Sanitary Deficiency Questions and Considerations – Cross-Connections
During a sanitary survey, the inspector should undertake two major activities related to
cross­connections. The first is to evaluate the adequacy of the water system’s cross-connection
control program. The second is to look for cross­connections that the water system may own or
control. (These cross-connections may be in the water treatment plant, at pumping stations, or in
the distribution system.) To perform these major activities, the inspector should determine the
answers to a number of questions.
1. Does the water system have a written cross-connection control program?
The inspector should determine if the system has a formal written program for controlling
cross-connections. If so, he or she should review their program to determine if it has the
following basic components:
• Authority to establish a program.
• Technical provisions.
• Right of entry and inspections.
• Device testing and repair.
• Certified testers.
• Plan review and inspection of new construction.
• Penalties.
2. Is the program active and effective in protecting against cross-connections and
backflow conditions?
12-14
To determine if the water system implements the program effectively, the inspector can
review its staffing and the records of the number of inspections conducted, the number of
various devices installed in the system, and the number, and frequency of device tests
performed.
3. Does the program address areas of specific concern for cross connection and
backflow in the water system’s service area?
Areas of specific concern include auxiliary water supplies, including private wells,
internal water recycling or reuse, graywater systems, and dual plumbed distribution
systems distributing recycled water.
4. Are there cross-connections at the water treatment plant?
During a sanitary survey of a water treatment plant, the inspector should look for cross-
connections. The likely locations of cross­connections are submerged inlets in chemical
feed tanks, connections between potable water lines and process water, split chemical
feeds in chlorination systems that pre- and post-chlorinate, surface wash, and filter-to-
waste connections to sewers. Also during the sanitary survey, the inspector should
discuss with the plant operator the importance of eliminating cross-connections.
5. Does the system test backflow preventers at treatment plants and other facilities it
owns?
The inspector should determine whether operators have all devices tested at least yearly.
Even a system that does not have an active cross-connection program needs to ensure the
continued proper operation of its backflow preventers. Color coding and legends on
piping also are useful in minimizing cross-connections, and the inspector should evaluate
this during the survey.
6. Are there cross-connections in pumping stations?
While inspecting pumps and pumping stations, the inspector should identify any potential
cross-connections. They can include raw water pumps that are primed with finished
water, air relief valves piped directly to a drain, cooling water for emergency generators
with submerged outlets, and cooling water returned to the potable system.
7. Are there cross connection in the distribution system that the water system owns or
controls?
To evaluate the presence of cross-connections in the distribution system, the inspector
must speak with the person responsible for distribution system operations. In small
systems, one person may operate the entire system. In larger systems, there may be
separate operator crews responsible for treatment plant operation and distribution. The
inspector should question the operator carefully about distribution cross-connections.
Examples of these are submerged blow-offs, direct connections to sewers, water mains in
sewers, connections to unapproved systems, hydrant drain lines to sewers, and overflow
from storage tanks piped directly to sewers or drains.
8. Does the water system have a program to control the use of fire hydrants?
12-15
The use of fire hydrants by non-water system personnel for filling tanks, cleaning sewers,
or providing water for construction projects has the potential to create serious cross-
connection hazards. If customers use fire hydrants for these purposes, the inspector
should determine if the water system has a program to ensure such customers follow
appropriate procedures to prevent backflow. These procedures can include a permit
system that requires the use of meters, air gaps and backflow preventers.
12.7 Significant Deficiency Examples for Cross Connections
All significant deficiencies listed below are examples only. Each primacy agency may have
identified a different set of significant deficiencies than those listed. The state (primacy agency)
determines both significant deficiencies and the corresponding corrective actions.
• Customers with private wells interconnected with premise plumbing.
• Hospitals, extermination businesses, industrial customers, etc., with no backflow
prevention devices.
• Uncontrolled, or unattended attachments to hydrants for use by water haulers.
• Backflow prevention devices are not tested, or no surveillance/enforcement program
exists for usage and testing requirements (e.g., for home irrigation systems in addition to
the usual businesses).
• High leakage rates that pose risks of back-siphonage during pressure drops (response to
fires, main breaks, power outage, etc.).
13-1
13 Process Control Monitoring
Monitoring is an important activity for water systems and should be reviewed and assessed
during a sanitary survey. Monitoring is required to determine compliance, e.g., the presence of
chlorine residuals, and to determine the effectiveness of treatment through the use of process
control monitoring. Evaluating the adequacy of laboratory practices and the system’s data
integrity is an important task for the inspector during the survey. Chapter 2, Drinking Water
Regulations, covers compliance monitoring requirements.
13.1 Learning Objectives
By the end of this chapter, students should be able to evaluate monitoring programs, laboratory
practices, and water quality handling at the public water system. Specifically, they should be able
to:
• Determine if in-house testing facilities, procedures, and equipment are adequate.
• Determine if operators or laboratory staff calibrate and properly maintain testing
equipment as specified by the manufacturer.
• Determine if instrument configuration settings are resulting in data output that is not
representative of actual performance (i.e., signal averaging, minimum/maximum
recording values – capping).
• Determine if reagents have an unexpired shelf life, and if staff properly discards them
after the expiration date.
• Determine if the operator is performing tests properly by following approved standard
operating procedures.
• Determine if operators make treatment modifications based on laboratory results.
• Determine if the water system uses certified laboratories when required.
• Determine if monitoring includes the correct parameters.
• Determine if the water system retains and accurately reports monitoring data to the
primacy agency, either manually or via a Supervisory Control and Data Acquisition
(SCADA) reporting system.
13.2 Data Collection
To evaluate the system’s compliance status and data integrity, the inspector should review the
following information:
• Current treatment processes in use at the water system.
• Instrument configuration settings, and maintenance and calibration records.
• Standard operating procedures used by plant staff.
• Quality assurance audits performed by the water system.
• SCADA upgrades, verification checks, and calibration records.
13-2
• Daily operations log books.
13.3 Regulations and Standards to Consider
The inspector should review the following information prior to the inspection:
• EPA or state primary and secondary drinking water regulations.
• State monitoring requirements and guidelines.
• Applicable EPA approved analytical methods (see 40 CFR 141 subpart C).
• Review any list of known laboratories that have recently lost their drinking water
certification.
13.4 Basic Information
All monitoring, whether done in-house or at an outside lab, needs to meet basics of repeatability
and more importantly, the data received from the tests needs to be used by the system. Results
that operators do not use to run the system are a waste of time and money, and the inspector
should inquire about why operators perform such monitoring but make no use of it. Perhaps the
operators should be using the information, but do not know how to apply that information. The
inspector should investigate what parameters are being analyzed, their results, and how those
results are used by the operators.
13.5 Approved Laboratory
Chapter 2, Drinking Water Regulations, covers monitoring requirements related to specific
provisions of the Safe Drinking Water Act (SDWA) regulations. With the exception of a few
parameters, such as turbidity, pH, temperature, alkalinity and hardness, and disinfectant
residuals, a certified laboratory must perform much of the required monitoring, which can be
either the system’s own laboratory or a contract laboratory. Either a state accrediting agency or
the National Environmental Laboratory Accreditation Program (NELAP), also referred to as The
NELAC Institute, certifies a drinking water laboratory.
13.5.1 Sanitary Deficiency Questions and Considerations Approved Laboratories
1. Is the laboratory certified for all the analytes being monitored?
Laboratory certifications are for the specific analyte or methodology that they perform.
Certification varies from laboratory to laboratory.
2. Is the laboratory certification current?
In addition, it is a good idea to review a current copy of the laboratory’s certification,
checking the expiration date and certificate number shown. Certification is granted for a
certain amount of time, and it is best to confirm the laboratory’s current certification
status by viewing the certificate of accreditation (see Appendix A – The NELAC Institute
for more information).
13.6 In-House Monitoring
The operator must establish adequate in-house monitoring to properly evaluate the operation of
the treatment system and develop an on-going process control monitoring program. The tests
13-3
performed and the number of sample points used depends on the type of treatment plant and
primacy agency requirements. The frequency of sampling depends on the purpose of the
sampling (regulatory versus process control) and other parameters that might affect the treatment
process or water quality. All monitoring conducted for the purpose of process control must be
performed using equipment and methodologies approved by the primacy agency.
Figure 13-1: Comprehensive Monitoring Program: Conventional Treatment Plant
13.6.1 Instrument Calibrations and Standard Testing
If instruments are not reporting accurately, any process control decision is suspect. Testing with
standards can assist the operator with troubleshooting the problem by confirming if the reagents,
procedure, instrument, or the analyst is the cause of an inaccurate value. Ensure operators
routinely calibrate instruments, both for precision (repeatedly the same) and accuracy (matching
a known, correct value). The inspector should ensure that flow through continuous monitors is
within the prescribed levels for the instrument, per manufacturer’s requirements. For example,
the Hach® 1720E online turbidity meter requires a flow rate from 200 to 750 mL/min through
the instrument, to ensure the readings are correct because flow rates below 200 mL/min will
reduce response time and flow rates above 750 mL/min will cause the turbidimeter to overflow.
13.6.2 Sanitary Deficiency Questions and Considerations – In-House Monitoring
1. Is adequate monitoring in place?
The operator should have an in-house monitoring program in place and should be
performing the monitoring required to comply with all provisions of the SDWA.
2. Is the operator following proper sample collection and analysis procedures?
The inspector may observe the operator’s technique in collecting samples and performing
analyses. The operator should follow correct procedures for collecting laboratory samples
in appropriate sample containers, calibrating the test equipment and for performing the
13-4
test itself. For example, the operator must periodically check secondary turbidity
standards against primary standards.
3. Are testing facilities and equipment adequate?
Management must provide the operator with adequate test equipment to implement a
comprehensive monitoring program. The inspector should verify that all test equipment
used by the operators is working properly. The on-site laboratory itself, in terms of space
and testing environment, should be adequate for the test equipment in use. Operators
must check and regularly calibrate on-line monitoring equipment, such as turbidimeters,
pH meters and chlorine residual analyzers, to ensure accurate performance.
Items to consider for online chlorine analyzers include:
• Location of instrument manual.
• Documentation of last calibration record.
• Frequency of calibration.
• Expiration dates of reagents.
• Condition of analyzer, sample vials, standards, and associated equipment.
In the case of turbidimeters, operators must calibrate the instrument in accordance with
the manufacturer’s instructions – usually monthly or quarterly for a primary calibration
and daily, weekly or monthly, for a secondary calibration. Many states allow a
comparison check between a continuous turbidimeter and a bench top turbidimeter to
substitute for the secondary calibration. Items to consider for turbidimeters include:
• Location of instrument manual.
• Last calibration check and documentation of action.
• Proper function of photocells.
• Availability of supplies for primary calibration.
• Flow rate into the turbidimeter.
For pH meters, the meter itself is generally robust, while the probes are more subject to
failure. Items to consider are:
• Use of appropriate 3 point calibration curve for pH.
• Last time pH probe was cleaned or replaced.
• Use of non-expired pH buffer standards.
For instruments that operators cannot calibrate (such as pocket colorimeters for chlorine
residual measurements), the operator must verify accuracy of the instrument by
performing the test against a set of secondary standards. The inspector should ask how
the operator tests these instruments and if he or she removes the instrument from service,
if the test is not within manufacturer’s tolerances. Items to consider for pocket
colorimeters include:
• Routine performance of secondary standard verifications.
13-5
• Condition and cleanliness of sample vials.
• Setting of the instrument to the proper range, according to the manufacturer
requirements (whether high or low disinfectant concentrations are expected).
• Use of the correct reagents (free versus total).
• Expiration dates of reagents.
The inspector should ensure operators use the correct chemical reagents, applicable to the
test method currently in use on the equipment. The reagent containers should be clearly
marked with the name of the reagent and the date of its preparation. Operators should be
discarding manufacturer-prepared reagents when they exceed the expiration date. The
inspector should also verify that the method or instrument used for the analysis is
approved and appropriate. In some cases, the water system may use a method (such as
amperometric chlorine analysis) where the primacy agency must approve the verification
studies. In those cases, the inspector should verify the existence of an approval letter from
the primacy agency for such methods.
4. Does the manufacturer recommend testing a “reagent blank” for each lot of reagent
used in their colorimetric methods (including chlorine)?
A "reagent blank" is determined by following the method procedure in the protocol. The
operator analyzes water known to not contain the analyte of interest (e.g., analyze a
sample by adding the reagent to deionized or distilled water to determine a reagent blank
value for chlorine). The operator would then subtract the "reagent blank" value from all
other samples using that lot of reagent.
5. Do the operators properly maintain records of the monitoring program?
The water system management, operators and laboratory staff are all responsible for
maintaining results of the monitoring program in an organized recordkeeping system.
Most systems have handwritten logs and data reporting systems. A more sophisticated
automated data handling system may also be present, whose records the inspector must
verify. The inspector should perform data verification by identifying a time period, for
example, midnight, a week before the inspection, and verifying that the analytical result
in the handwritten log sheet matches the value in the monthly operating report and the
official record keeping system at the public water system.
For water systems with SCADA, the inspector should perform a quick verification of the
SCADA data quality. In situations where these types of systems are in place, the
inspector verifies that the value for an analytical results is the same in the records for the
handwritten log, the instrument, the controller, signal output monitor, the Human
Machine Interface, and the SCADA reports. If operators record inaccurate data on the
Monthly Operating Report, the primacy agency should cite a violation, but if inaccurate
data appear in the Human Machine Interface or an internal report, the inspector should
report this as a deficiency.
For systems using these types of automated systems, the inspector should determine how
the system protects their data. Do they have routine backup procedures in place to
recover from system failures?
13-6
6. Does the operator use the results?
The operator should plot trends or analyze the data in some way to control his/her
processes and to evaluate compliance status. This enables the operator to see the
relationship in treatment changes. For example, how iron levels decrease when chlorine
levels increase, or how pH increases or decreases when the addition of lime increases or
decreases.
7. Do operators adjust treatment based on laboratory results?
The inspector should determine what actions operators take, based on the test results. The
operator should understand the importance of the test results, as they relate to the
performance of the treatment and as they relate to the status of the water quality at the
individual treatment units and the water system in general.
8. Is the water system using certified laboratories when required?
The results of some tests are not valid unless performed by a certified laboratory or
certified laboratory technician. For all compliance monitoring, the water system must use
a certified laboratory to perform the analyses. Note that laboratory accreditation agencies
only grant certification for a certain amount of time, and water system management is
responsible for confirming the laboratory’s status by viewing the most current certificate
of accreditation. When in doubt about a particular method, confirm if it is an approved
method by referring to Standard Methods for the Examination of Water and Wastewater
or EPA Methods.
13.6.3 Instrument Location
The inspector should determine if operators have automated sampling devices installed on the
correct pipe, at the correct location in the pipe for sample collection, and have calibrated the flow
rate through the instrument, within the manufacturer’s specifications. Evaluate where the
instrument resides in the plant and how far it is from the sampling point.
If the sample tap is too far from the analyzer, the volume of the draw may not completely clear
the tube or pipe supplying the analyzer. Results are not representative of actual conditions, but
are of water quality at an indeterminate time in the past. Changes made to chemical feeds may
not be readily available at the analyzer. Sample tap locations on pipes may also have a bearing
on readings. For example, samples taken from bottoms or tops of pipes are, in general, not as
representative as those taken in the lower ½ to 1/3 of a pipe.
Equally important to note is that sample taps too close to an analyzer may also not be
representative of feed dosages, as there will not have been sufficient time for complete mixing.
13-7
Figure 13-2: Process Control Sample Points for Ground Water Systems
13.7 Electronic Data Recording, Monitoring, and Testing: SCADA
Supervisory Control and Data Acquisition refers to centralized systems which monitor and
control entire sites, or complexes of systems spread out over large areas. These systems generally
perform two main functions:
• Control plant functions (turn on pumps, open or close valves, etc.).
• Data acquisition (data transferred from instrument to plant operations center).
The types of data technology usually used in a SCADA system are analog and digital. Digital
signals are best for discrete values. For example, in the SCADA system, there are usually data for
total plant flow on a given day. Analog signals are continuously variable and often used in
SCADA systems for data that change over time (turbidity, chlorine residuals). A 4 to 20 milliamp
signal always transmits analog data, where the 4 milliamp signal represents zero values and the
20 milliamp signal represents the maximum value of the readings. It must be noted that the lower
the span of values (e.g., 0 to 5 units versus 0 to 10 or higher), the better the data resolution and
more accurate the data. The diagram below depicts how an analog signal from the turbidimeter is
set for transmission along a milliamp signal.
Figure 13-3: Analog Signal Scale
13-8
The accuracy of the SCADA system depends on the following:
• Signal consistency from the instrument to the Programmable Logic Controller (PLC).
• The scale of the monitored parameter – the inspector should ensure that the operators,
manufacturer or the person who installed the instrument did not cap or truncate readings
at an inappropriate level.
• The resolution of the PLC.
In Figure 13.4, the signal from the instrument to the transmitter is almost always analog. The
transmitter converts the signal to digital to show on a signal output monitor, and then forwards
the analog signal to the PLC. The PLC once again converts the signal to digital and sends that
value to the personal computer. From there forward, the signal remains digital.
Figure 13-4: Data Flow from Instrument to Report
Water systems typically contract with vendors who specialize in the installation and maintenance
of SCADA systems, who place most of the emphasis on the backend of the data flow. However,
operators need to perform quality control checks on the entire data flow process. If the SCADA
system is recording data every 15 minutes, the inspector should ask how the system compiles the
data – through discrete readings or averages – and if it is capped or truncated.
If an operator initiates a calibration process, the SCADA system may stop recording some of the
data until the calibration is complete. Does the operator have backup methods of continuing to
collect readings during calibration processes? These systems produce substantial sets of data, so
the inspector should ask if there are any storage capacity issues and if the system can maintain
historical data, necessary to meet data retention requirements. If not, does the water system
minimize storage capacity needs through the archival of final “paper report” documents?
Water treatment plants should follow the manufacturer’s recommendations for data recording
purposes, since there are no data recording standards and recording practices vary among the
various SCADA vendors. Operators need to calibrate their SCADA systems annually, since the 4
to 20 milliamp signal varies with age and time, and is subject to signal drifts. If the precision of
data readings is unusually high, the operators may have the upper limit capped with a data value
13-9
below a required compliance level. For example, setting the 20 milliamp signal to correspond to
a turbidity reading of 1 NTU instead of something greater than 5 NTU.
Over time, SCADA systems may compensate for “zero drift” where there is a shift in the zero
point of the sensors. In addition, every time a water system performs electrical upgrades to their
systems, these changes could impact the SCADA system.
13.7.1 Sanitary Deficiency Questions and Considerations Items to Consider when
Evaluating SCADA systems
1. Use of the calibration (CAL) switch to calibrate instruments.
Signal precision and accuracy study of all intermediary instruments in the SCADA system.
• Noise issues resulting from:
• Extra load on wire.
• Grounding issues.
• Non-harmonic load concerns.
• Use of the same conduit for electrical and signal wiring.
• SCADA signal impedance from nearby equipment.
• Wires not shielded.
13.8 Significant Deficiency Examples for Process Control Monitoring
All significant deficiencies listed below are examples only. Each primacy agency may have
identified a different set of significant deficiencies than those listed. The state (primacy agency)
determines both significant deficiencies, and the corresponding corrective actions.
• Using a laboratory or analyst not certified for drinking water analyses.
• Use of expired reagents.
• Use of incorrect sample containers to collect samples (glass versus plastic, preserved
versus unpreserved).
• Use of non-approved sample site for compliance monitoring.
• Poor laboratory environment to conduct testing.
• Compositing of samples instead of taking individual samples from treatment trains.
• Instrumentation not calibrated and verified according to manufacturer’s operational
manuals.
• Using glassware not certified for laboratory analyses.
• The water system is missing 6 months or more of operational data.
• Failure to maintain a disinfectant residual log book.
13-10
• Failure to continuously monitor and record turbidity from individual filters at least every
15 minutes.
• Failure to continuously monitor or collect grab samples every 4 hours for combined filter
effluent turbidity.
14-1
14 Utility Management
The technical pillar, operation and maintenance (O&M), ultimately depends on the other two
pillars, managerial and financial (often referred to as the Technical, Managerial, and Financial
capabilities of the water system), for the long-term stability, capacity and viability of any water
system. Competent management provides the funding and support (administrative, personnel,
and purchasing) needed to ensure continued and reliable operation through adequate staffing,
operating supplies, and equipment repair and replacement.
14.1 Learning Objectives
Upon successfully completing this chapter, students should be able to evaluate the management
of a water supply system. Specifically, they should be able to:
• Identify and evaluate key components of a water system’s management organization.
• Identify the plans necessary for compliance and long-term sustainability.
• Evaluate staffing: numbers, skills, certification, training, and safety.
• Identify the key components necessary for reliable system operations.
• Evaluate, in general terms, the system’s managerial and financial capacity for long- term
reliability.
14.2 Data Collection
The inspector should obtain as much as possible of the following information about the water
system before the sanitary survey inspection. If unable to do so, the inspector will need to obtain
the information and data during the inspection.
• Previous sanitary survey reports.
• Correspondence.
• Compliance monitoring results.
• Compliance record.
• Plans on file (e.g., source protection, sampling, emergency and contingency, cross-
connection control, and repair, replacement, future expansion).
14.3 Regulations and Standards to Consider
The inspector should consider and review the following information, prior to an inspection:
• Safe Drinking Water Act (SDWA).
• Pertinent monitoring requirements.
• Capacity development guidance.
• Consumer Confidence Reports.
• Minimum operator certification requirements.
14-2
14.4 Basic Information
The mismanagement of a water system can result in far reaching sanitary risks to the quality of
the water. Several aspects of management affect the overall capabilities of the system.
The management of a system may be as small as a single individual serving as the operator and
manager, or it may be a hierarchy of multiple elected officials and municipal employees who
approve budget requests, make purchases, and plan for infrastructure repairs and replacements,
to ensure the long-term adequate, reliable and safe production, storage, and distribution of
potable water. Make sure you are working with the most effective and responsible level of
management.
14.5 Organization
Management of a small water system often involves only one or two key individuals: the
operator and the owner or elected official, who is ultimately responsible for the system’s O&M.
One advantage of a small management team is the ability to identify the individual in charge and
to provide information to that person. However, the workload may far exceed the staffing
capabilities. More complicated management hierarchies improve individual workloads, but also
increase the opportunity for miscommunication and inadequate information collection and
dissemination.
Whatever its form, management can have a profound effect on the reliability of a system.
Managers must have a working knowledge of the compliance requirements that apply to their
system. Certified or qualified staff must be empowered to make operating decisions, and have
management support and understanding of their resource needs.
Information collection and management is also important. Activities range from tracking
operating expenses and locating valves on a distribution map, to maintaining a record of breaks
and repairs and a log of customer complaints. Information of this nature is critical for planning
and budgeting for the next year, as well as the next decade.
14.5.1 Sanitary Deficiency Questions and Considerations -- Organization
1. Who owns the public water system?
The system representative should be able to tell you who owns the public water system
and should be able to provide documentation of ownership.
2. Is there a formal organizational chart?
This chart can give the inspector a clearer view of how the utility is organized and who is
responsible for each portion of the utility. When there is no, or an outdated,
organizational chart, operators often may be unsure of whom to consult for decisions,
what the normal lines of communications are, and what their job responsibilities are.
3. Does the operating staff have authority to make required operation, maintenance,
or administrative decisions, affecting the performance and reliability of the plant or
system?
Determine any established administrative policies that limit the decision-making
authority of the operations staff and adversely affect plant performance. Examples
14-3
include the lack of authority to adjust the chemical feed, hire an electrician, or purchase a
critical piece of equipment, as well as a lack of support for training and insufficient plant
funding. Document policies that are in conflict with state requirements.
4. Are administrators familiar with SDWA requirements and system needs?
Key managers should be familiar with the SDWA requirements that apply to their system.
They should learn about system needs through plant visits and frequent discussions with
water operators. Lack of first-hand knowledge may result in poor plant performance, poor
staff morale, and poor budget decisions, as well as limited support for system
modifications.
5. Is there a formal and adequate planning process?
The lack of long-range plans for facility replacement, alternative sources of water, and
emergency response can adversely affect the system’s long-term performance.
6. Does the utility manage its information?
This type of information justifies decisions and promotes compliance with SDWA and
industry suggested practices for water conservation and quality.
Information management includes formal systems and written procedures, including:
• Cataloging, sorting, and storing maps and as-built plans.
• Updating maps.
• Handling and tracking customer complaints.
• Handling and tracking line breaks, repairs, and replacements.
• Identifying, collecting, and analyzing key operational (process control) and
required monitoring data.
• Developing and maintaining standard operating policies and procedures.
• Developing and maintaining maintenance records.
• Developing and maintaining financial records.
The information listed above is essential to addressing existing problems and planning for
future needs.
7. Does the utility track and identify typical operating parameters such as
unaccounted-for water and cost per unit of production of finished water?
When utilities track and share this type of information among operations personnel and
the governing body, it is a good indication that the utility focuses on obtaining results and
meeting customer needs.
8. Does the utility use a computer system to track finances, operational data and
maintenance practices?
While a computer is not a requirement, it facilitates storage and presentation of data to
support management decisions.
14-4
9. Is there effective communication between key management staff, operations staff,
and the state primacy agency?
Difficulties here can account for problems with the budget and personnel policy. They
also can account for poor relations between management and staff and between the
organization and the state enforcement agency. Inspectors should review previous
correspondence to determine the responsiveness of the system and should ask questions
to confirm observations. A history of poor relations may indicate that the utility has had
difficulty complying with requirements.
10. What is the level of cooperation between the system and other agencies and
organizations?
To be successful, a utility needs to cooperate with associated utilities and enforcement
agencies. Examples include cooperation with water conservation agencies, with one-call
(Call Before You Dig) groups such as the American Public Works Association (APWA)
underground utility coordinating committee, and with county and state agencies involved
in land-use planning and long-term water use, conservation, and water needs. This
cooperation also involves active membership in professional groups such as America
Water Works Association (AWWA) and APWA.
11. What is the level of cooperation between the system and the local fire department?
This is often difficult to determine directly. However, you may ask questions such as:
• What role does the fire department play in inspecting and flushing fire hydrants,
and determining the type and location of new fire hydrants?
• What role does the fire department play in the system’s emergency plan as a first
responder for chemical spills or accidental releases?
• What is the policy and procedure for notifying the fire department when a hydrant
is out of service?
• What is the notification procedure when the fire department uses a fire hydrant?
• What is the role of the fire department in determining construction needs?
12. Is there a customer complaint system and an ongoing public information program?
Lacking a system to keep track of and respond to customer complaints may indicate
ineffective communication with customers. Not having an ongoing public information
program, including a Consumer Confidence Report, may indicate that the system does
not provide adequate information to its customers. Plotting customer complaints and
other information (e.g., dead ends, line breaks, low residuals, positive total coliform
samples, high disinfection byproducts results, etc.) on a map helps the water system
target problem areas.
14-5
13. Does the system have a budget and an adequate source of capital for operations,
maintenance, and capital projects? Is the system eligible for, and has the system
received, state or federal funding?
It is important for a system to have adequate returns or access to capital (from public or
private sources) to repair or replace infrastructure and to address emergencies. Lack of
access to or exhaustion of available funding, may indicate problems with the system’s
managerial and financial capabilities. However, systems should not borrow funds for
normal O&M functions, except in emergencies.
Federal and state funding programs generally provide lower interest rate loans to systems,
in particular, smaller systems. Limited federal and state grant funding is also available,
particularly for small, more rural systems. However, many of the programs have
eligibility requirements and fund only certain types of systems and certain types or
categories of projects. For example, some states have limited Drinking Water State
Revolving Fund loans to publicly owned systems. In addition, water systems cannot use
these funds for routine monitoring, operation, and maintenance.
All systems, particularly small systems, should establish a credit rating, allowing them
access to funds if an emergency occurs or an unexpected cost arises. Financial institutions
look at the health of the system as measured through indicators, ratios, ratings, previous
credit records, and proof of assurance of repayment, when determining whether a system
is a good credit risk.
14. Is the staff active in industry and professional organizations?
Such participation is important, because it improves the system’s awareness of available
external resources, new technology, and advances in the field.
14.6 Planning
Planning is often a challenge for many systems. The following plans are important to many
public water systems:
• Source protection.
• Monitoring. In particular sampling sites for:
• Lead and Copper.
• Total Coliform.
• Stage 2 Disinfection Byproducts.
• Emergency or contingency.
• Distribution flushing.
• Operation and maintenance.
• Cross-connection control.
There are also safety programs and requirements with which the system must comply. Other
equally critical plans include an annual budget, asset management plans and a 10-year capital
improvement plan to address repair, replacement, and future expansion.
14-6
14.6.1 Sanitary Deficiency Questions and Considerations – Planning
1. Is an emergency or contingency plan available and workable?
The utility should have an emergency or contingency plan that outlines what actions will
be taken and by whom. The emergency plan should meet the needs of the facility,
account for the geographical area, and specify the nature of the likely emergencies. Does
the plan consider conditions, such as storms, floods, and major mechanical failures?
Management should update the emergency plan annually, educate the operators and other
staff about the plan, and larger facilities should practice implementation of the plan
annually.
2. Are written, workable plans available for the areas listed below?
• Source protection.
• Sampling and monitoring.
• Emergency or contingency.
• Hazard communication plan (if required).
• Cross-connection control.
• Repair, replacement, and future expansion (capital improvement).
• Distribution system flushing program.
14.7 Personnel
Personnel issues include adequate numbers of skilled operations staff, compliance with state
certification requirements, training, and safety.
14.7.1 Sanitary Deficiency Questions and Considerations – Personnel
1. Are there sufficient personnel?
There should be enough personnel to provide for operation during evenings, weekends,
vacations, and illness. The number of operators depends on the type and size of the
treatment process. A good indication of the adequacy of personnel is if proper O&M
procedures require little or no overtime.
2. Is the staff qualified?
The staff should have the appropriate aptitude, education, and level of certification to
perform the job correctly.
Systems must comply with state requirements for certification. Water systems should
prominently display proof of certification or otherwise make such certification available
to the inspector. Certification at the correct level is one major measurement of
management commitment and staff qualifications.
3. Does management ensure personnel are adequately and appropriately trained?
To operate a system properly, management must provide the time and budget for operator
training, including continuing education and licensing requirements. Do managers have
14-7
sufficient staff to provide operational coverage where other operators may take full
advantage of training time without interruptions?
There should also be an ongoing training program. There are various ways to train
personnel. Training can include in-house training conducted by more experienced
personnel, as well as state-sponsored training.
Correspondence courses, such as Water Treatment Plant Operation, Water Distribution
System Operation and Maintenance, and Small Water System Operation and
Maintenance from California State University, Sacramento School of Engineering, and
AWWA courses are also available. The inspector can solicit information from operators
about process controls, maintenance requirements, and safety, to help determine the
adequacy of their training.
4. Is there a knowing-doing gap?
Are certified operators not applying the skills they should have, based on their
certification? Management could be limiting what they can do or how much time they
have to do it. Investigate process control testing and maintenance. Are operators
complacent and not performing maintenance or process control testing, or do
management practices keeping operators from performing daily control practices and
routine maintenance?
5. Does management adequately train the operators in safety procedures and
equipment?
The safety of the operators and the inspector is of paramount importance. Injury to any of
them can adversely affect the system. Although sanitary survey inspectors are not safety
experts, conversations with the operators and managers of the system enable the inspector
to determine if a safety program is in place. Adequate safety training and safety
equipment are essential. Management should be able to give the inspector a list of
training activities and training attendance records. Proper safety equipment should be on
site, adequately maintained and readily accessible. Examples of necessary equipment
include, but are not limited to, self-contained breathing apparatus, cylinder repair kits,
eyewash stations, and fire extinguishers.
6. Has the utility complied with OSHA safety requirements?
Occupational Safety and Health Administration (OSHA) requirements include having a
hazard communication program, lockout/tag-out, and confined space entry training and
procedures, as well as applicable placarding of confined spaces.
The availability of SDS and operators knowing where they are provide evidence of some
level of compliance with OSHA requirements. The inspector should determine if there is
documentation of the required training in how to read the SDS, how to use hazardous
materials, and how to handle emergencies associated with hazardous materials.
7. Does the utility have a good safety record?
The inspector should review past safety records and determine the accident severity rate
and the frequency rate for the previous 5 years. A poor safety record can be a good
reflection of personnel problems, poorly maintained equipment, or lack of attention to
14-8
safety by management. A poor safety record also can have a negative effect on water
quality by reducing the number of trained personnel available to handle normal
conditions and to resolve problems. This may also adversely affect finances at the utility.
14.8 Operations
Management must first provide the facilities and equipment required to operate reliably and in
compliance with all application regulations. Written standard operating procedures ensure
reliability from one operator to the next.
14.8.1 Sanitary Deficiency Questions and Considerations – Operations
1. Is there an overall O&M manual for the facility?
In addition to the standard O&M manual, manufacturers’ literature should be available
for all pieces of equipment. All of this information, and the as-built plans of the facility,
should be on site or readily available. Operators cannot properly maintain equipment
without adequate manuals and manufacturers’ literature.
2. Has management established standard operating procedures (SOPs) at the facility?
Ask operations and management personnel about the availability of O&M manuals,
manufacturers’ literature, and SOPs. Standard operating procedures are essential to
ensure consistent plant operations from one operator to the next, as well as from current
operators to the next generation of operators. Operators and management are responsible
for keeping all SOPs current, and they should review and revise them when changes at
the plant occur. Are the SOPs adequate to maintain the highest quality of finished water?
3. Is there sufficient storage for spare parts, equipment, vehicles, traffic control
devices, and supplies?
The inspector should assess storage facilities for adequacy, housekeeping, and general
appearance. The appearance of the facilities is often a reflection of the importance that
management places on the people who work at the system.
4. Are the facilities and equipment of the system adequate?
Inadequate facilities and equipment, such as undersized pumps, lack of redundancy, and
poor maintenance, can interfere with the production of potable water. Buildings and
structures must be sound and provide appropriate security. Operators must maintain and
properly size equipment according to manufacturers’ specifications and intended use.
5. Are there adequate facilities for system personnel?
Such facilities include space for crew meetings, a lunchroom, a rest room, and individual
lockers. Check for adequacy and cleanliness.
14.9 Finance
Financing addresses the day-to-day operating budget, future repair and replacement, and future
expansion. Conservation offers the opportunity to minimize demands on the system, protect
source water quantity, reduce chemical and electrical costs, be more effective and efficient in
delivering safe drinking water, and promote the longevity of the system.
14-9
Reviewing these five areas also helps address the three elements of managerial capacity and the
three elements of financial capacity.
Table 14-1: Managerial and Financial Capacity
Elements of Managerial Capacity Elements of Financial Capacity
• Ownership accountability.
• Staffing and organization.
• Effective external linkages.
• Revenue sufficiency.
• Fiscal controls.
• Credit worthiness
Although much of the information to address these issues can be collected during the sanitary
survey, some aspects of managerial and financial capacity may not be evident from an inspection
and a conversation with the operator. Fully assessing capacity in these areas may require a
meeting with the water system’s manager or governing authority, as well as additional review of
financial documents. The questions in this chapter should enable you to make at least a
preliminary assessment of managerial and financial capacity.
In addition to looking specifically at a water system’s finances, the inspector should be aware
that other aspects of the sanitary survey indicate the state of the system’s finances and its
financial capacity. For example, infrastructure deficiencies may be due not only to a lack of
technical and managerial capacity, but also to a lack of financial capacity. Without sufficient
revenue, the system will not be able to cover the costs of source water protection, treatment,
storage facility maintenance, and system upgrades.
14.9.1 Sanitary Deficiency Questions and Considerations – Finance
1. Does the water system have the technical, managerial and financial capacity to
deliver safe water to its customers on a continuing basis? Are the financing and
budget satisfactory? What is the estimated income? What are the estimated
expenses?
Utility management should have organizational and annual reports regarding the water
system’s technical, managerial and financial capacity to achieve the objectives of
delivering safe water.
The system should have sufficient revenue for operation, maintenance, and future
replacements. Utility management should maintain these funds and not commingle them
with other accounts. The system should operate on its own revenues and should have a
sinking fund for major equipment replacement.
An inability to answer the questions above indicates a lack of financial planning
necessary for financial capacity. If answers are available, but they indicate that system
revenues do not cover costs, the system lacks financial capacity. This lack may pose
risks, if insufficient funding results in an inability to maintain and upgrade the facility,
pay appropriate salaries, or maintain sufficient stocks of spare parts, chemicals, or
equipment.
14-10
2. Does management properly prioritize funding?
Determine if the manner in which available funds are used causes problems in obtaining
needed equipment or staff. In addition, determine if management expends funds on lower
priority items, while higher priority items are unfunded.
3. Are there sufficient funds for staff training?
AWWA recommends a training budget equal to 5 percent of the workers’ salaries.
Management must also budget for the number of hours required for an operator to
maintain his or her license.
4. Are projected revenues consistent with projected growth?
If a system’s revenue projections are not consistent with its projected growth, or if rates
do not reflect actual costs, including amortization of capital, eventually there will be
insufficient revenue to operate the system.
5. Does the system have formal accounting systems and written procedures for
financial records?
If the system does not have formal systems and procedures for financial recordkeeping,
management is likely not following appropriate accounting and financial planning
methods.
6. Does the system have budget and expenditure control procedures?
Although it is important that water system staff have the authority to purchase supplies
and equipment as needed, it is equally important that there be standard procedures for
budget and expenditure control. A follow-up question might be to ask operators what
they do when they need to purchase something for the system. By discussing a real
example, you might discover that the operator was unsure of the terms used in the first
question where the system does in fact have purchase order procedures and authorization
requirements, and, therefore, has budget and expenditure control procedures.
7. What are the utility’s debt service expenses?
If a system’s debt service expenses are exceptionally high, the system either has a large
level of debt or pays a high interest rate on its debt. This situation could mean the system
has exhausted its access to capital or has a poor credit rating forcing the water system to
pay higher interest when it borrows. In either case, high debt service expenses indicate a
lack of financial capacity.
8. Does the system have a water conservation policy or program?
Water rates that promote conservation can yield savings. Conservation reduces the
demand on the source, reduces chemical and electrical costs, and minimizes wear and
tear on equipment such as pumps. In many cases, a system can avoid the need for plant
expansions by implementing an effective water conservation program.
14-11
14.10 Significant Deficiency Examples for Utility Management
All significant deficiencies listed below are examples only. Each primacy agency may have
identified a different set of significant deficiencies than those listed. The state (primacy agency)
determines both significant deficiencies and the corresponding corrective actions:
• No or inadequate SOPs.…
• Insufficient staffing or coverage.
• Key managers unfamiliar with the SDWA requirements.
• No tracking of assets.
• No equipment use logs.
• No annual budget.
• No asset management or capital improvement plans.
15-1
15 Other Considerations
15.1 Introduction
While proactively identifying deficiencies that could lead to future violations or unsafe drinking
water is the intent of a sanitary survey, along with the eight essential elements, the inspector
should consider additional elements while conducting the survey. These additional elements for
consideration include many elements of sustainability plus water system security. Including
these elements in a sanitary survey helps ensure a safe and sustainable supply of drinking water,
today and into the future
15.2 Learning Objectives for this Chapter
By the end of this chapter, students should be able to:
• Recognize a range of steps that the water system can take for sustainability.
• Understand three fundamental components (technical, managerial and financial) of a
well-functioning system.
• Identify steps to improve water availability.
• Consider water efficiency and conservation as a factor in supplying water.
• Understand the effects of extreme weather conditions or events (drought, flooding,
tornadoes, hurricanes, etc.).
• Identify key points for security.
15.3 Sustainability
Employing the concept of sustainability in the management of a water system has implications
across many aspects of a water plant and its operation. Water system management may think of
sustainability as applying practices and techniques to obtain the greatest long-term benefit. This
may include setting long-term goals and objectives for water delivery to the community,
identifying and analyzing a range of alternatives to achieve those objectives, utilizing water
management approaches, relying on the nature of the water cycle and changing weather patterns,
evaluating life-cycle costs of equipment and water treatment processes, and developing a
financial strategy to ensure long-term funding for the water system.
15.3.1 Technical, Managerial and Financial Capacity
Having and maintaining the capability to operate a water system to continuously provide safe
water to customers is a significant responsibility and contributes to meeting sustainability
objectives. Several key capabilities are essential:
• Compliance: Is the system meeting current regulatory requirements? Do managers and
operators understand all regulations applicable to their water system?
• Education: Is the system providing information to increase customer understanding of the
value of water services, as well as expanding its own staff’s knowledge of water and
energy efficiency measures to improve operations? Does management support and
15-2
provide the time and budget necessary for operators to meet continuing education and
licensing requirements? Do managers have sufficient staff to provide operational
coverage, where other operators may take full advantage of training time without
interruptions?
• Finance: Is your system ensuring long-term financial stability to maintain the necessary
infrastructure for providing safe drinking water on a continuing basis? Are your system’s
water rates set based on customers’ ability to pay for delivery of safe drinking water or
the actual costs of producing and delivering water, including amortizing capital assets?
• Management: Does the management of the water system understand the implications of
decisions made at the operating level (and vice versa) and have knowledge of their
responsibilities to deliver safe water to their customers? Are the water system’s assets
effectively managed and taking advantage of technology to improve safe water delivery
to customers?
• Optimization: Does management support the operators in optimizing the various
treatment unit processes to produce the best quality water possible? Improving on
treatment efficiencies can reduce costs by using chemicals only in the quantities actually
needed. Optimizing current processes may also postpone or eliminate the need for capital
improvements. Making customers aware of these practices also helps justify the water
system’s rate structure.
15.3.2 Water Availability
At the core of sustainability for a water system is water availability and its management.
Ensuring that water is continuously available to a community is at the heart of a water system’s
existence – and a key to the community’s economic vitality. From a sustainability perspective,
the water system’s future viability relies on determining the various alternative sources of water
supply and using the supply that is most practical. Evaluating alternative water sources available
to the water system may include consideration of the amount of water in an aquifer, stream or
reservoir and its fluctuation over time, other users’ water withdrawals, local climate, and water
quality and its protection.
15.3.3 Energy Planning
Water quality treatment represents about 3% of the nation’s energy consumption. This energy
consumption equates to adding approximately 45 million tons of greenhouse gas to the
atmosphere annually. It is equivalent to approximately 56 billion kilowatt hours. Energy
represents the largest controllable cost of providing water services to the public. For drinking
water, 85% of the energy use is for pumping in the distribution system, 9% in raw water
pumping to the treatment plant and 6% in treatment processes.
15.3.4 Extreme Weather Conditions
These conditions can affect water availability. Short- and long-term conditions may result in
variability in the supply available to a public water system to meet demands. These varying
durations, as well as emerging contaminants (e.g., pathogens, algal toxins), may result in
variability in the quality of the supply used by a public water system. Variability in quantity or
quality may affect the ability of a public water system to provide a reliable supply of drinking
water that meets federal and state standards.
15-3
The water cycle is a delicate balance of precipitation, evaporation, and all of the steps in
between. Warmer temperatures increase the rate of evaporation of water into the atmosphere, in
effect increasing the atmosphere's capacity to "hold" water. Increased evaporation may dry out
some areas and fall as excess precipitation on other areas. As heavy precipitation events become
more frequent, flooding is likely to increase in some areas of the country. At the same time,
droughts are likely to become more common, especially in arid regions. Both flooding and
droughts can degrade water quality, in addition to impacting water availability.
Managers can minimize these effects and make their utility more resilient by taking the
following steps:
• Conserving water and minimizing runoff.
• Protecting valuable resources and infrastructure from flood damage.
• Managing rainfall on-site to limit contamination and protect water quality.
• Limiting development within vulnerable watersheds.
• Consider water reuse (direct or indirect) to reduce demands on stressed surface and
ground water sources.
Water systems can address variability in the available supply because of extreme weather events,
with additional supplies or with storage. A review and assessment of the capacity of available
supplies and system storage would be part of sanitary surveys, plan reviews, and other state
processes (e.g., permits). Additionally, water utilities should refer to the following tools and
guides in preparing for extreme weather events (also included in the Appendix):
• Climate Resilience Evaluation and Awareness Tool.
• Storm Surge Inundation Map and Hurricane Strike Frequency Map
• Adaptation Strategies Guide
• Flood Resilience Guide: A Basic Guide to Water & Wastewater Utilities
15.3.5 Asset Management
The water system has natural features, including its aquifer, stream or reservoir, and its
engineered components, such as the treatment plant and pipes that are its assets for providing
water. Asset management involves maintaining a desired level of service for what you want your
assets to provide at the lowest life-cycle cost. Lowest life-cycle cost refers to the best appropriate
cost for rehabilitating, repairing or replacing an asset. A good asset management program
typically includes a written plan. The implementation of this plan affects the long-term
availability and cost of water to the community.
Knowing what, how many, and what condition the water system’s assets are in is the first step in
improved management of components of the system, including accounting for ground and
surface water as natural assets. An asset management plan also considers the useful life of the
asset to allow for replacement and determine how to budget and finance asset replacement.
15-4
15.3.6 Emergency Planning
Emergencies affecting water systems may arise from flooding, drought, loss of power, vhrmivsl
spills, or other causes. Each situation may have different impacts on the water system. In each
case, water availability or quality may be a factor in the water system’s ability to deliver safe
water to its customers.
Advanced identification of alternate water supplies assists in addressing public health concerns
in an emergency, including loss of water availability. A supplemental or backup source of power
may also be critical to provide water to the community.
15.3.7 Sanitary Deficiency Questions and Considerations – Sustainability
Previous chapters already cover some of the components related to sustainability. Chapters 3 and
4 (Ground Water and Surface Water sources, respectively) cover quantity issues, while Chapter
11 – Distribution covers determining and managing/reducing water loss. The questions below
discuss the remaining sustainability considerations.
1. Has the water system identified and implemented techniques and practices for its
sustainability?
Determine if the water system has planning documents that include long-term goals and
objectives, analysis of alternatives, use of natural services of the water cycle, evaluation
of life-cycle costs and a long-term financial strategy, as well as other steps supporting
sustainability.
2. Are water conservation and efficiency of water-using products key factors in
ensuring water availability?
Water conservation, steps taken to reduce water demand, can serve as an alternative
water source, making water available for other uses. The efficient use of water can also
help reduce demand on water supplies, as well as demands on water system
infrastructure, and help systems deal with both short- and long-term changes in water
availability and quality. Improvements in water efficiency can provide important
sustainability benefits, including reducing or delaying the need for capital projects and
reduced energy use. Water efficiency improvements can also provide environmental
sustainability benefits such as reduced pressure on water resources.
In states without regulatory requirements, water efficiency improvements could be part of
state or technical assistance provider outreach, education, and assistance efforts. Water
efficiency efforts at the consumer level to reduce demand would also be a part of these
efforts.
3. Do customers have information on efficient water-using appliances?
EPA’s WaterSense program seeks to protect the future of our nation's water supply by
promoting water efficiency and enhancing the market for water-efficient products,
programs, and practices. Some utilities offer rebates for WaterSense labeled products.
Water systems can also apply to become a WaterSense program partner and receive tools
they can use to promote their own water efficiency programs.
4. Has the water system conducted an energy audit?
15-5
Unaccounted for energy and energy expenses could leave the water system in an
undesirable financial situation. Asset management plans should include power ratings
and capacities for all electrical equipment, especially pumps.
5. Can your water system separate its energy costs from other operating costs?
As energy costs rise, operating costs rise. EPA has developed an energy assessment tool
to assist water systems in understanding their energy use.
15.4 Water System Security
Under the Bioterrorism Act of 2002, community water systems serving more than 3,300 persons
were required to conduct vulnerability assessments to help water systems evaluate susceptibility
to potential threats and identify corrective actions that can reduce or mitigate the risk of serious
consequences from adversarial actions (e.g., vandalism, insider sabotage, terrorist attack, etc.).
Sanitary surveys offer an opportunity to identify such vulnerabilities and review a water system’s
emergency response plan. Such considerations should be included for all sized water systems in
assisting water systems to identify and mitigate such risks.
Water systems can take simple steps to provide basic water system security, such as locking the
pump house and treatment plant, fencing around the treatment and pump plant, lighting and
movement sensors, automated alarms, etc.
A-1
Appendix A Reference Material
A-2
1. At America’s Service
Karl Albrecht
ISBN: 1-55623-168-7
2. AWWA B600-10: Powdered Activated Carbon
Catalog No. 42600
Available from:
American Water Works Association (AWWA)
6666 W. Quincy Avenue
Denver, CO 80235
(800) 926-7337
Fax: (303) 347-0804
http://www.awwa.org/store
3. AWWA B604-12: Granular Activated Carbon
Catalog No. 42604
Available from:
AWWA
6666 W. Quincy Avenue
Denver, CO 80235
(800) 926-7337
Fax: (303) 347-0804
http://www.awwa.org/store
4. AWWA G200: Guidance for Management of Distribution System and Operation and
Maintenance
ISBN 1-58321-734-7
Available from:
AWWA
6666 W. Quincy Avenue
Denver, CO 80235
(800) 926-7337
Fax: (303) 347-0804
http://www.awwa.org/store
A-3
5. AWWA G200-09: Distribution Systems Operation and Management
Catalog No. 47200
Available from:
AWWA
6666 W. Quincy Avenue
Denver, CO 80235
(800) 926-7337
Fax: (303) 347-0804
http://www.awwa.org/store
6. Chemistry of Water Treatment – 2nd Edition
Samuel D. Faust and Osman M. Aly
ISBN: 1-57504-011-5
7. Cross-Connection Control Manual
Publication ID: 816R03002 (February 2003)
Search on-line for the EPA Publication ID above at the
National Service Center for Environmental Publications
http://www.epa.gov/nscep/
8. Electrical Fundamentals for Water and Wastewater
Skeet Arasmith
Available from:
ACR Publications
1298 Elm St. SW
Albany, OR 97321
(800) 433-8150
Fax: (541) 926-3478
http://www.acrp.com
9. Environmental Engineering and Sanitation, 5th Edition
Joseph A. Salvato
ISBN 0-471-39456-4
10. Flood Resilience: A Basic Guide for Water and Wastewater Utilities
Publication ID: 817B14006 (September 2014)
Search on-line for the EPA Publication ID above at the
National Service Center for Environmental Publications
http://www.epa.gov/nscep/
A-4
11. Ground Water Rule Corrective Action Guidance Manual
Publication ID: 815R08011 (November 2008)
Search on-line for the EPA Publication ID above at the
National Service Center for Environmental Publications
http://www.epa.gov/nscep/
12. Guidance Manual for Compliance with the Filtration and Disinfection Requirements for
Public Water Systems Using Surface Water
Publication ID: 570391001 (March 1991)
Search on-line for the EPA Publication ID above at the
National Service Center for Environmental Publications
http://www.epa.gov/nscep/
13. Guidance Manual for Conducting Sanitary Surveys of Public Water Systems; Surface
Water and Ground Water Under the Direct Influence (GWUDI) of Surface Water
Publication ID: 815R99016 (April 1999)
Search on-line for the EPA Publication ID above at the
National Service Center for Environmental Publications
http://www.epa.gov/nscep/
14. Handbook of Chlorination and Alternative Disinfectants, 5th Edition
G.C. White
ISBN 0-470-18098-6
15. Integrated Design of Water Treatment Facilities, 2nd Edition
Susumu Kawamura
ISBN: 0-471-35093-1
16. Introduction to Small Water Systems
Skeet Arasmith
Available from:
ACR Publications
1298 Elm St. SW
Albany, OR 97321
(800) 433-8150
Fax: (541) 926-3478
http://www.acrp.com
A-5
17. Introduction to Utility Management
Skeet Arasmith and Rolfe Stearns
Available from:
ACR Publications
1298 Elm St. SW
Albany, OR 97321
(800) 433-8150
Fax: (541) 926-3478
http://www.acrp.com
18. Long Term 2 Enhanced Surface Water Treatment Rule Toolbox Guidance Manual
Publication ID: 815R09016 (April 2010)
Search on-line for the EPA Publication ID above at the
National Service Center for Environmental Publications
http://www.epa.gov/nscep/
19. Maintenance Management for Water Utilities
ISBN: 9781583217832
Available from:
AWWA
6666 W. Quincy Avenue
Denver, CO 80235
(800) 926-7337
Fax: (303) 347-0804
http://www.awwa.org/store
20. Manual of Cross-Connection Control
University of Southern California
Foundation for Cross-Connection Control
http://www.usc.edu/dept/fccchr
21. Manual of Individual Water Supply Systems
ISBN: 1-58963-407-1
22. A Manual of Instruction for Water Treatment Plant Operators
New York State Department of Water
ASIN B000O0C9EQ
http://www.dec.ny.gov/
A-6
23. Manual of Treatment Techniques for Meeting the Interim Primary Drinking Water
Regulation
Publication ID: 600877005 (May 1977)
Search on-line for the EPA Publication ID above at the
National Service Center for Environmental Publications
http://www.epa.gov/nscep/
24. Manual of Water Utility Operations 8th Edition
Available from:
Texas Water Utilities Association
1106 Clayton Lane, Ste 112 West
Austin, TX 78723-1093
(888) 367-8982
Fax: (512) 459-7124
http://www.twua.org/
25. Membrane Filtration Guidance Manual
Publication ID: 815R06009 (November 2005)
Search on-line for the EPA Publication ID above at the
National Service Center for Environmental Publications
http://www.epa.gov/nscep/
26. National Primary Drinking Water Regulations (40 CFR part 141)
Available on line from:
U.S. Environmental Protection Agency
Select “Title 40” from:
http://www.ecfr.gov
27. National Secondary Drinking Water Regulations (40 CFR part 143)
Available on line from:
U.S. Environmental Protection Agency
Select “Title 40” from:
http://www.ecfr.gov
A-7
28. O & M of Chlorine Systems
Skeet Arasmith
Available from:
ACR Publications
1298 Elm St.
SW Albany, OR 97321
(800) 433-8150
Fax: (541) 926-3478
http://www.acrp.com
29. Opflow, Volume 12, No. 5, May 1986
Available from:
AWWA
6666 W. Quincy Avenue
Denver, CO 80235
(800) 926-7337
Fax: (303) 347-0804
http://www.awwa.org
30. Opflow, Volume 12, No. 12, December 1986
Available from:
AWWA
6666 W. Quincy Avenue
Denver, CO 80235
(800) 926-7337
Fax: (303) 347-0804
http://www.awwa.org
31. Pathogen Intrusion into the Distribution System (report #90835)
Available from:
Water Research Foundation
6666 W. Quincy Avenue
Denver, CO 80235
(303) 347-6100
Fax: (303) 730-0851
http://waterrf.org/Pages/Projects.aspx?PID=436
32. Planning for an Individual Water System
ISBN: 0-89606-097-7
A-8
33. Pumps and Pumping
Skeet Arasmith
Available from:
ACR Publications
1298 Elm St. SW
Albany, OR 97321
(800) 433-8150
Fax: (541) 926-3478
http://www.acrp.com
34. Recommended Practice for Backflow Prevention and Cross-Connection Control, M14
ISBN: 9781583212882
Available from:
AWWA
6666 W. Quincy Avenue
Denver, CO 80235
(800) 926-7337
Fax: (303) 347-0804
http://www.awwa.org/store
35. Recommended Standards for Water Works (Ten States Standards)
Available from:
Health Research, Inc.
150 Broadway, Suite 560
Menands, NY 12204
(518) 431-1200
http://www.healthresearch.org/store/ten-state-standards
36. Rehabilitation of Water, M28, 2nd
Edition
ISBN: 9781583210260
Available from:
AWWA
6666 W. Quincy Avenue
Denver, CO 80235
(800) 926-7337
Fax: (303) 347-0804
http://www.awwa.org/store
37. Safe Drinking Water Advisor: A Compliance Assistance Resource (CD)
ISBN: 978-1-58321-324-7
A-9
38. Sanitary Survey Guidance Manual for Ground Water Systems
Publication ID: 815R08015 (October 2006)
Search on-line for the EPA Publication ID above at the
National Service Center for Environmental Publications
http://www.epa.gov/nscep/
39. Simultaneous Compliance Guidance Manual for the Long Term 2 and Stage 2 DBP
Rules
Publication ID: 815R07017 (March 2007)
Search on-line for the EPA Publication ID above at the
National Service Center for Environmental Publications
http://www.epa.gov/nscep/
40. Small Water System Operation & Maintenance 4th Edition
Available from:
Office of Water Programs
California State University, Sacramento
6000 J Street
Sacramento, CA 95810
(916) 278-6142
Fax: (916) 278-5959
http://www.owp.csus.edu/courses/drinking-water.php
41. Stage 2 Disinfectants and Disinfection Byproducts Rule Operational Evaluation
Guidance Manual
Publication ID: 8-15-R-08-018 (December 2008)
Search on-line for the EPA Publication ID above at the
National Service Center for Environmental Publications
http://www.epa.gov/nscep/
42. Technologies for Upgrading Existing or Designing New Drinking Water Treatment
Facilities
Publication ID: 625489023 (March 1990)
Search on-line for the EPA Publication ID above at the
National Service Center for Environmental Publications
http://www.epa.gov/nscep/
43. Ultraviolet Disinfection Guidance Manual
Publication ID: 815R06007 (November 2006)
Search on-line for the EPA Publication ID above at the
National Service Center for Environmental Publications
http://www.epa.gov/nscep/
A-10
44. Water Distribution System Construction Manual
Skeet Arasmith
Available from:
ACR Publications
1298 Elm St. SW
Albany, OR 97321
(800) 433-8150
Fax: (541) 926-3478
http://www.acrp.com
45. Water Distribution System Operation & Maintenance
Available from:
Office of Water Programs
California State University, Sacramento
6000 J Street
Sacramento, CA 95810
(916) 278-6142
Fax: (916) 278-5959
http://www.owp.csus.edu/courses/drinking-water.php
46. Water Quality and Treatment: A Handbook of Drinking Water, 5th
Edition
ISBN: 9780071630115
Available from:
AWWA
6666 W. Quincy Avenue
Denver, CO 80235
(800) 926-7337
Fax: (303) 347-0804
http://www.awwa.org/store
47. Water Quality in the Distribution System
ISBN 1-58321-323-6
Available from:
AWWA
6666 W. Quincy Avenue
Denver, CO 80235
(800) 926-7337
Fax: (303) 347-0804
http://www.awwa.org/store
A-11
48. Water Supply Operations Textbooks, 4th
Edition
Volume 1: Water Sources (ISBN: 9781583217825)
Volume 2: Water Treatment (ISBN: 9781583217771)
Volume 3: Water Transmission and Distribution (ISBN: 9781583217818)
Volume 4: Water Quality (ISBN: 9781583217801)
Volume 5: Basic Science Concepts and Applications (ISBN: 9781583217788)
Available from:
AWWA
6666 W. Quincy Avenue
Denver, CO 80235
(800) 926-7337
Fax: (303) 347-0804
http://www.awwa.org/store
49. Water Systems Handbook – 12th
Edition
Available from:
Water Systems Council
1101 30th Street, NW Suite 500
Washington, DC 20007
(202) 625-4387
Fax: (202) 625-4363
http://www.watersystemscouncil.org
Water Treatment Plant Design, 5th Edition
Prepared jointly by the American Water Works Association, Conference of State
Sanitary Engineers, and American Society of Civil Engineers
Available from:
AWWA
Data Processing Department
6666 W. Quincy Avenue
Denver, CO 80235
(800) 926-7337
Fax: (303) 347-0804
http://www.awwa.org/store
ASCE Publications
1801 Alexander Bell Drive
Reston, VA 20191
(800) 548-2723
http://www.asce.org/Product.aspx?id=25769809226
A-12
50. Water Treatment Plant Operation, Volume I
Available from:
Office of Water Programs
California State University, Sacramento
6000 J Street
Sacramento, CA 95810
(916) 278-6142
Fax: (916) 278-5959
http://www.owp.csus.edu/courses/drinking-water.php
51. Water Treatment Plant Operation, Volume II
Available from:
Department of Civil Engineering
California State University, Sacramento
6000 J Street
Sacramento, CA 95810
(916) 278-6142
Fax: (916) 278-5959
http://www.owp.csus.edu/courses/drinking-water.php

LearnersGuide_Released-9-11

  • 1.
    2015 Draft FinalEdition as of September 2015 How to Conduct a Sanitary Survey of Drinking Water Systems A Learner’s Guide DESIGNED TO ASSIST IN THE DELIVERY OF A SANITARY SURVEY TRAINING COURSE
  • 3.
    ii Table of Contents Tableof Contents............................................................................................................................ ii List of Figures...............................................................................................................................vii List of Tables ................................................................................................................................. xi List of Acronyms .......................................................................................................................... xii Introduction..................................................................................................................................... 1 Learning Objectives.................................................................................................................. 1 What is a Sanitary Survey?....................................................................................................... 1 Course Description.................................................................................................................... 3 1 Organizing and Completing the Sanitary Survey ..................................................................1-1 1.1 Learning Objectives.........................................................................................................1-1 1.2 Estimating Time Required...............................................................................................1-1 1.3 Organizing Field Equipment............................................................................................1-4 1.4 General Recommendations for On-Site Inspections........................................................1-7 1.5 Sequence of Activities .....................................................................................................1-8 1.6 The Sanitary Survey Report...........................................................................................1-11 1.7 Corrective Action...........................................................................................................1-12 2 Regulations ............................................................................................................................2-1 2.1 Learning Objectives.........................................................................................................2-1 2.2 Data Collection ................................................................................................................2-2 2.3 Regulations and Standards to Consider ...........................................................................2-2 2.4 Drinking Water Regulations ............................................................................................2-3 2.5 Sanitary Deficiency Questions and Considerations - Regulations ................................2-18 2.6 Significant Deficiency Examples...................................................................................2-19 3 Ground Water Sources...........................................................................................................3-1 3.1 Learning Objectives.........................................................................................................3-1 3.2 Data Collection ................................................................................................................3-1 3.3 Regulations and Standards to Consider ...........................................................................3-1 3.4 Basic Ground Water Source Information ........................................................................3-1 3.5 Water Quantity.................................................................................................................3-2 3.6 Water Quality...................................................................................................................3-5 3.7 Wells ................................................................................................................................3-6
  • 4.
    iii 3.8 Springs ...........................................................................................................................3-14 3.9Special Monitoring Evaluation ......................................................................................3-18 3.10 Significant Deficiency Examples for Ground Water Sources .................................3-18 4 Surface Water Sources...........................................................................................................4-1 4.1 Learning Objectives.........................................................................................................4-1 4.2 Data Collection ................................................................................................................4-1 4.3 Regulations and Standards to Consider ...........................................................................4-1 4.4 Basic Surface Water Source Information ........................................................................4-1 4.5 Water Quantity.................................................................................................................4-2 4.6 Water Quality...................................................................................................................4-5 4.7 Source Water Protection ..................................................................................................4-8 4.8 Reservoirs ......................................................................................................................4-10 4.9 Streams and Rivers ........................................................................................................4-12 4.10 Infiltration Galleries (Riverbank Filtration).............................................................4-13 4.11 Roof Catchments......................................................................................................4-16 4.12 Significant Deficiency Examples for Surface Water Sources .................................4-19 5 Water Supply Pumps, Pumping Facilities and Controls........................................................5-1 5.1 Learning Objectives.........................................................................................................5-1 5.2 Data Collection ................................................................................................................5-1 5.3 Regulations and Standards to Consider ...........................................................................5-2 5.4 Basic Information Water Supply Pumps and Pumping Facilities....................................5-2 5.5 Water System Applications..............................................................................................5-2 5.6 Pumping Equipment and Appurtenances.........................................................................5-2 5.7 Pumping Facilities .........................................................................................................5-11 5.8 Controls..........................................................................................................................5-12 5.9 Auxiliary Power.............................................................................................................5-14 5.10 Operation and Maintenance.....................................................................................5-16 5.11 Safety .......................................................................................................................5-17 5.12 Significant Deficiency Examples for Pumps and Pumping Facilities .....................5-18 6 Chemical Feed Systems .........................................................................................................6-1 6.1 Learning Objectives.........................................................................................................6-1 6.2 Data Collection ................................................................................................................6-1 6.3 Regulations and Standards to Consider ...........................................................................6-2
  • 5.
    iv 6.4 Purpose ofWater Treatment............................................................................................6-2 6.5 Chemical Feed Systems ...................................................................................................6-3 6.6 Specialty Treatment: Fluoridation ...................................................................................6-9 6.7 Significant Deficiency Examples for Chemical Feed Systems......................................6-13 7 Chemical Contaminant Removal...........................................................................................7-1 7.1 Learning Objectives.........................................................................................................7-1 7.2 Data Collection ................................................................................................................7-1 7.3 Regulations and Standards to Consider ...........................................................................7-2 7.4 Purpose of Water Treatment............................................................................................7-2 7.5 Removal Processes...........................................................................................................7-2 7.6 Significant Deficiency Examples for Chemical Contaminant Removal........................7-19 8 Disinfection............................................................................................................................8-1 8.1 Learning Objectives.........................................................................................................8-1 8.2 Data Collection ................................................................................................................8-1 8.3 Regulations and Standards to Consider ...........................................................................8-2 8.4 Purpose of Disinfection....................................................................................................8-2 8.5 Understanding Disinfection .............................................................................................8-2 8.6 Common Types of Disinfection.......................................................................................8-7 8.7 Significant Deficiency Examples for Disinfection ........................................................8-32 9 Turbidity Removal.................................................................................................................9-1 9.1 Learning Objectives.........................................................................................................9-1 9.2 Data Collection ................................................................................................................9-1 9.3 Regulations and Standards to consider ............................................................................9-1 9.4 Basic Information Turbidity Removal.............................................................................9-1 9.5 Conventional Filtration Treatment...................................................................................9-2 9.6 Direct Filtration................................................................................................................9-7 9.7 Package Filtration ............................................................................................................9-7 9.8 Slow Sand Filtration ........................................................................................................9-8 9.9 Diatomaceous Earth (DE) Filtration..............................................................................9-10 9.10 Bag and Cartridge Filtration ....................................................................................9-11 9.11 Membrane Filtration ................................................................................................9-13 9.12 Significant Deficiency Examples for Turbidity Removal .......................................9-17 10 Finished Water Storage Facilities ........................................................................................10-1
  • 6.
    v 10.1 Learning Objectives.................................................................................................10-1 10.2Data Collection ........................................................................................................10-1 10.3 Regulations and Standards to Consider ...................................................................10-1 10.4 Finished Water Storage Facilities ............................................................................10-2 10.5 Significant Deficiency Examples for Storage Facilities........................................10-25 11 Distribution Systems............................................................................................................11-1 11.1 Learning Objectives.................................................................................................11-1 11.2 Data Collection ........................................................................................................11-2 11.3 Regulations and Standards to Consider ...................................................................11-2 11.4 Basic Distribution Systems Information..................................................................11-3 11.5 Distribution System Components ............................................................................11-3 11.6 Material Standards ...................................................................................................11-8 11.7 Water Quality.........................................................................................................11-10 11.8 Maps, Drawings and Planning...............................................................................11-13 11.9 Distribution System Monitoring ............................................................................11-14 11.10 Operation and Maintenance...................................................................................11-16 11.11 Significant Deficiency Examples for Distribution Systems ..................................11-19 12 Cross-Connections...............................................................................................................12-1 12.1 Learning Objectives.................................................................................................12-1 12.2 Data Collection ........................................................................................................12-1 12.3 Regulations and Standards to Consider ...................................................................12-1 12.4 Basic Information.....................................................................................................12-2 12.5 Protection against Sanitary Deficiencies from Cross-Connections .........................12-5 12.6 Sanitary Deficiency Questions and Considerations – Cross-Connections ............12-13 12.7 Significant Deficiency Examples for Cross Connections......................................12-15 13 Process Control Monitoring.................................................................................................13-1 13.1 Learning Objectives.................................................................................................13-1 13.2 Data Collection ........................................................................................................13-1 13.3 Regulations and Standards to Consider ...................................................................13-2 13.4 Basic Information.....................................................................................................13-2 13.5 Approved Laboratory...............................................................................................13-2 13.6 In-House Monitoring ...............................................................................................13-2 13.7 Electronic Data Recording, Monitoring, and Testing: SCADA ..............................13-7
  • 7.
    vi 13.8 Significant DeficiencyExamples for Process Control Monitoring .........................13-9 14 Utility Management .............................................................................................................14-1 14.1 Learning Objectives.................................................................................................14-1 14.2 Data Collection ........................................................................................................14-1 14.3 Regulations and Standards to Consider ...................................................................14-1 14.4 Basic Information.....................................................................................................14-2 14.5 Organization.............................................................................................................14-2 14.6 Planning ...................................................................................................................14-5 14.7 Personnel..................................................................................................................14-6 14.8 Operations................................................................................................................14-8 14.9 Finance.....................................................................................................................14-8 14.10 Significant Deficiency Examples for Utility Management....................................14-11 15 Other Considerations ...........................................................................................................15-1 15.1 Introduction..............................................................................................................15-1 15.2 Learning Objectives for this Chapter.......................................................................15-1 15.3 Sustainability............................................................................................................15-1 15.4 Water System Security.............................................................................................15-5 Appendix A Reference Material .................................................................................................A-1
  • 8.
    vii List of Figures Figure3-1: Components of a Drinking Water Well ....................................................................3-6 Figure 3-2: Lineshaft Turbine and Submersible Turbine ............................................................3-7 Figure 3-3: Aquifer Types ...........................................................................................................3-8 Figure 3-4: Recharge and Zones of Influence..............................................................................3-9 Figure 3-5: Sample Minimum Distances from Well to Pollution Sources................................3-11 Figure 3-6: Potential Contamination Sources............................................................................3-12 Figure 3-7: Typical Lineshaft Turbine Installation....................................................................3-13 Figure 3-8: Example of a Spring Collection System .................................................................3-16 Figure 4-1: Source Water Protection Map...................................................................................4-9 Figure 4-2: In-stream Drop Inlet Location.................................................................................4-12 Figure 4-3: Example of an Infiltration Gallery..........................................................................4-14 Figure 4-4: Ranney Well............................................................................................................4-15 Figure 4-5: Roof Catchment System Example ..........................................................................4-17 Figure 4-6: Roof Catchment Collection System........................................................................4-17 Figure 5-1: Submersible Turbine and Lineshaft Turbine Pump Units ........................................5-3 Figure 5-2: Cutaway Illustration of a Centrifugal Pump .............................................................5-3 Figure 5-3: Centrifugal Pump: Horizontal-Split Case .................................................................5-4 Figure 5-4: Centrifugal Pump: Horizontal-Close Coupled..........................................................5-4 Figure 5-5: Swing Check Valve...................................................................................................5-4 Figure 5-6: Gate Valve.................................................................................................................5-5 Figure 5-7: Turbine Flow Meter ..................................................................................................5-6 Figure 5-8: Booster Pump Station................................................................................................5-8 Figure 5-9: Lineshaft Turbine Pump Station ...............................................................................5-8 Figure 5-10: Submersible Turbine Pumping Station ...................................................................5-9
  • 9.
    viii Figure 5-11: PumpingStation/Well House..................................................................................5-9 Figure 5-12: Low-Flow Switch..................................................................................................5-12 Figure 5-13: Auxiliary Power....................................................................................................5-14 Figure 6-1: Liquid Feed Pump (Hypochlorinator).......................................................................6-3 Figure 6-2: Volumetric Dry Feeder .............................................................................................6-4 Figure 6-3: Belt Gravimetric Dry Feeder.....................................................................................6-4 Figure 6-4: Chemical Feed System..............................................................................................6-6 Figure 6-5: Fluoride Saturator ...................................................................................................6-10 Figure 6-6: Fluoride Acid Feed System.....................................................................................6-11 Figure 7-1: Reverse Osmosis.......................................................................................................7-3 Figure 7-2: Chlorine Oxidation – Filtration.................................................................................7-7 Figure 7-3: Aeration – Filtration..................................................................................................7-8 Figure 7-4: Ion Exchange.............................................................................................................7-8 Figure 7-5: Manganese Greensand Filtration Continuous Regeneration (CR)............................7-9 Figure 7-6: Manganese Greensand Filtration Intermittent Regeneration (IR).............................7-9 Figure 7-7: Ion Exchange Water Softener .................................................................................7-17 Figure 8-1: Reactions of Chlorine in Water.................................................................................8-5 Figure 8-2: Chlorine Gas Treatment Room ...............................................................................8-10 Figure 8-3: Components of an Ammonia Squeeze Bottle .........................................................8-11 Figure 8-4: Basic Ozone Generator ...........................................................................................8-15 Figure 8-5: Simplified Ozone System Schematic......................................................................8-15 Figure 8-6: Ozone Bubble Contactors .......................................................................................8-17 Figure 8-7: In-Line and Side-Stream Ozone Injection Systems ................................................8-17 Figure 8-8: Conventional Chlorine Dioxide Generator: Chlorine-Chlorite Method .................8-24 Figure 8-9: Chlorine Dioxide Generator: Recycled Aqueous Chlorine Method.......................8-25
  • 10.
    ix Figure 9-1: ConventionalFiltration Treatment............................................................................9-2 Figure 9-2: Direct Filtration.........................................................................................................9-7 Figure 9-3: Conventional Filtration Package Plant......................................................................9-8 Figure 9-4: Slow Sand Filter........................................................................................................9-9 Figure 9-5: Diatomaceous Earth Filtration ................................................................................9-10 Figure 9-6: Filter Mechanics of Diatomaceous Earth................................................................9-10 Figure 9-7: Bag and Cartridge Filtration ...................................................................................9-12 Figure 9-8: Spiral Wound RO Filter Core .................................................................................9-14 Figure 10-1: Clearwell ...............................................................................................................10-4 Figure 10-2: Gravity Storage .....................................................................................................10-5 Figure 10-3: Large vs. Narrow Diameter Tanks........................................................................10-5 Figure 10-4: Tank Components .................................................................................................10-8 Figure 10-5: Direct Pumping ...................................................................................................10-10 Figure 10-6: Tank Floating on the System ..............................................................................10-10 Figure 10-7: Submersible Turbine and Hydropneumatic Tank...............................................10-20 Figure 10-8: Styles of Pressure Tanks .....................................................................................10-21 Figure 11-1: Types of Pipes.......................................................................................................11-4 Figure 11-2: Service Meter Installation Graphic .......................................................................11-5 Figure 11-3: Gate and Butterfly Valves.....................................................................................11-5 Figure 11-4: Air Release Valves................................................................................................11-6 Figure 11-5: Pressure Control Valve .........................................................................................11-6 Figure 11-6: Fire Hydrants.........................................................................................................11-7 Figure 12-1: Backflow as a Result of Back-Pressure ................................................................12-3 Figure 12-2: Backflow as a Result of Back-Siphonage.............................................................12-3 Figure 12-3: Backflow as a Result of Hydraulic Head..............................................................12-4
  • 11.
    x Figure 12-4: DirectCross-Connection.......................................................................................12-4 Figure 12-5: Indirect Cross-Connection ....................................................................................12-5 Figure 12-6: Air Gap..................................................................................................................12-6 Figure 12-7: Atmospheric Vacuum Breaker..............................................................................12-7 Figure 12-8: Pressure Vacuum Breaker.....................................................................................12-8 Figure 12-9: Double Check Valve Assembly............................................................................12-8 Figure 12-10: Reduced Pressure Principle Backflow Prevention Assembly.............................12-9 Figure 12-11: Chlorine Split Feed ...........................................................................................12-11 Figure 12-12: Filter Surface Wash...........................................................................................12-11 Figure 12-13: Air Relief Valve Incorrectly Piped Directly to Floor Drain .............................12-12 Figure 12-14: Hydrant Drain to Manhole................................................................................12-13 Figure 13-1: Comprehensive Monitoring Program: Conventional Treatment Plant .................13-3 Figure 13-2: Process Control Sample Points for Ground Water Systems .................................13-7 Figure 13-3: Analog Signal Scale..............................................................................................13-7 Figure 13-4: Data Flow from Instrument to Report...................................................................13-8
  • 12.
    xi List of Tables Table1-1: Essential Contacts.......................................................................................................1-3 Table 2-1: Grab Samples Frequency by Population ..................................................................2-10 Table 2-2: Records and Retention Schedule..............................................................................2-18 Table 3-1: Example Minimum Distances between Wells and Pollution Sources .....................3-11 Table 7-1: Water Hardness Values ............................................................................................7-15 Table 7-2: Definitions Pertaining to Water Softening...............................................................7-16 Table 8-1: Threshold of Odor of Various Residuals....................................................................8-5 Table 8-2: Half Life Deterioration in Days of Sodium Hypochlorite..........................................8-8 Table 10-1: Example of Water Use ...........................................................................................10-3 Table 10-2: Varying Daily Water Demands ..............................................................................10-3 Table 14-1: Managerial and Financial Capacity........................................................................14-9
  • 13.
    xii List of Acronyms ADD...................Average daily demand ANSI .................. American National Standards Institute APU.................... Auxiliary Power Unit APWA................ American Public Works Association AWWA .............. American Water Works Association CaCO3 ................ Calcium carbonate CEO.................... Chief Executive Officer CFR.................... Code of Federal Regulations Cl2 ...................... Chlorine ClO2.................... Chlorine dioxide CR ...................... Continuous regeneration process CT ...................... Residual disinfectant concentration (mg/L) X Contact time (minutes) CWS................... Community Water System D/DBPs .............. Disinfectants and Disinfection Byproducts DBP.................... Disinfection Byproducts DBPR................. Disinfection Byproducts Rule DE ...................... Diatomaceous Earth DPD.................... N,N Diethyl-1,4 phenylenediamine sulfate EPA.................... Environmental Protection Agency GAC................... Granular activated carbon g/cm3 .................. Grams per cubic centimeter gpd...................... Gallons per day gpm .................... Gallons per minute GWUDI.............. Ground Water under Direct Influence of Surface Water
  • 14.
    xiii HAA5s ............... Haloaceticacids HDPE................. High-density polyethylene HOCl- ................. Hypochlorous acid IESWTR............. Interim Enhanced Surface Water Treatment Rule IR........................ Intermittent regeneration process KMnO4............... Potassium permanganate LCR.................... Lead and Copper Rule LOX ................... Liquid oxygen LRAA................. Locational Running Annual Average LT1 ESWTR...... Long Term 1 Enhanced Surface Water Treatment Rule LT2 ESWTR...... Long Term 2 Enhanced Surface Water Treatment Rule mA...................... Milliamp MCL................... Maximum Contaminant Level MF...................... Microfiltration mg/L................... Milligrams per liter mg-min/L ........... Milligram-minutes per liter mm ..................... Millimeters MRDL................ Maximum Residual Disinfectant Level NaClO2............... Sodium chlorite NELAC .............. National Environmental Laboratory Accreditation Committee NF ...................... Nanofiltration NPDWR............. National Primary Drinking Water Regulations NSDWR............. National Secondary Drinking Water Regulations NSF .................... NSF International (formerly National Sanitation Foundation) NTNCWS........... Non-Transient, Non-Community Water System
  • 15.
    xiv NTU ................... NephelometricTurbidity Unit OCl- .................... Hypochlorite ion O&M.................. Operation and maintenance OEL.................... Operation Evaluation Level OSHA................. Occupational Safety and Health Administration PAC.................... Powdered activated carbon pH....................... Hydrogen ion concentration PLC .................... Programmable Logic Controller PM...................... Preventive maintenance PSOCs................ Potential sources of contamination PPE..................... Personal protective equipment ppm .................... Parts per million PRV.................... Pressure Reducing Valve psi....................... Pounds per square inch PVB.................... Pressure Vacuum Breaker PVC.................... Polyvinyl chloride PWS ................... Public Water System QA...................... Quality assurance QC...................... Quality control QCRV ................ Quality Control Release Valve RADs.................. Radionuclides RO...................... Reverse osmosis RPP .................... Reduced Pressure Principle Backflow Preventer RPZ .................... Reduced Pressure Zone SCADA.............. Supervisory Control and Data Acquisition
  • 16.
    xv SDS .................... SafetyData Sheets (formerly MSDS: Material Safety Data Sheets) SDWA................ Safe Drinking Water Act SOP .................... Standard Operating Procedure SWAP ................ Source Water Assessment Program SWTR ................ Surface Water Treatment Rule TCR.................... Total Coliform Rule TDS.................... Total dissolved solids TMF ................... Technical, managerial, and financial TNCWS.............. Transient, Non-Community Water System TT ...................... Treatment technique TTHMs............... Total trihalomethanes µ ......................... Micron µm...................... Micrometer UF ...................... Ultrafiltration UV...................... Ultraviolet (light) VOCs.................. Volatile Organic Contaminants WHPP ................ Wellhead Protection Program
  • 17.
    1 Introduction A sound sanitarysurvey program is an essential element of an effective primary enforcement (primacy) agency Public Water System Supervision (PWSS) program. A sanitary survey provides a snapshot of the operating status of a public water system. Utilizing this information, staff can evaluate the status of a system. Well-executed and documented sanitary surveys are fundamental to helping the PWSS program ensure that a water system is providing safe drinking water and protecting public health. The intent of this guide is to provide sanitary survey students with an additional resource they can reference in conjunction with their field guides, for use during field and classroom training, and during subsequent mentor-lead sanitary surveys. Disclaimer: Terminology may vary from agency to agency. For this reason, please understand this guide may use terms such as “sanitary survey” and “inspection” interchangeably. In addition, this guide often refers to the personnel conducting a survey as “inspectors”. Learning Objectives By the end of this chapter, students should be able to: • Define “sanitary survey,” identify the eight elements of a sanitary survey, describe sanitary and significant deficiencies, and explain the purpose of a sanitary survey of a public water system. • Explain the “multiple barrier” approach and understand how a breach of one or more barriers indicates conditions or deficiencies that may cause public health risks in a typical public water system. • Understand the focus of the training is the identification of conditions or deficiencies that may cause public health risks in a typical public water system. • Understand the components of sanitary survey training, and the layout of the Learner’s Guide and Field References. • Identify knowledge gaps that will require additional training. What is a Sanitary Survey? Definition: A sanitary survey is an on-site evaluation of the water source and its adequacy, facilities, equipment, operation and maintenance of a public water system, and its capability for producing and distributing safe drinking water (see 40 CFR 141.2 for the regulatory definition). A sanitary survey must include the following eight essential elements: • Water source (protection, physical components and condition). • Water treatment. • Distribution system. • Finished water storage.
  • 18.
    2 • Pumps, pumpingfacilities, and controls. • Monitoring, reporting, and data verification. • Water system management and operation. • Operator compliance with state requirements. Note: An inspection for cross-connections at the water system should always be included in a sanitary survey, as cross connections are a concern for both treatment and distribution systems. The Multiple Barrier Approach The first three elements of the sanitary survey are barriers to contamination. Working together, they provide an in depth defense to prevent drinking water contamination. Even if one of these barriers was to fail, as long as the other two barriers are still in place, it is likely that the public will not have its health compromised. Understanding this concept is vital as a water system can be producing safe drinking water and still have one or more deficiencies that need correction. As much as possible, we discuss the best practices of sanitary integrity to protect public health in the appropriate chapters. Purpose of a Sanitary Survey Every primacy agency is required to have a sanitary survey program that meets the requirements of the Safe Drinking Water Act (SDWA). Title 40 of the Code of Federal Regulations (CFR) Part 142.16 describes specific requirements for the sanitary survey program and its authorities. Every primacy agency must create a standard measurement system for evaluating each of the eight essential elements to ensure consistency in conducting sanitary surveys. The purpose of a sanitary survey is to determine if sanitary deficiencies are present in a water system and to verify the system’s compliance with SDWA regulations. This information serves as a benchmark with which to gauge the effectiveness of a water system and is valuable in addressing the system’s present and future needs. Sanitary surveys can also be a valuable tool for primacy agencies to go beyond what is required and to educate a water system on topics such as upcoming regulations, proper sampling techniques, capacity development opportunities, strategies for extreme weather events and conditions, and any other technical assistance needs (see Chapter 15 – Other Considerations). Sanitary deficiencies are defects in a water system’s infrastructure, design, operation, maintenance, or management that cause, or may cause interruptions to the “multiple barrier” protection system and adversely affect the system’s ability to produce safe and reliable drinking water in adequate quantities. Significant deficiencies are serious sanitary deficiencies identified in water systems which include, but are not limited to, defects in design, operation, maintenance, or a failure or malfunction of the sources, treatment, storage, or distribution system that the primacy agency determines to be causing, or has potential to cause, the introduction of contamination into the water delivered to consumers. Though agencies are required to have a list of significant deficiencies available, with at least one for each of the eight elements, these lists should not be limiting, and any inspector conducting a sanitary survey should have the ability and authority to make significant deficiency determinations based on observations on site. Water systems must
  • 19.
    3 correct significant deficienciesin accordance with timeframes established in the National Primary Drinking Water Regulations (see details in Chapter 2). Though the purpose of a survey is to identify deficiencies before they become a problem, there are instances where identifying a serious public health threat may occur. The inspector conducting the survey needs to have the ability to identify these situations and the authority to take appropriate action to address these situations as soon as possible. Frequency of Sanitary Surveys Sanitary surveys must be conducted no less than once every three years for community water systems and no less than once every five years for non-community water systems. Primacy agencies may choose to conduct sanitary surveys more frequently than the minimum requirements. Inspectors may conduct surveys in a phased approach, evaluating specific elements over multiple visits; however, inspectors must evaluate all elements within the required period. Students can find details on reducing sanitary survey frequency in Chapter 2: Drinking Water Regulations. Who Conducts Sanitary Surveys? Competent personnel who have experience and knowledge of the design, operation, maintenance, and management of public water systems must conduct sanitary surveys. These individuals must be qualified to assess problems and make sound decisions using hydrological, hydraulic, mechanical, and other basic engineering and management knowledge. Course Description Purpose of the Training EPA has designed this training course for personnel who inspect and evaluate public water systems. Its purpose is to apply basic scientific information and a working knowledge of the operation, maintenance, management, and technology of a public water system in order to identify sanitary deficiencies, including significant deficiencies. This course addresses each of the eight essential elements of a sanitary survey, presents the activities of a survey, and identifies questions to ask as well as the conditions to look for while conducting a survey. This training also presents the process for conducting a sanitary survey, familiarizes the student with security concerns, reviews applicable federal drinking water regulations, and explains the relationship between federal and state regulations. Length of Training Sanitary survey training lasts 3 1/2 days and focuses on the information an inspector needs to understand in order to recognize and identify conditions or practices that may contribute to a sanitary risk. The training can also be a 2-day session focusing either on sanitary surveys of ground water systems or surface water systems. It can also be adapted to address state-specific needs such as a state’s standard sanitary survey form and significant deficiencies, or sanitary surveys of non-community systems. In each case, the training presents the opportunity to discuss what sanitary deficiencies are, where they are most likely to occur and how to recognize or anticipate them.
  • 20.
    4 Entering Competencies ofParticipants: Essential Background Participants who have a working knowledge of the vocabulary associated with water systems and an understanding of how water systems work will benefit from the competency-based sanitary survey training. Basic knowledge of water systems is essential. Participants will be encouraged to interact with one another, share experiences and case histories, enter into team exercises and discussions, ask questions, and contribute answers and solutions to presented problems. Approach The training combines classroom presentations, photos, and discussion with site visits to ground water and surface water systems. The field exercises conducted during the site visits provide opportunities for hands-on application of classroom information to identify actual problematic conditions (e.g., sanitary deficiencies) that may contribute to a public health or “sanitary” risk. Guided team discussions after the field exercise are a critical component of the course and clarify the reasons the deficiencies present public health risks. Field Exercise Instructors will divide students into teams that conduct a sanitary survey during the on-site field exercises. Afterwards, students present summaries of team findings for discussion. Students should be punctual and dress appropriately for field exercises and for possible inclement weather. Training Materials Trainers typically conduct this training course using this Student Guide, visual presentations, and two Field References (ground water and surface water) for the field exercise. Student’s Guide on How to Conduct a Sanitary Survey EPA has also designed this guide to compliment classroom training. As much as possible, chapters follow the same order as a sanitary survey; from organizing the survey to moving through the water system starting at the source and ending at the “tap” (distribution). Most chapters follow the format described below: • Provide a general introduction and learning objectives. • Discuss data collection. • Provide technical information on a topic and present potential questions to ask during the survey for that specific topic. • Present additional technical information and questions if necessary. • Provide some examples of potential significant deficiencies. All significant deficiencies listed in the Guide are examples only. Each primacy agency may have identified a different set of significant deficiencies than those listed in each chapter. Many chapters provide references where students can find additional information on a specific topic. In order to facilitate the reader’s ability to locate those materials, a comprehensive list of reference material (publications, videos, CDs, DVDs, etc.) appears in Appendix A.
  • 21.
    5 Disclaimer: Unless otherwisenoted, the standards and rates mentioned throughout the Guide are excerpts from the publications Technologies for Upgrading Existing or Designing New Drinking Water Treatment Facilities, and Recommended Standards for Water Works. Students may find these references in Appendix A. The components of this guide, and the activities the student will be able to perform after working through them, include: • Organizing the Sanitary Survey - Prepare for, conduct, and perform follow-up activities for a sanitary survey. • Drinking Water Regulations - Explain the applicability of federal regulations that apply to water systems during a sanitary survey and their relationship to state regulations. • Water Sources - Evaluate water supply sources and intake structures to determine proper source protection and sufficiency. • Pumps and Pumping Facilities - Identify proper operation and maintenance of water system pumps and pumping facilities. • Treatment Processes - Evaluate treatment processes, facilities, components, and techniques and related chemical addition and handling. • Storage Facilities - Evaluate the adequacy, reliability, and safety of finished water storage. • Distribution System - Evaluate the adequacy, reliability, and safety of the system for distributing water to consumers. • Cross-Connections - Identify cross-connections and evaluate the cross-connection control program. • Process Control Monitoring, Laboratory Procedures, and Data Integrity - Review monitoring data for source and finished water quality for bacteriological, physical, chemical and radiological properties and, as required, perform and evaluate results of field analyses. • Management - Evaluate the effect of management practices on the reliability of the system and review the qualifications of system personnel. • Other Considerations - While the eight essential elements must be included in a sanitary survey, it may be helpful to the system to discuss other considerations, e.g., sustainability, water system security, extreme weather, etc., during the survey. This guide briefly discusses these additional considerations, with references for additional related resources. Field References There are two field references provided during training: • Drinking Water Inspector’s Field Reference: For Use When Conducting a Sanitary Survey of a Ground Water System.
  • 22.
    6 • Drinking WaterInspector’s Field Reference: For Use When Conducting a Sanitary Survey of a Surface Water System. These references are compact in design so an inspector can easily use them in the field. They contain a few important bullets about adequate preparation for the field portion of a sanitary survey and list all of the questions contained in the guide. Some graphics are also included.
  • 23.
    1-1 1 Organizing andCompleting the Sanitary Survey Organization and planning are required in order to conduct an effective and efficient sanitary survey. Planning begins even before the first phone call to arrange the on-site inspection, and does not end until the sustainable correction of all sanitary deficiencies. The sanitary survey process has three stages: • Preparation, including background research. • On-site inspection. • Follow-up activities to ensure systems correct sanitary deficiencies. Though the Safe Drinking Water Act (SDWA) requires sanitary surveys, the sanitary survey process should be a cooperative partnership between the primacy agency and the water purveyor since each share the common goal of providing safe drinking water to the public. 1.1 Learning Objectives By the end of this chapter, students should be able to: • Determine how, and with whom, to communicate before, during and after an on-site inspection. • Explain the activities that the inspector needs to accomplish during the preparation phase and the importance of each activity. • Know the sequence of activities that are required during the on-site inspection, and how to properly document findings during the survey. • Explain the follow-up activities, which are required after the inspector completes the on- site survey, including finalizing deficiencies and writing the sanitary survey report. 1.2 Estimating Time Required Time management is an essential element in completing a sanitary survey in an efficient manner. The estimation of time should include all activities required prior to, during, and after the on-site inspection. Although the time required to complete a sanitary survey will vary with the complexity of the water system and the experience of the inspector, a good rule of thumb is that it will take 2 hours in the office for every hour spent in the field. 1.2.1 Research 1.2.1.1 Review Files Prior to each survey, the inspector should review at least 5 years of available information on the water system. This review helps the inspector become familiar with the system’s history and condition and understand remarks made during the inspection regarding previous letters or conversations which otherwise may be taken out of context or misunderstood.
  • 24.
    1-2 It is importantto gather as much of the following water system information as possible. This information should be available from the primacy agency’s electronic databases and hard-copy files, or the inspector may acquire it during the inspection. Knowledge of the system’s history conveys to water system personnel the inspector’s professionalism and concern for the system. • Prior sanitary survey reports and follow-up documentation on all deficiencies identified in those reports. • Correspondence with the primacy agency. • Compliance monitoring results. • The system’s consumer confidence reports. • Records of enforcement actions or warnings of potential actions. • Plans and schematics on file. For example: • Source protection. • Treatment plant schematics including chemical feed points and treatment processes. • Monitoring, emergency or contingency plans. • Cross-connection control. • Capital improvement plans. 1.2.1.2 Regulations and Standards to Consider The inspector should also review and consider the following materials prior to the inspection (See Chapter 2 for details on regulations): • 40 CFR Part 141 - National Primary Drinking Water Regulations, as adopted by the primacy agency, including, but not limited to, the following subparts: • Subparts C & G, Total Coliform Rule. • Subpart H, Filtration and Disinfection. • Subpart I, Lead and Copper Control. • Subpart L, Disinfection and Disinfection Byproducts. • Subpart P and Subpart T, Enhanced Filtration. • Subpart S, Ground Water Rule. • Subpart W, Source Monitoring for Enhanced Filtration. • Subpart V, Stage 2 Disinfection Byproducts Requirements. • Subpart Y, Revised Total Coliform Rule. • 40 CFR Part 142 National Primary Drinking Water Regulations Implementation, as implemented by the primacy agency. This includes 142.16 that describes the sanitary survey program, among other things, and 142.34 that describes entry of establishments, facilities, or other property.
  • 25.
    1-3 • Additional stateregulations. • State engineering and construction standards. • Minimum operator certification requirements. 1.2.2 Contacts The inspector must contact the water system owner in order to: • Explain the purpose of the sanitary survey. • Schedule a meeting location, date, and time when key personnel will be available. • Discuss any preparations the water system staff will need to make for the sanitary survey. Note: In many cases, the inspector must give written notice prior to conducting the sanitary survey (see 40 CFR Part 142.34). The inspector should verbally contact the water system, followed by a short written notification summarizing the phone call. Primacy agencies have different requirements for written notification (hard copy versus email), so the inspector should know which is required for their agency. In addition to reiterating the content of the phone conversation, written notification should also provide instructions for requesting changes to the schedule. This is also a good opportunity to inform water system personnel of specific information they need to provide. The written notification should occur within a time frame that will give system personnel sufficient time to respond. It is essential that the inspector contact the person directly responsible for the overall management of the system (e.g., CEO, mayor, water commissioner, utility manager) in order to obtain cooperation, gather information, coordinate with other departments or agencies, and transmit the results of the inspection. Prior to the on-site inspection, the inspector should contact the people identified in the table below. Table 1-1: Essential Contacts Contact Purpose Water System Owner and Operator • Obtain cooperation. • Establish survey dates. • Explain purpose of survey. • Request that necessary information be available. • Coordinate gaining entry to site. • Ensure presence of all necessary operational personnel during survey. Other Regulatory Agencies • Ensure cooperation and coordination. • Obtain information pertinent to the system.
  • 26.
    1-4 1.2.3 Schedule Changes Theinspector should make any needed schedule changes as early as possible. An inspector must never postpone or cancel a survey without prior notification to the water system’s representatives. 1.3 Organizing Field Equipment Having the necessary field equipment is critical to conducting a successful sanitary survey. The inspector needs to bring multiple types of equipment for testing, support, and safety. The inspector should also verify all equipment is in good working condition before leaving for the on-site inspection. Equipment that is broken, dirty, in disrepair, out of calibration, or otherwise improperly maintained does not provide accurate, dependable, or reproducible data needed to support potential violations, nor does it provide adequate protection. The following sections provide information on the various types of equipment and their uses as well as a list of recommended equipment. The inspector needs to bring equipment based on the type of system surveyed. Note: Always bring extra batteries into the field and fully charge all equipment before leaving the office. 1.3.1 Field Testing Equipment Properly calibrated testing equipment is necessary to ensure the water system is providing accurate data and is a good way to verify the water system’s equipment is in proper working condition. Many inspectors have the operator take simultaneous measurements using their own equipment as a way to spot check calibrations. Prior to the on-site inspection, it is important for the inspector to calibrate all testing instruments, check expiration dates of reagents and control solutions, and understand current standard testing methods. 1.3.1.1 Recommended Field Testing Equipment List Recommended types of field testing equipment include, but are not limited to, the following: • Portable pH meter (digital, not analog): Used at both surface water and ground water systems. Inspectors use the pH results to assist with 4-log calculations and to ensure systems are using the right chemical treatment for their water. • Pressure gauge: Used at all types of systems to check water pressure in the distribution system. The inspector should know the required minimum pressure and check levels in multiple locations within the distribution system, including the high points and the points furthest from the plant/wells. • Residual chlorine test kit (hand held colorimeter or portable spectrophotometer): Used at all types of systems to record the chlorine (free or total) residual throughout the system. For systems that chloraminate, the inspector should also check for free ammonia, monochloramine and, optionally, nitrite and nitrate to determine if nitrification is occurring.
  • 27.
    1-5 1.3.2 Survey SupportEquipment Survey support equipment is needed to aid the inspector in all aspects of the survey including getting to the location, photo documentation, making observations, performing calculations, and transporting samples (if necessary). 1.3.2.1 Recommended Survey Support Equipment List Recommended types of survey support equipment include, but are not limited to, the following: • Locational equipment (GPS units, maps, smart phones): Used to locate the desired destination. GPS units and smart phones can also provide latitude/longitude information for critical facilities. • Camera with automatic time stamp: Provides photographic evidence of any deficiencies found during the sanitary survey. The time and date stamp document when the inspector took a picture to ensure there are no questions that the inspector took the picture during the sanitary survey. • Calculator: Used to calculate the appropriate CT (residual disinfectant concentration in mg/L multiplied by contact time in minutes) requirements, average daily demand, sufficient capacity, appropriate hydraulic detention time, surface overflow rate, or hydraulic loading rates. • Tape measure: Used to measure distances from potential sources of contamination. The calculator and tape measure are also necessary to determine the size of the different basins, calculate the appropriate hydraulic detention time, surface overflow rate, or hydraulic loading rates. • Watch with second hand or stopwatch function: Used to determine flow rates for calculating CT values or calibrating chemical feed pumps. • Binoculars: Used to observe tank hatches, vents, and overflow pipes that are located at the top of standpipes or elevated storage tanks. • Mirror: Used to look under vents on tanks, wells and air relief valves as well as provide natural lighting by reflecting sunlight into dark areas such as vaults, valve pits, or other dark areas in a water system. • Flashlight: Provide lighting in dark areas such as vaults, valve pits, or other areas in a water system. • Clipboard: Provide support to fill out the sanitary survey forms. Storage clipboards allow an inspector to store completed forms, especially on windy days. • Small rag: Useful for wiping base plates, cleaning faces on gauges and wiping hands. • Ice chest (if taking samples): May be needed to preserve and ship any samples that may have to be taken during the sanitary survey. Some samples, such as, bacteriological samples may also require ice to keep them at an appropriate temperature during transportation.
  • 28.
    1-6 1.3.3 Safety Equipmentand Safety Precautions A critical aspect of the sanitary survey is safety. This is a concern for the field inspector as well as operating staff of the system. Inspectors should create a site-specific safety plan before the inspection that includes a map, verified emergency phone numbers, and directions to the nearest medical facility. Safety hazards vary based on geographic locations and type/complexity of systems. Inspectors should be cognizant of the potential hazards on site and take the appropriate steps to mitigate such hazards. Some examples of safety hazards typically found at water systems include, but are not limited to: • Electrical shock. • Exposure to chemicals. • Entering confined spaces. • High-intensity noise. • Slips, trips, and falls. • Falls from elevated sites. • Environmental exposures (animals, weather, plants, etc.). • Drowning. 1.3.3.1 Recommended Safety Equipment List Prior to the on-site inspection, the sanitary survey inspector should ensure that personal protective equipment is available. We acknowledge that many agencies do not provide this equipment; however, the inspector may wish to provide some of the equipment and ensure that items such as respirators are available at the site. The following is a list of the most frequently used equipment: • Safety hats (hard hats): Provide protection from falling objects and overhead obstructions in pipe galleries. They also may provide a means of identification. • Safety glasses with side shields: Provide eye protection from chemicals and flying objects. Supplement the safety glasses with a full-face shield when working around some chemicals. • Gloves: Provide protection against injuries from chemicals and equipment. Rubberized materials are preferred over leather or cloth gloves. • Steel-toed safety boots: Provide protection from falling objects. • Earplugs or muffs: Provide hearing protection around pumps or other machinery. • Safety harness (fall protection): Protects the wearer from falls while climbing tanks. • Respirators: Protects the wearer from inhaling dust, Hantavirus, organic vapors, and other chemicals. Use this equipment where the atmosphere is not oxygen-deficient.
  • 29.
    1-7 • Self-contained breathingapparatus: Provides protection in oxygen-deficient atmospheres (e.g., confined spaces). Note: Oxygen-deficient atmosphere areas should be labeled as a “permit required confined space” and would require the inspector to be trained and permitted to enter. Most agencies do not allow inspectors to enter confined spaces. Agencies should also train inspectors to recognize confined spaces and to avoid them. 1.4 General Recommendations for On-Site Inspections 1.4.1 Keep Purpose in Mind In conducting the on-site inspection, it is important for the inspector to remember the purpose of the survey. The inspector is to perform an on-site review of the elements of the system utilized for the production and distribution of safe drinking water, including water source, facilities, equipment, operation, maintenance, and management. The inspector should not let the sanitary survey become just an exercise in filling in the blanks on a particular form. An inspector needs to concentrate on identifying potential or existing problems and evaluating their risks. Caution: Inspectors should always avoid instructing water system officials on how to “fix something,” Giving advice on how to correct or fix a problem could lead to enforcement and credibility issues if the system personnel listen to the inspector and “the fix” does not work. 1.4.2 Be Punctual – Work With the Water System Staff The first step in performing a successful on-site inspection is to be punctual. A successful survey requires representatives of the water system to participate in the sanitary survey process, and tardiness is unprofessional and reflects poorly on the inspector’s abilities. Individuals in charge of management, operation, and maintenance should all be involved during the on-site inspection. This provides the inspector with critical information about the system and allows the inspector and staff members to interact and develop a mutual understanding of the purpose of the survey as well as confidence in each other’s abilities. Once the inspector has established this trust, the staff may be willing to be more open about system operations and problems. 1.4.3 Use Forms and Field Notes Field notes, diagrams, and completed inspection forms are critical to the sanitary survey process. A properly designed form, whether paper or electronic, can facilitate and simplify the inspector’s evaluation. A field inspection form is a data management tool. It can serve as a systematic guide during the survey and ensure completeness so the inspector does not overlook critical data or other information. A good form anticipates questions and affords the inspector the opportunity to focus on answers and responses as well as record observations without the distraction of planning the next question. In most cases, the best practice involves the inspector using a standard form to help cover all points of the system, while remembering that filling out a form is not the primary function of the survey. The inspector should understand the purpose of each question. The judicious use of a standard form provides uniformity of inspections, ensures completeness, facilitates recordkeeping, documents observations, and provides a benchmark for future inspections.
  • 30.
    1-8 1.4.4 Communications Duringthe On-Site Inspection 1.4.4.1 Contacts During the Inspection During the inspection, the inspector should work with the owner of the water system and the operational personnel. When meeting with the system owner, the inspector should: • Obtain information pertinent to the system. • Explain required follow up and recommended follow up actions. • Explain what action will result from the survey. When communicating with the operational personnel, the inspector should: • Obtain information pertinent to the system. • Explain required and recommended actions. 1.4.4.2 Relationship with Operator Establishing a good relationship with the operational personnel is important to the success of the survey. The operator of the water system occupies a unique position in the water supply industry. In many cases, the operator is responsible for all aspects of the system from operation of the plant to budgeting for equipment. In small systems especially, the operator may also be responsible for other services in the community (e.g., wastewater treatment, road repair). Consequently, the operator may have a basic working knowledge of his water system and processes, but not necessarily knowledge of the regulatory requirements. 1.5 Sequence of Activities The inspector should conduct the on-site survey in a systematic fashion. The sequence should include the following steps (details of these steps follow): • Initial briefing and introductions. • Background review. • Management assessment. • Facility walk-through. • Inspector’s assimilation of findings. • Debriefing. 1.5.1 Initial Briefing and Introductions After introductions, the inspector should describe the sequence of activities to complete during the on-site inspection. This is also an opportunity for the inspector and water system personnel to discuss concerns not directly related to the inspection (e.g., proposed regulations or activities of the primacy agency). The water system should have management, operations, and maintenance staff represented at this briefing.
  • 31.
    1-9 1.5.2 Background Review Duringthis phase, the inspector should review previous sanitary survey reports and discuss actions taken by the water system on any sanitary deficiencies identified or cited in that report. In addition, basic information should be obtained or verified, including (but not limited to): • Number and classification of connections and the population served. • A schematic of the system layout (or a map). • A description of the major facilities and future improvement. 1.5.3 Management Assessment Although the owners and managers are the primary focus, the operations and maintenance personnel should also participate. During this phase, the inspector will assess the adequacy of programs and procedures including: • SDWA compliance sampling and site plans. • Source protection. • Cross-connection control. • Contingency and emergency plans. • Corrosion control. • Safety. • Training. • Distribution system flushing and pressure testing. • Financial management. • Capital improvement. • Recordkeeping. • Preventive maintenance and standard operating procedures. The inspector will also assess how the utility deals with customer complaints and whether staffing is adequate. Does the system have an updated map of their system and have they indicated on the map (e.g., with push pins) locations of customer complaints, locations of line breaks, points of low residual, positive Total Coliform Rule (TCR) samples, or other problem areas? Finally, the inspector should review the operational records from in-house monitoring, records required for compliance reporting, and records the water system is not required to submit to the primacy agency in preparation for the next phase of the on-site inspection. 1.5.4 Facility Walk-Through It is imperative to the successful outcome of a sanitary survey that the individuals responsible for operation and maintenance (O&M) participate in this phase. The inspector should begin at the water source and follow the “water stream” to work through the entire system including the
  • 32.
    1-10 water distribution systemand the pumping and storage facilities. At each step in the process, the inspector should conduct visual observations and ask the O&M staff specific questions about the process, equipment, and O&M strategies employed. The manner in which the inspector poses questions to the operators should not be suggestive in nature. For example, an accurate answer is more likely to be obtained when asking, “How do you determine when to backwash a filter?” rather than, “You always backwash the filter prior to an increase in filtered water turbidity, right?” Another rule of thumb is never to assume anything. Even if the inspector believes they know the answer to a particular question, the inspector should ask the question anyway. The answer will build on the inspector’s assessment of the operator’s knowledge and may lead to an additional series of questions regarding the system. Note: The inspector should not attempt to adjust or operate any of the plant equipment. 1.5.5 Inspector’s Assimilation of Findings At this stage, the inspector should work alone to complete the survey form and to identify and prioritize the sanitary deficiencies found during the survey. Top priority should be given to the sanitary deficiencies that are determined to pose an imminent threat to public health, then to significant deficiencies, then other deficiencies, and finally to recommendations. The primacy agency should provide and maintain all current definitions and policies for making determinations of significant deficiencies. The inspector, however, should always be free to act on deficiencies he or she sees which fall outside the boundaries of anticipated significant deficiencies. The inspector should be able to identify new types of significant deficiencies on site if necessary. This is the time when the inspector should, if necessary, seek advice from peers or supervisors in the primacy agency office regarding the findings and required actions. The inspector should also use this time to prepare for the debriefing. 1.5.6 Debriefing Prior to leaving the site, the inspector should meet again with the individuals who attended the initial meeting and brief them on the sanitary deficiencies identified in order of priority. The inspector should explain what action will result from the survey and advise the water system representatives that the primacy agency will provide them with a sanitary survey report of findings, required action, and recommendations. If possible, the inspector should provide the system with a preliminary list of significant deficiencies and lead a discussion of the resolution of those deficiencies. The sanitary survey report includes an official list of significant deficiencies, which require system follow-up. The inspector should discuss all-important issues in the debriefing so there are no surprises in the final written report. Caution: When going through the findings, inspectors may be tempted to tell water system officials how to “fix something,” but they should not specify exactly how to fix it. Doing so could lead to enforcement and credibility issues if the system personnel do what the inspector says and it does not work. Also, determining deficiencies is an important task of the inspector. If there is any doubt while on site, the inspector may be better off to return to the office and discuss findings before making specific deficiency determinations or setting deficiency priority (e.g. significant). 1.5.7 Follow-up Follow-up activities include:
  • 33.
    1-11 • Finalizing documentationand prioritization of all sanitary deficiencies and recommendations identified during the on-site inspection. • Completing the formal sanitary survey report. The inspector should include corrective action requirements for any significant deficiencies identified, as well as timelines for completion, even though not required by regulation. Also, identify any differences between the findings in the written report, the oral debriefing, or any preliminary deficiency list provided to the water system. • Notifying appropriate organizations of the results. • Following up on questions asked by water utility personnel. 1.6 The Sanitary Survey Report 1.6.1 Importance of the Report The sanitary survey report is a critical component of the sanitary survey for use in tracking compliance with safe drinking water statutes and regulations as well as for evaluating a system’s compliance strategy. Perhaps more importantly, it provides a record that supports enforcement actions if deficiencies are not addressed and to allow future inspectors to track progress. It also provides information needed during emergencies and when technical assistance providers are on site. It is the inspector’s responsibility to the water system and to the public to provide an accurate and detailed description of improper operation or other system deficiencies in a sanitary survey report. 1.6.2 Official Notification In most cases, the sanitary survey report constitutes the official written notification of the inspection and significant deficiency determination results. Receipt of the report starts the clock for correcting significant deficiencies. Some primacy agencies use the preliminary deficiency list (if written and left with the water system staff) discussed during the on-site debriefing as official written notification of significant deficiencies, but they are not required to do so. Undocumented verbal communication is not reliable. The inspector must document important information, such as violations and deficiency determinations, in the sanitary survey report. The completed report should reiterate the information presented to system personnel by the inspector at the end of the on-site inspection. If the written report is different from the oral debriefing, the inspector should inform the water system manager in advance. The report itself can be as brief as a letter, if the inspector found few deficiencies, but it must be as detailed as necessary to convey to the water utility what deficiencies exist. However, by just listing the deficiencies, the inspector may not accomplish the objective of informing the system of a problem and seeking its correction. Primacy agencies sometimes incorrectly assume all managers or operators can understand the inspector’s comments and technical references. Even if the system personnel understand what the inspector wants, it is quite unlikely they will complete corrective actions if they do not understand the reason for doing them. The report should describe the problems in basic terms and explain the reasons for correction. An explanation of how a problem adversely affects the system is more likely to motivate the system operator to correct it. The primacy agency should send the report via certified mail with a “return receipt requested” to document receipt by the system.
  • 34.
    1-12 1.6.3 Report Content Thereport should contain: • The date the survey was conducted and by whom. • The names of those present during the survey, besides the inspector. • A schematic of the system and, when possible, photographs of key components and significant deficiencies. • A schematic of any treatment facilities showing locations of chemical injection. • The survey findings and a discussion of any differences in the findings presented in the debriefing and the final report. • The inspector’s findings regarding current compliance monitoring plans including sampling frequency, number of samples, sample locations and collection dates, if required, as applicable for the Total Coliform rules, Lead/Copper, Stage 2 DBP, Ground Water rule, etc. • A list of all significant deficiencies with corrective action requirements and deadlines for completion. • The inspector’s signature, and in some cases the water system official’s signature. • A listing of all other sanitary deficiencies, in order of priority, for the water system to address to enhance operations and safety. 1.6.4 Importance of Documentation No matter how professional the sanitary survey was, how involved or detailed the field aspects of the survey were, or how many deficiencies were pointed out verbally during the inspection, it is important for the primacy agency to document all findings in writing so the system’s owners and managers are made aware of deficiencies that require correction. In addition, if the inspector does not properly document all details, the state will find the use of any of the survey findings for enforcement purposes very difficult. Remember, when the state finds and cites significant violations, a compliance schedule, consent agreement, administrative order, or litigation may be necessary to ensure prompt and proper correction. 1.7 Corrective Action 1.7.1 Correcting Significant Deficiencies Corrective action is required for any system with a significant deficiency identified by the primacy agency (Ground Water Rule and 40 CFR Part 142 National Primary Drinking Water Regulations Implementation of the Interim Enhanced Surface Water Treatment Rule (IESWTR)). The period for completion depends on the system type. 1.7.2 Correcting Sanitary Defects If the state conducted a sanitary survey instead of a level 2 assessment, triggered under the Revised Total Coliform Rule (RTCR), in addition to identifying deficiencies as significant, the
  • 35.
    1-13 inspector will needto identify any that are sanitary defects. The water system has a very short (30-day) timeframe in which to address these defects or have an approved schedule for correction under the RTCR. 1.7.3 Technical Assistance and Training Water systems can address many of the items identified as sanitary deficiencies in-house. However, some deficiencies may be complex and require outside assistance. While water systems strive to be in compliance, many water systems with compliance issues may need some assistance in determining the cause of their performance problems and in the planning of corrective actions needed to achieve compliance. This assistance often takes the form of training and on-site, over-the-shoulder, system-specific technical assistance. The integration of training and technical assistance into the overall enforcement strategy has, in many states, proven to be the most effective method for achieving and maintaining compliance while promoting a partnership between the water system, the regulatory staff, and the training and technical assistance providers. Technical assistance and training resources vary from state to state, can take many forms, and involve a variety of approaches. Many states have developed a means to provide assistance to a water system, either at the request of the water system or through a referral from a sanitary survey inspector. In most states, the primacy agency provides some form of technical assistance, either directly or through an agency grantee (a technical assistance provider). Often, field inspectors provide resource listings, referrals, and other forms of general technical assistance. Many states have an environmental training center or other organization that can provide more specific technical assistance to explain and demonstrate exactly what to do to resolve problems. Private-sector consulting services are also available in most states. 1.7.4 Limitations Inspectors should temper any advice with a realistic assessment of their personal experience and knowledge of the problem. If the inspector provides erroneous information, money, time, and credibility could be lost, while the sanitary deficiency continues. Inspectors who have limited experience should refer problems to more experienced personnel. Incorrect technical assistance that does not correct the problem can have ramifications ranging from loss of credibility to challenges to authority regarding corrective action.
  • 36.
    2-1 2 Regulations In additionto specifying Maximum Contaminant Levels (MCLs), the federal drinking water regulations address sampling location, frequency, recordkeeping, and other requirements that should be subject to compliance determinations during a sanitary survey. The inspector should also review variances, exemptions and any enforcement orders. Though not addressed in this chapter, there may also be other requirements found in national safety standards, such as those promulgated by the Occupational Safety and Health Administration that the inspector should also review during the survey. There are many requirements for each drinking water regulation; however, in this chapter, we only focus on the aspects of regulations the inspector needs to address during the sanitary survey. The regulations provide protection at each of the barriers within the multiple barrier approach. The suite of surface water treatment rules and Ground Water Rule cover the source barrier. The chemical rules (e.g., Phase I, II and V, arsenic, etc.), along with the suite of surface water treatment rules, address the treatment barrier. The Disinfectants/Disinfection Byproduct Rules and the Total and Revised Total Coliform rules address the distribution barrier. The rules mentioned above are not a comprehensive accounting for all three barriers so the inspector must understand all applicable regulations and how they relate to the multiple barrier approach to protecting public health with respect to public water systems, in order to make on-site compliance determinations. 2.1 Learning Objectives By the end of this chapter, students should be able to: • Explain the importance of making an accurate determination of population served by the system and number of service connections. • Determine if a water system is a public water system subject to EPA regulations, as adopted by the state. • Properly classify a public water system as community, non-transient non-community, or transient non­community. • Explain the importance of and determine whether the system has made modifications to its sources, treatment, or distribution system without state approval. • Describe the on-site compliance determinations that should be made for various provisions of the National Primary Drinking Water Regulations (NPDWRs) adopted by the state, including: siting; total coliform monitoring; triggered source monitoring; surface water treatment; lead and copper; organic, inorganic and radiological contaminants; disinfectants and disinfection byproducts; reporting; recordkeeping; and public notification. • Determine whether the system is operating in accordance with the National Secondary Drinking Water Regulations (NSDWRs) as adopted by the state.
  • 37.
    2-2 • Determine compliancewith American National Standards Institute (ANSI) and NSF International (formerly National Sanitation Foundation) standards for direct and indirect additives. • Determine if the system is complying with conditions set forth in variances, exemptions, or compliance orders. 2.2 Data Collection When determining a system’s compliance with regulatory requirements, the inspector must rely on information available in the primacy agency office as well as information gathered in the field. Various reports, correspondence, engineering studies, and monitoring data are important sources of information for determining a system’s compliance. This information is typically available in the office for review and evaluation. Prior to an inspection, the inspector should review the following: • Any violations of MCLs, treatment techniques, monitoring, or reporting. • Current information on population served and number of service connections. • State-approved coliform sample siting plan. • State-approved disinfection byproduct sample siting plan. • State-approved lead copper sample siting plan. • State-approved determination of 4-log treatment of viruses, (using inactivation, removal, or a primacy agency-approved combination of 4-log inactivation and removal) before or at the first customer for all ground water sources, if the system is claiming 4-log credit for any of its ground water sources for Ground Water Rule compliance. • Consistency with NSDWRs. • Variances or exemptions that apply to the system. • Compliance orders that apply to the system. • Documentation of state approval for the installation of new facilities or changes to the system. Upon arrival at the system, the inspector should ensure the information evaluated prior to the inspection is still valid and consistent with the records held at the primacy agency. The inspector should also review as appropriate: • Monthly operating reports (MORs). • Daily logs appropriate to the treatment in use. • Calibration logs for instruments in use. 2.3 Regulations and Standards to Consider The inspector should review the following regulations and standards prior to the inspection: • EPA or state primary and secondary drinking water regulations. • State design standards or guidelines.
  • 38.
    2-3 • ANSI/NSF standards. 2.4Drinking Water Regulations 2.4.1 Safe Drinking Water Act of 1974 and Amendments In recognition of potential public health risks associated with the nation’s drinking water, Congress enacted the Safe Drinking Water Act (SDWA) in 1974. Congress intended for the Act to ensure the delivery of safe drinking water by public water systems and to protect underground water sources from contamination. In 1986, Congress greatly expanded the number and type of contaminants to be regulated and strengthened EPA’s enforcement authority by amending SDWA. In 1996, Congress amended SDWA once again to include provisions for state revolving loan funds to improve water systems. Because of these amendments, EPA was also required to base regulations on cost/benefit and risk assessment considerations, identify best available treatment technologies, and establish guidelines for operator certification and for providing monitoring relief to small systems. 2.4.2 Code of Federal Regulations EPA publishes (promulgates) final regulations in the Federal Register, and annually, EPA regulations are published in Title 40 of the Code of Federal Regulations (CFR). The agency has incorporated, or codified, all NPDWR under 40 CFR Part 141, which is divided into subparts and sections for specific regulatory provisions. For example, Section 21 of Part 141 (40 CFR 141.21) codifies the coliform monitoring requirements. The CFR is available from the Government Printing Office in Washington, D.C., and can be accessed electronically from the internet (please see National Primary Drinking Water Regulations in Appendix A). The EPA Drinking Water Hotline (1­800-426-4791) provides another easily accessible source of information on SDWA regulations. 2.4.3 National Primary Drinking Water Regulations SDWA requires EPA to establish regulations for contaminants in drinking water that may have an adverse effect on public health. These NPDWRs (40 CFR Part 141) include MCLs or treatment techniques for more than 100 contaminants. The regulations also specify monitoring and testing procedures. 2.4.4 NPDWR Implementation Congress intended state agencies to primarily implement SDWA requirements. Therefore, the SDWA requires EPA to define the requirements for allowing state primary enforcement (“primacy”) agencies to implement and enforce state regulations. EPA codified these primacy requirements in 40 CFR Part 142, National Primary Drinking Water Regulations Implementation. For this delegation of authority, states must promulgate regulations at least as stringent as the federal regulations. When EPA promulgates new regulations, the states must submit primacy revision packages containing the new state regulations to EPA for review and approval in order to maintain primacy. In primacy states (every state but Wyoming and the District of Columbia), state personnel derive their authority from state, rather than federal, drinking water regulations. Therefore, the inspector needs to apply the equivalent state regulations to any federal regulations cited in this guide.
  • 39.
    2-4 2.4.5 National SecondaryDrinking Water Regulations EPA also sets National Secondary Drinking Water Regulations, codified in 40 CFR Part 143. These regulations address drinking water contaminants that primarily affect the taste, odor, or color of drinking water. Such aesthetic considerations are a concern because where a system provides water that is unappealing to the senses, its users may seek alternative supplies, some of which may be unsanitary. In addition, there may be health implications at considerably higher concentrations of these contaminants. Although not federally enforceable, EPA intended for these regulations to be guidelines for states and public water systems. Individual states may choose to adopt and enforce these secondary regulations. 2.4.6 Public Water Systems 2.4.6.1 Definition A public water system (PWS) is a system for providing water for human consumption through pipes or other constructed conveyances, which has at least 15 service connections or regularly serves at least 25 people at least 60 days a year. A system includes any collection, treatment, storage, and distribution facilities under control of the system operator and used primarily in connection with its operation and any collection or treatment facilities not under such control that are used primarily in connection with such a system. The inspector will determine if the system continues to meet the definition of a public water system by verifying answers to the following questions during the survey: • How many people does the system serve? • How many service connections does the system have? • Does the system provide service at least 60 days a year? This information determines whether a system meets the definition of a public water system in SDWA and whether it is subject to NPDWRs. 2.4.6.2 Types of Systems Although NPDWR apply to all public water systems, the regulations make a distinction between community and non-community systems. The regulations also make a distinction between transient and non-transient non-community systems. 2.4.6.2.1 Community Water Systems Community water systems (CWS) serve residential populations of at least 25 people or 15 service connections year-round. Users of community systems may be exposed to any contaminants in the water supply over an extended period (e.g., years) which would subject them to both acute and chronic health effects. 2.4.6.2.2 Non-Community Water Systems Non-community water systems do not serve permanent residential populations. Non-community systems are either non-transient or transient systems. • Non-transient non-community water systems (NTNCWS) serve on a regular basis at least 25 of the same persons at least 6 months per year. Like community systems, these
  • 40.
    2-5 systems can exposeusers to drinking water contaminants over an extended period (subjecting users to risks of both acute and chronic health effects). Schools, churches and factories that have their own water systems fall under this definition. • Transient non-community water systems (TNCWS) serve short-term users. As a result, user-exposure to any contaminants would only be brief (i.e., no chronic exposure), but users would still be subject to experiencing acute health effects. Examples of TNCWS are restaurants, hotels, campgrounds or gas stations that have their own water systems. These distinctions, and others such as service population and water source, are important because the primacy agency regulates these systems differently. Population served determines sampling frequency in a number of regulations such as the Total Coliform Rule, Lead and Copper Rule, inorganic chemicals, and the suites of rules covering disinfectants/disinfection byproducts and surface water treatment. Most water system operators know precisely how many individual service connections their system has, but not necessarily the population served by the system. Some states use a factor (i.e., estimated persons per connection) multiplied by the number of service connections to estimate population. During the survey, the inspector should determine if the state records on population and number of service connections are up-to-date. The state will have to evaluate how changes in the population affect the system’s status relative to any SDWA requirement. An inspector must evaluate a system’s characteristics for proper classification and application of regulations. 2.4.7 Sanitary Surveys and the Regulations 2.4.7.1 Sanitary Survey Definition and Frequency 2.4.7.1.1 Definition Sanitary survey means an on-site review of the water source, facilities, equipment, operation and maintenance of a public water system for evaluating the adequacy of such source, facilities, equipment, operation and maintenance for producing and distributing safe drinking water. Clearly, the definition requires a comprehensive review of the entire water system from source to treatment to storage and distribution, including operation and maintenance of all the system’s facilities. 2.4.7.1.2 Sanitary Survey Frequency The primacy agency must conduct sanitary surveys no less than once every three years for community water systems and no less than once every five years for non-community water systems to meet the requirements under Section 40 of CFR Part 142.16(o) (2) for groundwater systems and under 40 CFR 142.16(b) for subpart H systems. Subpart H systems are those whose sources include surface water or Ground Water Under the Direct Influence of Surface Water (GWUDI) or both. Primacy agencies may choose to conduct sanitary surveys more frequently than the minimum requirements. The state may also conduct surveys in a phased approach, evaluating specific elements over multiple visits; however, the state must evaluate all eight elements within the required period. Primacy agencies may reduce the frequency of sanitary surveys of community
  • 41.
    2-6 water systems toonce every 5 years if the system meets either of the following requirements. (1) The water system must provide at least 4-log treatment of viruses (using inactivation, removal, or a primacy agency-approved combination of 4-log inactivation and removal) before or at the first customer for all its ground water sources. (2) The water system must have an outstanding performance record (as determined by the primacy agency and documented in previous sanitary surveys) and have no history of total coliform MCL or monitoring violations since the last sanitary survey. 2.4.7.2 Deficiencies, Defects and Significant Deficiencies Sanitary deficiencies are defects in a water system’s infrastructure, design, operation, maintenance, or management that cause, or may cause interruptions to the “multiple barrier” protection system and adversely affect the system’s ability to produce safe and reliable drinking water in adequate quantities. A sanitary defect, as defined in 40 CFR 141.2, is “a defect that could provide a pathway of entry for microbial contamination into the distribution system or that is indicative of a failure or imminent failure in a barrier that is already in place.” The Ground Water Rule introduced the definition for significant deficiencies for systems using ground water under 40 CFR 142.16(o)(2)(iv): Significant deficiencies are serious sanitary deficiencies identified in water systems which include, but are not limited to, defects in design, operation, maintenance, or a failure or malfunction of the sources, treatment, storage, or distribution system that the primacy agency determines to be causing, or has potential to cause, the introduction of contamination into the water delivered to consumers. The Ground Water Rule also requires primacy agencies to define at least one significant deficiency for each of the 8 essential elements of a sanitary survey. For subpart H systems, the regulations are not as prescriptive. Under 40 CFR 142.16(b)(1)(ii): The State must describe how it will decide whether a deficiency identified during a sanitary survey is significant for the purposes of paragraph (b)1)(ii) of this section. Paragraph (b)(1)(ii) requires: States must … assure that PWSs respond in writing to significant deficiencies outlined in sanitary survey reports … no later than 45 days after receipt of the report, indicating how and on what schedule the system will address significant deficiencies noted in the survey. 2.4.7.3 Correcting Significant Deficiencies Corrective action is required for any system with a significant deficiency identified by the primacy agency (surface water treatment regulations, Ground Water Rule, and 40 CFR Part 142 National Primary Drinking Water Regulation Implementation). 2.4.7.3.1 Ground Water Systems Per the Ground Water Rule, if the state identifies a significant deficiency at a ground water system, the system must implement one or more of the following corrective action options:
  • 42.
    2-7 • Correct allsignificant deficiencies. • Eliminate the source of contamination. • Provide an alternate source of water. • Provide treatment, which reliably achieves 99.99 percent (4-log) inactivation or removal of viruses. Once the system receives written notification from the state, with findings of one or more significant deficiencies, the system has 30 days from receipt of that written notification to consult with the primacy agency regarding any required corrective actions. In many cases, the primacy agency tells the system what actions need to be taken (not exactly how to correct deficiencies) and gives the system a deadline in the original written notification, constituting the consulting requirement. The system then has 120 days (or earlier if directed by the primacy agency) from receipt of the original written notification to complete the required corrective action or be on a plan and schedule approved by the primacy agency 2.4.7.3.2 Surface Water Systems If the state identifies a significant deficiency at a surface water system, the system has 45 days from receipt of written notification to respond to the primacy agency in writing concerning a corrective action plan to address the significant deficiencies. The primacy agency determines the schedule for completion. Note: In order to maintain consistency within the sanitary survey program, many primacy agencies use the same corrective action requirements regardless of the type of system. As long as the primacy agency program is as stringent as the federal regulations, the state can use the same requirements for both system types. 2.4.7.4 Siting Requirements: Advance Notification Section 40 of CFR 141.5 requires water systems to notify the state before a new water system is constructed or the capacity of an existing system is increased. The regulation also specifies that the system should avoid siting in areas subject to earthquakes, floods, and fires. The inspector should be alert to any changes made by the system without the primacy agency’s approval. The inspector should evaluate all facilities, particularly wells, subject to flooding and recommend protection, if lacking, for those facilities located in flood plains. EPA’s Flood Resilience Guide: A Basic Guide To Water and Wastewater Utilities will prepare an inspector for this task. 2.4.8 Total Coliform Requirements 2.4.8.1 Sample Site Plan The Total Coliform Rule (TCR) and Revised Total Coliform Rule (40 CFR 141.21 & 40 CFR 141.802) require a water system to have a written sample siting plan that is subject to state approval. The inspector must verify that the system has an approved plan and is using it. The inspector must also evaluate the plan to determine if it meets the requirements of the RTCR. The rule requires collecting samples “which are representative of water throughout the distribution
  • 43.
    2-8 system.” The rulealso contains a table that shows the minimum number of samples required based on population served. In reviewing the sample-siting plan, the inspector should note that more samples than the minimum might be required in order to be “representative.” Some issues to be concerned with include failing to meet CT at or before the first customer, dead ends, long residence time in the system, multiple sources, storage tanks, areas of low pressure, biofilm, and cross-connections. Furthermore, the inspector should review and document in the sanitary survey report the findings from the Revised Total Coliform Rule special monitoring evaluation, which the inspector is required to conduct during sanitary surveys for small ground water systems. 2.4.8.2 Reduced Monitoring Sanitary surveys can be used to allow the RTCR monitoring frequency for certain community systems serving fewer than 1,000 persons to be reduced to no less than one coliform sample per quarter (40 CFR 141.21(a)(2)). Surveys also can be used as a basis for reduced monitoring for certain non­community systems (40 CFR 141.21(a)(3)). 2.4.8.3 Variances Primacy agencies may grant variances from the total coliform MCL if a system can demonstrate to the state that a violation is due to persistent bacterial regrowth in the distribution system, rather than from a treatment lapse, a treatment deficiency, or a problem in the operation or maintenance of the distribution system (40 CFR 141.4(b)). 2.4.8.4 Sanitary Survey Instead of a Level 1 or Level 2 Evaluation When monitoring results trigger a level 1 or level 2 assessment under RTCR, systems may have a sanitary survey performed within 30 days. When this is triggered, special care must be made to annotate sanitary defects, defined as “…a defect that could provide a pathway of entry for microbial contamination into the distribution system or that is indicative of a failure or imminent failure in a barrier that is already in place” (40 CFR 141.2). Additionally, the system must correct any sanitary defect or have an approved schedule of corrective actions within 30 days after triggering the assessment. 2.4.9 Ground Water Rule Under 40 CFR Parts 9, 141.400 and 142, the Ground Water Rule addresses risks posed to drinking water from microbiological contaminants in ground water sources through a risk- targeting approach that relies on four major components: 1. Periodic sanitary surveys of ground water systems that require the evaluation of the eight essential elements and the identification of significant deficiencies (e.g., a well located near a leaking septic system). Primacy agencies were to complete the initial survey by December 31, 2012 for most CWSs and by December 31, 2014 for CWSs with outstanding performance and for all non-community water systems. 2. Source water monitoring to test for the presence of enterococci or coliphage in raw source water samples. There are two monitoring provisions:
  • 44.
    2-9 • Triggered monitoring:For systems that do not already provide treatment that achieves at least 99.99 percent, (4-log) inactivation or removal of viruses and that have a total coliform-positive routine sample under Total Coliform Rule sampling in the distribution system. • Assessment monitoring: As a complement to triggered monitoring, a primacy agency has the option to require systems, at any time, to conduct source water assessment monitoring to help identify high-risk systems. 3. Corrective actions required for any system with a significant deficiency or source water fecal contamination. The system must implement one or more of the following corrective action options: • Correct all significant deficiencies. • Eliminate the source of contamination. • Provide an alternate source of water. • Provide treatment, which reliably achieves 99.99 percent (4-log) inactivation or removal of viruses. 4. Compliance monitoring to ensure that treatment technology installed to treat drinking water reliably achieves at least 99.99 percent (4-log) inactivation or removal of viruses at or before the first customer of each ground water source. During the inspection and in addition to the check of source waters and components at ground water systems, the inspector should examine the sanitary conditions around the source water monitoring points. The inspector should determine whether the system has addressed past significant deficiencies or source water fecal indicator positives using at least one of the four required corrective actions listed in component #3 above. For any systems approved for compliance (4-log) monitoring, the inspector should check the sanitary conditions at the compliance monitoring point(s). The inspector should also review the monthly operating report to make sure the system is monitoring disinfectant residuals as required. In addition, the inspector should determine if any changes have occurred that would require a re-evaluation of the minimum residual required to achieve 4-log before the first customer for each ground water source (e.g., additional wells, changes to disinfection, additional distribution line, new booster pumps, etc.). 2.4.10 Surface Water Treatment Rule 2.4.10.1 General Requirements Subpart H of 40 CFR Part 141 (Filtration and Disinfection) contains requirements for the filtration and disinfection of surface water supplies and ground water supplies under the direct influence of surface water (defined as “subpart H systems”). The treatment technique requirements consist of installing and properly operating water treatment processes that achieve 99.9 percent removal and/or inactivation of Giardia lamblia (G. lamblia) and 99.99 percent removal and/or inactivation of viruses. Water systems have two ways of complying with the Surface Water Treatment Rule (SWTR) requirements. They can meet all the filtration avoidance criteria in 40 CFR 141.71 and provide 99.9 percent G. lamblia and 99.99 percent virus
  • 45.
    2-10 inactivation by disinfection,or they can provide both filtration and disinfection that, in combination, meet the removal/ inactivation requirements for G. lamblia and viruses. 2.4.10.2 Ground Water Under the Direct Influence of Surface Water As noted above, systems that use ground water sources under the direct influence of surface water are subject to the SWTR and, therefore, are included in the definition of subpart H systems. The state may base its determination for direct influence on site-specific measurements of water quality (such as the occurrence of insects, algae, or pathogens such as G. lamblia or Cryptosporidium) or documentation of well-construction characteristics and geology with field evaluations. A source subject to flooding, or the alteration of a stream course bringing it closer to a well, might result in a change in water quality. During the survey, the inspector should evaluate any conditions that might cause the state to alter its determination that surface water is influencing a ground water source. 2.4.10.3 No Recontamination Water cannot be subject to recontamination by surface water after treatment, for example, by using open, uncovered finished water storage or transmission lines subject to runoff. During a sanitary survey, the inspector should verify that treated water is not subject to recontamination by surface water. 2.4.10.4 First Customer The system must meet the removal and/or inactivation requirements at or before the first customer. In many cases, the first customer is the treatment plant itself, and, in some cases, the system may connect a new first customer to the distribution system. The inspector should identify the first customer and ensure the system is meeting the requirements for removal and/or inactivation at that point. 2.4.10.5 Entry Point Residual The disinfectant residual entering the system cannot be less than 0.2 mg/L for more than 4 hours and the system must provide continuous monitoring. The only exception is for systems that do not provide filtration and serve fewer than 3,300 persons; such systems may take grab samples at specified frequencies in lieu of continuous monitoring (40 CFR 141.74(b)(5)). Table 2-1: Grab Samples Frequency by Population System Size by Population Grab Samples per Day <500 1 501 - 1,000 2 1,001 - 2,500 3 2,051 - 3,300 4 2.4.10.6 Residual in the Distribution System A disinfectant residual must be detectable in 95 percent of the distribution samples taken in the system. Samples must be taken at the same time and place as coliform samples. Systems may also use a heterotrophic plate count to determine disinfectant residual compliance. During the
  • 46.
    2-11 sanitary survey, theinspector should verify the system meets all conditions for disinfection. The inspector should also determine whether the system measures residuals at the proper locations throughout the distribution system as well as at times required by specific regulations (e.g., TCR). Testing techniques should also conform to the rule. 2.4.10.7 Qualified Personnel The SWTR requires that qualified personnel operate each subpart H system. Compliance with the state’s operator certification program meets this requirement, and the inspector should verify operator licenses during the survey. 2.4.10.8 Unfiltered System Requirements To avoid filtration, a subpart H system must meet stringent source water quality and site-specific conditions designed to ensure safe drinking water. • Source quality conditions: Unfiltered systems must monitor raw source water immediately before the first point of disinfection and have a fecal coliform concentration of less than or equal to 20/100 mL, or a total coliform concentration of less than or equal to 100/100 mL in at least 90 percent of all measurements over the previous 6 months. In addition, the turbidity of the source water cannot exceed 5 Nephelometric Turbidity Units (NTU) at the same sampling point (with some exceptions). • Site-specific conditions: In addition to the source water quality conditions, systems meeting the filtration avoidance criteria must comply with disinfection requirements that: • Ensure 3-log G. lamblia and 4-log virus inactivation. The regulations specify CT values that the water system must meet at or before the first customer. • Provide redundancy of components or automatic shut-off when the residual is < 0.2 mg/L. • Ensure a residual of 0.2 mg/L entering the distribution system. • Provide a detectable residual in the distribution system when measured at the same time and place where coliform samples are collected. • Maintain a watershed control program that minimizes the potential for contamination by G. lamblia, viruses, Cryptosporidium, and other pathogens. • Be subject to an annual on-site inspection. On-site inspections for systems subject to the filtration avoidance criteria are similar to sanitary surveys, and the state may accomplish this during sanitary surveys. Items to be reviewed include: • Effectiveness of watershed control. • Condition of intake. • Disinfection facilities and their operation and maintenance (O&M). • Operating records. • Effectiveness of disinfection. • Needed improvements.
  • 47.
    2-12 • Waterborne diseaseoutbreaks. • Compliance with MCLs for total coliform and Stage 1 disinfectants and disinfection byproducts. • Maintain compliance with the Total Coliform Rule and the Disinfectants/ Disinfection Byproducts Rule. During the sanitary survey, the inspector should review the system’s data on raw water quality and its source water protection program. The inspector also should check the available CT for compliance. 2.4.10.9 Filtered System Requirements Systems providing filtration must meet the requirements described below. 2.4.10.9.1 Pathogen Filtration Performance Requirements Systems that are unable to comply with all criteria to avoid filtration must meet the 3-log G. lamblia and 4-log virus inactivation and/or removal requirements by using both an appropriate filtration technology and disinfection. Systems must measure compliance with the treatment technique requirements of the SWTR against turbidity performance criteria that is specific to the type of filtration in use (subject to primacy agency approval) and adequate CT to inactivate the remaining G. lamblia and viruses. 2.4.10.9.2 Turbidity Requirements The regulations for surface water treatment establish minimum turbidity performance criteria for the various filtration methods. Regardless of the filtration method, the turbidity level of filtered water must never exceed 5 NTU. 2.4.10.9.3 Conventional and Direct Filtration Filtered water turbidity must be less than or equal to 0.3 NTU in 95 percent of the measurements taken every month. At the primacy agency’s discretion, levels less than or equal to 1 NTU may be permitted in 95 percent of the measurements on a case-by-case basis. If the state permits levels greater than 0.3 NTU at the system, the inspector should verify the system complies with any conditions placed on it by the primacy agency, such as redundant disinfection facilities. The turbidity level of representative samples of a system's filtered water must not exceed 1 NTU at any time. 2.4.10.9.4 Slow Sand Filtration Filtered water turbidity must be less than or equal to 1 NTU in 95 percent of the measurements taken every month. A primacy agency may allow a higher level of turbidity if it determines that there is no significant interference with disinfection at the higher turbidity level. The turbidity of slow sand filter effluent must never exceed 5 NTU. The inspector should verify the system meets these conditions if the primacy agency allows the system to exceed 1 NTU.
  • 48.
    2-13 2.4.10.9.5 Diatomaceous EarthFiltration Filtered water turbidity must be less than or equal to1 NTU in 95 percent of the measurements, after all measurements for each month have been taken. The turbidity level of representative samples must not exceed 5 NTU at any time. 2.4.10.9.6 Other Filtration Technologies Alternative filtration technologies must be capable of consistently achieving 99.9 percent and 99.99 percent removal and/or inactivation of G. lamblia cysts and viruses, respectively. The original SWTR requires systems using alternative filtration technologies to comply with the turbidity performance criteria for slow sand filtration (40 CFR Section 141.73(b) and (d)). With the promulgation of the Long Term 1 Enhanced Surface Water Treatment Rule in January 2002, subpart H systems, regardless of population, must demonstrate to the primacy agency that alternative technologies are capable of 99 percent Cryptosporidium, 99.9 percent G. lamblia, and 99.99 percent virus removal and/or inactivation. For systems that can make this demonstration, the primacy agency establishes turbidity performance criteria at a level that ensures adequate pathogen removal. 2.4.10.9.7 Turbidity Measurements The inspector should verify that the water system is taking the required turbidity measurements, that the results are accurate and reliable, that sampling frequency, locations, and analytical procedures are appropriate, and that the turbidity readings comply with the SWTR requirements. The inspector should check for compliance with CT requirements and ensure the system operator is properly completing the daily calculations. 2.4.10.9.8 Operation and Maintenance The inspector should verify the water system has in place all required filtration and disinfection facilities and is properly operating and maintaining those facilities. 2.4.11 Interim Enhanced SWTR Title 40 CFR Part 141, Subpart P, Enhanced Filtration and Disinfection (40 CFR 141.170-.175), includes additional requirements for subpart H systems that serve 10,000 or more persons. These requirements took effect January 1, 2001, and primarily address public health risks from Cryptosporidium. They include: • Turbidity limits that are more stringent for combined filter effluent from conventional and direct filtration plants. • Continuous monitoring of individual filter effluent in conventional and direct filtration plants. • Follow-up actions for exceeding “trigger” turbidity levels in two consecutive measurements taken 15 minutes apart at an individual filter for conventional and direct filtration plants. • Requirements for all filtered systems to remove 99 percent (2-log) Cryptosporidium cysts. • Disinfection profiling and benchmarking.
  • 49.
    2-14 • Measures tocontrol Cryptosporidium in the watersheds of unfiltered systems meeting the criteria for avoiding filtration. Inspectors should check to see if systems that are required to prepare disinfection profiles have actually done so. Water systems must retain disinfection profile data in a graphical format acceptable to the state for review during the survey regarding any significant changes to disinfection practices, planned or otherwise. As part of IESWTR, the inspector must also designate in the sanitary survey report any sanitary deficiencies deemed by the state to be “significant” deficiencies. Inspector follow-up is then necessary to ensure the system responds in writing and addresses the significant deficiencies. 2.4.12 Long Term 1 (LT1) Enhanced SWTR The rule applies requirements similar to those of the IESWTR to systems that use surface water or ground water under the direct influence of surface water and serve fewer than 10,000 persons. 2.4.13 Long Term 2 (LT2) Enhanced SWTR This rule requires monitoring of raw source water to determine if levels of Cryptosporidium exist in quantities high enough to warrant additional treatment. Depending on the calculated average, public water systems could be required to provide additional treatment that achieves an additional one, two, or 2.5 log removal/inactivation of Cryptosporidium. Systems serving less than 10,000 people have the option to monitor each source for E. coli as a surrogate and would only monitor for Cryptosporidium at sources with an average result of all 52 biweekly samples exceeding the appropriate trigger level. 2.4.14 Filter Backwash Recycling Rule The inspector should determine whether direct and conventional filtration plants recycle spent filter backwash water, sludge thickener supernatant, or liquids from dewatering processes. Plants that recycle regulated flows must bring them back to the head of the plant (after June 1, 2003) or to an alternative location approved by the primacy agency. The primacy agency also determines if treatment or equalization of the recycle stream is necessary. The inspector should also make sure the plant complies with the rule’s monitoring and reporting requirements. 2.4.15 Lead and Copper Rule Under 40 CFR 141.80 to 91, community and non-transient, non-community water systems must collect first-draw samples from strategically located service connections and have them analyzed for lead and copper. If the levels of lead or copper exceed action levels (0.015 mg/L for lead and 1.3 mg/L for copper) in more than 10 percent of the required samples, the system must take corrective action. The inspector should verify that the system has taken the required first-draw samples at sites from its monitoring plan and that the plan is up to date. It is particularly important with small systems to make sure they are sampling at appropriate locations and times. Small schools, for example, often sample at the beginning of the school year usually from taps not used for weeks or months; they then exceed action levels because of the excessive time water was in the line. Schools and other non-transient systems must take samples from taps used for drinking and not utility sinks or hose bibs.
  • 50.
    2-15 When monitoring resultsexceed either of the action levels, the inspector must ensure that the system has taken appropriate follow-up corrective actions, including optimal corrosion control studies and treatment when necessary. 2.4.16 Stages 1 and 2 Disinfectants and Disinfection Byproducts (D/DBPs) Community and non-transient, non-community systems that chemically disinfect their water must meet the requirements of 40 CFR Part 141, subparts L and V, Disinfectant Residuals, Disinfection Byproducts, and Disinfection Byproduct (DBP) Precursors Rule (DBPR). Portions of subpart L also apply to transient, non-community systems that use chlorine dioxide. Components of subpart L and V that inspectors must be aware of include: • MCLs for disinfection byproducts including bromate and chlorite as well as MCLs based on locational running annual averages (LRAAs) for total trihalomethanes (TTHMs) and haloacetic acids (HAA5s). • Maximum residual disinfectant levels (MRDLs) for chlorine, chloramines, and chlorine dioxide. • Monitoring plan requirements. • Enhanced coagulation and enhanced softening requirements to address DBP precursors for subpart H systems that have conventional or softening plants. • Operational Evaluation Level (OEL) requirements: An OELreport is required if the OEL is exceeded. See 40 CFR 141.626 for the OEL definitions for TTHM and HAA5. Each system affected by this rule must develop and implement an approved monitoring plan. The system must then maintain the monitoring plan and make it available for inspection by the primacy agency and customers (systems serving more than 3,300 persons must submit their plans to the primacy agency). The inspector should review the monitoring plan while on site to ensure that monitoring is in accordance with the rule. 2.4.17 Inorganic and Organic Chemicals Community and non-transient, non-community systems are required to monitor for inorganic and organic chemicals as found in 40 CFR 141.23 and 40 CFR 141.24, respectively. For both groups of contaminants, samples are required at the entry points to the distribution system. Inspectors should verify that the system appropriately monitors all sources (including emergency sources) at their entry points. It is important to note that transient, non-community systems are required to monitor for nitrate and nitrite. 2.4.17.1 Waivers Under certain conditions, states may grant waivers to water systems from monitoring requirements (including reduced or no monitoring) for volatile, synthetic and inorganic chemicals. The primacy agency may grant “use” waivers based on knowledge of previous use of a contaminant including application, manufacture, transport, storage or disposal. Additionally, the primacy agency may grant a waiver based on resistance to sources of contamination and wellhead or watershed protection. The inspector should review any waivers during initial preparation and evaluate any of these factors during the survey. If conditions have changed, the
  • 51.
    2-16 primacy agency mayhave cause to reconsider a waiver previously granted or to grant a new waiver. • The system must monitor for asbestos, unless the state has issued a waiver, at a tap served by asbestos cement pipe. The inspector should verify this information. • The state bases reduced monitoring for inorganic chemicals on factors that can affect contaminant concentrations. These include: • Changes in ground water pumping rates. • Changes in the system’s configuration. • Changes in the system’s procedures for operations. • Changes in stream flow or characteristics. • Changes in local land use. 2.4.18 Radiological Contaminants Community water systems are required to sample for radiological contaminants. Samples are required at the entry points to the distribution system. Inspectors should verify that systems are appropriately monitoring all sources (including emergency sources) at their entry points. The inspector should review compliance with radiological monitoring requirements while on site or when reviewing the system’s files, prior to the sanitary survey. 2.4.19 Direct and Indirect Additives 2.4.19.1 Contaminants Not Regulated During a sanitary survey, the inspector must be alert to contaminants other than those regulated under national primary or secondary regulations. Of particular concern are contaminants the system may introduce to the water during the processes of collecting, treating, storing, or distributing. 2.4.19.2 Treatment, Chemicals, and Coatings Water systems are responsible for assuring treatments, chemicals, and coatings in contact with drinking water meet certain industry consensus standards for water contact or treatment. Agencies or other non-governmental organizations acceptable to the primacy agency can provide certification standards for products intended for contact with potable water. 2.4.19.3 40 CFR 141.111 EPA regulations place limits on two contaminants that may be contained in organic polymers used in coagulation and filtration. The water system must annually certify to the primacy agency in writing that the dose and monomer level do not exceed the following: • Acrylamide, 0.05 percent dosed at 1 ppm. • Epichlorohydrin, 0.01 percent dosed at 20 ppm. During a survey, the inspector should determine that the system is complying with these requirements.
  • 52.
    2-17 2.4.19.4 NSF Standard60 NSF International is the organization responsible for developing Standard 60, which covers direct additives to drinking water. Examples of direct additives include water treatment chemicals such as chlorine, polymers, coagulants and aids, fluoride compounds, copper sulfate, and corrosion control chemicals. 2.4.19.5 NSF Standard 61 NSF Standard 61 covers indirect additives. This category of additives includes products that come into contact with drinking water or into contact with treatment chemicals, such as filter media, coatings, liners, solvents, gaskets, welding materials, pipes, fittings, valves, chlorinators, and separation membranes. Systems can identify NSF Standard 60 or 61 certified products by markings directly on the product or on their packaging. Lists of certified products are available from the certifying agencies. 2.4.19.6 State Requirements Although there are no federal regulations requiring that additives used must meet NSF Standards 60 and 61, many states have or will adopt such requirements. In any event, the inspector should determine if the system uses additives specifically designated for use with potable water and is aware of the certification program for those additives. 2.4.20 Operator Certification EPA guidelines specify minimum standards for the certification and recertification of operators of community and non-transient, non-community public water systems. All states have requirements that meet the EPA guidelines. The inspector should always check to ensure each system complies with the state requirements. 2.4.21 Recordkeeping There are a number of general recordkeeping requirements specified in 40 CFR 141.33. In addition, SWTR (40 CFR 141.75) and the Lead and Copper Rule (LCR) (40 CFR 141.91) have specific requirements. The inspector should verify and evaluate the availability of these records for each applicable rule at the water system during a sanitary survey. 2.4.21.1 Other Records In addition to records required by federal regulation, the water system should maintain a variety of other records to ensure the continual proper operation and maintenance of the system. These include monitoring plans for disinfectants and disinfection byproducts; disinfection profiles; maps of the system; as-built plans; and water quality data from source, treatment, and distribution. The inspector should evaluate the availability and security of these records during the survey.
  • 53.
    2-18 Table 2-2: Recordsand Retention Schedule Records to Keep Retention Period Bacteriological analyses 5 years Chemical analyses 10 years Actions to correct violations 3 years Sanitary survey reports 10 years Variance or exemption 5 years Turbidity results 10 years All lead/copper data 12 years Monitoring plans for TCR, LCR & Stage II DBPR As long as subject to the rule(s) 2.4.21.2 Data Integrity SDWA and its regulations require self-monitoring and self-reporting by water systems to show compliance with the regulations. The consequences of non-compliance can be severe (e.g., compliance orders and penalties). Errors in information reported to the state can result from ignorance of proper testing procedures and instruments that are out of calibration. Data falsification is rare, but serious. During a survey, the inspector should be alert to intentional or unintentional errors in data. Chapter 13 provides more information on data integrity. 2.4.22 Variances, Exemptions, and Orders Variances, exemptions, and compliance orders contain provisions that require the public water system to comply with certain conditions. (For example, a compliance order will normally include a schedule.) The state can use a sanitary survey to determine a system’s progress in complying with these conditions. The primacy agency can also use sanitary surveys to determine, case by case, the need for, and the possible conditions that may be set forth in, a variance, exemption, or order. 2.5 Sanitary Deficiency Questions and Considerations - Regulations 1. Is the information in the primacy agency files on population served and number of service connections accurate? 2. Is the information on the status of the system correct (i.e., is it large enough to be a public water system, and is its classification as CWS, TNCWS , or NTNCWS correct)? 3. Is the system in compliance with various provisions of the NPDWRs, including siting of facilities, coliform monitoring, filtration and disinfection, lead and copper corrosion control, organic and inorganic contaminants, and direct and indirect additives?
  • 54.
    2-19 4. Has thesystem modified its source, treatment process, chemicals used, or distribution system without state approval? 5. Is the system using chemicals and coatings approved by ANSI/NSF or another third party? 6. Do qualified operators staff the system? 7. Does the system maintain all appropriate records? 8. Does the system comply with conditions set forth in any waivers, variances, exemptions, or orders? 9. Does the system have a written monitoring plan for disinfectants and disinfection byproducts? 10. Was the system required to prepare a disinfection profile? If so, is it available for review? 2.6 Significant Deficiency Examples All significant deficiencies listed below are examples only. Each primacy agency may have identified a different set of significant deficiencies than those listed. The primacy agency determines both significant deficiencies, and the corresponding corrective actions. • No or inadequate site maps for: • TCR. • LCR. • Stage 2 DBPR. • Chemical monitoring. • Inadequate or incorrect sample point(s). • Not using NSF-approved materials or additives. • Not abiding by the records retention policy. • Recycled water not flowing back to head of plant. • Insufficient or no qualified operators. • Incorrect CT calculation under the Ground Water Rule.
  • 55.
    3-1 3 Ground WaterSources Inspectors should determine the safety and reliability of any ground water source during the sanitary survey. Ground water sources, such as wells and springs, are the first safety barrier in the multiple-barrier approach including the prevention of waterborne diseases. 3.1 Learning Objectives By the end of this chapter, students should be able to: • Evaluate the safety, adequacy, and reliability in terms of quantity and quality of ground water sources. • Evaluate the adequacy of well head protection. • Review the key components of wells and springs. • Identify the key data required to determine sanitary deficiencies. • Recognize sanitary deficiencies associated with facilities, operations, maintenance, management, and contingency planning. • Identify improper well construction and equipment installation. • Determine compliance with federal, state, and local regulations. Recognize ricks associated with extreme weather events, i.e., drought, flood, etc. 3.2 Data Collection Generally, the inspector should collect enough data needed to evaluate the safety, adequacy, and reliability of all water sources used by the system, including emergency sources. For example, raw water quality data can help evaluate the safety of the source. Information about aquifer yield and design flow rate is important to determine the capability to meet water demands. The following narrative and sanitary survey questions discuss the types of data the inspector should collect. 3.3 Regulations and Standards to Consider Most of a system’s regulatory requirements focus on the quality of water entering the distribution system. However, source water quality is a major part of the Safe Drinking Water Act (SDWA), including the Ground Water Rule and Revised Total Coliform Rule. 3.4 Basic Ground Water Source Information Ground water systems are the easiest of all the system types to operate and maintain, and they usually require the least amount of training for operator certification, unless special treatment is required (e.g., iron, manganese, arsenic, radionuclides or other regulated contaminants found in the aquifer). Operators must still have the skills necessary to operate and maintain the system as well as provide continuous disinfection, if required by the primacy agency. Very small systems usually do not have much management structure. The operator is usually the owner, meter reader, maintenance crew, bill collector and financier for the entire system. The
  • 56.
    3-2 operator may alsohave other duties, including a full time job. This means that all the technical, managerial and financial responsibilities for the system’s sustainability could very well fall on the shoulders of one person who only operates the system on a part-time basis. As a result, these very small systems tend to have more problems because the operator does not understand or is not sufficiently diligent in finding and correcting sanitary deficiencies or even understand why something is a deficiency (e.g., poor seal around the electrical wiring to the submersible pump or a cracked, poorly constructed or missing well pad and tank maintenance). They may also be apathetic toward the collection of routine total coliform and other samples. 3.5 Water Quantity A range of factors affect water availability including, but not limited to, water loss, conservation, extreme weather (drought, flooding, etc.), and security over a long-term planning horizon, such as 15 to 20 years. The water system should demonstrate water availability in its capital improvement program and planning documents. The inspector should evaluate the capability of the system to meet the demands placed on each of its applicable components. Demands exceeding available treatment capacity can cause inadequately treated water to enter the distribution system. Similarly, inadequate pressure in the system may exist when demand exceeds well pumping capacities (as well as the capacity of transmission lines, pumps, distribution system piping, storage facilities, etc.). Inadequate pressure affects consumers’ use of the water supply, hinders firefighting capabilities, and creates opportunities for contaminants to enter the system through cross-connections. Prolonged interruptions in water service represent a public health hazard. A general rule of thumb for minimum water pressure is about 30 psi; however, primacy agencies set their own standard. 3.5.1 Estimating Demand1 Water demand is the volume of water required by users to satisfy their needs. Water demand varies from location to location and from day to day within a location. Demand also depends on the time of day, the day of the week, the season of the year, prevailing weather conditions and unusual events such as fires or mains breaks. The water system should be recording the daily demand (or daily total flow rate) and should be able to produce and understand average daily water demand (ADD), the maximum daily water demand (MDD), and the hourly maximum demand (HMD). The inspector may calculate ADD, MDD and HMD directly, if the system has historic daily flow records. Alternatively, most primacy agencies have community water demand factors (expressed as gallon per capita per day (GPCD) for estimating the ADD. Most primacy agencies also have equations to estimate MDD as well as the HMD for various water systems as illustrated below. The water demand factor (excluding firefighting) for most regions range from 120 to 300 GPCD (depending on allowances for frequent lawn watering, swimming pool maintenance, industrial and commercial process water, cooling water, etc.). Rural communities, for example, tend to use 1 See Appendix A for references on this topic, Water Treatment Plant Operation, Volumes I and II.
  • 57.
    3-3 water primarily forresidential purposes, so the water demand can be as low as 100 GPCD. Calculate typical demand equations as shown: ADD (GPCD) = community water demand factor (≈ 120 to 300 GPCD ) × customers. MDD = 1.8 × ADD HMD = 3 × ADD The inspector should recognize the importance of the relationship between source water quantity and storage. For example, when the water system provides bulk storage, the sources have to be capable of providing at least the maximum daily demand. Water systems should provide enough water storage for up to five days of ADD as necessary to cover emergencies such as electrical outage, firefighting, and process maintenance. Storage facilities can provide water during periods of high demand and can fill during periods of low demand. On the other hand, manufacturers typically design hydropneumatic tanks to maintain acceptable pressures while limiting the cycling of pumps. Hydropneumatic tanks often provide storage for very small systems. The source yield and pumping must be capable of meeting the system’s much higher maximum momentary demand. The inspector should be prepared to make reasonably accurate estimates of probable water demands for a wide variety of types and sizes of public water systems. 3.5.2 Emergency Demand Many states require alternate sources of water in case of emergencies. For ground water systems, these emergencies include well failures, catastrophic events (tornados, hurricanes, etc.), flooding in well locations, aquifer depletion and contamination incidents around the wellhead or in the aquifer itself. System managers are responsible for planning, identifying and securing alternate sources of water supply, and how the system would deliver water to the system’s customers. In fact, their water system may serve as an alternate supply for another water system. Alternate sources might include an interconnection to another system, use of inactive or backup wells, drilling a new well, water tanker delivery, bottled water delivered to customers on an interim period, or other means of safe water supply. 3.5.3 Sanitary Deficiency Questions and Considerations – Quantity 1. Is the safe yield sufficient to meet current and future demands? Capital improvements may be necessary if average daily production approaches or exceeds the design capacity of major system components (e.g., the safe yields of the sources of supply or the raw water pumping and transmission, treatment, finished water pumping, storage, and additional sources). 2. Is the quantity of the source adequate? Given that a water system’s source is one of the first areas evaluated using the multiple barrier approach, the key to ensuring the sustainability of the water system is for the inspector to evaluate several factors that could affect the long-term viability of the source.
  • 58.
    3-4 These factors mayinclude system type, size, extreme weather conditions, storage facilities used, and customer type. Decreasing trends in quantity (i.e., aquifer depletion) are also important to note. Operating records should provide this information, but the inspector must be prepared to make reasonable estimates when operating records are not available. The following questions will help the inspector assess the adequacy of source capacity. • Does the system have plans or procedures to respond to variations in their source water supplies? • Does the system track or have data regarding aquifer levels, recharge areas (watersheds) and related information for its sources? • Has the system had to increase pumping depths in their wells or drill deeper wells? Have any wells gone dry? • Do operators monitor and maintain alternate/emergency supplies (e.g. intakes, valves, pumps, consecutive connections) to assure good operational conditions? • Are there constraints or limits on reserve or alternate sources (e.g. permits, water rights, hydraulic limitations)? • Does the capacity/flow of ground water source vary? If so, how does the system meet demand during those periods? • Are consecutive systems subject to reductions in supply due to wholesale supply variations? If so, does the consecutive system have alternatives or contingencies to meet demands? 3. Does the system have an operational master meter? Without an operational and calibrated master meter, it is difficult for the utility to monitor production accurately. Some systems meter the hours their pumps run. With this information, the inspector can use pump curves to estimate production. 4. How many service connections are there? Does the system meter all service connections? This number of residential and other service connections gives the inspector an idea of the size of the system in terms of number of homes and businesses served by the system. Meters allow the system to calculate a water balance that may aide the system in determining water loss, as well as determine demand estimates. There is also a correlation between metered service connections and water conservation (i.e., the cost of water as a function of the amount used). If the primacy agency bases population served estimates on the number of connections multiplied by a certain factor, the state should only include connections billed by the system (e.g., exclude connections at vacant lots). 5. Does the system have interconnections with neighboring systems or a contingency plan for water outages?
  • 59.
    3-5 System plans toquickly correct causes of water outages are important to minimize pressure drops in the distribution system and other potential adverse effects throughout the system, especially in arid or drought-stricken areas. These plans should include contact information and locations of the valves that interconnect the system with their emergency source. Operators also need maps of valve locations to isolate sections of pipe if a line break is the source of the outage. The inspector should ensure interconnections are only to sources approved by the state. 6. Does the system have redundant sources? Many states require community water systems supplied by ground water to have at least two supply wells where each can independently meet demand, or an emergency connection to another water system in case the primary source fails. 3.6 Water Quality 3.6.1 Source Contamination The likelihood of contamination (depending on the well’s vulnerability and geology of the area) increases as the proximity to potential sources of contamination (PSOCs) to the source increases. Examples of PSOCs include septic tanks, construction projects, chemically treated agricultural land, concentrated animal feeding operations, chemical storage areas, and industrial discharge. Other sources of contamination include proximity to a lake or a stream, sewers, runoff from a flooding event, iron, manganese, or other chemicals (e.g., arsenic, selenium, fluoride, radionuclides, etc.) in soil and rock formations. 3.6.2 Sources of Impurities The impurities in natural waters depend largely on the circumstances of the source and its history. Water destined to become ground water may pick up impurities, including possible contaminants, as it seeps through soil and rock. As a preliminary step for determining the contamination risk, the inspector should refer to the system’s source water assessment, which should have an inventory of potential contaminant sources and a determination of the well’s vulnerability. Uptake of minerals by water is common. The natural straining of water as it moves through soil and aquifer material can remove some particulates, and, combined with a relatively long retention period in the ground, often aids in removing and inactivating microorganisms. A long retention time can, create problems. Purging naturally contaminated ground water typically requires time and money. 3.6.3 Sanitary Deficiency Questions and Considerations – Quality 1. Does the system have a raw water tap and treated water tap on each well? Under the Ground Water Rule, any total coliform positive sample in routine distribution sampling triggers raw water sampling at the wells. Have any raw water samples (compliance or non-compliance) indicated a problem? 2. Are there any abandoned, unused, or auxiliary sources?
  • 60.
    3-6 Surface supplies orimproperly abandoned wells physically connected to a water system may constitute a public health threat, may be the source of a cross-connection or otherwise provide a source of contamination. For example, any feed lines used to treat raw water can create a cross-connection if the treatment inlet to the raw water does not have a sufficient air-gap to prevent siphoning of raw water to finished water in the event of a pump or power failure. This is, of course, a public safety risk (i.e., a cross- connection). The system should physically disconnect raw water transmission lines from abandoned sources. The system also should properly plug unused or abandoned wells in a manner prescribed by state regulations to prevent contamination of the aquifer. 3.7 Wells 3.7.1 Utilities - Main Source Ground water is a primary water source for many systems. It is readily available in most areas of the country in sufficient quantities to meet the needs of small water systems. Ground water generally has better microbiological quality than surface water. However, a number of ground water systems have contamination issues due to erosion of natural deposits, improper underground chemical storage tanks, agricultural chemical application, etc. Ground water often requires little treatment prior to use, while surface water usually needs extensive treatment to remove or inactivate bacteria, Giardia lamblia, Cryptosporidium and viruses as well as remove organic material. Figure 3-1: Components of a Drinking Water Well
  • 61.
    3-7 3.7.2 Well Components Inspectorswill not be able to evaluate many well components because they are underground. The following narrative describes some of the more important components. 3.7.2.1 Casing A well casing prevents the collapse of the bore hole, keeps surface and subsurface pollutants from entering the water source, provides a column of stored water for positive well pump suction head, and houses the pump and its discharge pipe. 3.7.2.2 Grout During construction, well drillers frequently fill the open annular space left around the outside of the well casing with cement or bentonite clay grout. This grout prevents surface water and shallow ground water from entering the well, and it prevents water from moving between aquifers. 3.7.2.3 Screens Screens installed at a well’s intake point hold back unstable aquifer material and permit the free flow of water into the well. The well screen should be of good quality (e.g., good structural properties, corrosion resistant, and hydraulically efficient). Where formation conditions are suitable, many small systems use perforated or slotted casings in lieu of screens. 3.7.2.4 Sanitary Seal Wellhead covers or seals at the top of the casing or pipe sleeve connections prevent contaminated water and other material from entering the well. Several types of covers and seals are available to meet the variety of conditions encountered, but the principles and objectives of allowing free movement of air while excluding contamination are the same. Figure 3-2: Lineshaft Turbine and Submersible Turbine
  • 62.
    3-8 3.7.2.5 Pitless Units Pitlessadapters eliminate the need for a well pit. Design standards do not recommend a well pit to house the pumping equipment or to allow access to the top of the well casing because the pits can flood, introduce pollution hazards, and present confined space entry risks. Some states prohibit the use of pits. A pitless adapter generally includes a special fitting designed for placement on the side of the well casing. The well discharge piping is screw-threaded into the fitting, providing a tight seal. The pitless system allows connection of the well piping to the casing underground below frost depth and, at the same time, provides good accessibility to the well pump and drop pipe for repairs without excavation. 3.7.3 Aquifer Classification Confined (artesian) and unconfined (water table) define the two classifications of aquifers. The distinction between the two is important in terms of the vulnerability of the aquifer to man-made contamination. In a confined aquifer, the water is sandwiched between an upper and a lower layer of impermeable material called an aquiclude. Clay, the most frequently encountered aquiclude, forms a natural barrier to the upward or downward migration of ground water. This barrier restricts the downward movement of contaminants from the surface into the confined aquifer, protecting the wells and springs that draw water from it. Aquicludes also restrict migration of contaminants from other aquifers above or below the confined aquifer. Because of the protection provided to confined aquifers, their water is relatively invulnerable to contamination. Figure 3-3: Aquifer Types
  • 63.
    3-9 3.7.4 Unconfined AquiferContamination An unconfined aquifer rests on an aquiclude and has no confining layer above it. As a result, percolation of precipitation and infiltration of surface water from streams, lakes, and reservoirs carries water and contaminants from the surface into the aquifer. Therefore, water in unconfined aquifers is comparatively vulnerable to contamination. During the sanitary survey, the inspector should determine the adequacy of the system’s source water protection program that may include an evaluation of resources devoted to the effort. The inspector may also have to consider: Does the system have an actual program? Is the program active? Is the program able to control sources of contamination identified in the source water assessments? Has the system discontinued the program because the system was unable to implement important tasks such as identifying or controlling sources of contamination? 3.7.5 Wellhead Protection Program The Wellhead Protection Program (WHPP) is a pollution prevention and management program used to protect underground sources of drinking water. Section 1428 of the 1986 SDWA amendments established the national WHPP. The law specified states incorporate certain program activities, such as delineation, contaminant source inventory, contingency planning, and source management into their WHPPs. The law required EPA approval of the plans prior to implementation, and all states have EPA-approved WHPPs. Although section 1428 applies only to states, a number of tribes are implementing the program as well. WHPPs provided the foundation for many of the state source water assessment programs (SWAP) under the 1996 SDWA amendments (as referenced in Chapter 4 under Source Water Protection). Most states also use the wellhead protection program as a foundation for assessing and protecting ground water systems. State WHPPs vary greatly. For example, some states require community water systems to develop management plans, while others rely on education and technical assistance to encourage voluntary action. Other states have mandatory requirements for wellhead protection at the local level. Figure 3-4: Recharge and Zones of Influence
  • 64.
    3-10 3.7.6 Sanitary DeficiencyQuestions and Considerations - Wells 1. Is the well in a confined or unconfined aquifer? The inspector needs to know the class of aquifer to evaluate properly the source’s vulnerability to contamination. Ask the operator or manager at the water system for the name of the aquifer and its type or obtain them from well drilling records. Well logs made during well drilling can indicate whether there are one or more confining layers above the well screen. Confining layers may impede the flow of groundwater or contaminants downward into the aquifer. The inspector may already know this information from preparation work done prior to the survey but should ask anyway to evaluate the operator’s knowledge of the source. 2. Is the well site subject to flooding? The system should maintain the area around a well such that the grading directs any surface water or runoff away from the well site. At the least, any openings in the well casing should be located at least 3 feet above the 100-year flood elevation. The Federal Emergency Management Agency (FEMA) can provide Flood Insurance Rate Maps (FIRMs) through its National Flood Insurance Program. FIRMs show the base flood elevation in a given area. The inspector may obtain information on flooding and site drainage from the operator or through visual inspection, and flood-stage records. The inspector should also be familiar with EPA’s Flood Resilience Guide: A Basic Guide to Water and Wastewater Utilities, which outlines a simple, 4-step assessment process to help and water utilities know their flooding threat and identify practical mitigation options to protect critical assets. 3. Is the well located near any immediate or potential sources of pollution? The appropriate state regulatory agency should be consulted for its policy concerning well location, particularly the minimum protective distances between the well and sources of existing or potential pollution. Table 3-1 provides examples of typical minimum distances. These distances are based on general experience and do not guarantee protection from contamination. The information in the table makes no distinction between unconfined and confined aquifers, although confined aquifers are typically much better at reducing vulnerability. The water purveyor should provide even greater protection where possible. The table applies to properly constructed wells with the protective casing set to a depth of at least 20 feet below the ground surface. Other types of wells require special considerations.
  • 65.
    3-11 Table 3-1: ExampleMinimum Distances between Wells and Pollution Sources Source Feet from Well Watertight Sewers 50 Other Sewers 100 Septic Tanks 100 Sewage Field, Bed, or Pit 200 Animal Pens and Yards 200 Consult the state regulatory agency for special local requirements. Figure 3-5: Sample Minimum Distances from Well to Pollution Sources 4. Look for Other Sources. During the sanitary survey, inspectors should also be alert for potential sources of contamination, other than those listed above. Fuel and chemical storage facilities and transmission lines are important sources to evaluate. Pollution from these sources can travel much farther than pollution from the sources in the table and illustration above. The inspector should evaluate on-site water treatment chemical storage and fuel tanks as well as off-site sources. Spills and highway runoff that contain petroleum products or deicing salt can contaminate shallower wells nearby. The application of fertilizers and other chemicals in rural areas, and the proximity of sources to cultivated fields and golf courses are additional considerations.
  • 66.
    3-12 Figure 3-6: PotentialContamination Sources 5. How deep is the well? The greater the depth of the aquifer being used, the less chance there is that surface contamination will degrade water quality. Deeper aquifers generally have a more consistent quality of water. 6. Is drawdown measured? Drawdown is the difference between static water levels and pumping water levels. Measuring drawdown is important because changes in static water level or drawdown can indicate problems in the aquifer (declining water levels) or pump. Such changes also can indicate well encrustation. The operator should be regularly measuring drawdown and recording the results. 7. What is the depth of the casing? The casing must be strong enough to resist the pressures exerted by the surrounding formation and corrosion by soil and water environments. The casing should extend above potential levels of flooding and be protected from floodwater contamination and damage. 8. What is the depth of grouting? Specific grouting requirements for a well depend on surface conditions, especially the location of pollution sources, and subsurface geologic and hydrologic conditions. To achieve the desired protection against contamination, ask the operator if the annular space is sealed to whatever depth is necessary, but in no case less than 20 feet.
  • 67.
    3-13 Figure 3-7: TypicalLineshaft Turbine Installation 9. Does the casing extend at least 18 inches above the floor or ground? This provides protection against surface runoff or drainage problems. State design and construction standards typically recommend 18 inches when there is no potential for flooding – due in part to dust sized vector protection. 10. Is the well properly sealed? Wellhead covers or sanitary seals at the top of the casing or pipe sleeve connections prevent contaminated water and other material from entering the well. Well covers and pump platforms should be elevated above the adjacent finished ground level and sloped to drain away from the well casing. 11. Does the well vent terminate 18 inches above the ground or floor, or 3 feet above maximum flood level with return bend facing downward and screened? This is necessary to keep water (from water-cooled bearings, for example), dust, insects, and animals out of the well casing. 12. Does the well have a suitable smooth-nozzle raw-water sampling tap? This is important to take raw water samples. Though a state may not prohibit their use, a threaded tap can introduce contaminants through the attachment of a hose, creating a cross-connection. 13. Do check valves, blow-off valves, and water meters function properly and does the system maintain them? Operators should maintain, operate and regularly exercise valves to prevent contaminants from entering the well and to assure all valves open and fully close when needed. 14. Has the system properly protected the upper termination of the well?
  • 68.
    3-14 The water systemshould protect the upper termination of the well with either a small building (well house) or a security fence to protect it from vandalism and vehicle damage. The area should be sloped away from the well to prevent surface water from draining toward the casing. 15. Does the system provide lightning protection? Lightning surges can develop in power lines during thunderstorms. Such surges can damage pump motors, resulting in loss of water supply and costly repairs. To protect against this, the system can install lightning arresters where electrical service lines connect to service entrance cables, or at the motor control box. The system can also use multi-ground arrangements to protect the entire pump and well against damage. 16. Is the pump intake located below maximum drawdown? Locating the pump intake below maximum drawdown prevents the pump from running dry and protects against the pumping of contamination from upper portions of the water table. 17. Are foot valves and check valves accessible for cleaning? As with aboveground valves, the operator must maintain these valves and keep them operational to prevent the backflow of distribution system water into the well. 3.8 Springs 3.8.1 Safe Capture To properly develop a spring as a source of supply, the system must capture the natural flow of ground water below the ground surface in a way that does not contaminate the water. Springs are subject to contamination by wastewater disposal systems, animal wastes, and surface drainage. If not mitigated, the state may classify these springs as a “Subpart H” surface water source subject to requirements of the Surface Water Treatment Rules (SWTRs.) 3.8.2 Spring Types Springs may be gravity or artesian. Gravity springs occur where a water-bearing stratum overlays an impermeable stratum and outcrops to the surface. The water permeates at the point where the impermeable stratum outcrops. They also occur where the ground surface intersects the water table. This type of spring is particularly sensitive to seasonal fluctuations in ground water storage and frequently dwindles or disappears during dry periods. Gravity springs are characteristically low-yielding sources, but when properly developed they may be satisfactory for small water systems. Artesian springs discharge from openings in the confining layers of artesian aquifers. They may occur where a fault ruptures the confining formation over the artesian aquifer. Artesian springs are usually more dependable than gravity springs, but they are particularly sensitive to the pumping of wells developed in the same aquifer. Consequently, pumping of nearby wells, as well as seasonal flow variations, may reduce or eliminate flow to artesian springs.
  • 69.
    3-15 3.8.3 Criteria forSelection Important criteria for spring sources include selection of a source with acceptable water quality, development to provide the required quantity of water, and sanitary protection of the spring collection system. Water systems must develop springs based on prevailing geological conditions. 3.8.4 Spring Source Collection System 3.8.4.1 Perforated Pipe A system of perforated pipes, driven into the water-bearing stratum or laid in gravel-packed trenches, intercepts spring flow. This collection of pipes then directs the flow into a storage tank. As an alternative, a watertight concrete collection chamber, constructed with openings in the bottom, a sidewall, or both, intercepts the flow. This chamber may also serve as a storage tank. Where possible, the walls of the collection chamber should extend to bedrock or into an impervious stratum. The watertight walls should extend at least 2 feet above the finished ground level to prevent surface water from entering. An overlapping (shoebox) cover prevents the entrance of debris. 3.8.4.2 Spring Box Constructed in place out of reinforced concrete, the spring box is designed to intercept as much of the spring as possible. When a spring is located on a hillside, the downhill wall and sides extend downward to bedrock or impervious soil to ensure that the structure holds back water to maintain the desired level in the chamber. Systems may use supplementary cutoff walls of concrete or impermeable clay to assist in controlling the water table near the tank. The lower portion of the uphill wall of the tank must have an open construction to allow water to move in freely while holding back aquifer material. Back filling with graded gravel helps restrict the movement of aquifer material.
  • 70.
    3-16 Figure 3-8: Exampleof a Spring Collection System At the completion of construction, the system should maintain an area around the spring box, covered with an impermeable material (clay or membrane). This area should be sloped away to prevent surface water from entering the collection system. 3.8.4.3 Spring Box Cover The tank’s manhole should have a shoebox designed cover framed at least 4 inches, and preferably 6 inches, above the surface of the roof to ensure a good fit. The opening should be fitted with a hinged, lockable, watertight cover that extends down the frame at least 2 inches. The inside of the cover, usually has a rubber gasket to provide the seal and should be pliable. When the spring box is covered, the manhole should be elevated 24 to 36 inches above the covering sod. 3.8.4.4 Drain Pipe A pipe passing through a wall of the spring box at the floor level with an exterior valve allows draining when the interior of the tanks needs cleaning or an inspection. The end of the pipe should extend far enough to direct water away from the spring box and should freely discharge onto a drain apron to prevent erosion. The valve works to exclude small animals and insects, so there may or may not be a screen depending on state requirements. 3.8.4.5 Overflow The tank should also have an overflow pipe placed slightly below its maximum water level elevation that discharges any overflow away from the spring box onto a drain apron to prevent
  • 71.
    3-17 erosion. The overflowpipe could allow insects and small animals direct access to the water in the tank unless a 24-mesh screen covers the discharge end of the pipe. A flapper cover alone may not be adequate protection as debris, ice or snow can prevent the flap from completely closing. 3.8.4.6 Intake to System Water flows through a screened intake line located about 6 inches above the floor of the tank to provide water to the distribution system. The inspector should examine the area between the intake pipe and the concrete structure for signs of leakage. 3.8.5 Sanitary Deficiency Questions and Considerations – Springs 1. Has the system protected the recharge area? Activities in the recharge area and the degree to which they are controlled can affect the quality of the water source. 2. What is the nature of the recharge area? Is it industrial, agricultural, forested, or residential? Different types of activities potentially subject the spring to pollutants from land uses, spills, and runoff. 3. Is the site subject to flooding? Does the grade direct surface water and runoff away from the spring? The system should maintain a proper grade to avoid introducing surface water into a spring. 4. Is the supply intake adequate? Is the supply intake properly located, and is the tank-side of the intake screened? The screen and location reduces the withdrawal of sludge or debris that may build up in the chamber. Ask the operator to pump water from the chamber through a blow-off valve, if available, to see if sludge or otherwise discolored water is visible, which would indicate the tank needs cleaning. If larger debris particles are present, the screen on the tank side of the intake is either damaged or missing. 5. Does the system provide adequate site protection? The following precautionary measures help ensure spring water of consistently high quality: • Locate a surface drainage ditch uphill from the source to intercept surface water runoff and carry it away from the source. Springs close to agriculturally developed land treated by pesticides and herbicides may be particularly susceptible to contamination. • Provide security fencing, locked covers, and warning signs for protection from stray livestock and from tampering. 6. Is the spring box properly constructed? The spring box should be watertight to prevent the inflow of undesirable water. The spring box cover should be overlapping, impervious, and lockable. Are drain and overflow pipes properly constructed? Do they discharge onto a concrete apron or other
  • 72.
    3-18 suitable material thatprevents erosion and directs water away from the spring box? The drain valve provides protection from small animals and insects so the water system may or may not have it screened depending on state requirements. The system may have a flapper valve on the end of the overflow to exclude small animals and insects, but the operator should also have installed a 24-mesh screen in case debris, ice or snow props open the flap. 7. What conditions cause changes to the quality of the water? A good indicator that surface water is reaching the spring is a marked increase in turbidity or flow after a rainstorm. The inspector should, for this and any other observed contamination issues, determine if the spring is a GWUDI system subject to the SWTRs. 3.9 Special Monitoring Evaluation During each sanitary survey, the inspector must conduct a special monitoring evaluation for all ground water systems serving 1,000 or fewer people. The special monitoring evaluation is a Revised Total Coliform Rule requirement where the inspector must assess the appropriateness of the sampling frequency, number of samples, sample locations and collection dates based on new data from the sanitary survey. The inspector should determine how effective the source, treatment and distribution barriers are regarding protection from contamination, and then modify the sampling as needed for public health protection. In addition, the inspector may need to change the sampling sites and frequency for any of the following reasons as determined during the survey: • Increase in population. • New distribution system areas served. • New storage tanks. • Deterioration of water system infrastructure. • Concentration of immunocompromised customers in a geographic location. 3.10 Significant Deficiency Examples for Ground Water Sources All significant deficiencies listed below are examples only. Each primacy agency may have identified a different set of significant deficiencies than those listed. The state (primacy agency) determines both significant deficiencies and the corresponding corrective actions. • No or inadequate access buffer (restricted area) around well. • No emergency or secondary well. • Openings, holes, pitting, corrosion on well casing, subjecting the well to surface water contamination. • Bad seal around electrical conduit to submersible pump. • No air venting of the well to prevent creating a vacuum within the well, which could draw in water of questionable quality from upper strata.
  • 73.
    3-19 • No orcracked well pad, erosion under/around the pad, pad not sloped away from casing, or pad too small. • Improperly constructed spring boxes, including cracks, holes, or lack of seal around electrical conduit. No means of locking access hatch.
  • 74.
    4-1 4 Surface WaterSources A public water systems’ source water is the first area of protection in the multiple-barrier approach to achieve safe drinking water. Inspectors should determine the quality, adequacy and reliability of the source during a sanitary survey. 4.1 Learning Objectives By the end of this chapter, students should be able to: • Evaluate the surface water source adequacy and reliability in terms of quantity and quality, especially considering impacts from extreme weather events such as flooding and drought. • Understand the Source Water Assessment Plan (SWAP) for relevant information. • Identify surface water source sanitary deficiencies. • Evaluate surface water intake adequacy. • Evaluate roof catchment sanitary deficiencies. • Determine compliance with federal, state, and local regulations. 4.2 Data Collection Generally, the inspector should collect enough data needed to evaluate the safety, adequacy, and reliability of all water sources used by the system, including emergency sources. For example, raw water quality data help evaluate the safety of the source. High raw water turbidity or coliform indicates problems with source quality and may assist in regulatory compliance determinations. Information on surface water treatment plant (SWTP) design flow rate (or capacity) is important to determine adequacy to meet specific water demands. The following narrative and sanitary survey questions discuss the types of data the inspector should evaluate. 4.3 Regulations and Standards to Consider Most of the regulatory requirements focus on the quality of water entering the distribution system. However, surface water quality is a major part of the Long Term 2 Enhanced Surface Water Treatment Rule and the Stage 2 Disinfectant/Disinfection Byproducts Rule. See Chapter 2 of this Guide for more information on these and other applicable rules. 4.4 Basic Surface Water Source Information Surface sources used by water systems require consideration of additional factors not usually associated with ground water sources. When water systems use rivers, streams, open ponds, lakes, or open reservoirs as sources of water, the danger of contamination and spread of intestinal diseases such as cholera, typhoid fever, cryptosporidiosis, giardiasis and dysentery generally increase. The physical, chemical, and bacteriological contamination of surface water make it necessary to regard such sources as unsafe for domestic potable use unless surface water treatment, including filtration and disinfection, is provided. However, some states allow water systems to avoid
  • 75.
    4-2 filtration so longas the system meets all avoidance criteria defined in the SWTR. A public water system that uses surface water or GWUDI must disinfect. The treatment of surface water to ensure a constant, safe supply requires diligent attention to operation and maintenance by the system’s owner and operator. Principal surface water sources that may be developed or controlled include catchments, ponds or lakes, surface streams, and irrigation canals. Except for irrigation canals, where flows depend on irrigation activity, these sources derive water from direct precipitation over the drainage area. 4.5 Water Quantity The value of a reservoir (pond or lake) as a source includes its ability to store water during wet periods for use during times of little or no precipitation. According to “Recommended Practices for Water Works” (10-State Standards), the quantity of water at the source shall: • Be adequate to meet the maximum projected water demand of the service area as shown by calculations based on a one in fifty year drought or the extreme drought of record, and should include consideration of multiple year droughts. Requirements for flows downstream of the intake shall comply with requirements of the appropriate reviewing authority. • Provide a reasonable surplus for anticipated growth. • Be adequate to compensate for all losses such as silting, evaporation, seepage, etc. • Be adequate to provide ample water for other legal users of the source. A range of factors affect water availability including, but not limited to, water loss, conservation, extreme weather events, and security over a long-term planning horizon, such as 15 to 20 years. The water system should demonstrate water availability in its capital improvement program and planning documents. For multiple reservoirs located on a river, water systems and primacy agencies must be cognizant of drought conditions at upstream reservoirs that may limit discharge from those reservoirs, ultimately affecting flow into downstream reservoirs. The inspector should evaluate the capability of the system to meet the demands placed on each of its applicable components. Demands exceeding available treatment capacity can cause inadequately treated water to enter the distribution system. Similarly, inadequate pressure in the system exists when demand exceeds the source capacity (as well as the capacity of transmission lines, pumps, distribution system piping, storage facilities, etc.). Inadequate pressure affects the consumers’ use of the water supply, hinders firefighting capabilities, and creates opportunities for contaminants to enter the system through cross- connections. Prolonged interruptions in water service represent a public health hazard. A general rule of thumb for minimum water pressure is about 30 psi; however, primacy agencies set their own standard. 4.5.1 Estimating Demand Water demand is the volume of water required by users to satisfy their needs. Water demand varies from location to location and from day to day within a location. Demand also depends on
  • 76.
    4-3 the time ofday, the day of the week, the season of the year, prevailing weather conditions, and unusual events such as fires or main breaks. The water system should be recording the daily demand (or daily total flow rate) and should be able to produce and understand average daily water demand (ADD), the maximum daily water demand (MDD), and the hourly maximum demand (HMD). The inspector may calculate ADD, MDD and HMD directly, if the system has historic daily flow records. Alternatively, most primacy agencies have community water demand factors (expressed as gallon per capita per day (GPCD) for estimating the ADD. Most primacy agencies also have equations to estimate MDD as well as the HMD for various water systems as illustrated below. The water demand factor (excluding firefighting) for most regions range from 120 to 300 GPCD (depending on allowances for frequent lawn watering, swimming pool maintenance, industrial and commercial process water, cooling water, etc.). Rural communities, for example, tend to use water primarily for residential purposes, so the water demand can be as low as 100 GPCD. Calculate typical demand equations as shown below: ADD (GPCD ) = community water demand factor (≈ 120 to 300 GPCD ) × customers. MDD = 1.8 × ADD HMD = 3 × ADD The inspector should recognize the importance of the relationship between source water quantity and finished water storage. For example, when the water system provides bulk storage, the sources have to be capable of providing at least the maximum daily demand. Water systems should provide enough finished water storage for up to five days of ADD, as necessary to cover emergencies such as electrical outage, firefighting, and process maintenance. 4.5.2 Emergency Demand In case of the depletion of source water such as during extreme drought, substantial ground water subsidence, or water conservation district allocation limits, the water system should identify an alternate source of water supply and explain how the system would deliver water to the system’s customers. Alternate sources might include a second reservoir, an interconnection to another system, use of inactive wells, digging a new well (major time factor issue), water tanker delivery, bottled water delivered to customers on an interim period, or other means of safe water supply. 4.5.3 Sanitary Deficiency Questions and Considerations – Water Quantity 1. What is the total design production capacity? Comparing this figure with metered or estimated demand figures allows the inspector to determine if the source quantity is adequate. 2. What is the present average daily production? Comparing this figure with values for other, similar systems on a per capita basis may point out problems within the system. For example, if consumption is at a relatively high rate, or if production trends are increasing without an accompanying population or metered-use increase, the system may be experiencing excessive water loss (i.e.,
  • 77.
    4-4 leakage). Alternatively, highper capita consumption may indicate an opportunity to conserve water during an extreme drought via water use restrictions. Water loss: A direct method to determine water loss is to compare master meter production with the corresponding accounted-for demand using the equation: Production – Consumption = Water Loss (estimate) Consumption would include metered water from customers (such as homes and industry) as well as accounted-for water flushed or used by the municipality (e.g., Fire Department, irrigation of public areas, etc.). 3. What is the maximum daily production? The inspector should compare the maximum daily production to the design capacity of the various major system components. Review the operating records from the maximum demand day to determine the performance of the source, treatment, storage, and distribution system under stressful conditions. 4. Is the safe yield sufficient to meet current and future demands? The water system should have a plan for capital improvements once average daily production approaches or exceeds a certain percentage of the design capacity of major system components (e.g., the safe yields of the sources of supply or the raw water pumping and transmission, treatment, finished water pumping, storage, and additional sources). Many states have regulations that define the percentage of design capacity where systems have to begin planning for expansion. 5. Is the quantity of the source adequate? Given that a water system’s source is one of the first areas evaluated using the multiple barrier approach, the key to ensuring the sustainability of the water system is for the inspector to evaluate several factors that could affect the long-term viability of the source, which also gives the inspector a better understanding of future potential deficiencies. These factors may include system type, size, extreme weather conditions, storage facilities used, and customer type. Decreasing trends in quantity are also important to note. Operating records should provide this information, but the inspector must be prepared to make reasonable estimates when operating records are not available. The following questions help the inspector assess the adequacy of source capacity. • Does the supply vary by season? During which period is water most abundant? • Does the system have plans or procedures to respond to variations in their source water supplies? • Does the system track or have access to flows, levels, and related information for its sources? • If a lake or reservoir is a source, are multiple intake depths/locations available for variations in water levels?
  • 78.
    4-5 • What isthe capacity of raw water/off stream storage? Is it adequate to meet existing or expected seasonal variations? • Do operators monitor and maintain alternate/emergency supplies (e.g. intakes, valves, pumps, consecutive connections) to assure good operational conditions? • Are there constraints or limits on reserve or alternate sources (e.g. permits, water rights, hydraulic limitations)? • Are consecutive systems subject to reductions in supply due to wholesale supply variations? If so, does the consecutive system have alternatives or contingencies to meet demands? 6. If permits are required, is the facility operating within the limits? Are permits available? Some states require systems to have operating permits. Systems that discharge waste streams to ground or surface water may be required to have discharge permits (e.g., National Pollutant Discharge Elimination System permits). 7. Does the system have an operational master meter? Accurately monitoring production is difficult for the utility without an operational and calibrated master meter. Some systems meter the hours their pumps run. With this information, the operators can use pump curves to estimate production. 8. Does the system have interconnections with neighboring systems or a contingency plan for water outages? System plans to quickly correct causes of water outages are important to minimize pressure drops in the distribution system and other potential adverse effects throughout the system, especially in arid or drought-stricken areas. These plans should include locations of the valves that interconnect the system with their emergency source. These plans also need locations of valves to isolate sections of pipe if a line break is the source of the outage. The inspector should ensure interconnections are only to sources approved by the state. 4.6 Water Quality 4.6.1 Source Contamination The likelihood of contamination increases as the proximity to potential sources of contamination (PSOCs) to the source increases. Examples of PSOCs include septic tanks, construction projects, chemically treated agricultural land, concentrated animal feeding operations, chemical storage areas, and industrial discharge. The inspector should review the water system’s source water protection plan for potential pollutant sources. An additional health based contamination (and treatment cost) issue includes algae blooms that can increase DBP precursors (algal-derived carbon), create cyanotoxins, as well as generate taste and odor issues. Cyanotoxins are toxins produced by bacteria called cyanobacteria (also known as blue-green algae). To assist public water systems in managing risks from cyanotoxins, see Recommendations for Public Water Systems to Manage Cyanotoxins in Drinking Water.
  • 79.
    4-6 4.6.2 Contaminant Classifications Typicalclassifications of substances that alter the quality of source water include 1) organic, 2) inorganic, 3) biological, or 4) radiological, as listed below. Students may find further information on regulated contaminants in Appendix A of this guide. • Organic chemicals contain the element carbon. The National Primary Drinking water Regulations (NPDWR) currently regulate over 50 organic chemical contaminants. Different organic chemicals derive their names from their differing carbon structures. Organic water pollutants include: • Detergents. • Disinfection byproducts, such as chloroform, found in chemically disinfected drinking water. • Food processing waste, which can include oxygen-demanding substances, fats and grease. • Insecticides and herbicides (a huge range of organohalides and other chemical compounds). • Petroleum hydrocarbons. • Decomposing vegetative matter. • Volatile organic compounds (VOCs), such as industrial solvents. • Chlorinated solvents, which are dense non-aqueous phase liquids (DNAPLs), may fall to the bottom of reservoirs, since they do not mix well with water and are denser. • Polychlorinated biphenyl (PCBs). • Trichloroethylene. • Perchlorate. • Various chemical compounds found in personal hygiene and cosmetic products. • Drug pollution involving pharmaceutical drugs and their metabolites. • Toxins from harmful algal blooms. • Inorganic contaminants, including organometallic compounds, cover all chemical compounds except the organic compounds. Some of the regulated inorganic chemicals (IOCs) include nitrate, cyanide, and toxic metals (arsenic, fluoride. etc.). Inorganic water pollutants include: • Acidity caused by industrial discharges. • Ammonia from food processing waste. • Chemical waste as industrial byproducts. • Fertilizers containing nutrients - nitrates and phosphates. • Heavy metals from motor vehicles and acid mine drainage.
  • 80.
    4-7 • Silt (sediment)in runoff from construction sites, logging, slash and burn practices or land clearing sites. • Biological contaminants are pathogenic microorganisms. Inadequately treated water may contain disease-causing organisms, or pathogens. Pathogens include various types of bacteria, viruses, protozoan parasites, and other organisms. Regulated biological pathogens, indicators, and treatment techniques (TT) are shown below: • Pathogens that EPA regulates: • Cryptosporidium. • Giardia lamblia (G. lamblia). • Legionella. • Viruses (enteric). • Indicators that EPA regulates: • Turbidity. • Fecal coliform or Escherichia coli (E. coli). • Fecal indicators (Enterococci or coliphage). • Total coliforms (revised to a TT under the Revised Total Coliform Rule). • Treatment techniques and Maximum Contaminant Level for indicators: • Turbidity. • Total coliforms. • Fecal coliforms and E. coli. • Fecal indicators (Enterococci or coliphage), and E. coli. • Radionuclides (RADs) are an unstable form of a nuclide. A nuclide is a general term applicable to all atomic forms of an element. The number of protons and neutrons in the nucleus characterize nuclides, as does the amount of energy contained within the atom. Nuclides may occur naturally or be artificially produced. There are four RADs currently regulated by the National Primary Drinking Water Regulations. Usually RADs come from natural deposits (except beta particles that are usually man-made). The regulated RADs are listed below: • Combined radium-226/-228. • (Adjusted) Gross alpha. • Beta particle and photon radioactivity. • Uranium. • Tritium. • Strontium.
  • 81.
    4-8 4.6.3 Treatment Because surfacewater is subject to contamination by humans and natural processes, and because its quality can vary considerably over time, a relatively high degree of treatment is required to ensure surface water’s safety on a continuous basis. Surface water treatment is generally more sophisticated than ground water treatment, requires more diligent operation and maintenance, and results in higher costs. 4.6.4 Sanitary Deficiency Questions and Considerations – Water Quality 1. Does the system monitor raw water quality? Has raw water monitoring of the source(s) indicated high levels of E. coli or Cryptosporidium? A review of monitoring data required under the LT2 rule will indicate if the source has elevated levels of E. coli or Cryptosporidium. If the level of Cryptosporidium is high enough, the water system will have been required to provide additional treatment to remove or inactivate the oocysts. If there are multiple sources, was each source monitored as required under LT2 or at least monitored after a common blending location before the system applied any treatment? Did the system conduct monitoring after all raw water was no longer subject to additional runoff? Most drinking water regulatory monitoring requirements relate to treated water, which is water in the treatment process, at the entry point to the distribution system, or in the distribution system. Water systems should have an appropriate raw water monitoring program to track changes in quality that includes attention to periods of high runoff, drought, and other stressful situations, such as potential or actual contaminant sources. 2. Are there any abandoned, unused, or auxiliary sources? Surface supplies physically connected to the water system may contaminate finished water through a cross-connection. For example, any feed lines that are used to treat raw and finished water can easily create a cross-connection if the treatment inlet to the raw water does not have a sufficient air-gap to prevent siphoning of raw water to finished water in the event of a pump or power failure. Has the system physically disconnected transmission lines from abandoned sources? 4.7 Source Water Protection The Safe Drinking Water Act (SDWA) Amendments of 1996 required states to develop and implement SWAPs to analyze existing and potential threats to the quality of the public drinking water throughout the state. Using these programs, many states have completed source water assessments for most if not every public water system – from major metropolitan areas to the smallest towns. Even schools, restaurants, and other public facilities have surface water supplies previously assessed by inspectors. A source water assessment is a study and report unique to a specific water system that provides basic information about the water used to provide drinking water. States should work with local communities and public water systems to identify protection measures to address potential threats to sources of drinking water. The inspector should review the results of the system’s source water assessment before source inspection. The report may provide valuable information that will aid the inspector in evaluating the source water protection practices of the water system.
  • 82.
    4-9 In general, systemsshould follow the steps below to protect the water source: 1. Define the source water protection area. 2. Inventory actual or potential sources of contamination in the defined area. 3. Determine the susceptibility of the system to sources of contamination. 4. Develop a Source Protection Plan with protection measures and include contingency measures and a plan for the future. 5. Implement measures to control sources of contamination. During the sanitary survey, the inspector should determine the adequacy of the system’s source water protection program that may include an evaluation of resources devoted to the effort. The inspector may also have to consider: • Does the system have an actual program? • Is the program active? • Is the program able to control sources of contamination identified in the source water assessments? • Did the system discontinue a program because the system was unable to implement tasks such as identifying or controlling sources of contamination? Figure 4.1 shows a delineated source water area with surface water intakes and wellheads, and potential contaminant threats. Figure 4-1: Source Water Protection Map 4.7.1 Sanitary Deficiency Questions and Considerations – Source Water Protection 1. Is the system implementing a plan to protect watershed or aquifer-recharge areas?
  • 83.
    4-10 Source water protectionplans for ground water or surface water sources are an effective way for systems to protect source recharge areas from contamination. The inspector should determine if such a plan is in place and evaluate its effectiveness. 2. What is the size of the protected area and who owns it? To reduce the extent of contamination of their watersheds or recharge areas, many utilities have chosen to purchase a portion of these areas. Another method is to restrict activities through zoning ordinances or regulations that prohibit certain land uses within a certain area. Ownership with restricted access is the most stringent measure, but it is also the most costly. If ordinances are used, the inspector should determine how they are enforced. 3. What is the nature of the protection area? Is the protection area industrial, agricultural, forest, or residential? As previously noted, activities in the watershed affect the water quality of runoff. The potential for spills from industrial activities, herbicides and pesticides from agricultural land uses, organics from plant decay, and animal-borne diseases are a few problems associated with land use in a watershed. 4. Has the system surveyed the watershed area? If the utility has had a survey conducted, the inspector may be able to answer many of the above questions by referring to the report. The fact that a utility has conducted such a survey indicates it is concerned about protecting its water supplies. 5. Is there an emergency spill response plan? Some industries (e.g., petroleum) are required to have emergency spill plans. The utility should identify potential spill sites and develop contingency plans to deal with any spills. However, because a plan is only paper, the utility must also identify the necessary equipment and personnel. In addition, water systems must be an integral part among relevant agencies (e.g., fire, police, etc.) including the participation in drills prior to any emergency. 4.8 Reservoirs The type of surface water source (e.g., lake, stream, etc.) is an important factor that can affect raw water quality. A stream with a large watershed in which a land use is predominantly farming, may experience large swings in raw water turbidity, particularly after a rainfall event. The use of a lake or reservoir with the same general watershed characteristics greatly reduces the potential for large raw water turbidity swings due to the dilution and settling that occurs. Reservoirs, compared to rivers, may offer several advantages: • As described above, reservoirs should be capable of storing large quantities of water that can provide water for an extended amount of time. These raw water reserves provide operators with an opportunity to better plan for the future and provide a more stable water quality.
  • 84.
    4-11 • While rainstorms,snow melt and flooding events create an inconsistent and rapidly changing raw water quality, these conditions are not as prevalent in reservoirs. In addition, because of the large quantity of water, large area, and minimal flow variations in a reservoir, settling of particles results in better water quality. • Natural settling takes place in a reservoir, providing better raw water quality. Water systems also have the option to construct multiple intakes at different levels in a reservoir, which allow an operator to select a level that provides the best raw water quality. With the more prevalent extreme weather events, operators should understand the importance of the ability to select the best water quality. 4.8.1 Sanitary Deficiency Questions and Considerations - Reservoirs 1. Does the system add any chemicals to the reservoir? Determine if the system adds any chemicals to the reservoir and why. Typically, the only chemicals added are for algae control. However, in some drought stricken areas, there are chemicals systems can apply that can reduce evaporation rates. Ensure only approved chemicals are used, that they are properly applied, and that there are no discharges of treated water that cause violations of the Clean Water Act. 2. Is the area around the intake restricted? Restricting contact sports (e.g., swimming and water skiing) and the use of powerboats near the intake is important. These restrictions help reduce the coliform and organic pollution of the intake water. The inspector should note whether the water system is following any restrictions. 3. Are there any pollution sources near the intakes? Identify any sources of pollution such as wastewater discharges, feedlots, marinas and boat launching ramps. The system must restrict these activities around their intakes by distance or defensive measures. Does management have records and understand the results from their source water monitoring for Cryptosporidium under LT2? 4. Is the intake structure designed to draw water from different levels? Because of fluctuating water surface elevation and variable water quality, systems should have intake structures designed to draw water from different depths. Seasonal turnover of the reservoir, algae blooms, and thermal stratification can cause water quality problems. These concerns apply to deep reservoirs. Streams and shallow reservoirs generally are not subject to stratification. If the structure can draw water from different levels, are the operators regularly exercising and maintaining the valves? 5. Is the system drawing the highest quality water? The operator should perform monitoring tests to determine the water quality at various depths in order to draw the best quality water. The inspector should ask the operator how the intake level is selected, what tests are performed, and at what frequency. Suggested tests are algae counts, dissolved oxygen, metals, turbidity, and nitrogen values.
  • 85.
    4-12 6. How oftenare intakes inspected? As with all components, the system must periodically perform maintenance on the intake structure. Removal of debris and inspection of intake screen integrity prevents damage to piping valves and pumps. This is particularly important during winter if there is a possibility of ice buildup, or anytime if zebra mussels, etc., are a problem. Ask the operators what their inspection schedule is and what they are supposed to be inspecting and maintaining. 7. What conditions cause fluctuations in water quality? Conditions such as stratification, algae blooms, ice formation, drought and low water level, on-shore winds, flooding, and changing currents may adversely change water quality. Identify the conditions creating such problems along with the measures the system is taking to mitigate them. 8. When did the system last have the dam inspected for safety (if applicable)? Routinely have dams inspected to avoid conditions that may endanger their integrity. Many states require such inspections; however, operators should routinely check for signs of leakage, erosion, sinkholes, burrowing animals, and trees growing in the face of the dam. The inspector should visually check to see if any of these conditions exist. 4.9 Streams and Rivers 4.9.1 Impact on Treatment Streams that receive runoff from large uncontrolled watersheds may be the only feasible sources of water supply. The physical, chemical, and bacteriological quality of streams and rivers varies and may impose unusually or abnormally high loads on the treatment facilities. Figure 4.2 shows a stream impoundment. Figure 4-2: In-stream Drop Inlet Location
  • 86.
    4-13 4.9.2 Intake Location Streamand river intakes should be located upstream from wastewater discharges, storm drains, and other sources of contamination. If possible, a water system should pump water when the silt load is low. A low-water stage usually means that the temperature of the water is higher than normal and the water is of poorest chemical quality. Maximum silt loads, however, occur during maximum runoff. High-water stages shortly after storms are usually the most favorable for diverting or pumping water to storage. These conditions vary and systems should develop operating plans for the various conditions for the particular stream. Many systems have no raw water storage facilities and have to meet daily demands with run-of-the­river water quality. 4.9.3 Sanitary Deficiency Questions and Considerations – Streams and Rivers 1. Is the area around the intake restricted and clearly marked? Restricting areas around intakes in streams and rivers may be more difficult than for those in reservoirs. Whenever possible, operators should identify the location of the intake with an appropriate buoy or other form of demarcation, and they should inspect the location daily and reposition the marker if necessary. Watercraft do not have as much room on rivers as they do on reservoirs to navigate around intakes and their markers as well as any other restriction areas. 2. Are there any pollution sources near the intakes? Identify any sources of pollution such as wastewater discharges, feedlots, marinas and boat launching ramps. Whenever possible, the system should restrict these activities around their intakes by distance or defensive measures. Does management have records from their source water monitoring for Cryptosporidium under LT2? 3. How often are intakes inspected? As with all components, the system must periodically perform maintenance on the intake structure. Removal of debris and inspection of intake screen integrity prevents damage to piping valves and pumps. This is particularly important after significant rain events and during the winter, if there is a possibility of ice buildup. Significant rain events can wash large debris into the stream and increase the flow rate, which creates a powerful destructive force. 4. What conditions cause fluctuations in water quality? Conditions such as significant rain events (including those events miles upstream from the intake), algae blooms (but to a lesser extent than in reservoirs), ice formation, drought and low water level, on-shore winds, flooding, and changing rates of flow may adversely change river water quality. Identify the conditions creating such problems along with the measures the system is taking to mitigate them. 4.10 Infiltration Galleries (Riverbank Filtration) 4.10.1 Use and Location Periods of heavy rainfall or spring thaws can adversely affect the quality of water available to infiltration galleries. Debris and turbidity may cause problems at the water intake and can
  • 87.
    4-14 increase the requireddegree of treatment. If the conditions are suitable, the water system can avoid this problem by constructing the intake in an underground chamber (infiltration gallery) along the shore of the stream or lake. Operators of infiltration galleries must be cognizant of activities within the watershed where unexpected incidents can adversely affect the quality of water at the intake structure. Clear, mountain streams in areas once considered pristine, may now have experienced various development activities – recreational or residential areas, logging (deforestation), etc. Whether conditions in the watershed have changed or not, and even in the absence of all human activity, never consider these "clear" streams pristine as they may harbor contaminants like G. lamblia or Cryptosporidium, which are passed through warm-blooded animals. 4.10.2 Use with Streams and Lakes Water systems may consider the use of infiltration galleries where porous soil formations adjoin a stream or lake to intercept water underground and take advantage of natural filtration. Systems should locate any gallery access structures above the level of severe flooding. 4.10.3 Components A typical installation generally involves the construction of an under-drained, sand filter trench, parallel to the streambed and about 10 feet from the high-water mark. The sand filter is usually located in a trench at least 30 inches wide and about 10 feet deep, sufficient to intercept the water table. At the bottom of the trench, perforated or open joint tile lays in a bed of gravel, about 12 inches thick, with about 4 inches of graded gravel over the tile to support the sand. At least 24 inches of clean, coarse sand covers the embedded tile, and fairly impervious material backfills the remainder of the trench. The collection tile drains to a watertight, concrete chamber from which water may flow to the distribution system by gravity or pump, whichever is appropriate. Figure 4-3: Example of an Infiltration Gallery Where soil formations adjoining a stream are unfavorable for the location of an infiltration gallery, systems may control the debris and turbidity occasionally encountered in a mountain
  • 88.
    4-15 stream by constructinga modified infiltration gallery in the streambed. 4.10.4 Using a Dam If there is no natural pool in the streambed, the state or other applicable government agency may issue a permit to construct a dam across the stream to form a reservoir. At least 24 inches of clean, coarse sand covers the filter that consists of perforated pipe in a bed of graded gravel in the reservoir. There should be about 24 inches of free board between the surface of the sand and the surface water level. The collection lines may terminate in a watertight, concrete basin located adjacent to the upstream face of the dam through which gravity or pumps divert the water to chlorination and treatment facilities. 4.10.5 Ranney Well Collector Ranney well collectors are located in the flood plain to draw water from a riverbed water table. These are similar to infiltration galleries in that perforated or screened collection lines extend radially from the bottom of a caisson. The water level in the caisson rises to that of the river and serves as the chamber from which pumps from a pump house above the collector draw the raw water. Figure 4-4: Ranney Well 4.10.6 Sanitary Deficiency Questions and Considerations – Infiltration Galleries Note: The sanitary deficiencies related to streams and rivers also apply to this section. 1. Does the system provide adequate security for the pump house and the area around the collection area? The water system should provide security for the pump house and the surrounding collection area, the same as they would for a ground water system with wells. The inspector should determine what measures the system employs for notification of operators for various problems including pump failures, loss of disinfection, general power failure, etc.
  • 89.
    4-16 2. What conditionsor events trigger a more thorough inspection of the collection system? Significant rain events, flooding and winter freezes can adversely affect the collection of water. Large debris, ice and floods can wash out areas above the collection laterals and actually wash away or damage the laterals. Water systems should also consider inspecting the system with a camera every few years to determine the condition of the screens and laterals. 3. If the system received a permit to construct a dam, when did an engineer last inspect the dam? Water systems should routinely have dams inspected to avoid conditions that may endanger their integrity. Many states require such inspections; however, operators should routinely check for signs of erosion, sinkholes, burrowing animals and trees growing in the face of the dam. 4.11 Roof Catchments Roof catchment systems are designed to capture, store and, and treat rainwater for both non- potable (such as toilet flushing and irrigation) and potable uses (such as drinking, washing, and cooking). While the quality and quantity of rainwater may be questionable, these systems may also be a reliable source of water available to a small community or an individual. The type of roofing material, its age, and the amount of debris collected on the roof, including bird or other animal droppings, affect the quality of water. Regulatory agencies classify rainwater as surface water. If rainwater serves a public water system, then SDWA rules apply. Examples of rainwater systems include a hotel roof catchment system, a subdivision with a common rainwater cistern and treatment system, an industrial facility rainwater system to serve employees via sinks and drinking fountains, or any other cooperative rainwater system. 4.11.1 Roof Catchment Treatment Primacy agencies would specify roof catchment system feasibility, treatment, cross connection, and any general design requirements. Owners of roof catchment systems connected to premise plumbing that also connects to the distribution system of a public water system must provide adequate, annually inspected, backflow protection, per state plumbing code requirements. As indicated above, rainwater PWSs are subject to the surface water treatment rules. The example illustration below depicts a home potable rainwater system that may also collect in a common cistern, providing source water to a PWS. The illustrated filtration includes a 5 micron cartridge filter in series with a similar 1 micron filter, connected to a UV system (40 mJ/cm2 at 254 nm) that then provides water to the home or PWS. The owner/operator adds sufficient chlorine to the cistern, to maintain a residual throughout the distribution system. Any treatment, including disinfection, should achieve a minimum recommended 99.9% (3-log) inactivation of Giardia prior to any potable access. 4.11.2 Rainwater System Common Components • Collection: Rainwater collects in a roof gutter, which then directs the water through one or more downspouts into a storage tank.
  • 90.
    4-17 • Diversion box:The first water that runs off the roof usually contains the maximum amount of debris and bird droppings. The diversion box prevents this material from flowing into the storage tank. • The tank (cistern): The tank is usually constructed of plastic, concrete, fiberglass, or metal. The design for the tank size generally depends on projected rainfall across the roof surface as well as system demand. • The tank cover: The tank’s manhole should have a “shoebox” designed cover framed at least 4 inches, and preferably 6 inches, above the surface of the roof to ensure a good fit. The opening should be fitted with a hinged, lockable, watertight cover that extends down the frame at least 2 inches. The inside of the cover usually has a rubber gasket to provide a seal. The gasket should be pliable. Figure 4-5: Roof Catchment System Example Figure 4-6: Roof Catchment Collection System
  • 91.
    4-18 • Drainpipe: Thetank should have a drainpipe with an exterior valve placed close to a wall of the tank at the floor level to permit draining. The end of the pipe should extend far enough to allow free discharge to the ground surface, away from the tank. • Overflow: The tank should also have an overflow pipe placed slightly below its maximum water level elevation that discharges any overflow onto a drain apron such as rip-rap or concrete pad to prevent erosion. The overflow pipe could allow insects and small animals direct access to the water in the tank unless a 24-mesh screen covers the discharge end of the pipe. A flapper cover alone may not be adequate protection as debris, ice or snow can prevent the flap from completely closing. • Intake to system: Water flows through a screened intake line located about 6 inches above the floor of the tank to provide water to the distribution system. Inspect the area between the intake pipe and the concrete structure for signs of leakage. 4.11.3 Sanitary Deficiency Questions and Considerations – Roof Catchments 1. What is the condition of the roof? Old roofs, especially roofs made of galvanized metal, can contribute to high concentrations of contaminants. 2. Is there a diversion box? This is key to reducing contamination. Is excessive debris clogging the box, and does the box properly divert debris during the initial rainfall? 3. What is the condition of the gutter system? The gutters should be in good repair and protected from excessive debris. 4. Is the collection chamber properly constructed? The tank cover should be lockable with a watertight shoebox lid. The outlet of the overflow should be properly screened and direct water away from the tank onto a drain apron such as rip-rap or concrete pad to prevent soil erosion. Obtain this information by inspecting the collection tank. 5. Is the supply intake adequate and properly maintained? Is the supply intake properly located, and is the tank-side of the intake screened? The screen and location reduces the withdrawal of sludge or debris that may build up in the chamber. Ask the operator to pump water from the chamber through a blow-off valve, if available, to see if sludge or otherwise discolored water is visible which would indicate the tank needs cleaning. If larger debris particles are present, the screen on the tank side of the intake is either damaged or missing. The diverter box may also need maintenance. Are the roof area and gutter system properly sized for adequate collection of water? 6. Is the roof catchment system cross-connected to another public water system? The water system must have backflow prevention protection between it and any private, and possibly “communal”, roof catchment systems. These cross-connections may be
  • 92.
    4-19 either direct orthrough premise plumbing to the distribution system. Does the system know the results and date of the last inspection of the backflow prevention device? 4.12 Significant Deficiency Examples for Surface Water Sources All significant deficiencies listed below are examples only. Each primacy agency may have identified a different set of significant deficiencies than those listed. The state (primacy agency) determines both significant deficiencies and the corresponding corrective actions: • No or inadequate access buffer (restricted area) around surface water intake structure. • Inability to draw water from different depths at surface intakes. • No emergency or secondary source. • Cross-connections between treated and untreated water.
  • 93.
    5-1 5 Water SupplyPumps, Pumping Facilities and Controls Pumps and pumping facilities are essential, yet vulnerable, components in nearly all water systems. Improper design, operation, or maintenance of pump systems can pose serious sanitary deficiencies, including a complete loss of the water supply. To assess the safety, adequacy, and reliability of the entire water system, the inspector must include water supply pumps and pumping facilities as an integral part of the sanitary survey. The primary purpose of reviewing the pumps is to verify they are in proper working order, to ensure they are the best fit for their intended use, to determine their reliability, and to establish if there are any sanitary risks. The primacy agency will obtain information about the pumps, including available data from previous sanitary surveys, the emergency power system (if available), pump tests and remote monitoring controls and alarms. 5.1 Learning Objectives By the end of this chapter, students will be able to: • List the regulatory standards that apply and key data required to conduct a sanitary survey of a pumping facility. • Identify various types of water supply pumps, their appropriate uses, and their associated components. • Recognize sanitary deficiencies and serious safety hazards associated with physical facilities including the pumping station, pumping equipment, appurtenances, and stand- by power systems. • Recognize sanitary deficiencies and serious safety hazards associated with procedures and practices including management, operations, and maintenance of pumping facilities. • Provide sanitary deficiency examples of pumps, pump facilities, and controls the primacy agency may identify as significant. 5.2 Data Collection The inspector should review the following data, if available, prior to conducting the on-site inspection of a pumping facility: • Operating records provided by the water utility. • The utility’s construction, operation and maintenance specifications. If this information is not available in advance, collect it during the inspection. Once in the field, during the initial interview with the operator, the inspector should develop a list of the pumps in the system to ensure evaluation of all during the sanitary survey.
  • 94.
    5-2 5.3 Regulations andStandards to Consider Prior to the inspection, the inspector should review and consider as part of the sanitary survey the following regulations: • State design standards for pumping systems. • ANSI/NSF International standards 60 and 61. • Chapter 2 of this Guide. 5.4 Basic Information Water Supply Pumps and Pumping Facilities There are several types of pumps and applications in water systems. Pumps used to transport water through the system are either variable displacement or centrifugal pumps. Other applications such as chemical feed, sludge removal, sampling, and air compression require positive displacement pumps. This chapter covers the prime movers of water and facilities, which house them. Subsequent chapters address other pumping applications. During the sanitary survey, the inspector must be able to evaluate pumping facilities and identify pumps by type to assess appropriate use. Each category of pump has its own operating characteristics and appropriate set of applications. There are multiple types of pumps in each category. 5.5 Water System Applications Water systems use several types of centrifugal pumps for a wide variety of applications. The most common applications are: • Well pumps (vertical turbine and submersible). • Gas chlorine system and vacuum booster pumps. • Backwash water pumps. • Raw water pumps. • Finished water pumps (high lift). • Booster pumps in distribution system. 5.6 Pumping Equipment and Appurtenances The inspector should evaluate the pumping equipment and appurtenances. This includes pumps, motors, drives, valves, piping, meters, gauges, electrical controls, and alarm systems. The integrity of the multiple barriers is dependent on the proper function and maintenance of this equipment. Pumps are critical to get water where it is needed, including higher elevations like storage tanks, to maintain the pressures needed to protect the distribution system barrier. Smaller pumps are critical for treatment, including disinfectant for the disinfection barrier. Protection of the source barrier is also dependent on the proper pumps, valves, and other appurtenances. Operators cannot visibly see much of a water system, so they must rely on the various appurtenances such as valves, gauges, meters and other controls. If these do not function properly or are missing, operators cannot reliably assess the integrity of the barriers.
  • 95.
    5-3 Figure 5-1: SubmersibleTurbine and Lineshaft Turbine Pump Units 5.6.1 Variable Displacement Pumps, Applications, and Components Variable displacement pumps are used in high-volume applications where an even flow rate is required (e.g., transporting water through the treatment and distribution systems). Their discharge rate varies with the head (i.e., as the lift or head increases, the pump output decreases). These pumps are not self-priming. Consequently, they depend on a positive suction head or an airtight seal on the intake side of the pump if the level of the water is below the impeller. The most common class of variable displacement pump is the centrifugal pump. Figure 5-2: Cutaway Illustration of a Centrifugal Pump
  • 96.
    5-4 Figure 5-3: CentrifugalPump: Horizontal-Split Case A centrifugal pump has a rotating impeller mounted on a shaft turned by the power source. The rotating impeller increases the velocity of the water and discharges it into a surrounding casing (volute) designed to slow its flow and convert the velocity to pressure. Centrifugal pumps classified as single-stage are equipped with one impeller, and multi-stage pumps contain two or more impellers. Multi-stage pumps are capable of pumping against greater discharge heads, but do not increase the volume of flow. Figure 5-4: Centrifugal Pump: Horizontal-Close Coupled Figure 5-5: Swing Check Valve
  • 97.
    5-5 Figure 5-6: GateValve 5.6.2 Appurtenances In addition to the general review of pumping equipment, the inspector needs to review and evaluate any appurtenances such as check valves, air relief valves, isolation valves, backflow prevention, etc., installed on the system. The inspector should also note any missing appurtenances that are critical to the operations of the pump and pumping equipment. 5.6.3 Sanitary Deficiency Questions and Considerations – Pumping Equipment and Appurtenances 1. Are the pumping systems equipped with: Check valves? On centrifugal pump systems, each pump should have an operating check valve. When observing the operation of each pumping unit during the sanitary survey, the inspector should pay particular attention to the check valve during the start-up and shutdown periods. The check valve should not slam open or shut. If it does, pressure surge or water hammer conditions could be occurring in the distribution system, resulting in breaks in the mains or service lines. When the pump is not running, the drive shaft should not spin backwards. Backspin is an indicator that the check valve is not functioning which, could lead to the impeller spinning off the drive shaft. Isolation valves? Each pump should have an isolation valve on the discharge line. In systems where the intake water level is above the pump impeller (an application known as “flooded suction” or “suction head”), an isolation valve is also required on the intake side of each pump. Isolation valves facilitate removing the pump for maintenance. Simply because a valve is present does not mean it is working. The inspector should ask the operator how frequently they exercise the valves and should request the opening and closing of one or more isolation valves.
  • 98.
    5-6 Pressure gauges? Each pumpshould have a discharge pressure gauge so the operator can measure the actual operating head conditions. A pressure gauge and flow meter are critical for determining pump capacity and detecting changes in operating conditions. In addition to a discharge pressure gauge, distribution system booster pumps should also be equipped with compound gauges on the intake side of the pumps. Compound gauges measure positive and negative pressures. Operators should not allow the pressure on the intake side of distribution booster pumps to fall below 20 psi because lower pressures can cause backflow problems in the distribution system upstream of the booster pump. Flow meter? The inspector should note if the pump has a flow meter and if the meter is functioning properly. A meter can help the operator detect changes in the system and take corrective action before a serious problem develops as well as provide more accurate accounting of water production. Depending on the location of the metered pump, knowing the flow can make determining contact time for disinfection a simple process. Flow meters should be equipped with totalizers to record the total amount of water pumped over a given time period. Figure 5-7: Turbine Flow Meter Blow-off line? Pumping systems, especially well pumps and raw water pumping systems, should be fitted with isolation valves and piping to direct the discharge to the open air and not into the water supply line. Blow-off lines facilitate flushing the immediate water source and testing the pump. Air/vacuum relief valve? To prevent air from entering the distribution system at startup and to prevent vacuum and possible collapse of the column pipe during shutdown, well pumping systems should be equipped with a foot valve (submersible well pumps) or air/vacuum relief units (vertical turbine well pumps). Some water systems may use snifter valves to vent flowing wells. Snifter valves used on flowing well
  • 99.
    5-7 pitless adapter spoolsare prone to failure due to hard water encrustation or scaling. Failure of the snifter valve can result in the leakage of water above the spool and above the frost line. Consequently, freezing and damage to the upper casing can occur. Water discharging out of a casing vent or between the casing and the well cap are indicators that the flow control mechanism within the casing is malfunctioning. Problems associated with snifter valve leakage outweigh the benefits of venting in this case. The inspector should determine whether the relief valve closes properly following startup and opens properly following shutdown. A properly installed discharge pipe on the relief valve points downward, has a screen, and terminates with a suitable air-gap (as needed to prevent cross connection). 2. Are there any cross-connections present? Inspectors may find cross-connections in: • Water lubricated bearing systems. • Pump seal water lubrication systems. • Air/vacuum release discharge lines. • Priming lines for suction-lift pumps. In each case, if the source water for these systems is treated water, the potential for backflow exists. Water systems must protect themselves by using air-gaps or approved backflow prevention devices. Chapter 12 – Cross-connections provides a thorough description of cross-connections and examples. 3. What are the number (including reserves), location, and type of pumps? There should be at least two equal pumping units for each application – except in the case of well pumps where another complete well system provides suitable backup. The system may use pumps for various reasons, and the operator should match the type of pump to the application. For example, do not use centrifugal (variable displacement) pumps to feed liquid chemicals when precise delivery is required against a variable head. Talking to the operator and reviewing plant schematics can provide this information. 4. Is the actual capacity of the pumping facility adequate to meet the demand? Pumps should have ample capacity to supply enough water to meet peak demands. The required reserve capacity for pumps may vary from state to state, but a rule of thumb for a water supply/multiple unit/constant speed pump application is: With the largest pump out of service, the remaining available pumps should supply the average daily demand within a maximum combined pumping time of 18 hours. A review of pump system operating records should provide this information. Booster pump stations are generally not adequate for providing constant pressure to the distribution system and, therefore, the water system should use storage tanks on the high-pressure side in conjunction with the pump stations. 5. When and how are pump capacities determined?
  • 100.
    5-8 The inspector shoulddetermine the results of any pump tests and the last date of each pump rating. The inspector should also verify that the method used was correct. This is particularly important when the water system uses elapsed-time meters (pumping time) to estimate water production. For example, 10 years ago the pump may have operated at an average of 8 hours per day. Now the same pump averages 12 hours per day. The question is has the increase in running time been due to an increase in water demand or a change in operational strategy, or has pump output capacity been reduced because of an increase in operating head or mechanical wear? The reason can only be determined with a functioning flow meter and pressure gauge and suitable operating records. Upon reviewing pump operating records, the inspector should determine if duplicate pumps are equally productive. Figure 5-8: Booster Pump Station Figure 5-9: Lineshaft Turbine Pump Station 6. What is the condition of the equipment? All units operable?
  • 101.
    5-9 All pumps shouldbe operable. A serious sanitary deficiency exists, for example, if only one of two raw water pumps is functional. The inspector should inquire about the operation strategy of the pumps. Ask how often backup units are exercised. If there is no disruption to the operation, the inspector should ask the operator to run each unit, one at a time, to observe it. While each pump is operating, the inspector should examine the state of repair by looking and listening for excessive noise, vibration, heat, odors, and leaking water or lubricant. The inspector should also look for signs of moisture and dirt around motor cooling inlets. Figure 5-10: Submersible Turbine Pumping Station Figure 5-11: Pumping Station/Well House
  • 102.
    5-10 Excessive noise, vibration,heat or odors? While running, the pump and motor should have a smooth sound and should not be excessively hot. Excessive noise, vibration, and heat indicate serious problems such as bearing failure, shaft misalignment, pump cavitation, impeller wear, or motor breakdown. Heat and the smell of ozone or burning insulation can indicate many problems including motor winding failure, poor power supply, excessive current draw, loose connections, and motor control system deficiencies. Any one of the items cited above is an indicator that immediate maintenance is required. Leaking water? A pump stuffing box requires a constant drip of water through the packing gland, not an excessive spray. Leaking water can produce moisture around the motor, unsafe conditions around the pump room, and a pathway for contaminants to enter the water supply if vacuum conditions occur at the stuffing box when the pump shuts off. Dirt and grime? The inspector should look for signs of dirt around the motor cooling fins and air intake ports. Dirt and grime can inhibit the flow of air necessary to cool the motor windings. Leaking lubricant? Over lubrication of pumps and motors may cause bearing failure and motor burnout. Signs of improper or excessive lubrication are grease pushing out of bearing seals and grease or oil accumulating around the pump and motor. 7. Are the correct types of lubricant used? Use ANSI/NSF-approved lubricants where parts come in contact with the water supply (i.e., stuffing box, oil-lubricated well shaft bearings, and check valves). It is not necessary to use ANSI/NSF-approved lubricants on components that do not come into direct contact with the water supply (i.e., motor bearings, shaft, and external pump bearings). Ensure the system uses any lubricants according to the manufacturer’s recommendations. 8. Is the frequency of addition and amount of lubrication adequate? The inspector should observe the level and appearance of oil in pump and motor lubricant reservoirs to determine if the operators properly maintain the condition of lubricants. For example, moisture has contaminated oil that has a milky appearance. In the case of well pumps, the type and amount of lubrication are particularly important. Some manufacturers design vertical turbine pumping systems with oil-lubricated shaft bearings. If the sealing tube surrounding one of these bearings fails, oil will enter the water supply. The inspector should find out how much oil the operator regularly adds and compare that to the amount used when the equipment was new. A significant increase in oil addition is a sure sign of a broken seal.
  • 103.
    5-11 An indication thatoperators do not properly lubricate or grease pumps are unbroken painted surfaces covering the grease fittings and exit port plugs. A schedule for lubrication should be part of a preventive maintenance program. 5.7 Pumping Facilities The inspector should evaluate the pumps as well as the facilities that house pumping systems. These facilities include well houses, booster stations, and raw and finished water pumping stations. 5.7.1 Sanitary Deficiency Questions and Considerations – Pumping Facilities 1. Is security adequate? Pumping facilities should be protected against vandalism and unauthorized entry. The perimeter of the property should be fenced and the building’s doors and windows locked. Check around the outside of the building for electrical panels, switches, and valves. Make sure there is no public access. Also, ensure the water system has protected structural drain and vent openings in the building with a recommended 24 mesh screen to prevent insects and animals from entering. 2. Is the building and equipment protected from flooding? The pumping station should be at least 3 feet above the highest flood level, and surface runoff should drain away from it. Pumping stations should have adequate drains to protect the pumping equipment from flooding if a pipe breaks inside the facility. Water systems should have compartments that are below grade, such as wet wells and dry pits, properly sealed to prevent the entry of undesirable water, either through the walls or from surface runoff. Dry pits should include a sump and sump pump. Check to make sure that electrical controls and motors are not subject to flooding. 3. What is the structural condition of the building? Check the condition of the walls, roof, windows, and doors to make sure that rain cannot enter the building, and check concrete floors and masonry walls for cracks. The control panel should be located near the door and not across the room as shown in the illustration. The operator should be able to shut off power without having to cross through water to access the panel. Cracks around pump piping indicate water hammer conditions when pumps start or stop. This can result in pressure surges that cause breaks in the distribution system. 4. Are heating, ventilation, and lighting adequate? Water systems in colder climates should provide heat to buildings with pipes and other applicable equipment subject to freezing, as well as ventilation in all climates to reduce heat, moisture, and corrosion. The interior of the building should have permanent lighting to facilitate inspections and maintenance at night. 5. Can operators access and remove equipment from the building for maintenance? Check to see that there is access to the equipment for inspection and maintenance. In addition, there should be a way to remove large equipment from the building. For
  • 104.
    5-12 example, a wellhouse should have a removable access hatch in the roof directly over the well. This makes it easier to use a crane to remove mechanical equipment. 6. Is the building orderly and clean? The inspector should observe the order and cleanliness of the pumping facility. Dirt can combine with lubricants and reduce bearing life. In addition, dirt and moisture form an insulating coating on motor windings and can cause the motor to burn out. Are there signs of animal activity (e.g., mouse or bird droppings, nests, etc.)? Poor housekeeping is in most cases a sign of poor operation and maintenance (O&M). However, do not automatically assume that an orderly and clean room indicates the water system follows good O&M practices. 7. Does the system use the pumping station for storage? Operators should not use the pumping equipment room to store hazardous, flammable, or corrosive materials. Chemicals (including water treatment chemicals such as chlorine, hypochlorite, fluoride, and sodium hydroxide) should be stored in and fed from a room separate from the pumping equipment and electrical controls. (For more information on chemical feed and storage, see Chapter 6 – Chemical Feed Systems.) 8. Is safety equipment adequate? Each pumping station should be equipped with a fire extinguisher rated at minimum for class B (flammable liquids) and class C (electrical equipment) fires. Also, check if the water system has identified all confined spaces and has provided proper ventilation. The operator should activate the vent fans and test the atmosphere prior to entry. Follow all Occupational Safety and Health Administration, confined-space entry procedures when entering any confined space, if allowed. Check that all access ladders are firmly anchored and structurally stable. Figure 5-12: Low-Flow Switch 5.8 Controls Automatic systems are widely used to control pumping cycles. The inspector should evaluate the control system and determine if it is suitable for the application, if it is functioning properly, and
  • 105.
    5-13 if it isequipped with resets and a manual override switch. Based on the pressure in the system, controls should automatically regulate pumps that supply water to the distribution system. 5.8.1 Sanitary Deficiency Questions and Considerations - Controls 1. Is the motor control system adequately designed and reliable? An example of unsuitable application of a control system is the use of time clocks alone to control finished water pumps. In this case, the pumps would not supply additional water if demand were unusually high, for example if a main breaks or firefighters must connect to a hydrant. This could result in low pressure or a total loss of supply. The inspector should ask the operator how frequently, if ever, he or she resets the motor controls or operates the pumps manually in order to maintain the system pressure. A hydropneumatic system typically uses a simple pressure switch to cycle pumps off and on. The inspector should check to see that the system is operating properly and should make sure there is no shut-off valve between the pressure switch and the pump. If there is a closed valve between the pressure switch and the pump, the system will call for water and the pump will become damaged by pumping against a closed valve. 2. Is the pump system equipped with an adequate failure alarm system? The pump control system should be equipped with failure alarms. If the pump fails to start, or stops for any reason other than normal shutdown on the automatic cycle, an alarm system should activate to notify the operator that the system has failed. The water system should also consider the type of alarm. Many pumping stations are equipped with a flashing light or a horn situated outside the building and activated when the system fails. This type of alarm depends on someone actually seeing the light or hearing the horn and calling the water system operator. It is not, of course, foolproof. A more dependable alarm system is one connected to a telephone line and programmed to dial automatically a series of telephone numbers until an operator responds and corrects the problem. 3. Does the auxiliary equipment have fail-safe devices? The inspector should evaluate the control sequence for equipment that operates in conjunction with the main pump and motor. For example, the electrical supply to a chemical feeder that activates automatically with the water pump motor should be equipped with an automatic shutdown device in case the pump fails to produce water for any reason. The system can do this by installing a “low-flow” or “low-pressure” cutout switch between the pump and the check valve. This device must sense water flow or pressure in order to energize the chemical feeder. The absence of such a device has led to a significant overfeed of chemical in many cases. 4. Are controls equipped with elapsed time meters? Motor control systems should be equipped with an elapsed time meter for each pump. This meter is similar to an automobile odometer and registers the cumulative running time of the pump motors. The operator can use this information to schedule maintenance, estimate pump output, and compare duty cycles and efficiency of equal pumping units. 5. Does the system adequately protect controls?
  • 106.
    5-14 The inspector shouldtake note of the general condition of the control devices and that protective cabinets house the devices and equipment. Control enclosures that are outside buildings should close tightly and have a National Electrical Manufacturer Association 4X rating (weatherproof). Control switches such as hand, off, or automatic switches, disconnects, and resets should not be accessible to the public. 6. Does the system adequately maintain control systems? The control systems should be included in the water system’s preventive maintenance program. Maintenance of these systems requires a particular expertise in industrial controls. A thoroughly trained operator or another expert in this area should be available to respond to system malfunctions. 5.9 Auxiliary Power The inspector should evaluate the need for auxiliary power and, if provided, should evaluate the design, condition, and O&M of auxiliary power units (APUs). Many states require either auxiliary power or two power sources. Figure 5-13: Auxiliary Power
  • 107.
    5-15 5.9.1 Sanitary DeficiencyQuestions and Considerations – Auxiliary Power 1. Is auxiliary power needed and, if so, is it provided? Auxiliary power may be necessary for the continuous operation of a water system. It is especially critical if outages are frequent or if a system has limited capacity for storing finished water. The inspector should ascertain the frequency and duration of previous power outages and what effect they have had on the water supply. The system should consult state design guidelines when determining the need for auxiliary power. 2. What type of auxiliary power does the system provide? What conditions activate auxiliary power? The system may provide emergency power by an auxiliary generator driven by diesel, natural gas, gasoline engines, or by engines directly connected to the pump drive shaft by a right-angle drive mechanism. Activation of the APU should be automatic upon the loss of primary power. There should be an “automatic transfer switch” that transfers the current load to the auxiliary power unit. Upon loss of power, the system should not require the operator to manually start the APU and transfer the load, although the system should allow manual operation. 3. Does the auxiliary power unit supply ALL electrical systems at the pumping station? In addition to the pump motor, the APU should operate all electrical functions in the pumping station, including lights, heat, ventilation, automatic controls, and – most importantly – any chemical feed systems that are connected. This is a problem when mechanically driven (right-angle drive) type systems operate only the pump during primary-power outages; consequently, untreated or partially treated water is pumped to the distribution system. 4. Where is the fuel tank located? Is the fuel tank for the APU underground? If so, is there a risk of fuel leaking into the water supply? If the fuel tank is above ground, is it mounted inside a spill containment vessel? 5. Does the system regularly exercise and properly test the auxiliary power unit? The inspector should ascertain how and how often the operators exercise and test the APU . Operators should exercise and test the auxiliary power system at least once a week or per manufacturer’s recommendations. If an actuator automatically exercises APU without an operator in attendance, there is no way to monitor the system’s performance and no way to detect small problems before they escalate. Furthermore, operators need to exercise auxiliary systems under a load. The APU should be the source of power for the pumping facility during the exercise period. This procedure ensures that all functions of the APU are tested and working properly. Water systems should keep records of APU exercising, and these records should include engine and generator gauge readings. 6. Is the auxiliary power unit secure and maintained in good condition?
  • 108.
    5-16 The inspector shouldcheck to see that the APU is included in the preventive maintenance program. Water systems should perform regular maintenance according to the manufacturer’s recommendations. The inspector should visually check the general condition of the unit for signs of leaking fluids or lubricants. Water systems should protect the APU from lightning and other elements as well as from public access. Ensure screens protect vent openings and openings around piping to prevent the entrance of animals. Generators will not run with a blocked exhaust port. 7. Are there any cross-connections between the auxiliary power system and potable water? Some APU engines use potable water for cooling. The inspector should determine how the unit cools the engine. If potable water is used, the coolant should not return to the potable system, and an air-gap or approved backflow-prevention device should protect the connection between the water supply and the engine. 5.10 Operation and Maintenance Earlier, this chapter addressed equipment-specific O&M concerns. During the sanitary survey, the inspector should also assess the overall O&M approach as it relates to the pumping systems from a programmatic standpoint. From this aspect of the survey, water systems should have written asset management plans for all pumps and associated equipment that includes estimated life expectancies, purpose, budgeting and other information (e.g., pumping capacities, sizing requirements, etc.) needed for their eventual replacement. There should also be a current inventory and location of spare parts available so operators can minimize down time in case of a failure. 5.10.1 Sanitary Deficiency Questions and Considerations – Operation and Maintenance 1. Are the number and skill level of the staff adequate for operating and maintaining the pumping facilities? Chapter 14, Utility Management, discusses recommendations on evaluating the management and operations staff. Only individuals trained in electrical and mechanical systems should be responsible for troubleshooting and maintaining pumping systems. If no one on the staff is competent in these areas, contractors should perform maintenance. 2. Do the operators maintain adequate operational records for pumping facilities? The system should maintain, at a minimum, the following operating records for each pumping unit: • Suction and discharge pressures. • Operating hours. • Flow meter readings. • Amperage and voltage readings. 3. Does the water system provide written standard operating procedures available, and do all operators follow them?
  • 109.
    5-17 All operators shouldfollow the same written operational procedures. This may be as complex as a comprehensive operations manual, or as simple as a one-page list of instructions. Written procedures should cover items such as daily operations and inspections (including a checklist), start-up and shutdown procedures, and responses to equipment failure and other emergencies. A well-managed water system should include contingency plans in their procedures. 4. Is there an established and documented preventive maintenance (PM) program? Improper maintenance can lead to system failures and sanitary deficiencies. A written PM program (also called an Asset Management program – see Chapter 15, Other Considerations) should be established and followed for each piece of equipment in the pumping facility. Water systems should base these programs on manufacturers’ recommended maintenance tasks and record maintenance information immediately upon completion. In general, smaller water systems need much less sophisticated PM programs; however, all water systems should have a program in place, even if it is very basic. The inspector should determine if specific components of a PM program exist and ask to see records. Critical components of a PM program include: • Equipment inventories: A record that includes data plate information such as model and serial numbers, manufacturer’s ratings, and performance specifications for each piece of major equipment. • Manufacturers’ technical literature: Provided with new equipment by its manufacturer. This includes O&M specifications, schematics, and spare parts lists. • Written PM tasks and schedule: A written list of PM tasks (from the O&M manuals), a schedule, and instructions for performing these tasks. This can be part of a computer program, or smaller systems can simply record tasks on index cards. • Records of maintenance performed: In small systems, operators can record completed maintenance on index cards. The inspector should look for recent dates and make spot comparisons to the task schedule. • List of technical resources: This should include manufacturers’ representatives for service and parts, local specialists for instrumentation maintenance, electrical and mechanical repair specialists, and construction contractors. • Tools: The operator should have a complete set of tools for performing basic maintenance. • Spare parts inventory: Critical and frequently replaced parts for pumping equipment should be included in the water system’s inventory. Materials not maintained in stock should be readily available from local suppliers or factory authorized representatives. 5.11 Safety Inspecting pumping facilities also includes observing any unsafe conditions that could pose a safety risk to the operator or other staff involved in the operations of the system.
  • 110.
    5-18 5.11.1 Sanitary DeficiencyQuestions and Considerations – Operation and Maintenance 1. Does rotating and electrical equipment have protective guards? The inspector should be concerned with safety as well as with the sanitary aspects of the equipment. Check to see that belts, gears, rotating shafts, and electrical wiring have proper shields to prevent injury. Note: While conducting the sanitary survey, the inspector should not wear loose clothing or a necktie. When evaluating an energized piece of equipment (e.g., a pump) and if necessary to touch the casing to see if it is running, only use the back of your hand. 2. Are there any indications of electrical shorts or over-heating? Look for any signs of black smudge marks on the equipment or nearby walls or support structures. Does any exposed wiring have missing or melted insulation? 3. Are fire extinguishers available? Fire extinguishers should be conveniently located, be properly marked, have valid inspection dates, and be of the proper kind for the different types of fires. 5.12 Significant Deficiency Examples for Pumps and Pumping Facilities All significant deficiencies listed below are examples only. Each primacy agency may have identified a different set of significant deficiencies than those listed. The state (primacy agency) determines both significant deficiencies and the corresponding corrective actions. • Inadequate pump capacity. • Cross-connections. • Inadequate / inoperable or unsecure control system. • No back-up pump. • Inadequate alarm system for booster pumps. • No pressure gauge on pump discharge line or on pump suction side. • No cut off for low pressure on pump suction side. • Well sanitary seal is not adequate.
  • 111.
    6-1 6 Chemical FeedSystems The sanitary survey inspector must evaluate water treatment processes to ensure the production of a safe, adequate, and reliable supply of water for consumers. The water treatment plant is the main barrier against unsafe water, and any malfunction in the treatment process could result in water quality problems. Of major importance is the consistent and continual feed of water treatment chemicals. The inspector must evaluate the operation, maintenance, design and location of the chemical feed systems to identify any sanitary deficiencies. 6.1 Learning Objectives By the end of this chapter, students should be able to: • Identify key data items required to evaluate sanitary survey risks associated with chemical feed systems at water treatment plants, such as whether liquid, gas or dry chemicals are being used. • Review of chemical feed systems as key components of water treatment processes, such as coagulation, flocculation, sedimentation, filtration and disinfection. • Recognize chemical feed system sanitary deficiencies as they relate to the physical facilities, operation and maintenance, and management. Issues may include inadequate treatment, inadequate application of water treatment concepts to process control, hydraulic surges, poor maintenance procedures (lack of O&M manual or failure to implement what is in the manual), staffing and funding deficiencies (lack of training), and cross-connections. • Identify safety issues that affect the operations staff, and could affect the facility’s ability to perform effectively. Safety issues may include chemical handling, chemical storage, and confined spaces. • Review regulatory issues that are appropriate to each specific process to determine their relationship to sanitary deficiencies. 6.2 Data Collection The inspector needs to obtain as much of the following information about the water system as possible before the survey, otherwise the water system must provide any missing or updated information during the inspection. 6.2.1 Chemical Usage in Treatment Processes The inspector should evaluate the following to assess the appropriateness of chemical usage in treatment processes: • Specific chemicals used and purpose of addition. • Quantities added. • Application points used.
  • 112.
    6-2 6.2.2 Chemical FeedEquipment The inspector should evaluate the following to assess the efficacy of chemical feed equipment and processes: • Type of feed system in operation (i.e., liquid, gas, solid). • Condition of feed system equipment. • Calibration procedures used. • Available redundancy for all systems. • Provision of safe and adequate chemical storage. 6.2.3 Process Control Data The inspector should verify the following to assess the quality of process control data: • Type and frequency of testing throughout treatment processes. • Availability and operability of on-line monitoring equipment. • Adequacy and consistency of data recording procedures. 6.2.4 Physical Facilities Information The inspector needs to evaluate the following on the system’s physical facilities: • Buildings and rooms where chemical feed systems are located with respect to accessibility, safety, and overall maintenance. • Operation, maintenance and design of chemical feed systems, such as adequately sized chemical feed pumps, proper ventilation, appropriate feed points, and adequate chemical storage. 6.3 Regulations and Standards to Consider The inspector needs to consider and review the following information prior to the inspection: • Chapter 2 of this Guide. • Specific regulations that apply to the facility. • Past inspection reports to identify previous compliance problems. 6.4 Purpose of Water Treatment The purpose of water treatment is to condition, modify, or remove undesirable impurities or pathogens in order to provide water that is safe, palatable, and acceptable to consumers. National standards for some of the impurities considered important to the health of consumers are set under the federal Safe Drinking Water Act (specified in Title 40 Code of Federal Regulations Part 141 with maximum contaminant levels (MCLs) and treatment techniques). If the levels of contaminants present exceed the established MCLs, water systems must provide the treatment necessary to reduce the levels. The regulations specify treatment techniques when MCLs are not appropriate for public health protection.
  • 113.
    6-3 Forty CFR Part143 specifies secondary standards for some impurities that affect the aesthetic qualities of water. These standards are not enforceable by the federal government, but states may choose to adopt and enforce them. Treatment or modification of the water to comply with secondary standards is highly recommended. Consumers may seek out unsafe sources if the drinking water supplied by the PWS has an undesirable appearance, taste, or odor. 6.5 Chemical Feed Systems Chemical feed systems are common to all types of treatment plants. They may feed treatment chemicals such as coagulants and disinfectants into the water, as well as corrosion inhibitors, pH adjustment chemicals, chemicals for taste and odor control, oxidants, and fluoride. Types of chemical feed systems include liquid feed pumps and dry feeders. 6.5.1 Liquid Feed Pumps Figure 6-1: Liquid Feed Pump (Hypochlorinator) These systems are very simple, as illustrated in Figure 6-1, and composed of these basic components: • Tank to hold the chemical solution. • Chemical feed pump (the illustration shows a diaphragm pump). • Injection valve with check valve. • Electrical control system with fail-safe flow switch. • Chemical storage area.
  • 114.
    6-4 6.5.2 Dry Feeders(Volumetric). In these feeders, operators base the feed rate on the volume of chemical rather than weight. Volumetric feeders can achieve acceptable performance for materials with stable density and uniformity, particularly at low feed rates. Figure 6-2: Volumetric Dry Feeder 6.5.3 Dry Feeders (Gravimetric) This type of system feeds dry chemicals based on actual weight. Consequently, it is more accurate than other types of dry feeders and better able to achieve the desired dose rates. Figure 6-3: Belt Gravimetric Dry Feeder
  • 115.
    6-5 6.5.4 Operation andMaintenance of Chemical Feed The proper operation and maintenance of chemical feed systems is critical to the overall performance of the treatment plant. For example, a conventional surface water plant cannot consistently achieve optimum performance unless its chemical feed systems are functioning properly. Issues the inspector should address for all chemical feed systems include: • Adequate maintenance, including a preventive maintenance program, spare parts for critical components, components that need regular replacement, and repair budgeting. • Back-up units for redundancy, particularly for critical processes, such as coagulation and disinfection. • Physical condition of buildings and areas housing feed equipment. • How often the operator calibrates the equipment. Storage of chemicals, including the segregation of incompatible chemicals that should not be stored together. For example, storing powdered activated carbon (PAC) and potassium permanganate (KMnO4) in the same area could result in explosion or fire hazards. Chemicals should not be stored where they could contaminate the system’s water supply in the event of a spill. • A hazardous communication program in place to deal with the handling of all chemicals. • Containment of chemical spills and the location of proper drains in chemical areas. • Safety in terms of the handling and feeding of chemicals and the availability and proper use of safety equipment, such as chemical goggles and respiratory protection. 6.5.5 Sanitary Deficiency Questions and Considerations – Chemical Feed Systems 1. What chemicals are used? The inspector should determine what chemicals operators use, if a certifying organization or agency has approved them for water treatment, and if the operators apply them properly. The operator should be aware of possible adverse effects of adding the chemicals, such as the development of disinfection byproducts, because of disinfection practices. 2. What is the amount of chemicals used? Operators should base the amount of chemicals used on process-control testing. The operator should be able to explain how the dosage is determined (such as by jar testing, pH measurement, or streaming current detectors) and the frequency with which this determination is made. The water system should only be using chemicals approved for use in potable waters by ANSI/NSF Standard 60 or other acceptable federal or state standards. 3. Where is the application point of each chemical? The inspector should note the application points and evaluate them in light of the purpose of the chemical addition. Chemicals may counteract each other if not applied in the
  • 116.
    6-6 proper sequence. Forexample, PAC will remove chlorine if it is fed downstream of the chlorine injection point. This situation often unintentionally wastes chlorine and PAC. Figure 6-4: Chemical Feed System Similarly, operators must add sequestering agents fed to control iron or manganese ahead of chlorine because the chlorine oxidizes the dissolved metals and renders the sequestering chemicals useless. For example, insoluble calcium fluoride may precipitate out of the water if the addition of fluoride compounds and lime are in close proximity to each other. Water systems should in general apply certain chemicals, such as corrosion inhibitors or fluoride, at the end of the treatment process. As a rule, the inspector should know the application points and feed rates of all the chemicals used in the system’s treatment plants. The inspector must understand the purpose of the chemicals in order to evaluate the feed locations and rates. Therefore, the inspector will often need to perform, either before or after the survey, some research on the chemicals used by the system. Chemical addition should not result in a cross-connection. For example, there may be a dilution water feed line taking finished water below the filters in order to provide disinfection to the top of the filters (i.e., unfinished water). This line would terminate below the maximum water level of a filter or the channel feeding water to the filter beds. This creates the possible back-siphon hazard of unfinished water entering the fresh water supply. 4. Does the system have adequate monitoring and testing procedures? Systems should monitor for the chemicals added as well as for the chemicals targeted for removal. This monitoring requires following standard testing procedures, using properly calibrated and maintained monitoring and testing equipment. The system should have adequate facilities to undertake this monitoring and testing. 5. What is the condition of the chemical feed equipment? The equipment must be functional and properly maintained. For example, with dry
  • 117.
    6-7 chemical feeders, theinspector should watch for problems with “bridging” of the chemical in the hopper. Operators should routinely check liquid feeder lines to ensure there are no obstructions. There should also be chemical feeder redundancy. Operators should replace chemical feed pump diaphragm foot valves, injection valves, and control valves at least once a year. Inspect the suction and discharge piping for discoloration and clogging. Operators must also replace discolored (opaque) feed tubing with clear tubing to allow for visual verification of chemical feed and the absence of clogs. The inspector should determine if there is a preventative maintenance program in place and should examine preventive maintenance and repair records. The chemical addition program is vital to ensure proper treatment, and the operator should have adequate spare parts or redundant equipment to prevent interruptions due to equipment malfunctions. 6. Do the operators routinely calibrate the chemical feed equipment? Operators should calibrate the equipment each time they start using a new batch of chemicals. They should also check the equipment feed rate at least daily. Ideally, the operator should calibrate chemical feed pumps at least annually. An alternative method is to use a graduated cylinder to verify the feed rate on a weekly or monthly basis. 7. Are instrumentation and controls for the process adequate, operational, and used? Controlling processes is difficult when instrumentation such as flow meters, turbidimeters, and chlorine residual analyzers are not functional or properly calibrated. The inspector should observe the controls and ask the operator about calibration checks and how they make process control decisions based on the measurements. The instrumentation is useless if the operator does not know the significance of the measurement. 8. Is chemical storage adequate and safe? As a recommendation, water systems should maintain a minimum of a 30-day supply of chemicals. To address safety concerns, liquid chemical storage needs level indicators, overflow protection, and spill containment. This is particularly important to prevent contamination of the aquifer by tanks located near a well. Chemicals stored in the same area should be compatible. For example, petroleum-based oils and lubricants must not be stored near oxidizers such as KMnO4 because of fire and explosion hazards. Chemicals must be stored in a manner that precludes a spill from entering the water undergoing treatment or the raw water source. PAC storage areas need to be dry and equipped with an explosion-proof electrical system. Make sure that sodium fluoride is stored in a separate area and not with any other chemicals. Sodium fluoride is very corrosive. Check on access to the chemical storage. If access is difficult, the operator may not be diligent in transferring chemicals from storage to use. See Chapter 8 (section 8.6.2) for chlorine gas storage and safety requirements.
  • 118.
    6-8 9. Do dailyoperating records reflect chemical dosages and total quantities used? It is critical that the operator monitor daily chemical use and dose rates. Overfeeding chemicals can be as detrimental as under-dosing. The monitoring of feed rates is a key component to the optimized performance of any chemical feed system. 10. Is the chemical feed system tied to flow (i.e., flow paced)? A four to 20 mA signal from a flow recorder can control the rate of the chemical feed pump, or it can activate another pump (e.g., well or service pump) which, in turn, can activate the feed pump when there is flow in the line. For chemical feeders tied to a pump, it is very important that water systems use some type of flow sensor as a failsafe. The chemical feeder should not activate until there is flow in the pipe. Without flow control, a pump motor starter may engage but not start the pump. If the signal that engages the starter also starts the chemical feed system, the feeder could pump highly concentrated chemicals into the line and on to a customer. 11. Is there an operating 4-in-1 valve or equivalent on each feed pump? This valve reduces the possibility of siphoning the chemical into the system and protects the pump from damage due to shutdown of the discharge piping. Ask the operator to show you how it works. 12. Is there a hazardous chemicals protection and communication program in place? The utility should have an inventory of all hazardous chemicals, a Safety Data Sheet (SDS) for each chemical, and written procedures for using, transporting, and handling these chemicals. The utility also should have an emergency response plan in the event of a spill of hazardous chemicals. 13. Is there appropriate safety equipment (e.g., cartridge respirator for calcium hypochlorite) and personal protective equipment (PPE) (e.g., goggles and gloves) available and in use? Do operators have the training needed to use the safety equipment? The PPE should be in good condition; respirators must be clean and stored in a sealed bag. All PPE should be readily available in an appropriate location (e.g., right outside a chlorine room instead of inside the room). When respiratory protection is required, the utility should have a written respiratory protection program. This program includes a fit test of the device and training in selection, use, and care of the device. In addition, the program requires annual physical exams of all personnel required to use the devices. 14. Is the building as clean and dry as possible? Keeping the interior of the building clean and dry reduces the opportunity for spills of liquid or powdered chemicals to react with water, increasing corrosion in the building. When calcium hypochlorite mixes with water, chlorine gas escapes into the atmosphere. This gas increases the rate of corrosion and deterioration in the facility. 15. Are all chemicals labeled and listed as NSF or UL approved for drinking water?
  • 119.
    6-9 What is theprocedure for ensuring that the chemicals delivered on the truck match the chemical listed on the SDS? Do staff perform periodic checks, such as specific gravity to ensure that the chemical delivered on the truck matches the SDS? 6.6 Specialty Treatment: Fluoridation Drinking water systems may add fluoride to their water as a public health measure to prevent tooth decay. The inspector’s responsibility is to focus on the sanitary risk of the fluoridation system in the same way that he or she focuses on the sanitary risk of any chemical feed system in a public water supply. This section discusses the following four topics: • General application of the fluoridation processes. • Use of fluoride saturators (sodium fluoride). • Use of sodium silicofluoride (dry feeder fluoride). • Use of hydrofluorosilicic acid (fluoride acid feed). 6.6.1 General Application Definition: Fluoridation is the addition of fluoride to a water supply in order to obtain an optimum fluoride concentration in drinking water. Chemicals: There are three chemicals used in the application of fluoride to drinking water: • Sodium fluoride, a powder. • Hydrofluorosilicic acid, a liquid. • Sodium silicofluoride, a powder. The most common chemical used in small systems is sodium fluoride. Optimum concentration:2 Traditionally, states have based their optimum concentration on the ambient temperature; the assumption being that as the ambient temperature increases so does the volume of water consumed. However, acceptable ranges may vary between states, and the inspector is responsible for being familiar with local and state regulations on fluoride. Reaction: Fluoride in a sodium fluoride solution is fairly stable, so there is little noticeable difference between the dosage and the residual. The notable exception is calcium. Fluoride reacts with calcium, reducing the fluoride residual. This is most noticeable when the concentration of calcium in the water exceeds 75 mg/L. Fluoride is one of two chemicals that has both a primary and a secondary MCL. The primary MCL is 4.0 mg/L, and the secondary MCL is 2.0 mg/L. At concentrations above 4.0 mg/ L 2 The U.S. Department of Health and Human Services, in a notice published in the Federal Register on January 13, 2011, proposed a change to the recommendation for the optimal fluoride level in drinking water to prevent tooth decay. The new recommendation, 0.7 mg/L, replaces the previous recommended range of 0.7 to 1.2 milligrams per liter. When (if) finalized, the new guidance will update and replace original recommendations provided in 1962 by the U.S. Public Health Service.
  • 120.
    6-10 fluoride will causeskeletal fluorosis. At a concentration of 2.0 mg/L fluoride will cause dental fluorosis. 6.6.2 Fluoride Saturator System Introduction: Water systems use up-flow and down-flow saturators to feed sodium fluoride. Up- flow saturators are the most common method in small systems. Equipment: Saturator systems are very simple, as seen in the drawing below, and are comprised of these basic components: • Saturator tank connected at its top to a water supply and equipped with a manifold at its bottom. • Float switch used to maintain the water level in the saturator. • Water inlet system, which contains a water meter, solenoid valve, vacuum breaker, and a softener if the feed water is relatively hard. • Chemical feed pump. • Electrical system including fail-safe controls. Figure 6-5: Fluoride Saturator Operation: Sodium fluoride crystals at the bottom of the tank dissolve and saturate the water filling the tank. A pump feeds the fluoride solution from the tank into the water flow, eventually dropping the water level in the saturator. When the solution drops to a certain level, a float switch opens a solenoid valve. The valve’s opening sends make-up water down through the distributor and up through the fluoride crystals maintaining the level in the tank and preventing the solution’s concentrations from changing significantly.
  • 121.
    6-11 The only wayto determine the amount of fluoride fed each day is from the water meter readings on the make-up water. Low flow systems may need to stir or mix the solution to ensure consistent concentration of fluoride. Fail-safe: A low-flow or low-pressure switch must control the chemical feed pump so fluoride can be fed only when there is adequate flow in the water line. 6.6.3 Dry Feeder Fluoride System Introduction: Volumetric and gravimetric dry feeders feed sodium silicofluoride or sodium fluoride crystals. Due to its lower cost, however, sodium silicofluoride is most commonly used. Water systems typically use dry feeder systems where system flows exceed 1 million gallons per day. Note: See drawings and descriptions of volumetric and gravimetric dry chemical feeders earlier in this chapter. Operation: Metered water system flow determines the dry chemical feed rate into the solution tank. Operators adjust the feed rate using a 4 to 20 mA signal from a flow meter. Usually, gravity flow feeds the solution to the clearwell, or a chemical feed pump injects the solution into a water line. 6.6.4 Fluoride Acid Feed System Introduction: Acid feed systems are one of the simplest fluoride feed systems used. They feed hydrofluorosilicic acid directly from a shipping container into the water system flow. Figure 6-6: Fluoride Acid Feed System Equipment: These basic components comprise an acid feed system:
  • 122.
    6-12 • Set ofscales to determine the quantity of chemical feed. • Chemical feed pump system. • Electrical system including fail-safe controls. • Spill containment. Operation: An acid feed system uses a chemical feed pump with an anti-siphon valve to pump concentrated acid directly into the system flow. The only way to determine the amount of fluoride fed each day is by weighing the solution. Fail-safe: A low-flow or low-pressure switch must control the chemical feed pump so the pump only injects fluoride when there is a flow in the water line. Corrosion: Hydrofluorosilicic acid leaks are a hazard and very corrosive. 6.6.5 Sanitary Deficiency Questions and Considerations – Fluoridation 1. Can the operator answer basic questions about the fluoridation process, including what they need to do, when, and why? An operator’s lack of knowledge about the process and equipment is an indication that failures of equipment or the effectiveness of the process may not be resolved in a timely manner. Management is responsible for ensuring only well-trained staff operate and maintain the fluoridation equipment. Inspectors may consider a lack of knowledge of this key process a significant sanitary deficiency. 2. Is there a proper concentration of fluoride in the distribution system at all times? Historically, states based the residual on the ambient temperature of the area. They assume the public consumes more water as the temperature increases. Make sure the water system follows current state requirements. 3. Do operators test fluoride concentrations in the system daily? A key way to prevent overfeeding of fluoride is to test its concentration in the system. The fact that there are primary and secondary MCLs for fluoride also indicates that a prudent operator would perform this test daily. In addition, if there is any natural fluoride in the raw water, operators must test daily because the concentration may vary from day to day, requiring adjustments of the feed system. 4. Does the fluoride concentration vary from day to day? The variation should not be more than 0.2 mg/L. If there is a change, check to see that operators correctly conduct tests at the same time of day and under the same conditions. For example, are pumps on or off? What is the concentration of fluoride in the raw water? 5. Do operators perform testing correctly? There are three common procedures for testing fluoride: the SPADNS method, the ALIZARIN-VISUAL test, and the specific ion probe method. The inspector should verify that the operator knows the proper test procedure and that the chemicals are not past their expiration date.
  • 123.
    6-13 6. How oftendo operators calibrate the testing instrument? When was the last calibration? Operators should perform both color tests against a standard that is part of the routine test procedure. The inspector should determine whether the operator is performing this portion of the test. If a specific ion probe is used, the inspector should check to see how it is used and how often the operator replaces it. 7. Is there a water meter on the inlet line when using a saturator? The amount of fluoride solution fed each day can be determined only by reading the water meter on the dilution tank inlet water supply. The inspector should determine whether the operator records this reading and calculates the total amount of water used each day. 8. How often do operators clean the saturator tank? The fluoride saturator should be disassembled and cleaned once a year. The operator should remove all the crystals and replace them with new ones. This annual cleaning and crystal replacement helps maintain the stability of the fluoride solution. 9. Is there a scale for weighing the solution tank for a liquid acid system? The amount of acid fed each day can be determined only by daily weighing of the solution tank. The inspector should check to see that the operator records this reading and calculates the total amount of fluoride used each day. 10. How often are the scales calibrated? For weight-based only dosages, operators should calibrate the scales at least annually. 11. Does a fail-safe switch control the fluoride feed system? A low-flow or low-pressure switch must control the pump used to feed fluoride to the water flow. The fluoride feed pump should not be allowed to come on until there is a flow in the pipe. Without a fail-safe flow detection system, a pump motor starter may engage but not start the pump. If the signal that engaged the pump starter also starts the fluoride feed pump, the feed pump may feed a highly concentrated fluoride solution into the line and into the distribution system. 6.7 Significant Deficiency Examples for Chemical Feed Systems All significant deficiencies listed below are examples only. Each primacy agency may have identified a different set of significant deficiencies than those listed. The state (primacy agency) determines both significant deficiencies, and the corresponding corrective actions. • The chlorinator feed pump is the wrong size, not working, or needs repair. • No “4-in-1” valve if the pump supports a critical chemical feed process (i.e., fluoride, coagulant feed, or chlorine). • The chemical feed control system is inoperable. • There are interruptions in the requisite disinfection process.
  • 124.
    6-14 • There arecross connections present. • There is no means to determine fluoride residual (i.e., a flow meter and associated saturator for use in calculating the feed rate or a fluoride test kit). • Failure to use NSF or ANSI-approved additives. • Improperly labeled chemicals or missing labels. • Operator is not performing tests daily for treatment chemicals added. • There is not a check valve between metering pump and inlet pipe to prevent siphoning of chemical to drinking water.
  • 125.
    7-1 7 Chemical ContaminantRemoval The sanitary survey inspector must thoroughly evaluate all water treatment processes to ensure the production of a safe, adequate, and reliable supply of water for consumers. The water treatment plant is the primary barrier against unsafe water, and any malfunction in the treatment process could result in water quality problems. Of major importance is the consistent and continual removal of chemical contamination. The inspector must evaluate the operation, maintenance, and management of advanced removal systems used at the water treatment plant to identify any existing or potential sanitary deficiencies. 7.1 Learning Objectives By the end of this chapter, students should be able to: • Recognize sanitary deficiencies of advanced water treatment processes as they relate to the physical facilities, operation and maintenance, and management. Issues may include inadequate treatment, inadequate application of water treatment concepts, process controls and cross-connections. • Identify safety issues that affect the operations staff as well as those that could affect the facility’s ability to perform effectively. Safety issues may include handling and storage of hazardous chemicals, high voltage equipment, air quality and confined spaces. • Review regulatory issues that are appropriate to each specific process to determine their relationship to sanitary deficiencies. 7.2 Data Collection The inspector needs to obtain as much of the following information about the water system as possible before the survey, otherwise the water system must provide any missing or updated information during the inspection. 7.2.1 Treatment Processes Information The inspector should evaluate the following to assess the appropriateness of treatment processes: • Schematics of complete treatment facilities showing the type of treatment processes used and application points of all chemicals. • Treatment and monitoring data for water systems required to achieve additional log- removal/inactivation of Cryptosporidium under LT2. The Microbial Toolbox, 40 CFR Section 141.715 and the Long Term 2 Enhanced Surface Water Treatment Rule Toolbox Guidance Manual (EPA 815R09016) describe these treatment options. 7.2.2 Process Control Data The inspector should verify the following to assess the quality of process control data: • Type and frequency of testing throughout the treatment process. • Availability and operability of on-line monitoring equipment. • Adequacy and consistency of data recording procedures.
  • 126.
    7-2 7.2.3 Physical FacilitiesInformation The inspector needs to evaluate the following regarding the system’s physical facilities: • Buildings and rooms where treatment processes are located, with respect to accessibility, safety, and overall maintenance. • Operation, maintenance and design of treatment units. 7.3 Regulations and Standards to Consider The inspector needs to consider and review the following information prior to the inspection: • Chapter 2 of this Guide. • Specific regulations that apply to the facility. • Past inspection reports to identify previous compliance problems. 7.4 Purpose of Water Treatment The purpose of water treatment is to condition, modify, or remove undesirable impurities or pathogens in order to provide water that is safe, palatable, and acceptable to consumers. National standards for some of the impurities considered important to the health of consumers are set under the federal Safe Drinking Water Act (specified in 40 CFR Part 141 with maximum contaminant levels [MCLs] and treatment techniques). If the levels of contaminants present exceed the established MCLs, water systems must treat the water to reduce the levels. Regulations specify treatment techniques when MCLs are not appropriate for public health protection. Title 40 CFR Part 143 establishes secondary standards for some impurities that affect the aesthetic qualities of water. These standards are not enforceable by the federal government, but states may choose to adopt and enforce them. Treatment or modification of the water to comply with secondary standards is highly recommended because consumers may seek out unsafe sources if the drinking water supplied by the public system has an undesirable appearance, taste, or odor. 7.5 Removal Processes The types of chemical removal processes covered in this section include: • Reverse osmosis. • Corrosion control. • Iron and manganese removal. • Organics removal. • Aeration. • Water softening.
  • 127.
    7-3 7.5.1 Reverse Osmosis Watersystems use reverse osmosis (RO) to demineralize salt water, brackish water, and water with high concentrations of total dissolved solids (TDS), as well as for microbial removal. When a semipermeable membrane separates a solution that has a high TDS concentration from a solution of low TDS, fluid flows from the dilute solution to the concentrated solution, a process called osmosis. Osmotic pressure is the pressure created by the difference in concentration of the two fluids. Reverse osmosis occurs when pressure on the concentrated solution forces the fluid backward through the membrane. The membrane removes (rejects) the TDS in the concentrated solution, thus producing fresh water from brackish water. Figure 7-1: Reverse Osmosis 7.5.1.1 Equipment A typical RO facility is composed of the following components. • Pump: A high pressure pump (typically 350 to 500 psi). • Membrane: The membrane is commonly made of cellulose acetate. There are two common types of membranes: • Spiral wound. • Hollow fiber. • Acid feed: A pump, usually peristaltic or positive displacement, injects acid into feed water, which blends with the raw or partially treated water flow to control or adjust pH. Sulfuric acid is commonly used. Adjusting the water to a low pH is normal as it reduces
  • 128.
    7-4 the natural destructionof the membrane (called hydrolysis) and retards the buildup of calcium carbonate scale on the membrane. • Scale inhibitor feeder: While pH adjustment controls calcium carbonate scale, the low pH has little effect on calcium sulfate. To control calcium sulfate, water systems need to add a polyphosphate chemical. • Chlorinator: A chlorinator provides a residual through the unit in order to reduce bacterial growth in the membrane. • Cleaning tank, pump, and solution: Typical cleaning solutions include citric acid, sodium tripolyphosphate, and proprietary products. 7.5.1.2 Performance The primary advantage of the RO process is that it rejects a high percentage of dissolved solids from the raw water. The rejection of the dissolved solids from contaminated, brackish, and saline water produces water suitable for potable use. Problems associated with RO plants include: • High initial and operating costs. • Need for pre-treatment of turbid raw water with acid and other chemicals to prevent fouling of the membranes by slimes, suspended solids, iron, manganese, and precipitates of calcium carbonate and magnesium hydroxide. • Need to stabilize finished water with pH adjustment chemicals to prevent corrosion in the distribution system. • Disposal of reject waste stream. 7.5.1.3 Sanitary Deficiency Questions and Considerations – Reverse Osmosis Note: The sanitary deficiencies related to chemical feed systems in the previous chapter also apply to this section. 1. What performance testing is the system conducting? The facility should be testing for TDS, pH, temperature, turbidity, and alkalinity. 2. What operational data is the system collecting? The operator needs to observe, record, and respond to pressure pump suction, discharge pressure, and RO unit pressure differences between feed and product water. The difference between feed and product water pressures over time is a key to determining scale and biological buildup on the membrane. 3. Is the system using RO to meet additional Cryptosporidium removal requirements under LT2? If so, the operator must record daily integrity test and any process control results for all membrane units in use that day as required by the state. 4. What chemicals are being fed and at what dosages? The facility should calculate feed rates and dosages for the feed acid, scale inhibitor, chlorine, and cleaning solutions.
  • 129.
    7-5 5. Is adequateprotection readily available to operators? Because these units require the feeding of chlorine and various acids, operators need rubber gloves, eye protection, breathing protection, rubber aprons (worn when mixing or pouring the acids), and a safety shower in case of accidents or spills. 6. Are all automatic controls in operation? RO facilities have various shutdown alarms and automatic systems to control the facility. Because of the high pressures and the presence of acids, this equipment tends to fail frequently. All automatic equipment, safety shutdowns, and alarms must be in working order. 7. If the system blends RO-treated water with water that bypasses RO treatment, how is the blending ratio determined and is the final water satisfactory? Systems still must provide full treatment of water that bypasses RO treatment and must blend the different streams in a ratio where the system meets all applicable compliance measures. These ratios must account for any contaminants in the “bypassed water” and must result in contaminant concentrations in the blended water that meet all applicable water quality standards. 7.5.2 Corrosion Control Corrosion causes the deterioration of pipe materials. It generally occurs in drinking water distribution systems by the principle mechanism of dissolution. The dissolution of pipe materials occurs when favorable water chemistry and physical conditions combine. 7.5.2.1 Need for Treatment Altering water quality characteristics through treatment can extensively reduce some forms of corrosion activity, but may have less significant effects on pipe corrosion results. Many public water systems must implement optimal corrosion control treatment to meet the lead and copper action levels established by the federal Lead and Copper Rule. 7.5.2.2 Corrosion Control Treatment The primary goal of corrosion control treatment is to inhibit dissolution. The objective is to alter the water quality so that the chemical reactions between the water supply and the pipe materials favor the formation of a protective layer on the interior of the pipe walls. Corrosion control treatment attempts to reduce the contact between the pipe and the water by creating a film that is: • Present throughout the distribution and home plumbing systems. • Relatively impermeable. • Resistant to abrupt changes in velocity. • Less soluble than the pipe material. Two general approaches characterize corrosion control technologies used to inhibit lead and copper dissolution:
  • 130.
    7-6 • Precipitation ofinsoluble compounds on the pipe wall because of adjusting the water chemistry. • Passivation3 of the pipe material itself through the formation of less soluble metal compounds (carbonates or phosphates) that adhere to the pipe wall. In general, the available corrosion treatment technologies are precipitation by calcium hardness adjustment and passivation by pH/alkalinity adjustment or the addition of a corrosion inhibitor. 7.5.2.3 Sanitary Deficiency Questions and Considerations – Corrosion Control Note: The sanitary deficiencies related to chemical feed systems in the previous chapter also apply to this section. 1. What are the results of current lead and copper sampling? The water system may need to consider different corrosion control strategies if they exceeded lead or copper action levels. 2. What are the characteristics of the water entering and leaving the treatment plant? The operator should be able to provide test data that indicate the chemical characteristics of the water entering and leaving the treatment plant. These data should be the basis for developing an appropriate corrosion control program and for demonstrating chemical additives are accomplishing the desired goals. 3. What process-control sampling do operators conduct throughout the distribution system as part of the corrosion control program? Operators should sample appropriate locations in the distribution system to ensure they meet and maintain corrosion control goals and to prevent problems possibly associated with overfeeding chemicals. For example, excessive feeding of a phosphate inhibitor could encourage the growth of undesirable biological slimes in the distribution system piping. 4. Is the test equipment to monitor the data appropriate and in good working order? Since pH is generally a critical parameter in corrosion control, the test equipment must be accurate and properly calibrated. 7.5.3 Iron and Manganese Removal Iron and manganese comprise approximately 5 percent and 0.1 percent, respectively, of the earth’s crust and are widely distributed in surface and ground waters in nearly all geographic areas. 7.5.3.1 Iron and Manganese in Surface Water Iron and manganese may be present in surface water due to their dissolution from the associated geologic formations or from the decomposition of organic materials. Nearly all of the available methods for iron and manganese removal, except ion exchange, rely on the oxidation of the 3 Passivation is a generic term referring to the process whereby a dense protective layer forms on the surface, which then protects that surface from corrosion.
  • 131.
    7-7 soluble forms toinsoluble forms along with, or followed by, clarification or filtration to remove the resulting precipitates. Therefore, the processes discussed in the section on surface water treatment (pre-treatment, chemical addition, coagulation, flocculation, sedimentation, and filtration) are generally adequate to deal with iron and manganese problems in surface water. 7.5.3.2 Iron and Manganese in Ground Water Ground water drawn from underground formations of shale, sandstone, and alluvial deposits are particularly prone to contain iron and manganese. Iron in ground water is normally in the range of a few hundredths to about 25 mg/L with the majority of wells drawing water in which the iron concentration is less than 5 mg/L. Manganese is usually present in ground water in a concentration less than 1 mg/L, although, in some places, levels have been significantly higher. 7.5.3.3 Treatment Processes Processes for removing iron and manganese from ground water are generally one of the following: • Oxidation (aeration, chlorination, chlorine dioxide, or potassium permanganate) followed by filtration. • Oxidation, clarification, and filtration. • Ion exchange. • Manganese greensand filtration. Figure 7-2: Chlorine Oxidation – Filtration
  • 132.
    7-8 Figure 7-3: Aeration– Filtration Figure 7-4: Ion Exchange
  • 133.
    7-9 Figure 7-5: ManganeseGreensand Filtration Continuous Regeneration (CR) Figure 7-6: Manganese Greensand Filtration Intermittent Regeneration (IR) 7.5.3.4 Application The applicability of each of the above processes and the sequence of chemical addition depends on the raw water quality and plant capacity at each water treatment facility. For specific information on the design and operation of each of these processes, consult the suggested references at the end of this guide.
  • 134.
    7-10 7.5.3.5 Sanitary DeficiencyQuestions and Consideration – Iron and Manganese Removal Note: The sanitary deficiencies related to chemical feed systems in the previous chapter also apply to this section. 1. What treatment process is used? A number of processes, as well as variations on some of the standard processes, are available for iron and manganese removal. The operator should be able to describe the process used and why the plant is operating in that particular mode. 2. Do visual observations confirm the removal process is performing adequately? The inspector should examine the filtered water to determine if any color is evident. Discolored finished water could indicate iron or manganese breakthrough or an overdose of potassium permanganate, which could result in water with a pink color. 3. What chemicals are used and in what amounts? In a manganese greensand filtration plant, the operator may be using some combination of chlorine, potassium permanganate, and a chemical for pH adjustment (caustic soda, soda ash, or lime). The quantity of each chemical is critical to consistent plant performance. 4. Where do the operators apply chemicals? The sequence of chemical addition in a manganese greensand filtration plant greatly influences the effectiveness of the system in removing iron and manganese. The inspector should determine whether the plant operates in the continuous regeneration (CR) or intermittent regeneration (IR) mode and ask the operator their objectives for operating in a particular mode. Generally, water systems operate in CR mode where iron removal is the main objective, with or without the presence of manganese and requires the continuous feeding of an oxidizer, such as chlorine, potassium permanganate (KMn04), or a combination of the two, into the raw water prior to the filter. Operators run the treatment process in IR mode when the water contains all or mostly manganese, with lesser quantities of iron. In this mode, manganese oxidation occurs directly using the properties of the freshly regenerated manganese greensand. After treating a specific amount of water, the removed manganese depletes the oxidation capacity of the media and regeneration is required. A normal backwash cycle regenerates the filter bed by the down-flow passage of a dilute KMn04 solution through the filter bed. When polyphosphate is used to sequester lower concentrations of the metals, the inspector should check to be sure the sequestering agent has sufficient time and mixing prior to chlorine addition. 7.5.4 Organics Removal Commonly used methods to remove organic substances from drinking water include granular activated carbon, powdered activated carbon, aeration, and enhanced coagulation.
  • 135.
    7-11 7.5.4.1 Carbon Absorption Watersystems primarily use carbon absorption to reduce organics that contribute to taste and odor and to reduce organics that contribute to trihalomethanes (THMs) formation, some of which may be carcinogenic. The two forms of activated carbon used in the water works industry are powdered activated carbon (PAC) and granular activated carbon (GAC). 7.5.4.1.1 Powdered Activated Carbon Powdered activated carbon is less than 0.1 mm in diameter. One gram of PAC contains 500 to 600 square meters of surface area and weighs approximately 20 to 45 pounds per cubic foot (0.32 - 0.72 g/cm3 ). • Use: Primarily used to remove taste and odor caused by organic compounds, as well as a flocculation aid. Because of its high density, PAC helps to form the nuclei of the floc particles. • Feeding: Commonly delivered to the site in 50-pound bags. It can be fed dry or as a slurry. The most common method of application is the use of special dry chemical feeders where it mixes approximately 1 pound of PAC per gallon to create a slurry. This slurry then feeds into the plant flow. Because a chemical feeder can add PAC, it is more effective than GAC when the concentration of organics varies. However, filtration must remove the carbon before it enters the distribution system. • Handling: PAC requires special handling and storage. Because PAC produces large amounts of fine powder, it is highly combustible and explosive. • Contact Time: Contact time and concentration determine the effectiveness of PAC. The most important of these, however, is contact time. Because PAC absorbs chlorine, it loses its effectiveness if fed after the introduction of chlorine. • Effectiveness: For best results in reducing taste and odor and in absorbing the precursors to THMs, operators should feed PAC into the raw water at the front end of the plant prior to the introduction of Cl2, with a lesser dosage fed just prior to filtration. 7.5.4.1.2 Granular Activated Carbon Granular activated carbon ranges from 1.2 to 1.6 mm in diameter. One gram of GAC contains 650 to 1,150 square meters of surface area and weighs approximately 26 to 30 pounds per cubic foot (0.42 - 0.48 g/cm3 ). • Use: Primarily used to remove organic compounds, which may be associated with taste and odor production, and to prevent the formation of THMs when the concentration of the organics is constant. Water systems may also use GAC to remove disinfection byproducts after they have formed and to remove volatile organic contaminants (VOCs) and synthetic organic contaminants. GAC does not require post-treatment filtration. • Bag sizes: Usually delivered to the site in 60-pound bags or in bulk. Common uses are as a filter medium or as media in contactor columns. • Filter placement: The placement of GAC in a typical filter can enhance turbidity removal. A common filtration rate for a GAC filter is 2 gpm/ft2 . Life expectancy of GAC filters ranges from up to 3 years for taste and odor removal to as little as 1 month for THM
  • 136.
    7-12 removal. Due toGAC’s lower specific gravity, operators must change backwashing procedures when using GAC in filters. • Contactor beds: GAC contactors are composed of enclosed beds of GAC. Parallel operation of the beds allows operators to replace media in one bed while the other remains on-line. Alternatively, columns may operate in series so that the contaminant is entirely contained within the downstream column after the lead column becomes saturated. After replacing the activated carbon in the saturated (upstream) column, the operators reverse the flow so it goes through the freshest column last. This arrangement helps maximize the use of carbon. Water systems often use these contactors when the life expectancy of the GAC is only a few months. It is easier to change the GAC in a contactor than in a filter bed. Systems usually install contactors after filtration and size them based on empty bed-contact time and regeneration frequency. 7.5.4.2 Sanitary Deficiency Questions and Considerations – Organics Removal Note: The sanitary deficiencies related to chemical feed systems in the previous chapter also apply to this section. 1. Why does the water system use activated carbon? There should be some documentation of the need, such as an engineering study or a management decision. The reasons could include taste and odor, THM, or the removal of organics. In any case, there needs to be defined reasons (goals and treatment objectives) for the use of activated carbon. 2. Which process does the water system use? Is the PAC or GAC process used? It is important to remember that PAC is most effective when the concentrations of the contaminants vary. 3. What testing do operators conduct to determine the effectiveness of the activated carbon? The testing should be directly associated with the defined need for activated carbon. If the presence of THMs is the reason for using activated carbon, operators should conduct tests to determine its effectiveness. For example, water systems use GAC as a media layer in a filter to solve a specific problem and then forgot about it. Without proper maintenance and testing, the GAC media can become ineffective without the operator knowing it. If the water system feeds PAC: 4. Have they had any problems with black water? PAC passes through some filter media, especially pressure filters. 5. How often are the feeders calibrated? Operators should calibrate chemical feeders feeding PAC with each new batch of PAC and conduct daily feed rate checks by measuring the output.
  • 137.
    7-13 6. Do theoperators have proper safety equipment? They should have dust masks, sealed safety glasses, and shower facilities. 7. Is the PAC stored properly? PAC is an explosive dust. Storage should include an explosion-proof electrical system and adequate ventilation. When water systems add GAC to a filter: 8. Is the backwash adequate? Check for the presence of mud balls, filter surface cracking, or compaction. 9. What is the depth of the GAC? Since it is lighter than most other media, the backwash process can easily wash away GAC. The inspector should also check to see that the operators replace carbon on a schedule that ensures proper treatment. 10. Is the system using GAC contactors? Ask the operator what the empty-bed contact time is, as well as the regeneration or replacement frequency. 7.5.5 Aeration Primarily used at ground water systems, aeration forces intimate contact between water and air, often for transferring volatile contaminants from the water into the air. Water systems may use aeration to: • Reduce volatile organic compounds, radon gas, and taste and odor-producing compounds such as hydrogen sulfide. • Oxidize organic and inorganic chemicals such as iron, manganese, and organic matter. 7.5.5.1 Packed Tower Aeration There are many types of aeration devices. Packed towers in particular are becoming widely used to reduce VOCs. The objective is to contact a small volume of organic-contaminated water with a large volume of contaminant-free air. Packing material, typically a plastic media about the size of a ping-pong ball, fills the tower. • Water and airflow: Water flows into the top of the tower and falls over the balls while nozzles at the bottom of the tower force pressurized air up through the cascading water – commonly referred to as countercurrent tower aeration. The packing material creates very fine droplets of water in the downward flow. This aids in diffusing dissolved gases into the upward flow of air. • Air-to-water relationship: The air-to­water relationship typically ranges from 20-to-1 to 50-to-1 (air-to-water, volume-to-volume). • Problems: There are two major problems associated with this process: contamination of the water from contaminated air and violation of air quality standards from the tower. (The output from the tower may contain a high VOC level.)
  • 138.
    7-14 7.5.5.2 Sanitary DeficiencyQuestions and Considerations – Aeration 1. What type of aeration system is used? Different types of units (cascade, tray, mechanical, packed tower, spray) are used, depending on the purpose of treatment. The operator should be able to explain the reason for the type of system in place. 2. What process-control parameters do the operators monitor to evaluate performance? Operators should routinely evaluate the efficiency of the tower. Failure to do so is an indication that the tower may not be performing as designed. The inspector should determine if the frequency in which operators evaluate tower efficiency meets any local and state requirements for the facility. Parameters typically monitored include pH, moisture, VOCs, odor, and color. If used to reduce odor and taste, the tower may release methane gas. If this is the case, there should be a systematic monitoring program to determine the level of methane in the area. 3. Are there contaminants nearby that the blower could draw into the air supply? If the air intake is next to the chlorine room, lime storage area, or in a dusty environment, the water supply may become contaminated. There should be a filter on the blower through which the air is drawn and the operator should be able to explain the maintenance of the filter including any cleaning or replacement requirements. 4. What types of operational problems has the facility experienced that could contribute to poor performance of the aeration device? Typical problems include plugged nozzles on the air system, algae and other biological growth on the media, failure of the air blower, dirty air filter that restricts flow, and breaking up of the floc, which causes high floc carry-over onto the filters. 5. After aeration, does the water system adequately disinfect the effluent before it enters the water distribution system? Contamination by wind-borne pollutants and biological growth in the packing material requires diligent post-treatment disinfection. 6. What is the condition, both inside and outside, of the aerator? If the aerator is not accessible for close examination, the inspector should review the maintenance records to determine the status of the equipment. 7.5.6 Water Softening 7.5.6.1 Purpose The primary purpose of water softening is to reduce the content of dissolved minerals, particularly calcium and magnesium, in order to minimize the tendency of scale to form.
  • 139.
    7-15 Softening hard watermay provide additional benefits, such as: • Biological growth control. • Enhancement of use for boiler feed and cooling processes. • Removal of many trace inorganics. • Organics (e.g., disinfection byproducts precursor) removal. The terminology and degrees of hardness vary among water treatment and supply professionals when categorizing the concentrations of hardness in water. Table 7-1 below shows two common severity scales used to categorize hardness.4 Table 7-1: Water Hardness Values Description Sanitary Engineers (mg/L of CaCO3) Water Conditioning Industry (mg/L of CaCO3) Soft 0 – 75 0 – 50 Moderate 75 – 150 51 – 100 Hard 150 – 300 101 – 150 Very Hard Above 300 Over 150 Softening water may also have the following negative results: • The plant effluent pH of a lime soda softening facility is usually about 8.9. At pH 7.5, only one-half of the chlorine residual is hypochlorous acid. At pH 8.9, it is down to approximately 10 percent. This means disinfection capabilities diminish as pH increases. • The water may become aggressive, thus corroding metal pipes. • Disposal of the sludge is a problem. • THM levels may increase due to elevation of the pH. 4 Source: New Hampshire Department of Environmental Services fact sheet (WD-DWGB-3-6)
  • 140.
    7-16 Table 7-2: DefinitionsPertaining to Water Softening Term Definition Hardness A characteristic of water caused by divalent metallic cations, mainly calcium and magnesium, but also strontium, ferrous iron, and manganous ions. These cations are typically associated with anions such as bicarbonate, carbonate, sulfate, chloride, and nitrate. Calcium Hardness Hardness caused by calcium ions (Ca2+ ). Magnesium Hardness Hardness caused by magnesium ions (Mg2+ ). Total Hardness The sum of the hardness caused by calcium and magnesium. Carbonate Hardness Hardness caused by the divalent metallic cations and the alkalinity present in the water, up to the level of the total hardness. Non-Carbonate Hardness That portion of the hardness in excess of an amount equal to the alkalinity. Alkalinity The buffering capacity of water to retard the change of pH; the result of carbonate, bicarbonate, hydroxide, and occasional bicarbonate, silicate, and phosphate; commonly expressed as an equivalent concentration of calcium carbonate. Calcium Carbonate (CaCO3) Equivalent An expression of the concentration of specified constituents in water in terms of their equivalent value of calcium carbonate. 7.5.6.2 Softening Processes There are two common softening techniques: lime soda and ion exchange. A number of factors associated with operating costs, operating effectiveness, and construction costs determine the basis for process selection. 7.5.6.2.1 Lime Soda Softening There are three common lime soda softening processes: conventional, excess lime, and split treatment. 7.5.6.2.1.1 Conventional Removal of Carbonate Hardness Water systems can use a lime soda process to remove carbonate hardness by precipitation. When magnesium hardness is high, operators can feed excess lime to raise the pH and cause the precipitation of magnesium hydroxide. After precipitation, addition of carbon dioxide to the flow in a process called recarbonation reduces the pH and stabilizes the water. The amount of lime required depends on the concentration of the hardness and the type of hardness (calcium or magnesium). Water systems use the conventional lime soda process when there is only a small amount of magnesium hardness and feed excess lime to reduce higher levels of magnesium hardness.
  • 141.
    7-17 7.5.6.2.1.2 Removing NoncarbonateHardness In this process, soda ash addition follows excess lime softening. This second step is effective in removing noncarbonate hardness, but additional treatment units and associated capital costs often dissuade a water system from using it. 7.5.6.2.1.3 Split Treatment Process The split treatment process is an adaption of the excess lime process. A portion of the water is treated and added back into the untreated water to dilute it to the desired level of hardness. This process reduces the amount of chemical required to soften the water and thus reduces operating costs. 7.5.6.2.2 Ion Exchange Softening When needed, small ground water systems and individual homes primarily use ion exchange softeners. The unit is composed of a pressurized vessel resembling a pressure filter and primarily filled with a resin creating a filter bed. An excess of sodium ions desorb from the resin in exchange for the calcium and magnesium ions in the plant flow. Once the plant flow depletes the resin of sodium ions, the treatment process reverses where a brine solution regenerates the resin by removing excess calcium and magnesium and leaves excess calcium adsorbed onto the resin. The hardness of the effluent of this type of facility is zero or near zero. Common ion exchange resins include synthetic zeolites and organic polymers (polystyrene resins). Figure 7-7: Ion Exchange Water Softener
  • 142.
    7-18 Any water treatedby an ion exchange process must be relatively free of particulate matter in order to prevent plugging the medium and subsequent operational problems. Iron, manganese or other heavy metals, if present at high levels, may cause problems with ion exchange resins by binding permanently to the medium, thereby reducing the exchange capacity over time. One problem in the operation of an ion exchange system is the disposal of spent brine from the regeneration of the medium. Severe limits may be in place relating to the proper discharge of this high salinity water. 7.5.6.3 Sanitary Deficiency Questions and Considerations – Water Softening Note: The sanitary deficiencies related to chemical feed systems in the previous chapter also apply to this section. Lime Soda Process 1. What are the treatment goals? The staff should have finished water quality targets for parameters such as pH, alkalinity, and hardness. It is important that these targets are clear to all staff in order to obtain optimum plant performance. 2. Is the facility performing adequate process control testing? Testing at each stage of the process should include at least the following process control tests: • Alkalinity. • Hardness. • pH - Carbon dioxide. 3. Is the facility tracking the chemicals used? Operators must monitor this process carefully as it involves the use of a number of chemicals that may conflict with other treatment functions. For example, too high a finished pH could cause disinfection or disinfection byproducts problems. 4. Is the facility meeting the Total Organic Carbon (TOC) removal requirements (if applicable) of the Stage 1 DBP Rule? Surface water systems that employ lime softening must meet Stage 1 TOC removal requirements. The inspector should check the system’s operating records and state reports to make sure the system is in compliance. Ion Exchange 5. What are the treatment goals? This treatment process can reduce water hardness to a very low level. This may result in aggressive water quality that could contribute to lead and copper problems in the distribution system. The operators must understand the implications of their treatment goals in light of other possible problems.
  • 143.
    7-19 6. What isthe condition of the equipment? Operators must understand the importance of monitoring the condition of the media. Without careful monitoring, media fouling can result and process efficiency reduction can result. Also, the overall condition of the filter units and valves is important to proper operation. 7. What is the operator’s knowledge of the softening process? Softening chemistry is typically more complicated than other treatment processes, and, therefore, operators may have little understanding of the processes. Operators need to understand the softening process in order to handle problems when they arise. Chemistry training is available, and management is responsible for providing this training to the operators. Water systems can use the treatment processes discussed above for a variety of contaminants. National Primary Drinking Water Regulations (NPDWR) has established best available technologies for all of the contaminants regulated under part 40 CFR141. These regulations define the term Best Available Technology (BAT) as the technology, treatment techniques, or other means identified by EPA for use in complying with a NPDWR. Appendix A lists more information on publications on regulated contaminants and their best technologies for treatment. In addition, NPDWR has identified technologies that are feasible to small communities. EPA has also established the Small System Compliance Technology lists and has published the three corresponding guidance documents listed below (also listed in Appendix A). These lists present options for small systems regarding NPDWR set prior to the 1996 Safe Drinking Water Act (SDWA) amendments. Guidance Documents: • Small System Compliance Technology List for the Surface Water Treatment Rule and Total Coliform Rule (EPA 815R98001). • Small System Compliance Technology List for the Non-Microbial Contaminants Regulated Before 1996 (EPA 815R98002). • Variance Technology Findings for Contaminants Regulated Before 1996 (EPA 815R98003). As directed by SDWA, EPA provides small system technology assessments for both existing and future regulations. These tables are in Small Drinking Water Systems: State of the Industry and Treatment Technologies to Meet the Safe Drinking Water Act Requirements (EPA 600R07110 (September 2007). 7.6 Significant Deficiency Examples for Chemical Contaminant Removal All significant deficiencies listed below are examples only. Each primacy agency may have identified a different set of significant deficiencies than those listed. The state (primacy agency) determines both significant deficiencies, and the corresponding corrective actions. • Improper storage and handling of powdered activated carbon (combustion/explosion hazard).
  • 144.
    7-20 • Proximity ofcompressors to potential sources of contamination for aeration processes. • No or inoperable low flow/low pressure switches on acid, chemical, corrosion control or scale inhibitor feed-lines. • Missing or improper backflow prevention for chemical feed lines.
  • 145.
    8-1 8 Disinfection The sanitarysurvey inspector must evaluate the disinfection process to ensure the production of a safe, adequate, and reliable supply of water for consumers. The water treatment plant is the primary barrier against unsafe water, and any malfunction in the treatment process could result in water quality problems. Of major importance is the consistent and continual feed of disinfection chemicals to assure proper inactivation of bacteria, viruses, Giardia and Cryptosporidium. The inspector must evaluate the operation, maintenance, and design of the disinfection process, including the feed systems, to identify any sanitary deficiencies. 8.1 Learning Objectives By the end of this chapter, students should be able to: • Identify key data items required to evaluate sanitary survey risks associated with the disinfection process at water treatment plants, such as whether liquid or gas is being used. • Review the disinfection feed systems as key components of water treatment processes and determine if it is adequately sized and in good operating condition. • Recognize disinfection treatment process sanitary deficiencies as they relate to the physical facilities, operation and maintenance, and management. Issues may include inadequate disinfection, inadequate application of water treatment concepts to process control, lack of understanding the purpose of disinfection, inadequate understanding of treatment process, especially for chloramination process, poor maintenance procedures, staffing and funding deficiencies, and cross-connections. • Identify safety issues that affect the operations staff, and could affect the facility’s ability to perform effectively. Safety issues may include chemical handling, chemical storage, inadequate safety precautions for gas chlorination, and confined spaces. • Review regulatory issues that are appropriate to each specific process to determine their relationship to sanitary deficiencies. 8.2 Data Collection The inspector needs to obtain as much of the following information about the water system as possible before the survey, otherwise the water system must provide any missing or updated information during the inspection. 8.2.1 Disinfectant Usage in Treatment Processes The inspector should evaluate the following to assess the appropriateness of the utility’s disinfection practices: • The specific chemicals used and purpose of addition. • The types of disinfection systems in operation (i.e., liquid, gas, solid). • If gas chlorination is under vacuum or pressure. • The quantities added.
  • 146.
    8-2 • The applicationpoints. 8.2.2 Process Control Data The inspector should verify the following to assess the quality of process control data: • Type and frequency of testing throughout treatment process. • Availability and operability of on-line monitoring equipment. • Adequacy and consistency of data recording procedures. 8.2.3 Physical Facilities Information The inspector needs to evaluate the following regarding the system’s physical facilities: • Buildings and rooms where disinfection feed systems are located with respect to accessibility, safety, and overall maintenance. • Operation, maintenance and design of disinfection feed systems such as adequately sized chemical feed pumps, proper ventilation, appropriate feed points, and adequate disinfectant storage. 8.3 Regulations and Standards to Consider The inspector needs to consider and review the following information prior to the inspection: • Chapter 2 of this Guide. • Specific regulations that apply to the facility. • Past inspection reports to identify previous compliance problems. • ANSI/NSF International standards 60 and 61. 8.4 Purpose of Disinfection Disinfection is the process of killing or inactivating a large portion of the microorganisms in water, with the probability that the process will inactivate all pathogenic bacteria and viruses. Inadequate disinfection directly relates to many of the failures to meet drinking water standards. In addition, chlorine, the most widely used disinfectant, must be stored and handled properly for the protection of operators and the public. The inspector must determine if the disinfection system is adequate and reliable. This helps ensure that the water is safe to drink. 8.5 Understanding Disinfection Chlorination is the most common disinfection method used by water systems in the United States. However, there is a general trend in public water systems to use other disinfection systems such as: • Ozone. • Ultraviolet light (UV). • Chlorine dioxide. • Chloramination.
  • 147.
    8-3 Ozone and UVusually require the addition of chlorine or chloramines to meet the residual requirements of the Surface Water Treatment Rule (SWTR), 40 CFR 141.73. 8.5.1 Dosages and Residuals 8.5.1.1 Review of Terms The standard term for the concentration of chlorine in water is milligrams per liter (mg/L). The concentration of chlorine gas in the atmosphere is measured in parts per million (ppm). 8.5.1.2 Dosage The total amount of chlorine fed into a volume of water by the chlorinator is the dosage. This value should be calculated da0ily in mg/L. Operators may record chlorine usage as pounds or gallons per day. While the number of pounds or gallons used per day is important, it is not the dosage but the feed rate that is important. As flow rates vary, the amount of disinfectant must also adjust to prevent over or under dosing. Changes in disinfection practices may affect the production of disinfection byproducts, such as trihalomethanes (THM) and haloacetic acids (HAA), and have a significant impact on the disinfection benchmark. Therefore, the inspector should not suggest changes to treatment practices without fully understanding the system’s specific situation. 8.5.1.3 Demand Chlorine is a very active chemical oxidizing agent. When injected into water, it combines readily with certain inorganic substances that are oxidizable (e.g., hydrogen sulfide, nitrate, and ferrous iron), and organic impurities including microorganisms, and organic nitrogen compounds such as protein and amino acids. The definition of “chlorine demand” is the amount of chlorine consumed by these reactions. Temperature, pH and other factors can extend the reaction time between chlorine and most organic compounds to hours or days. That is, the measurable demand at the end of 20 minutes could be less than the measurable demand at the end of one hour of contact. 8.5.1.4 Residual Residual, measured in mg/L, is the amount of chlorine present in the water after the dose has reacted with organics and other substances present in the water. Chlorine Residual (mg/L) = Chlorine Dose (mg/ L) - Chlorine demand (mg/L) 8.5.1.5 Contact Time The contact time is the interval in minutes (T) that elapses between the dosage point into the water and a downstream sampling point. Completion of the disinfection process requires a certain minimum period of time, depending on disinfectant and its residual concentration (C), water temperature, pH, and flow rate. In general, the contact time for ground water systems should be adequate to ensure inactivation of 4-log viruses under peak demand flow conditions. The contact time for surface water systems must be adequate to ensure compliance with the requirements of SWTR. More time may be
  • 148.
    8-4 desirable under unfavorableconditions, such as when the raw water has high levels of microbial contamination. To determine if disinfection is adequate to inactivate viruses and Giardia cysts, the SWTR requires unfiltered systems to determine CT values and show they are adequate to ensure inactivation of 4-log viruses and 3-log Giardia lamblia. Under LT2, unfiltered systems using chlorine dioxide or ozone must determine CT values daily, to show they are meeting their required Cryptosporidium inactivation. Filtered systems must show that filtration and disinfection combined provide the required 3 and 4 log inactivation of Giardia and viruses. Also under LT2, filtered systems may be required to provide additional Cryptosporidium removal and/or inactivation. The Surface Water Treatment and LT2 rules and their respective guidance manuals provide additional information on the requirements and methods for determining CT values. 8.5.2 Chlorine Chemistry Regardless of the form of chlorination – chlorine gas or hypochlorites – the reaction in water is basically the same. Chlorine mixed with water produces two general compounds, HOCl (hypochlorous acid) and OCl (hypochlorite ion). The free chlorine residual is the measurement of both compounds. If organic or inorganic compounds, especially nitrogen compounds, are available, the HOCl combines with them to produce chloramines or chloro-organic compounds. The combined chlorine residual is the measurement of these particular compounds present in the water. 8.5.2.1 Germicidal Effectiveness The consensus among water professionals is that a free chlorine residual of HOCl and OCl is much more effective as a disinfectant than a combined chlorine residual. 8.5.2.2 Breakpoint Chlorination To produce a free chlorine residual, operators must add enough chlorine to destroy the nitrogen compounds through a process called breakpoint chlorination. While this process destroys most of the nitrogen compounds, it does not destroy all of them. Those that remain combine with the chlorine, which produces the “irreducible combined residual.” Free + Combined = Total For many systems, this results in a residual in the distribution system that includes free and combined residuals. The “total chlorine” residual is the measurement of both of these residuals. The combined residuals are the primary contributors to taste and odor problems in a system. Table 8-1 shows the threshold of odor of various residuals.
  • 149.
    8-5 Table 8-1: Thresholdof Odor of Various Residuals Compound Threshold of Odor Free HOCl 20 mg/L Monochloramine 5 mg/L Dichloroamine 0.8 mg/L Nitrogen trichloride 0.02 mg/L 8.5.2.3 Taste and Odor Considerations As can be seen from the previous table, taste and odor complaints result primarily from combined residuals that form after the system has added enough chlorine to produce dichloramines and nitrogen trichloride. If the system operates with a free chlorine residual but receives chlorine taste and odor complaints, the inspector should suggest that the operator measure both free and total residuals. As a rule of thumb, if the free chlorine residual is less than 85 percent of the total, the odor and taste problem is a result of combined residuals, which may be resolved in two ways: • Remove the precursors that cause the combined residuals. • Increase the chlorine dosage. There may be an insufficient quantity of chlorine (pound for pound with the organics) to oxidize the organic compounds sufficiently to avoid the problem. When a system uses chloramines as a residual disinfectant, the operator must pay close attention to the chlorine-ammonia feed ratio to ensure that the residual is monochloramine. Figure 8-1: Reactions of Chlorine in Water
  • 150.
    8-6 8.5.3 Stage 1and Stage 2 Disinfectants and Disinfection Byproducts Rules Two considerations for the sanitary survey inspector should be the development of disinfection byproducts and maximum residual disinfectant levels (MRDLs). In addition to THM and HAA byproducts, plants that use ozone or chlorine dioxide can also produce other regulated disinfection byproducts – bromate and chlorite, respectively. The inspector should review the Stage 1 and Stage 2 Disinfectants and Disinfection Byproducts Rule (D/DBPR) for information on maximum allowable residual disinfectants, maximum contaminant level for disinfection byproducts, and treatment technique requirements (i.e., enhanced coagulation and enhanced softening). 8.5.4 Sanitary Deficiency Questions and Considerations – Disinfection Methods 1. Can the operator answer basic questions about the specifics of their disinfection process? Do they know when and where disinfection occurs and why they are dosing at particular sites? An operator’s lack of knowledge of the process and equipment indicates that equipment failure or process effectiveness may not be resolved in a timely manner. Management is responsible for ensuring operators are well trained in the use and maintenance of disinfection equipment. The inspector could consider a lack of knowledge related to this key process a significant sanitary deficiency. 2. Have there been any interruptions in disinfection? If so, why? If the system provides disinfection because they use a surface water source or has had a bacteriological problem, then interruption of service is a significant consideration. Interruptions often occur when a chemical feed pump fails or during cylinder changes when operators connect only one cylinder at a time. 3. Is a proper residual entering the distribution system at all times? The SWTR requires that a disinfectant residual of 0.2 mg/L be present at the entry point to the distribution system. This residual must occur after sufficient contact time to meet SWTR inactivation requirements. Some states may require a higher residual at the entry point to the system. In addition, the inspector should verify where this point is in the system and that an operator measures this residual at this point at least daily. If the system adds ammonia to create chloramines, the residual is combined chlorine and should generally be considerably higher than 0.2 mg/L, but, again, the federal requirement is only 0.2 mg/L. 4. What disinfectant residual does the system maintain? The SWTR includes requirements for a detectable disinfectant residual to be present at coliform sampling points in the system, but some states may require a higher value. The inspector should verify that testing sites are representative of the system and thus provide sufficient information to ensure the system meets the disinfectant residual requirements and does not exceed the MRDLs of the Stage 1 D/DBPR. The inspector may wish to measure residuals at points of high residence time.
  • 151.
    8-7 In addition toverifying that there is a proper residual, the inspector should determine whether the equipment and testing methods are adequate. See the Distribution and Process Control chapters (11 and 13, respectively) for more details on testing. 5. Is the contact time between the point of disinfection and the first customer adequate? Maintaining disinfection residuals at adequate concentrations throughout the distribution is important to assure safe drinking water to the consumers. There are, however, some drinking water regulations (the various Surface Water Treatment Rules and in some cases the Ground Water Rule) that require sufficient disinfection residual and contact time prior to or at the first customer to achieve the CT needed to inactivate viruses, Giardia and Cryptosporidium. The inspector should ask questions about disinfectant residuals, contact time and first customer location. 6. Do the operators measure and record the temperature and pH of the water at the point of chlorine application? The CT value required for proper inactivation of Giardia and viruses depends on the pH and temperature of the water. Therefore, the SWTR requires operators to take these two measurements daily and calculate CT at peak hourly flow. Operators must measure pH with a meter, not with litmus paper or a color comparator, and temperature with a calibrated thermometer. CT values for the inactivation of Cryptosporidium with chlorine dioxide or ozone depend on water temperature and is not dependent on pH. 7. Was the system required to prepare a disinfection profile? Is the profile available for review? The inspector should review the system’s disinfection profile on site and check to ensure that adequate CT is available to meet the surface water treatment rule (SWTR) removal/inactivation requirements. The inspector should inquire about any planned or potential changes in disinfection practices. 8.6 Common Types of Disinfection 8.6.1 Hypochlorination Systems Facilities 8.6.1.1 Introduction Modern hypochlorination systems are very reliable and effective. With the implementation of new regulations regarding chlorine, many small and medium-size facilities have switched to this safe, easy method of disinfecting water. The primary disadvantage of hypochlorination systems is their higher annual operating costs compared to gas systems. However, as a result of new safety and environmental regulations, the cost of using chlorine gas has continued to rise, making hypochlorination systems more desirable. Water systems should list hypochlorites in their hazardous materials inventories, and they should have written procedures for handling and using hypochlorites, and responding to spills.
  • 152.
    8-8 8.6.1.2 Sodium HypochloriteConsiderations Of all the chlorine disinfection products, sodium hypochlorite presents the least handling hazard to the operator. Sodium hypochlorite is available in concentrations from 5 to 15 percent. Personal protective equipment for handling sodium hypochlorite includes chemical goggles and gloves. 8.6.1.3 Calcium Hypochlorite Considerations Calcium hypochlorite is a powder containing chlorine in concentrations up to 67 percent. Operators mix enough of the powder in a solution tank using finished make-up water to create a 1 percent to 3 percent solution, which feeds into the water flow. Calcium hypochlorite can be difficult to dissolve in hard water (above 125 mg/L total hardness). It is also available in tablet form with flow through contactors for residual formation. Personal protective equipment needed for handling includes a cartridge respirator for chlorine with a dust filter, chemical goggles, and gloves. 8.6.1.4 Sanitary Deficiency Questions and Considerations – Hypochlorination Systems Facilities Note: The sanitary deficiencies related to Disinfection Dosages and Residuals earlier in this chapter apply to this section too. 1. What kind of hypochlorite is used (e.g., calcium, sodium, or others)? Sodium hypochlorite is vulnerable to a significant loss of available chlorine over time. The deterioration of sodium hypochlorite solutions is more rapid with increasing concentrations and increasing temperatures. Thus, the inspector should ask how much chemical is on hand and how old it is. Table 8-2 shows the half-life (in days) deterioration of sodium hypochlorite. Water systems can use this information to determine the concentration of solution that best fits their needs. Table 8-2: Half Life Deterioration in Days of Sodium Hypochlorite Percent Temperature 212 °F 140 °F 77 °F 59 °F 10.0 0.079 3.5 220 800 5.0 0.25 13.0 790 5,000 2.5 0.63 28.0 1,800 0.5 2.5 100.0 6,000 Sodium hypochlorite is a corrosive liquid. It should not be stored with dry chemicals or other liquids with which it can react, such as petroleum products. Calcium hypochlorite has a long life, but feed equipment requires greater maintenance than when sodium hypochlorite is used. The calcium hypochlorite solution contains a
  • 153.
    8-9 great deal ofabrasive material that deteriorates the chemical feed pump suction and discharge valves. Calcium hypochlorite is a fairly reactive oxidizer that should not be stored with other chemicals with which it can react. Under no conditions should petroleum products be stored with calcium hypochlorite. The reaction between chlorine and petroleum products is quick and violent. 2. Is there a cover on the solution tank to minimize corrosive vapors? If the tank is not covered, chlorine gas escapes into the room and could deteriorate the equipment. 3. Is there adequate spill containment? Water systems should use a double tank or a secondary containment area around all chemical storage tanks. 4. Do operators follow safety procedures during chemical handling and mixing? Observe operator Personal Protective Equipment (PPE) and the space where chemicals are stored and used. If PPE is missing, damaged, located in inappropriate areas, or the space is not clean, the inspector should question if the operators are actually following safety procedures. 8.6.2 Gas Chlorination Systems 8.6.2.1 Gas Systems Various manufacturers produce a varying array of gas systems, but the inspector need not be familiar with all of these systems. The systems used by water utilities fall into one of three general categories: • Pressure systems. • Remote vacuum systems. • Cylinder-mounted systems. The easiest way to tell a remote vacuum system from a pressure system is to look at the line from the cylinder to the chlorinator. If the line is metal, the system uses gas under pressure between the cylinder and the chlorinator. If the line is plastic, a remote vacuum system is in use and the gas is under a vacuum between the cylinder and the chlorinator. 8.6.2.2 Facility The following drawing shows the key points of a small gas-chlorine facility. In general, these include: • Containment of the chlorine, should there be a release or leak. • Air treatment system. • Gas leak alarm system. • Crash bars on doors.
  • 154.
    8-10 • Negative pressurein the room when the air treatment system is operating. • Overhead sprinkler system with a 20-minute capacity. • Containment of the air treatment system and sprinkler water. • Emergency power for the air treatment system. • Booster pump to provide pressure to the injector. • Scales to weigh the cylinders. 8.6.2.3 Gas Containers Manufacturers provide gas chlorine in 100 and 150 pound cylinders, 1-ton containers, and tank cars. (These values are the net weight of liquid chlorine in the container.) Most small systems use 100 and 150 pound cylinders. Note: Classification of gas chlorine has changed. As a result, different regulations apply to gas chlorine. Figure 8-2: Chlorine Gas Treatment Room 8.6.2.4 Safety Consideration for Operators The inspector must focus on the adequacy and reliability of the chlorination system to provide disinfection. However, the threat of injury or illness to the operator caused by the chlorination system means a review of the major safety considerations for gas chlorination systems is advisable.
  • 155.
    8-11 8.6.2.5 Sanitary DeficiencyQuestions and Considerations – Gas Chlorination Systems Note: The sanitary deficiencies related to Disinfection Dosages and Residuals earlier in this chapter also apply to this section. 1. How do operators detect leaks? Do they use automatic detectors or some manual form of detection? If water systems use automatic detectors, at what detection concentration do the operators set the instruments? The operators should also test them at least monthly. For manual detection methods, some operators may have a squeeze bottle of diluted liquid soap to squirt around fittings, which detect leaks if bubbles form. Others may use a dilute ammonia solution. Figure 8-3 shows 26o Baume ammonia water and strips from a cellulose acetate cleaning sponge in a squeeze bottle5 that operators can use to create ammonia vapor to detect leaks. If chlorine gas is present, a dense white cloud or fume will develop. Figure 8-3: Components of an Ammonia Squeeze Bottle 2. Is the sensor tube for the automatic detector near the floor level? Is there a screen on the end of tube? Look at the leak detector. Some new detectors use solid-state sensors, which operators must replace each year. The sensor tube should be located no more than 12 inches from floor level. 3. Is the chlorination equipment properly contained? The design of the room that houses the chlorination equipment should fully contain a chlorine release or leak. One common deficiency of these rooms are floor drains. The inspector should ask the operator if he keeps the drain sealed when not used for floor cleaning especially if the drain connects to others in different areas of the facility. 5 Source: AWWA OpFlow, December 1986, Volume 12, Number 12, page 3, Gimmicks and Gadgets
  • 156.
    8-12 4. Is thechlorination room vented at floor level with an adequate make-up air supply coming from the ceiling across the room? Where is the vent switch located? The inspector should determine if the design of the air exhaust and intake systems provide a slight negative pressure in the chlorine room when the air ventilation system is operating. A switch on the outside of the door allows the operator to turn on the air handling system prior to entry. The ventilation system may also be automatically activated when the door is opened or when the light is turned on. Many organizations have classified chlorine rooms as confined spaces. [Note: Do not enter if you are not sure that the air handling system is operating properly.] 5. Does the door in the chlorination room open out and have a panic bar and a window? The panic bar and outward-opening door are operator safety concerns and not a direct sanitary deficiency. The window allows the operator to observe the conditions in the chlorine room without entry, thus reducing exposure to hazardous conditions. 6. Are there any cross-connections in the chlorine feed make-up water or injection points? A common cross-connection problem in chlorination facilities is a drinking water connection to the injector and the make-up water for hypochlorination systems. There must be a physical separation or an acceptable backflow preventer between the drinking water system and the feed water to the injector. 7. Is there an alarm tied to interruptions in the chlorine feed? Low system vacuum and low cylinder pressure are the two most common alarm systems. If there is an alarm system, does it work? Does the system shut down the flow of water, or just initiate an alarm? 8. Does the system use automation, pace with flow, chlorine residual analyzer, or other system to adjust feed rates? Does it work? Finding automatic equipment that does not work is fairly common. Determine whether the system provides adequate residual during high flows and whether the residuals are higher during low flows. Failure of the system to dose according to varying flow rates is a significant sanitary deficiency. 9. Is there more than one cylinder, and are they equipped with a manifold and an automatic switch-over to avoid running out of chlorine? The inspector should determine whether the switch-over devices work. If there is only one cylinder, determine if the operator shuts off water flow when the cylinder is changed. Failure to shut off the flow of water interrupts disinfection. 10. Are the cylinders on a working scale? Operators must use a scale to determine the amount of chlorine used each day. To calculate dosage and signal the amount of chlorine remaining in the cylinders, operators must also routinely maintain and calibrate the scales.
  • 157.
    8-13 11. Are thevalves on the tanks only open a quarter turn and have a wrench in place for quick turnoff? Cylinders can provide a full feed of 40 pounds per day by opening the valve one-quarter of a turn. Opening the valve more is not necessary. By opening it only one-quarter of a turn and leaving the wrench in place, the operator can quickly shut down the cylinder if there is a release. 12. Are the operators properly marking all cylinders and restraining them to prevent falling? Operators should clearly mark and store cylinders in a manner that clearly indicates which cylinders are full and which are empty. All cylinders should each be restrained to an immovable object (e.g., a wall) with their own chain at a height of about two-thirds their height from the bottom to prevent falling. A single chain restraining multiple cylinders is not sufficient nor safe. In an earthquake zone, restrain cylinders with their own chains at or near the bottom. 13. Do operators follow safe practices during cylinder changes and maintenance? Has the utility provided detailed training on handling and changing cylinders? Managers should document this training, and operators should practice safety training at least yearly. Check to see if there is a written standard operating procedure for changing cylinders. Operators may use ammonia to check if there is a proper seal when replacing or installing a chlorine gas tank. Determine if the operators use the proper strength of ammonia for chlorine leak detection. 14. How many individuals are present when the chlorine cylinders are changed? Industry standards call for two people, one to change the cylinder and one to watch. If this is not possible, switching to hypochlorination may be a safer option. 15. What type of respiratory protection is used? When respiratory protection is required, the utility should provide a written respiratory protection program. This program usually includes a fit test of the device and training in its selection, use, and care. 16. Is there an emergency plan, and when was it last practiced? The facility should have a written emergency evacuation plan and should practice implementing the plan at least annually. 17. What is the operating condition of the chlorinator? Operators should disassemble, clean and rebuild all gas chlorination equipment every year. The rotameter can provide a clue as to the frequency of cleaning. If there is a heavy green or blackish film coating on the inside, the machine is past due for cleaning. In addition, general appearance can also be a key. Check preventative maintenance and repair records and determine if operators routinely perform preventative maintenance.
  • 158.
    8-14 Some indicators ofproblems for gas chlorination are valves, piping, and fittings that are damaged, badly corroded, or loose; no gas flow to the chlorinator; and frost on tank, valves or piping. 18. Is redundant equipment available, and are there adequate spare parts? Disinfection must be continuous. Therefore, the utility’s standard operational procedures should have provisions for stand-by equipment of sufficient capacity to replace the largest unit. If stand-by equipment is not available, operators should stop flow to the water system for any interruptions in disinfection and have critical spare parts on hand for immediate replacement. At a minimum, the system must have spare diaphragms and a set of lead gaskets. 19. Are the appropriate lighting, guards, and railings in place? Are there other safety concerns, such as electrical hazards? There should be no exposed wiring, and equipment should not be hard-wired into the electrical system unless designed to do so. The breaker box should be located outside the building and locked. Operators should have feed pumps properly mounted and secured to prevent moving or falling from the vibrations. As with all other water system facilities, operators must keep the building adequately secured from public access. Note: These general sanitary deficiencies of chemical feed systems are applicable to all feed systems used for all chemicals employed in the treatment process. 8.6.3 Disinfection with Ozone6 8.6.3.1 Introduction Utilities use ozone in water treatment for disinfection and oxidation. Early application of ozone in the United States was primarily for non-disinfection purposes such as color removal or taste and odor control. However, since the implementation of the SWTR and D/DBPR, ozone usage for primary disinfection has increased in the United States. Ozone, a gas at room temperature, is highly corrosive and toxic. It is also a powerful oxidant, second only to the hydroxyl free radical, among chemicals typically used in water treatment. Therefore, it is capable of oxidizing many organic and inorganic compounds in water. These reactions with organic and inorganic compounds cause an ozone demand in the water flow, which should be satisfied during ozonation, prior to developing a measurable residual. Typical concentrations of ozone found during water treatment range from <0.1 to 1 mg/L, although optimum conditions can produce higher concentrations. Because ozone is an unstable molecule, water systems generate it at the point of application for use in water treatment. The source of oxygen needed to produce ozone can be from oxygen present in air or high purity oxygen. The most common method for generating ozone is corona discharge, but systems may use other methods as well. 6 For more information on disinfection with ozone, please refer to the publication, EPA Guidance Manual on Alternative Disinfectants and Oxidants (April 1999).
  • 159.
    8-15 Corona discharge, alsoknown as silent electrical discharge, consists of passing an oxygen- containing gas through two electrodes separated by a dielectric and a discharge gap. Voltage applied to the electrodes causes an electron flow across the discharge gap. These electrons provide the energy to disassociate the oxygen molecules, leading to the formation of ozone. The following illustrations depict a basic and a simplified ozone generator. Figure 8-4: Basic Ozone Generator Figure 8-5: Simplified Ozone System Schematic 8.6.3.2 Systems Ozone water treatment systems have four basic components: a gas feed system, an ozone generator, an ozone contactor and an off-gas destruction system. The gas feed system provides a
  • 160.
    8-16 clean, dry sourceof oxygen to the generator. The ozone contactor transfers the ozone-rich gas into the water to be treated, and provides contact time for disinfection (or other reactions). The final process step, off-gas destruction, is required, as ozone is toxic in the concentrations present in the off-gas. Some plants include an off-gas recycle system that returns the ozone-rich off-gas to the first contact chamber to reduce the ozone demand in the subsequent chambers. Some systems also include a quench chamber to remove ozone residual in solution. 8.6.3.3 Facilities As mentioned above, systems can generate ozone from oxygen present in air or high purity oxygen. Following is a description of the two types of ozone generation systems and other components. 8.6.3.3.1 Oxygen Feed Systems Liquid oxygen feed systems are relatively simple, consisting of a storage tank or tanks, evaporators to convert the liquid to a gas, filters to remove impurities, and pressure regulators to limit the gas pressure to the ozone generators. 8.6.3.3.2 Air Feed Systems Air feed systems for ozone generators are fairly complicated as water systems need to properly condition the air to prevent damage to the generator. Air preparation systems typically consist of air compressors, filters, dryers, and pressure regulators. 8.6.3.3.3 Ozone Contactors After injection into the water flow, the dissolved ozone reacts with the organic and inorganic constituents, as well as any pathogens. Common ozone dissolution methods include bubble diffuser contactors and injectors. 8.6.3.3.4 Bubble Diffuser Contactors The most commonly used ozone contactor is the bubble diffuser. This method offers the advantages of no additional energy requirements, high ozone transfer rates, process flexibility, operational simplicity, and no moving parts. The Ozone Bubble Contactor (Figure 8-6) illustrates a typical three stage ozone bubble diffuser contactor. This illustration shows a countercurrent flow configuration (ozone and water flowing in opposite directions), an alternating cocurrent/countercurrent arrangement, and a cocurrent flow configuration (ozone and water flowing in the same direction). Bubble diffuser contactors use ceramic or stainless steel diffusers that are either rod-type or disc-type to generate bubbles. 8.6.3.3.5 Injector Contactors Typical injector contactors rely on a venturi section of the water stream which creates a negative pressure that draws the ozone into the water. In many cases, a higher pressure side-stream of the total flow increases the available vacuum for ozone injection. After injection into this side- stream, the water containing all the added ozone blends with the remainder of the plant flow under high turbulence to enhance dispersion of ozone into the total flow of water. Figure 8-7 illustrates typical in-line and side-stream ozone injection systems.
  • 161.
    8-17 Figure 8-6: OzoneBubble Contactors Figure 8-7: In-Line and Side-Stream Ozone Injection Systems To meet the CT disinfection requirements, additional contact time is required after the injector, typically in a plug flow reactor. The additional contact volume is determined in conjunction with the applied ozone dosage and estimated residual ozone concentration to satisfy the disinfection CT requirement.
  • 162.
    8-18 8.6.3.3.6 Off-gas DestructionSystems Destruction systems collect the off-gas from an ozone contactor and convert the ozone back to oxygen prior to release to the atmosphere. A blower on the discharge side of the destruct unit pulls the air from the contactor, which places the contactor under a slight vacuum to ensure no ozone escapes. 8.6.3.4 Sanitary Deficiency Questions and Considerations – Ozone 1. Why is the utility using ozone? The operator should be able to discuss the purpose for using ozone and the treatment objectives. 2. What secondary disinfectant does the water system use? Water systems can only use ozone as a primary disinfectant since it cannot maintain a residual in the distribution system. Therefore, these systems must use a secondary disinfectant, such as chlorine, chloramine, or chlorine dioxide for a complete disinfection system. 3. What type of process control monitoring does the utility conduct? Operators can use raw water quality, turbidity and ozone demand (the amount of ozone required for all oxidation requirements of the water) to assess how to effectively use ozone in the treatment process (see discussion on question 8). Water temperature, pH and alkalinity are also important in some of the other treatment objectives. 4. How and where does the system generate ozone? Water systems need a properly constructed building to protect ozone generators from the environment and to protect personnel from leaking ozone in the case of a malfunction. This generator room needs adequate ventilation to control the temperature and for exhausting the room in the case of a leak. The room must also have adequate space to remove the tubes from the generator shell and to service the generator power supplies. Air prep systems tend to be noisy; therefore, it is desirable to separate them from the ozone generators. Off-gas destruct units can be located outside, if the climate permits. If placed inside, the room should have an ambient ozone detector installed in the enclosure. All rooms need properly installed ventilation, heating and cooling to match the equipment-operating environment. 5. Is there an ozone monitoring plan to address the entire ozonation process? During operation of an ozonation system it is necessary to analyze for ozone in both the liquid and gas phase to determine the applied ozone dose, ozone transfer efficiency, and (for primary disinfection) residual ozone level. A monitor, where the gas stream exits the ozone generator, measures the applied ozone dose. A second monitor, where the off-gas exits the ozone contactor measures the amount of ozone transferred to the liquid phase in the contactor, which determines the ozone transfer efficiency. A third monitor measures the residual ozone in the disinfected water, exiting the ozone contactor or cells within the contactor, to ensure the process meets any CT requirements. 6. What are the application points for the ozone?
  • 163.
    8-19 The typical locationsfor feeding ozone in a water treatment plant are at the head of the treatment plant (raw water) pre-ozonation and after sedimentation. 7. How is ozone inactivation (CT) determined? There are several methods of determining ozone inactivation credit. The methods differ in the level of effort needed and in the ozone dose needed to achieve a level of inactivation. The operator should be able to explain the method used, as well as the contactor sampling locations used in inactivation calculations. Methods for determining ozone inactivation are included in the EPA SWTR Guidance Manual and in the EPA Long Term 2 Enhanced Surface Water Treatment Rule Toolbox Guidance Manual. 8. Does the utility have an operation and maintenance plan for the ozone system? Even though ozone systems are complex, using highly technical instruments, the process is highly automated and very reliable. Maintenance on generators requires skilled technicians. Operators should check generators daily, when in operation and periodically change filters and desiccant in air preparation systems, where the frequency depends on the quality of the inlet air and the number of hours in operation. Compressors require periodic service, depending on the type and operating time. Certified professionals should periodically pressure test liquid oxygen tanks as well. Ask the operator how often they inspect piping and contact chambers for leaks and corrosion and how often they clean the dielectric tubes. The water system should have procedures in place and provide the equipment needed for cleaning operations as well as storage space for spare tubes. 9. Is the utility complying with the MCL for bromide and the monitoring requirements under the D/DBPR? Ozone does not form halogenated Disinfectants and Disinfection Byproducts (D/DBPs- [THM and HAA ]) in reactions with natural organic matter, but it does form a variety of organic and inorganic byproducts. However, if bromide ions are present in the raw water, ozone may react with them to form halogenated DBPs. Therefore, the rule requires water systems, community and non-transient/non-community, using ozone for disinfection or oxidation to monitor for bromate. 10. Has management provided for the safety of the operators responsible for the operation and maintenance of all ozonation processes? The water system is responsible for providing necessary instrumentation for ozone systems to protect both personnel and the equipment such as gas phase ozone detectors installed in generator rooms, where ozone gas may exist and personnel are routinely present. Systems should also have an ozone detector installed on the outlet from the off- gas destruct unit, to ensure the unit is working properly. 8.6.4 Disinfection with Ultraviolet Light 8.6.4.1 Introduction The use of UV for disinfection of drinking water continues to grow in public water systems, due to its ability to inactivate pathogenic microorganisms without forming regulated disinfection
  • 164.
    8-20 byproducts. UV lightis effective against some pathogens, such as Cryptosporidium, that are resistant to common disinfectants like chlorine. UV can achieve significant inactivation of Cryptosporidium, as well as Giardia, at relatively low doses of UV light. Unlike some other disinfectants, inactivation using ultraviolet light (UV) is not dependent on temperature or pH. Some viruses, particularly adenoviruses, are much more resistant to UV light than Cryptosporidium and Giardia and require much higher doses of UV light. EPA has published a table providing UV dosages required for differing log inactivation of pathogenic microorganisms (40 CFR 141.720). These doses are appropriate for ground water, filtered water or waters that meet the turbidity requirements for unfiltered surface water systems. However, ground water that is high in iron, manganese or hardness may require pretreatment. 8.6.4.2 Ultraviolet Lamps UV lamps operate in much the same way as fluorescent lamps. UV radiation emitted from electron flow through ionized mercury vapor, produces the ultraviolet energy in most units. The difference between the two lamps is that the fluorescent lamp bulb has a phosphorous coating, which converts the UV radiation to visible light. There is no coating on the UV lamp so it transmits the ultraviolet radiation generated by the arc. Both low-pressure and medium-pressure lamps are available for disinfection applications. Low pressure lamps emit their maximum energy output at a wavelength of 253.7 nm, while medium pressure lamps emit energy with wavelengths ranging from 180 to 1370 nm. The intensity of medium-pressure lamps is much greater than low-pressure lamps. Thus, fewer medium pressure lamps are required for an equivalent dosage. For small systems, the medium pressure system may consist of a single lamp. Although both types of lamps work equally well for inactivation of organisms, the recommendation for small systems is the use of low-pressure UV lamps, because of the reliability associated with multiple low-pressure lamps, as opposed to a single medium pressure lamp, and for adequate operation during cleaning cycles. Recommended specifications for low-pressure lamps include: • L-type ozone-free quartz. • Instant start (minimal delay on startup). • Designed to withstand vibration and shock. • Standard nonproprietary lamp design. Typically, a quartz sleeve enclosure around the low-pressure lamps separates the water from the lamp surface. This arrangement is required to maintain the lamp surface operating temperature near its optimum of 40o C. 8.6.4.3 Ballasts Ballasts are transformers that control the power to the UV lamps. Ballasts should operate at temperatures below 60o C to prevent premature failure. Typically, the ballasts generate enough heat to warrant cooling fans or air conditioning. Two types of transformers are commonly used with UV lamps; namely, electronic and electromagnetic. Electronic ballasts operate at a much higher frequency than electromagnetic
  • 165.
    8-21 ballasts, resulting inlower lamp operating temperatures, less energy use, less heat production, and longer ballast life. 8.6.4.4 UV Reactor Design Most conventional UV reactors are available in two types; namely, closed vessel and open channel. For drinking water applications, the closed vessel is generally the preferred UV reactor for the following reasons (USEPA, 1996): • Smaller footprint. • Minimized pollution from airborne material. • Minimal personnel exposure to UV. • Modular design for installation simplicity. Some reactors are capable of providing UV dosages adequate to inactivate only bacteria and viruses for flows up to 600 gallons per minute. However, these reactors are incapable of the higher dosages required for protozoan cysts. To increase the dosage, systems need to increase the number of UV lamps and/or the exposure time. Additional design features for conventional UV disinfection systems include: • UV sensors to detect any drop in UV lamp output intensity. • Alarms and shut-down systems. • Automatic or manual cleaning cycles. • Telemetry systems for remote installations. 8.6.4.5 General Application and Review Water systems cannot directly measure UV dosage. Ultraviolet reactors should undergo validation testing to determine the operating conditions under which the reactor delivers the UV dose required for the necessary inactivation levels. In general, the operating conditions determined in validation testing should include flow rate, UV intensity as measured by a UV sensor, and UV lamp status. These monitoring and operating conditions would both be a part of state approval of an alternative treatment process and associated compliance monitoring. Other important non-regulatory operating considerations include reliability, redundancy, lamp cleaning and replacement, and lamp breakage. For systems using UV for compliance with LT2, validation testing is required and must meet minimum requirements established in that rule. The Ultraviolet Disinfection Guidance Manual for the Final Long Term 2 Enhanced Surface Water Treatment Rule (EPA 815R06007) provides additional information on UV disinfection, planning and design of UV facilities, validation of UV reactors, and start-up operation and monitoring of UV facilities.
  • 166.
    8-22 8.6.4.6 Sanitary DeficiencyQuestions and Considerations – Ultraviolet Disinfection Systems7 1. Is the system meeting its UV dose and inactivation requirements? The inspector should confirm that the system is operating within the validated conditions for range of flow, UV intensity lamp status, and UV transmittance. There should be records documenting episodes of operating outside of validated conditions. The inspector should confirm that the UV dose equation or UV set points and any other critical parameters are consistent with the validation and state approval. 2. Has the system met the requirement to treat at least 95% of the water delivered to the public within validated conditions for each month? The inspector should review periods where the UV system was operating outside of validated conditions or “off-spec” and what causes the operators identified. If extended periods of “off-spec” operations are noted, the inspector should review what changes the operators have made to address these episodes. 3. Do the operators monitor the UV reactor for validated conditions? Monitoring should include UV intensity, transmittance, reactor flow rate, lamp status, and any state designated parameters. The inspector should confirm that the system is verifying UV sensor calibration and recalibrating consistent with the state-approved protocol. The inspector should also confirm that a reference UV sensor is present and operating. The inspector should also verify regular maintenance of UV and flow monitoring equipment. Procedures for testing of critical alarms should be in place. 4. Are UV reactor maintenance procedures in place and followed? Maintenance procedures would include cleaning of UV sleeves and maintenance of sleeve cleaning equipment, ultraviolet transmittance analyzer cleaning and maintenance and maintenance, of ballast cooling systems, water level indicators, and thermometers. 7 See Chapter 6 “Start-up and Operation of UV Facilities” in the US EPA Ultraviolet Disinfection Guidance Manual for the Final Long Term 2 Enhanced Surface Water Treatment Rule. EPA 815R06007 (November 2006).
  • 167.
    8-23 5. Is upstreamtreatment performance meeting requirements? The inspector should review the performance of treatment processes upstream of UV disinfection that could have an impact on UV effectiveness. These processes would include turbidity reduction, iron removal and softening. 6. Have there been changes to the treatment train? The inspector should review the current plant configuration and operating conditions that could affect the delivery of UV disinfection. This would include changes to: • Inlet and outlet piping or channel conditions. • Plant hydraulics or in plant flows. • Any upstream treatment. • UV lamps or sensors-make/models should match those approved by the state. 7. Have there been changes in the source water? The inspector should review the source(s) of supply and any changes that could affect the delivery of UV disinfection. Those changes include: • New sources. • Changes in watershed conditions. • Turbidity events/ increases. • Algae blooms, lake turnover or other limnology/water quality changes. • Changes in UV absorbance of the source. 8. Is compliance reporting and recordkeeping meeting requirements? The inspector should review the records being maintained by the water system to assure they are in compliance with LT2, including but not limited to the validation test results and percentage of water per month not being treated with UV. 8.6.5 Disinfection with Chlorine Dioxide8 8.6.5.1 Introduction Chlorine dioxide (ClO2) is a neutral compound of chlorine and a strong oxidant. It is a relatively small, volatile, and highly energetic molecule, and a free radical even while in dilute aqueous solutions. Today, the major uses of chlorine dioxide are: • CT disinfection credit. • Pre-oxidant to control tastes and odor. • Control of iron and manganese. 8 For more information on disinfection with chlorine dioxide, please refer to the publication, EPA Guidance Manual on Alternative Disinfectants and Oxidants (April 1999).
  • 168.
    8-24 • Control ofhydrogen sulfide and phenolic compounds. Chlorine dioxide cannot be compressed or stored and shipped commercially as a gas because it is explosive under pressure. Therefore, water systems must generated it on-site. Most commercial generators use sodium chlorite (NaClO2) as the common precursor feedstock chemical to generate chlorine dioxide for drinking water application. Chlorine dioxide can be formed by sodium chlorite reacting with gaseous chlorine (Cl2(g)), hypochlorous acid (HOCl), or hydrochloric acid (HCl). The conventional chlorine-chlorite solution method generates chlorine dioxide in a two-step process. First, chlorine gas is reacted with water to form hypochlorous acid and hydrochloric acid. These acids then react with sodium chlorite to form chlorine dioxide. Water systems should carefully control the ratio of sodium chlorite to hypochlorous acid. Insufficient chlorine feed results in a large amount of unreacted chlorite. Excess chlorine feed may result in the formation of chlorate ion, which is an oxidation product of chlorine dioxide and not currently regulated. 8.6.5.2 Facilities There are several types of methods to generate chlorine dioxide. Following are schematics of two of the more common methods used. 8.6.5.2.1 Aqueous Chlorine-Chlorite Solution Chlorite ion (from dissolved NaClO2) reacts with hydrochloric acid and hypochlorous acid to form chlorine dioxide in these systems, commonly referred to as conventional systems. Figure 8- 8 shows a typical chlorine dioxide generator using aqueous chlorine-chlorite solution. Figure 8-8: Conventional Chlorine Dioxide Generator: Chlorine-Chlorite Method
  • 169.
    8-25 When chlorine gasand chlorite ion react under ideal conditions (not usually formed in aqueous chlorine type systems), the resulting pH of the effluent may be close to seven. To fully utilize sodium chlorite solution, excess chlorine is often used. This approach lowers the pH and drives the reaction further toward completion. The reaction is faster than the acid-chlorite solution method, but much slower than the other commercial method. 8.6.5.2.2 Recycled Aqueous Chlorine In the aqueous chlorine design (Figure 8-9), the injection of chlorine gas occurs in a continuously circulating water loop. This eliminates the need for a great excess of Cl2 gas feed to the generator, since the molecular chlorine dissolves in the feed water, and thus maintain a low pH level of the feed water. Loop-based generators keep chlorine at or above saturation levels. The low pH condition results in high yields of chlorine. Chlorine in the generator effluent may react with chlorine dioxide to form chlorate, if allowed to stand in batch storage too long. Figure 8-9: Chlorine Dioxide Generator: Recycled Aqueous Chlorine Method 8.6.5.3 Sanitary Deficiency Questions and Considerations – Chlorine Dioxide 1. Why is the water system using chlorine dioxide, and what are their treatment objectives?
  • 170.
    8-26 Water systems canutilize chlorine dioxide as a primary or secondary disinfectant, for taste and odor control, THM /HAA reduction, iron and manganese control, color removal, sulfide and phenol destruction, and zebra mussel control. Another common application of chlorine dioxide in drinking water is for control of tastes and odors associated with algae and decaying vegetation. 2. Did the water system conduct an oxidant demand study? Is a copy available for review? Before selecting chlorine dioxide for use as a primary disinfectant, the water system should complete an oxidant demand study. Ideally, this study should consider the seasonal variations in water quality, temperature, and application points. The Maximum Residual Disinfectant Level (MRDL) for chlorine dioxide is 0.8 mg/L and the MCLfor chlorite is 1.0 mg/L per the D/DBPR. Oxidant demand will affect chlorite/chlorate ions byproduct formation. 3. Is the water system using sodium chlorite and, if so, at what percentage? Most commercial generators use NaClO2 as the common precursor feedstock chemical to generate chlorine dioxide for drinking water application. 4. What is the secondary disinfectant being used? Concerns with chlorite and chlorate formation limit the use of chlorine dioxide to provide a disinfectant residual in the distribution system. Consequently, systems that use chlorine dioxide for oxidation and primary disinfectant applications will need an alternate disinfectant for residual disinfection. 5. What is the purity of the chlorine dioxide produced? Water systems operate chlorine dioxide generators to obtain the maximum production (yield) of chlorine dioxide while minimizing free chlorine or other residual oxidant formation. The specified yield for chlorine dioxide generators is typically greater than 95 percent. 6. Does the operator adjust the chlorine gas feed rate as required and recalibrate the equipment according to manufacturer specifications? In all generators, large excess amounts of Cl2 may result in the over-oxidization of chlorite and directly form chlorate in aqueous solution. Operators should always adjust the precursor chemical feed rates for the generators according to the chart settings supplied with generators, notably with the continuous flow, direct gas injection systems. Sometimes the operator will need to recalibrate these systems on-site, if feed stock sodium chlorite is not of the correct strength, or if the utility has replaced pre-calibrated flow devices. 7. Are sample petcocks available to perform the required sampling? Chlorine dioxide generators are relatively simple mixing chambers. Some type of media, which is usually TeflonTM chips, ceramic or raschig rings, usually fills the reactor chamber to generate hydraulic turbulence for mixing. A sample petcock valve on the discharge side of the generator allows operators to monitor the generation process.
  • 171.
    8-27 8. How andwhere is the sodium chlorite stored? Storage and chlorine dioxide systems typically include the following: • Storage and feeding in a designated space. • Use of non-combustible materials such as concrete for construction. • Storage in clean, closed, non-translucent containers. Exposure to sunlight, UV light, or excessive heat reduces product strength. • Avoid storage and handling of combustible or reactive materials, such as acids or organic materials, in the sodium chlorite area. • Secondary containment for storage and handling areas to handle the worst-case spill with sumps provided, to facilitate recovery. • A water supply near storage and handling areas for cleanup. • Any material in contact with the strong oxidizing and/or acid solutions involved in chlorine dioxide systems should be inert. • Storage tanks with vents to outside. • Adequate ventilation and air monitoring. • Gas masks and first aid kits outside of the chemical areas. • Reactor with glass view ports if it is not made of transparent material. • Flow monitoring on all chemical feed lines, dilution water lines, and chlorine dioxide solution lines. 9. Is the utility monitoring for potential byproducts of chlorine dioxide? Utilities that use chlorine dioxide should measure excess chlorine (as Free Available Chlorine) in the generator effluent, in addition to the ClO2-related species. Free available chlorine may appear as false ClO2 residuals for CT purposes, or result in the formation of chlorinated D/DBPs if high, relative to the ClO2 level in the generated mixture. Chlorine dioxide treatment and its subsequent degradation produce chlorite and chlorate in varying ratios as end products. 10. What are the application points for the chlorine dioxide? Is the CT value properly calculated? The calculation of CT for chlorine dioxide is similar to other disinfectants, with accurate determinations of residual concentrations being a prerequisite for effective disinfection. Water systems receive primary disinfectant credit from the residual concentration and the effective contact time. For post CT disinfection credit, operators can add chlorine dioxide before clearwells or transfer pipelines. The systems should also have ample sampling points installed to allow close monitoring of residual concentrations. 11. Is the utility complying with the MRDL for chlorine dioxide and MCL for chlorite as well as the monitoring requirements under the D/DBPR ?
  • 172.
    8-28 The MRDLfor chlorinedioxide is 0.8 mg/L and the MCLfor chlorite is 1.0 mg/L per the D/DBPR.For chlorine dioxide monitoring, community, non-transient non-community, and transient noncommunity water systems that use chlorine dioxide for disinfection or oxidation, are required to take daily samples at the entrance to the distribution system. For any daily sample that exceeds the chlorine dioxide MRDLof 0.8 mg/L, the system must take additional samples in the distribution system the following day at the locations specified in the D/DBPR, in addition to the daily sample required at the entrance to the distribution system. For chlorite monitoring, community and non-transient non-community water systems that use chlorine dioxide for disinfection or oxidation are required to take daily samples at the entrance to the distribution system. For any daily sample that exceeds the chlorite MCL of 1.0 mg/L, the system must take additional samples in the distribution system the following day at the locations specified in the D/DBPR. These additional samples are to be collected at: (1) a location as close to the first customer as possible, (2) a location representative of average residence time, and (3) a location as close to the end of the distribution system as possible (reflecting maximum residence time in the distribution system). These are some of the monitoring requirements. Utility personal should be familiar with D/DBPR monitoring requirements. 12. Has management provided for the safety of the operators responsible for the operation and maintenance of the chlorine dioxide generation processes? At high concentrations, chlorine dioxide reacts violently with reducing agents. However, it is stable in dilute solution, in a closed container in the absence of light. The major safety concern for solutions of sodium chlorite is the unintentional and uncontrollable release of high levels of chlorine dioxide. Another concern when handling and storing sodium chlorite solutions is crystallization, which occurs because of lower temperatures and/or higher concentrations. 8.6.6 Disinfection with Chloramines9 8.6.6.1 Introduction The reaction of ammonia with aqueous chlorine (i.e., HOCl) forms chloramines. Initially, chloramines were used for taste and odor control. Concern over chlorinated organics (e.g., THM and HAA formation) in water treatment and distribution systems has increased interest in chloramines because they form very few D/DBPs. However, because of its relatively weak disinfecting properties for inactivation of viruses and protozoa pathogens, it is rarely used as a primary disinfectant, and even then, only with long contact times. The primary use of monochloramine in water systems is usually as a secondary disinfectant for maintaining a residual in the distribution system. Chloramines are a good choice for secondary disinfectant because of the following potential benefits: • Chloramines are not as reactive with organics as free chlorine in forming D/DBPs. 9 For more information on disinfection with chloramines, please refer to the publication, EPA Guidance Manual on Alternative Disinfectants and Oxidants (April 1999).
  • 173.
    8-29 • The monochloramineresidual is more stable and longer lasting than free chlorine or chlorine dioxide, providing better protection against bacterial regrowth in distribution systems. • Research has shown that a monochloramine residual is more effective in controlling biofilms, because of its superior ability to penetrate the biofilm. Controlling biofilms also tends to reduce coliform concentrations and biofilm induced corrosion. • Because chloramines do not tend to react with organic compounds, many systems experience less taste and odor complaints when using chloramines. 8.6.6.2 Ammonia Feed Facilities Water systems may locate ammonia feed facilities on-site at the water treatment plant or at remote locations in the distribution system. Most ammonia feed facilities use either gaseous (anhydrous ammonia) or liquid (aqueous) ammonia. Though anhydrous ammonia is a gas at ambient temperature and pressure, it is commonly stored and transported as a liquid in pressure vessels. In this phase, ammonia is highly soluble in water. Water systems should keep storage facilities and handling equipment dry and store anhydrous ammonia in portable cylinders or stationary tanks. An ammoniator is a self-contained modular unit with a pressure reducing valve, gas flow meter, feed rate control valve, and miscellaneous piping for controlling the flow of ammonia into the water flow. Water systems can use an evaporator when they need large quantities of ammonia. Operators should have an anti-siphon valve or check valve installed to prevent water from entering the ammoniator. Anhydrous ammonia is usually applied by direct feed or solution feed. Typical application points are at open channels and basin facilities. Since excessive temperatures cause ammonia gas to vaporize, each storage tank should be equipped with a water trap or ammonia scrubber to keep vapors from escaping to the atmosphere. Aqueous ammonia feed systems are similar to other liquid chemical feed systems. They require a storage tank, chemical metering pump, relief valve, pulsation dampener, flow meter, and back- pressure valve. Typically, the feed pumps are positive displacement or progressive cavity type metering pumps (eccentric screw pumps). Operators should place feed pumps fairly close to the storage tank to minimize chances of ammonia vaporization in the piping. The pump design should compensate for changes in ambient temperatures, different aqueous ammonia solutions, and changes in the chlorine-to-ammonia ratio. 8.6.6.3 Nitrification Nitrification in chloraminated drinking waters is usually partial. Partial nitrification occurs when the chloraminated water has excess ammonia present in the distribution system. Partial nitrification can have various adverse effects on water quality, including a loss of total chlorine and ammonia residuals and an increase in heterotrophic plate count bacteria concentration. The excess ammonia encourages the growth of nitrifying bacteria that convert ammonia to nitrates. An intermediate step in this conversion results in the formation of a small amount of nitrite. The
  • 174.
    8-30 nitrites rapidly reducefree chlorine, accelerate decomposition of chloramines, and can interfere with the measurement of free chlorine. 8.6.6.3.1 Factors Factors contributing to nitrification include low chlorine-to-ammonia ratio, long detention times, and elevated temperatures. Nitrifying bacteria are relatively more resistant to disinfection by monochloramine than free chlorine. Nitrifying bacteria exhibit slow growth and the sediment of distribution systems may have higher numbers of the bacteria than in the biofilm. 8.6.6.3.2 Control Measures Nitrification may pose a potential problem for any utility using monochloramine as a disinfectant. Thus, water systems should carefully assess and control nitrification. For the distribution system, operators should identify and evaluate low-flow or dead-end sections and minimize the detention times (i.e., water age) throughout the system as well as managing turnover rates of floating storage tanks (those with single inlet-outlet configurations). Operators need to minimize the amount of free ammonia and maximize monochloramine production leaving the plant through process control monitoring. Measuring total chlorine and monochloramine is required where the desired result involvesboth measurements being close to the same value (e.g., no more than 0.1 mg/L difference as a goal). Systems also typically revert to straight chlorine disinfection annually to conduct a “chlorine burn” which, along with flushing, helps reduce biofilm growth that may have developed while using chloramines. 8.6.6.4 Sanitary Deficiency Questions and Considerations – Chloramines 1. Did the water system conduct a bench study to determine if chloramination is suitable? Is a copy available for review? A bench scale study is necessary to identify the water characteristics and to determine if chloramination is suitable. The reaction time to form free chloramine residuals varies for each water source, since the reaction rate between chlorine and ammonia nitrogen depends on the water’s temperature and pH as well as the concentrations of the two components. 2. What are the treatment objectives for chloramination? The primary use of monochloramine in water systems is as a secondary disinfectant for maintaining a residual in the distribution system. Because the germicidal effectiveness of monochloramine is less than for free chlorine, monochloramine requires extremely long contact times in order to meet disinfection CT requirements. 3. What type of process control monitoring do operators conduct? The reaction time to form free chloramine residuals varies for each water source, since the reaction rate between chlorine and ammonia nitrogen depends on the water’s temperature and pH of the water. It is important for the utility to develop operational procedures including a comprehensive monitoring program that alerts operators to implement nitrification control measures when required. The monitoring strategy should include monitoring of the following parameters:
  • 175.
    8-31 • Total chlorineresidual. • Monochloramine residuals. • Dichloramine residuals. • Naturally occurring ammonia. • Free ammonia. • pH. • Temperature. • Total organic carbon. • Nitrate/nitrite. 4. What are the points of application for the chlorine and ammonia? Depending on the treatment objective, adding ammonia and chlorine in either order forms monochloramine. Ammonia is added first, where formation of objectionable taste and odor compounds caused by the reaction of chlorine and organic matter are a concern. However, most drinking water systems add chlorine first in the treatment plant in order to achieve the required concentration and contact time (CT), to meet EPA’s SWTR disinfection requirements Imbalances in chlorine and ammonia concentrations can cause breakpoint chlorination reactions to occur when encountered in distribution systems. Monochloramine addition upstream of filters reduces biological growth on filters. This has a favorable impact on the filters by keeping them clean and reducing the backwash frequency. It also has the undesirable impact of reducing biodegradable dissolved organic carbon removal in the filters, when operators run the filters in a biological mode. 5. Does the utility sell water to communities that use chlorine instead of chloramines? When chlorinated water blends with chloraminated water, the chloramine residual decreases after the excess ammonia combines with the chlorine and monochloramine converts to dichloramine and nitrogen trichloride. This can deplete the entire residual. Therefore, operators need to know how much chlorinated water can blend with a particular chloraminated water stream without significantly affecting the monochloramine residual. 6. Has management provided for the safety of the operators responsible for the operation and maintenance of the chloramination processes? Anhydrous ammonia is lighter than air, so any leaking vapor will rise quickly. Under pressure, anhydrous ammonia is a liquid. Great amounts of heat are absorbed when the pressurized liquid reverts to a gas. For storage tanks and/or chemical feed equipment installed indoors, ventilation and vapor detection devices should be located at high points in the room. The ventilation rates vary, depending on the appropriate regulatory agency’s requirements.
  • 176.
    8-32 Utilities should protectammonia gas storage tanks from direct sunlight or direct sources of heat to avoid pressure increases in the tank. Otherwise, the tanks may release ammonia gas into the atmosphere through the pressure relief valves. In warm regions, water systems should cover outdoor tanks with a shelter or outfit the tanks with a temperature- controlled sprinkler system. Where fugitive emissions of ammonia are a concern, fume control may be required. If the accidental release from a storage container is a concern, the water system should consider installing an emergency scrubber system, similar to a chlorine gas scrubber system. 7. Has the water system notified critical populations of the use of chloramines? Users of kidney dialysis equipment are the most critical group affected by chloramine use. Chloramines can cause methemoglobinemia and adversely affect the health of kidney dialysis patients, if hospitals do not remove chloramines from the dialysate water. Chloramines can also be toxic to fish. The water system should notify hobbyists, pet stores and other establishments regarding the water system’s use of chloramines, so they can take measures to remove or neutralize chloramines from the water, prior to contact with any fish or other aquatic species. 8.7 Significant Deficiency Examples for Disinfection All significant deficiencies listed below are examples only. Each primacy agency may have identified a different set of significant deficiencies than those listed. The state (primacy agency) determines both significant deficiencies and the corresponding corrective actions. • Missing no-flow/fail-safe device for the chlorination system. • Incompatible storage of chemicals with chlorine. • No redundant chemical feed pumps for disinfection system. • Inoperable chemical feed pump that cause interruption in disinfection process. • Cross-connection in disinfection process. • No backflow/back siphonage devices for make-up water. • UV lights are deteriorating. • No process control monitoring. • Gas chlorine cylinders are not properly restrained.
  • 177.
    9-1 9 Turbidity Removal Thesanitary survey inspector must thoroughly evaluate all water treatment processes to ensure the production of a safe, adequate, and reliable supply of water for consumers. The water treatment plant is the primary barrier against unsafe water, and any malfunction in the treatment process could result in water quality problems. Of major importance is the consistent and continual removal of pathogens, typically using turbidity as an indicator. The inspector must evaluate the operation, maintenance, and management of conventional removal systems used at the water treatment plant to identify any existing or potential sanitary deficiencies. 9.1 Learning Objectives By the end of this chapter, students will be able to: • Identify different methods for turbidity removal. • Identify source water conditions that limit removal options. • Understand what process control is needed for different treatment options. • Identify deficiencies related to each treatment option. 9.2 Data Collection If available, review the following data prior to conducting the on-site inspection of a turbidity removal treatment facility: • Type of turbidity removal system. • Monthly operation reports. • Turbidity level goals for treatment units (e.g., for settling basin effluent). • Types of coagulant used. • Designed treatment criteria for plant. 9.3 Regulations and Standards to consider Prior to the inspection, review and consider the following regulations as part of the sanitary survey: • State design standards for surface water treatment systems. • ANSI/NSF International standards 60 and 61. 9.4 Basic Information Turbidity Removal Public water systems that use a surface water source or a ground water source under the direct influence of surface water must meet National Primary Drinking Water Regulations for the removal or inactivation of Cryptosporidium, Giardia lamblia (G. lamblia) and viruses. For surface water systems required to filter, the removal of turbidity by one of the treatment processes is a key step in complying with these requirements.
  • 178.
    9-2 9.5 Conventional FiltrationTreatment The most widely used technology for removing turbidity and microbial contaminants from surface water supplies includes coagulation, flocculation, and sedimentation, followed by filtration. Conventional treatment plants typically use aluminum or iron compounds in the coagulation processes and, in some cases, use polymers to enhance coagulation and filtration. Generally, gravity filters with sand, dual, or mixed media filters are used. The filtration rates may be from 2 gpm/ft2 with sand as the single medium up to 4 gpm/ft2 (or higher in some cases) for dual and mixed media filters. For higher rates, states may require pilot testing to demonstrate satisfactory filtration results. Figure 9-1: Conventional Filtration Treatment 9.5.1 Sanitary Deficiency Questions and Considerations – Conventional Treatment 9.5.1.1 Coagulation - Rapid Mix Note: The sanitary deficiencies related to chemical feed systems in Chapter 7, Chemical Contaminant Removal, also apply to this section. 1. Does treatment include continuous coagulant feed when the plant is in operation? The inspector should ask if treatment includes a continuous coagulant feed when the plant is in operation. Lack of coagulant addition is a significant deficiency that needs immediate attention. The inspector should check that there are redundant pumps for the primary coagulant and polymers and that spare parts are available. What devices, alarms and notification procedures do the operators have in place in the event of a failure of the feed systems? In answering the questions below, the inspector should observe the operator’s level of skill and understanding. 2. What type and combination of coagulants are used?
  • 179.
    9-3 Water systems typicallyuse alum or ferric salts as primary coagulants. Operators must control pH, because the effectiveness of alum decreases when pH exceeds 8.0. Operators must also be aware of any alkalinity requirements, if any, for the particular additives they use. Systems using low molecular weight cationic polymers as primary coagulants typically have raw water low in turbidity. This form of treatment is generally more applicable to direct filtration. Polyaluminum chloride combines alum and polymer, so the operator adds only one chemical. Water systems may also use nonionic and anionic polymers as coagulant, flocculent, filter, and backwash-water aids. 3. Do the operators understand the purpose of each coagulant chemical used? The operator should be able to fully explain the purpose of each coagulant chemical and why injection of the chemical occurs at a particular point. For example, “This low molecular weight polymer which is injected immediately downstream of rapid mix is used as a coagulant aid, and this high molecular weight polymer is added at a bend in the pipe prior to the filters as a filter aid.” 4. How do operators determine the dosage of each coagulant chemical? The inspector should determine whether the operator uses a streaming current monitor, jar tests, pilot studies, or combinations of such tests to determine dosage. Ask the operator to show you how to make up stock solutions for jar tests for both alum and polymers, how to run and dose a jar test, how to calculate mL/min from mg/L, how to calibrate the feed pump, and how to prepare the proper dilution for day tanks. 5. Is there a process control plan for coagulation addition? What type of process control plan has the water system developed to control chemical dosages during routine and emergency levels of raw water turbidity or other water quality problems? Do the filters have shortened runs due to filter-clogging algae, and what do the operators do to control this and other special problems? Do the operators respond to changes in raw water quality with changes in process control in order to keep the quality of finished water high? 6. Is the rapid mix process adequate? The rapid mix process is a critical part of the coagulation process. Water systems may achieve thorough mixing in a variety of ways, such as mechanical units, diffusers, in-line mixers, and baffles. The inspector should note the type of mixer and determine if the mixing equipment is functioning properly for all flows and all ranges of coagulant. Inadequate mixing can severely affect the performance of downstream processes, particularly when raw water quality is deteriorating. 7. Is the flocculation process adequate? The inspector should note any problems with short circuiting in the flocculation basin and observe if there is good floc formation at the effluent end of that basin prior to entry into the sedimentation basin. The paddles of mechanical flocculators should be in place and turning at the appropriate speed.
  • 180.
    9-4 9.5.1.2 Sedimentation 1. Isthe sedimentation process performing adequately? The inspector should describe the sedimentation process (e.g., tube settlers, lamella plates) and note problems with short circuiting or excessive turbulence. The inspector should evaluate the relative thickness (i.e., surface contour) of the sludge blanket throughout the different sections of the basin, as compared to his or her expectations of how the blanket should appear, based on the design and direction of flow toward the weirs. 2. Is the clarifier performing adequately? Does the inlet to the clarifier reduce the flow (kinetic energy) of the water such that the current does not re-suspend settled solids? For up flow solids-contact clarifiers, do the operators keep the mixer in operation to keep the blanket in suspension after shutting down the unit? The inspector should determine if the plant’s operational procedures adequately address sludge removal. Those procedures should include removal of sludge from the sedimentation basins and ultimate sludge disposal from the treatment plant. 3. How does the system start and stop operations? Treatment trains are subject to start up and shut down problems, and most unit operations operate best at steady state conditions. For systems that routinely operate intermittently, ask to see how the treatment process works during startup and shut down. Look for poor performance if the system stops and starts often during the day. 4. Look for carry over flock There should be little or no carryover of floc from the sedimentation basin to the filters. Ask the operator what their turbidity goals are for settled water, and how they measure and track them. What actions do they take if the unit is not meeting these goals? The inspector may want to calculate the surface overflow rate under peak flow conditions and compare the calculated value with the state’s design standards. 9.5.1.3 Filtration 1. Is the filtration process performing adequately? The primary purpose of filtration is to remove solids. Measuring the reduction in turbidity through each filter is critical to determine particulate removal effectiveness. The inspector should be concerned with the turbidity removal characteristics of each filter in service. Turbidity measurements of the combined effluent from multiple filters are not sufficient to assure adequate removal of pathogens as high performing filters tend to “average out” or mask the performance of a poorly functioning filter. If turbidity spikes “move through the plant” from source to clarifer to filter effluent, this is a deficiency, and the inspector needs to investigate to find the cause. 2. Is there adequate pretreatment?
  • 181.
    9-5 Water systems mustmonitor the quality of water entering the filters to ensure the filters are performing according to design guidelines. The filtration process, regardless of type, cannot perform effectively if the influent’s characteristics are unacceptable. Note: This condition is also critical in systems such as slow sand, diatomaceous earth (DE), and membrane filtration. 3. Are there rapid fluctuations in the flow through the filter? Rapid changes in flow can cause breakthrough. The inspector should record causes of rapid flow fluctuations such as operation procedures, recycling of backwash water, or a cycling rate control valve. 4. What controls and assessments do operators use to evaluate filter performance? The inspector should determine what methods operators employ, such as continuous turbidity and other monitoring, to evaluate performance, including raw and settled water turbidity, pH, alkalinity, and hardness. The inspector should also determine the frequency of the evaluations. Surface water systems using conventional filtration or direct filtration must continuously monitor the turbidity of each individual filter and keep a record of the measurements taken at 15 minute intervals. At each stage of the process ask what the operational goals are, how they measure them and how they react when the filtration process is not meeting these goals. The inspector should request those records and inspect them to make sure the filters are operating properly and that the system has not exceeded triggers that would require follow-up action. 5. Are instrumentation and controls for the process adequate, operational, and in service? Because turbidimeters must be extremely accurate, they should be calibrated (secondary and primary standards) regularly, according to manufacturer’s recommendations. Head loss through the filter is also important to filter operation, as is the use of rate of flow controllers. The instruments for these measurements and controls should be functioning properly. The inspector should determine if the operators maintain proper filtration and backwash rates where applicable. If the filter-to­waste option is available at the plant, the inspector should ensure the operators or the automation process properly executes the procedure and that operators routinely assess its adequacy. The operator should be able to explain the significance of the readings obtained from the instrumentation at the facility. 6. Do the operators properly operate and maintain filters and related equipment? • Is there sand in the clearwell indicating underdrain failure or severe media problems? • Do the operators use a surface wash to break up the mat on top of the filter? • Do the operators check the media for accumulation of mud on the surface and mud balls within the media?
  • 182.
    9-6 • Do theoperators manually clean the top layer of sand regularly if mud accumulation is a problem? • Is the media expansion during backwash adequate at all water temperatures? • Does the backwash rate increase and decrease slowly to avoid damaging the filter? • Do the operators probe through the media to check for adequate media depth and to find uneven gravel levels or dead spots where damage to the underdrain is not allowing bed expansion? • During operation, are there depressions, cracking, or other indications of short- circuiting in the media? • Is there filter-to­waste capability, and, if so, is it used? Ask about treatment goals for this phase of treatment, too. • Does the system have a maintenance plan for the filter and all related appurtenances? • Pressure filters are a special concern due to the difficulty of opening the bolted hatch for inspection and assessment; the inspector should ask when the system last opened the hatch and inspected the filter for the above items. 7. What initiates a backwash, and is there a standard operating procedure in place? Operators may initiate backwashing based on any number of factors including head loss, time, or effluent turbidity. It is important that all the operators of a system use the same criteria. In addition, the system should have a written standard operating procedure for backwashing and for returning the filter to service, to ensure that all staff do these tasks in the same way. Backwashes initiated on filter run times are a default industry standard. Water systems in arid or drought stricken areas need to ensure they are not wasting water and energy by backwashing filters too often. The inspector should check how backwash water is disposed of to ensure compliance with state and federal regulations and to determine its impact on the treatment process. Research shows that recycling backwash water may concentrate Giardia cysts, Cryptosporidium oocysts, and disinfection byproducts. Equalization or treatment of backwash water and other recycle streams prior to their injection at the plant head-works helps minimize these risks. The inspector should check to ensure the system’s compliance with the Filter Backwash Recycling Rule. The inspector needs to have the operator backwash a filter during the sanitary survey, if feasible, in order to determine the existence of any of the conditions noted above. The inspector should also examine preventative maintenance and repair records. 8. If the plant is a conventional plant, is it meeting the disinfection byproducts precursor removal requirements of the Stage 1 Disinfectants/Disinfection Byproducts Rule (D/DBPR)?
  • 183.
    9-7 The inspector shouldreview the system’s operating records and quarterly reports to the state to make sure adequate removal of total organic carbon is in compliance with the Stage 1 D/DBPR. The inspector should request a copy of the system’s disinfection byproducts (DBP) monitoring plan and review it as well. 9.6 Direct Filtration This process is similar to conventional treatment, except for the omission of sedimentation. Direct filtration generally consists of coagulation, flocculation, and filtration using dual or mixed-media filters. A variation of this process, sometimes called “in-line filtration,” includes only filters preceded by chemical coagulant application and mixing. Primacy agencies generally do not consider in-line filtration adequate treatment before disinfection. Direct filtration is best suited to systems that have high quality and seasonally consistent influent supplies with relatively low raw turbidity levels (consistently 25 NTU or less). Figure 9-2: Direct Filtration 9.6.1 Sanitary Deficiency Questions and Considerations – Direct Filtration • See the discussion above (9.5.1.1) on considerations for coagulation-rapid mix. • See the discussion above (9.5.1.3) on considerations for filtration. 9.7 Package Filtration This technology generally includes the processes found in a conventional treatment plant. The manufacturer combines the unit processes in a “package” delivered to a site, where a simple hook up of pipes is all that is necessary to provide treatment. Package filtration may be cost effective for small communities, but requires skilled operators to achieve consistent performance. In addition, operators must pay particular attention to common walls between water at differing stages of treatment to ensure cross connections do not develop, due to rust or over flow. This is particularly true when the raw water is susceptible to rapid changes in quality.
  • 184.
    9-8 Figure 9-3: ConventionalFiltration Package Plant Each of the three treatment processes discussed above depends on the operators successfully providing coagulation and flocculation of the particles in the raw water. Coagulation and flocculation are chemical and physical processes to improve the particulate and colloid reduction efficiency of subsequent settling or filtration processes. Coagulation involves feeding chemicals to destabilize the similar charges on suspended particles, allowing them to coalesce and thereby begin to form floc. Flocculation, which partly overlaps the coagulation process, requires gentle mixing of destabilized particles to form floc that can settle or filter out of the water. The inspector must be able to determine if the operators are using proper process control procedures to ensure removal of turbidity and associated pathogens. A careful review of the system’s operating records and logs will help make such determinations. 9.7.1 Sanitary Deficiency Questions and Considerations – Package Filtration • See the discussion above (9.5.1.1) on considerations for coagulation-rapid mix. • See the discussion above (9.5.1.2) on considerations for sedimentation. • See the discussion above (9.5.1.3) on considerations for filtration. • Ensure there is no cross-contamination at common walls between water at differing stages of treatment. 9.8 Slow Sand Filtration This process consists of a single medium of fine sand, approximately three to four feet deep. The medium is not backwashed as it is in a rapid sand filter; instead, operators manually clean it by removing the surface of filtration medium.
  • 185.
    9-9 Slow sand filtersoperate in the range of 0.03-0.10 gpm/ft2 , and therefore require extensive land area. The source water quality also needs to meet 10 NTU or less on a consistent basis. These filtration systems may be appropriate for small communities, but must include adequate (physical, not chemical) pretreatment. They are not suitable for raw water with high turbidities and rapidly changing quality. These filters operate under continuous submerged conditions and function using biological mechanisms (schmutzdecke) and physical-chemical mechanisms. Figure 9-4: Slow Sand Filter 9.8.1 Sanitary Deficiency Questions and Considerations – Slow Sand Filtration 1. What pretreatment does the water system use, if any? Because these filters do not need, and operators should not chemically pre-treat the raw water with a coagulant due to filter clogging, what pretreatment, if any, does the system use? Do they use a screen, chlorine, or a roughing filter (coarser sand) prior to slow sand? 2. What method do operators use to clean the slow sand filters? What is the average and worst-case time between cleaning the filters? Is cleaning accomplished by scraping (the most common method) or by harrowing (low backwash rate while turning the medium)? What is the sand depth? The system should replace the sand when repeated scrapings have reduced the depth of the sand to approximately one half of its design depth. 3. Are there redundant slow sand filters? Following scraping, slow sand filters perform poorer at the beginning of filter runs so filter-to-waste capability or a ripening period of 1 or 2 days is recommended. Operators should monitor filter effluent turbidity or particle monitoring to determine the end of the ripening period. The facility should have redundant units to allow the cleaned filter to build up a biological mat, or schmutzdecke, which builds on the top of the sand layer. Filters can return to service sooner when the harrowing technique of cleaning is used. Slow sand filter removal performance depends on microbes, and a lack of moisture reduces microbial growth. The inspector should ask if the operators ever leave the filter unsubmerged and, if so, for how long.
  • 186.
    9-10 4. Is theslow sand filter covered and light-free? Systems should enclose these types of filters in a light-free building to eliminate or minimize algae growth, to facilitate cleaning and to avoid ice build-up in the winter. 9.9 Diatomaceous Earth (DE) Filtration DE filtration, also known as precoat or diatomite filtration, is appropriate for direct treatment of surface waters to remove relatively low levels of turbidity and microorganisms. Diatomite filters consist of a layer of DE (about 1/8-inch thick) supported on a septum or filter element and operate either in pressurized vessels or under a vacuum in open vessels. Manufacturers generally design these units for a filtration rate of 1 gpm/ft2 . Figure 9-5: Diatomaceous Earth Filtration Figure 9-6: Filter Mechanics of Diatomaceous Earth Before a filter is ready for use, a pre-coat filtration process recirculates a DE slurry through the filter septum. This creates a thin, protective layer of diatomaceous earth. The septum is typically plastic or metal cloth mounted on a wire mesh-covered steel frame. After the pre-coat forms, the filter is ready for use. Operators must feed a low dose of DE, called body feed, into the raw water to help reduce the rate of head-loss through the filter. The pre-coat surface separates the
  • 187.
    9-11 particulates, including thebody feed, from the raw water flow where these particulates actually become part of the filter media. 9.9.1 Sanitary Deficiency Questions and Considerations – Diatomaceous Earth Filtration 1. What levels of pre-coat and continuous body feed do the operators maintain? The recommended amount of filter precoat is 0.2 lb/ft2 , and the recommended minimum thickness of precoat filter cake is 3mm to 5mm to enhance cyst removal. DE filters do not need a filter-to­waste cycle because of the precoat process. What amount of precoat is used? The filtration process must include a continuous body feed into the raw water to maintain the porosity of the filter cake. Also, if there is no body feed, there is a rapid increase in head loss due to buildup on the surface. Some water systems have found the addition of a coagulant coating (alum or a suitable polymer) to the body feed improves removal performance. What dosage does the operator maintain for body feed, and is the body feed continuous? Can the operator verify the dosages? 2. How do operators handle flow interruptions? Interruptions of flow cause the filter cake to fall off the septum, allowing pathogens to pass through the DE filter. For this reason, DE is not a recommended technology for on/off operation. Do the operators reestablish the pre-coating any time there is an interruption of flow at this facility? 3. When do operators initiate backwashing? The rate of body feed and size of the media are critical for determining the length of the filter run. Filter runs typically range from 2 to 4 days. Shorter runs minimize filtered water taste and odor problems arising from the decomposition of organic matter trapped in the filter. DE is effective for removing algae, but if prechlorination is used, operators can expect increased taste and odor issues. The inspector should determine whether this facility has taste and odor problems that are attributable to prechlorination or long filter runs. How often is the septum inspected and cleaned? How is spent filter cake disposed? 9.10 Bag and Cartridge Filtration Manufacturers of bag filters typically construct them of non-rigid fabric filtration media housed in a pressure vessel. The filter is usually a woven fabric or felt made of materials such as polypropylene, polyester, nylon or Teflon. Typically, only felt filters have nominal pore sizes as low as 0.5 to 1 µm, which are values likely to be associated with removal of Cryptosporidium and G. lamblia. Bag filters also include a sealing system on the open end of the filter at the connection to the water inlet. Typical designs of cartridge filters include fiberglass or ceramic membranes supported by a rigid core or a rigid core wrapped with strings of polypropylene, acrylics or nylon. Nominal pore sizes range from 0.3 to 200 microns. The advantage of these microporous filters to small systems is that no chemicals, other than the disinfectant, are required and they are relatively simple to operate.
  • 188.
    9-12 Pore size isa critical element in bag and cartridge filters, and primacy agencies usually require challenge testing to demonstrate the microbial removal capability. Use of bag or cartridge filters to meet Cryptosporidium removal requirements under LT2 requires challenge testing and removal credits are limited because direct integrity testing cannot be used to verify the integrity of system seals while the filters are in use. Seal integrity is another critical element in bag and cartridge filters because faulty seals can allow pathogens to partially or completely bypass filtration. Bag and cartridge filters may be suitable for producing potable water from raw water supplies containing low levels of turbidity, algae, and microbiological contaminants. The use of this type of filtration is usually limited to low-turbidity waters (<1.0 NTU ) because of susceptibility to rapid head loss buildup. Some installations address these limitations by using bag or cartridge filters after sand or multi-media filters, or by using preliminary bag or cartridge filters with larger pore sizes (e.g., 10 µm). Figure 9-7: Bag and Cartridge Filtration 9.10.1 Sanitary Deficiency Questions and Considerations – Bag and Cartridge Filtration 1. What type of pretreatment is used? Water systems can use bag and cartridge filters on raw water of any quality, depending on the degree of pretreatment provided. The inspector should verify the pretreatment used at the facility and whether the system uses bags, cartridges or both as the primary treatment or as an extra level of physical removal to ensure public health protection (for example, filters added after a poorly performing conventional treatment plant). 2. Does the final unit provide the required level of removal? The inspector should verify the filters in use were challenge tested and approved by the state for microbial removal for the system. Challenge testing must be performed on full- scale bag or cartridge filters, and the associated filter housing or pressure vessel, that are identical in material and construction to the filters and housings the system uses for
  • 189.
    9-13 removal of Cryptosporidium.Bag or cartridge filters must be challenge tested in the same configuration that the system uses, either as individual filters or as a series configuration of filters. Have there been changes in operation, sources or quality of supply that suggest review of the level of treatment required? Note: Water systems placed in a higher bin level of treatment category (i.e., Bin 2, 3 or 4) during the first round of monitoring under LT2 may not reduce treatment (“backslide”) if calculations of the second round monitoring results equate to a lower bin level treatment category. 3. What are the average and the shortest times between filter replacements? The inspector should ask the operator what seasonal site-specific conditions might shorten filter runs. The inspector should verify that the facility has met the turbidity standard for finished water at all times. Is bag replacement so frequent that upgrades to the pretreatment are justified? The inspector should make sure the system never operates without the filter cartridges or bags in place. There should be a supply of replacement filters and procedures in place for changing filters without bypassing filtration. Note: Replacement filters and bags must be identical to those used during challenge testing. 4. How is filter integrity and the need for filter replacement monitored? Indirect indicators of leaks or loss of seal integrity include turbidity and pressure measurements. Operators should monitor and record turbidity, head loss and total number of hours in service to determine filter replacement cycles. Are there any indirect integrity tests required by the state and have they been performed? 9.11 Membrane Filtration Membrane filtration processes act as selective barriers in water treatment, allowing some constituents to pass through the membrane filter while blocking the passage of larger constituents. Pressure driven membranes can achieve significant reductions in microbial contaminants and, in some cases, inorganic and organic compounds. Membrane filtration has become an attractive alternative for water systems because of its small footprint, lack of need for chemical coagulants and feasibility for both DBP precursor and microbial control. Membranes do produce a concentrated waste stream and some membranes are backwashed, resulting in a need for treatment and/or disposal. Periodic chemical cleaning is required and the resulting product requires proper disposal. There are four general types of pressure driven membranes discussed below. Site specific treatment goals provide the basis for membrane selection. Examples of site specific goals may include removal of inorganics, natural organic matter, particulates or pathogens. The advantage of membranes is they can maintain filtered water quality even with changes in turbidity, microorganism burden, algae blooms, pH, temperature, or other influent water characteristics that would require treatment changes and operator action in other filtration processes. Under most circumstances, membrane systems lose operational performance such as increasing pressure differentials across the membrane and shortening of the time between cleanings with changes in influent water quality. Membrane integrity and the monitoring of
  • 190.
    9-14 membrane integrity, aswell as waste stream and backwash treatment or recycle are the main concerns in the operation of membranes. Fouling and scaling of the membranes are also concerns, especially for high-pressure membranes. 9.11.1 Reverse Osmosis (RO) RO uses high pressure to reverse the natural osmotic flow of dissolved minerals from the high concentration side of the membrane to the low concentration side of the membrane. The increased pressure on the high concentration side of the membrane forces the solute water through to the low concentration side of the membrane. Water systems typically use RO to remove salts from brackish water and seawater. The membrane excludes particles less than 0.001 microns and provides a barrier for cysts, bacteria and viruses so operators must maintain its integrity and the seals, which are common points where breakthrough can occur. Figure 9-8: Spiral Wound RO Filter Core10 9.11.2 Nanofiltration (NF) Nanofiltration, also called membrane softening and low pressure RO is effective in the removal of calcium and magnesium ions (multivalent cations or hardness). It is also a very efficient membrane for removing natural organic matter to control DBPs. The membrane excludes molecules larger than 0.001 microns, the organic compound range, and provides a barrier for cysts, bacteria and viruses. 9.11.3 Ultrafiltration (UF) Ultrafiltration uses low-pressure membranes to remove natural organic matter and particulates. UF excludes molecules larger than 0.01 microns, the molecular/macromolecular range, and is a barrier to cysts while providing partial removal of bacteria and viruses. 9.11.4 Microfiltration (MF) Microfiltration uses low-pressure membranes to remove particulates and suspended solids. The membrane excludes molecules larger than 0.1 microns, the macromolecular/micro particle range 10 Source: http://www.aquanext-inc.com/en/product/desalination02.html
  • 191.
    9-15 and is abarrier to cysts and provides partial removal of bacteria. It does not provide significant removal of viruses. 9.11.5 Membrane Challenge Testing Because the removal efficiency of a membrane is product specific, manufacturers or water systems must conduct challenge testing on full scale membrane modules that are identical in material and construction to those the water system uses in its treatment plant. During challenge testing, feed water to the unit must include the organism itself or a surrogate that the membrane cannot remove more efficiently than the target organism. The results of the challenge testing establishes a quality control release value (QCRV), used for a non-destructive performance test that demonstrates the removal capability of production units. Operators should conduct additional challenge testing and establish a new QCRV value for significant changes to the membrane. 9.11.6 Membrane Integrity Testing In order for a membrane process to be an effective barrier, the filtration system must be free of integrity breaches. Operators must understand the importance of evaluating membrane integrity on an ongoing basis. Direct integrity testing is a very accurate means of assessing the integrity of a membrane filtration process, as it is a physical test applied to a membrane unit to identify and isolate integrity breaches. This assessment subjects all the physical components of the entire membrane unit, including the membranes, seals, potting material, and associated valves and piping to the testing. Commonly used direct integrity tests are an applied pressure or vacuum and measurement of a particulate or molecular marker. Operators should conduct direct integrity tests on a regular basis (LT2 rule requires testing at least once per day) then compare the results to a system specific control limit. If the direct integrity test exceeds the control limit, the operator removes the membrane from service for repair then conducts another test to verify the repairs. Since operators only conduct direct integrity testing periodically, they should also implement some level of continuous monitoring to measure process performance between direct integrity tests. Operators can conduct continuous indirect integrity testing to monitor membrane performance between direct integrity tests using turbidimeters, particle monitors and particle counters. 9.11.7 Sanitary Deficiency Questions and Considerations – Membranes Note: The sanitary deficiencies related to chemical feed systems earlier in this chapter are also applicable to this section. 1. What type of membrane is used, and what is its intended purpose? The inspector needs to identify which of the above categories of membranes the system uses and why the system selected that type. What are/were their treatment goals? For example, they may have chosen NF to remove the organic compounds that are precursors to DBPs.
  • 192.
    9-16 The inspector shouldverify that the membranes in use are the same as what the state approved for the system and that the system is operating the units consistent with any state required operating conditions or restrictions. 2. What type of pretreatment is used? Systems may use a fine mesh (e.g., 500-micron) screen or cartridge for pretreatment to protect MF and UF membranes from large particles. For RO and NF systems to operate economically, pretreatment processes have to remove suspended solids, microorganisms, and colloids. Systems often use MF and UF as pretreatment for RO and NF. The operator should describe what pretreatment the system uses prior to the final membrane. 3. How is membrane integrity being determined? The inspector should ask the operator about any procedures and frequency for direct integrity testing. What control limits have the operators defined to determine the removal of a membrane from service? If membranes frequently need repair or replacement, has the system investigated the cause? The inspector should assess the type of indirect integrity testing used, including the calibration and maintenance of instrumentation. What criteria do the operators use to determine when they need to conduct direct integrity tests? 4. What measures are operators using to control membrane fouling Are redundant units available, in case one of the units fails or the operator remove it for cleaning or membrane replacement? What are the fouling rate and life of the membranes? The degree of pretreatment and pH control helps minimize the fouling rate. The smaller the pore size of the membrane, the greater the concerns about fouling. Microfiltration usually does not need pH adjustments since it does not remove uncomplexed dissolved ions. The inspector should ask the operator to describe the fouling problems that the facility experiences and how they affect membrane life. 5. What is the percentage recovery and what technique do operators employ for backwash? The inspector should determine the percentage recovery (the percentage of raw water that makes it through the membrane) for the membranes used at the facility. The inspector should also discuss how backwashing is accomplished (for example, gas backwash), how often it is performed, and how the raw water quality affects the volume required. 6. What is the frequency of cleaning and disposal of cleaning fluids and brines? How often do the membranes require cleaning? The operator should describe what chemicals are used and how the system disposes of them. Several methods are available for brine disposal: sanitary sewers, surface water streams, lagoons or holding ponds, land application, underground injection, and recycling back to the head-works. The inspector should check to see that brine is properly disposed. Some contaminants, if present in high concentrations in the raw water, may create a brine that is a hazardous waste. 7. What is the condition of the plant, gauges and appurtenances? Membrane plants are mechanically complex and have many automatic valves and many more connections that require o-rings to achieve a tight water seal. The inspector should
  • 193.
    9-17 determine whether allthe valves are operating properly and whether there are leakage problems throughout the piping network. 9.12 Significant Deficiency Examples for Turbidity Removal All significant deficiencies listed below are examples only. Each primacy agency may have identified a different set of significant deficiencies than those listed. The state (primacy agency) determines both significant deficiencies and the corresponding corrective actions. • Failure to calibrate turbidity monitoring equipment or to record above the regulatory threshold (i.e., “capped”). • Inadequate process control testing or record keeping. • Key chemical feeds are not flow paced. • No overfeed protection of a chemical feed (lack of flow-control switch). • Inadequate process control sample locations (e.g., no way to measure dosages). • Insufficient or missing backflow prevention for surface wash filters. • Intermittent coagulant feed. • Insufficient mixing or too vigorous mixing at chemical feed points. • Exceeding any of the SWTR triggers, resulting in treatment technique violations.
  • 194.
    10-1 10 Finished WaterStorage Facilities Finished water storage facilities play a vital role in providing a safe, adequate, and reliable supply of water. Schools, hospitals, nursing homes, factories, and homeowners all depend on a consistent, dependable supply of safe water. Failure to maintain the structural and sanitary integrity of storage facilities can lead directly to the loss of property, illness, and death. 10.1 Learning Objectives • Identify key data needed regarding design, maintenance, and operation of storage facilities, in order to determine their adequacy and reliability. • Review the major components of ground, elevated, and hydropneumatic finished water storage facilities. • Evaluate operator safety practices and equipment in relationship to storage facilities. • Recognize sanitary deficiencies related to the capacity, physical condition, and operation of storage systems such as inadequate volume or pressure, contamination by animals and insects, corrosion, metal fatigue, and vandalism. 10.2 Data Collection To evaluate water storage for sanitary deficiencies, the inspector should gather the following information: • Type and volume of the storage facilities. • The results of the last inspection. • Maximum and minimum pressures at high and low elevations in the system. • Maximum and minimum pressures in each pressure zone. • Documentation of state approval for changes to or installation of the tanks. • Number of pressure zones in the system. • Verification of the presence of a hydraulic model of the system. • The type of chlorine residual testing method used by operators. 10.3 Regulations and Standards to Consider The inspector should consider and review the following information prior to inspection: • 40 CFR 141.714 – Requirements under LT2 for uncovered finished water storage facilities. • 40 CFR 1926.146 - Confined space entry. • The American Water Works Association (AWWA) standard for the type of piping materials used in the system. • AWWA C652-11 - Disinfection of Water Storage Facilities.
  • 195.
    10-2 • System constructionstandards. • State construction standards. 10.4 Finished Water Storage Facilities11 10.4.1 Purpose and Vulnerability of Storage Tanks The purpose of finished drinking water storage tanks is to ensure that the distribution system is under constant positive pressure and that there is additional water beyond the seasonal demand for emergencies. While achieving pressure, water systems must design and maintain tanks to minimize the degradation of the finished water as it passes through the tank into the distribution system to the customers’ homes. On average, the leakage of water out of distribution pipes is about 10%. Tanks protect against the non-potable water outside of the pipe from entering, by always forcing water out. Operators accomplish this by raising the height of the water such that its weight provides pressure to the water below – in the pipes. Although tanks protect against contamination from entering the network of distribution pipes, the positive pressure they create does not protect the tanks themselves, because the pressure goes to zero at the air/water interface. This makes tanks the most vulnerable part of the distribution system, not only because there is zero pressure at the top, but also because there are designed openings to the atmosphere via vents, overflows, hatches, roof to sidewall connections, appurtenances entering tanks and unplanned openings. To keep rodents, birds, bats, snakes and insects, and any diseases they may be harboring, there must be no hole larger than that afforded by a #24 mesh screen or 0.027 inches (wire diameter 0.014 inches). A #24 mesh screen will keep out all organisms down to the size of insects including black widow spiders (0.5518 inches), house flies (0.315 inches), deer ticks (0.166 inches), Asian Tiger mosquitoes (0.078 inches) and Noseeums or biting midges (0.059 inches). It is not the size of the insect that matters but the size to which an insect can contort its body to enter a space, and that is against what the #24 mesh screen protects. For these reasons, Ten State Standards has included the #24 mesh screen for vents and overflows, for ground level tanks, since its very first revision in 1962. Water systems must also thoroughly inspect the inside of their tanks every three to five years. Many systems do not have this expertise and will need to hire an outside company to perform the inspection. If excessive sedimentation or other issues are detected during the inspection, the operators will need to take the tank offline for cleaning and any repairs which may include stripping the old coating and resurfacing with a new coating. 10.4.2 Types of Tanks Finished water storage often begins at the treatment facility in a structure known as a clearwell. Out in the distribution system, storage tanks are normally elevated on steel legs or built on hills to provide water pressure. Tanks are either fully buried (must have a water proof covering), partially buried (soil must be below the seam where the top joins the walls at a distance required 11 The student may want to consider viewing the video entitled Sanitary Survey Inspection; Before You Begin... Storage Facilities, prior to reading this section. This and additional reference materials can be found in Appendix A.
  • 196.
    10-3 by the primacydesign standards), or elevated by either being placed on the ground or raised by a standpipe or legs. Elevated tanks made of metal must have a vacuum/pressure relief mechanism to protect them against excessive pressure or vacuum that can damage the tank. A very small system will often use a pressurized tank known as a hydropneumatic tank to provide pressure and limit the cycling frequency of pumps. 10.4.3 Adequate Volume and Pressure Water systems must be able to provide safe water at all times, in adequate volumes, with sufficient pressure (normally not less than 35 psi at any point in the system). Low pressure, inadequate volumes, and contaminated water from storage facilities are a result of poor design, construction, operation, or maintenance. 10.4.4 Varying Demand for Water Demand for water in a distribution system changes significantly throughout each day. As it varies, a properly operated finished water storage facility acts as a reserve, or buffer, which prevents sudden changes in water pressure in the system. Table 10-1 is an example of water use as an average daily demand. Table 10-1: Example of Water Use System Population 800 persons Average daily per capita usage 100 gallons Average Daily Demand (ADD) 800 x 100 = 80,000 gpd 100,000 gallons elevated storage (tower); 2 pumps supply the system and fill the tower Pump #1 85 gpm 122,400 gpd Pump #2 120 gpm 172,800 gpd Note. gpm = Gallons per minute, gpd = Gallons per day Table 10-2 is an example of varying water demands during one day. An average daily demand of 80,000 gallons per day equals 56 gpm. However, an average gpm is very misleading. As shown in the table, the demand varies greatly between the low at 3 a.m. and the high during a small house fire at 3 p.m. Table 10-2: Varying Daily Water Demands Time of Day Average Demand Demand 3 a.m. Low 30 gpm 7 a.m. Showers, Dishes 56 gpm 3 p.m. House Fire 750 – 1,000 gpm
  • 197.
    10-4 10.4.5 Pumps Aloneare Insufficient Although either pump in the example given above is capable of pumping the required 80,000 gpd based on 24 hours, neither is capable of keeping up with the day’s peak demands. The water stored in the tower makes up the difference. In addition, the demand for water varies from day to day and from one season to the next. 10.4.5.1 Clearwell Service pumps send water from the clearwells, often in tanks located below ground level, to storage and distribution after treatment, including disinfection. The effectiveness of chemical disinfectants, such as chlorine, depends on the concentration of the disinfectant and the contact time of exposure of the organisms to the disinfectant. Water systems usually achieve contact or residence time in the clearwell, often with baffling, to ensure adequate CT. See Chapter8: Disinfection for a complete explanation of CT. Figure 10-1: Clearwell 10.4.5.2 Gravity Storage Many of the following items apply to clearwells, as well as to storage in the distribution system. Gravity storage facilities (tanks) must be elevated to maintain sufficient pressure to all customers within the service area. Achieve the needed elevation by constructing the tank on structural supports above ground or by erecting the tank on a hill.
  • 198.
    10-5 Figure 10-2: GravityStorage 10.4.6 Large-Diameter Tanks Preferred When gravity storage is used, the pressure at the head of the distribution system fluctuates with the water level in the tank. Shallow, large-diameter storage tanks are preferred over deep, small- diameter tanks because the larger diameter tanks have more water per foot of drawdown and are thus less prone to pressure fluctuations. Figure 10-3: Large vs. Narrow Diameter Tanks 10.4.7 Materials Buried and partially buried tanks have thick walls constructed of reinforced or pre-stressed concrete, designed to withstand the pressure from the surrounding ground. Concrete tanks may also be completely above ground. Tanks constructed of steel may be elevated or placed on the ground. Water systems in relatively flat areas elevate steel tanks with legs or use standpipes to create the pressure needed for the distribution system. Concrete tanks require less maintenance because they don’t have metal surfaces that need painting inside and out.
  • 199.
    10-6 10.4.8 Components Minimized degradationof the water in a tank occurs when all of the components work together as a system. A storage tank designed to work as a dynamic system, where each component is dependent upon all of the other components, has the best sanitary protection and most efficient operation. Relying on one component meeting the best sanitary protection requirements, while ignoring the other components, will lead to failure. Operators need to inspect tanks daily or several times per week to verify the condition of all readily accessible components. It ensures for example, that the overflow is not spilling water due to telemetry failure, that there are no security breaches, and no new breaches have occurred to screens or other locations since the last inspection. Operators need to conduct quarterly inspections of components that they can only assess by climbing (e.g., hatches, vents and surface penetrations like cathodic protection). Typical tank components include: • Air Vent: Gravity tanks must “breathe” as the tank is filled and emptied. A plugged vent can result in structural damage to the tank from either a vacuum or an excess pressure condition. For protection against all organisms down to the size of insects, all tank vents must have a #24 mesh, corrosion-resistant, screen. To protect against inhalation of contaminants, the screen must be at least 24 inches (or at a distance required by the primacy agency) above the roof or ground. To protect against rain and snow, and to minimize light and dust from entering; downturned vents must face the ground, and for other vents (not turned down), a water proof cover must go down to the bottom of the #24 mesh screen. Metal elevated tanks must have a pressure/vacuum relief mechanism (e.g., movable palette, flexible inner screen, low pressure/vacuum relief valve, etc.) to prevent tank damage. The best configuration for a screen on a pipe is between two flanges, which brings the screen inside the pipe and protects it against vandalism. Operators must install and maintain bird screens to prevent them from nesting on horizontally placed screens or to protect flexible screens. Note: A globe-shaped device known as a “finial ball,” which is a combination vent and roof ladder support, was popular on old riveted tanks and generally was constructed without any kind of protection from rain, birds, or bugs. Water systems should replace or modify these and other poorly designed vents in a manner that accommodates air movement while protecting water quality. • Overflow: Must protect against all organisms down to the size of insects; all tanks (ground and elevated) must have a removable #24 mesh, corrosion-resistant, screen. Because flapper and duckbill valves can fail in the open position, if used, they must also have a #24 mesh screen, prior to the valves. The configuration must protect against inhalation of contaminants, rodent damage and erosion, and visibly terminate 24 inches (or at a distance required by the primacy agency) above the ground. The operators must not
  • 200.
    10-7 directly plumb theoverflow to a sanitary sewer, storm or tank drain, or submerge the outlet into any type of drain. If the overflow discharges above a storm sewer, horizontal displacement of the overflow outlet must be at least 3 feet or have a duckbill valve to avoid breathing air from the storm sewer. The overflow must discharge over a splash plate or engineered outlet (concrete or riprap) that will not submerge the overflow when spilling. The best configuration for a screen on a pipe is between two flanges, which brings the screen inside the pipe and protects it against vandalism. Note: The spilling of water through the overflow should be a rare event that constitutes an emergency. An overflow usually means the systems managing the high water level and overflow levels have failed (e.g., SCADA/telemetry systems). • Drain pipe: Empties the storage facility (not into the distribution system). Operators must protect the drain outlet against all organisms down to the size of insects; all tanks (ground and elevated) must have a removable #24 mesh, corrosion resistant, screen or some other protection such as a removable plug. Rodents, snakes and insects must not be able to transport any pathogens they may be harboring to the gate valve, which is no barrier to bacteria growth. Configuration: The outlet must visibly terminate some distance above the ground, as required by the state (typically, 24 inches). The operators must not directly plumb the drain to a sanitary sewer, storm or tank drain, or submerge the outlet into any type of drain. The drain can indirectly discharge to a sanitary sewer or storm drain but only if there is a 3 pipe diameter air gap. The best configuration for a screen on a pipe is between two flanges, which brings the screen inside the pipe and protects it against vandalism. Note: Water will only be exiting the drain through planned cleaning events, therefore, the screen or plug needs to be removable, then reinstalled immediately afterwards. • Access Hatch: Facilitates inspection and maintenance of the tank. The hatch should be of a “shoe-box” design. The lid must be solid, watertight, hinged at one side, and have a gasket. The “knife-edge” must be raised four inches above the roof where the lid may extend two inches below the top edge. The latch must pull the lid tight against the gasket and have a locking device. • Inlet and outlet piping: Connects to the distribution system for filling and discharging the tank. • Isolation valve: Isolates the tank from the distribution system. Water utilities need to design their distribution system such that they will not lose pressure when operators take a tank offline for cleaning and repairs. • Cathodic protection plate: Provides access to cathodic protection rods.
  • 201.
    10-8 Figure 10-4: TankComponents • Ladders and walkways: Facilitate inspection and maintenance of interior and exterior. Internal catwalks should have a solid floor with raised edges to keep dirt out of the water. Operators need to maintain these structures to avoid failure due to rust. • Security: Tanks need to be fenced, to dissuade vandalism and other deliberative attacks. All vital components gate entrances, vents, hatches and overflows should be under camera surveillance and alarmed for observation at the plant. • High level alarm: Turns off pumps when water reaches the high level set point. This alarm is below the overflow alarm. • Overflow alarm: Alerts staff when the tank is about to overflow and constitutes an emergency • Ultrasonic sensor: Measures water level in the tank. • Pressure gauge:
  • 202.
    10-9 Measures head pressure.Operators can use the head pressure to calculate the level of water in the tank. • Control system: Maintains water levels in the tank. • Altitude valve: Prevents a tank at a lower elevation from overflowing, while allowing a tank at a higher elevation to fill. • Valve pit: Contains altitude valve, isolation valve, and drain valves. • Alarm system: Detects unacceptable low and high water levels and sends signal to operators. 10.4.9 Advantages of Gravity Storage A gravity storage system offers several advantages over other (e.g., hydropneumatic) systems. • Greater flexibility to meet peak demands with less variation in pressure. • Storage for fire-fighting use. • One to five days of storage, to meet needs. • Use of lower capacity wells (well not required to meet peak demand by itself). • Sizing of pumps, to take better advantage of electric load factors (able to pump during discount hours). • Reduced on-and-off cycling of pumps. • Reduces or prevents water hammer. 10.4.9.1 Storage Filling Requirements For gravity storage, should the largest pump fail or need service, all other pumps should be capable of providing the average daily demand (ADD) for 18 hours. Using our previous example: ADD : 80,000 gallons per day. Large pump: 120 gpm (not part of determination). Small pump: 85 gpm (91,800 gallons in 18 hours). 10.4.9.2 Two Methods of Filling and Using Storage Direct pumping: Ideally, finished water enters at the top of the tank and the water must flow through the tank to the outlet at the bottom, which may increase the amount of disinfectant contact time (e.g., CT credit). The amount of CT a water system may receive for this type of design depends on the location and configuration of the inlet and outlet.
  • 203.
    10-10 Figure 10-5: DirectPumping Floating tank: Service pumps may send water directly into the distribution system before filling a storage tank. These tanks usually ride or float on the system and may be located several miles from the treatment facilities. This type of tank has a single inlet and outlet, so finished water can actually bypass the tank. These types of tanks do not qualify for disinfection contact time credit. Figure 10-6: Tank Floating on the System 10.4.10 Sanitary Deficiency Questions and Considerations - Gravity Storage 1. Is the storage system designed for direct pumping or floating on the distribution system? Direct pumping systems offer an advantage over floating systems in that the storage tank provides additional chlorine contact time, while minimizing DBPs. Direct pumping systems, however, tend to have higher fluctuations in head pressure than floating systems. In floating systems, the service pumps may send treated water directly to the customer through the distribution system, when the demand is high.
  • 204.
    10-11 2. Is thestorage capacity adequate? The total storage capacity for gravity storage systems should be equal to one to five days of average daily demand. The storage tank should have enough reserve capacity to provide adequate fire protection and allow for extreme conditions such as power outages where the pumps would be unavailable unless the system provides auxiliary power. Utilities that lack adequate storage run the risk of losing system pressure. 3. Is the storage over-sized? Conversely, storage facilities that are extremely over-designed run the risk of depleting the chlorine residual and creating DBPs, as well creating taste and odor problems. The water system should balance the capacity needs for fire protection with those required for adequate tank turnover, to prevent stagnation. Failure to use and replace water on a regular basis (tank turnover frequency) can cause the depletion of disinfectant residuals and cause the production of disinfection byproducts. In addition, ice buildup can be a threat to the tank. 4. Do storage tanks turn over at least once every 14 days? Water held for more than 14 days can become stagnant, causing taste and odor complaints, a reduction in chlorine residuals, and an increase in bacteriological activity and disinfection byproduct formation. 5. Is the pumping capacity adequate? The pumping capacity must be able to supply water for both normal peak demand and potential fire demand, while preventing the excessive loss of head pressure in the tank. (Many small systems are not designed to meet fire demands.) 6. Is the elevation of the tank sufficient to maintain pressure throughout the distribution system? Properly sized water tanks located sufficiently above the distribution system should produce minimum operating pressures of 35 psi (about 81 feet of head); operating pressures of 40-60 psi (92 to 139 feet of head) are preferred. 7. Is there a need for separate pressure zones? In communities that have varying topography, customers in the higher elevations could experience low water pressure, if the gravity storage system lacks separate pressure zones. The inspector should determine if the operators are meeting minimum and maximum allowable pressures throughout the distribution system. The inspector must not assume operators are actually managing a well-designed storage capacity properly. During the sanitary survey, the inspector should evaluate the operational strategy of the storage system, to ensure operators are maintaining minimum pressures, while minimizing water age (tank turnover). 8. Does the operator understand the controls that regulate tank water levels?
  • 205.
    10-12 The operator shouldunderstand the functions of the water level control systems and should be capable of making minor adjustments. There should be a record of control pressures and elevation for each phase of the pumping cycle. The record should include the pressures that activate the alarms. The operator of a system that has altitude valves and multiple tanks must be capable of taking pressure and water-level readings, and adjusting the valves to control tank levels. 9. Are there adequate minimum rise and fall distances? To maintain an adequate volume of water and an even distribution system pressure, the supply pump’s automatic controls should keep to a minimum the distance the water inside the tank rises and falls. The difference in the levels should be sufficient to allow for mixing of the water to minimize stagnation. The rise and fall should be sufficient, however, to prevent excessive pump cycles during hours of peak usage. Controllers should allow the water in the tank to rise to the high level set point that turns off the pump. If the telemetry fails and the pump does not turn off, it will trigger the overflow level alarm. The maximum water level should be within six inches to a foot of the overflow alarm. 10. Are control systems reliable and properly protected? Determine if the controls are suitable for the application and are functioning properly. Each storage facility should be equipped with a manual override and an alarm system to warn of pump failures, as well as overflow and low water levels. The inspector should note the general condition of the control devices and wiring, and determine if the system has installed adequate protection from lightning and other outside elements. 11. Is the water level indicator accurate? Every storage tank should have a reliable means of measuring the water level. If properly maintained, a float and staff gauge is the most reliable level indicator. Pressure gauges are acceptable for determining the water level, but operators need to perform occasional visual checks inside the tank to verify the pressure gauge accuracy. (Note: 1 psi = 2.31 ft.; 1 ft. = 0.433 psi.) 12. Is there a cleaning, inspection and maintenance program? Routine cleaning and inspection cycles are essential for the maintenance of the tank, especially for those with coatings. A qualified (certified) professional should conduct the inspection of the coatings, according to AWWA standard D101-53: Inspecting and Repairing Steel Water Tanks, Standpipes, Reservoirs, and Elevated Tanks for Water Storage. If caught early, operators can have minor failures of tank coatings, telemetry, ladders or other infrastructure repaired at a low cost. This helps maintain the life of the tank indefinitely. In between these comprehensive inspections, operators must also conduct daily to biweekly inspections to observe the condition of key components of the tank, like the
  • 206.
    10-13 vent and overflow,and look for holes in the tank. Systems need to conduct quarterly inspections for elevated tanks to observe the infrastructure, by climbing the tank. Tanks are the most vulnerable part of the distribution system and a thorough inspection program is a key part of this dynamic system, to ensure all the components are working properly and no one has tampered with the tank. Maintaining industrial control systems requires particular expertise from thoroughly trained operators or a readily available expert, to respond in case of a system malfunction. 13. Is all treated water storage covered? Water systems must cover finished-water storage tanks to prevent airborne contamination, such as that from birds, insects, small animals and algae. Covers must be watertight, made of permanent material, and constructed to drain freely and prevent contaminants from entering the stored water. The water system should not use the top surface of the storage tank for any purpose that may damage the cover or result in contamination of the stored water. The operators must maintain the seal between the roof and sidewall joint. 14. Air Vents: a. Is a #24 mesh non-corrodible screen used? All vents (ground level and elevated) must have a #24 mesh screen, to keep living organisms down to the size of insects, and any pathogens they may harbor out of the tank. Metal elevated tanks must have a pressure/vacuum relief mechanism (e.g., movable palette, flexible inner screen, low pressure vacuum/pressure relief valve, etc.) to prevent tank damage. Extreme vacuum events must not be able to draw the screen into the tank, as well. b. Is the vent at least 24 inches above the roof? Vents breathe air in and out of the tank and can inhale contaminants into the finished water; therefore, the screen must be at least 24 inches (ground and elevated) above the roof or ground. The vent must also protect against rain and snow, and minimize light and dust from entering. If the vent is down-turned, it must face the ground (inverted U). If the vent is not down-turned, it must have a water-proof cover down to the bottom of the #24 mesh screen. The best configuration for a screen on a pipe is between two flanges, which brings the screen inside the pipe and protects it against vandalism. Operators may need to add screening or other deterrents to prevent birds from nesting on a horizontally placed screen or to protect flexible screens. 15. Overflows: a. Is a #24 mesh, non-corrodible, screen used? Overflows allow air in and out of the tank just like the vents but through a longer pipe, unless it is overflowing with water, which should be a rare event. All overflows (ground level and elevated) must have a #24 mesh screen to keep living
  • 207.
    10-14 organisms down tothe size of insects and any pathogens they may harbor out of the tank. Overflow events should be extremely rare events, but, when they do occur, operators must inspect the screen for any buildup from the inside and any damage. Therefore, the screen must be removable. Placing the screen between two flanges provides the best seal but also allows operators to remove it for inspection. Flapper and duckbill valves can fail in the open position, so operators must install and maintain a #24 mesh screen prior to the flapper or valve. b. Does the overflow terminate 24 inches (but not less than 12 inches) above a splash plate? Overflows, like vents, breathe air in and out of the tank and can inhale contaminants (leaves, soil, dried feces, feathers, etc.) into the finished water. Therefore, the screen must be at least 24 inches (but not less than 12 inches) above the splash plate. The overflow must be visible in case the telemetry fails such that operators or anyone nearby may observe and report the overflow. Water systems must not connect the overflow to a sanitary sewer, storm drain or tank drain. If the overflow discharges above a storm sewer, operators need to displace the outlet horizontally by at least 3 feet or have a duckbill valve to avoid breathing air from the storm sewer. The overflow must discharge over a splash plate or engineered outlet (concrete or riprap) that will not submerge the overflow when spilling. 16. What is the design and condition of hatches? For ground level tanks (buried and partially buried), is the hatch at least 24 inches above the ground? For elevated tanks, is the hatch at least four inches above the roof? Is the lid solid and watertight, as well as hinged at one side. Is the lid a shoebox design that overlaps the rim by one or two inches? Does the lid fit over the hatch like the top of a shoebox, with no more than a ¼ to ½ of an inch space between the hatch edging and all sides of the lid? The lid must seal tight to prevent the inhalation or blowing of dust, dried bird droppings, and feathers into the hatch opening. Improperly fitted hatch covers are a common problem, but an operator may only need to make minor modifications to make many of them acceptable. Is there a gasket between the rim and lid and does the latch pull the lid tight against the gasket? When shut, push down on the lid to see if it moves. Movement indicates it is not tight against the gasket creating a pathway for insects, bird droppings, dust, feathers and mice. Hatches flush with the roof need to be raised to the minimum heights discussed above to protect against rain and snow washing sediment, bird droppings, mouse pellets (a single mouse pellets can have thousands of Salmonella in it), etc., into the tank.
  • 208.
    10-15 Constructed tanks mayhave large double doors that meet in the middle, for removing construction materials, that do not create a watertight and insect proof seal. These types of hatches need to be replaced with a solid cover, with a typical manway that has a shoebox lid. 17. Do operators keep the access hatches locked, and do authorized personnel have access to the keys or combinations? What type of locking device do the operators use to secure the hatch? Is the locking system sturdy? Is the hatch alarmed or under video surveillance to discourage swimming, vandals and others. Was the operator easily able to find the keys or combination to open the hatch? Operators must secure access hatches with a solid watertight cover and a sturdy locking device. It is not unusual for the wind to lift open an unlocked cover. Operators often lose keys or forget combinations and cut the padlocks. Unauthorized individuals may also cut the locks then swim in or throw things in the storage facilities. After opening the hatch, determine if there are spider webs, indications of other insect intrusions, floating debris, or sediment buildup in the tank. Note: you can use a mirror to reflect sunlight into the tank to help with observations. 18. Condition of drains? Does the drain have a removable #24 mesh, non-corrodible, screen? Water will only be exiting a drain pipe when an operator opens the gate valve for some planned event like cleaning the tank. Therefore, one of the steps in this planned process is removing the screen from the drain pipe, prior to flushing to prevent damage, then immediately replacing after cleaning. Putting the screen between two flanges makes it easily removable and prevents rodents, snakes and insects and any diseases they may harbor, from nesting in the drain pipe. Drains typically leak, creating a wet environment that attracts life of all sorts. It is simply good sanitary practice to not allow any rodents, snakes or insects to live in any part of the drinking water infrastructure. The wet environment from a drain pipe creates an environment that will support a significant bacteriological community, which is why water systems must never connect an overflow pipe to the tank’s drain pipe. The screened outlet must be at least 24 inches (but not less than 12 inches) above the splash plate. The drain must discharge over a splash plate or an engineered outlet (concrete or riprap) that will not submerge the drain when it is flowing. Operators must not directly connect the drain to a sanitary sewer, storm drain or be under water. The drain can indirectly discharge to a sanitary sewer or storm drain, but only if there is at least a 3 pipe-diameter air gap. 19. Are there any other openings in the walls, wall-to-roof connections or the roof? There must be no other hole larger than that afforded by a #24 mesh screen. Record any openings in the roof, walls or wall-to-roof connection that operators need to seal or need more significant repair.
  • 209.
    10-16 20. Are thecathodic protection access plates watertight? Access plates that are not sealed allow bird droppings to wash directly into the drinking water. 21. Is there a roof penetration for a water level indicator cable? This penetration for the cable allows bird droppings to wash into the storage facility unless the cable is in conduit, sealed at the opening and designed to cause rainwater to flow away from the cable opening. 22. Are there other roof penetrations? Roof penetrations for water lines, chlorine lines, and electrical devices are all opportunities for contamination, if operators do not maintain the seals. 23. Are there sewer lines within 50 feet of an in-ground storage tank? Any sewer lines located within 50 feet of a storage facility, such as a clearwell with a floor below ground level, need to be constructed of extra-heavy or service-weight cast iron pipe, with tested, watertight joints. No sewer lines should be closer than 10 feet to the tank. 24. Are there cracks in the walls or covers of the in-ground concrete storage tanks? Cracks in the tank can allow ground or surface water into the tank. Operators must include sealing or repairing of cracks as part of their routine (e.g., daily, weekly) checks of their tanks. 25. Is there protection from flooding? Would a flood event submerge the drains, overflows, valve pits or other critical infrastructure? If the drain would be flooded, does it have a duckbill valve to prevent the flood water from entering the drain pipe to the gate valve? Is the tank above the 100, 500 and 1,000 year flood event? If the tank is in a flood plain, is there long term planning to move it to higher ground to avoid any damage during a flood? Is the ground graded away from the tank and is large rock used to protect against the flood waters damaging the foundations of the tank? The water system should maintain any ground above an underground tank, such that the grade directs surface water away from the tank and prevents pooling near it. Underground drainage should discharge away from the structure. 26. Can the tank be isolated from the system? Are there procedures to sustain the water supply when the storage tank is out of service for maintenance? The tank should have gate valves to bypass water directly into distribution or into another tank, as well as a drain pipe to empty to the tank. The operator should exercise these valves regularly to ensure their integrity.
  • 210.
    10-17 The system mustbe able to maintain pressure in the distribution system, when operators remove a tank from service for routine cleaning and inspections, or drain it during an emergency (vandals or terrorist). This is important, because some repairs may take weeks to a month, like recoating the inside of a metal tank. Prior to removing the tank from service for maintenance, the water utility staff should coordinate and practice procedures for sustaining the distribution system pressure. This can be relatively simple in systems that are equipped with adequate back-up storage facilities. A small system that has only one storage tank or limited reserve storage would require a more complex means of maintaining the water supply. This could include operating high-service pumps manually and positioning fire hydrant relief valves at various locations within the distribution system. Water systems should establish temporary measures that they thoroughly test and practice, before actually removing the storage tank from service for maintenance. They should notify all water system customers and the fire department well in advance, to establish conservation and alternative plans, to decrease stress on the water system. When necessary, the water system should notify high-consumption customers and ask them to conserve voluntarily. 27. Has the water system protected the site against vandalism? Is the storage site fenced with a locked gate, alarmed or under video surveillance? Ladders to the tops of storage tanks should terminate 10 feet above the ground to deter unauthorized climbing. Many ladders have a section that “telescopes” up into the cage. In such cases, the operator should have the ladder and access hatch to the ladder cage locked. 28. Does the system use approved interior surface coatings? Water systems should only use coatings approved by NSF International on surfaces in contact with water. Unapproved coatings can create problems, due to organic and inorganic contamination of stored water. Certified professionals should apply coatings to a water tank in accordance with AWWA Standard D102-11Coating Steel Water Storage Tanks. 29. Does the water system monitor for coliform and volatile organic chemicals (VOCs), before returning the tank to service? Tanks must have time for interior coatings to properly cure. Before returning a tank into service, the water system should disinfect and flush the tank, refill it with water and analyze samples for coliform and VOCs. 30. Has the water system protected the tank against icing? When temperatures fall below zero for several days, ice may form in underground and elevated storage tanks. In underground tanks, ice formation is usually limited to surface ice. In elevated tanks, icing may be more severe where thick accumulations may form. Serious damage to walls and structures may result. Tanks have blown their tops due to
  • 211.
    10-18 the pressures thatresult; in less severe cases, the ice may damage cathodic protection and tank interiors. Operators must prevent tanks from freezing and not allow them to remain idle by using heaters, circulators, or bubblers in the tanks. The water system should have insulation around standpipes installed in very cold climates. 31. Are there indications that the tank may not be structurally sound? The inspector should base the answer to this question on previous cleaning and inspection reports, as well as visual observation of washouts, signs of foundation failure, cracking or spalding concrete, tank leakage, buckling of steel, slack in support rods, corrosion, and signs of other problems. 32. Has the water system protected the tank against corrosion? The inspector should ask if the water is corrosive and has damaged the tank coatings. If it is corrosive, what steps are the operators taking to protect metal tanks, i.e. corrosion control treatment at the plant, cathodic protection and frequent minor coating repairs. Corrosive water can seriously damage a steel storage tank if the protective coating is not completely intact. Note: Coatings can fail for several reasons, including improper surface preparation, application, and curing, use of the wrong type of coating, removal by ice or other environmental exposure, and lack of maintenance. The rise and fall of water in the tank can affect corrosion. Exposed metal surfaces that are submerged and then exposed to air (oxygen) corrode at an increased rate. Cathodic protection devices may provide corrosion control for metal storage tanks. Factory- authorized professionals should inspect and maintain these devices annually. 33. Do the operators or contractors properly disinfect storage tanks following interior maintenance? Water systems must disinfect reservoirs and elevated tanks on the distribution system, before being put into service and after extensive repairs or cleaning. Operators should disinfect the tank according to AWWA standard C652-11: Disinfection of Water Storage Facilities. 34. Are emergency procedures established? The inspector should learn about the procedure to detect and respond to low tank levels (low pressure) and high tank levels (overflow or high pressure) and determine if the procedures are adequate. Low levels in the tank can scour sediments off the bottom and send them into the distribution system so it is important to know when the water system last had the tank cleaned and if they had any breaches into the tank. Is there a high water level and overflow alarm to alert operators? A resource list should be available that contains information on where to obtain essential storage repair materials and services, in the event of an emergency. An alternative source of water should be available. Are they part of the state WARN system?
  • 212.
    10-19 35. Do theoperators follow safety precautions? There are climbing and atmospheric hazards associated with water storage tanks. Ladders should be in good condition and secure. The inspector should determine whether safety gear is available for climbing and for entry into confined spaces. 36. If the tank is wooden, do the operators manage it in a manner to minimize an increase in bacterial count? The most effective operating method for a wooden reservoir includes maintaining a chlorine residual of at least 1 mg/L, varying the water level in the tank a few feet each day, and never allowing the same water to stand in the tank longer than a few days. 10.4.11 Basic Information - Hydropneumatic Tanks Hydropneumatic systems to maintain distribution system pressure are very common in small water systems (fewer than 150 living units). These systems do not provide the consistent pressure and water quantity needed for firefighting, providing only enough storage to prevent excess cycling of the pumps. These systems combine the energy from a pump with the principle of compressed air pressure, to force water into the distribution system. Understanding how the hydropneumatic system is susceptible to sanitary risk requires an understanding of basic system operation and the role of system components. 10.4.11.1 How They Operate The system operates in the following manner: • The water supply pump starts when the pressure drops to a predetermined level (cut-in pressure). The pumped water compresses and pressurizes a pocket of air (air volume) at the top of the pressure tank. • When the pressure builds to a predetermined level (cut-out pressure), the pump stops and the compressed air expands as it forces the water into the distribution system in response to system demand. • When the pressure falls to the “pump-on” level (often 35 to 40 psi), the pump starts again, and the cycle repeats. The cycle rate is the number of times the pump starts and stops in 1 hour and varies based on the system demand. 10.4.11.2 Components A typical hydropneumatic system consists of: • Steel tank: Stores water. • Air volume control: Regulates air volume in the tank. • Relief valve: Prevents excessively high pressure. • Inlet and outlet piping: Allows flow of water in and out of the system. • Sight glass (tube): Allows direct observation of air-to-water ratio, generally one-third air to two-thirds water. • Pressure gauges: Monitor pressure, generally a 100 psi gauge.
  • 213.
    10-20 • Pump andmotor controls: Control cut-in and cut-out points. • High and low water levels: Regulate water level in tank. • Low pressure or flow controls: Maintain balance between water and air pressure. • Air compressor: Forces additional air into tank to increase pressure (prepressurization). • Master flow meter: Measures quantity of water pumped. • Cycle counter: Counts number of pump cycles. • Elapsed time meter: Records hours of operation. Figure 10-7: Submersible Turbine and Hydropneumatic Tank 10.4.11.3 Different Styles of Pressure Tanks Most hydropneumatic systems differ only in the kind of pressure storage tank used. Primary differences in tanks include: • Size. • Orientation (horizontal or vertical). • Methods of separating water and air. All these factors may contribute to the degree of vulnerability to sanitary deficiencies. The three kinds of tanks are described below.
  • 214.
    10-21 Figure 10-8: Stylesof Pressure Tanks 10.4.11.3.1 Conventional Tank Characteristics of conventional tanks include: • Air cushion in direct contact with water; air volume controls are necessary. • Capacity ranges from a few to several thousand gallons. • Vertical or horizontal placement. • Outlet located near bottom of tank. Combined inlet-outlet or inlet-outlet separated on opposite sides of tank to provide disinfectant contact time. • Air volume control located at the water/ air interface of tank; provisions available for prepressurizing. 10.4.11.3.2 Floating Wafer Tank Characteristics of a floating wafer tank include: • Floating wafer (rigid floats or flexible rubber or plastic) separates water and air, but separation is not complete. Expect some loss of air, which requires occasional recharging. • Vertical placement limits tank capacity. • Inlet and outlet combined at bottom of tank. • Internal air check valve to prevent premature loss of air due to electric outage or excess water demand. 10.4.11.3.3 Tank with a Flexible Separator Characteristics of tanks with a flexible separator include: • Separator fastened around inside of tank for complete separation of air and water, either flexible diaphragm or bladder type. • Vertical placement limits tank capacity. • Supercharged at factory or on site to pressures just below pump starting pressure.
  • 215.
    10-22 10.4.12 Sanitary DeficiencyQuestions and Considerations - Hydropneumatic Storage Tanks 1. Is tank capacity adequate? There are several formulas for determining required tank capacity (two examples are listed below). In selecting and evaluating the tank, capacity must correlate to the system’s peak demand. Engineering records, which should be available at the facility, list pump capacity, cut-in, and cut-out pressures. Operating records show current peak demand and if peak demand has changed since the installation of the tank. A change in peak demand could require a change in tank size. • Tank Capacity Formula • Tank capacity = at least 10 times the capacity of the well’s largest pump; and, • The well pumps = at least 10 times the average daily consumption rate. • Alternative “Rule of Thumb” • The capacity of the wells and pumps must be at least equal to the peak instantaneous demand. Note: to ensure against over stressing facilities at peak demand, system operators must know the pumping capacity and peak demand rates. The inspector should be especially concerned about the adequacy of supply capacity and tank size in communities that have substantially increased their service population without upgrading the water system. The active storage volume of the hydropneumatic tanks must be sufficient to limit pump cycling to manufacturer’s and industry recommendations. Maximum cycling frequency must be determined for the largest pump, when demand is one-half the capacity of the largest pump or combination of pumps operated by the same pressure switch. 2. Does the low pressure “pump-on” level maintain adequate distribution system pressure? Maintaining adequate pressure is especially important to keep the water flowing from storage facilities to serviced areas. This is because the pump and source have to be capable of meeting the system’s maximum momentary water demands or the potential for low pressure situations and backflow or back-siphonage is substantially increased. To prevent backflow and back-siphonage, the system must maintain a minimum pressure at all times. Too little pressure can cause the water flow to reverse, allowing water from a polluted source to enter potable, stored water. Low pressure can indicate improper connections, or cross connections, made from storage to serviced facilities. Too much pressure, on the other hand, can strain system components, can cause high leakage rates, and force air out with water. • System pressures (pounds per square inch).
  • 216.
    10-23 • Optimum workingpressure: 60-80 psi. • Minimum working pressure: 35 psi. • Maximum pressure at service connections: 100 psi. • Minimum pressure under fire flow conditions: 20 psi. Check for Hazards: Inspectors should check engineering records to assess potential backflow hazards in the water of facilities served by the system. They also should consult operating records to see whether pressure is adequate, and they should determine whether and how often breakdowns and pressure losses occur. 3. Are instruments and controls adequate and operational? Do the operators use and maintain them? Proper operation and maintenance of the storage system is also essential. Failure to adjust gauges and controls properly can lead to inadequate pressure or inadequate supplies of water. Airborne or waterborne foreign matter may pollute tanks equipped with air compressors. Careful installation and maintenance of air filters and cross-connection control devices can prevent the entry of foreign material into the hydropneumatic system. Evaluating components: To ensure proper operation and maintenance of the system, operators must routinely check and adjust the following components to meet changes in the peak demand: • Air volume control. • Relief valves. • Motor controls. • High and low water level controls. • Low pressure flow controls. • Air compressor and controls. • Check records: Frequently, operators do not adjust controls after the equipment arrives from the factory. Operating records should report the original calibration and if peak demand has changed. 4. What is the cycle rate and air-to-water ratio? Cycle rate: The water supply pump should not cycle frequently (10 to 15 cycles per hour is acceptable). Frequent or constant operation of the pump indicates a “waterlogged” tank, improper settings on the pressure controls, or system demand that is close to exceeding the supply pump capacity. Air-to-water ratio: The air-to-water ratio in conventional hydropneumatic tanks should be approximately one-third air to two-thirds water at “pump off” pressure. If the air volume is too high, the tank could lose water before the pump starts, which would send air into distribution system. 5. Do the operators properly protect the tank and the controls?
  • 217.
    10-24 The tank shouldbe located in a secure building or surrounded by a fence, to protect it from vandalism. House controls should be in a waterproof and secure structure that is easily accessible for maintenance. Lightning protection should also be included. 6. Are emergency procedures established? A control system should detect pump failure (in either a low- or high-pressure situation) which then activates an alarm. Some alarm systems consist of a light or horn at the facility. This type of alarm is not as reliable as an automatic telephone dialer alarm, programmed to call several numbers, until an operator responds. 7. Are there back-up systems? Many water systems, especially small ones, do not have redundant equipment. Inadequately maintained hydropneumatic systems are extremely prone to malfunction, and pressure is usually lost before an operator can correct the problem. Back-up systems can substantially reduce the sanitary deficiencies of pressure loss, due to equipment failure. Water systems should establish contingency plans for an emergency source of safe water. Service contract: The utility should have a service contract with an industrial controls technician, for maintenance and trouble-shooting. CAUTION: Hydropneumatic tanks are pressure vessels. A pressure of 50 psi is equivalent to 3.5 tons per square foot of tank surface area. DO NOT TAP ON THE TANKS! 8. Are the interior and exterior surfaces in good condition? The interior and exterior should be in good physical condition. The inspector should check for signs of coating failure and corrosion. The inspector most likely will not be able to examine the interior surfaces, but should emphasize to the operator the importance of regular inspections. By reviewing maintenance records, the inspector may determine if operators are inspecting their tanks. Some states require all pressure vessels to undergo regular hydrostatic testing. Water systems should not bury the tank. 9. Are tank supports adequate and structurally sound? A proper and permanent structure should support the tank. An inadequately supported tank may shift and damage the piping connections, or, worse, the tank could rupture. 10. Is the recharge air free of pollutants such as oil from an air compressor? Air compressors can introduce lubrication oil as an aerosol, into the hydropneumatic pressure tank. The inspector should ask about the maintenance of the air filter, as well. 11. What is the physical condition of the outside hatch? An outside access hatch that is in poor physical condition can compromise the integrity of the pressure vessel, causing safety and sanitary deficiencies. 12. Are the pump and source capable of meeting the system’s maximum momentary demand?
  • 218.
    10-25 The system’s maximummomentary demand can occur when the hydropneumatic tank has exhausted its stored water (at the “pump-on” pressure), therefore, the system can lose pressure if the pump and source cannot meet peak demands. 10.5 Significant Deficiency Examples for Storage Facilities All significant deficiencies listed below are examples only. Each primacy agency may have identified a different set of significant deficiencies than those listed. The state (primacy agency) determines both significant deficiencies, and the corresponding corrective actions. • Access hatches not locked or hatch improperly designed (shoebox lid with intact seal). • Holes left in tank by removal of cathodic protection rods or any other reason. • Missing 24-mesh screen on air vents or overflow outlets. Overflows with flapper covers still need a screen since debris, ice, snow, etc., can prevent them from closing. • Erosion around the foundation of storage tanks, which could lead to instability and eventual collapse of the tank (elevated or ground storage). • Cracks in the walls of concrete storage facilities. • Inadequate venting or missing air vents. No or improper screening of vents; vents not terminated at least 3 pipe diameters above the surface. • Evidence of animals, insects in the storage facility or signs or tampering.
  • 219.
    11-1 11 Distribution Systems Thesanitary survey inspector must evaluate the water distribution system to determine if it can provide a safe, adequate, and reliable supply of water.12 Distribution system piping and appurtenances have contributed to the deterioration of water quality. In addition, construction and repair techniques expose personnel and customers to a wide variety of hazards. The inspector must evaluate each of the operation, maintenance, and management practices that influence the quality of the water in the distribution system, in order to evaluate the sanitary deficiencies and to determine if the deficiency is significant, or provides an imminent and substantial risk to public health. To perform this evaluation, the inspector should be able to meet the following objectives. 11.1 Learning Objectives By the end of this chapter, students should be able to: • Identify data collection requirements necessary for evaluation of sanitary deficiencies of a water distribution system. • Review the major components of a water distribution system, including pipes, valves, meters, meter vaults, fire hydrants, thrust blocks, and anchors. • Describe how the types of materials, selection standards of water distribution system components and operations can affect system reliability or water quality. • Identify the standards used to select water distribution system components, and describe how these standards protect public health and the reliability of the distribution system. • Identify factors that contribute to reduction in water quality in a distribution system. • Identify the information that should be included on water distribution system maps. • Describe the proper monitoring of a water distribution system. • Identify operation and maintenance tasks, such as flushing, necessary to maintain the integrity of the water distribution system. • Describe the safety practices that should be in place to protect the operator and public during distribution system operation, construction, and repair. • Describe the proper methods, based on American Water Works Association (AWWA) standards, for disinfecting new and repaired water distribution system lines and appurtenances. • Identify construction techniques that can be a positive influence on distribution system integrity. 12 The student may want to consider viewing the video, Sanitary Survey Inspection; Before You Begin... Distribution, prior to reading this section. This and additional reference materials can be found in Appendix A.
  • 220.
    11-2 11.2 Data Collection Toevaluate and assess a water distribution system for sanitary deficiencies, the inspector should gather or evaluate the following data: • How the system evaluates and tracks distribution system data. • Maps or diagrams showing main sizes and locations of valves and hydrants. • Type and quantity of piping materials. • Age and condition of piping materials. • Standards used for the construction of the system. • Maximum and minimum pressures at high and low elevations in the system. • Maximum and minimum pressures in each pressure zone. • Documentation of state approval for changes to or installation of the system. • Staffing for construction (i.e., in-house staff or by contractors). • Number of pressure zones in the system. • Method used to separate pressure zones. • Hydraulic model of the system. • Chlorine residual testing technique used. • The system’s procedures for responding to main breaks, and, if required, whether they have followed regulations or policies for reporting to the state. • Routine maintenance tasks performed by outside contractors. • 24-hour call-out procedure. • Flushing program procedures. 11.3 Regulations and Standards to Consider The inspector should consider and review the following information prior to an inspection: • 29 CFR 1926.650 - Excavation safety. • 29 CFR 1926.146 – Confined space entry. • State standards for disposal and worker safety when working with asbestos cement pipe during repairs and replacement. • MUTCD – Manual on uniform traffic control devices. • AWWA G200 – Distribution Systems Operations and Management. • The AWWA standard for the type of piping materials used in the system. • System construction standards. • State construction standards.
  • 221.
    11-3 • 40 CFR141.72 - Chlorine residual requirements. • 40 CFR 141.86 - Lead and Copper Rule. • 40 CFR 141.620 –Stage 2 Disinfectants and Disinfection Byproducts. • 40 CFR 141.21 –Coliform Sampling. 11.4 Basic Distribution Systems Information Sanitary deficiencies or poor operation and maintenance of the distribution system, directly correlate to many failures to meet the requirements of the drinking water standards. Some contributing causes of poor water quality are: • Insufficient treatment at the point of production. • Cross-connections. • Improperly protected distribution system storage. • Inadequate main disinfection and unsatisfactory main construction, including improper joint-packing. • Close proximity of sewers to water mains. • Improperly constructed, maintained, or located blow-off, vacuum, and air-relief valves. • Negative pressures in the distribution system. • Lack of tracking and mapping of distribution system events. 11.5 Distribution System Components A typical water distribution system may contain the following components: • Main lines. • Service lines and service meters. • In-line valves. • Blow-offs. • Air relief, air release, and combination air vacuum valves. • Pressure reducing valves (PRVs). • Pumping stations. • Fire hydrants. Piping materials and pumping stations are an essential component of a distribution system. As water systems age or grow, water systems may use different types of pipe materials to replace old pipes, or in the installation of new portions of the distribution system. Water utility personnel must understand the importance of knowing what type of piping materials are in place throughout the distribution system. The inspector should determine what type of pipe materials are used and determine how their failure may affect the quality of water.
  • 222.
    11-4 11.5.1 Main Lines Typicalmain line materials include: • Gray cast iron. • Ductile cast iron. • Asbestos cement. • Steel. • Polyvinyl chloride (PVC–pressure and class pipe, also called C-900). • Wood. • High-density polyethylene (HDPE). Figure 11-1: Types of Pipes 11.5.2 Services Line Materials Typical service line materials include: • Galvanized steel. • Copper. • HDPE. • PVC. • Lead. 11.5.3 Service Meters There are two points where water systems use meters in distribution systems: • The introduction to a pressure zone.
  • 223.
    11-5 • The customer’sconnection. Water systems use these meters to determine the amount of water sold, to determine unaccounted-for water, and to identify leaks. Figure 11-2: Service Meter Installation Graphic 11.5.4 In-Line Valves and Blow Offs Gate and butterfly valves are the two most common in-line valves used in a distribution system. Operators use these valves to isolate portions of the system during repairs. Figure 11-3: Gate and Butterfly Valves Blow-offs are gate, butterfly, or globe valves, installed at the end of dead-end lines or in other locations. Operators use blow-offs to flush water from the distribution system. 11.5.5 Air Valves Air relief, air release, and combination air vacuum valves remove air that accumulates in the distribution system and relieve any vacuum conditions caused by line flushing, line breaks, or other high-flow conditions. Accumulated air can cause system pressure and flow variations.
  • 224.
    11-6 Vacuums can contributeto the failure of a pipe joint and intrusion of contaminated ground water into the system. Figure 11-4: Air Release Valves 11.5.6 Pressure Control Pressure-reducing valves are globe valves, used to reduce or maintain the pressure in a specific zone of the distribution system. Figure 11-5: Pressure Control Valve 11.5.7 Pumping Stations High service (or lift) pumping stations, which supply water to the distribution system are located near the water treatment facility or a finished water storage facility (e.g., clearwell or ground storage tank), and will pump directly into the distribution system from that storage facility. Booster pumps may be located anywhere in the system to increase the pressure in the pipeline, but are usually located remotely from the main pump station, as in hilly topography, where pressure zones are required. Operators may need booster pumps to handle peak flows in a distribution system, which can otherwise handle the normal flow requirements. Before a water system adds a pump station to an existing distribution system, operators should consult previous plans and designs that are based upon a total system hydraulic analysis. New or updated studies will determine station location, and present and future demand requirements.
  • 225.
    11-7 Locating permanent pumps,so that there will be a positive head on pump suctions, will eliminate many operational problems. Water systems should determine site selection from evaluations of a topographic survey and flood plain analysis, to determine if there are any flooding probabilities of the proposed plant site. The site must not be subject to flooding. 11.5.8 Fire Hydrants The two general styles of fire hydrants used in the United States are wet barrel and dry barrel. There are four types of dry barrel hydrants, as shown below: two compression types, toggle, and slide gate. Besides fire suppression, fire hydrants provide water for construction, sewer line flushing, and flushing the distribution system piping. Figure 11-6: Fire Hydrants 11.5.9 Sanitary Deficiency Questions and Considerations - Distribution System Components 1. Does the system contain any thin-wall PVC pipe? This material has a 2.5:1 burst ratio and often fails more frequently than class C-900 pipe. In addition, crews must install this material with hand-tamped backfill to prevent failure from external loads. 2. Does the system contain any gray cast-iron pipe? Gray cast-iron pipe is prone to failure from sudden internal or external shock loads. 3. Does the system contain any wood pipe? Wood pipe is easily contaminated and, once contaminated, is nearly impossible to disinfect.
  • 226.
    11-8 4. Does thewater system use HDPE pipe for main lines or service connections? Petroleum products travel through HDPE and other polyethylene and polybutylene piping material and into the water system. Contamination can occur if the lines are adjacent to a leaking underground fuel storage tank or from fuel spills on the ground above the line. 5. Does the system contain any steel pipe that is more than 35 years old? In most locations, steel pipe has a design life of 35 years. If the ground is wet or the soil is aggressive, the pipe may deteriorate in less time. Leaks in steel pipe are normally in the form of pinholes. High water velocity through the pipe may draw contaminated water through these same pinholes. 6. Does the system contain any solvent-weld PVC pipe larger than 2 inches in diameter? Large-diameter solvent-weld PVC pipe has a higher failure rate than push-on joint pipe. This is due to the expansion and contraction of the pipe, caused by temperature changes during construction or operation. 7. How many service connections are there? Does the system meter all service connections? This number of residential and other service connections gives the inspector an idea of the size of the system, in terms of number of homes and businesses served by the system. Meters allow the system to calculate a water balance that may aide the system in determining water loss, as well as determine demand estimates. There is also a correlation between metered service connections and water conservation (i.e., the cost of water as a function of the amount used). If the primacy agency bases population served estimates on the number of connections multiplied by a certain factor, the state should only include connections billed by the system (e.g., exclude connections at vacant lots). 8. Are there any lead goosenecks still in place and used for service connections? If yes, how many? Are there plans to remove these? If yes, by what date? Identified as one of the major contributors to high lead levels in finished water, these gooseneck shaped lead lines connect the water meter to the service line from the main and to the customer’s service line. They typically prevent line breakage by allowing for expansion and contraction during temperature changes. 11.6 Material Standards Water systems must use materials in their distribution systems approved for potable water use. Most states require that piping materials meet NSF International 61 standards or AWWA standards. The inspector should determine what standards the system uses for approval of piping and other materials in the distribution system. In addition, states and water utilities may have different construction standards. Inspectors should determine what construction standards the system uses and whether they are in accordance with state requirements.
  • 227.
    11-9 11.6.1 Sanitary DeficiencyQuestions and Considerations – Material Standards 1. What standards does management use to select materials? Are all materials ANSI/NSF certified? Water systems should select distribution system components that meet current standards, including NSF International 61 for indirect additives. If not, the inspector should consider these sanitary deficiencies. The inspector should consider the corrosive effects of finished water on metal service line pipe resulting in the dissolution of metals into the water, together with possible toxicological effects on consumers. Water systems should only use NSF-approved plastic pipe when plastic pipe is acceptable. Caulking materials should not support pathogenic bacteria and should be free of tar or greasy substances. Joint-packing materials should meet the latest AWWA specifications. 2. Do operators only use materials manufactured according to AWWA standards? The AWWA standard is a “buyer beware” standard. It is the purchaser’s responsibility to require the manufacturer or supplier to provide proof that the material meets these standards. AWWA does not test material, and it does not have standards on all construction materials or all sizes of mains. 3. Is there a set of construction standards used by the utility? Failure to use construction standards often complicates the installation of piping, valves, and hydrants that are of different brands, types, and materials. This contributes to increased materials inventory costs and maintenance worker training. For a small utility, this increased cost may mean that all appropriate training and repair materials are not on hand. In addition, lack of construction standards may contribute to poor quality construction, which results in premature failure of materials. 4. Does the system have its own construction standards, or has it adopted some from another agency? Many small utilities borrow construction standards from a larger local community. While this can work, the standards often do not fit the needs of the community. This can cause contractors and staff to ignore the standards. The result is the same as not having a standard. 5. Do the construction standards meet state requirements? Because some states do not review construction standards, the utility may have adopted standards that violate existing state standards. Assuming the state developed standards to provide the minimum degree of reliability to the system, the utility’s standards should be consistent with, and at least as protective as, the state requirements. 6. Are in-house staff and contractors required to use the same standards? In many locations, staff construction methods may vary from those used by contractors. The lack of consistency in construction methods and in the standardization of materials, leads to maintenance problems and slows repairs during emergencies. 7. Does the water system actually follow their own standards?
  • 228.
    11-10 Take a lookat the set of standards and compare them to blueprints and materials in storage. If the system is not following its own standards, the actual construction techniques are suspect. Thus, the system may not be reliable. 11.7 Water Quality Water quality can deteriorate in the distribution system. A loss of pressure can allow contaminants to enter the distribution system as a result of back pressure, and very high pressures can cause back siphonage. High water pressures can also cause water lines and fixtures to break allowing contaminants to enter the distribution system. Inspectors will most often find valves in vaults and should properly inspect them to assure that any valves, especially air relief valves, extend above ground level, withproper screens installed. As distributions are built or expanded, dead-ends are sometimes inevitable. Dead-ends in distribution systems can lead to water becoming stagnant in portions of the distribution system, which could lead to loss of disinfectant residual and bacterial regrowth. 11.7.1 Disinfection Procedures The installation of new pipes or the repair of existing pipes can introduce contaminants into the distribution system. Repair crews must follow proper procedures for disinfecting a water line after installation or repair. The inspector should determine if utility supervisors ensure these crews actually follow the disinfection procedures, including bacteriological sampling. 11.7.2 Sanitary Deficiency Questions and Considerations – Water Quality 1. What disinfection procedure does the water system use for new lines? The procedure outlined in the AWWA Standard for Distribution Systems Operation and Management (G200-09) should be followed (25 mg/L of chlorine not to drop below 10 mg/L after 24 hours). The inspector should ask the operator what procedures they follow. Any procedure should end with the requirement that all bacteriological sample results are negative, before the water system returns to service any new or repaired lines. 2. Does this procedure meet the AWWA G200 Standard? This standard describes three methods and includes using calcium hypochlorite tablets, continuously fed sodium or calcium hypochlorite solution, or a slug of high concentration chlorine solution. Ultimately, the utility needs to destroy any pathogenic microorganisms that could exist in the new line(s). 3. What disinfection procedure does the water system use during repairs of broken lines? It is common industry practice to disinfect all repair parts and any contaminated line with sodium hypochlorite. (If proper disinfection practices have been followed, in most cases repaired mains may be returned to service prior to determining the bacteriological quality of the water, because the sanitary risks of loss of service and cross connections are likely greater than that of bacterial contamination.) 4. Are water lines looped, or are there dead ends?
  • 229.
    11-11 Dead-end lines canlead to reductions in water quality. Where a pipe is dead-ended for future expansion, it is desirable to provide some type of temporary loop or to flush the line frequently. 5. Are there any bottlenecks in the piping system (a small diameter pipe connected on both ends by large diameter pipe)? Bottlenecks cause high velocities, which can cause a Venturi effect, drawing contaminated water into the system through leaks in the bottleneck. 6. Are blow-offs connected to sanitary or storm sewers, or do they exit below ground, below flood level in ditches or streams? Blow-off connections to sewers or sewer manholes are a direct cross-connection and are prohibited. 7. Is there any point in the system where pressure drops below 20 psi during peak demand or fire response? The inspector should consider pressures below 20 psi a sanitary deficiency. At pressures this low, or even negative, it is possible for contaminated ground water to enter through leaks. Also, a backflow condition could occur due to back-pressure. The system’s design and operation must supply adequate quantities of water under ample pressure to prevent, as far as possible, conditions leading to the occurrence of negative pressure. Steps to prevent negative pressure include minimizing unplanned shutdowns, providing adequate supply capacity, correcting undersized conditions, and properly selecting and locating booster pumps, to prevent the occurrence of a negative head in piping subject to suction. Continuity of service and maintenance of adequate pressure throughout a public water supply system are essential to prevent back-siphonage. The inspector should determine if the water system has registered complaints about inadequate pressure and if there is a program to periodically monitor pressures throughout the system. 8. If the valves are in a vault, can the operator observe pressures without entering the vault? a. If the valves are in a confined space, does the operator have and use gas monitoring equipment and follow a confined space entry procedure? Vaults are typically confined spaces. Do not enter them! If the operator enters the space and does not use proper confined space entry procedures, this is a sanitary deficiency. Injury or illness that keeps the operator from performing required duties reduces the system’s reliability. b. If there is a vault, is there a sign identifying it as a confined space? Water systems must label all confined spaces with a red, white, and black injury- prevention tag. 9. If there are pressure zones controlled by automatic PRVs, do the PRVs work properly?
  • 230.
    11-12 Check upstream anddownstream pressures. The absence of pressure gauges above and below the PRV is a sanitary deficiency because the operator is unable to determine if the PRV is working properly. If the upstream and downstream pressures are the same, have the operator open a fire hydrant downstream and observe the reaction of the pressure across the valve. 10. If there are PRVs, can the operator describe how they work and what they do? The operator’s lack of knowledge about key components of the system is a sanitary deficiency. Such knowledge gaps make it unlikely that operators will resolve in a timely manner any problems, which arise. Failure of a PRV can cause high downstream pressures that can lead to the failure of main lines and services. 11. How would the “system” notify operators if a PRV fails? The failure of the PRV to reduce pressure can cause a main or service line to break. Low pressures can result in backflow from back-pressure or back-siphonage. The longer a failure goes undetected, and the longer the delay in fixing it, the greater the possibility of contaminating the system. 12. Does the system have dead-end lines? Has the addition of service connections created dead-end lines? Areas of stagnant water in a distribution system may result in bacteriological regrowth, increased disinfection byproduct formation, red water or customer complaints. Operators should routinely flush these areas, and the water system should put into place long-range plans for new connections and looping, if they are feasible. The inspector should inquire about records of complaints and corrective actions taken. 13. Are there several low areas in the piping system? Low areas in the piping system can accumulate silt and organic material that can reduce chlorine residual, grow bacteria, and cause odor and taste problems. Question 7, above, explains how to correct the problem. 14. If there is a hydraulic model, have the operators compared it to actual conditions? When did the operators last update the model? Does it show any low-pressure conditions? Hydraulic models help the manager identify low-pressure points and areas of inadequate supply. While the lack of a hydraulic model is not a sanitary deficiency, it can be if the water system has not addressed low-pressure problems through the use of a model or other specific method. A model is of little value if the water system has not calibrated it against actual system data. 15. Are backflow prevention devices installed and tested at each commercial site where backflow could cause a reduction in water quality? The cross-connection chapter discusses this issue in depth. These devices are necessary to prevent contamination of the system. 16. Does the discharge piping on all air valves extend a proper distance above ground and flood level?
  • 231.
    11-13 One source ofcontamination is surface water that enters the distribution system through air valves. 17. Has management or the operators identified distribution system problem areas on a system map? A map or other record keeping method for system problems is a good indicator of management support for solving system problems. If the utility is not using a map or other method to record system problems, are they aware of their problems? Lack of awareness means the problems will not be resolved in a timely manner. 18. Does the system provide bulk water stations? If the system provides stations for bulk water distribution, how does the system monitor and protect the facilities? Is there an actual facility or is it just a metered hose on a fire hydrant? How do they prevent cross-connections (e.g., preventing customers from dangling the supply line into their tank)? How do they track and charge for the quantity consumed? 11.8 Maps, Drawings and Planning Almost all distribution system components are underground and, therefore, not visible during an inspection. As water systems expand distribution systems, it becomes more important for operators to understand the configuration of the distribution system and maintain adequate maps, as-built plans and drawings that show the current configuration of the distribution system. These maps should also have color coding or other types of legends that indicate, valve locations, pipe diameters, and types of pipes. Without this information, water systems may not have the proper replacement materials on-hand or available when breaks or other emergencies occur. 11.8.1 Sanitary Deficiency Questions and Considerations – Maps, Drawings and Planning 1. Are as-built drawings available? As-built drawings are scaled drawings that show the actual locations of all constructed facilities. The lack of as-built drawings makes it difficult for the staff to perform proper repairs in a timely manner. 2. How often are maps updated? Annual updates to drawings and as-builts help reflect current conditions. Inaccurate data can cause the staff to obtain the wrong materials and thus delay a repair. If this happens too many times, the staff may stop using the drawings. Eventually, staff with historical knowledge move on, leaving new staff with outdated or no information. 3. Do maps and as-builts contain the proper information? Maps and as-builts should contain the following information, or the information must be available in some form of asset data base: pipe size, date of installation, pipe material, line valve and blow-off locations, hydrant locations, storage tank locations, and interconnections to other systems.
  • 232.
    11-14 4. Is therea master plan showing proposed construction and replacement lines? To provide adequate and reliable service now and in the future, management should base system changes and additions on a master plan. If this plan does not exist, the utility commonly responds to developers’ needs. This can cause the system to expand lines to areas that it cannot serve with adequate pressure. 11.9 Distribution System Monitoring The majority of the regulatory monitoring requirements are at the entry point to the distribution system or at the treatment plant. There are, however, several regulations that require monitoring be conducted in the distribution system or at the residential taps. These regulations require water systems to develop monitoring plans and make them available to the inspector upon request. 11.9.1 Sanitary Deficiency Questions and Considerations – Distribution System Monitoring 1. Have there been changes in the distribution system since the last survey? Changes in the distribution system such as population and demand shifts, additions to the distribution system, looping of dead-ends, new dead ends, and storage additions can affect where representative samples for total coliform, lead & copper, and disinfectants and disinfection byproducts are taken. 2. Do operators have goals for and monitor for chlorine residuals throughout the distribution system? The Surface Water Treatment Rule (SWTR) requires water systems to measure residuals at the same time and place as coliform samples are collected. Many states require daily monitoring of disinfectant residuals in the distribution system. The maintenance of a chlorine residual regardless of source type, is the last line of defense against waterborne disease. This is one of the key quality control items in the operation of a water system, and setting measurable goals is a good method for evaluating treatment objectives. 3. What are operators using to measure disinfectant residuals? The inspector should determine what the operators use for measuring disinfectant residuals. Some earlier methods are outdated or not sensitive enough to measure below 0.2 mg/L, including DPD (N,N Diethyl-1,4 Phenylenediamine Sulfate) colorimetric (color wheel) and Industrial Test Systems, Inc. test strips. The preferred instrument is a portable, electronic photometer. If the system is required to meet minimum CT values prior to the first customer, the operator needs a more sensitive and reliable instrument like the photometer. 4. Is the residual at least 0.2 mg/L prior to the first customer? This is a requirement for all surface water and GWUDI systems. It assumes that this residual is available after the water system has met disinfection contact time requirements. 5. Do the operators maintain a measurable residual at coliform sampling points?
  • 233.
    11-15 This is arequirement for all surface water and GWUDI systems. It is good operational practice to keep a measurable residual at all points in the distribution system. If any point in the system does not have a chlorine residual, the water quality is suspect. Inspectors should also review state standards regarding minimum residual levels. 6. Are there an adequate number of residual sampling sites, and do they provide a representative sample of system conditions? The utility should establish sufficient disinfectant residual sampling points, representative of the entire system. Small systems may be able to rotate through a number of sample sites to get an overall picture of disinfectant residuals. 7. Do operators use the correct, unexpired, reagent for testing free residual? Check the reagents. Many times operators accidentally use reagents for total chlorine residual when using free chlorine as a secondary disinfectant. 8. Are operators waiting the correct length of time before reading the residual? Some kits require completion of the test for DPD (N,N Diethyl-1,4 Phenylenediamine Sulfate) within 1 minute of adding the reagent, for free chlorine and within 3 to 5 minutes for total chlorine. Manufacturers of photometers specify the steps and time required to take readings. In general, operators need to follow the manufacturer’s instructions when using field test kits. 9. When have operators last calibrated or replaced the testing instrument? Color wheels have a life of about 1 year. In addition, spectrophotometers can give false data. The operator should check the spectrophotometer against a color wheel once a quarter or when the accuracy of the data is suspect. For systems using a portable photometer, when did they last calibrate the instrument? Have the operator compare a fresh sample result to those from the inspector’s photometer. If the measurements are significantly different, have the operator calibrate his instrument and repeat the comparison. 10. Do operators measure and record system pressures at high and low elevations? To obtain representative data, system pressure must be measured at high and low elevations. In addition, data should be recorded using blue ink to make it easier to determine originals. 11. Does management record and analyze customer water quality complaints? Many states require utilities to record the nature and response to all water quality complaints. With the 1996 Amendments to the Safe Drinking Water Act, water systems are now required to provide customers with water quality information in the Consumer Confidence Report, and communication with customers is no longer just good operations and customer relations. By recording and analyzing customer complaints, a manager can prevent problems, or address them before they get out of hand. Many customers are very sensitive to changes in water quality, and a positive response to customer problems is a good management practice. 12. What is the percentage of unaccounted-for water?
  • 234.
    11-16 National studies indicatethat, on average, 14 percent of the water treated by water systems is lost to leaks. Some water systems have reported water loss exceeding 60 percent. Accounting for water and minimizing water loss are critical functions for any water utility that wants to be sustainable. Leak detection and correction can save water and reduce energy used from pumping the lost water. Water systems should record their responses to water loss in its planning and engineering documents. • Does the system meet state standards for water loss/leakage? • Is the system managing water loss and supply efficiency? • Has the system implemented a leak detection program, including data collection and analysis? • Has the water system completed any water loss studies? If so, what is the water system doing in response to the findings? • Does the system meter all service connections? • Does the system have a meter calibration and repair/replacement program? At the system level or supply-side, improvements in water efficiency in the distribution system begin with metering, water audits, and water loss control programs. Some states have standards for distribution system water losses or requirements for water audits. Leak detection and repair can minimize the potentials for intrusion into distribution systems and has important public health benefits. An evaluation of water loss and control could be part of sanitary surveys or other state oversight programs. A high quantity of unaccounted-for water, above 15 percent, is an indication of either inaccurate meters or excessive leakage. Inaccurate meters result in a utility losing revenue for all the water consumed by customers, reducing income and making it more difficult to maintain the system. Holes in pipelines and bad pipe joints are potential entry points for contaminated ground water. Current drought conditions may dictate better conservation measures to assure sufficient water quantity and quality. 11.10 Operation and Maintenance Utility management and operators should not only record distribution system data about issues that occur, but also display it in a manner that is functional. Maps and overlays with different color pushpins that indicate line break locations, low disinfectant residuals, positive total coliform samples, customer complaints, etc., are especially effective. The design of the distribution system should include a sufficient number of strategically located valves to isolate breaks and other construction areas, to facilitate rerouting of water flow to potentially affected customers, minimizing interruption of services. Operators should have maps readily available that include the locations of these valves. The geological conditions of soils can cause piping materials to deteriorate or shift during drought and other conditions. Construction design standards require proper installation of bedding and support at elbows, tees and dead-ends in the distribution system. These measures, when taken, assure the water system minimizes breaks and damage to the distribution system.
  • 235.
    11-17 11.10.1 Sanitary DeficiencyQuestions and Considerations – Operation and Maintenance 1. What is the frequency of main breaks? The best number is zero, however, main breaks are one of the normal problems in a water system. If the breaks are frequent, there may be a problem with the integrity of the piping material (frequency depends on area and type of piping material). Each main break opens the system to contamination, and frequent breaks increase the potential for introducing waterborne pathogens into the system. Most breaks are due to leaks, not age. The leaks undermine the pipe, causing it to fail under the weight of the overburden. To prevent main breaks, operators should conduct a routine leak detection program and keep a record of distribution system repairs. This record should identify the location and type of repair, repair device or length of replacement pipe, and general condition of the line. Water systems in draught-stricken or other areas where conditions are significantly affecting water quantity especially need a robust leak detection/prevention and repair program. 2. Are the breaks primarily in one area? What type of pipe is involved? If management has this type of information, it is an indication they are attempting to address problems before they become critical. They should be comparing this information with the master plan to ensure they are in agreement. The lack of this information may indicate a failure by management to respond to the system’s deteriorating conditions. 3. Is there a line flushing program? Is a systematic unidirectional process used? Are records maintained of frequency, location, and amount of time required? Operators should flush the whole system once or twice a year to clear sediment in the lines. The flushing should be well planned and carried out, preferably beginning at points near the water plant and storage facility and moving to the outer ends of the system. Flushing must maintain a minimum velocity of 2.5 fps, which operators can only reach by cutting off portions of the distribution system with isolation valves so they know the direction of the water flow and that it comes from a single line. A pitometer should be used to measure flow at questionable areas of the distribution system when the flushing begins. 4. Is there a fire hydrant flushing program separate from the line flushing program? Fire hydrant leaks can be a source of water quality deterioration. The water can become stagnant, consuming chlorine, causing odor and taste problems, and increasing bacteriological counts. Annual flushing can prevent this problem. 5. Is there a valve inspection and exercising program? Do the operators maintain the records? Maintenance crews should annually inspect and exercise every valve in the system. This should include completely and repeatedly opening and closing, until the valve seats properly. Operators should schedule repairs for any leaking or damaged valves and
  • 236.
    11-18 maintain a recordof valve maintenance and operation, including the number and direction of turns to closure. 6. Does the utility have a backhoe? If not, how long would it take a contractor or rental company to provide one if needed? Can the system obtain this equipment late at night? The lack of equipment, such as a backhoe, can prevent the staff from making repairs in a timely manner. The longer a portion of the system is shut down at a reduced pressure, the greater the opportunity for contamination. 7. How often do operators take pressure readings in the distribution system? Are they representative of the system? What kind of readings result in action? What actions do operators take? Operators may conduct a program to read pressures in conjunction with the fire department to determine adequacy of fire flow. A record of pressures and flows throughout the system may help to identify problems. Recording these pressures during the day and at night will indicate hydraulic efficiency under common conditions. 8. Are adequate repair materials on hand? If repair materials are not available, how many hours would it take to obtain these materials at 2:00 a.m.? The minimum materials include two full-circle repair bands for each pipe size, two cast-iron couplings for each pipe size, two cast-iron pipe joint repair bands, and one length of each size of pipe. 9. Are there written procedures for isolating portions of the system and repairing mains? Written emergency response procedures improve the water system’s reliability. In a small system, they provide a way to handle unexpected problems when the regular operator is not available. They also give the operator a means of dealing more effectively with non- routine tasks. 10. Does the utility maintain an updated list of critical customers? Reducing water pressure, shutting off service, or reducing water quality can severely affect some customers, including hospitals, clinics, photo developers, and users of special medical equipment. It is important for customer support and for the reduction of liability to maintain a list of these customers and to notify them of changes in the system that could adversely affect them. 11. Does the utility have a corrosion control program? The utility should have a program to evaluate corrosion, its effectiveness in controlling contaminants, such as lead and to minimize red water complaints. Management should maintain records of complaints and the corrective actions. 12. Does the water system have an interconnection with any other water systems? An interconnection to a second water system may provide an alternative source, in cases of drought, contamination of the primary source, or similar emergency.
  • 237.
    11-19 13. Does thesystem have adequate AND operable valves? The system should have enough isolation and blow-off valves to make necessary repairs without undue interruption of service over any appreciable area. Maintenance crews should exercise these valves, like all others, regularly. 14. Are all elbows, tees, and dead ends supported by concrete thrust blocks or restraining fittings? Concrete thrust blocks, or other devices, must restrain or support all fittings, elbows, tees, and dead ends. 15. Is proper bedding used, and do operators follow proper backfill procedures during the installation of new or repaired pipes? Bedding and backfill protect pipes from external damage. With PVC, they also support pipe walls and protect them from deflecting, and thus breaking longitudinally. Ask for billing records to document if the water system procured and actually used proper materials. 16. Does the system perform pressure or leak tests on all new pipe construction? Pressure tests check the integrity of the piping material. Leak tests check the integrity of the pipe joints. 17. Are cast-iron and steel pipe protected from external corrosion? Placing poly bags over cast-iron pipe is the best way to protect it from external corrosion and thus extend its life. Any one of many external coatings protect steel pipe. 11.11 Significant Deficiency Examples for Distribution Systems All significant deficiencies listed below are examples only. Each primacy agency may have identified a different set of significant deficiencies than those listed. The state (primacy agency) determines both significant deficiencies and the corresponding corrective actions. • Cross connection(s). • Negative pressures in the distribution system. • Unapproved construction materials and methods. • Lack of proper valving. • Air release valves not plumbed to daylight. • Inadequate pipe size for distribution needs. • Not maintaining disinfectant residuals as required, by either federal or state standards.
  • 238.
    12-1 12 Cross-Connections Cross-connections inwater systems are significant sanitary risks that threaten drinking water quality and public health.13 During a sanitary survey, the inspector must first evaluate the adequacy of the system’s cross-connection control program. Second, the inspector should identify cross-connections owned or controlled by the water system in the treatment facility and in the distribution system. To perform these evaluations, the inspector should be able to meet the following objectives. 12.1 Learning Objectives By the end of this chapter, students should be able to: • Define the term cross-connection and recognize common cross-connections. • Differentiate between the two types of backflow that can occur due to cross-connections: back-pressure and back-siphonage. • Identify devices to prevent contamination, explain their operation, and determine if the operators installed them properly. • Evaluate the water system’s cross-connection control program and its implementation. • Identify unprotected cross-connections within the water system, including those in a treatment facility, pumping station, or distribution system. • Determine if the water system uses, properly tests and maintains appropriate backflow prevention devices according to the degree of hazard. 12.2 Data Collection To evaluate the system’s compliance status, the inspector should review the following information: • System’s written cross-connection control program. • Number and type of backflow preventers in the system. • Frequency of testing of backflow preventers. • Qualifications of persons authorized to test devices. • Procedure for reviewing new building construction plans. 12.3 Regulations and Standards to Consider The inspector should consider or review the following information prior to the inspection: • State regulatory requirements for cross-connections. 13 The student may want to consider viewing the video entitled Sanitary Survey Inspection; Before You Begin... Cross Connections, prior to reading this section. This and additional reference materials can be found in Appendix A.
  • 239.
    12-2 • Cross-Connection ControlManual, EPA Publication No. 816R030002. • Recommended Practice for Backflow Prevention and Cross-Connection Control, American Water Works Association M14. • Manual of Cross-Connection Control, University of Southern California – Foundation for Cross-Connection Control. 12.4 Basic Information 12.4.1 Cross-Connection Defined To prevent contamination of its water, a system must ensure proper installation of service connections and continually monitor them for cross-connection hazards. A cross-connection is an actual or potential physical connection or arrangement between otherwise separate potable water piping systems and any contaminant that allows water to flow between the two systems. Hazards occur when a contaminant flows toward the potable supply. Unless controlled, cross-connections can result in contaminated water replacing potable water at various sites within a water system. There is a potential for the contamination to spread throughout the distribution system, endangering the health of the entire community. 12.4.2 Plumbing Defects Plumbing defects can occur in any part of a water system, and cross-connection hazards can occur where outside water pressure can exceed potable water pressure. Cross-connections must be prevented or controlled at all service sites. The water treatment plant is often the site of a number of cross-connections. 12.4.3 Types of Cross-Connections A cross-connection link can be either a pipe-to-pipe connection, in which a potable water pipe connects to a contaminated water pipe without proper control valves, or a pipe-to-water connection, in which the outlet from a potable water supply (e.g., a chemical feed line) is below the surface of or the top of the vessel containing untreated water. Cross-connections are usually made unintentionally or because their hazards are not recognized or are underestimated. 12.4.4 Back-Pressure and Back-Siphonage There are distinguishing characteristics, based on their origins for the two major types of cross- connection hazards, back-pressure backflow and back-siphonage backflow. Back-pressure backflow refers to the flow of contaminated water toward a potable supply when the contaminated water’s pressure is greater than the potable water’s pressure. Back-siphonage backflow results from negative pressure (a vacuum) in the distribution pipes of a potable water supply, drawing contaminated water toward the potable supply. 12.4.5 Control of Cross-Connections Successful control of cross-connection hazards depends not only on inspecting for cross- connections by a water system and by water users, but also on an enforceable cross-connection control program. Some states require water systems to have a cross connection control program that meets minimum requirements and includes authority to conduct the program. If a community subscribes to a modern plumbing code, such as the Uniform Plumbing Code or
  • 240.
    12-3 International Plumbing Code,the provisions in those codes include requirements for backflow protection. In either case, the water system must obtain authority to conduct a community inspection program and require backflow protection through an ordinance or other means and to carry out a comprehensive cross-connection control program. Figure 12-1: Backflow as a Result of Back-Pressure Figure 12-2: Backflow as a Result of Back-Siphonage
  • 241.
    12-4 Figure 12-3: Backflowas a Result of Hydraulic Head Figure 12-4: Direct Cross-Connection
  • 242.
    12-5 Figure 12-5: IndirectCross-Connection 12.4.6 Components of a Water System’s Cross-connection Control Program A cross-connection control program should have these basic components: • Ordinance or other authority to establish a program. • Technical provisions to eliminate cross-connection hazards. • Right of entry and inspection of existing facilities served by the system. • Backflow prevention device testing, repair and recordkeeping. • Certification of backflow prevention device testing personnel. • Review of new construction plans and new services for potential cross-connection hazards. • Penalty provisions for violations. A cross connection program can protect the potable water supply through a service protection or containment process, where water systems install backflow prevention, if needed, before the meter or point of service. Customers can also provide backflow prevention at individual plumbing fixtures within their plumbing system – commonly referred to as internal protection or fixture protection. Ideally, customers should install atmospheric vacuum breakers (AVBs) on all threaded hose bibs. Some local plumbing codes require hose bibs that have threads be of the kind that only accept AVBs. The AVB has the appropriate threads to which customers may then attach a hose. The plan and new service review components of a cross-connection control program may require coordination with other agencies such as building permits, plumbing code enforcement, or local health agencies to establish responsibilities and communication. 12.5 Protection against Sanitary Deficiencies from Cross-Connections Plan review, plumbing code enforcement and cross-connection site inspections can provide some control of cross-connections at sites serviced by a water system. However, where the potential
  • 243.
    12-6 for cross-connections andbackflow exists, a potential risk to the potable water supply and public health also exists, and the water system needs additional methods or mechanical means of protecting the potable water supply. For example, a temporarily submerged water outlet fixture in an apartment building could result in contamination of the water for the entire building (as well as threaten the public water supply), if conditions resulted in back-pressure or back- siphonage. 12.5.1 Pressure An important aspect of reducing the threat from cross-connections and backflow is maintaining adequate pressure in the distribution system. Some states have a minimum pressure requirement of at least 20 psi, under all conditions of flow in all portions of the system. The inspector needs to review pressures throughout the system as part of the distribution system element of a sanitary survey. 12.5.2 Methods and Mechanical Devices A number of methods and mechanical devices are available to protect the potable water system from contamination from cross-connections, including the following: 12.5.2.1 Air Gap Air gaps are non-mechanical methods that are very effective at preventing backflow and back- siphonage. To prevent a cross-connection hazard in the apartment fixture example described previously, the fixture in the building should have a vertical air gap of twice the diameter of the pipe or fixture, between its outlet and its flow level rim. This eliminates the physical cross- connection link and protect the building (and the municipal supply) water against backflow. An air gap for water service entering a building only protects the municipal supply, however, and not the building system. Although very effective, an air gap does interrupt flow and results in a loss of pressure and, therefore, operators install them at the ends of plumbing lines or to fill reservoirs or storage tanks where pressure loss is not an issue. Figure 12-6: Air Gap 12.5.2.2 Backflow Prevention Devices Water systems can install backflow prevention devices when an air gap is not appropriate or possible. Surge tanks in booster systems, color-coding, and labeling of pipes in dual water systems also help protect buildings against cross-connection backflow.
  • 244.
    12-7 Although state requirementsmay vary, there is general agreement that back-siphonage can be prevented by installing vacuum breakers at water outlets, where contaminated water is present (for example, at toilets and urinals equipped with flushometers). Use of vacuum breakers at hose bibs is acceptable; however, they are not effective against back pressure. In-ground irrigation systems require better backflow prevention devices such as double-check valves, inspected annually or as required by local plumbing codes. 12.5.2.3 Atmospheric Vacuum Breaker Atmospheric pressure activates an atmospheric vacuum breaker to block the water supply line when negative or no pressure develops in the line. This action admits air to the line and prevents back-siphonage. Vacuum breakers must be installed a minimum of 6 inches above the highest outlet. A vacuum breaker does not provide protection against backflow resulting from backpressure and are not suitable for installations where they may be under constant pressure, because they may stick open. Therefore, operators should not install them where backpressure may occur or with a valve (or nozzle) on the downstream side that can shut water off. Operators will not be able to test atmospheric vacuum breakers after installation. Figure 12-7: Atmospheric Vacuum Breaker 12.5.2.4 Pressure Vacuum Breaker (PVB) Water systems install PVB devices in pressurized systems, and the devices only operate when a vacuum occurs. It is usually spring loaded and should be specially designed to perform adequately after extended periods under pressure. This device is suitable for use when a high degree of hazard is present, but only under back-siphonage conditions, for example, on irrigation systems. Pressure vacuum breakers must be installed a minimum of 12 inches above the highest outlet. Unlike the atmospheric vacuum breaker, operators can inspect and test these devices, which they should do at least annually.
  • 245.
    12-8 Figure 12-8: PressureVacuum Breaker 12.5.2.5 Double-Check Valve Assembly The double-check valve assembly protects against both backflow and back-siphonage and is a reliable means of backflow protection in non-health hazard applications. For example, water systems can install these for protection against contaminants that would cause only aesthetic changes to water quality. The double-check valve assembly can be tested and should be inspected and tested annually. The double-check system has the advantage of a low head loss (maximum 10 psi). With the shut-off valves wide open, the two checks, when in an open position, offer little resistance to flow. Figure 12-9: Double Check Valve Assembly 12.5.2.6 Reduced Pressure Principle Backflow Preventer (RPP) The RPP (also called a reduced pressure zone or RPZ backflow preventer) device is the most reliable of the mechanical devices used to prevent backflow for both backpressure and back- siphonage and for health or non-health related hazards. Water systems often use RPP s to provide internal protection such as make-up water to boilers or other pressurized systems, as well as at the meter or service connection (containment) to high-hazard customers, such as manufacturing facilities or customers with auxiliary water supplies on the premises. This device consists of two
  • 246.
    12-9 independently loaded pressure-reducingcheck valves and a pressure-regulated relief valve located between them. Because all valves may leak as a result of wear or obstruction, check valves alone do not provide adequate protection. If some obstruction prevents a check valve from closing tightly, the leakage back into the central chamber would increase the pressure in this zone and the relief valve would open and discharge flow to the atmosphere. Operators or properly trained personnel can inspect and test the RPP, which they should do at least annually. A continuous discharge of water from the relief port indicates a malfunction of one or both of the check valves or the relief valve; however, the relief port may periodically discharge small amounts of water during normal operation. Under no circumstances should anyone plug the relief port, because the device depends on an open port for safe operation. Figure 12-10: Reduced Pressure Principle Backflow Prevention Assembly 12.5.3 Device Use and Maintenance All the devices described previously, as well as the air gap, can be used for internal or fixture protection within the premises (isolation). The device or method needed for protection is determined by the level of hazard present and the pressure conditions. Protection of the public water supply at the meter or service connection (containment) usually requires an air gap, RPP or double check valve assembly, depending on the level of hazard present. In some cases, water systems or local plumbing codes may allow PVBs at connections that only serve landscape irrigation systems. Note: Manufacturers require installation of some devices in a certain orientation (horizontal or vertical). Operators must also install them according to direction of flow. The inspector should check for proper installation.
  • 247.
    12-10 12.5.3.1 Testing Required Operatorsshould have applicable backflow preventers inspected and tested at least annually to assure their proper function. The inspector should verify air gaps to ensure they have not been defeated or modified. 12.5.3.2 Certified Testers Many states now require the certification of individuals who test backflow preventers. This is an important component of a system’s cross-connection control program. Water systems may have their own employees certified, or allow private contractors to test devices. 12.5.4 Cross-Connections Owned or Controlled by the Water System 12.5.4.1 Requirements In addition to the many cross-connections that may exist on the premises of a water system’s customers, there can also be potential cross-connections owned or controlled by the system itself. These potential cross-connections should be subject to the same scrutiny as those on private property. 12.5.4.2 Location of Cross-Connections There can be cross-connections in water treatment plants, pumping stations, or in the distribution system that can pose a risk to water quality and public health. During a sanitary survey, the inspector should identify all cross-connections that are under the water system’s control. The water system must manage all potential cross-connections through a documented cross- connection control program. 12.5.4.3 Water Treatment Plants Water treatment plants can have a variety of potential cross-connections. If they do exist, the water system should eliminate them with an air gap or, if that is not possible, the appropriate backflow-prevention device. The inspector should determine whether the following cross- connections exist: • Submerged inlets or water piped directly to chemical feed tanks. • No anti-siphon valves on chemical feeders. • Hose bibs without vacuum breakers. • Laboratory aspirators. • Split chemical feeds to raw or partially treated water and finished water. Examples are pre- and post-chlorination or pre- and post-caustic addition for pH control. • Surface wash on filters. • Filter-to-waste piped directly to a drain. • Drain or sewer traps with direct water injection. • Floor drains that allow the return of water to the process stream. • Lack of legends and color coding on pipes.
  • 248.
    12-11 • Bypasses aroundbackflow preventers. • Feed water to boilers with chemical injection. • Water loading stations for bulk water sales. Figure 12-11: Chlorine Split Feed Figure 12-12: Filter Surface Wash 12.5.4.4 Pumping Stations The inspector should also evaluate pumping stations for cross-connections. Potential cross- connections include: • Priming of raw water pumps with finished water. • Air relief valves piped directly to a drain.
  • 249.
    12-12 • Cooling waterfor an emergency generator submerged in a drain or returned to the potable supply. Figure 12-13: Air Relief Valve Incorrectly Piped Directly to Floor Drain 12.5.4.5 Distribution System The inspector, as well as the operators, cannot see many of the potential cross-connections in a distribution system. Therefore, the personnel responsible for the operation of the distribution system must be able to provide the appropriate answers relating to these cross-connections: • Submerged blow off in streams. • Water mains passing through sewers or below sewage lines. • Connections to unapproved water systems or sources (i.e., fire systems or private wells). • Submerged inlets in the water system’s own meter testing equipment. • Air relief valves in pits where their open ends may be submerged. • Submerged relief ports from pressure-reducing valves. • Overflows from storage tanks connected directly to or not ending at least two pipe diameters above storm drains, sewers or other catchment. • Direct connections to sewers for flushing either the water main or sewer. • Hydrants with drain lines to sewers.
  • 250.
    12-13 • Uncontrolled useof fire hydrants. (Water systems must only allow contractors and others who use fire hydrants to do so through metered flow including protection against backflow with an RPP ). • Filling newly installed mains from fire hydrants for flushing and disinfection. Figure 12-14: Hydrant Drain to Manhole 12.6 Sanitary Deficiency Questions and Considerations – Cross-Connections During a sanitary survey, the inspector should undertake two major activities related to cross­connections. The first is to evaluate the adequacy of the water system’s cross-connection control program. The second is to look for cross­connections that the water system may own or control. (These cross-connections may be in the water treatment plant, at pumping stations, or in the distribution system.) To perform these major activities, the inspector should determine the answers to a number of questions. 1. Does the water system have a written cross-connection control program? The inspector should determine if the system has a formal written program for controlling cross-connections. If so, he or she should review their program to determine if it has the following basic components: • Authority to establish a program. • Technical provisions. • Right of entry and inspections. • Device testing and repair. • Certified testers. • Plan review and inspection of new construction. • Penalties. 2. Is the program active and effective in protecting against cross-connections and backflow conditions?
  • 251.
    12-14 To determine ifthe water system implements the program effectively, the inspector can review its staffing and the records of the number of inspections conducted, the number of various devices installed in the system, and the number, and frequency of device tests performed. 3. Does the program address areas of specific concern for cross connection and backflow in the water system’s service area? Areas of specific concern include auxiliary water supplies, including private wells, internal water recycling or reuse, graywater systems, and dual plumbed distribution systems distributing recycled water. 4. Are there cross-connections at the water treatment plant? During a sanitary survey of a water treatment plant, the inspector should look for cross- connections. The likely locations of cross­connections are submerged inlets in chemical feed tanks, connections between potable water lines and process water, split chemical feeds in chlorination systems that pre- and post-chlorinate, surface wash, and filter-to- waste connections to sewers. Also during the sanitary survey, the inspector should discuss with the plant operator the importance of eliminating cross-connections. 5. Does the system test backflow preventers at treatment plants and other facilities it owns? The inspector should determine whether operators have all devices tested at least yearly. Even a system that does not have an active cross-connection program needs to ensure the continued proper operation of its backflow preventers. Color coding and legends on piping also are useful in minimizing cross-connections, and the inspector should evaluate this during the survey. 6. Are there cross-connections in pumping stations? While inspecting pumps and pumping stations, the inspector should identify any potential cross-connections. They can include raw water pumps that are primed with finished water, air relief valves piped directly to a drain, cooling water for emergency generators with submerged outlets, and cooling water returned to the potable system. 7. Are there cross connection in the distribution system that the water system owns or controls? To evaluate the presence of cross-connections in the distribution system, the inspector must speak with the person responsible for distribution system operations. In small systems, one person may operate the entire system. In larger systems, there may be separate operator crews responsible for treatment plant operation and distribution. The inspector should question the operator carefully about distribution cross-connections. Examples of these are submerged blow-offs, direct connections to sewers, water mains in sewers, connections to unapproved systems, hydrant drain lines to sewers, and overflow from storage tanks piped directly to sewers or drains. 8. Does the water system have a program to control the use of fire hydrants?
  • 252.
    12-15 The use offire hydrants by non-water system personnel for filling tanks, cleaning sewers, or providing water for construction projects has the potential to create serious cross- connection hazards. If customers use fire hydrants for these purposes, the inspector should determine if the water system has a program to ensure such customers follow appropriate procedures to prevent backflow. These procedures can include a permit system that requires the use of meters, air gaps and backflow preventers. 12.7 Significant Deficiency Examples for Cross Connections All significant deficiencies listed below are examples only. Each primacy agency may have identified a different set of significant deficiencies than those listed. The state (primacy agency) determines both significant deficiencies and the corresponding corrective actions. • Customers with private wells interconnected with premise plumbing. • Hospitals, extermination businesses, industrial customers, etc., with no backflow prevention devices. • Uncontrolled, or unattended attachments to hydrants for use by water haulers. • Backflow prevention devices are not tested, or no surveillance/enforcement program exists for usage and testing requirements (e.g., for home irrigation systems in addition to the usual businesses). • High leakage rates that pose risks of back-siphonage during pressure drops (response to fires, main breaks, power outage, etc.).
  • 253.
    13-1 13 Process ControlMonitoring Monitoring is an important activity for water systems and should be reviewed and assessed during a sanitary survey. Monitoring is required to determine compliance, e.g., the presence of chlorine residuals, and to determine the effectiveness of treatment through the use of process control monitoring. Evaluating the adequacy of laboratory practices and the system’s data integrity is an important task for the inspector during the survey. Chapter 2, Drinking Water Regulations, covers compliance monitoring requirements. 13.1 Learning Objectives By the end of this chapter, students should be able to evaluate monitoring programs, laboratory practices, and water quality handling at the public water system. Specifically, they should be able to: • Determine if in-house testing facilities, procedures, and equipment are adequate. • Determine if operators or laboratory staff calibrate and properly maintain testing equipment as specified by the manufacturer. • Determine if instrument configuration settings are resulting in data output that is not representative of actual performance (i.e., signal averaging, minimum/maximum recording values – capping). • Determine if reagents have an unexpired shelf life, and if staff properly discards them after the expiration date. • Determine if the operator is performing tests properly by following approved standard operating procedures. • Determine if operators make treatment modifications based on laboratory results. • Determine if the water system uses certified laboratories when required. • Determine if monitoring includes the correct parameters. • Determine if the water system retains and accurately reports monitoring data to the primacy agency, either manually or via a Supervisory Control and Data Acquisition (SCADA) reporting system. 13.2 Data Collection To evaluate the system’s compliance status and data integrity, the inspector should review the following information: • Current treatment processes in use at the water system. • Instrument configuration settings, and maintenance and calibration records. • Standard operating procedures used by plant staff. • Quality assurance audits performed by the water system. • SCADA upgrades, verification checks, and calibration records.
  • 254.
    13-2 • Daily operationslog books. 13.3 Regulations and Standards to Consider The inspector should review the following information prior to the inspection: • EPA or state primary and secondary drinking water regulations. • State monitoring requirements and guidelines. • Applicable EPA approved analytical methods (see 40 CFR 141 subpart C). • Review any list of known laboratories that have recently lost their drinking water certification. 13.4 Basic Information All monitoring, whether done in-house or at an outside lab, needs to meet basics of repeatability and more importantly, the data received from the tests needs to be used by the system. Results that operators do not use to run the system are a waste of time and money, and the inspector should inquire about why operators perform such monitoring but make no use of it. Perhaps the operators should be using the information, but do not know how to apply that information. The inspector should investigate what parameters are being analyzed, their results, and how those results are used by the operators. 13.5 Approved Laboratory Chapter 2, Drinking Water Regulations, covers monitoring requirements related to specific provisions of the Safe Drinking Water Act (SDWA) regulations. With the exception of a few parameters, such as turbidity, pH, temperature, alkalinity and hardness, and disinfectant residuals, a certified laboratory must perform much of the required monitoring, which can be either the system’s own laboratory or a contract laboratory. Either a state accrediting agency or the National Environmental Laboratory Accreditation Program (NELAP), also referred to as The NELAC Institute, certifies a drinking water laboratory. 13.5.1 Sanitary Deficiency Questions and Considerations Approved Laboratories 1. Is the laboratory certified for all the analytes being monitored? Laboratory certifications are for the specific analyte or methodology that they perform. Certification varies from laboratory to laboratory. 2. Is the laboratory certification current? In addition, it is a good idea to review a current copy of the laboratory’s certification, checking the expiration date and certificate number shown. Certification is granted for a certain amount of time, and it is best to confirm the laboratory’s current certification status by viewing the certificate of accreditation (see Appendix A – The NELAC Institute for more information). 13.6 In-House Monitoring The operator must establish adequate in-house monitoring to properly evaluate the operation of the treatment system and develop an on-going process control monitoring program. The tests
  • 255.
    13-3 performed and thenumber of sample points used depends on the type of treatment plant and primacy agency requirements. The frequency of sampling depends on the purpose of the sampling (regulatory versus process control) and other parameters that might affect the treatment process or water quality. All monitoring conducted for the purpose of process control must be performed using equipment and methodologies approved by the primacy agency. Figure 13-1: Comprehensive Monitoring Program: Conventional Treatment Plant 13.6.1 Instrument Calibrations and Standard Testing If instruments are not reporting accurately, any process control decision is suspect. Testing with standards can assist the operator with troubleshooting the problem by confirming if the reagents, procedure, instrument, or the analyst is the cause of an inaccurate value. Ensure operators routinely calibrate instruments, both for precision (repeatedly the same) and accuracy (matching a known, correct value). The inspector should ensure that flow through continuous monitors is within the prescribed levels for the instrument, per manufacturer’s requirements. For example, the Hach® 1720E online turbidity meter requires a flow rate from 200 to 750 mL/min through the instrument, to ensure the readings are correct because flow rates below 200 mL/min will reduce response time and flow rates above 750 mL/min will cause the turbidimeter to overflow. 13.6.2 Sanitary Deficiency Questions and Considerations – In-House Monitoring 1. Is adequate monitoring in place? The operator should have an in-house monitoring program in place and should be performing the monitoring required to comply with all provisions of the SDWA. 2. Is the operator following proper sample collection and analysis procedures? The inspector may observe the operator’s technique in collecting samples and performing analyses. The operator should follow correct procedures for collecting laboratory samples in appropriate sample containers, calibrating the test equipment and for performing the
  • 256.
    13-4 test itself. Forexample, the operator must periodically check secondary turbidity standards against primary standards. 3. Are testing facilities and equipment adequate? Management must provide the operator with adequate test equipment to implement a comprehensive monitoring program. The inspector should verify that all test equipment used by the operators is working properly. The on-site laboratory itself, in terms of space and testing environment, should be adequate for the test equipment in use. Operators must check and regularly calibrate on-line monitoring equipment, such as turbidimeters, pH meters and chlorine residual analyzers, to ensure accurate performance. Items to consider for online chlorine analyzers include: • Location of instrument manual. • Documentation of last calibration record. • Frequency of calibration. • Expiration dates of reagents. • Condition of analyzer, sample vials, standards, and associated equipment. In the case of turbidimeters, operators must calibrate the instrument in accordance with the manufacturer’s instructions – usually monthly or quarterly for a primary calibration and daily, weekly or monthly, for a secondary calibration. Many states allow a comparison check between a continuous turbidimeter and a bench top turbidimeter to substitute for the secondary calibration. Items to consider for turbidimeters include: • Location of instrument manual. • Last calibration check and documentation of action. • Proper function of photocells. • Availability of supplies for primary calibration. • Flow rate into the turbidimeter. For pH meters, the meter itself is generally robust, while the probes are more subject to failure. Items to consider are: • Use of appropriate 3 point calibration curve for pH. • Last time pH probe was cleaned or replaced. • Use of non-expired pH buffer standards. For instruments that operators cannot calibrate (such as pocket colorimeters for chlorine residual measurements), the operator must verify accuracy of the instrument by performing the test against a set of secondary standards. The inspector should ask how the operator tests these instruments and if he or she removes the instrument from service, if the test is not within manufacturer’s tolerances. Items to consider for pocket colorimeters include: • Routine performance of secondary standard verifications.
  • 257.
    13-5 • Condition andcleanliness of sample vials. • Setting of the instrument to the proper range, according to the manufacturer requirements (whether high or low disinfectant concentrations are expected). • Use of the correct reagents (free versus total). • Expiration dates of reagents. The inspector should ensure operators use the correct chemical reagents, applicable to the test method currently in use on the equipment. The reagent containers should be clearly marked with the name of the reagent and the date of its preparation. Operators should be discarding manufacturer-prepared reagents when they exceed the expiration date. The inspector should also verify that the method or instrument used for the analysis is approved and appropriate. In some cases, the water system may use a method (such as amperometric chlorine analysis) where the primacy agency must approve the verification studies. In those cases, the inspector should verify the existence of an approval letter from the primacy agency for such methods. 4. Does the manufacturer recommend testing a “reagent blank” for each lot of reagent used in their colorimetric methods (including chlorine)? A "reagent blank" is determined by following the method procedure in the protocol. The operator analyzes water known to not contain the analyte of interest (e.g., analyze a sample by adding the reagent to deionized or distilled water to determine a reagent blank value for chlorine). The operator would then subtract the "reagent blank" value from all other samples using that lot of reagent. 5. Do the operators properly maintain records of the monitoring program? The water system management, operators and laboratory staff are all responsible for maintaining results of the monitoring program in an organized recordkeeping system. Most systems have handwritten logs and data reporting systems. A more sophisticated automated data handling system may also be present, whose records the inspector must verify. The inspector should perform data verification by identifying a time period, for example, midnight, a week before the inspection, and verifying that the analytical result in the handwritten log sheet matches the value in the monthly operating report and the official record keeping system at the public water system. For water systems with SCADA, the inspector should perform a quick verification of the SCADA data quality. In situations where these types of systems are in place, the inspector verifies that the value for an analytical results is the same in the records for the handwritten log, the instrument, the controller, signal output monitor, the Human Machine Interface, and the SCADA reports. If operators record inaccurate data on the Monthly Operating Report, the primacy agency should cite a violation, but if inaccurate data appear in the Human Machine Interface or an internal report, the inspector should report this as a deficiency. For systems using these types of automated systems, the inspector should determine how the system protects their data. Do they have routine backup procedures in place to recover from system failures?
  • 258.
    13-6 6. Does theoperator use the results? The operator should plot trends or analyze the data in some way to control his/her processes and to evaluate compliance status. This enables the operator to see the relationship in treatment changes. For example, how iron levels decrease when chlorine levels increase, or how pH increases or decreases when the addition of lime increases or decreases. 7. Do operators adjust treatment based on laboratory results? The inspector should determine what actions operators take, based on the test results. The operator should understand the importance of the test results, as they relate to the performance of the treatment and as they relate to the status of the water quality at the individual treatment units and the water system in general. 8. Is the water system using certified laboratories when required? The results of some tests are not valid unless performed by a certified laboratory or certified laboratory technician. For all compliance monitoring, the water system must use a certified laboratory to perform the analyses. Note that laboratory accreditation agencies only grant certification for a certain amount of time, and water system management is responsible for confirming the laboratory’s status by viewing the most current certificate of accreditation. When in doubt about a particular method, confirm if it is an approved method by referring to Standard Methods for the Examination of Water and Wastewater or EPA Methods. 13.6.3 Instrument Location The inspector should determine if operators have automated sampling devices installed on the correct pipe, at the correct location in the pipe for sample collection, and have calibrated the flow rate through the instrument, within the manufacturer’s specifications. Evaluate where the instrument resides in the plant and how far it is from the sampling point. If the sample tap is too far from the analyzer, the volume of the draw may not completely clear the tube or pipe supplying the analyzer. Results are not representative of actual conditions, but are of water quality at an indeterminate time in the past. Changes made to chemical feeds may not be readily available at the analyzer. Sample tap locations on pipes may also have a bearing on readings. For example, samples taken from bottoms or tops of pipes are, in general, not as representative as those taken in the lower ½ to 1/3 of a pipe. Equally important to note is that sample taps too close to an analyzer may also not be representative of feed dosages, as there will not have been sufficient time for complete mixing.
  • 259.
    13-7 Figure 13-2: ProcessControl Sample Points for Ground Water Systems 13.7 Electronic Data Recording, Monitoring, and Testing: SCADA Supervisory Control and Data Acquisition refers to centralized systems which monitor and control entire sites, or complexes of systems spread out over large areas. These systems generally perform two main functions: • Control plant functions (turn on pumps, open or close valves, etc.). • Data acquisition (data transferred from instrument to plant operations center). The types of data technology usually used in a SCADA system are analog and digital. Digital signals are best for discrete values. For example, in the SCADA system, there are usually data for total plant flow on a given day. Analog signals are continuously variable and often used in SCADA systems for data that change over time (turbidity, chlorine residuals). A 4 to 20 milliamp signal always transmits analog data, where the 4 milliamp signal represents zero values and the 20 milliamp signal represents the maximum value of the readings. It must be noted that the lower the span of values (e.g., 0 to 5 units versus 0 to 10 or higher), the better the data resolution and more accurate the data. The diagram below depicts how an analog signal from the turbidimeter is set for transmission along a milliamp signal. Figure 13-3: Analog Signal Scale
  • 260.
    13-8 The accuracy ofthe SCADA system depends on the following: • Signal consistency from the instrument to the Programmable Logic Controller (PLC). • The scale of the monitored parameter – the inspector should ensure that the operators, manufacturer or the person who installed the instrument did not cap or truncate readings at an inappropriate level. • The resolution of the PLC. In Figure 13.4, the signal from the instrument to the transmitter is almost always analog. The transmitter converts the signal to digital to show on a signal output monitor, and then forwards the analog signal to the PLC. The PLC once again converts the signal to digital and sends that value to the personal computer. From there forward, the signal remains digital. Figure 13-4: Data Flow from Instrument to Report Water systems typically contract with vendors who specialize in the installation and maintenance of SCADA systems, who place most of the emphasis on the backend of the data flow. However, operators need to perform quality control checks on the entire data flow process. If the SCADA system is recording data every 15 minutes, the inspector should ask how the system compiles the data – through discrete readings or averages – and if it is capped or truncated. If an operator initiates a calibration process, the SCADA system may stop recording some of the data until the calibration is complete. Does the operator have backup methods of continuing to collect readings during calibration processes? These systems produce substantial sets of data, so the inspector should ask if there are any storage capacity issues and if the system can maintain historical data, necessary to meet data retention requirements. If not, does the water system minimize storage capacity needs through the archival of final “paper report” documents? Water treatment plants should follow the manufacturer’s recommendations for data recording purposes, since there are no data recording standards and recording practices vary among the various SCADA vendors. Operators need to calibrate their SCADA systems annually, since the 4 to 20 milliamp signal varies with age and time, and is subject to signal drifts. If the precision of data readings is unusually high, the operators may have the upper limit capped with a data value
  • 261.
    13-9 below a requiredcompliance level. For example, setting the 20 milliamp signal to correspond to a turbidity reading of 1 NTU instead of something greater than 5 NTU. Over time, SCADA systems may compensate for “zero drift” where there is a shift in the zero point of the sensors. In addition, every time a water system performs electrical upgrades to their systems, these changes could impact the SCADA system. 13.7.1 Sanitary Deficiency Questions and Considerations Items to Consider when Evaluating SCADA systems 1. Use of the calibration (CAL) switch to calibrate instruments. Signal precision and accuracy study of all intermediary instruments in the SCADA system. • Noise issues resulting from: • Extra load on wire. • Grounding issues. • Non-harmonic load concerns. • Use of the same conduit for electrical and signal wiring. • SCADA signal impedance from nearby equipment. • Wires not shielded. 13.8 Significant Deficiency Examples for Process Control Monitoring All significant deficiencies listed below are examples only. Each primacy agency may have identified a different set of significant deficiencies than those listed. The state (primacy agency) determines both significant deficiencies, and the corresponding corrective actions. • Using a laboratory or analyst not certified for drinking water analyses. • Use of expired reagents. • Use of incorrect sample containers to collect samples (glass versus plastic, preserved versus unpreserved). • Use of non-approved sample site for compliance monitoring. • Poor laboratory environment to conduct testing. • Compositing of samples instead of taking individual samples from treatment trains. • Instrumentation not calibrated and verified according to manufacturer’s operational manuals. • Using glassware not certified for laboratory analyses. • The water system is missing 6 months or more of operational data. • Failure to maintain a disinfectant residual log book.
  • 262.
    13-10 • Failure tocontinuously monitor and record turbidity from individual filters at least every 15 minutes. • Failure to continuously monitor or collect grab samples every 4 hours for combined filter effluent turbidity.
  • 263.
    14-1 14 Utility Management Thetechnical pillar, operation and maintenance (O&M), ultimately depends on the other two pillars, managerial and financial (often referred to as the Technical, Managerial, and Financial capabilities of the water system), for the long-term stability, capacity and viability of any water system. Competent management provides the funding and support (administrative, personnel, and purchasing) needed to ensure continued and reliable operation through adequate staffing, operating supplies, and equipment repair and replacement. 14.1 Learning Objectives Upon successfully completing this chapter, students should be able to evaluate the management of a water supply system. Specifically, they should be able to: • Identify and evaluate key components of a water system’s management organization. • Identify the plans necessary for compliance and long-term sustainability. • Evaluate staffing: numbers, skills, certification, training, and safety. • Identify the key components necessary for reliable system operations. • Evaluate, in general terms, the system’s managerial and financial capacity for long- term reliability. 14.2 Data Collection The inspector should obtain as much as possible of the following information about the water system before the sanitary survey inspection. If unable to do so, the inspector will need to obtain the information and data during the inspection. • Previous sanitary survey reports. • Correspondence. • Compliance monitoring results. • Compliance record. • Plans on file (e.g., source protection, sampling, emergency and contingency, cross- connection control, and repair, replacement, future expansion). 14.3 Regulations and Standards to Consider The inspector should consider and review the following information, prior to an inspection: • Safe Drinking Water Act (SDWA). • Pertinent monitoring requirements. • Capacity development guidance. • Consumer Confidence Reports. • Minimum operator certification requirements.
  • 264.
    14-2 14.4 Basic Information Themismanagement of a water system can result in far reaching sanitary risks to the quality of the water. Several aspects of management affect the overall capabilities of the system. The management of a system may be as small as a single individual serving as the operator and manager, or it may be a hierarchy of multiple elected officials and municipal employees who approve budget requests, make purchases, and plan for infrastructure repairs and replacements, to ensure the long-term adequate, reliable and safe production, storage, and distribution of potable water. Make sure you are working with the most effective and responsible level of management. 14.5 Organization Management of a small water system often involves only one or two key individuals: the operator and the owner or elected official, who is ultimately responsible for the system’s O&M. One advantage of a small management team is the ability to identify the individual in charge and to provide information to that person. However, the workload may far exceed the staffing capabilities. More complicated management hierarchies improve individual workloads, but also increase the opportunity for miscommunication and inadequate information collection and dissemination. Whatever its form, management can have a profound effect on the reliability of a system. Managers must have a working knowledge of the compliance requirements that apply to their system. Certified or qualified staff must be empowered to make operating decisions, and have management support and understanding of their resource needs. Information collection and management is also important. Activities range from tracking operating expenses and locating valves on a distribution map, to maintaining a record of breaks and repairs and a log of customer complaints. Information of this nature is critical for planning and budgeting for the next year, as well as the next decade. 14.5.1 Sanitary Deficiency Questions and Considerations -- Organization 1. Who owns the public water system? The system representative should be able to tell you who owns the public water system and should be able to provide documentation of ownership. 2. Is there a formal organizational chart? This chart can give the inspector a clearer view of how the utility is organized and who is responsible for each portion of the utility. When there is no, or an outdated, organizational chart, operators often may be unsure of whom to consult for decisions, what the normal lines of communications are, and what their job responsibilities are. 3. Does the operating staff have authority to make required operation, maintenance, or administrative decisions, affecting the performance and reliability of the plant or system? Determine any established administrative policies that limit the decision-making authority of the operations staff and adversely affect plant performance. Examples
  • 265.
    14-3 include the lackof authority to adjust the chemical feed, hire an electrician, or purchase a critical piece of equipment, as well as a lack of support for training and insufficient plant funding. Document policies that are in conflict with state requirements. 4. Are administrators familiar with SDWA requirements and system needs? Key managers should be familiar with the SDWA requirements that apply to their system. They should learn about system needs through plant visits and frequent discussions with water operators. Lack of first-hand knowledge may result in poor plant performance, poor staff morale, and poor budget decisions, as well as limited support for system modifications. 5. Is there a formal and adequate planning process? The lack of long-range plans for facility replacement, alternative sources of water, and emergency response can adversely affect the system’s long-term performance. 6. Does the utility manage its information? This type of information justifies decisions and promotes compliance with SDWA and industry suggested practices for water conservation and quality. Information management includes formal systems and written procedures, including: • Cataloging, sorting, and storing maps and as-built plans. • Updating maps. • Handling and tracking customer complaints. • Handling and tracking line breaks, repairs, and replacements. • Identifying, collecting, and analyzing key operational (process control) and required monitoring data. • Developing and maintaining standard operating policies and procedures. • Developing and maintaining maintenance records. • Developing and maintaining financial records. The information listed above is essential to addressing existing problems and planning for future needs. 7. Does the utility track and identify typical operating parameters such as unaccounted-for water and cost per unit of production of finished water? When utilities track and share this type of information among operations personnel and the governing body, it is a good indication that the utility focuses on obtaining results and meeting customer needs. 8. Does the utility use a computer system to track finances, operational data and maintenance practices? While a computer is not a requirement, it facilitates storage and presentation of data to support management decisions.
  • 266.
    14-4 9. Is thereeffective communication between key management staff, operations staff, and the state primacy agency? Difficulties here can account for problems with the budget and personnel policy. They also can account for poor relations between management and staff and between the organization and the state enforcement agency. Inspectors should review previous correspondence to determine the responsiveness of the system and should ask questions to confirm observations. A history of poor relations may indicate that the utility has had difficulty complying with requirements. 10. What is the level of cooperation between the system and other agencies and organizations? To be successful, a utility needs to cooperate with associated utilities and enforcement agencies. Examples include cooperation with water conservation agencies, with one-call (Call Before You Dig) groups such as the American Public Works Association (APWA) underground utility coordinating committee, and with county and state agencies involved in land-use planning and long-term water use, conservation, and water needs. This cooperation also involves active membership in professional groups such as America Water Works Association (AWWA) and APWA. 11. What is the level of cooperation between the system and the local fire department? This is often difficult to determine directly. However, you may ask questions such as: • What role does the fire department play in inspecting and flushing fire hydrants, and determining the type and location of new fire hydrants? • What role does the fire department play in the system’s emergency plan as a first responder for chemical spills or accidental releases? • What is the policy and procedure for notifying the fire department when a hydrant is out of service? • What is the notification procedure when the fire department uses a fire hydrant? • What is the role of the fire department in determining construction needs? 12. Is there a customer complaint system and an ongoing public information program? Lacking a system to keep track of and respond to customer complaints may indicate ineffective communication with customers. Not having an ongoing public information program, including a Consumer Confidence Report, may indicate that the system does not provide adequate information to its customers. Plotting customer complaints and other information (e.g., dead ends, line breaks, low residuals, positive total coliform samples, high disinfection byproducts results, etc.) on a map helps the water system target problem areas.
  • 267.
    14-5 13. Does thesystem have a budget and an adequate source of capital for operations, maintenance, and capital projects? Is the system eligible for, and has the system received, state or federal funding? It is important for a system to have adequate returns or access to capital (from public or private sources) to repair or replace infrastructure and to address emergencies. Lack of access to or exhaustion of available funding, may indicate problems with the system’s managerial and financial capabilities. However, systems should not borrow funds for normal O&M functions, except in emergencies. Federal and state funding programs generally provide lower interest rate loans to systems, in particular, smaller systems. Limited federal and state grant funding is also available, particularly for small, more rural systems. However, many of the programs have eligibility requirements and fund only certain types of systems and certain types or categories of projects. For example, some states have limited Drinking Water State Revolving Fund loans to publicly owned systems. In addition, water systems cannot use these funds for routine monitoring, operation, and maintenance. All systems, particularly small systems, should establish a credit rating, allowing them access to funds if an emergency occurs or an unexpected cost arises. Financial institutions look at the health of the system as measured through indicators, ratios, ratings, previous credit records, and proof of assurance of repayment, when determining whether a system is a good credit risk. 14. Is the staff active in industry and professional organizations? Such participation is important, because it improves the system’s awareness of available external resources, new technology, and advances in the field. 14.6 Planning Planning is often a challenge for many systems. The following plans are important to many public water systems: • Source protection. • Monitoring. In particular sampling sites for: • Lead and Copper. • Total Coliform. • Stage 2 Disinfection Byproducts. • Emergency or contingency. • Distribution flushing. • Operation and maintenance. • Cross-connection control. There are also safety programs and requirements with which the system must comply. Other equally critical plans include an annual budget, asset management plans and a 10-year capital improvement plan to address repair, replacement, and future expansion.
  • 268.
    14-6 14.6.1 Sanitary DeficiencyQuestions and Considerations – Planning 1. Is an emergency or contingency plan available and workable? The utility should have an emergency or contingency plan that outlines what actions will be taken and by whom. The emergency plan should meet the needs of the facility, account for the geographical area, and specify the nature of the likely emergencies. Does the plan consider conditions, such as storms, floods, and major mechanical failures? Management should update the emergency plan annually, educate the operators and other staff about the plan, and larger facilities should practice implementation of the plan annually. 2. Are written, workable plans available for the areas listed below? • Source protection. • Sampling and monitoring. • Emergency or contingency. • Hazard communication plan (if required). • Cross-connection control. • Repair, replacement, and future expansion (capital improvement). • Distribution system flushing program. 14.7 Personnel Personnel issues include adequate numbers of skilled operations staff, compliance with state certification requirements, training, and safety. 14.7.1 Sanitary Deficiency Questions and Considerations – Personnel 1. Are there sufficient personnel? There should be enough personnel to provide for operation during evenings, weekends, vacations, and illness. The number of operators depends on the type and size of the treatment process. A good indication of the adequacy of personnel is if proper O&M procedures require little or no overtime. 2. Is the staff qualified? The staff should have the appropriate aptitude, education, and level of certification to perform the job correctly. Systems must comply with state requirements for certification. Water systems should prominently display proof of certification or otherwise make such certification available to the inspector. Certification at the correct level is one major measurement of management commitment and staff qualifications. 3. Does management ensure personnel are adequately and appropriately trained? To operate a system properly, management must provide the time and budget for operator training, including continuing education and licensing requirements. Do managers have
  • 269.
    14-7 sufficient staff toprovide operational coverage where other operators may take full advantage of training time without interruptions? There should also be an ongoing training program. There are various ways to train personnel. Training can include in-house training conducted by more experienced personnel, as well as state-sponsored training. Correspondence courses, such as Water Treatment Plant Operation, Water Distribution System Operation and Maintenance, and Small Water System Operation and Maintenance from California State University, Sacramento School of Engineering, and AWWA courses are also available. The inspector can solicit information from operators about process controls, maintenance requirements, and safety, to help determine the adequacy of their training. 4. Is there a knowing-doing gap? Are certified operators not applying the skills they should have, based on their certification? Management could be limiting what they can do or how much time they have to do it. Investigate process control testing and maintenance. Are operators complacent and not performing maintenance or process control testing, or do management practices keeping operators from performing daily control practices and routine maintenance? 5. Does management adequately train the operators in safety procedures and equipment? The safety of the operators and the inspector is of paramount importance. Injury to any of them can adversely affect the system. Although sanitary survey inspectors are not safety experts, conversations with the operators and managers of the system enable the inspector to determine if a safety program is in place. Adequate safety training and safety equipment are essential. Management should be able to give the inspector a list of training activities and training attendance records. Proper safety equipment should be on site, adequately maintained and readily accessible. Examples of necessary equipment include, but are not limited to, self-contained breathing apparatus, cylinder repair kits, eyewash stations, and fire extinguishers. 6. Has the utility complied with OSHA safety requirements? Occupational Safety and Health Administration (OSHA) requirements include having a hazard communication program, lockout/tag-out, and confined space entry training and procedures, as well as applicable placarding of confined spaces. The availability of SDS and operators knowing where they are provide evidence of some level of compliance with OSHA requirements. The inspector should determine if there is documentation of the required training in how to read the SDS, how to use hazardous materials, and how to handle emergencies associated with hazardous materials. 7. Does the utility have a good safety record? The inspector should review past safety records and determine the accident severity rate and the frequency rate for the previous 5 years. A poor safety record can be a good reflection of personnel problems, poorly maintained equipment, or lack of attention to
  • 270.
    14-8 safety by management.A poor safety record also can have a negative effect on water quality by reducing the number of trained personnel available to handle normal conditions and to resolve problems. This may also adversely affect finances at the utility. 14.8 Operations Management must first provide the facilities and equipment required to operate reliably and in compliance with all application regulations. Written standard operating procedures ensure reliability from one operator to the next. 14.8.1 Sanitary Deficiency Questions and Considerations – Operations 1. Is there an overall O&M manual for the facility? In addition to the standard O&M manual, manufacturers’ literature should be available for all pieces of equipment. All of this information, and the as-built plans of the facility, should be on site or readily available. Operators cannot properly maintain equipment without adequate manuals and manufacturers’ literature. 2. Has management established standard operating procedures (SOPs) at the facility? Ask operations and management personnel about the availability of O&M manuals, manufacturers’ literature, and SOPs. Standard operating procedures are essential to ensure consistent plant operations from one operator to the next, as well as from current operators to the next generation of operators. Operators and management are responsible for keeping all SOPs current, and they should review and revise them when changes at the plant occur. Are the SOPs adequate to maintain the highest quality of finished water? 3. Is there sufficient storage for spare parts, equipment, vehicles, traffic control devices, and supplies? The inspector should assess storage facilities for adequacy, housekeeping, and general appearance. The appearance of the facilities is often a reflection of the importance that management places on the people who work at the system. 4. Are the facilities and equipment of the system adequate? Inadequate facilities and equipment, such as undersized pumps, lack of redundancy, and poor maintenance, can interfere with the production of potable water. Buildings and structures must be sound and provide appropriate security. Operators must maintain and properly size equipment according to manufacturers’ specifications and intended use. 5. Are there adequate facilities for system personnel? Such facilities include space for crew meetings, a lunchroom, a rest room, and individual lockers. Check for adequacy and cleanliness. 14.9 Finance Financing addresses the day-to-day operating budget, future repair and replacement, and future expansion. Conservation offers the opportunity to minimize demands on the system, protect source water quantity, reduce chemical and electrical costs, be more effective and efficient in delivering safe drinking water, and promote the longevity of the system.
  • 271.
    14-9 Reviewing these fiveareas also helps address the three elements of managerial capacity and the three elements of financial capacity. Table 14-1: Managerial and Financial Capacity Elements of Managerial Capacity Elements of Financial Capacity • Ownership accountability. • Staffing and organization. • Effective external linkages. • Revenue sufficiency. • Fiscal controls. • Credit worthiness Although much of the information to address these issues can be collected during the sanitary survey, some aspects of managerial and financial capacity may not be evident from an inspection and a conversation with the operator. Fully assessing capacity in these areas may require a meeting with the water system’s manager or governing authority, as well as additional review of financial documents. The questions in this chapter should enable you to make at least a preliminary assessment of managerial and financial capacity. In addition to looking specifically at a water system’s finances, the inspector should be aware that other aspects of the sanitary survey indicate the state of the system’s finances and its financial capacity. For example, infrastructure deficiencies may be due not only to a lack of technical and managerial capacity, but also to a lack of financial capacity. Without sufficient revenue, the system will not be able to cover the costs of source water protection, treatment, storage facility maintenance, and system upgrades. 14.9.1 Sanitary Deficiency Questions and Considerations – Finance 1. Does the water system have the technical, managerial and financial capacity to deliver safe water to its customers on a continuing basis? Are the financing and budget satisfactory? What is the estimated income? What are the estimated expenses? Utility management should have organizational and annual reports regarding the water system’s technical, managerial and financial capacity to achieve the objectives of delivering safe water. The system should have sufficient revenue for operation, maintenance, and future replacements. Utility management should maintain these funds and not commingle them with other accounts. The system should operate on its own revenues and should have a sinking fund for major equipment replacement. An inability to answer the questions above indicates a lack of financial planning necessary for financial capacity. If answers are available, but they indicate that system revenues do not cover costs, the system lacks financial capacity. This lack may pose risks, if insufficient funding results in an inability to maintain and upgrade the facility, pay appropriate salaries, or maintain sufficient stocks of spare parts, chemicals, or equipment.
  • 272.
    14-10 2. Does managementproperly prioritize funding? Determine if the manner in which available funds are used causes problems in obtaining needed equipment or staff. In addition, determine if management expends funds on lower priority items, while higher priority items are unfunded. 3. Are there sufficient funds for staff training? AWWA recommends a training budget equal to 5 percent of the workers’ salaries. Management must also budget for the number of hours required for an operator to maintain his or her license. 4. Are projected revenues consistent with projected growth? If a system’s revenue projections are not consistent with its projected growth, or if rates do not reflect actual costs, including amortization of capital, eventually there will be insufficient revenue to operate the system. 5. Does the system have formal accounting systems and written procedures for financial records? If the system does not have formal systems and procedures for financial recordkeeping, management is likely not following appropriate accounting and financial planning methods. 6. Does the system have budget and expenditure control procedures? Although it is important that water system staff have the authority to purchase supplies and equipment as needed, it is equally important that there be standard procedures for budget and expenditure control. A follow-up question might be to ask operators what they do when they need to purchase something for the system. By discussing a real example, you might discover that the operator was unsure of the terms used in the first question where the system does in fact have purchase order procedures and authorization requirements, and, therefore, has budget and expenditure control procedures. 7. What are the utility’s debt service expenses? If a system’s debt service expenses are exceptionally high, the system either has a large level of debt or pays a high interest rate on its debt. This situation could mean the system has exhausted its access to capital or has a poor credit rating forcing the water system to pay higher interest when it borrows. In either case, high debt service expenses indicate a lack of financial capacity. 8. Does the system have a water conservation policy or program? Water rates that promote conservation can yield savings. Conservation reduces the demand on the source, reduces chemical and electrical costs, and minimizes wear and tear on equipment such as pumps. In many cases, a system can avoid the need for plant expansions by implementing an effective water conservation program.
  • 273.
    14-11 14.10 Significant DeficiencyExamples for Utility Management All significant deficiencies listed below are examples only. Each primacy agency may have identified a different set of significant deficiencies than those listed. The state (primacy agency) determines both significant deficiencies and the corresponding corrective actions: • No or inadequate SOPs.… • Insufficient staffing or coverage. • Key managers unfamiliar with the SDWA requirements. • No tracking of assets. • No equipment use logs. • No annual budget. • No asset management or capital improvement plans.
  • 274.
    15-1 15 Other Considerations 15.1Introduction While proactively identifying deficiencies that could lead to future violations or unsafe drinking water is the intent of a sanitary survey, along with the eight essential elements, the inspector should consider additional elements while conducting the survey. These additional elements for consideration include many elements of sustainability plus water system security. Including these elements in a sanitary survey helps ensure a safe and sustainable supply of drinking water, today and into the future 15.2 Learning Objectives for this Chapter By the end of this chapter, students should be able to: • Recognize a range of steps that the water system can take for sustainability. • Understand three fundamental components (technical, managerial and financial) of a well-functioning system. • Identify steps to improve water availability. • Consider water efficiency and conservation as a factor in supplying water. • Understand the effects of extreme weather conditions or events (drought, flooding, tornadoes, hurricanes, etc.). • Identify key points for security. 15.3 Sustainability Employing the concept of sustainability in the management of a water system has implications across many aspects of a water plant and its operation. Water system management may think of sustainability as applying practices and techniques to obtain the greatest long-term benefit. This may include setting long-term goals and objectives for water delivery to the community, identifying and analyzing a range of alternatives to achieve those objectives, utilizing water management approaches, relying on the nature of the water cycle and changing weather patterns, evaluating life-cycle costs of equipment and water treatment processes, and developing a financial strategy to ensure long-term funding for the water system. 15.3.1 Technical, Managerial and Financial Capacity Having and maintaining the capability to operate a water system to continuously provide safe water to customers is a significant responsibility and contributes to meeting sustainability objectives. Several key capabilities are essential: • Compliance: Is the system meeting current regulatory requirements? Do managers and operators understand all regulations applicable to their water system? • Education: Is the system providing information to increase customer understanding of the value of water services, as well as expanding its own staff’s knowledge of water and energy efficiency measures to improve operations? Does management support and
  • 275.
    15-2 provide the timeand budget necessary for operators to meet continuing education and licensing requirements? Do managers have sufficient staff to provide operational coverage, where other operators may take full advantage of training time without interruptions? • Finance: Is your system ensuring long-term financial stability to maintain the necessary infrastructure for providing safe drinking water on a continuing basis? Are your system’s water rates set based on customers’ ability to pay for delivery of safe drinking water or the actual costs of producing and delivering water, including amortizing capital assets? • Management: Does the management of the water system understand the implications of decisions made at the operating level (and vice versa) and have knowledge of their responsibilities to deliver safe water to their customers? Are the water system’s assets effectively managed and taking advantage of technology to improve safe water delivery to customers? • Optimization: Does management support the operators in optimizing the various treatment unit processes to produce the best quality water possible? Improving on treatment efficiencies can reduce costs by using chemicals only in the quantities actually needed. Optimizing current processes may also postpone or eliminate the need for capital improvements. Making customers aware of these practices also helps justify the water system’s rate structure. 15.3.2 Water Availability At the core of sustainability for a water system is water availability and its management. Ensuring that water is continuously available to a community is at the heart of a water system’s existence – and a key to the community’s economic vitality. From a sustainability perspective, the water system’s future viability relies on determining the various alternative sources of water supply and using the supply that is most practical. Evaluating alternative water sources available to the water system may include consideration of the amount of water in an aquifer, stream or reservoir and its fluctuation over time, other users’ water withdrawals, local climate, and water quality and its protection. 15.3.3 Energy Planning Water quality treatment represents about 3% of the nation’s energy consumption. This energy consumption equates to adding approximately 45 million tons of greenhouse gas to the atmosphere annually. It is equivalent to approximately 56 billion kilowatt hours. Energy represents the largest controllable cost of providing water services to the public. For drinking water, 85% of the energy use is for pumping in the distribution system, 9% in raw water pumping to the treatment plant and 6% in treatment processes. 15.3.4 Extreme Weather Conditions These conditions can affect water availability. Short- and long-term conditions may result in variability in the supply available to a public water system to meet demands. These varying durations, as well as emerging contaminants (e.g., pathogens, algal toxins), may result in variability in the quality of the supply used by a public water system. Variability in quantity or quality may affect the ability of a public water system to provide a reliable supply of drinking water that meets federal and state standards.
  • 276.
    15-3 The water cycleis a delicate balance of precipitation, evaporation, and all of the steps in between. Warmer temperatures increase the rate of evaporation of water into the atmosphere, in effect increasing the atmosphere's capacity to "hold" water. Increased evaporation may dry out some areas and fall as excess precipitation on other areas. As heavy precipitation events become more frequent, flooding is likely to increase in some areas of the country. At the same time, droughts are likely to become more common, especially in arid regions. Both flooding and droughts can degrade water quality, in addition to impacting water availability. Managers can minimize these effects and make their utility more resilient by taking the following steps: • Conserving water and minimizing runoff. • Protecting valuable resources and infrastructure from flood damage. • Managing rainfall on-site to limit contamination and protect water quality. • Limiting development within vulnerable watersheds. • Consider water reuse (direct or indirect) to reduce demands on stressed surface and ground water sources. Water systems can address variability in the available supply because of extreme weather events, with additional supplies or with storage. A review and assessment of the capacity of available supplies and system storage would be part of sanitary surveys, plan reviews, and other state processes (e.g., permits). Additionally, water utilities should refer to the following tools and guides in preparing for extreme weather events (also included in the Appendix): • Climate Resilience Evaluation and Awareness Tool. • Storm Surge Inundation Map and Hurricane Strike Frequency Map • Adaptation Strategies Guide • Flood Resilience Guide: A Basic Guide to Water & Wastewater Utilities 15.3.5 Asset Management The water system has natural features, including its aquifer, stream or reservoir, and its engineered components, such as the treatment plant and pipes that are its assets for providing water. Asset management involves maintaining a desired level of service for what you want your assets to provide at the lowest life-cycle cost. Lowest life-cycle cost refers to the best appropriate cost for rehabilitating, repairing or replacing an asset. A good asset management program typically includes a written plan. The implementation of this plan affects the long-term availability and cost of water to the community. Knowing what, how many, and what condition the water system’s assets are in is the first step in improved management of components of the system, including accounting for ground and surface water as natural assets. An asset management plan also considers the useful life of the asset to allow for replacement and determine how to budget and finance asset replacement.
  • 277.
    15-4 15.3.6 Emergency Planning Emergenciesaffecting water systems may arise from flooding, drought, loss of power, vhrmivsl spills, or other causes. Each situation may have different impacts on the water system. In each case, water availability or quality may be a factor in the water system’s ability to deliver safe water to its customers. Advanced identification of alternate water supplies assists in addressing public health concerns in an emergency, including loss of water availability. A supplemental or backup source of power may also be critical to provide water to the community. 15.3.7 Sanitary Deficiency Questions and Considerations – Sustainability Previous chapters already cover some of the components related to sustainability. Chapters 3 and 4 (Ground Water and Surface Water sources, respectively) cover quantity issues, while Chapter 11 – Distribution covers determining and managing/reducing water loss. The questions below discuss the remaining sustainability considerations. 1. Has the water system identified and implemented techniques and practices for its sustainability? Determine if the water system has planning documents that include long-term goals and objectives, analysis of alternatives, use of natural services of the water cycle, evaluation of life-cycle costs and a long-term financial strategy, as well as other steps supporting sustainability. 2. Are water conservation and efficiency of water-using products key factors in ensuring water availability? Water conservation, steps taken to reduce water demand, can serve as an alternative water source, making water available for other uses. The efficient use of water can also help reduce demand on water supplies, as well as demands on water system infrastructure, and help systems deal with both short- and long-term changes in water availability and quality. Improvements in water efficiency can provide important sustainability benefits, including reducing or delaying the need for capital projects and reduced energy use. Water efficiency improvements can also provide environmental sustainability benefits such as reduced pressure on water resources. In states without regulatory requirements, water efficiency improvements could be part of state or technical assistance provider outreach, education, and assistance efforts. Water efficiency efforts at the consumer level to reduce demand would also be a part of these efforts. 3. Do customers have information on efficient water-using appliances? EPA’s WaterSense program seeks to protect the future of our nation's water supply by promoting water efficiency and enhancing the market for water-efficient products, programs, and practices. Some utilities offer rebates for WaterSense labeled products. Water systems can also apply to become a WaterSense program partner and receive tools they can use to promote their own water efficiency programs. 4. Has the water system conducted an energy audit?
  • 278.
    15-5 Unaccounted for energyand energy expenses could leave the water system in an undesirable financial situation. Asset management plans should include power ratings and capacities for all electrical equipment, especially pumps. 5. Can your water system separate its energy costs from other operating costs? As energy costs rise, operating costs rise. EPA has developed an energy assessment tool to assist water systems in understanding their energy use. 15.4 Water System Security Under the Bioterrorism Act of 2002, community water systems serving more than 3,300 persons were required to conduct vulnerability assessments to help water systems evaluate susceptibility to potential threats and identify corrective actions that can reduce or mitigate the risk of serious consequences from adversarial actions (e.g., vandalism, insider sabotage, terrorist attack, etc.). Sanitary surveys offer an opportunity to identify such vulnerabilities and review a water system’s emergency response plan. Such considerations should be included for all sized water systems in assisting water systems to identify and mitigate such risks. Water systems can take simple steps to provide basic water system security, such as locking the pump house and treatment plant, fencing around the treatment and pump plant, lighting and movement sensors, automated alarms, etc.
  • 279.
  • 280.
    A-2 1. At America’sService Karl Albrecht ISBN: 1-55623-168-7 2. AWWA B600-10: Powdered Activated Carbon Catalog No. 42600 Available from: American Water Works Association (AWWA) 6666 W. Quincy Avenue Denver, CO 80235 (800) 926-7337 Fax: (303) 347-0804 http://www.awwa.org/store 3. AWWA B604-12: Granular Activated Carbon Catalog No. 42604 Available from: AWWA 6666 W. Quincy Avenue Denver, CO 80235 (800) 926-7337 Fax: (303) 347-0804 http://www.awwa.org/store 4. AWWA G200: Guidance for Management of Distribution System and Operation and Maintenance ISBN 1-58321-734-7 Available from: AWWA 6666 W. Quincy Avenue Denver, CO 80235 (800) 926-7337 Fax: (303) 347-0804 http://www.awwa.org/store
  • 281.
    A-3 5. AWWA G200-09:Distribution Systems Operation and Management Catalog No. 47200 Available from: AWWA 6666 W. Quincy Avenue Denver, CO 80235 (800) 926-7337 Fax: (303) 347-0804 http://www.awwa.org/store 6. Chemistry of Water Treatment – 2nd Edition Samuel D. Faust and Osman M. Aly ISBN: 1-57504-011-5 7. Cross-Connection Control Manual Publication ID: 816R03002 (February 2003) Search on-line for the EPA Publication ID above at the National Service Center for Environmental Publications http://www.epa.gov/nscep/ 8. Electrical Fundamentals for Water and Wastewater Skeet Arasmith Available from: ACR Publications 1298 Elm St. SW Albany, OR 97321 (800) 433-8150 Fax: (541) 926-3478 http://www.acrp.com 9. Environmental Engineering and Sanitation, 5th Edition Joseph A. Salvato ISBN 0-471-39456-4 10. Flood Resilience: A Basic Guide for Water and Wastewater Utilities Publication ID: 817B14006 (September 2014) Search on-line for the EPA Publication ID above at the National Service Center for Environmental Publications http://www.epa.gov/nscep/
  • 282.
    A-4 11. Ground WaterRule Corrective Action Guidance Manual Publication ID: 815R08011 (November 2008) Search on-line for the EPA Publication ID above at the National Service Center for Environmental Publications http://www.epa.gov/nscep/ 12. Guidance Manual for Compliance with the Filtration and Disinfection Requirements for Public Water Systems Using Surface Water Publication ID: 570391001 (March 1991) Search on-line for the EPA Publication ID above at the National Service Center for Environmental Publications http://www.epa.gov/nscep/ 13. Guidance Manual for Conducting Sanitary Surveys of Public Water Systems; Surface Water and Ground Water Under the Direct Influence (GWUDI) of Surface Water Publication ID: 815R99016 (April 1999) Search on-line for the EPA Publication ID above at the National Service Center for Environmental Publications http://www.epa.gov/nscep/ 14. Handbook of Chlorination and Alternative Disinfectants, 5th Edition G.C. White ISBN 0-470-18098-6 15. Integrated Design of Water Treatment Facilities, 2nd Edition Susumu Kawamura ISBN: 0-471-35093-1 16. Introduction to Small Water Systems Skeet Arasmith Available from: ACR Publications 1298 Elm St. SW Albany, OR 97321 (800) 433-8150 Fax: (541) 926-3478 http://www.acrp.com
  • 283.
    A-5 17. Introduction toUtility Management Skeet Arasmith and Rolfe Stearns Available from: ACR Publications 1298 Elm St. SW Albany, OR 97321 (800) 433-8150 Fax: (541) 926-3478 http://www.acrp.com 18. Long Term 2 Enhanced Surface Water Treatment Rule Toolbox Guidance Manual Publication ID: 815R09016 (April 2010) Search on-line for the EPA Publication ID above at the National Service Center for Environmental Publications http://www.epa.gov/nscep/ 19. Maintenance Management for Water Utilities ISBN: 9781583217832 Available from: AWWA 6666 W. Quincy Avenue Denver, CO 80235 (800) 926-7337 Fax: (303) 347-0804 http://www.awwa.org/store 20. Manual of Cross-Connection Control University of Southern California Foundation for Cross-Connection Control http://www.usc.edu/dept/fccchr 21. Manual of Individual Water Supply Systems ISBN: 1-58963-407-1 22. A Manual of Instruction for Water Treatment Plant Operators New York State Department of Water ASIN B000O0C9EQ http://www.dec.ny.gov/
  • 284.
    A-6 23. Manual ofTreatment Techniques for Meeting the Interim Primary Drinking Water Regulation Publication ID: 600877005 (May 1977) Search on-line for the EPA Publication ID above at the National Service Center for Environmental Publications http://www.epa.gov/nscep/ 24. Manual of Water Utility Operations 8th Edition Available from: Texas Water Utilities Association 1106 Clayton Lane, Ste 112 West Austin, TX 78723-1093 (888) 367-8982 Fax: (512) 459-7124 http://www.twua.org/ 25. Membrane Filtration Guidance Manual Publication ID: 815R06009 (November 2005) Search on-line for the EPA Publication ID above at the National Service Center for Environmental Publications http://www.epa.gov/nscep/ 26. National Primary Drinking Water Regulations (40 CFR part 141) Available on line from: U.S. Environmental Protection Agency Select “Title 40” from: http://www.ecfr.gov 27. National Secondary Drinking Water Regulations (40 CFR part 143) Available on line from: U.S. Environmental Protection Agency Select “Title 40” from: http://www.ecfr.gov
  • 285.
    A-7 28. O &M of Chlorine Systems Skeet Arasmith Available from: ACR Publications 1298 Elm St. SW Albany, OR 97321 (800) 433-8150 Fax: (541) 926-3478 http://www.acrp.com 29. Opflow, Volume 12, No. 5, May 1986 Available from: AWWA 6666 W. Quincy Avenue Denver, CO 80235 (800) 926-7337 Fax: (303) 347-0804 http://www.awwa.org 30. Opflow, Volume 12, No. 12, December 1986 Available from: AWWA 6666 W. Quincy Avenue Denver, CO 80235 (800) 926-7337 Fax: (303) 347-0804 http://www.awwa.org 31. Pathogen Intrusion into the Distribution System (report #90835) Available from: Water Research Foundation 6666 W. Quincy Avenue Denver, CO 80235 (303) 347-6100 Fax: (303) 730-0851 http://waterrf.org/Pages/Projects.aspx?PID=436 32. Planning for an Individual Water System ISBN: 0-89606-097-7
  • 286.
    A-8 33. Pumps andPumping Skeet Arasmith Available from: ACR Publications 1298 Elm St. SW Albany, OR 97321 (800) 433-8150 Fax: (541) 926-3478 http://www.acrp.com 34. Recommended Practice for Backflow Prevention and Cross-Connection Control, M14 ISBN: 9781583212882 Available from: AWWA 6666 W. Quincy Avenue Denver, CO 80235 (800) 926-7337 Fax: (303) 347-0804 http://www.awwa.org/store 35. Recommended Standards for Water Works (Ten States Standards) Available from: Health Research, Inc. 150 Broadway, Suite 560 Menands, NY 12204 (518) 431-1200 http://www.healthresearch.org/store/ten-state-standards 36. Rehabilitation of Water, M28, 2nd Edition ISBN: 9781583210260 Available from: AWWA 6666 W. Quincy Avenue Denver, CO 80235 (800) 926-7337 Fax: (303) 347-0804 http://www.awwa.org/store 37. Safe Drinking Water Advisor: A Compliance Assistance Resource (CD) ISBN: 978-1-58321-324-7
  • 287.
    A-9 38. Sanitary SurveyGuidance Manual for Ground Water Systems Publication ID: 815R08015 (October 2006) Search on-line for the EPA Publication ID above at the National Service Center for Environmental Publications http://www.epa.gov/nscep/ 39. Simultaneous Compliance Guidance Manual for the Long Term 2 and Stage 2 DBP Rules Publication ID: 815R07017 (March 2007) Search on-line for the EPA Publication ID above at the National Service Center for Environmental Publications http://www.epa.gov/nscep/ 40. Small Water System Operation & Maintenance 4th Edition Available from: Office of Water Programs California State University, Sacramento 6000 J Street Sacramento, CA 95810 (916) 278-6142 Fax: (916) 278-5959 http://www.owp.csus.edu/courses/drinking-water.php 41. Stage 2 Disinfectants and Disinfection Byproducts Rule Operational Evaluation Guidance Manual Publication ID: 8-15-R-08-018 (December 2008) Search on-line for the EPA Publication ID above at the National Service Center for Environmental Publications http://www.epa.gov/nscep/ 42. Technologies for Upgrading Existing or Designing New Drinking Water Treatment Facilities Publication ID: 625489023 (March 1990) Search on-line for the EPA Publication ID above at the National Service Center for Environmental Publications http://www.epa.gov/nscep/ 43. Ultraviolet Disinfection Guidance Manual Publication ID: 815R06007 (November 2006) Search on-line for the EPA Publication ID above at the National Service Center for Environmental Publications http://www.epa.gov/nscep/
  • 288.
    A-10 44. Water DistributionSystem Construction Manual Skeet Arasmith Available from: ACR Publications 1298 Elm St. SW Albany, OR 97321 (800) 433-8150 Fax: (541) 926-3478 http://www.acrp.com 45. Water Distribution System Operation & Maintenance Available from: Office of Water Programs California State University, Sacramento 6000 J Street Sacramento, CA 95810 (916) 278-6142 Fax: (916) 278-5959 http://www.owp.csus.edu/courses/drinking-water.php 46. Water Quality and Treatment: A Handbook of Drinking Water, 5th Edition ISBN: 9780071630115 Available from: AWWA 6666 W. Quincy Avenue Denver, CO 80235 (800) 926-7337 Fax: (303) 347-0804 http://www.awwa.org/store 47. Water Quality in the Distribution System ISBN 1-58321-323-6 Available from: AWWA 6666 W. Quincy Avenue Denver, CO 80235 (800) 926-7337 Fax: (303) 347-0804 http://www.awwa.org/store
  • 289.
    A-11 48. Water SupplyOperations Textbooks, 4th Edition Volume 1: Water Sources (ISBN: 9781583217825) Volume 2: Water Treatment (ISBN: 9781583217771) Volume 3: Water Transmission and Distribution (ISBN: 9781583217818) Volume 4: Water Quality (ISBN: 9781583217801) Volume 5: Basic Science Concepts and Applications (ISBN: 9781583217788) Available from: AWWA 6666 W. Quincy Avenue Denver, CO 80235 (800) 926-7337 Fax: (303) 347-0804 http://www.awwa.org/store 49. Water Systems Handbook – 12th Edition Available from: Water Systems Council 1101 30th Street, NW Suite 500 Washington, DC 20007 (202) 625-4387 Fax: (202) 625-4363 http://www.watersystemscouncil.org Water Treatment Plant Design, 5th Edition Prepared jointly by the American Water Works Association, Conference of State Sanitary Engineers, and American Society of Civil Engineers Available from: AWWA Data Processing Department 6666 W. Quincy Avenue Denver, CO 80235 (800) 926-7337 Fax: (303) 347-0804 http://www.awwa.org/store ASCE Publications 1801 Alexander Bell Drive Reston, VA 20191 (800) 548-2723 http://www.asce.org/Product.aspx?id=25769809226
  • 290.
    A-12 50. Water TreatmentPlant Operation, Volume I Available from: Office of Water Programs California State University, Sacramento 6000 J Street Sacramento, CA 95810 (916) 278-6142 Fax: (916) 278-5959 http://www.owp.csus.edu/courses/drinking-water.php 51. Water Treatment Plant Operation, Volume II Available from: Department of Civil Engineering California State University, Sacramento 6000 J Street Sacramento, CA 95810 (916) 278-6142 Fax: (916) 278-5959 http://www.owp.csus.edu/courses/drinking-water.php