МІНІСТЕРСТВО ОСВІТИ І НАУКИ УКРАЇНИ
БЕРДЯНСЬКИЙ ДЕРЖАВНИЙ ПЕДАГОГІЧНИЙ УНІВЕРСИТЕТ
Павленко Л.В.
ПРАКТИКУМ З ІНФОРМАТИКИ
Методичні рекомендації звиконання лабораторних робіт для
студентів денної та заочної форм навчання
Бердянськ
2013
2
3
Зміст
1. Лабораторна робота №1 Попередні вимоги для комп’ютерного опрацювання
експериментальних даних
2. Лабораторна робота №2 Введення експериментальних даних до прикладного
програмного засобу Statistica
3. Лабораторна робота №3 Розрахунок у ППЗ Statistica описових статистик та побудова
графіків
4. Лабораторна робота №4 Використання ППЗ Statistica для обчислення кореляції
кількісних ознак
5. Лабораторна робота №5 Використання Excel для проведення дисперсійного аналізу
6. Лабораторна робота №6 Використання Excel для проведення регресійного аналізу
7. Лабораторна робота №7 Використання ППЗ Statistica для проведення регресійного
аналізу
8. Лабораторна робота №8 Використання ППЗ Statistica при проведенні перевірки
статистичних гіпотез
4
Лабораторна робота №1
Попередні вимоги для комп’ютерного опрацювання експериментальних даних
ПЛАН
1. Етапи проведення статистичного аналізу
2. Визначення типу шкали
3. Визначення типу закону розподілу
4. Визначення залежності чи незалежності вибірки
ЛІТЕРАТУРА
1. Білоусова Л. І. Практикум з автоматизованої статистичної обробки даних психолого-
педагогічного експерименту: навч. посіб. / Білоусова Л. І., Колгатін О. Г.,
Колгатіна Л. С. – Х. : Компанія СМІТ, 2007. – 37 с. – Бібліогр. : с. 37.
2. Боровиков В. П. Statistica : Искусствоанализа данных на компьютере / Владимир
Боровиков. - СПб. [и др.] : Питер, 2001. - 650 с.
3. Бююль А. SPSS: искусство обработки информации : [пер. с нем] / АхимБююль, Петер
Цёфель. – Москва [и др.] : DiaSoft, 2005. – 602 с.
4. Дюк В. А. Обработка данных на ПК в примерах / Вячеслав Дюк. - СПб. : Питер-пресс,
1997. - 231 с. : ил.; 24 см. - (Советы профессионала).
5. Наследов А. Д. SPSS 15 профессиональный статистический анализ данных /
А. Наследов. – Москва [и др.] : Питер, 2008. – 412 с.
6. Томашевський О. В. Комп'ютерні технології статистичної обробки даних: навч.
посібник для студ. вищ. навч. закладів, які навчаються за спец. «Якість,
стандартизація та сертифікація» / Томашевський О. В., Рисіков В. П. – Запоріжжя :
Запорізький національний технічний ун-т, 2006. – 174с. – Бібліогр. с. 171–173.
ТЕОРЕТИЧНІ ВІДОМОСТІ
Статистичний аналіз психолого-педагогічних, технічних та економічних даних
складається з декількох основних етапів. Схема проведення аналізу наведена на рис 1.1.
5
Статистичні задачі, які необхідно розв'язати за допомогою
комп'ютерних засобів з різних предметних галузей
Вибір статистичного методу
Підготовка даних
Визначення типу шкали
Визначення закону розподілу
Визначення залежності чи незалежності вибірок
Постановка мети статистичного аналізу
Статистичні методи, що використовуються інженерами-педагогами
Описові
статистики
Оцінка
параметрів
та перевірка
гіпотез
Дисперсійний
аналіз
Кореляційний
аналіз
Регресійний
аналіз
Факторний
аналіз
Кластерний
аналіз
Непарамет-
ричні тести
Планування
експерименту
Рис. 1.1. Схема аналізу опрацювання статистичних даних з різних предметних галузей
(психолого-педагогічні, технічні та економічні дані) для вибору коректного статистичного
методу
Некоректне проведення підготовчих етапів статистичного аналізу (підготовка даних,
визначення типу шкали, визначення закону розподілу, визначення залежності вибірок та
постановка мети статистичного аналізу) приводить до ПОМИЛКОВОГО вибору
статистичних методів для опрацювання даних.
6
Етап 1 «Підготовка даних»
Процес підготовки даних є невід’ємною частиною аналізу будь-яких даних, це
пояснюється тим, що для продуктивної аналітичної роботи недостатньо вміти вводити дані
та застосовувати до них статистичні процедури. Це потребує ефективного управління
даними на основі їх ранжування, перевірки та перекодування (рис. 1.2.).
Підготовка даних
Перевірка даних Ранжування даних Перекодування даних
Рис. 1.2. Схема проведення підготовки даних до статистичного опрацювання
Перевірка данихґрунтується на порівнянні значень в таблиці даних з умовами, що
задаються логічними виразами. Після порівняння приймається рішення про здійснення дій
над змінними або спостереженнями (наприклад, присвоєння змінній нових значень,
включення спостережень в аналіз або висновок про правильність даних зв’язаних з цим
спостереженням).
Процес ранжуванняданихпередбачає заміну змінної в таблиці даних відповідними
рангами цих значень. Якщо необхідно зберегти вихідні значення змінної, то потрібно
зробити її копію.
Перекодування данихдозволяє шляхом обчислень створювати нові змінні на основі
існуючих, а також дозволяє змінити спосіб кодування змінної, наприклад для зменшення
кількості можливих значень.
7
Підготовка даних
Перевірка даних Ранжування даних Перекодування даних
Головне меню
Данные
Проверка данных
Введення умов
перевірки даних та
діапазону
спостережень
Головне меню
Данные
Ранжировать...
Визначення змінної
для ранжування
Визначення формату
виведення значень
рангу
Головне меню
Данные
Перекодировать...
Визначення категорій
опрацювання
спостережень
Введення нових
значень для
перекодованих
спостережень
Визначення змінної
для перекодування
Рис. 1.3. Схема виконання дій з підготовки даних для статистичного опрацювання в
програмі Statistica
8
Етап 2 «Визначення типу шкали»
Шкала – це сукупність усіх можливих значень ознаки.
Алгоритм визначення типу шкали для даних що досліджуються наведена на рис 1.4
Відношення двох
значень показника має емпіричну
значущість. Для такої шкали можливі
тільки операції: «дорівнює» (=),
«не дорівнює» (≠), «більше» (>),
«менше» (<), «додати» (+), «відняти» (-),
«помножити» (*), «розділити» (/)
Експериментальні
дані
Вибір шкали
Шкала
відношень
(пропорційна)
Інтервальна
шкала
Різниця (інтервал) між
двома значеннями показника має емпіричну
значущість. Для такої шкали можливі тільки
операції: «дорівнює» (=), «не дорівнює» (≠),
«більше» (>), «менше» (<), «додати» (+),
«відняти» (-)
Початок
Так
Ні
Так
Ні
ПЕДАГОГІЧНІ ДАНІ: Оцінювання швидкості реакції людини на подразник в секундах.
ТЕХНІЧНІ ДАНІ: Температура виробу до обробки 20 градусах Цельсія а після 40, різниця
складає 20 градусів.
ПЕДАГОГІЧНІ ДАНІ: Оцінювання знань студентів за рейтинговою системою.
ТЕХНІЧНІ ДАНІ: Діаметр виробу.
ЕКОНОМІЧНІ ДАНІ: Ціна товару
Володіє всіма властивостями інтервальної шкали та
містить точку абсолютного нуля. Дозволяє встановити в
скільки разів одне значення перевищує інше
Так
Дозволяє не тільки впорядкувати об'єкти виміру, але й
числено виразити та порівняти різницю між ними.
Дозволяє встановити на скільки одне значення
перевищує інше. Як правило не можливо застосувати в
психолого-педагогічних дослідженнях.
Так
Окремим значенням показника не
відповідає жодної емпіричної
значущості.
Для такої шкали можливі тільки
операції: «дорівнює»(=), «Не
дорівнює» (≠)
Номінальна
(категоріальна)
шкала
Дихотомічна
шкала
Кінець
Так
Ні
ПЕДАГОГІЧНІ ДАНІ: Чи подобається вам вчитися – «так», «ні» (0, 1).
ТЕХНІЧНІ ДАНІ: Наявність напруги в мережі – «так», «ні» (1, 0).
ЕКОНОМІЧНІ ДАНІ: Прибуток населення – «високий», «низький» (0, 1).
ПЕДАГОГІЧНІ ДАНІ: Вибір кольору респондентом – «зелений», «синій», «жовтий»,
«червоний»
ТЕХНІЧНІ ДАНІ: Тип пріоритету передавання даних в мережі – «мультимедійні»,
«службові», «дані програм»
ЕКОНОМІЧНІ ДАНІ: Фірма постачальник – «Поінт», «Інтелком», «Телеком»
Ні
Кількість значень
показника більше двох
Так
Ні
Простий випадок номінальної шкали.
Може приймати всього два значення
Ні
Використовується тільки для якісної
класифікації, змінні можуть бути виміряні
тільки в термінах приналежності до деяких
істотно різних класів. Неможливо визначити
кількість або впорядкувати ці класи.
Так
Емпірична значущість не залежить від
різниці між значеннями показника. Для
такої шкали можливі тільки операції:
«дорівнює» (=), «не дорівнює» (≠),
«більше» (>), «менше» (<)
Порядкова
шкала
Так
ПЕДАГОГІЧНІ ДАНІ: Оцінювання успішності студентів – «незадовільно», «задовільно»,
«добре», «відмінно» (2, 3, 4, 5).
ЕКОНОМІЧНІ ДАНІ: Матеріальний рівень жителів міста – «не має власної квартири», «має
однокімнатну квартиру», «має двокімнатну квартиру» (0, 1, 2).
Використовується тільки для якісної класифікації, змінні можуть бути
виміряні тільки в термінах приналежності до деяких істотно різних
класів. Неможливо визначити кількість або впорядкувати ці класи.
Так
Рис. 1.4. Алгоритм визначення типу шкали для даних що досліджуються
9
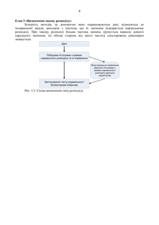
Етап 3 «Визначення закону розподілу»
Більшість методів, за допомогою яких опрацьовуються дані, відносяться до
інтервальної шкали, виходячи з гіпотези, що їх значення підкоряється нормальному
розподілу. При такому розподілі більша частина значень групується навколо деякого
середнього значення, по обидві сторони від якого частота спостережень рівномірно
знижується
Дані
Якщо візуальне порівняння
реальної гістограми з
кривою нормальності
розподілу здається
недостатнім
Застосування тесту нормальності
Колмогорова-Смірнова
Побудова гістограми з кривою
нормального розподілу та їх порівняння
Рис. 1.5. Схема визначення типу розподілу
10
Головне меню
програми Statistica
Перехід до
побудови гістограми
з кривою
нормального
розподілу
Визначення змінної для
побудови гістограми
Побудова кривої
нормального розподілу
Завершення побудови
та здійснення
візуального аналізу
реальної гістограми з
кривою нормального
розподілу
Рис. 1.6. Модель дій для порівняння реальної гістограми з кривою нормального
розподілув програмі Statistica
Етап 4 «Визначення залежності чи незалежності вибірок»
Дві вибірки залежать одна від одної, якщо кожному значенню однієї вибірки можна
закономірним та однозначним чином поставити у відповідність тільки одне значення другої
вибірки.
11
ХІД РОБОТИ
Приклад. Інспекція при перевірці якості продукції отримала результати наведені в
табл. 1.1. Підготувати дані для опрацювання в програмі Statisticaта підготувати дискретний
ряд розподілу та зобразити його графічно. Вміст міді у 50 партіях деталей (згідно стандарту
повинно бути не менше 45% міді).
Таблиця 1.1.
45 48 47 48 45 48 46 46 45 45
45 45 44 46 48 47 48 44 45 44
46 45 44 47 47 46 45 45 47 46
46 43 48 44 46 45 43 49 46 45
47 47 43 42 44 42 46 49 46 45
Розв’язання.
1. Запустити пакет Statistica (Пуск  Все программы Statistica 6)
2. Створити новий документ (Ctrl+N) вказавши кількість змінних (1) та кількість
спостережень (50).
Рис. 1.7. Вікно створення нового документа у пакеті Statistica 6
3. Ввести дані спостереження у Var1.
4. Перевірити дані на правильність введення (Головне меню  Данные  Проверка
данных  Проверка данных), ввести умови обмеження значень даних у вікні
Рис. 1.8. Вікно перевірки даних
12
5. Побудуємо ранжований ряд (Головне меню  Данные Ранжировать…). У вікні
«Ранги значений» обрати:
«Присвоить ранг 1» наим. значению
«Ранги для совпадающих значений» средний
«Тип рангов» обычный.
Рис. 1.9. Вікно здійснення ранжування ряду
6. Будуємо таблицю частот (Головне меню  Анализ  Основные статистики и
таблицы Таблицы частот)
Рис. 1.10. Розрахунок таблиці частот та побудова гістограма розподілу
Рис. 1.11. Таблиця частот
13
Рис. 1.12. Гістограма розподілу
Висновки: побудований ряд розподілу приближений до нормального, сукупність за
досліджуваною ознакою є досить однорідною. Найбільша кількість партій деталей вміст міді
в яких 45%, кількість міді нижчу за стандартну мають 22% обстежених партій.
Лабораторна робота №2
Введення експериментальних даних до програмного засобу Statistica
ПЛАН
1. Розрахунок середнього арифметичного у ППЗ Statistica
2. Розрахунок медіани у ППЗ Statistica
3. Розрахунок дисперсії у ППЗ Statistica
ЛІТЕРАТУРА
1. Білоусова Л. І. Практикум з автоматизованої статистичної обробки даних психолого-
педагогічного експерименту: навч. посіб. / Білоусова Л. І., Колгатін О. Г.,
Колгатіна Л. С. – Х. : Компанія СМІТ, 2007. – 37 с. – Бібліогр. : с. 37.
2. Боровиков В. П. Statistica : Искусствоанализаданных на компьютере / Владимир
Боровиков. - СПб. [и др.] : Питер, 2001. - 650 с.
3. Бююль А. SPSS: искусствообработкиинформации : [пер. с нем] / АхимБююль, Петер
Цёфель. – Москва [и др.] : DiaSoft, 2005. – 602 с.
4. Дюк В. А. Обработкаданных на ПК в примерах / Вячеслав Дюк. - СПб. : Питер-пресс,
1997. - 231 с. : ил.; 24 см. - (Советыпрофессионала).
5. Наследов А. Д. SPSS 15 профессиональныйстатистическийанализданных /
А. Наследов. – Москва [и др.] : Питер, 2008. – 412 с.
6. Томашевський О. В. Комп'ютерні технології статистичної обробки даних: навч.
посібник для студ. вищ. навч. закладів, які навчаються за спец. «Якість,
стандартизація та сертифікація» / Томашевський О. В., Рисіков В. П. – Запоріжжя :
Запорізький національний технічний ун-т, 2006. – 174с. – Бібліогр. с. 171–173.
Хід роботи
1. Задача. У студентів першого і другого курсу було досліджено рівень депресивного
розладу за методикою Бека. Зробити порівняльний аналіз використавши методи
описової статистики (мода, медіана, середнє, дисперсія, стандартне відхилення,
асиметрія і ексцес).
1 30 27 23 22 19 19 18 16 15 14 13 12 12 12 10 10 10 10
14
курс
2
курс
24 17 17 15 15 14 14 13 12 12 11 11 8 8 7 7 4 0
Розв’язання.
1. Запустити програму Statisticaта створити файл даних з двома змінними та кількістю
спостережень – 18.
2. Назва першої змінної – «1 курс», другої змінна – «2 курс».
3. Ввести значення спостережень до файлу даних.
4. Провести статистичний аналіз.
- «Описательные статистики» (Головне меню  Анализ  Описательные
статистики и таблицы  Описательные статистики)
- Закладка «Дополнительно»;
- Обрати статистики (мода, медиана, среднее, дисперсия, стандартное отклонение,
асимметрия и эксцесс)
- Натиснути кнопку «Подробные описательные статистики» на екрані.
Медіана та середнє арифметичне значення на першому курсі вище ніж на другому,
робимо висновок, що рівень депресивного розладу на першому курсі перевищує рівень
розладу на другому курсі. Однак мода на другому курсі значно вище ніж на першому. Тобто
переважає більш високе значення рівня депресивного розладу. Дисперсія і стандартне
відхилення на першому курсі вище ніж на другому, що говорить про більш широкий розкид
даних і відповідно можна зробити висновок, що друга вибірка більш однорідна. Маємо
невелику ліво-боку асиметрію (0,9) на першому курсі і від’ємну асиметрію на другому курсі.
2. Задача. В таблиці наведені результати вимірювання рівня засвоєння знань в
контрольній та експериментальній групах до і після експерименту.
Контрольна група
(кількість
правильно
розв’язаних задач
до початку
експерименту)
Експериментальна
група (кількість
правильно
розв’язаних задач
до початку
експерименту)
Контрольна група
(кількість
правильно
розв’язаних задач
після
експерименту)
Експериментальна
група (кількість
правильно
розв’язаних задач
після
експерименту)
1. 15 12 16 15
2. 13 11 12 18
3. 11 15 14 12
4. 18 17 17 20
5. 10 18 11 16
6. 8 6 9 11
7. 20 8 15 13
8. 7 10 8 7
9. 8 16 6 14
10. 12 12 13 17
11. 15 15 17 19
12. 16 14 19 16
13. 13 19 15 12
14. 14 13 11 15
15. 14 19 9 19
15
16. 19 12 19 18
17. 7 11 8 14
18. 8 16 6 13
19. 11 12 9 18
20. 12 8 12 13
21. 15 13 11 13
22. 16 7 17 15
23. 13 15 10 18
24. 5 8 8 9
25. 11 9 8 14
26. 19 20
27. 18 19
28. 9 6
29. 6 14
30. 15 10
Провести аналіз засобами описової статистики в контрольній та експериментальній
групах до та після проведення експерименту. Розрахувати середнє значення, стандартне
відхилення, моду, медіану, стандартне відхилення, ексцес і асиметрію.
Розв’язання.
Розв’язання.
1. Запустити програму Statisticaта створити файл даних з чотирма змінними та кількістю
спостережень – 30.
2. Задати назви змінних.
3. Ввести значення спостережень до файлу даних.
4. Провести статистичний аналіз.
- «Описательные статистики» (Головне меню  Анализ  Описательные
статистики и таблицы  Описательные статистики)
- Закладка «Дополнительно»;
- Обрати статистики (мода, медиана, среднее, дисперсия, стандартное отклонение,
асимметрия и эксцесс)
- Натиснути кнопку «Подробные описательные статистики» на екрані.
3. Задача. Вік студентів одного з факультетів характеризуються наступними даними:
17 18 19 19 20 20 20 21 21 21
17 18 19 19 20 20 20 21 21 21
17 18 19 20 20 20 20 21 21 21
17 18 19 20 20 20 20 21 21 21
18 19 19 20 20 20 20 21 21 21
16
18 19 19 20 20 20 20 21 21 21
18 19 19 20 20 20 21 21 21 21
18 19 19 20 20 20 21 21 21 21
18 19 19 20 20 20 21 21 21 21
18 19 19 20 20 20 21 21 21 21
18 19 19 20 20 20 21 21 21 21
18 19 19 20 20 20 21 21 21 21
21 21 22 22 22 22 22 23 23 23
21 22 22 22 22 22 22 23 23 23
21 22 22 22 22 22 22 23 23 23
21 22 22 22 22 22 22 23 23 23
21 22 22 22 22 22 22 23 23 23
21 22 22 22 22 22 22 23 23 23
23 23 23 23 23
Обчислити: дисперсію, середнє арифметичне, моду, медіану, середнє квадратичне
відхилення, відносні показники варіації віку студентів, побудувати діаграму розмаху.
Одержати таблицю розподілу студентів за віком.
Розв’язання.
1. Запустити програму Statistica та створити файл даних з однією змінною та кількістю
спостережень – 185.
2. Задати назву змінної.
3. Ввести значення спостережень до файлу даних.
4. Провести статистичний аналіз.
- «Описательные статистики» (Головне меню  Анализ  Описательные
статистики и таблицы  Описательные статистики)
- Закладка «Дополнительно»;
- Обрати статистики (дисперсія, середнє арифметичне, мода, медіана, середнє
квадратичне відхилення, відносні показники варіації)
- Натиснути кнопку «Подробные описательные статистики» на екрані.
- «Таблицы частот» (Головне меню  Анализ  Описательные статистики и
таблицы Таблицы частот);
- Закладка «Дополнительно»;
- Встановити значення «Размер шага» в 1;
- Натиснути кнопку «Таблицы частот» на екрані.
17
4. Задача. Дані оцінки студентів групи на іспиті зі статистики по хлопцях і дівчатах.
Стать Оцінка
Дівчина 2
Дівчина 3
Дівчина 3
Дівчина 3
Дівчина 3
Дівчина 3
Дівчина 3
Дівчина 3
Дівчина 4
Дівчина 4
Дівчина 4
Дівчина 4
Дівчина 5
Дівчина 5
Дівчина 5
Дівчина 5
Хлопець 2
18
Хлопець 2
Хлопець 2
Хлопець 2
Хлопець 3
Хлопець 3
Хлопець 4
Хлопець 4
Хлопець 4
Обчислити: групові середні, групові дисперсії, загальну дисперсію. Пояснити
отриманий результат.
Розв’язання.
1. Запустити програму Statisticaта створити файл даних з двома змінними та кількістю
спостережень – 25.
2. Назва першої змінної – «Оцінка», другої змінна – «Стать».
3. Ввести значення спостережень до файлу даних.
4. Провести статистичний аналіз.
- «Группировка и однофакторный ДА» (Головне меню  Анализ  Описательные
статистики и таблицы  Группировка и однофакторный ДА)
- Натиснути кнопку «Переменные» на екрані та обрати залежну змінну «Оцінка» та
групуючу змінну «Стать»;
- Натиснути кнопку «Коды группирующих переменных» на екрані та обрати «Все»
групуючі зміні;
- Натиснути кнопку «ОК» на екрані та перейти до вибору представлення результатів
статистичного аналізу в таблицях та графіках;
- Обрати: кількість спостережень, стандартне відхилення, дисперсія.
- Натиснути кнопки «Подробные двухходовые таблицы» та «Категоризованные
диаграммы размаха» на екрані.
19
Середні значення оцінки для групи «дівчата» становить 3,7 а для групи «хлопці» –
2,9, та є найбільш типовими для даних груп, однак для більш детального аналізу потрібно
використати групові дисперсії. Значення групової дисперсії для груп «дівчата» та «хлопці» –
0,9, що свідчить про однорідність груп.
Лабораторна робота №3
Розрахунок у ППЗ Statistica описових статистик та побудова графіків
ПЛАН
1. Розрахунок інтервалів довіри у ППЗ Statistica
2. Графіки та діаграми у ППЗ Statistica
3. Таблиці частот у ППЗ Statistica
ЛІТЕРАТУРА
1. Білоусова Л. І. Практикум з автоматизованої статистичної обробки даних психолого-
педагогічного експерименту: навч. посіб. / Білоусова Л. І., Колгатін О. Г.,
Колгатіна Л. С. – Х. : Компанія СМІТ, 2007. – 37 с. – Бібліогр. : с. 37.
2. Боровиков В. П. Statistica : Искусствоанализаданных на компьютере / Владимир
Боровиков. - СПб. [и др.] : Питер, 2001. - 650 с.
3. Бююль А. SPSS: искусствообработкиинформации : [пер. с нем] / АхимБююль, Петер
Цёфель. – Москва [и др.] : DiaSoft, 2005. – 602 с.
4. Дюк В. А. Обработкаданных на ПК в примерах / Вячеслав Дюк. - СПб. : Питер-пресс,
1997. - 231 с. : ил.; 24 см. - (Советыпрофессионала).
5. Наследов А. Д. SPSS 15 профессиональныйстатистическийанализданных /
А. Наследов. – Москва [и др.] : Питер, 2008. – 412 с.
6. Томашевський О. В. Комп'ютерні технології статистичної обробки даних: навч.
посібник для студ. вищ. навч. закладів, які навчаються за спец. «Якість,
стандартизація та сертифікація» / Томашевський О. В., Рисіков В. П. – Запоріжжя :
Запорізький національний технічний ун-т, 2006. – 174с. – Бібліогр. с. 171–173.
Хід роботи
1. Задача. У 15 вибірках фіксувалася кількість обривів нитки за певний час.
20
№ 1 2 3 4 5 6 7 8 9 10 11 12 13 14 15
М1 12 5 14 10 7 10 4 8 5 12 8 14 3 5 9
М2 18 21 15 16 10 24 23 18 14 9 14 12 22 18 14
Необхідно дослідити якість пряжі на двох прядильних машинах, а саме: для змінних
М1 і М2 вичислити середні, межі 95%-го довірчого інтервалу, дисперсії, стандартні
відхилення, коефіцієнти асиметрії і ексцесу.
Розв’язання.
1. Запустити програму Statisticaта створити файл даних з двома змінними та кількістю
спостережень – 15.
2. Назва першої змінної – «Машина 1», другої змінна – «Машина 2».
3. Ввести значення спостережень до файлу даних.
4. Провести статистичний аналіз.
- «Описательные статистики» (Головне меню  Анализ  Описательные
статистики и таблицы  Описательные статистики)
- Закладка «Дополнительно»;
- Обрати статистики (среднее, дисперсия, стандартное отклонение, асимметрия,
эксцесс і доверти. интервалы среднего)
- Натиснути кнопку «Подробные описательные статистики» на екрані.
Середнє арифметичне значення у другої машини вище ніж у першої, робимо
висновок, що кількість обривів нитки на другій машині перевищує кількість обривів на
другій. Дисперсія і стандартне відхилення для даних другої машини вище ніж першої , що
говорить про більш широкий розкид даних і відповідно можна зробити висновок, що перша
вибірка більш однорідна.
2. Задача. Для заданої вибірки визначити числові характеристики (вибіркове середнє,
дисперсію, стандартне відхилення, коефіцієнти асиметрії і ексцесу), побудувати графіки
вибіркової функції розподілу і гістограму частот, прийнявши число інтервалів рівним 8; у
припущенні нормальності розподілу даних побудувати 95% довірчий інтервал для
математичного очікування генеральної сукупності.
За результатами механічних випробувань партії сталевих зразків набуті значень межі
міцності (у МПа) : 854, 903, 872, 892, 933, 881, 919, 903, 868, 932, 904, 865, 897, 868, 905, 943,
901, 868, 947, 908, 895, 853, 893, 878, 862, 857, 928, 919, 925, 901, 911, 883, 947, 945, 881, 884,
939, 891, 885, 902, 938, 864, 904, 895, 872, 896, 878, 913, 875, 894, 878, 935, 878, 918, 891, 873.
Розв’язання:
1. Запустити програму Statisticaта створити файл даних з двома змінними та кількістю
спостережень – 15.
2. Ввести значення спостережень до файлу даних.
3. Провести статистичний аналіз.
- «Описательные статистики» (Головне меню  Анализ  Описательные
статистики и таблицы  Описательные статистики)
- Закладка «Дополнительно»;
- Обрати статистики (среднее, дисперсия, стандартное отклонение, асимметрия,
эксцесс)
- Натиснути кнопку «Подробные описательные статистики» на екрані.
21
4. Побудова гістограми очікуваного розподілу
- «Описательные статистики» (Головне меню АнализОписательные статистики
и таблицыОписательные статистики)
- Закладка «Быстрый»;
- Натиснути кнопку «Гистограммы» на екрані.
5. Побудуємо 95% довірчий інтервал для математичного очікування генеральної
сукупності
- «Описательные статистики» (Головне меню АнализОписательные статистики
и таблицыОписательные статистики)
- Закладка «Опции»;
- Вказати опцію «Среднее/Ст.ош./1,96*Ст.ош.» на екрані
- Закладка «Быстрый»;
- Натисніть кнопку «Диаграмма размаха для всех переменных» для всіх змінних
22
3. Задача. Знайти 95% довірчий інтервал для математичного сподівання твердості
сплаву (в умовних одиницях), якщо за результатами вимірів отримані наступні
значення: 14,2; 14,8; 14,0; 14,7; 13,9; 14,8; 15,1; 15,0; 14,5. Об’єм вибірки n = 9.
Розв’язання:
1. Запустити програму Statisticaта створити файл даних з однією зміною та кількістю
спостережень – 9.
2. Назва першої змінної – «Твердість сплаву».
3. Ввести значення спостережень до файлу даних.
4. Провести статистичний аналіз.
- «Описательные статистики» (Головне меню  Анализ  Описательные
статистики и таблицы  Описательные статистики)
- Закладка «Дополнительно»;
- Обрати статистики (среднее, доверит. интервал среднего 95%)
- Натиснути кнопку «Подробные описательные статистики» на екрані.
5. Побудуємо 95% довірчий інтервал для математичного очікування генеральної
сукупності
- «Описательные статистики» (Головне меню АнализОписательные статистики
и таблицыОписательные статистики)
- Закладка «Опции»;
- Вказати опцію «Среднее/Ст.ош./1,96*Ст.ош.» на екрані
- Закладка «Быстрый»;
- Натисніть кнопку «Диаграмма размаха для всех переменных» для всіх змінних
23
Задача 4
Є вибірка об’ємом 50 вимірів, що представляє собою результати виміру деталей (табл.
1.1). Файл даних містить 4 змінних:
VAR1 – довжина головної частини, мм;
VAR2 – діаметр головної частини, мм;
VAR3 – жорсткість матеріалу;
VAR4 – довжина з’єднувача, мм.
Провести початковий статистичний аналіз даних засобами описової статистики.
Таблиця 1.1.
№ Var1 Var2 Var3 Var4
1 36,500 4,3944492 21,28997 3,6375862
2 36,500 4,4308168 21,55342 3,6375862
3 36,500 4,4543473 18,79625 3,7376696
4 36,500 4,4543473 18,63277 3,7376696
5 36,500 4,4773368 20,46600 3,7841896
6 36,500 4,5217886 19,54798 3,9120230
7 36,500 4,5538769 23,19759 3,8286414
8 36,500 4,5951199 18,46390 3,9318256
9 36,500 4,6249728 21,08711 3,9318256
10 37,000 4,6249728 23,30420 3,9318256
11 36,500 4,6051702 20,99859 3,8712010
12 37,000 4,6249728 21,90987 3,8918203
13 37,000 4,5849675 19,97881 3,9318256
14 36,500 4,5951199 18,71831 3,9318256
15 36,500 4,6539604 17,94666 3,9702919
16 37,000 4,6821312 24,00000 4,0430513
17 36,500 4,6728288 25,09000 4,0073332
18 36,500 4,6728288 26,09000 4,0253517
19 36,500 4,7449321 24,76000 4,1431347
20 36,500 4,7621739 21,63000 4,0943446
21 36,500 4,7449321 24,09000 4,1271344
22 36,500 4,7706846 22,08000 4,1431347
23 36,500 4,8202816 18,06414 4,1108739
24 37,438 4,8828019 23,62291 4,2046926
24
25 37,035 4,3040651 21,84124 3,6109179
26 37,209 4,3567088 22,14273 3,5553481
27 37,330 4,3820266 19,21774 3,5553481
28 37,196 4,4308168 19,10141 3,6635616
29 37,129 4,4426513 21,70193 3,6375862
30 37,424 4,3944492 19,31463 3,6109179
31 37,277 4,4188406 20,09160 3,6635616
32 37,156 4,4188406 20,43650 3,6635616
33 37,545 4,4067192 17,92398 3,6375862
34 37,344 4,4886364 20,64914 3,6888795
35 37,330 4,4773368 21,55632 3,6888795
36 37,411 4,4543473 21,60145 3,6888795
37 37,277 4,4998097 18,03038 3,7612001
38 37,451 4,4998097 23,21919 3,7135721
39 37,491 4,5108595 17,59544 3,7135721
40 37,223 4,5325995 21,95600 3,7135721
41 37,223 4,4886364 17,77365 3,6888795
42 37,465 4,5325995 23,09732 3,7841896
43 37,129 4,5538769 20,99201 3,7376696
44 37,236 4,5325995 20,73786 3,8066625
45 37,599 4,5643482 20,07338 3,8066625
46 37,384 4,5538769 17,94666 3,8066625
47 37,277 4,5538769 20,76775 3,8286414
48 37,518 4,6634391 23,26009 3,8501476
49 37,008 4,5325995 17,62109 3,6888795
50 36,887 4,4067192 20,52216 3,7135721
Розв’язання
1. Запустити програму Statistica (ПускВсе программыStatistica 6.0Statistica).
2. Створити новий документ (Головне меню  Файл  Создать). У вікні «Создать
новый документ» вказати кількість змінних – 4 та кількість спостережень – 50, натиснути
кнопку «ОК»
3. Ввести дані спостережень у відповідні змінні.
4. Переходимо до статистичного аналізу з використанням методів описової
статистики. Після вибору процедури «Описательные статистики» (Головне меню  Анализ
 Основные статистики и таблицы  Описательные статистики) на екрані з’явиться
відповідне діалогове вікно (рис. 1.1)
Рис. 1.1. Діалогове вікно «Описательные статистики»
25
5. В цьому вікні за допомогою кнопки «Переменные» необхідно обрати змінні для
аналізу (рис. 1.2.)
Рис. 1.2. Вікно вибору змінних
На першому етапі обробки даних часто виникає необхідність в їх групування.
Групування дозволяє представити первинні дані в компактному вигляді, виявити
закономірності варіювання ознаки, яка вивчається. Кількість класів можна приблизно
намітити, користуючись наступними рекомендацями: при кількості спостережень 25-40 – 5-6
класів, при кількості спостережень 40-60 – 6-8 класів, 60-100 спостережень – 7-10, 100-200
спостережень – 8-12, більше 200 спостережень – 10-15 класів.
6. Для побудови гістограм і таблиць частот використовується вкладка
«Нормальность» вікна «Описательные статистики». Число класів (інтервалів) групування
даних встановлюється за допомогою лічильника перемикача «Число интервалов» вкладки
«Нормальность» вікна «Описательные статистики». Якщо встановити перемикач «Целые
интервалы (категории)», то класи (інтервали) групування представлятимуться цілими
числами.
Результати групування довжини головної частини деталі (змінна Var1) представлені в
табл. 1.2.
Таблиця 1.2.
Частот
а
Кумул
.
Відстотокдопуст
.
Кумул.
%
% всіх
спостереж
.
Кумул.
% від
всіх
24,00000<x<=25,0000
0
0 0 50,00000 0,0000 0,0000
25,00000<x<=26,0000
0
0 0 0,00000 0,0000 0,00000 0,0000
26,00000<x<=27,0000
0
1 1 2,00000 2,0000 2,00000 2,0000
27,00000<x<=28,0000
0
1 2 2,00000 4,0000 2,00000 4,0000
28,00000<x<=29,0000
0
5 7 10,00000 14,0000 10,00000 14,0000
29,00000<x<=30,0000
0
25 32 50,00000 64,0000 50,00000 64,0000
30,00000<x<=31,0000
0
13 45 26,00000 90,0000 26,00000 90,0000
31,00000<x<=32,0000
0
5 50 10,00000
100,000
0
10,00000
100,000
0
Пропущ. 0 50 0,00000 0,00000
100,000
0
26
7. Представимо розподіл змінних на гістограмах. Для цього призначена кнопка
«Гистограммы» на вкладках «Быстрый» та «Нормальность» вікна «Описательные
статистики».
На гістограму при необхідності можна накласти щільність нормального розподілу,
перевірити близькість розподілу до нормального виду за допомогою критеріїв Колмогорова-
Смірнова, Лілієфорса; обчислити статистику Шапіро-Уілкса. Для цього в групі опцій
«Распределение» вкладки «Нормальность» вікна «Описательные статистики» необхідно
встановити прапорець навпроти відповідних статистик. Значення статистик показуються
прямо на гістограмах (рис. 1.3).
Рис. 1.3. Гістограма розподілу довжини головної частини деталі
На гістограмі показана крива щільності нормального розподілу, а також критерій
Колмогорова-Смирнова (d). Статистика Колмогорова-Смирнова виявилася рівною 0,09271.
Чим менше величина цієї статистики, тим ближче розподіл випадкової величини до
нормального. Вірогідність нульової гіпотези (р) більше 0,20.
Про нормальність розподілу можна судити по графіку на нормальному ймовірнісному
папері. Його легко побудувати за допомогою опції «Нормальные вероятностные графики»
вкладки «Диаграммы» вікна «Описательные статистики». Чим ближче розподіл до
нормального виду, тим краще значення розташовуються на прямій лінії (рис. 1.4.). Цей метод
оцінки є фактично суб’єктивним. У сумнівних випадках перевірку на нормальність можна
продовжити з використанням спеціальних статистичних критеріїв (Колмогорова-Смирнова,
Омега-квадрат (w2
)). Проте детальна перевірка гіпотези про нормальність вибірки вимагає
досить значних об’ємів вибірки (на думку деяких авторів не менше 100 спостережень).
27
Рис. 1.4. Графік на нормальному ймовірнісному папері для довжини головної частини
деталі
Щоб обрати статистики, що підлягають обчисленню, найзручніше скористатися
вкладкою «Дополнительно» вікна «Описательные статистики»(рис. 1.5)
Рис. 1.5. Вкладка вибору статистик
На проти статистик, що підлягають обчисленню (рис. 1.5) слід поставити прапорець.
Після натиснення на кнопку OK вікна «Описательные статистики»на екрані з’явиться
таблиця з результатами розрахунків описових статистик (рис.1.6).
Рис. 1.6. Вікно з результатами обрахунку описових статистик
У таблиці 1.2. ці дані представлені після копіювання у редактор Word
N набл. Середнє Геометр. Гармоніч. Медіана Мода Частота Сума
28
середнє середнє моди
Var1 50 29,80604 29,79022 29,77400 29,80022 Множин. 1 1490,302
Var2 50 4,54702 4,54529 4,54358 4,53260 Множин. 4 227,351
Var3 50 20,88980 20,78100 20,67347 20,87988 17,94666 2 1044,490
Var4 50 3,81692 3,81322 3,80959 3,78419 Множин. 5 190,846
Довірчи
й
-95%
Довірчий
95%
Дисперс. Стд.відхил. Станд.
похибка
Асиметрія Стд.
похибкаа
симетрії
Ексцес
Var1 29,53053 30,08155 0,939825 0,969446 0,137100 -1,02287 0,336601 2,75099
3
Var2 4,51085 4,58319 0,016200 0,127281 0,018000 0,57204 0,336601 -
0,02788
Var3 20,27456 21,50504 4,686531 2,164840 0,306155 0,29312 0,336601 -
0,57483
Var4 3,76833 3,86550 0,029228 0,170962 0,024178 0,59875 0,336601 -
0,60140
Стд.
похибкае
ксцесу
Мінімум Максиму
м
Нижня
кварті
ль
Верхня
кварті
ль
Процентіл
ь
Процентіл
ь
Размах Квартіл
ь
Var1 0,661908 26,25875 31,45051 29,3868
1
30,5342
7
28,72883 30,98524 5,19175
7
1,147456
Var2 0,661908 4,30407 4,88280 4,45435 4,62497 4,40058 4,74493 0,57873
7
0,170626
Var3 0,661908 17,59544 26,09000 19,1014
1
22,0800
0
17,94666 23,81145 8,49456
0
2,978592
Var4 0,661908 3,55535 4,20469 3,68888 3,93183 3,63759 4,10261 0,64934
5
0,242946
Лабораторна робота №4
Використання ППЗ Statistica для обчислення кореляції кількісних ознак
ПЛАН
1. Визначення нормальності розподілу даних у ППЗ Statistica
2. Розрахунок кореляції Пірсона у ППЗ Statistica
ЛІТЕРАТУРА
1. Білоусова Л. І. Практикум з автоматизованої статистичної обробки даних психолого-
педагогічного експерименту: навч. посіб. / Білоусова Л. І., Колгатін О. Г.,
Колгатіна Л. С. – Х. : Компанія СМІТ, 2007. – 37 с. – Бібліогр. : с. 37.
2. Боровиков В. П. Statistica : Искусствоанализаданных на компьютере / Владимир
Боровиков. - СПб. [и др.] : Питер, 2001. - 650 с.
3. Бююль А. SPSS: искусствообработкиинформации : [пер. с нем] / АхимБююль, Петер
Цёфель. – Москва [и др.] : DiaSoft, 2005. – 602 с.
4. Дюк В. А. Обработкаданных на ПК в примерах / Вячеслав Дюк. - СПб. : Питер-пресс,
1997. - 231 с. : ил.; 24 см. - (Советыпрофессионала).
5. Наследов А. Д. SPSS 15 профессиональныйстатистическийанализданных /
А. Наследов. – Москва [и др.] : Питер, 2008. – 412 с.
6. Томашевський О. В. Комп'ютерні технології статистичної обробки даних: навч.
посібник для студ. вищ. навч. закладів, які навчаються за спец. «Якість,
стандартизація та сертифікація» / Томашевський О. В., Рисіков В. П. – Запоріжжя :
Запорізький національний технічний ун-т, 2006. – 174с. – Бібліогр. с. 171–173.
29
Хід роботи
1. Задача. При виробничих випробуваннях визначається товщина серцевини свердла Х у
мм і стійкість – час роботи свердла до затуплення У у хвилинах. Провести
кореляційний аналіз зв’язку між цими показниками.
X 0,75 0,79 0,81 0,82 0,84 0,85
Y 14 23 42 39 46 40
X 0,86 0,89 0,90 0,94 0,95 0,98
Y 42 45 49 51 85 78
Розв’язання.
5. Запустити програму Statisticaта створити файл даних з двома змінними та кількістю
спостережень – 12.
6. Назва першої змінної – «Х», другої змінна – «Y».
7. Ввести значення спостережень до файлу даних.
8. Провести статистичний аналіз.
- «Парные и частныекорреляции» (Головне меню  Анализ  Описательные
статистики и таблицы  Парные и частныекорреляции)
- Закладка «Опции»;
- Обрати «Подробнаятаблицарезультатов»;
- Натиснути кнопку «Квадратная матрица» та обрати змінні Xта Y у перший список;
- Закладка «Парные»; «Матрица парных корреляций»
у
30
2. Задача. При польових випробуваннях підземних сталевих трубопроводів одержані
значення деформації трубопроводу X (мм) залежно від жорсткості Y (кгc/см) основи
траншеї, в яку укладається трубопровід:
Х 1,08 0,94 0,96 0,73 0,64 0,68 0,63 0,60 0,67 0,52
У 5,7 7,2 10,1 11,2 13,4 13,7 13,9 14,2 16,0 18,2
Визначити коефіцієнт кореляції і перевірити його значущість на рівні значущості α =
0,05 при альтернативній гіпотезі H1 : ρ < 0
Розв’язання:
1. Запустити програму Statisticaта створити файл даних з двома змінними та кількістю
спостережень – 10.
2. Назва першої змінної – «Х», другої змінна – «Y».
3. Ввести значення спостережень до файлу даних.
4. Провести статистичний аналіз.
- «Парные и частныекорреляции» (Головне меню  Анализ  Описательные
статистики и таблицы  Парные и частныекорреляции)
- Закладка «Опции»;
- Обрати «Подробнаятаблицарезультатов»;
- Натиснути кнопку «Квадратная матрица» та обрати змінні Xта Y у перший список;
- Закладка «Парные»; «Матрица парных корреляций»
Задача 5.
Вивчався вплив повзучості бетону (Х1), витрати цементу на 1 м3 (Х2) т а вологість
середовища (Х3):
31
Таблиця 1.3
Х1 Х2 Х3
27 340 80
64 300 75
123 250 68
147 180 63
189 140 59
214 110 52
327 70 48
412 60 40
Побудувати кореляційну матрицю та визначити вибіркові частинні коефіцієнти
кореляції. Перевірити значимість частинних коефіцієнтів кореляції. Обчислити коефіцієнт
детермінації і перевірити його значимість. Прийняти α = 0,1.
Розв’язання
1. Запустити програму Statistica (ПускВсе программыStatistica
6.0Statistica).
2. Створити новий документ (Головне меню  Файл  Создать). У вікні
«Создать новый документ» вказати кількість змінних – 3 та кількість спостережень – 8,
натиснути кнопку «ОК»
3. Ввести дані спостережень у відповідні змінні.
4. Переходимо до кореляційного аналізу, встановлення тісноти лінійного зв’язку
повзучості бетону з витратою цементу та вологістю середовища. Фрагмент вікна файлу
даних представлений на рис. 1.7.
Рис. 1.7. Вікно файлу даних
Після вибору процедури «Парные и частные корреляции» (Головне меню
 Анализ  Основные статистики и таблицы  Парные и частные
корреляции) на екрані з’явиться відповідне діалогове вікно (рис. 1.8)
32
Рис. 1.8. Діалогове вікно «Парные и частные корреляции»
Встановимо тісноту зв’язку повзучості бетону з витратою цементу та вологістю
середовища.
В стартовому вікні цієї процедури «Парные и частные корреляции» для
розрахунку кореляції Пірсона використовуємо кнопку «Квадратная матрица»
У списку змінних обираються змінні, між якими будуть розраховуватися парні
коефіцієнти кореляції Пірсона. Після натиснення кнопки «ОК» або «Матрица парных
корреляций»на екрані з’явиться кореляційна матриця (рис. 1.9.)
Рис. 1.9. Кореляційна матриця
Коефіцієнт кореляції – це показник, що оцінює тісноту лінійного зв’язку між
ознаками. Він може набувати значень –1 до +1. Знак «–» означає, що зв’язок зворотний, "+" –
прямий. Чим ближче коефіцієнт до | 1 |, тим тісніше лінійний зв’язок. При величині
коефіцієнта кореляції менше 0,3 зв’язок оцінюється як слабкий, від 0,31 до 0,5 – помірний,
від 0,51 до 0,7 - значний, від 0,71 до 0,9 - щільний, 0,91 і вище – дуже щільний. Для
практичних цілей рекомендується використовувати значні, щільні і дуже щільні зв’язки.
Процедура «Парные и частные корреляции» відразу ж дає можливість перевірити
достовірність розрахованих коефіцієнтів кореляції. Значення коефіцієнта кореляції може
бути високим, але не достовірним, випадковим. Щоб побачити вірогідність нульової гіпотези
(p), що свідчить про те що коефіцієнт кореляції дорівнює 0, треба встановити перемикач
«Отображатьр-уровень и N» в закладці «Опции» вікна «Парные и
частныекорреляции». Але навіть якщо цього не робити і залишити перемикач в першому
положенні «Выделять значимые корреляции», статистично значущі на 5% рівні
коефіцієнти кореляції будуть виділені в кореляційній матриці на екрані монітора кольором.
Третє положення перемикача опції «Отображать таблицу результатов» дозволяє
проглянути результати кореляційного аналізу в деталях (рис. 1.10).
33
Рис. 1.10. Детальний перегляд результатів кореляційного аналізу
Кнопка «Матричнаядиаграммарассеивания» вікна «Парные и
частныекорреляции» дозволяє побудувати матричний графік з гістограмами по кожній
змінній, діаграми розкиду між кожною парою змінних і відповідними лініями регресії (рис.
1.11), все це зручними засобом візуальної оціни змінних і зв’язків між ними.
Рис. 1.11. Матричні діаграми розсіювання
Лабораторна робота №5
Використання Excel для проведення дисперсійного аналізу
ПЛАН
1. Простий аналіз дисперсій. F-критерій Фішера.
2. Використання критерію Фішера для перевірки простої лінійної регресії на
адекватність.
34
3. Основні припущення про розподіл параметрів 0b та 1b . t-тест Ст’юдента для
перевірки параметрів 0b та 1b на значимість.
4. Знаходження інтервалів довіри для параметрів 0 та 1 лінійної регресії.
5. Прогнозування за моделлю простої лінійної регресії.
ЛІТЕРАТУРА
7. Білоусова Л. І. Практикум з автоматизованої статистичної обробки даних психолого-
педагогічного експерименту: навч. посіб. / Білоусова Л. І., Колгатін О. Г.,
Колгатіна Л. С. – Х. : Компанія СМІТ, 2007. – 37 с. – Бібліогр. : с. 37.
8. Боровиков В. П. Statistica : Искусствоанализаданных на компьютере / Владимир
Боровиков. - СПб. [и др.] : Питер, 2001. - 650 с.
9. Бююль А. SPSS: искусствообработкиинформации : [пер. с нем] / АхимБююль, Петер
Цёфель. – Москва [и др.] : DiaSoft, 2005. – 602 с.
10. Дюк В. А. Обработкаданных на ПК в примерах / Вячеслав Дюк. - СПб. : Питер-пресс,
1997. - 231 с. : ил.; 24 см. - (Советыпрофессионала).
11. Наследов А. Д. SPSS 15 профессиональныйстатистическийанализданных /
А. Наследов. – Москва [и др.] : Питер, 2008. – 412 с.
12. Томашевський О. В. Комп'ютерні технології статистичної обробки даних: навч.
посібник для студ. вищ. навч. закладів, які навчаються за спец. «Якість,
стандартизація та сертифікація» / Томашевський О. В., Рисіков В. П. – Запоріжжя :
Запорізький національний технічний ун-т, 2006. – 174с. – Бібліогр. с. 171–173.
Хід роботи
На основі статистичних даних показника Y і фактора Хзнайти оцінки параметрів лінії
регресії xbby 10  .
Використовуючи критерій Фішера, з надійністюР=0,95 оцінити адекватність
прийнятої економічної моделі статистичним даним.
Використовуючи t-статистику, з надійністю Р=0,95 оцінити значущість параметрів
регресії.
Якщо модель адекватна статистичним даним, то знайти:
— з надійністю Р=0,95 надійні зони параметрів регресії.
— з надійністю Р=0,95 надійні зони базисних даних;
— прогноз показника та його надійні інтервали;
— коефіцієнт еластичності для базисних даних і прогнозу.
Побудувати графіки статистичних даних, лінії регресії і її довірчої зони,
коефіцієнта еластичності.
На основі одержаної економетричної моделі зробити висновки.
Вводиться гіпотеза, що між фактором Х та показником У існує лінійна стохастична
залежність xbby 10  .
Оцінки параметрів b0 і b1 парної регресії обчислюютьсяза допомогою стандартних
функцій пакету Excel.
Для роботи використовується пакетExcel.
Опишемо порядок виконання роботи.
Крок 1. Блок вихідних даних формується в перших двох стовпцях (АЗ:В15)(табл. 1).
За блоком вихідних даних іде блок проміжних розрахунків(C3:I15). Прогнозні
значення обчислюються у 16-му рядку.
Таблиця 1. Формули для обчислень
A B C
1
2 X Y Yp
3 2 4,33 =ТЕНДЕНЦИЯ(B3:B15;A3:A15;A3:A16)
4 2,5 9,497 =ТЕНДЕНЦИЯ(B3:B15;A3:A15;A3:A16)
35
5 3 9,123 =ТЕНДЕНЦИЯ(B3:B15;A3:A15;A3:A16)
6 3,5 13,012 =ТЕНДЕНЦИЯ(B3:B15;A3:A15;A3:A16)
7 4 13,124 =ТЕНДЕНЦИЯ(B3:B15;A3:A15;A3:A16)
8 4,5 16,051 =ТЕНДЕНЦИЯ(B3:B15;A3:A15;A3:A16)
9 5 18,431 =ТЕНДЕНЦИЯ(B3:B15;A3:A15;A3:A16)
10 5,5 18,521 =ТЕНДЕНЦИЯ(B3:B15;A3:A15;A3:A16)
11 6 20,177 =ТЕНДЕНЦИЯ(B3:B15;A3:A15;A3:A16)
12 6,5 24,145 =ТЕНДЕНЦИЯ(B3:B15;A3:A15;A3:A16)
13 7 25,252 =ТЕНДЕНЦИЯ(B3:B15;A3:A15;A3:A16)
14 7,5 26,741 =ТЕНДЕНЦИЯ(B3:B15;A3:A15;A3:A16)
15 8 29,949 =ТЕНДЕНЦИЯ(B3:B15;A3:A15;A3:A16)
16 8,5 =ТЕНДЕНЦИЯ(B3:B15;A3:A15;A3:A16)
17 =СУММ(A3:A15) =СУММ(B3:B15) =СУММ(C3:C15)
18 n= =СУММ(A3:A15)/СРЗНАЧ(A3:A15) Xc=
19 b1= =НАКЛОН(B3:B15;A3:A15) Yc=
20 b0= =ОТРЕЗОК(B3:B15;A3:A15) se=
21 sb1= =D20/F17
22 sb0= =D20*СУММКВ(A3:A15)/(B18*F17)
23 tb1= =B19/КОРЕНЬ(B21)
24 tb0= =B20/КОРЕНЬ(B22)
25 tkr= =СТЬЮДРАСПОБР(0,05;B18-2)
Крок 2. Середні значення X, Y обчислюються в коміркахD18, D19 з використанням
вбудованої статистичної функціїСРЗНАЧ (блок).
Крок 3. Длявизначення сум стовпців використовуємокнопку автосумування на панелі
інструментів  або вбудовану функцію СУММ(БЛОК). Після встановлення курсору на
коміркуA17 натискаємо клавішіShift-FЗ або кнопку xf на панелі інструментів. Відкривається
вікноМастерФункций процесораExcel. Знаходимо функціюСУММ, відмічаємо блокАЗ:А15
і натискуємоEnter абоОк. Після натиснення клавіші Enterбудемо мати суму показника Х у
комірціA17. Введена формула копіюється в необхідні комірки17-го рядка.
Крок 4. До комірокВ19, В20 вводяться формули для визначення оцінок параметрів
відповідно b1 і b0. У Excel маються стандартні функції для обчислення параметрів лінійної
регресії НАКЛОН(блокY,блокX) - для обчислення b1, ОТРЕЗОК(блокY,блокX) - для
обчислення b0.
Крок 5. Для обчислення значення iyˆ , (і = 1,13) використаємо стандартну функцію
ТЕНДЕНЦИЯ(блокY,блокX,блокX1,конст). Виділимо за допомогою миші комірки C3:C16.
ВизиваємоМастерФункций процесораExcel. Знаходимо функціюу розділі статистичних
функцій , відмічаємо блоки вихідних даних і натискуємоEnter абоОк. У комірці G17 буде
знаходитися сума блоку GЗ:G15. Оскільки математичне очікування відхилення фактичних
даних від розрахункових дорівнює нулю, то при правильному виконанні розрахунків
значення комірок B17 та G17співпадатимуть.
Крок 6. Для знаходження (Y-Yc)^2 у комірку D3 вводиться формула =(BЗ-$D$19)^2.
Далі копіюємо одержану формулу в інші комірки стовпця D.
Для копіювання формули необхідно: відмітити мишкою комірку D3, натиснути праву
клавішу мишки та вибрати з меню командуКопировать. Потім відмічаємо блок копіювання
(D4:D15) ставимо покажчик миші на комірку D4, натискуємо з меню командуВставить.
Можна скопіювати іншим способом: ставимо курсор на комірку D3, а покажчик миші
наводимо на маленький квадратик в правому нижньому куті комірки. Після перетворення
покажчика миші в хрестик натискуємо ліву клавішу миші і відмічаємо блок копіювання до
D15включно. Формули копіюються в помічений блок.
Крок 7. Для знаходження (Y-Yp)^2 у комірку E3 вводиться формула =(B3-С3)^2.
Далі копіюємо одержану формулу в інші комірки стовпця E.
36
Для знаходження (Х-Хс)^2 у комірку F3 вводиться формула =(A3-$D$18)^2. Далі
копіюємо одержану формулу в інші комірки стовпця F.
Крок 8. Cуми значень      222
ˆ,, iiii yyyyxx  обчислюємо у блоку D17:F17.
Продовження таблиці1.
D E F
1
2 (Y-Yc)^2 (Y-Yp)^2 (X-Xc)^2
3 =(B3-$D$19)^2 =(B3-C3)^2 =(A3-$D$18)^2
4 =(B4-$D$19)^2 =(B4-C4)^2 =(A4-$D$18)^2
5 =(B5-$D$19)^2 =(B5-C5)^2 =(A5-$D$18)^2
6 =(B6-$D$19)^2 =(B6-C6)^2 =(A6-$D$18)^2
7 =(B7-$D$19)^2 =(B7-C7)^2 =(A7-$D$18)^2
8 =(B8-$D$19)^2 =(B8-C8)^2 =(A8-$D$18)^2
9 =(B9-$D$19)^2 =(B9-C9)^2 =(A9-$D$18)^2
10 =(B10-$D$19)^2 =(B10-C10)^2 =(A10-$D$18)^2
11 =(B11-$D$19)^2 =(B11-C11)^2 =(A11-$D$18)^2
12 =(B12-$D$19)^2 =(B12-C12)^2 =(A12-$D$18)^2
13 =(B13-$D$19)^2 =(B13-C13)^2 =(A13-$D$18)^2
14 =(B14-$D$19)^2 =(B14-C14)^2 =(A14-$D$18)^2
15 =(B15-$D$19)^2 =(B15-C15)^2 =(A15-$D$18)^2
16 =(A16-$D$18)^2
17 =СУММ(D3:D15) =СУММ(E3:E15) =СУММ(F3:F15)
18 =СРЗНАЧ(A3:A15) MSR= =(D17-E17)/1
19 =СРЗНАЧ(B3:B15) MSE= =E17/(B18-2)
20 =E17/(B18-2) F= =F18/F19
21 Fkr= =FРАСПОБР(0,05;1;B18-2)
22 b1min 95% b1max 95%
23 =B19-B25*КОРЕНЬ(B21) =B19+B25*КОРЕНЬ(B21)
24 b0min 95% b0max 95%
25 =B20-B25*КОРЕНЬ(B22) =B20+B25*КОРЕНЬ(B22)
Крок 9.Для оцінки адекватності прийнятої економетричної моделі
експериментальним даним використовуємо F-критерій Фішера. Для визначення
розрахункового значення критерію Фішера, створюємо блок проміжних обчислень F18:F21.
Обчислимо в комірці F18 значення
    1/)ˆ(1/)(1/
22
  iii yyyySSESSTSSRMSR
і введемо в неї формулу =(D17-E17)/1.
Обчислимо в комірці F19 значення   )2/()ˆ)2/(
2
  nyynSSEMSE ii і
введемо в неї формулу =E17/(B18-2).
Обчислимо в комірці F20 значення MSEMSRF / і введемо в неї формулу
=F18/F19.
Обчислимо в комірці F21 значення )2,1( nFкр і рівнем довіри 0,95% за допомогою
стандартної функції FРАСПОБР(,n1,n2), де -рівень значимості =0,05%.
Значення F-критерію для ймовірностіР = 0,95 і числа ступенів вільності n1= 1, n2=n-
2=11 дорівнює 4,84.
Крок 10. Якщо розглянути всю генеральну сукупність, то правильної для неї буде
модель   xy 10 , де 10 ,  дійсні значення параметрів, а  неспостерігаєма
помилка.
Математичні сподівання параметрів вибіркової регресії дорівнюють значенням
параметрів узагальненої моделі 10 ,  .
Параметри 10 ,bb знайдені по методу МНК є нормально розподіленими випадковими
величинами з числовими характеристиками:
37



 2
2
22
000
)(
ˆˆ,)(
xxn
x
bM
i
i
b  - математичне сподівання і дисперсія b0;
 
 2
22
111
)(
1
ˆˆ,)(
xx
bM
i
b  -математичне сподівання і дисперсія b1;
MSE
n
SSE
n
ei






22
ˆ
2
2
 -оцінка дисперсії випадкової величини помилки;
Для перевірки параметрів на значимість користуються критерієм Ст’юдента.
Для цього розраховується t-статистика 2
*
ˆbi
iib
t


 , bi-оцінюваний параметр, *
i-
гіпотетичне значення параметра i, 2
ˆbi -оцінка дисперсії параметра bi.
У економетриці розповсюдженою нуль гіпотезою є гіпотеза 0:0 iH  , а
альтернативною- 0:1 iH  . У цьому випадку t-статистика має вид:
2
ˆbi
ib
t


Її значення порівнюють з табличним крt , котре допомагає знайти критичну зону з n-2
ступенями вільності і рівнем значимості (ймовірністю помилки) . Якщо обчислене значення
потрапило в критичну зону (t  (-tкр, tкр), то нуль-гіпотеза відкидається – параметр
значимий. У противному випадку нуль-гіпотеза приймається – параметр незначущий.
Надійний інтервал для параметрів 10 ,  з рівнем значимості  обчислюється по
формулі biii tb   ˆ2/ , де t/2 - обчислюється по таблиці розподілу Ст’юдента з рівнем
значимості /2 і
n-2 ступенями вільності.
Обчислимо у комірці D20 значення MSE
n
SSE
n
ei






22
ˆ
2
2
 за формулою
=E17/(B18-2).
Обчислимо у комірках B21 значення
 
 2
22
1
)(
1
ˆˆ
xxi
b  за формулами =D20/F17,
та B22 значення



 2
2
22
0
)(
ˆˆ
xxn
x
i
i
b  за формулою =D20*СУММКВ(A3:A15)/(B18*F17).
У комірках В23:В24 обчислимо t-статистики для параметрів
2
ˆbi
ib
t

 за формулами
=B19/КОРЕНЬ(B21) і =B20/КОРЕНЬ(B22).
У комірці В25 обчислимо  2,2/ nкрt  за допомогою стандартної функції
СТЬЮДРАСПОБР(,n-2), де -рівень значимості =0,05%.
Інтервали довіри для параметрів знайдемо у блоці D22:E25.
Крок 11. Для визначення оціінки довірчої зони базисних даних та оцінки довірчого
інтервалу прогнозу створимо блок G3:I16.
Для прогнозу користаються довірчим інтервалом для крапкового значення y з
довірчою імовірністю (1-):
 
  

 
 2
2
1
2/1101 /11ˆ
xx
xx
ntxbby
i
n
nn  
38
Довірчий інтервал для математичного сподівання
 
  

 
 2
2
1
2/1101 /1ˆ
xx
xx
ntxbby
i
n
nn  
У блоці комірок G3:G15 обчислюємо
 
  

 2
2
2/ /1ˆ
xx
xx
nty
i
i
i   , у комірці D16
значення
 
  

 
 2
2
1
2/1 /11ˆ
xx
xx
nty
i
n
n   .
Продовження таблиці1
G H I J
1
2 Dy Ymin Ymax Kel
3 =$B$25*КОРЕНЬ($D$20*(1/$B$18+F3/$F$17)) =C3-G3 =C3+G3 =$B$19*A3/C3
4 =$B$25*КОРЕНЬ($D$20*(1/$B$18+F4/$F$17)) =C4-G4 =C4+G4 =$B$19*A4/C4
5 =$B$25*КОРЕНЬ($D$20*(1/$B$18+F5/$F$17)) =C5-G5 =C5+G5 =$B$19*A5/C5
6 =$B$25*КОРЕНЬ($D$20*(1/$B$18+F6/$F$17)) =C6-G6 =C6+G6 =$B$19*A6/C6
7 =$B$25*КОРЕНЬ($D$20*(1/$B$18+F7/$F$17)) =C7-G7 =C7+G7 =$B$19*A7/C7
8 =$B$25*КОРЕНЬ($D$20*(1/$B$18+F8/$F$17)) =C8-G8 =C8+G8 =$B$19*A8/C8
9 =$B$25*КОРЕНЬ($D$20*(1/$B$18+F9/$F$17)) =C9-G9 =C9+G9 =$B$19*A9/C9
10 =$B$25*КОРЕНЬ($D$20*(1/$B$18+F10/$F$17)) =C10-G10 =C10+G10 =$B$19*A10/C10
11 =$B$25*КОРЕНЬ($D$20*(1/$B$18+F11/$F$17)) =C11-G11 =C11+G11 =$B$19*A11/C11
12 =$B$25*КОРЕНЬ($D$20*(1/$B$18+F12/$F$17)) =C12-G12 =C12+G12 =$B$19*A12/C12
13 =$B$25*КОРЕНЬ($D$20*(1/$B$18+F13/$F$17)) =C13-G13 =C13+G13 =$B$19*A13/C13
14 =$B$25*КОРЕНЬ($D$20*(1/$B$18+F14/$F$17)) =C14-G14 =C14+G14 =$B$19*A14/C14
15 =$B$25*КОРЕНЬ($D$20*(1/$B$18+F15/$F$17)) =C15-G15 =C15+G15 =$B$19*A15/C15
16 =$B$25*КОРЕНЬ($D$20*(1+1/$B$18+F16/$F$17)) =C16-G16 =C16+G16 =$B$19*A16/C16
17
18
19
20
21
22
23
24
25
У комірках H3:I16 обчислюємо нижню та верхню границю довірчої зони для
базисних даних та прогнозу.
Крок 12. У комірках J3:J16 обчислюємо коефіцієнт еластичності для базисних
значень та прогнозу за формулою
Y
X
bKel
ˆ
*1 . Вводимо у комірку J3 формулу
=$B$19*A3/C3 та копіюємо її у комірки J4:J16.
13. Для наочного уявлення одержаних результатів будуємо графіки: фактичних
даних(У), лінії регресії для базисних даних та прогнозу (Ур),довірчу зону для базисних даних
і прогнозу (Ymin,Ymax), коефіцієнта еластичності (Kel). Порядок побудови графіків описано
в лабораторній роботі №1.
Отримуємо діаграму:
39
Таблиця 2. Оцінка інтервалів довіри для параметрів регресії,
базисних значень та прогнозу.
X Y Yp (Y-Yc)^2 (Y-Yp)^2 (X-Xc)^2 Dy Ymin Ymax Kel
2,00 4,330 5,881 175,182 2,406 9,000 1,230 4,651 7,111 1,324
2,50 9,497 7,829 65,103 2,783 6,250 1,086 6,743 8,915 1,244
3,00 9,123 9,776 71,278 0,426 4,000 0,953 8,823 10,729 1,195
3,50 13,012 11,723 20,735 1,660 2,250 0,834 10,889 12,558 1,163
4,00 13,124 13,671 19,728 0,299 1,000 0,738 12,933 14,409 1,140
4,50 16,051 15,618 2,294 0,187 0,250 0,674 14,945 16,292 1,122
5,00 18,431 17,566 0,749 0,749 0,000 0,651 16,915 18,216 1,109
5,50 18,521 19,513 0,913 0,984 0,250 0,674 18,839 20,187 1,098
6,00 20,177 21,460 6,819 1,647 1,000 0,738 20,722 22,198 1,089
6,50 24,145 23,408 43,288 0,543 2,250 0,834 22,574 24,242 1,082
7,00 25,252 25,355 59,081 0,011 4,000 0,953 24,403 26,308 1,075
7,50 26,741 27,303 84,188 0,315 6,250 1,086 26,216 28,389 1,070
8,00 29,949 29,250 153,348 0,489 9,000 1,230 28,020 30,480 1,065
8,50 31,197 12,250 2,722 28,475 33,920 1,061
65,00 228,353 228,353 702,705 12,501 45,500
n= 13Xc= 5,000MSR= 690,204
b1= 3,895Yc= 17,566MSE= 1,136
b0= -1,908se= 1,136F= 607,321
sb1= 0,025 Fkr= 4,844
sb0= 0,712 b1min 95% b1max 95%
tb1= 24,644 3,547 4,243
tb0= -2,262 b0min 95% b0max 95%
tkr= 2,201 -3,765 -0,051
ВИСНОВКИ
40
1. Оскільки F>Fкр то з надійністю P=0,95економетричну модель Y =3,89*Х-1,91
можна вважати адекватною експериментальним даним і на підставі прийнятої моделі можна
проводити економічний аналіз.
2. Для значення фактора Хр=8,5 середнє значення прогнозу показника Yp = 31,20 з
надійністю р = 0,95 буде знаходитися у межах від 28,475 до 33,92.
3. З надійністю р=0,95 нахил та перетин є значимими, оскільки значення t-статистик
не потрапяють у інтервал (-2,20;2,20). Інтервали довіри для параметру 1 (3,547;4,243), для
параметру 0 (-3,765;-0,051).
4. Для прогнозного значення середнє значення коефіцієнта еластичності дорівнює
1,06. Це означає, що при зміні фактора на 1%, показник зміниться на 1,06%.
2. Значення коефіцієнта еластичності під час зростання фактора від 1 до 13 зменшується
від 1,328 до 1,061.
Варіанти вхідних даних для лабораторної роботи №2
Для формування варіанта вибирається один стовпчик з таблиці 3 і один стовпчик з
таблиці 4.
Таблиця 3
№ X1 X2 X3 X4 X5 X6 X7 X8 X9 X10 X11 X12
1 2,06 2,53 2,17 3,65 3,22 2,16 4,57 2,25 6,15 1,86 2,07 3,11
2 2,58 3,54 2,90 3,82 3,87 2,65 5,42 2,98 5,66 1,91 3,22 3,15
3 3,14 3,84 3,29 3,76 4,95 3,49 5,29 2,15 7,50 2,14 3,04 3,85
4 3,54 3,84 4,13 5,24 5,10 3,16 6,33 2,71 6,90 3,39 3,42 4,84
5 4,18 4,22 5,25 5,03 5,98 3,85 7,63 3,70 8,31 3,95 5,23 4,62
6 4,78 4,81 4,92 5,52 7,28 4,58 7,53 4,59 8,25 4,30 5,70 4,87
7 5,11 6,53 5,79 5,62 6,90 5,33 7,73 4,77 9,39 5,10 5,53 6,09
8 5,67 5,82 5,87 6,98 7,54 5,89 8,44 5,34 9,73 5,47 6,41 7,06
9 6,02 6,43 6,99 6,91 7,91 6,20 9,49 5,45 9,33 5,97 6,68 6,23
10 6,65 7,73 7,04 7,95 8,40 6,39 9,18 6,00 10,50 6,16 7,46 6,83
11 7,05 8,19 8,14 7,24 8,14 6,95 10,14 6,25 11,10 6,46 6,83 8,01
12 7,52 7,65 8,06 9,27 8,76 7,25 9,94 6,79 11,51 6,07 6,34 8,26
13 8,03 9,31 8,57 8,46 9,67 7,80 10,92 8,24 12,42 6,71 8,19 9,37
14 8,56 9,26 9,45 10,3 10,28 8,47 11,89 8,51 12,40 7,16 7,19 9,02
15 9,03 9,86 9,06 10,72 10,59 9,22 11,14 9,15 13,14 8,81 9,72 9,76
Xp 9,52 9,69 10,30 10,05 11,58 9,32 11,73 9,78 12,56 8,07 8,71 10,28
Таблиця 4
№ Y1 Y2 Y3 Y4 Y5 Y6 Y7 Y8 Y9 Y10 Y11 Y12
1 7,24 10,89 16,21 12,11 15,21 16,62 10,22 12,50 19,66 14,87 22,68 10,65
2 8,02 11,92 17,75 12,30 15,42 17,63 10,58 13,88 20,53 15,78 23,89 11,87
3 9,28 12,45 18,39 13,82 16,44 19,22 12,01 15,16 21,31 16,79 24,32 12,96
4 10,12 13,27 18,87 14,84 17,93 19,36 12,84 16,06 22,59 18,03 25,97 13,40
5 11,12 14,12 19,60 15,86 18,52 20,52 13,28 16,66 23,27 18,29 26,23 15,12
6 12,19 15,23 21,21 16,41 19,80 21,95 15,13 17,65 24,44 19,23 27,60 16,03
7 13,01 16,07 21,84 17,80 20,76 22,45 15,84 18,46 25,85 20,32 28,13 16,29
8 14,12 17,40 23,00 18,61 21,30 23,56 17,08 19,54 26,74 21,18 29,84 18,07
9 15,21 18,68 24,44 19,57 22,25 24,90 17,99 20,58 27,36 22,47 30,31 18,40
10 16,29 19,46 25,36 21,26 24,14 25,53 18,32 21,77 28,37 23,47 31,52 19,53
11 17,01 20,52 25,54 21,08 24,17 26,11 19,49 22,15 29,22 24,07 32,27 20,48
12 18,03 21,32 27,14 22,99 25,66 28,02 20,59 23,80 30,50 25,57 33,77 21,72
13 19,19 22,58 27,95 23,43 26,50 28,37 21,35 24,79 31,21 27,07 34,66 23,17
14 20,21 23,73 28,99 24,63 27,46 29,46 23,20 25,57 2,56 27,62 35,93 23,57
15 21,22 25,02 30,80 25,41 29,02 30,42 24,21 27,18 33,66 28,42 36,97 24,41
41
Контрольні питання:
І. Які формули використовуються для розрахунку параметрів регресії?
ІІ. Сформулюйте критерій перевірки моделі на адекватність (критерій Фішера).
ІІІ. Сформулюйте критерій перевірки параметрів на значимість (критерій Ст’юдента).
ІV. Опишіть порядок побудови інтервалів довіри для параметрів регресії та прогнозу,
використувані формули.
V. Які стандартні функції Excel використовуються для розрахунків вищеназваних
величин?
VІ. Чи вірні ці ствердження (так/ні; пояснити чому)
1. При перевірці значимості нахилу в регресії нульова гіпотеза завжди: 1 =1.
2. Від'ємний і значимий нахил означає, що є непрямий зв'язок між незалежною і
залежною змінними.
3. Якщо рівень значимості  = 0.05, двосторонній тест значимості 1 матиме менше
абсолютне критичне значення, ніж односторонній тест.
4. Прогнози є одним із найважливіших застосувань регресійного аналізу.
5. Прогнозне значення у завжди дорівнюватиме дійсному значенню у.
6. Значення t-статистики не може бути від'ємним.
7. У простій лінійній регресії великий R2
означає значимий нахил.
8. Проблема помилок у змінних виникає через неточності незалежної змінної.
9. Від'ємна t-статистика для нахилу означає, що незалежна змінна не є значимою.
10. t-статистику можна використати, щоб перевірити значимість коефіцієнта кореляції
між двома випадковими змінними.
Лабораторна робота №6
Використання Excel для проведення регресійного аналізу
ПЛАН
1. Загальне рівняння лінійної регресії.
2. Оцінка параметрів лінійної регресії за допомогою МНК.
3. Властивості простої вибіркової лінійної регресії.
4. Коефіцієнти кореляції та детермінації та зв’язок між ними і нахилом регресії.
ЛІТЕРАТУРА
13. Білоусова Л. І. Практикум з автоматизованої статистичної обробки даних психолого-
педагогічного експерименту: навч. посіб. / Білоусова Л. І., Колгатін О. Г.,
Колгатіна Л. С. – Х. : Компанія СМІТ, 2007. – 37 с. – Бібліогр. : с. 37.
14. Боровиков В. П. Statistica : Искусствоанализаданных на компьютере / Владимир
Боровиков. - СПб. [и др.] : Питер, 2001. - 650 с.
15. Бююль А. SPSS: искусствообработкиинформации : [пер. с нем] / АхимБююль, Петер
Цёфель. – Москва [и др.] : DiaSoft, 2005. – 602 с.
16. Дюк В. А. Обработкаданных на ПК в примерах / Вячеслав Дюк. - СПб. : Питер-пресс,
1997. - 231 с. : ил.; 24 см. - (Советыпрофессионала).
17. Наследов А. Д. SPSS 15 профессиональныйстатистическийанализданных /
А. Наследов. – Москва [и др.] : Питер, 2008. – 412 с.
18. Томашевський О. В. Комп'ютерні технології статистичної обробки даних: навч.
посібник для студ. вищ. навч. закладів, які навчаються за спец. «Якість,
стандартизація та сертифікація» / Томашевський О. В., Рисіков В. П. – Запоріжжя :
Запорізький національний технічний ун-т, 2006. – 174с. – Бібліогр. с. 171–173.
Хід роботи
На основі статистичних даних показника Y і фактора Х(блокА2:В16 ) знайти оцінки:
— коефіцієнта кореляції та детермінації;
42
— параметрів лінії регресії xbby 10  .
Використовуючи коефіцієнт детермінації, оцінити адекватність прийнятої економічної
моделі статистичним даним.
Якщо модель адекватна статистичним даним, то знайти точковий прогноз показника.
Побудувати графіки статистичних даних, лінії регресії.
На основі одержаної економетричної моделі зробити висновки.
Вводиться гіпотеза, що між фактором Х та показником У існує лінійна стохастична
залежність xbby 10  .
Оцінки параметрів b0 і b1 парної регресії обчислюютьсяза формулами:
  
 



 21
xx
yyxx
b
i
ii
, xbyb 10 
Для роботи використовується пакетExcel.
Опишемо порядок виконання роботи.
Крок1. Блок вихідних даних формується в перших двох стовпцях (АЗ:В15)(табл. 1).
За блоком вихідних даних іде блок проміжних розрахунків(C3:I15). Прогнозні значення
обчислюються у 16-му рядку.
Таблиця 1. Формули для обчислень
А В С D Е
1
2 X Y X-Xc Y-Yc (X-Xc)^2
3 2 4,33 =A3-$D$18 =B3-$D$19 =C3^2
4 2,5 9,497 =A4-$D$18 =B4-$D$19 =C4^2
5 3 9,123 =A5-$D$18 =B5-$D$19 =C5^2
6 3,5 13,012 =A6-$D$18 =B6-$D$19 =C6^2
7 4 13,124 =A7-$D$18 =B7-$D$19 =C7^2
8 4,5 16,051 =A8-$D$18 =B8-$D$19 =C8^2
9 5 18,431 =A9-$D$18 =B9-$D$19 =C9^2
10 5,5 18,521 =A10-$D$18 =B10-$D$19 =C10^2
11 6 20,177 =A11-$D$18 =B11-$D$19 =C11^2
12 6,5 24,145 =A12-$D$18 =B12-$D$19 =C12^2
13 7 25,252 =A13-$D$18 =B13-$D$19 =C13^2
14 7,5 26,741 =A14-$D$18 =B14-$D$19 =C14^2
15 8 29,949 =A15-$D$18 =B15-$D$19 =C15^2
16 8,5
17 =СУММ(A3:A15) =СУММ(B3:B15) =СУММ(C3:C15) =СУММ(D3:D15) =СУММ(E3:E15)
18 n= =СУММ(A3:A15)/СРЗНАЧ(A3:A15) Xc= =СРЗНАЧ(A3:A15)R^2=
19 b1= =F17/E17 Yc= =СРЗНАЧ(B3:B15)r=
20 b0= =D19-B19*D18
Крок 2. Середні значення X, Y обчислюються в коміркахD18, D19 з використанням
вбудованої статистичної функціїСРЗНАЧ (блок даних).
Крок 3. Длявизначення сум стовпців використовуємокнопку автосумування на панелі
інструментів  або вбудовану функцію СУММ(блок даних).
Після встановлення курсору на комірку A17 натискаємо клавішіShift-FЗ або кнопку xf
на панелі інструментів. Відкривається вікноМастерФункций процесораExcel. Знаходимо
функціюСУММ, відмічаємо блокАЗ:А15 і натискуємоEnter абоОк. Після натиснення
43
клавіші Enterбудемо мати суму показника Х у комірціA17. Введена формула копіюється в
необхідні комірки17-го рядка.
Крок 4. Для знаходження різниці Х-Xc у комірку С3 вводиться формула =АЗ-$D$18.
Далі копіюємо одержану формулу в інші комірки стовпця С.
Для копіювання формули необхідно: відмітити мишкою комірку С3, натиснути праву
клавішу мишки та вибрати з меню командуКопировать. Потім відмічаємо блок копіювання
(С4:С15) ставимо покажчик миші на комірку С4, натискуємо з меню командуВставить.
Можна скопіювати іншим способом: ставимо курсор на комірку С3, а покажчик миші
наводимо на маленький квадратик в правому нижньому куті комірки. Після перетворення
покажчика миші в хрестик натискуємо ліву клавішу миші і відмічаємо блок копіювання до
С15включно. Формули копіюються в помічений блок. Аналогічним чином обчислюється
значення Y-Yc у стовпці D.
Крок 5. Для знаходження добутку (Х-Хс)(X-Xc) у комірку E3 вводиться формула
=С3^2. Далі копіюємо одержану формулу в інші комірки стовпця E.
Для знаходження добутку (Х-Хс)(Y-Yc) у комірку F3 вводиться формула =С3*D3.
Далі копіюємо одержану формулу в інші комірки стовпця F.
Крок 6.Cуми значень     xxyyxx iii  ,
2
обчислюємо у блоку E17:F17.
Крок 7. До комірокВ19, В20 вводяться формули для визначення оцінок параметрів
відповідно b1 і b0.
Крок 8. Для обчислення значення iyˆ , (і = 1,13) у комірку G3 вводимо формулу
ixbb 10  з абсолютними посиланнями координати параметрів b0 , b1 і відносним
посиланням координати xі. Одержану формулу у комірці GЗ копіюємо у блок G4:G16. У
комірці G17 буде знаходитися сума блоку GЗ:G15. Оскільки математичне очікування
відхилення фактичних даних від розрахункових дорівнює нулю, то при правильному
виконанні розрахунків значення комірок B17 та G17співпадатимуть.
Продовження таблиці 1.
F G H I
1
2 (X-Xc)(Y-Yc) Yp (Y-Yc)^2 (Y-Yp)^2
3 =C3*D3 =$B$20+$B$19*A3 =(B3-$D$19)^2 =(B3-G3)^2
4 =C4*D4 =$B$20+$B$19*A4 =(B4-$D$19)^2 =(B4-G4)^2
5 =C5*D5 =$B$20+$B$19*A5 =(B5-$D$19)^2 =(B5-G5)^2
6 =C6*D6 =$B$20+$B$19*A6 =(B6-$D$19)^2 =(B6-G6)^2
7 =C7*D7 =$B$20+$B$19*A7 =(B7-$D$19)^2 =(B7-G7)^2
8 =C8*D8 =$B$20+$B$19*A8 =(B8-$D$19)^2 =(B8-G8)^2
9 =C9*D9 =$B$20+$B$19*A9 =(B9-$D$19)^2 =(B9-G9)^2
10 =C10*D10 =$B$20+$B$19*A10 =(B10-$D$19)^2 =(B10-G10)^2
11 =C11*D11 =$B$20+$B$19*A11 =(B11-$D$19)^2 =(B11-G11)^2
12 =C12*D12 =$B$20+$B$19*A12 =(B12-$D$19)^2 =(B12-G12)^2
13 =C13*D13 =$B$20+$B$19*A13 =(B13-$D$19)^2 =(B13-G13)^2
14 =C14*D14 =$B$20+$B$19*A14 =(B14-$D$19)^2 =(B14-G14)^2
15 =C15*D15 =$B$20+$B$19*A15 =(B15-$D$19)^2 =(B15-G15)^2
16 =$B$20+$B$19*A16
17 =СУММ(F3:F15) =СУММ(G3:G15) =СУММ(H3:H15) =СУММ(I3:I15)
18 =1-I17/H17
19 =F17/КОРЕНЬ(E17*H17)
20
Крок 9. Для оцінки коефіцієнта кореляції та коефіцієнта детермінації будуємо блокH3:I17.
У коміркуH3 вводиться формула для обчислення значення  2
yyi  та копіюється в блок
H3:H15. Сума блокуH3:H15 обчислюється у комірціH17.
44
У коміркуI3 вводиться формула для обчислення значення  2
ˆyyi  та копіюється в блок
I3:I15. Сума блокуI3:I15 обчислюється у комірціI17.
Таблиця 2. Оцінка параметрів регресії
X Y X-Xc Y-Yc (X-Xc)^2 (X-Xc)(Y-Yc) Yp (Y-Yc)^2 (Y-Yp)^2
2,00 4,330 -3,00 -13,236 9,00 39,7068462 5,881275 175,1815 2,406453
2,50 9,497 -2,50 -8,069 6,25 20,1715385 7,828665 65,10255 2,783342
3,00 9,123 -2,00 -8,443 4,00 16,8852308 9,776055 71,27775 0,426481
3,50 13,012 -1,50 -4,554 2,25 6,83042308 11,72345 20,73541 1,660374
4,00 13,124 -1,00 -4,442 1,00 4,44161538 13,67084 19,72795 0,299029
4,50 16,051 -0,50 -1,515 0,25 0,75730769 15,61823 2,29406 0,187294
5,00 18,431 0,00 0,865 0,00 0 17,56562 0,748891 0,748891
5,50 18,521 0,50 0,955 0,25 0,47769231 19,51301 0,91276 0,984075
6,00 20,177 1,00 2,611 1,00 2,61138462 21,4604 6,81933 1,647104
6,50 24,145 1,50 6,579 2,25 9,86907692 23,40779 43,2883 0,543485
7,00 25,252 2,00 7,686 4,00 15,3727692 25,35518 59,08051 0,010645
7,50 26,741 2,50 9,175 6,25 22,9384615 27,30257 84,18768 0,315356
8,00 29,949 3,00 12,383 9,00 37,1501538 29,24996 153,3482 0,488662
8,50 31,19735
65,00 228,35 0,00 0,00 45,50 177,21 228,35 702,70 12,50
n= 13,00Xc= 5,00R^2= 0,9822099
b1= 3,89Yc= 17,57r= 0,99106503
b0= -1,91
Значення коефіцієнта кореляції обчислюється у комірці F19. Значення коефіцієнта
детермінації обчислюється у комірціF18.
Результат обчислень наведений у табл. 2.
Крок 10. Для наочного уявлення одержаних розрахунківбудуємо графіки:
фактичних даних(У), лінії регресії для базисних даних та прогнозу (Ур)
Порядок побудови графіків
1. Наводимо курсор на Мастердиаграмм і натискаємо лівою клавішею миші.
2. . У діалоговому вікніМастердиаграмм шаг 1 из 4 вибираємо тип діаграми —
Точечная. Для переходу до наступного діалогового вікна натискаємо кнопкуДалее>.
3. У діалоговому вікніМастердиаграмм шаг 2 из 4 вказуємо диапазон даних, що дані
знаходяться в стовпцях, вказуємо назви рядів Y, Yp.
4. У діалоговому вікні Мастердиаграммшаг 3 из 4 вводимо назву графіка і назву
координатних осей.
5. При переході до наступного вікна натискаємо клавішу Далее>, а після останнього
вікна натискаємо клавішу Готово.
Приступимо до побудови графіків
Тримаючи клавішу Ctrl, відмічаємо мишею потрібні для побудови графіка блоки:
АЗ:А16, ВЗ:В15, GЗ:G16. Активізуємо кнопку, що знаходиться на панелі інструментів.
Відмічені блоки будуть оточені рухливою лінією, а покажчик миші набуде форми
маленького чорного хрестика. Помістивши його в поле робочого аркуша (нижче таблиці) і
тримаючи натиснутою ліву кнопку миші, розтягнемо прямокутник до бажаної величини
графіка. Як тільки відпустимо кнопку, відкриється перший діалог Мастерадиаграмм, в
якому будуть показані виділені блоки для побудови графіка .
Натиснувши мишкою на кнопку Далее>, перейдемо до наступного діалогу, в якому
пропонується вибрати тип майбутнього графіка, після чого натискаємо знову кнопку Далее>
і вибираємо різновид вибраного типу графіка. Наступне вікно діалогу продемонструє зов-
нішній вигляд графіка . Якщо отриманий результат не задовольняє, можна повернутися до
попереднього діалогу, натиснувши кнопку<Назад.
45
Рухаємось далі. В останньому вікні діалогу даємо назву всього графіка і його осям .
При натисненні клавіші Готовона робочому аркуші з'являється графік .
В Excel для кожного графіка (діаграми) можна створити окремий робочий аркуш.
Позначивши блок комірок на робочому аркуші і вибравши команду менюВставка -
Диаграмма - на новомлисте, створюємо графік на новому аркуші.
Для редагування графіка (або його частин) необхідно навести на нього курсор і
натиснути 2 рази на ліву клавішу миші.
ВИСНОВКИ
1. Оскільки R2
=0.98 економетричну модель Y =3,89*Х-1,91 можна вважати
адекватною експериментальним даним і на підставі прийнятої моделі можна проводити
економічний аналіз.
2. Для значення фактора Хр=8,5 середнє значення прогнозу показника Yp = 31,20.
3. При зміні фактора на одиницю показник зміниться на 3,89.
4. Коефіцієнт кореляції r =0,99, що говорить про тісний лінійний зв'язок фактора і
показника.
46
Варіанти вхідних даних для лабораторної роботи №1
Виконати розрахунки і зробити висновки, використовуючи нижче наведені дані.
Для формування варіанта вибирається один стовпчик з таблиці 3 і один стовпчик з таблиці 4.
Таблиця 3
№ X1 X2 X3 X4 X5 X6 X7 X8 X9 X10 X11 X12
1 2,06 2,53 2,17 3,65 3,22 2,16 4,57 2,25 6,15 1,86 2,07 3,11
2 2,58 3,54 2,90 3,82 3,87 2,65 5,42 2,98 5,66 1,91 3,22 3,15
3 3,14 3,84 3,29 3,76 4,95 3,49 5,29 2,15 7,50 2,14 3,04 3,85
4 3,54 3,84 4,13 5,24 5,10 3,16 6,33 2,71 6,90 3,39 3,42 4,84
5 4,18 4,22 5,25 5,03 5,98 3,85 7,63 3,70 8,31 3,95 5,23 4,62
6 4,78 4,81 4,92 5,52 7,28 4,58 7,53 4,59 8,25 4,30 5,70 4,87
7 5,11 6,53 5,79 5,62 6,90 5,33 7,73 4,77 9,39 5,10 5,53 6,09
8 5,67 5,82 5,87 6,98 7,54 5,89 8,44 5,34 9,73 5,47 6,41 7,06
9 6,02 6,43 6,99 6,91 7,91 6,20 9,49 5,45 9,33 5,97 6,68 6,23
10 6,65 7,73 7,04 7,95 8,40 6,39 9,18 6,00 10,50 6,16 7,46 6,83
11 7,05 8,19 8,14 7,24 8,14 6,95 10,14 6,25 11,10 6,46 6,83 8,01
12 7,52 7,65 8,06 9,27 8,76 7,25 9,94 6,79 11,51 6,07 6,34 8,26
13 8,03 9,31 8,57 8,46 9,67 7,80 10,92 8,24 12,42 6,71 8,19 9,37
14 8,56 9,26 9,45 10,3 10,28 8,47 11,89 8,51 12,40 7,16 7,19 9,02
15 9,03 9,86 9,06 10,72 10,59 9,22 11,14 9,15 13,14 8,81 9,72 9,76
Xp 9,52 9,69 10,30 10,05 11,58 9,32 11,73 9,78 12,56 8,07 8,71 10,28
Таблиця 4
№ Y1 Y2 Y3 Y4 Y5 Y6 Y7 Y8 Y9 Y10 Y11 Y12
1 7,24 10,89 16,21 12,11 15,21 16,62 10,22 12,50 19,66 14,87 22,68 10,65
2 8,02 11,92 17,75 12,30 15,42 17,63 10,58 13,88 20,53 15,78 23,89 11,87
3 9,28 12,45 18,39 13,82 16,44 19,22 12,01 15,16 21,31 16,79 24,32 12,96
4 10,12 13,27 18,87 14,84 17,93 19,36 12,84 16,06 22,59 18,03 25,97 13,40
5 11,12 14,12 19,60 15,86 18,52 20,52 13,28 16,66 23,27 18,29 26,23 15,12
47
6 12,19 15,23 21,21 16,41 19,80 21,95 15,13 17,65 24,44 19,23 27,60 16,03
7 13,01 16,07 21,84 17,80 20,76 22,45 15,84 18,46 25,85 20,32 28,13 16,29
8 14,12 17,40 23,00 18,61 21,30 23,56 17,08 19,54 26,74 21,18 29,84 18,07
9 15,21 18,68 24,44 19,57 22,25 24,90 17,99 20,58 27,36 22,47 30,31 18,40
10 16,29 19,46 25,36 21,26 24,14 25,53 18,32 21,77 28,37 23,47 31,52 19,53
11 17,01 20,52 25,54 21,08 24,17 26,11 19,49 22,15 29,22 24,07 32,27 20,48
12 18,03 21,32 27,14 22,99 25,66 28,02 20,59 23,80 30,50 25,57 33,77 21,72
13 19,19 22,58 27,95 23,43 26,50 28,37 21,35 24,79 31,21 27,07 34,66 23,17
14 20,21 23,73 28,99 24,63 27,46 29,46 23,20 25,57 2,56 27,62 35,93 23,57
15 21,22 25,02 30,80 25,41 29,02 30,42 24,21 27,18 33,66 28,42 36,97 24,41
Контрольні питання:
I. Опишіть параметри регресії та їх зміст.
II. Що таке коєфіцієнт кореляції, його зміст?
III. Що таке коефіцієнт детермінації, його зміст?
IV. Які формули використовуються для розрахунку параметрів регресії, коефіцієнтів
кореляції, детермінації?
V. Чи вірні ці ствердження (так/ні; пояснити чому)
1. Діаграма розподілу показує взаємозв'язок між залежною і незалежною змінними.
2. У регресійному аналізі залежна змінна завжди знаходиться на осі х, а незалежна змінна —
на осі у.
3. Придатність регресійної моделі може вимірюватись як коефіцієнтом детермінації, так і
стандартною помилкою оцінювання (корінь з середнього квадрату залишків).
4. Множинну регресію використовуємо, коли на незалежну змінну впливає дві або більше
залежних змінних.
5. Нахил регресії вимірює зв'язок між залежною і незалежною змінними.
6. Перетин у регресії — це значення залежної змінної, коли незалежна змінна дорівнює 0.
7. Якщо ми хочемо, за допомогою регресійного аналізу виміряти зв'язок між оцінками у вузі і
оцінками у школі, то залежною змінною повинні бути оцінки у вузі, а незалежною змінною
— оцінки у школі.
8. У кореляційному аналізі важливо знати, яка саме змінна є незалежною, а яка залежною.
9. Метод найменших квадратів визначає лінію регресії через мінімізацію суми квадратів
відхилень.
10. Коефіцієнт детермінації вимірює частку дисперсії незалежної змінної, що пояснює
регресію.
11. Якщо дві змінні мають коефіцієнт кореляції -1, то зв'язок між ними зворотний.
12. Якщо економіст поміняє місцями залежну і незалежну змінні (припускаємо, що це
можливо в економічному контексті), то R2
зменшиться.
13. R2
у простій регресії дорівнює квадрату коефіцієнта кореляції між х і y.
14. Якщо b1< 0, то це означає, що х має дуже малий вплив на y.
15. Якщо коефіцієнт кореляції дорівнює 1, то точки даних знаходяться на прямій лінії.
16. Коваріація завжди лежить між -1 та +1.
Лабораторна робота №7
Використання ППЗ Statistica для проведення регресійного аналізу
ПЛАН
1. Використання ППЗ Statistica для оцінки параметрів лінійної регресії.
2. Використання ППЗ Statistica для з’язуваннявластивості простої вибіркової
лінійної регресії.
3. Коефіцієнти кореляції та детермінації та зв’язок між ними і нахилом регресії.
48
ЛІТЕРАТУРА
1. Білоусова Л. І. Практикум з автоматизованої статистичної обробки даних психолого-
педагогічного експерименту: навч. посіб. / Білоусова Л. І., Колгатін О. Г.,
Колгатіна Л. С. – Х. : Компанія СМІТ, 2007. – 37 с. – Бібліогр. : с. 37.
2. Боровиков В. П. Statistica : Искусствоанализаданных на компьютере / Владимир
Боровиков. - СПб. [и др.] : Питер, 2001. - 650 с.
3. Бююль А. SPSS: искусствообработкиинформации : [пер. с нем] / АхимБююль, Петер
Цёфель. – Москва [и др.] : DiaSoft, 2005. – 602 с.
4. Дюк В. А. Обработкаданных на ПК в примерах / Вячеслав Дюк. - СПб. : Питер-пресс,
1997. - 231 с. : ил.; 24 см. - (Советыпрофессионала).
5. Наследов А. Д. SPSS 15 профессиональныйстатистическийанализданных /
А. Наследов. – Москва [и др.] : Питер, 2008. – 412 с.
6. Томашевський О. В. Комп'ютерні технології статистичної обробки даних: навч.
посібник для студ. вищ. навч. закладів, які навчаються за спец. «Якість,
стандартизація та сертифікація» / Томашевський О. В., Рисіков В. П. – Запоріжжя :
Запорізький національний технічний ун-т, 2006. – 174с. – Бібліогр. с. 171–173.
Хід роботи
Задача. Досліджується залежність між межею міцності пресованої деталі y (МПа) і
температурою при пресуванні х (град.). Передбачається наявність лінійної залежності
між цими показниками.
X 120 125 130 135 140 145 150 155 160 165
Y 110 107 105 98 100 95 95 92 86 83
Розв’язання.
9. Запустити програму Statisticaта створити файл даних з двома змінними та кількістю
спостережень – 10.
10. Назва першої змінної – «Х», другої змінної – «Y».
11. Ввести значення спостережень до файлу даних.
12. Провести статистичний аналіз.
- «Множественная регрессия» (Головне меню  Анализ  Множественная
регрессия)
- Обрати залежну та незалежну змінні;
- Натиснути кнопку «ОК» на екрані;
- Переглянути попередні та проміжні значення розрахунків регресійного аналізу
- Вивести стогові результати регресійного аналізу в таблиці натиснувши кнопку
«Итоговаятаблицарегресии»
49
Задача. Забудовник оцінює групу будівель у діловому районі. Його цікавлять
загальна площа будівлі , кількість офісів , кількість входів , час експлуатації
будівлі . Обираються довільно 11 будівель з 1500. Вихідні дані наведені у таблиці
(0,5 входу означає вхід тільки для доставки кореспонденції), – ціна будівлі у тис.
у.о.
X1 X2 V3 X4 Y
1 2310 2 2 20 142
2 2333 2 2 12 144
3 2356 3 1,5 33 151
4 2379 3 2 43 150
5 2402 2 3 53 139
6 2425 4 2 23 169
7 2448 2 1,5 99 126
8 2471 2 2 34 142
9 2494 3 3 23 163
10 2517 4 4 55 169
11 2540 2 3 22 149
Необхідно визначити лінійні зв’язки між ціною і факторами. Найти коефіцієнти
моделі. Перевірити значимість моделі і факторів.
Розв’язання.
50
1. Запустити програму Statisticaта створити файл даних з п’ятьма змінними та кількістю
спостережень – 11.
2. Назва перших чотирьох змінних – «Х1-Х4», п’ятої змінної – «Y».
3. Ввести значення спостережень до файлу даних.
4. Провести статистичний аналіз.
- «Множественная регрессия» (Головне меню  Анализ  Множественная
регрессия)
- Обрати залежну та незалежну змінні;
- Натиснути кнопку «ОК» на екрані;
- Переглянути попередні та проміжні значення розрахунків регресійного аналізу
- Вивести стогові результати регресійного аналізу в таблиці натиснувши кнопку
«Итоговаятаблицарегресии»
51
Лабораторна робота №8
Використання ППЗ Statistica при проведенні перевірки статистичних гіпотез
ПЛАН
1. Використання ППЗ Statistica при проведенні перевірки статистичних гіпотез за
методом Колмагорова-Смірнова.
2. Використання ППЗ Statistica при проведенні перевірки статистичних гіпотез за
методом U-критерійМанна-Уітні.
ЛІТЕРАТУРА
1. Білоусова Л. І. Практикум з автоматизованої статистичної обробки даних психолого-
педагогічного експерименту: навч. посіб. / Білоусова Л. І., Колгатін О. Г.,
Колгатіна Л. С. – Х. : Компанія СМІТ, 2007. – 37 с. – Бібліогр. : с. 37.
2. Боровиков В. П. Statistica : Искусствоанализаданных на компьютере / Владимир
Боровиков. - СПб. [и др.] : Питер, 2001. - 650 с.
3. Бююль А. SPSS: искусствообработкиинформации : [пер. с нем] / АхимБююль, Петер
Цёфель. – Москва [и др.] : DiaSoft, 2005. – 602 с.
4. Дюк В. А. Обработкаданных на ПК в примерах / Вячеслав Дюк. - СПб. : Питер-пресс,
1997. - 231 с. : ил.; 24 см. - (Советыпрофессионала).
5. Наследов А. Д. SPSS 15 профессиональныйстатистическийанализданных /
А. Наследов. – Москва [и др.] : Питер, 2008. – 412 с.
6. Томашевський О. В. Комп'ютерні технології статистичної обробки даних: навч.
посібник для студ. вищ. навч. закладів, які навчаються за спец. «Якість,
стандартизація та сертифікація» / Томашевський О. В., Рисіков В. П. – Запоріжжя :
Запорізький національний технічний ун-т, 2006. – 174с. – Бібліогр. с. 171–173.
Хід роботи
Задача. Для перевірки ефективності нової розвиваючої програми були створені групи
дітей. Одна група (експериментальна), займалася за новою навчальною програмою, друга
(контрольна) – по старій. Після експерименту, діти обох груп були протестовані за
методикою Керна-Йерасика (шкільна зрілість). Результати тестування за вербальною
шкалою занесені до таблиці. Чи можливо стверджувати, що нова програма є ефективною та
має перевагу перед старою.
Результати експерименту:
Експериментальна
група
12 13 10 8 13 12 15 12 10 11 13 11 11 14 11 12
Контрольна
група
14 13 14 14 14 13 12 12 15 13 13 13 13 10 13 13
Розв’язання.
Сформулюємо гіпотезу:
 Н0: дві вибірки є однорідними, що підтверджує статистичну значущість різниці
середніх;
 Н1: дві вибірки не є однорідними, і не можна стверджувати, що різниця середніх є
статистично значима.
1. Розрахуємо непараметричні критерії Колмагорова-Смірнова, U-критерійМанна-Уітні:
- «КритерийКолмогорова-Смирнова » (Анализ Непараметрическая статистика 
Сравнение двух независимых групп)
- Обрати змінні «Група» та «Бал» натиснувши кнопку «Переменные» на екрані
- Натиснути кнопку «КритерийКолмогорова-Смирнова».
52
- Натиснути кнопку «U-критерийМанна-Уитни».
Висновок: Н1 гіпотеза відкидається і приймається Н0. Тобто дві вибрики є
однорідними, що дає змогу стверджувати, відповідно до різниці середні у двох вибірках про
відсутність позитивного впливу нової навчальної програми.

LabWork

  • 1.
    МІНІСТЕРСТВО ОСВІТИ ІНАУКИ УКРАЇНИ БЕРДЯНСЬКИЙ ДЕРЖАВНИЙ ПЕДАГОГІЧНИЙ УНІВЕРСИТЕТ Павленко Л.В. ПРАКТИКУМ З ІНФОРМАТИКИ Методичні рекомендації звиконання лабораторних робіт для студентів денної та заочної форм навчання Бердянськ 2013
  • 2.
  • 3.
    3 Зміст 1. Лабораторна робота№1 Попередні вимоги для комп’ютерного опрацювання експериментальних даних 2. Лабораторна робота №2 Введення експериментальних даних до прикладного програмного засобу Statistica 3. Лабораторна робота №3 Розрахунок у ППЗ Statistica описових статистик та побудова графіків 4. Лабораторна робота №4 Використання ППЗ Statistica для обчислення кореляції кількісних ознак 5. Лабораторна робота №5 Використання Excel для проведення дисперсійного аналізу 6. Лабораторна робота №6 Використання Excel для проведення регресійного аналізу 7. Лабораторна робота №7 Використання ППЗ Statistica для проведення регресійного аналізу 8. Лабораторна робота №8 Використання ППЗ Statistica при проведенні перевірки статистичних гіпотез
  • 4.
    4 Лабораторна робота №1 Попереднівимоги для комп’ютерного опрацювання експериментальних даних ПЛАН 1. Етапи проведення статистичного аналізу 2. Визначення типу шкали 3. Визначення типу закону розподілу 4. Визначення залежності чи незалежності вибірки ЛІТЕРАТУРА 1. Білоусова Л. І. Практикум з автоматизованої статистичної обробки даних психолого- педагогічного експерименту: навч. посіб. / Білоусова Л. І., Колгатін О. Г., Колгатіна Л. С. – Х. : Компанія СМІТ, 2007. – 37 с. – Бібліогр. : с. 37. 2. Боровиков В. П. Statistica : Искусствоанализа данных на компьютере / Владимир Боровиков. - СПб. [и др.] : Питер, 2001. - 650 с. 3. Бююль А. SPSS: искусство обработки информации : [пер. с нем] / АхимБююль, Петер Цёфель. – Москва [и др.] : DiaSoft, 2005. – 602 с. 4. Дюк В. А. Обработка данных на ПК в примерах / Вячеслав Дюк. - СПб. : Питер-пресс, 1997. - 231 с. : ил.; 24 см. - (Советы профессионала). 5. Наследов А. Д. SPSS 15 профессиональный статистический анализ данных / А. Наследов. – Москва [и др.] : Питер, 2008. – 412 с. 6. Томашевський О. В. Комп'ютерні технології статистичної обробки даних: навч. посібник для студ. вищ. навч. закладів, які навчаються за спец. «Якість, стандартизація та сертифікація» / Томашевський О. В., Рисіков В. П. – Запоріжжя : Запорізький національний технічний ун-т, 2006. – 174с. – Бібліогр. с. 171–173. ТЕОРЕТИЧНІ ВІДОМОСТІ Статистичний аналіз психолого-педагогічних, технічних та економічних даних складається з декількох основних етапів. Схема проведення аналізу наведена на рис 1.1.
  • 5.
    5 Статистичні задачі, якінеобхідно розв'язати за допомогою комп'ютерних засобів з різних предметних галузей Вибір статистичного методу Підготовка даних Визначення типу шкали Визначення закону розподілу Визначення залежності чи незалежності вибірок Постановка мети статистичного аналізу Статистичні методи, що використовуються інженерами-педагогами Описові статистики Оцінка параметрів та перевірка гіпотез Дисперсійний аналіз Кореляційний аналіз Регресійний аналіз Факторний аналіз Кластерний аналіз Непарамет- ричні тести Планування експерименту Рис. 1.1. Схема аналізу опрацювання статистичних даних з різних предметних галузей (психолого-педагогічні, технічні та економічні дані) для вибору коректного статистичного методу Некоректне проведення підготовчих етапів статистичного аналізу (підготовка даних, визначення типу шкали, визначення закону розподілу, визначення залежності вибірок та постановка мети статистичного аналізу) приводить до ПОМИЛКОВОГО вибору статистичних методів для опрацювання даних.
  • 6.
    6 Етап 1 «Підготовкаданих» Процес підготовки даних є невід’ємною частиною аналізу будь-яких даних, це пояснюється тим, що для продуктивної аналітичної роботи недостатньо вміти вводити дані та застосовувати до них статистичні процедури. Це потребує ефективного управління даними на основі їх ранжування, перевірки та перекодування (рис. 1.2.). Підготовка даних Перевірка даних Ранжування даних Перекодування даних Рис. 1.2. Схема проведення підготовки даних до статистичного опрацювання Перевірка данихґрунтується на порівнянні значень в таблиці даних з умовами, що задаються логічними виразами. Після порівняння приймається рішення про здійснення дій над змінними або спостереженнями (наприклад, присвоєння змінній нових значень, включення спостережень в аналіз або висновок про правильність даних зв’язаних з цим спостереженням). Процес ранжуванняданихпередбачає заміну змінної в таблиці даних відповідними рангами цих значень. Якщо необхідно зберегти вихідні значення змінної, то потрібно зробити її копію. Перекодування данихдозволяє шляхом обчислень створювати нові змінні на основі існуючих, а також дозволяє змінити спосіб кодування змінної, наприклад для зменшення кількості можливих значень.
  • 7.
    7 Підготовка даних Перевірка данихРанжування даних Перекодування даних Головне меню Данные Проверка данных Введення умов перевірки даних та діапазону спостережень Головне меню Данные Ранжировать... Визначення змінної для ранжування Визначення формату виведення значень рангу Головне меню Данные Перекодировать... Визначення категорій опрацювання спостережень Введення нових значень для перекодованих спостережень Визначення змінної для перекодування Рис. 1.3. Схема виконання дій з підготовки даних для статистичного опрацювання в програмі Statistica
  • 8.
    8 Етап 2 «Визначеннятипу шкали» Шкала – це сукупність усіх можливих значень ознаки. Алгоритм визначення типу шкали для даних що досліджуються наведена на рис 1.4 Відношення двох значень показника має емпіричну значущість. Для такої шкали можливі тільки операції: «дорівнює» (=), «не дорівнює» (≠), «більше» (>), «менше» (<), «додати» (+), «відняти» (-), «помножити» (*), «розділити» (/) Експериментальні дані Вибір шкали Шкала відношень (пропорційна) Інтервальна шкала Різниця (інтервал) між двома значеннями показника має емпіричну значущість. Для такої шкали можливі тільки операції: «дорівнює» (=), «не дорівнює» (≠), «більше» (>), «менше» (<), «додати» (+), «відняти» (-) Початок Так Ні Так Ні ПЕДАГОГІЧНІ ДАНІ: Оцінювання швидкості реакції людини на подразник в секундах. ТЕХНІЧНІ ДАНІ: Температура виробу до обробки 20 градусах Цельсія а після 40, різниця складає 20 градусів. ПЕДАГОГІЧНІ ДАНІ: Оцінювання знань студентів за рейтинговою системою. ТЕХНІЧНІ ДАНІ: Діаметр виробу. ЕКОНОМІЧНІ ДАНІ: Ціна товару Володіє всіма властивостями інтервальної шкали та містить точку абсолютного нуля. Дозволяє встановити в скільки разів одне значення перевищує інше Так Дозволяє не тільки впорядкувати об'єкти виміру, але й числено виразити та порівняти різницю між ними. Дозволяє встановити на скільки одне значення перевищує інше. Як правило не можливо застосувати в психолого-педагогічних дослідженнях. Так Окремим значенням показника не відповідає жодної емпіричної значущості. Для такої шкали можливі тільки операції: «дорівнює»(=), «Не дорівнює» (≠) Номінальна (категоріальна) шкала Дихотомічна шкала Кінець Так Ні ПЕДАГОГІЧНІ ДАНІ: Чи подобається вам вчитися – «так», «ні» (0, 1). ТЕХНІЧНІ ДАНІ: Наявність напруги в мережі – «так», «ні» (1, 0). ЕКОНОМІЧНІ ДАНІ: Прибуток населення – «високий», «низький» (0, 1). ПЕДАГОГІЧНІ ДАНІ: Вибір кольору респондентом – «зелений», «синій», «жовтий», «червоний» ТЕХНІЧНІ ДАНІ: Тип пріоритету передавання даних в мережі – «мультимедійні», «службові», «дані програм» ЕКОНОМІЧНІ ДАНІ: Фірма постачальник – «Поінт», «Інтелком», «Телеком» Ні Кількість значень показника більше двох Так Ні Простий випадок номінальної шкали. Може приймати всього два значення Ні Використовується тільки для якісної класифікації, змінні можуть бути виміряні тільки в термінах приналежності до деяких істотно різних класів. Неможливо визначити кількість або впорядкувати ці класи. Так Емпірична значущість не залежить від різниці між значеннями показника. Для такої шкали можливі тільки операції: «дорівнює» (=), «не дорівнює» (≠), «більше» (>), «менше» (<) Порядкова шкала Так ПЕДАГОГІЧНІ ДАНІ: Оцінювання успішності студентів – «незадовільно», «задовільно», «добре», «відмінно» (2, 3, 4, 5). ЕКОНОМІЧНІ ДАНІ: Матеріальний рівень жителів міста – «не має власної квартири», «має однокімнатну квартиру», «має двокімнатну квартиру» (0, 1, 2). Використовується тільки для якісної класифікації, змінні можуть бути виміряні тільки в термінах приналежності до деяких істотно різних класів. Неможливо визначити кількість або впорядкувати ці класи. Так Рис. 1.4. Алгоритм визначення типу шкали для даних що досліджуються
  • 9.
    9 Етап 3 «Визначеннязакону розподілу» Більшість методів, за допомогою яких опрацьовуються дані, відносяться до інтервальної шкали, виходячи з гіпотези, що їх значення підкоряється нормальному розподілу. При такому розподілі більша частина значень групується навколо деякого середнього значення, по обидві сторони від якого частота спостережень рівномірно знижується Дані Якщо візуальне порівняння реальної гістограми з кривою нормальності розподілу здається недостатнім Застосування тесту нормальності Колмогорова-Смірнова Побудова гістограми з кривою нормального розподілу та їх порівняння Рис. 1.5. Схема визначення типу розподілу
  • 10.
    10 Головне меню програми Statistica Перехіддо побудови гістограми з кривою нормального розподілу Визначення змінної для побудови гістограми Побудова кривої нормального розподілу Завершення побудови та здійснення візуального аналізу реальної гістограми з кривою нормального розподілу Рис. 1.6. Модель дій для порівняння реальної гістограми з кривою нормального розподілув програмі Statistica Етап 4 «Визначення залежності чи незалежності вибірок» Дві вибірки залежать одна від одної, якщо кожному значенню однієї вибірки можна закономірним та однозначним чином поставити у відповідність тільки одне значення другої вибірки.
  • 11.
    11 ХІД РОБОТИ Приклад. Інспекціяпри перевірці якості продукції отримала результати наведені в табл. 1.1. Підготувати дані для опрацювання в програмі Statisticaта підготувати дискретний ряд розподілу та зобразити його графічно. Вміст міді у 50 партіях деталей (згідно стандарту повинно бути не менше 45% міді). Таблиця 1.1. 45 48 47 48 45 48 46 46 45 45 45 45 44 46 48 47 48 44 45 44 46 45 44 47 47 46 45 45 47 46 46 43 48 44 46 45 43 49 46 45 47 47 43 42 44 42 46 49 46 45 Розв’язання. 1. Запустити пакет Statistica (Пуск  Все программы Statistica 6) 2. Створити новий документ (Ctrl+N) вказавши кількість змінних (1) та кількість спостережень (50). Рис. 1.7. Вікно створення нового документа у пакеті Statistica 6 3. Ввести дані спостереження у Var1. 4. Перевірити дані на правильність введення (Головне меню  Данные  Проверка данных  Проверка данных), ввести умови обмеження значень даних у вікні Рис. 1.8. Вікно перевірки даних
  • 12.
    12 5. Побудуємо ранжованийряд (Головне меню  Данные Ранжировать…). У вікні «Ранги значений» обрати: «Присвоить ранг 1» наим. значению «Ранги для совпадающих значений» средний «Тип рангов» обычный. Рис. 1.9. Вікно здійснення ранжування ряду 6. Будуємо таблицю частот (Головне меню  Анализ  Основные статистики и таблицы Таблицы частот) Рис. 1.10. Розрахунок таблиці частот та побудова гістограма розподілу Рис. 1.11. Таблиця частот
  • 13.
    13 Рис. 1.12. Гістограмарозподілу Висновки: побудований ряд розподілу приближений до нормального, сукупність за досліджуваною ознакою є досить однорідною. Найбільша кількість партій деталей вміст міді в яких 45%, кількість міді нижчу за стандартну мають 22% обстежених партій. Лабораторна робота №2 Введення експериментальних даних до програмного засобу Statistica ПЛАН 1. Розрахунок середнього арифметичного у ППЗ Statistica 2. Розрахунок медіани у ППЗ Statistica 3. Розрахунок дисперсії у ППЗ Statistica ЛІТЕРАТУРА 1. Білоусова Л. І. Практикум з автоматизованої статистичної обробки даних психолого- педагогічного експерименту: навч. посіб. / Білоусова Л. І., Колгатін О. Г., Колгатіна Л. С. – Х. : Компанія СМІТ, 2007. – 37 с. – Бібліогр. : с. 37. 2. Боровиков В. П. Statistica : Искусствоанализаданных на компьютере / Владимир Боровиков. - СПб. [и др.] : Питер, 2001. - 650 с. 3. Бююль А. SPSS: искусствообработкиинформации : [пер. с нем] / АхимБююль, Петер Цёфель. – Москва [и др.] : DiaSoft, 2005. – 602 с. 4. Дюк В. А. Обработкаданных на ПК в примерах / Вячеслав Дюк. - СПб. : Питер-пресс, 1997. - 231 с. : ил.; 24 см. - (Советыпрофессионала). 5. Наследов А. Д. SPSS 15 профессиональныйстатистическийанализданных / А. Наследов. – Москва [и др.] : Питер, 2008. – 412 с. 6. Томашевський О. В. Комп'ютерні технології статистичної обробки даних: навч. посібник для студ. вищ. навч. закладів, які навчаються за спец. «Якість, стандартизація та сертифікація» / Томашевський О. В., Рисіков В. П. – Запоріжжя : Запорізький національний технічний ун-т, 2006. – 174с. – Бібліогр. с. 171–173. Хід роботи 1. Задача. У студентів першого і другого курсу було досліджено рівень депресивного розладу за методикою Бека. Зробити порівняльний аналіз використавши методи описової статистики (мода, медіана, середнє, дисперсія, стандартне відхилення, асиметрія і ексцес). 1 30 27 23 22 19 19 18 16 15 14 13 12 12 12 10 10 10 10
  • 14.
    14 курс 2 курс 24 17 1715 15 14 14 13 12 12 11 11 8 8 7 7 4 0 Розв’язання. 1. Запустити програму Statisticaта створити файл даних з двома змінними та кількістю спостережень – 18. 2. Назва першої змінної – «1 курс», другої змінна – «2 курс». 3. Ввести значення спостережень до файлу даних. 4. Провести статистичний аналіз. - «Описательные статистики» (Головне меню  Анализ  Описательные статистики и таблицы  Описательные статистики) - Закладка «Дополнительно»; - Обрати статистики (мода, медиана, среднее, дисперсия, стандартное отклонение, асимметрия и эксцесс) - Натиснути кнопку «Подробные описательные статистики» на екрані. Медіана та середнє арифметичне значення на першому курсі вище ніж на другому, робимо висновок, що рівень депресивного розладу на першому курсі перевищує рівень розладу на другому курсі. Однак мода на другому курсі значно вище ніж на першому. Тобто переважає більш високе значення рівня депресивного розладу. Дисперсія і стандартне відхилення на першому курсі вище ніж на другому, що говорить про більш широкий розкид даних і відповідно можна зробити висновок, що друга вибірка більш однорідна. Маємо невелику ліво-боку асиметрію (0,9) на першому курсі і від’ємну асиметрію на другому курсі. 2. Задача. В таблиці наведені результати вимірювання рівня засвоєння знань в контрольній та експериментальній групах до і після експерименту. Контрольна група (кількість правильно розв’язаних задач до початку експерименту) Експериментальна група (кількість правильно розв’язаних задач до початку експерименту) Контрольна група (кількість правильно розв’язаних задач після експерименту) Експериментальна група (кількість правильно розв’язаних задач після експерименту) 1. 15 12 16 15 2. 13 11 12 18 3. 11 15 14 12 4. 18 17 17 20 5. 10 18 11 16 6. 8 6 9 11 7. 20 8 15 13 8. 7 10 8 7 9. 8 16 6 14 10. 12 12 13 17 11. 15 15 17 19 12. 16 14 19 16 13. 13 19 15 12 14. 14 13 11 15 15. 14 19 9 19
  • 15.
    15 16. 19 1219 18 17. 7 11 8 14 18. 8 16 6 13 19. 11 12 9 18 20. 12 8 12 13 21. 15 13 11 13 22. 16 7 17 15 23. 13 15 10 18 24. 5 8 8 9 25. 11 9 8 14 26. 19 20 27. 18 19 28. 9 6 29. 6 14 30. 15 10 Провести аналіз засобами описової статистики в контрольній та експериментальній групах до та після проведення експерименту. Розрахувати середнє значення, стандартне відхилення, моду, медіану, стандартне відхилення, ексцес і асиметрію. Розв’язання. Розв’язання. 1. Запустити програму Statisticaта створити файл даних з чотирма змінними та кількістю спостережень – 30. 2. Задати назви змінних. 3. Ввести значення спостережень до файлу даних. 4. Провести статистичний аналіз. - «Описательные статистики» (Головне меню  Анализ  Описательные статистики и таблицы  Описательные статистики) - Закладка «Дополнительно»; - Обрати статистики (мода, медиана, среднее, дисперсия, стандартное отклонение, асимметрия и эксцесс) - Натиснути кнопку «Подробные описательные статистики» на екрані. 3. Задача. Вік студентів одного з факультетів характеризуються наступними даними: 17 18 19 19 20 20 20 21 21 21 17 18 19 19 20 20 20 21 21 21 17 18 19 20 20 20 20 21 21 21 17 18 19 20 20 20 20 21 21 21 18 19 19 20 20 20 20 21 21 21
  • 16.
    16 18 19 1920 20 20 20 21 21 21 18 19 19 20 20 20 21 21 21 21 18 19 19 20 20 20 21 21 21 21 18 19 19 20 20 20 21 21 21 21 18 19 19 20 20 20 21 21 21 21 18 19 19 20 20 20 21 21 21 21 18 19 19 20 20 20 21 21 21 21 21 21 22 22 22 22 22 23 23 23 21 22 22 22 22 22 22 23 23 23 21 22 22 22 22 22 22 23 23 23 21 22 22 22 22 22 22 23 23 23 21 22 22 22 22 22 22 23 23 23 21 22 22 22 22 22 22 23 23 23 23 23 23 23 23 Обчислити: дисперсію, середнє арифметичне, моду, медіану, середнє квадратичне відхилення, відносні показники варіації віку студентів, побудувати діаграму розмаху. Одержати таблицю розподілу студентів за віком. Розв’язання. 1. Запустити програму Statistica та створити файл даних з однією змінною та кількістю спостережень – 185. 2. Задати назву змінної. 3. Ввести значення спостережень до файлу даних. 4. Провести статистичний аналіз. - «Описательные статистики» (Головне меню  Анализ  Описательные статистики и таблицы  Описательные статистики) - Закладка «Дополнительно»; - Обрати статистики (дисперсія, середнє арифметичне, мода, медіана, середнє квадратичне відхилення, відносні показники варіації) - Натиснути кнопку «Подробные описательные статистики» на екрані. - «Таблицы частот» (Головне меню  Анализ  Описательные статистики и таблицы Таблицы частот); - Закладка «Дополнительно»; - Встановити значення «Размер шага» в 1; - Натиснути кнопку «Таблицы частот» на екрані.
  • 17.
    17 4. Задача. Даніоцінки студентів групи на іспиті зі статистики по хлопцях і дівчатах. Стать Оцінка Дівчина 2 Дівчина 3 Дівчина 3 Дівчина 3 Дівчина 3 Дівчина 3 Дівчина 3 Дівчина 3 Дівчина 4 Дівчина 4 Дівчина 4 Дівчина 4 Дівчина 5 Дівчина 5 Дівчина 5 Дівчина 5 Хлопець 2
  • 18.
    18 Хлопець 2 Хлопець 2 Хлопець2 Хлопець 3 Хлопець 3 Хлопець 4 Хлопець 4 Хлопець 4 Обчислити: групові середні, групові дисперсії, загальну дисперсію. Пояснити отриманий результат. Розв’язання. 1. Запустити програму Statisticaта створити файл даних з двома змінними та кількістю спостережень – 25. 2. Назва першої змінної – «Оцінка», другої змінна – «Стать». 3. Ввести значення спостережень до файлу даних. 4. Провести статистичний аналіз. - «Группировка и однофакторный ДА» (Головне меню  Анализ  Описательные статистики и таблицы  Группировка и однофакторный ДА) - Натиснути кнопку «Переменные» на екрані та обрати залежну змінну «Оцінка» та групуючу змінну «Стать»; - Натиснути кнопку «Коды группирующих переменных» на екрані та обрати «Все» групуючі зміні; - Натиснути кнопку «ОК» на екрані та перейти до вибору представлення результатів статистичного аналізу в таблицях та графіках; - Обрати: кількість спостережень, стандартне відхилення, дисперсія. - Натиснути кнопки «Подробные двухходовые таблицы» та «Категоризованные диаграммы размаха» на екрані.
  • 19.
    19 Середні значення оцінкидля групи «дівчата» становить 3,7 а для групи «хлопці» – 2,9, та є найбільш типовими для даних груп, однак для більш детального аналізу потрібно використати групові дисперсії. Значення групової дисперсії для груп «дівчата» та «хлопці» – 0,9, що свідчить про однорідність груп. Лабораторна робота №3 Розрахунок у ППЗ Statistica описових статистик та побудова графіків ПЛАН 1. Розрахунок інтервалів довіри у ППЗ Statistica 2. Графіки та діаграми у ППЗ Statistica 3. Таблиці частот у ППЗ Statistica ЛІТЕРАТУРА 1. Білоусова Л. І. Практикум з автоматизованої статистичної обробки даних психолого- педагогічного експерименту: навч. посіб. / Білоусова Л. І., Колгатін О. Г., Колгатіна Л. С. – Х. : Компанія СМІТ, 2007. – 37 с. – Бібліогр. : с. 37. 2. Боровиков В. П. Statistica : Искусствоанализаданных на компьютере / Владимир Боровиков. - СПб. [и др.] : Питер, 2001. - 650 с. 3. Бююль А. SPSS: искусствообработкиинформации : [пер. с нем] / АхимБююль, Петер Цёфель. – Москва [и др.] : DiaSoft, 2005. – 602 с. 4. Дюк В. А. Обработкаданных на ПК в примерах / Вячеслав Дюк. - СПб. : Питер-пресс, 1997. - 231 с. : ил.; 24 см. - (Советыпрофессионала). 5. Наследов А. Д. SPSS 15 профессиональныйстатистическийанализданных / А. Наследов. – Москва [и др.] : Питер, 2008. – 412 с. 6. Томашевський О. В. Комп'ютерні технології статистичної обробки даних: навч. посібник для студ. вищ. навч. закладів, які навчаються за спец. «Якість, стандартизація та сертифікація» / Томашевський О. В., Рисіков В. П. – Запоріжжя : Запорізький національний технічний ун-т, 2006. – 174с. – Бібліогр. с. 171–173. Хід роботи 1. Задача. У 15 вибірках фіксувалася кількість обривів нитки за певний час.
  • 20.
    20 № 1 23 4 5 6 7 8 9 10 11 12 13 14 15 М1 12 5 14 10 7 10 4 8 5 12 8 14 3 5 9 М2 18 21 15 16 10 24 23 18 14 9 14 12 22 18 14 Необхідно дослідити якість пряжі на двох прядильних машинах, а саме: для змінних М1 і М2 вичислити середні, межі 95%-го довірчого інтервалу, дисперсії, стандартні відхилення, коефіцієнти асиметрії і ексцесу. Розв’язання. 1. Запустити програму Statisticaта створити файл даних з двома змінними та кількістю спостережень – 15. 2. Назва першої змінної – «Машина 1», другої змінна – «Машина 2». 3. Ввести значення спостережень до файлу даних. 4. Провести статистичний аналіз. - «Описательные статистики» (Головне меню  Анализ  Описательные статистики и таблицы  Описательные статистики) - Закладка «Дополнительно»; - Обрати статистики (среднее, дисперсия, стандартное отклонение, асимметрия, эксцесс і доверти. интервалы среднего) - Натиснути кнопку «Подробные описательные статистики» на екрані. Середнє арифметичне значення у другої машини вище ніж у першої, робимо висновок, що кількість обривів нитки на другій машині перевищує кількість обривів на другій. Дисперсія і стандартне відхилення для даних другої машини вище ніж першої , що говорить про більш широкий розкид даних і відповідно можна зробити висновок, що перша вибірка більш однорідна. 2. Задача. Для заданої вибірки визначити числові характеристики (вибіркове середнє, дисперсію, стандартне відхилення, коефіцієнти асиметрії і ексцесу), побудувати графіки вибіркової функції розподілу і гістограму частот, прийнявши число інтервалів рівним 8; у припущенні нормальності розподілу даних побудувати 95% довірчий інтервал для математичного очікування генеральної сукупності. За результатами механічних випробувань партії сталевих зразків набуті значень межі міцності (у МПа) : 854, 903, 872, 892, 933, 881, 919, 903, 868, 932, 904, 865, 897, 868, 905, 943, 901, 868, 947, 908, 895, 853, 893, 878, 862, 857, 928, 919, 925, 901, 911, 883, 947, 945, 881, 884, 939, 891, 885, 902, 938, 864, 904, 895, 872, 896, 878, 913, 875, 894, 878, 935, 878, 918, 891, 873. Розв’язання: 1. Запустити програму Statisticaта створити файл даних з двома змінними та кількістю спостережень – 15. 2. Ввести значення спостережень до файлу даних. 3. Провести статистичний аналіз. - «Описательные статистики» (Головне меню  Анализ  Описательные статистики и таблицы  Описательные статистики) - Закладка «Дополнительно»; - Обрати статистики (среднее, дисперсия, стандартное отклонение, асимметрия, эксцесс) - Натиснути кнопку «Подробные описательные статистики» на екрані.
  • 21.
    21 4. Побудова гістограмиочікуваного розподілу - «Описательные статистики» (Головне меню АнализОписательные статистики и таблицыОписательные статистики) - Закладка «Быстрый»; - Натиснути кнопку «Гистограммы» на екрані. 5. Побудуємо 95% довірчий інтервал для математичного очікування генеральної сукупності - «Описательные статистики» (Головне меню АнализОписательные статистики и таблицыОписательные статистики) - Закладка «Опции»; - Вказати опцію «Среднее/Ст.ош./1,96*Ст.ош.» на екрані - Закладка «Быстрый»; - Натисніть кнопку «Диаграмма размаха для всех переменных» для всіх змінних
  • 22.
    22 3. Задача. Знайти95% довірчий інтервал для математичного сподівання твердості сплаву (в умовних одиницях), якщо за результатами вимірів отримані наступні значення: 14,2; 14,8; 14,0; 14,7; 13,9; 14,8; 15,1; 15,0; 14,5. Об’єм вибірки n = 9. Розв’язання: 1. Запустити програму Statisticaта створити файл даних з однією зміною та кількістю спостережень – 9. 2. Назва першої змінної – «Твердість сплаву». 3. Ввести значення спостережень до файлу даних. 4. Провести статистичний аналіз. - «Описательные статистики» (Головне меню  Анализ  Описательные статистики и таблицы  Описательные статистики) - Закладка «Дополнительно»; - Обрати статистики (среднее, доверит. интервал среднего 95%) - Натиснути кнопку «Подробные описательные статистики» на екрані. 5. Побудуємо 95% довірчий інтервал для математичного очікування генеральної сукупності - «Описательные статистики» (Головне меню АнализОписательные статистики и таблицыОписательные статистики) - Закладка «Опции»; - Вказати опцію «Среднее/Ст.ош./1,96*Ст.ош.» на екрані - Закладка «Быстрый»; - Натисніть кнопку «Диаграмма размаха для всех переменных» для всіх змінних
  • 23.
    23 Задача 4 Є вибіркаоб’ємом 50 вимірів, що представляє собою результати виміру деталей (табл. 1.1). Файл даних містить 4 змінних: VAR1 – довжина головної частини, мм; VAR2 – діаметр головної частини, мм; VAR3 – жорсткість матеріалу; VAR4 – довжина з’єднувача, мм. Провести початковий статистичний аналіз даних засобами описової статистики. Таблиця 1.1. № Var1 Var2 Var3 Var4 1 36,500 4,3944492 21,28997 3,6375862 2 36,500 4,4308168 21,55342 3,6375862 3 36,500 4,4543473 18,79625 3,7376696 4 36,500 4,4543473 18,63277 3,7376696 5 36,500 4,4773368 20,46600 3,7841896 6 36,500 4,5217886 19,54798 3,9120230 7 36,500 4,5538769 23,19759 3,8286414 8 36,500 4,5951199 18,46390 3,9318256 9 36,500 4,6249728 21,08711 3,9318256 10 37,000 4,6249728 23,30420 3,9318256 11 36,500 4,6051702 20,99859 3,8712010 12 37,000 4,6249728 21,90987 3,8918203 13 37,000 4,5849675 19,97881 3,9318256 14 36,500 4,5951199 18,71831 3,9318256 15 36,500 4,6539604 17,94666 3,9702919 16 37,000 4,6821312 24,00000 4,0430513 17 36,500 4,6728288 25,09000 4,0073332 18 36,500 4,6728288 26,09000 4,0253517 19 36,500 4,7449321 24,76000 4,1431347 20 36,500 4,7621739 21,63000 4,0943446 21 36,500 4,7449321 24,09000 4,1271344 22 36,500 4,7706846 22,08000 4,1431347 23 36,500 4,8202816 18,06414 4,1108739 24 37,438 4,8828019 23,62291 4,2046926
  • 24.
    24 25 37,035 4,304065121,84124 3,6109179 26 37,209 4,3567088 22,14273 3,5553481 27 37,330 4,3820266 19,21774 3,5553481 28 37,196 4,4308168 19,10141 3,6635616 29 37,129 4,4426513 21,70193 3,6375862 30 37,424 4,3944492 19,31463 3,6109179 31 37,277 4,4188406 20,09160 3,6635616 32 37,156 4,4188406 20,43650 3,6635616 33 37,545 4,4067192 17,92398 3,6375862 34 37,344 4,4886364 20,64914 3,6888795 35 37,330 4,4773368 21,55632 3,6888795 36 37,411 4,4543473 21,60145 3,6888795 37 37,277 4,4998097 18,03038 3,7612001 38 37,451 4,4998097 23,21919 3,7135721 39 37,491 4,5108595 17,59544 3,7135721 40 37,223 4,5325995 21,95600 3,7135721 41 37,223 4,4886364 17,77365 3,6888795 42 37,465 4,5325995 23,09732 3,7841896 43 37,129 4,5538769 20,99201 3,7376696 44 37,236 4,5325995 20,73786 3,8066625 45 37,599 4,5643482 20,07338 3,8066625 46 37,384 4,5538769 17,94666 3,8066625 47 37,277 4,5538769 20,76775 3,8286414 48 37,518 4,6634391 23,26009 3,8501476 49 37,008 4,5325995 17,62109 3,6888795 50 36,887 4,4067192 20,52216 3,7135721 Розв’язання 1. Запустити програму Statistica (ПускВсе программыStatistica 6.0Statistica). 2. Створити новий документ (Головне меню  Файл  Создать). У вікні «Создать новый документ» вказати кількість змінних – 4 та кількість спостережень – 50, натиснути кнопку «ОК» 3. Ввести дані спостережень у відповідні змінні. 4. Переходимо до статистичного аналізу з використанням методів описової статистики. Після вибору процедури «Описательные статистики» (Головне меню  Анализ  Основные статистики и таблицы  Описательные статистики) на екрані з’явиться відповідне діалогове вікно (рис. 1.1) Рис. 1.1. Діалогове вікно «Описательные статистики»
  • 25.
    25 5. В цьомувікні за допомогою кнопки «Переменные» необхідно обрати змінні для аналізу (рис. 1.2.) Рис. 1.2. Вікно вибору змінних На першому етапі обробки даних часто виникає необхідність в їх групування. Групування дозволяє представити первинні дані в компактному вигляді, виявити закономірності варіювання ознаки, яка вивчається. Кількість класів можна приблизно намітити, користуючись наступними рекомендацями: при кількості спостережень 25-40 – 5-6 класів, при кількості спостережень 40-60 – 6-8 класів, 60-100 спостережень – 7-10, 100-200 спостережень – 8-12, більше 200 спостережень – 10-15 класів. 6. Для побудови гістограм і таблиць частот використовується вкладка «Нормальность» вікна «Описательные статистики». Число класів (інтервалів) групування даних встановлюється за допомогою лічильника перемикача «Число интервалов» вкладки «Нормальность» вікна «Описательные статистики». Якщо встановити перемикач «Целые интервалы (категории)», то класи (інтервали) групування представлятимуться цілими числами. Результати групування довжини головної частини деталі (змінна Var1) представлені в табл. 1.2. Таблиця 1.2. Частот а Кумул . Відстотокдопуст . Кумул. % % всіх спостереж . Кумул. % від всіх 24,00000<x<=25,0000 0 0 0 50,00000 0,0000 0,0000 25,00000<x<=26,0000 0 0 0 0,00000 0,0000 0,00000 0,0000 26,00000<x<=27,0000 0 1 1 2,00000 2,0000 2,00000 2,0000 27,00000<x<=28,0000 0 1 2 2,00000 4,0000 2,00000 4,0000 28,00000<x<=29,0000 0 5 7 10,00000 14,0000 10,00000 14,0000 29,00000<x<=30,0000 0 25 32 50,00000 64,0000 50,00000 64,0000 30,00000<x<=31,0000 0 13 45 26,00000 90,0000 26,00000 90,0000 31,00000<x<=32,0000 0 5 50 10,00000 100,000 0 10,00000 100,000 0 Пропущ. 0 50 0,00000 0,00000 100,000 0
  • 26.
    26 7. Представимо розподілзмінних на гістограмах. Для цього призначена кнопка «Гистограммы» на вкладках «Быстрый» та «Нормальность» вікна «Описательные статистики». На гістограму при необхідності можна накласти щільність нормального розподілу, перевірити близькість розподілу до нормального виду за допомогою критеріїв Колмогорова- Смірнова, Лілієфорса; обчислити статистику Шапіро-Уілкса. Для цього в групі опцій «Распределение» вкладки «Нормальность» вікна «Описательные статистики» необхідно встановити прапорець навпроти відповідних статистик. Значення статистик показуються прямо на гістограмах (рис. 1.3). Рис. 1.3. Гістограма розподілу довжини головної частини деталі На гістограмі показана крива щільності нормального розподілу, а також критерій Колмогорова-Смирнова (d). Статистика Колмогорова-Смирнова виявилася рівною 0,09271. Чим менше величина цієї статистики, тим ближче розподіл випадкової величини до нормального. Вірогідність нульової гіпотези (р) більше 0,20. Про нормальність розподілу можна судити по графіку на нормальному ймовірнісному папері. Його легко побудувати за допомогою опції «Нормальные вероятностные графики» вкладки «Диаграммы» вікна «Описательные статистики». Чим ближче розподіл до нормального виду, тим краще значення розташовуються на прямій лінії (рис. 1.4.). Цей метод оцінки є фактично суб’єктивним. У сумнівних випадках перевірку на нормальність можна продовжити з використанням спеціальних статистичних критеріїв (Колмогорова-Смирнова, Омега-квадрат (w2 )). Проте детальна перевірка гіпотези про нормальність вибірки вимагає досить значних об’ємів вибірки (на думку деяких авторів не менше 100 спостережень).
  • 27.
    27 Рис. 1.4. Графікна нормальному ймовірнісному папері для довжини головної частини деталі Щоб обрати статистики, що підлягають обчисленню, найзручніше скористатися вкладкою «Дополнительно» вікна «Описательные статистики»(рис. 1.5) Рис. 1.5. Вкладка вибору статистик На проти статистик, що підлягають обчисленню (рис. 1.5) слід поставити прапорець. Після натиснення на кнопку OK вікна «Описательные статистики»на екрані з’явиться таблиця з результатами розрахунків описових статистик (рис.1.6). Рис. 1.6. Вікно з результатами обрахунку описових статистик У таблиці 1.2. ці дані представлені після копіювання у редактор Word N набл. Середнє Геометр. Гармоніч. Медіана Мода Частота Сума
  • 28.
    28 середнє середнє моди Var150 29,80604 29,79022 29,77400 29,80022 Множин. 1 1490,302 Var2 50 4,54702 4,54529 4,54358 4,53260 Множин. 4 227,351 Var3 50 20,88980 20,78100 20,67347 20,87988 17,94666 2 1044,490 Var4 50 3,81692 3,81322 3,80959 3,78419 Множин. 5 190,846 Довірчи й -95% Довірчий 95% Дисперс. Стд.відхил. Станд. похибка Асиметрія Стд. похибкаа симетрії Ексцес Var1 29,53053 30,08155 0,939825 0,969446 0,137100 -1,02287 0,336601 2,75099 3 Var2 4,51085 4,58319 0,016200 0,127281 0,018000 0,57204 0,336601 - 0,02788 Var3 20,27456 21,50504 4,686531 2,164840 0,306155 0,29312 0,336601 - 0,57483 Var4 3,76833 3,86550 0,029228 0,170962 0,024178 0,59875 0,336601 - 0,60140 Стд. похибкае ксцесу Мінімум Максиму м Нижня кварті ль Верхня кварті ль Процентіл ь Процентіл ь Размах Квартіл ь Var1 0,661908 26,25875 31,45051 29,3868 1 30,5342 7 28,72883 30,98524 5,19175 7 1,147456 Var2 0,661908 4,30407 4,88280 4,45435 4,62497 4,40058 4,74493 0,57873 7 0,170626 Var3 0,661908 17,59544 26,09000 19,1014 1 22,0800 0 17,94666 23,81145 8,49456 0 2,978592 Var4 0,661908 3,55535 4,20469 3,68888 3,93183 3,63759 4,10261 0,64934 5 0,242946 Лабораторна робота №4 Використання ППЗ Statistica для обчислення кореляції кількісних ознак ПЛАН 1. Визначення нормальності розподілу даних у ППЗ Statistica 2. Розрахунок кореляції Пірсона у ППЗ Statistica ЛІТЕРАТУРА 1. Білоусова Л. І. Практикум з автоматизованої статистичної обробки даних психолого- педагогічного експерименту: навч. посіб. / Білоусова Л. І., Колгатін О. Г., Колгатіна Л. С. – Х. : Компанія СМІТ, 2007. – 37 с. – Бібліогр. : с. 37. 2. Боровиков В. П. Statistica : Искусствоанализаданных на компьютере / Владимир Боровиков. - СПб. [и др.] : Питер, 2001. - 650 с. 3. Бююль А. SPSS: искусствообработкиинформации : [пер. с нем] / АхимБююль, Петер Цёфель. – Москва [и др.] : DiaSoft, 2005. – 602 с. 4. Дюк В. А. Обработкаданных на ПК в примерах / Вячеслав Дюк. - СПб. : Питер-пресс, 1997. - 231 с. : ил.; 24 см. - (Советыпрофессионала). 5. Наследов А. Д. SPSS 15 профессиональныйстатистическийанализданных / А. Наследов. – Москва [и др.] : Питер, 2008. – 412 с. 6. Томашевський О. В. Комп'ютерні технології статистичної обробки даних: навч. посібник для студ. вищ. навч. закладів, які навчаються за спец. «Якість, стандартизація та сертифікація» / Томашевський О. В., Рисіков В. П. – Запоріжжя : Запорізький національний технічний ун-т, 2006. – 174с. – Бібліогр. с. 171–173.
  • 29.
    29 Хід роботи 1. Задача.При виробничих випробуваннях визначається товщина серцевини свердла Х у мм і стійкість – час роботи свердла до затуплення У у хвилинах. Провести кореляційний аналіз зв’язку між цими показниками. X 0,75 0,79 0,81 0,82 0,84 0,85 Y 14 23 42 39 46 40 X 0,86 0,89 0,90 0,94 0,95 0,98 Y 42 45 49 51 85 78 Розв’язання. 5. Запустити програму Statisticaта створити файл даних з двома змінними та кількістю спостережень – 12. 6. Назва першої змінної – «Х», другої змінна – «Y». 7. Ввести значення спостережень до файлу даних. 8. Провести статистичний аналіз. - «Парные и частныекорреляции» (Головне меню  Анализ  Описательные статистики и таблицы  Парные и частныекорреляции) - Закладка «Опции»; - Обрати «Подробнаятаблицарезультатов»; - Натиснути кнопку «Квадратная матрица» та обрати змінні Xта Y у перший список; - Закладка «Парные»; «Матрица парных корреляций» у
  • 30.
    30 2. Задача. Припольових випробуваннях підземних сталевих трубопроводів одержані значення деформації трубопроводу X (мм) залежно від жорсткості Y (кгc/см) основи траншеї, в яку укладається трубопровід: Х 1,08 0,94 0,96 0,73 0,64 0,68 0,63 0,60 0,67 0,52 У 5,7 7,2 10,1 11,2 13,4 13,7 13,9 14,2 16,0 18,2 Визначити коефіцієнт кореляції і перевірити його значущість на рівні значущості α = 0,05 при альтернативній гіпотезі H1 : ρ < 0 Розв’язання: 1. Запустити програму Statisticaта створити файл даних з двома змінними та кількістю спостережень – 10. 2. Назва першої змінної – «Х», другої змінна – «Y». 3. Ввести значення спостережень до файлу даних. 4. Провести статистичний аналіз. - «Парные и частныекорреляции» (Головне меню  Анализ  Описательные статистики и таблицы  Парные и частныекорреляции) - Закладка «Опции»; - Обрати «Подробнаятаблицарезультатов»; - Натиснути кнопку «Квадратная матрица» та обрати змінні Xта Y у перший список; - Закладка «Парные»; «Матрица парных корреляций» Задача 5. Вивчався вплив повзучості бетону (Х1), витрати цементу на 1 м3 (Х2) т а вологість середовища (Х3):
  • 31.
    31 Таблиця 1.3 Х1 Х2Х3 27 340 80 64 300 75 123 250 68 147 180 63 189 140 59 214 110 52 327 70 48 412 60 40 Побудувати кореляційну матрицю та визначити вибіркові частинні коефіцієнти кореляції. Перевірити значимість частинних коефіцієнтів кореляції. Обчислити коефіцієнт детермінації і перевірити його значимість. Прийняти α = 0,1. Розв’язання 1. Запустити програму Statistica (ПускВсе программыStatistica 6.0Statistica). 2. Створити новий документ (Головне меню  Файл  Создать). У вікні «Создать новый документ» вказати кількість змінних – 3 та кількість спостережень – 8, натиснути кнопку «ОК» 3. Ввести дані спостережень у відповідні змінні. 4. Переходимо до кореляційного аналізу, встановлення тісноти лінійного зв’язку повзучості бетону з витратою цементу та вологістю середовища. Фрагмент вікна файлу даних представлений на рис. 1.7. Рис. 1.7. Вікно файлу даних Після вибору процедури «Парные и частные корреляции» (Головне меню  Анализ  Основные статистики и таблицы  Парные и частные корреляции) на екрані з’явиться відповідне діалогове вікно (рис. 1.8)
  • 32.
    32 Рис. 1.8. Діалоговевікно «Парные и частные корреляции» Встановимо тісноту зв’язку повзучості бетону з витратою цементу та вологістю середовища. В стартовому вікні цієї процедури «Парные и частные корреляции» для розрахунку кореляції Пірсона використовуємо кнопку «Квадратная матрица» У списку змінних обираються змінні, між якими будуть розраховуватися парні коефіцієнти кореляції Пірсона. Після натиснення кнопки «ОК» або «Матрица парных корреляций»на екрані з’явиться кореляційна матриця (рис. 1.9.) Рис. 1.9. Кореляційна матриця Коефіцієнт кореляції – це показник, що оцінює тісноту лінійного зв’язку між ознаками. Він може набувати значень –1 до +1. Знак «–» означає, що зв’язок зворотний, "+" – прямий. Чим ближче коефіцієнт до | 1 |, тим тісніше лінійний зв’язок. При величині коефіцієнта кореляції менше 0,3 зв’язок оцінюється як слабкий, від 0,31 до 0,5 – помірний, від 0,51 до 0,7 - значний, від 0,71 до 0,9 - щільний, 0,91 і вище – дуже щільний. Для практичних цілей рекомендується використовувати значні, щільні і дуже щільні зв’язки. Процедура «Парные и частные корреляции» відразу ж дає можливість перевірити достовірність розрахованих коефіцієнтів кореляції. Значення коефіцієнта кореляції може бути високим, але не достовірним, випадковим. Щоб побачити вірогідність нульової гіпотези (p), що свідчить про те що коефіцієнт кореляції дорівнює 0, треба встановити перемикач «Отображатьр-уровень и N» в закладці «Опции» вікна «Парные и частныекорреляции». Але навіть якщо цього не робити і залишити перемикач в першому положенні «Выделять значимые корреляции», статистично значущі на 5% рівні коефіцієнти кореляції будуть виділені в кореляційній матриці на екрані монітора кольором. Третє положення перемикача опції «Отображать таблицу результатов» дозволяє проглянути результати кореляційного аналізу в деталях (рис. 1.10).
  • 33.
    33 Рис. 1.10. Детальнийперегляд результатів кореляційного аналізу Кнопка «Матричнаядиаграммарассеивания» вікна «Парные и частныекорреляции» дозволяє побудувати матричний графік з гістограмами по кожній змінній, діаграми розкиду між кожною парою змінних і відповідними лініями регресії (рис. 1.11), все це зручними засобом візуальної оціни змінних і зв’язків між ними. Рис. 1.11. Матричні діаграми розсіювання Лабораторна робота №5 Використання Excel для проведення дисперсійного аналізу ПЛАН 1. Простий аналіз дисперсій. F-критерій Фішера. 2. Використання критерію Фішера для перевірки простої лінійної регресії на адекватність.
  • 34.
    34 3. Основні припущенняпро розподіл параметрів 0b та 1b . t-тест Ст’юдента для перевірки параметрів 0b та 1b на значимість. 4. Знаходження інтервалів довіри для параметрів 0 та 1 лінійної регресії. 5. Прогнозування за моделлю простої лінійної регресії. ЛІТЕРАТУРА 7. Білоусова Л. І. Практикум з автоматизованої статистичної обробки даних психолого- педагогічного експерименту: навч. посіб. / Білоусова Л. І., Колгатін О. Г., Колгатіна Л. С. – Х. : Компанія СМІТ, 2007. – 37 с. – Бібліогр. : с. 37. 8. Боровиков В. П. Statistica : Искусствоанализаданных на компьютере / Владимир Боровиков. - СПб. [и др.] : Питер, 2001. - 650 с. 9. Бююль А. SPSS: искусствообработкиинформации : [пер. с нем] / АхимБююль, Петер Цёфель. – Москва [и др.] : DiaSoft, 2005. – 602 с. 10. Дюк В. А. Обработкаданных на ПК в примерах / Вячеслав Дюк. - СПб. : Питер-пресс, 1997. - 231 с. : ил.; 24 см. - (Советыпрофессионала). 11. Наследов А. Д. SPSS 15 профессиональныйстатистическийанализданных / А. Наследов. – Москва [и др.] : Питер, 2008. – 412 с. 12. Томашевський О. В. Комп'ютерні технології статистичної обробки даних: навч. посібник для студ. вищ. навч. закладів, які навчаються за спец. «Якість, стандартизація та сертифікація» / Томашевський О. В., Рисіков В. П. – Запоріжжя : Запорізький національний технічний ун-т, 2006. – 174с. – Бібліогр. с. 171–173. Хід роботи На основі статистичних даних показника Y і фактора Хзнайти оцінки параметрів лінії регресії xbby 10  . Використовуючи критерій Фішера, з надійністюР=0,95 оцінити адекватність прийнятої економічної моделі статистичним даним. Використовуючи t-статистику, з надійністю Р=0,95 оцінити значущість параметрів регресії. Якщо модель адекватна статистичним даним, то знайти: — з надійністю Р=0,95 надійні зони параметрів регресії. — з надійністю Р=0,95 надійні зони базисних даних; — прогноз показника та його надійні інтервали; — коефіцієнт еластичності для базисних даних і прогнозу. Побудувати графіки статистичних даних, лінії регресії і її довірчої зони, коефіцієнта еластичності. На основі одержаної економетричної моделі зробити висновки. Вводиться гіпотеза, що між фактором Х та показником У існує лінійна стохастична залежність xbby 10  . Оцінки параметрів b0 і b1 парної регресії обчислюютьсяза допомогою стандартних функцій пакету Excel. Для роботи використовується пакетExcel. Опишемо порядок виконання роботи. Крок 1. Блок вихідних даних формується в перших двох стовпцях (АЗ:В15)(табл. 1). За блоком вихідних даних іде блок проміжних розрахунків(C3:I15). Прогнозні значення обчислюються у 16-му рядку. Таблиця 1. Формули для обчислень A B C 1 2 X Y Yp 3 2 4,33 =ТЕНДЕНЦИЯ(B3:B15;A3:A15;A3:A16) 4 2,5 9,497 =ТЕНДЕНЦИЯ(B3:B15;A3:A15;A3:A16)
  • 35.
    35 5 3 9,123=ТЕНДЕНЦИЯ(B3:B15;A3:A15;A3:A16) 6 3,5 13,012 =ТЕНДЕНЦИЯ(B3:B15;A3:A15;A3:A16) 7 4 13,124 =ТЕНДЕНЦИЯ(B3:B15;A3:A15;A3:A16) 8 4,5 16,051 =ТЕНДЕНЦИЯ(B3:B15;A3:A15;A3:A16) 9 5 18,431 =ТЕНДЕНЦИЯ(B3:B15;A3:A15;A3:A16) 10 5,5 18,521 =ТЕНДЕНЦИЯ(B3:B15;A3:A15;A3:A16) 11 6 20,177 =ТЕНДЕНЦИЯ(B3:B15;A3:A15;A3:A16) 12 6,5 24,145 =ТЕНДЕНЦИЯ(B3:B15;A3:A15;A3:A16) 13 7 25,252 =ТЕНДЕНЦИЯ(B3:B15;A3:A15;A3:A16) 14 7,5 26,741 =ТЕНДЕНЦИЯ(B3:B15;A3:A15;A3:A16) 15 8 29,949 =ТЕНДЕНЦИЯ(B3:B15;A3:A15;A3:A16) 16 8,5 =ТЕНДЕНЦИЯ(B3:B15;A3:A15;A3:A16) 17 =СУММ(A3:A15) =СУММ(B3:B15) =СУММ(C3:C15) 18 n= =СУММ(A3:A15)/СРЗНАЧ(A3:A15) Xc= 19 b1= =НАКЛОН(B3:B15;A3:A15) Yc= 20 b0= =ОТРЕЗОК(B3:B15;A3:A15) se= 21 sb1= =D20/F17 22 sb0= =D20*СУММКВ(A3:A15)/(B18*F17) 23 tb1= =B19/КОРЕНЬ(B21) 24 tb0= =B20/КОРЕНЬ(B22) 25 tkr= =СТЬЮДРАСПОБР(0,05;B18-2) Крок 2. Середні значення X, Y обчислюються в коміркахD18, D19 з використанням вбудованої статистичної функціїСРЗНАЧ (блок). Крок 3. Длявизначення сум стовпців використовуємокнопку автосумування на панелі інструментів  або вбудовану функцію СУММ(БЛОК). Після встановлення курсору на коміркуA17 натискаємо клавішіShift-FЗ або кнопку xf на панелі інструментів. Відкривається вікноМастерФункций процесораExcel. Знаходимо функціюСУММ, відмічаємо блокАЗ:А15 і натискуємоEnter абоОк. Після натиснення клавіші Enterбудемо мати суму показника Х у комірціA17. Введена формула копіюється в необхідні комірки17-го рядка. Крок 4. До комірокВ19, В20 вводяться формули для визначення оцінок параметрів відповідно b1 і b0. У Excel маються стандартні функції для обчислення параметрів лінійної регресії НАКЛОН(блокY,блокX) - для обчислення b1, ОТРЕЗОК(блокY,блокX) - для обчислення b0. Крок 5. Для обчислення значення iyˆ , (і = 1,13) використаємо стандартну функцію ТЕНДЕНЦИЯ(блокY,блокX,блокX1,конст). Виділимо за допомогою миші комірки C3:C16. ВизиваємоМастерФункций процесораExcel. Знаходимо функціюу розділі статистичних функцій , відмічаємо блоки вихідних даних і натискуємоEnter абоОк. У комірці G17 буде знаходитися сума блоку GЗ:G15. Оскільки математичне очікування відхилення фактичних даних від розрахункових дорівнює нулю, то при правильному виконанні розрахунків значення комірок B17 та G17співпадатимуть. Крок 6. Для знаходження (Y-Yc)^2 у комірку D3 вводиться формула =(BЗ-$D$19)^2. Далі копіюємо одержану формулу в інші комірки стовпця D. Для копіювання формули необхідно: відмітити мишкою комірку D3, натиснути праву клавішу мишки та вибрати з меню командуКопировать. Потім відмічаємо блок копіювання (D4:D15) ставимо покажчик миші на комірку D4, натискуємо з меню командуВставить. Можна скопіювати іншим способом: ставимо курсор на комірку D3, а покажчик миші наводимо на маленький квадратик в правому нижньому куті комірки. Після перетворення покажчика миші в хрестик натискуємо ліву клавішу миші і відмічаємо блок копіювання до D15включно. Формули копіюються в помічений блок. Крок 7. Для знаходження (Y-Yp)^2 у комірку E3 вводиться формула =(B3-С3)^2. Далі копіюємо одержану формулу в інші комірки стовпця E.
  • 36.
    36 Для знаходження (Х-Хс)^2у комірку F3 вводиться формула =(A3-$D$18)^2. Далі копіюємо одержану формулу в інші комірки стовпця F. Крок 8. Cуми значень      222 ˆ,, iiii yyyyxx  обчислюємо у блоку D17:F17. Продовження таблиці1. D E F 1 2 (Y-Yc)^2 (Y-Yp)^2 (X-Xc)^2 3 =(B3-$D$19)^2 =(B3-C3)^2 =(A3-$D$18)^2 4 =(B4-$D$19)^2 =(B4-C4)^2 =(A4-$D$18)^2 5 =(B5-$D$19)^2 =(B5-C5)^2 =(A5-$D$18)^2 6 =(B6-$D$19)^2 =(B6-C6)^2 =(A6-$D$18)^2 7 =(B7-$D$19)^2 =(B7-C7)^2 =(A7-$D$18)^2 8 =(B8-$D$19)^2 =(B8-C8)^2 =(A8-$D$18)^2 9 =(B9-$D$19)^2 =(B9-C9)^2 =(A9-$D$18)^2 10 =(B10-$D$19)^2 =(B10-C10)^2 =(A10-$D$18)^2 11 =(B11-$D$19)^2 =(B11-C11)^2 =(A11-$D$18)^2 12 =(B12-$D$19)^2 =(B12-C12)^2 =(A12-$D$18)^2 13 =(B13-$D$19)^2 =(B13-C13)^2 =(A13-$D$18)^2 14 =(B14-$D$19)^2 =(B14-C14)^2 =(A14-$D$18)^2 15 =(B15-$D$19)^2 =(B15-C15)^2 =(A15-$D$18)^2 16 =(A16-$D$18)^2 17 =СУММ(D3:D15) =СУММ(E3:E15) =СУММ(F3:F15) 18 =СРЗНАЧ(A3:A15) MSR= =(D17-E17)/1 19 =СРЗНАЧ(B3:B15) MSE= =E17/(B18-2) 20 =E17/(B18-2) F= =F18/F19 21 Fkr= =FРАСПОБР(0,05;1;B18-2) 22 b1min 95% b1max 95% 23 =B19-B25*КОРЕНЬ(B21) =B19+B25*КОРЕНЬ(B21) 24 b0min 95% b0max 95% 25 =B20-B25*КОРЕНЬ(B22) =B20+B25*КОРЕНЬ(B22) Крок 9.Для оцінки адекватності прийнятої економетричної моделі експериментальним даним використовуємо F-критерій Фішера. Для визначення розрахункового значення критерію Фішера, створюємо блок проміжних обчислень F18:F21. Обчислимо в комірці F18 значення     1/)ˆ(1/)(1/ 22   iii yyyySSESSTSSRMSR і введемо в неї формулу =(D17-E17)/1. Обчислимо в комірці F19 значення   )2/()ˆ)2/( 2   nyynSSEMSE ii і введемо в неї формулу =E17/(B18-2). Обчислимо в комірці F20 значення MSEMSRF / і введемо в неї формулу =F18/F19. Обчислимо в комірці F21 значення )2,1( nFкр і рівнем довіри 0,95% за допомогою стандартної функції FРАСПОБР(,n1,n2), де -рівень значимості =0,05%. Значення F-критерію для ймовірностіР = 0,95 і числа ступенів вільності n1= 1, n2=n- 2=11 дорівнює 4,84. Крок 10. Якщо розглянути всю генеральну сукупність, то правильної для неї буде модель   xy 10 , де 10 ,  дійсні значення параметрів, а  неспостерігаєма помилка. Математичні сподівання параметрів вибіркової регресії дорівнюють значенням параметрів узагальненої моделі 10 ,  . Параметри 10 ,bb знайдені по методу МНК є нормально розподіленими випадковими величинами з числовими характеристиками:
  • 37.
    37     2 2 22 000 )( ˆˆ,)( xxn x bM i i b - математичне сподівання і дисперсія b0;    2 22 111 )( 1 ˆˆ,)( xx bM i b  -математичне сподівання і дисперсія b1; MSE n SSE n ei       22 ˆ 2 2  -оцінка дисперсії випадкової величини помилки; Для перевірки параметрів на значимість користуються критерієм Ст’юдента. Для цього розраховується t-статистика 2 * ˆbi iib t    , bi-оцінюваний параметр, * i- гіпотетичне значення параметра i, 2 ˆbi -оцінка дисперсії параметра bi. У економетриці розповсюдженою нуль гіпотезою є гіпотеза 0:0 iH  , а альтернативною- 0:1 iH  . У цьому випадку t-статистика має вид: 2 ˆbi ib t   Її значення порівнюють з табличним крt , котре допомагає знайти критичну зону з n-2 ступенями вільності і рівнем значимості (ймовірністю помилки) . Якщо обчислене значення потрапило в критичну зону (t  (-tкр, tкр), то нуль-гіпотеза відкидається – параметр значимий. У противному випадку нуль-гіпотеза приймається – параметр незначущий. Надійний інтервал для параметрів 10 ,  з рівнем значимості  обчислюється по формулі biii tb   ˆ2/ , де t/2 - обчислюється по таблиці розподілу Ст’юдента з рівнем значимості /2 і n-2 ступенями вільності. Обчислимо у комірці D20 значення MSE n SSE n ei       22 ˆ 2 2  за формулою =E17/(B18-2). Обчислимо у комірках B21 значення    2 22 1 )( 1 ˆˆ xxi b  за формулами =D20/F17, та B22 значення     2 2 22 0 )( ˆˆ xxn x i i b  за формулою =D20*СУММКВ(A3:A15)/(B18*F17). У комірках В23:В24 обчислимо t-статистики для параметрів 2 ˆbi ib t   за формулами =B19/КОРЕНЬ(B21) і =B20/КОРЕНЬ(B22). У комірці В25 обчислимо  2,2/ nкрt  за допомогою стандартної функції СТЬЮДРАСПОБР(,n-2), де -рівень значимості =0,05%. Інтервали довіри для параметрів знайдемо у блоці D22:E25. Крок 11. Для визначення оціінки довірчої зони базисних даних та оцінки довірчого інтервалу прогнозу створимо блок G3:I16. Для прогнозу користаються довірчим інтервалом для крапкового значення y з довірчою імовірністю (1-):          2 2 1 2/1101 /11ˆ xx xx ntxbby i n nn  
  • 38.
    38 Довірчий інтервал дляматематичного сподівання          2 2 1 2/1101 /1ˆ xx xx ntxbby i n nn   У блоці комірок G3:G15 обчислюємо        2 2 2/ /1ˆ xx xx nty i i i   , у комірці D16 значення          2 2 1 2/1 /11ˆ xx xx nty i n n   . Продовження таблиці1 G H I J 1 2 Dy Ymin Ymax Kel 3 =$B$25*КОРЕНЬ($D$20*(1/$B$18+F3/$F$17)) =C3-G3 =C3+G3 =$B$19*A3/C3 4 =$B$25*КОРЕНЬ($D$20*(1/$B$18+F4/$F$17)) =C4-G4 =C4+G4 =$B$19*A4/C4 5 =$B$25*КОРЕНЬ($D$20*(1/$B$18+F5/$F$17)) =C5-G5 =C5+G5 =$B$19*A5/C5 6 =$B$25*КОРЕНЬ($D$20*(1/$B$18+F6/$F$17)) =C6-G6 =C6+G6 =$B$19*A6/C6 7 =$B$25*КОРЕНЬ($D$20*(1/$B$18+F7/$F$17)) =C7-G7 =C7+G7 =$B$19*A7/C7 8 =$B$25*КОРЕНЬ($D$20*(1/$B$18+F8/$F$17)) =C8-G8 =C8+G8 =$B$19*A8/C8 9 =$B$25*КОРЕНЬ($D$20*(1/$B$18+F9/$F$17)) =C9-G9 =C9+G9 =$B$19*A9/C9 10 =$B$25*КОРЕНЬ($D$20*(1/$B$18+F10/$F$17)) =C10-G10 =C10+G10 =$B$19*A10/C10 11 =$B$25*КОРЕНЬ($D$20*(1/$B$18+F11/$F$17)) =C11-G11 =C11+G11 =$B$19*A11/C11 12 =$B$25*КОРЕНЬ($D$20*(1/$B$18+F12/$F$17)) =C12-G12 =C12+G12 =$B$19*A12/C12 13 =$B$25*КОРЕНЬ($D$20*(1/$B$18+F13/$F$17)) =C13-G13 =C13+G13 =$B$19*A13/C13 14 =$B$25*КОРЕНЬ($D$20*(1/$B$18+F14/$F$17)) =C14-G14 =C14+G14 =$B$19*A14/C14 15 =$B$25*КОРЕНЬ($D$20*(1/$B$18+F15/$F$17)) =C15-G15 =C15+G15 =$B$19*A15/C15 16 =$B$25*КОРЕНЬ($D$20*(1+1/$B$18+F16/$F$17)) =C16-G16 =C16+G16 =$B$19*A16/C16 17 18 19 20 21 22 23 24 25 У комірках H3:I16 обчислюємо нижню та верхню границю довірчої зони для базисних даних та прогнозу. Крок 12. У комірках J3:J16 обчислюємо коефіцієнт еластичності для базисних значень та прогнозу за формулою Y X bKel ˆ *1 . Вводимо у комірку J3 формулу =$B$19*A3/C3 та копіюємо її у комірки J4:J16. 13. Для наочного уявлення одержаних результатів будуємо графіки: фактичних даних(У), лінії регресії для базисних даних та прогнозу (Ур),довірчу зону для базисних даних і прогнозу (Ymin,Ymax), коефіцієнта еластичності (Kel). Порядок побудови графіків описано в лабораторній роботі №1. Отримуємо діаграму:
  • 39.
    39 Таблиця 2. Оцінкаінтервалів довіри для параметрів регресії, базисних значень та прогнозу. X Y Yp (Y-Yc)^2 (Y-Yp)^2 (X-Xc)^2 Dy Ymin Ymax Kel 2,00 4,330 5,881 175,182 2,406 9,000 1,230 4,651 7,111 1,324 2,50 9,497 7,829 65,103 2,783 6,250 1,086 6,743 8,915 1,244 3,00 9,123 9,776 71,278 0,426 4,000 0,953 8,823 10,729 1,195 3,50 13,012 11,723 20,735 1,660 2,250 0,834 10,889 12,558 1,163 4,00 13,124 13,671 19,728 0,299 1,000 0,738 12,933 14,409 1,140 4,50 16,051 15,618 2,294 0,187 0,250 0,674 14,945 16,292 1,122 5,00 18,431 17,566 0,749 0,749 0,000 0,651 16,915 18,216 1,109 5,50 18,521 19,513 0,913 0,984 0,250 0,674 18,839 20,187 1,098 6,00 20,177 21,460 6,819 1,647 1,000 0,738 20,722 22,198 1,089 6,50 24,145 23,408 43,288 0,543 2,250 0,834 22,574 24,242 1,082 7,00 25,252 25,355 59,081 0,011 4,000 0,953 24,403 26,308 1,075 7,50 26,741 27,303 84,188 0,315 6,250 1,086 26,216 28,389 1,070 8,00 29,949 29,250 153,348 0,489 9,000 1,230 28,020 30,480 1,065 8,50 31,197 12,250 2,722 28,475 33,920 1,061 65,00 228,353 228,353 702,705 12,501 45,500 n= 13Xc= 5,000MSR= 690,204 b1= 3,895Yc= 17,566MSE= 1,136 b0= -1,908se= 1,136F= 607,321 sb1= 0,025 Fkr= 4,844 sb0= 0,712 b1min 95% b1max 95% tb1= 24,644 3,547 4,243 tb0= -2,262 b0min 95% b0max 95% tkr= 2,201 -3,765 -0,051 ВИСНОВКИ
  • 40.
    40 1. Оскільки F>Fкрто з надійністю P=0,95економетричну модель Y =3,89*Х-1,91 можна вважати адекватною експериментальним даним і на підставі прийнятої моделі можна проводити економічний аналіз. 2. Для значення фактора Хр=8,5 середнє значення прогнозу показника Yp = 31,20 з надійністю р = 0,95 буде знаходитися у межах від 28,475 до 33,92. 3. З надійністю р=0,95 нахил та перетин є значимими, оскільки значення t-статистик не потрапяють у інтервал (-2,20;2,20). Інтервали довіри для параметру 1 (3,547;4,243), для параметру 0 (-3,765;-0,051). 4. Для прогнозного значення середнє значення коефіцієнта еластичності дорівнює 1,06. Це означає, що при зміні фактора на 1%, показник зміниться на 1,06%. 2. Значення коефіцієнта еластичності під час зростання фактора від 1 до 13 зменшується від 1,328 до 1,061. Варіанти вхідних даних для лабораторної роботи №2 Для формування варіанта вибирається один стовпчик з таблиці 3 і один стовпчик з таблиці 4. Таблиця 3 № X1 X2 X3 X4 X5 X6 X7 X8 X9 X10 X11 X12 1 2,06 2,53 2,17 3,65 3,22 2,16 4,57 2,25 6,15 1,86 2,07 3,11 2 2,58 3,54 2,90 3,82 3,87 2,65 5,42 2,98 5,66 1,91 3,22 3,15 3 3,14 3,84 3,29 3,76 4,95 3,49 5,29 2,15 7,50 2,14 3,04 3,85 4 3,54 3,84 4,13 5,24 5,10 3,16 6,33 2,71 6,90 3,39 3,42 4,84 5 4,18 4,22 5,25 5,03 5,98 3,85 7,63 3,70 8,31 3,95 5,23 4,62 6 4,78 4,81 4,92 5,52 7,28 4,58 7,53 4,59 8,25 4,30 5,70 4,87 7 5,11 6,53 5,79 5,62 6,90 5,33 7,73 4,77 9,39 5,10 5,53 6,09 8 5,67 5,82 5,87 6,98 7,54 5,89 8,44 5,34 9,73 5,47 6,41 7,06 9 6,02 6,43 6,99 6,91 7,91 6,20 9,49 5,45 9,33 5,97 6,68 6,23 10 6,65 7,73 7,04 7,95 8,40 6,39 9,18 6,00 10,50 6,16 7,46 6,83 11 7,05 8,19 8,14 7,24 8,14 6,95 10,14 6,25 11,10 6,46 6,83 8,01 12 7,52 7,65 8,06 9,27 8,76 7,25 9,94 6,79 11,51 6,07 6,34 8,26 13 8,03 9,31 8,57 8,46 9,67 7,80 10,92 8,24 12,42 6,71 8,19 9,37 14 8,56 9,26 9,45 10,3 10,28 8,47 11,89 8,51 12,40 7,16 7,19 9,02 15 9,03 9,86 9,06 10,72 10,59 9,22 11,14 9,15 13,14 8,81 9,72 9,76 Xp 9,52 9,69 10,30 10,05 11,58 9,32 11,73 9,78 12,56 8,07 8,71 10,28 Таблиця 4 № Y1 Y2 Y3 Y4 Y5 Y6 Y7 Y8 Y9 Y10 Y11 Y12 1 7,24 10,89 16,21 12,11 15,21 16,62 10,22 12,50 19,66 14,87 22,68 10,65 2 8,02 11,92 17,75 12,30 15,42 17,63 10,58 13,88 20,53 15,78 23,89 11,87 3 9,28 12,45 18,39 13,82 16,44 19,22 12,01 15,16 21,31 16,79 24,32 12,96 4 10,12 13,27 18,87 14,84 17,93 19,36 12,84 16,06 22,59 18,03 25,97 13,40 5 11,12 14,12 19,60 15,86 18,52 20,52 13,28 16,66 23,27 18,29 26,23 15,12 6 12,19 15,23 21,21 16,41 19,80 21,95 15,13 17,65 24,44 19,23 27,60 16,03 7 13,01 16,07 21,84 17,80 20,76 22,45 15,84 18,46 25,85 20,32 28,13 16,29 8 14,12 17,40 23,00 18,61 21,30 23,56 17,08 19,54 26,74 21,18 29,84 18,07 9 15,21 18,68 24,44 19,57 22,25 24,90 17,99 20,58 27,36 22,47 30,31 18,40 10 16,29 19,46 25,36 21,26 24,14 25,53 18,32 21,77 28,37 23,47 31,52 19,53 11 17,01 20,52 25,54 21,08 24,17 26,11 19,49 22,15 29,22 24,07 32,27 20,48 12 18,03 21,32 27,14 22,99 25,66 28,02 20,59 23,80 30,50 25,57 33,77 21,72 13 19,19 22,58 27,95 23,43 26,50 28,37 21,35 24,79 31,21 27,07 34,66 23,17 14 20,21 23,73 28,99 24,63 27,46 29,46 23,20 25,57 2,56 27,62 35,93 23,57 15 21,22 25,02 30,80 25,41 29,02 30,42 24,21 27,18 33,66 28,42 36,97 24,41
  • 41.
    41 Контрольні питання: І. Якіформули використовуються для розрахунку параметрів регресії? ІІ. Сформулюйте критерій перевірки моделі на адекватність (критерій Фішера). ІІІ. Сформулюйте критерій перевірки параметрів на значимість (критерій Ст’юдента). ІV. Опишіть порядок побудови інтервалів довіри для параметрів регресії та прогнозу, використувані формули. V. Які стандартні функції Excel використовуються для розрахунків вищеназваних величин? VІ. Чи вірні ці ствердження (так/ні; пояснити чому) 1. При перевірці значимості нахилу в регресії нульова гіпотеза завжди: 1 =1. 2. Від'ємний і значимий нахил означає, що є непрямий зв'язок між незалежною і залежною змінними. 3. Якщо рівень значимості  = 0.05, двосторонній тест значимості 1 матиме менше абсолютне критичне значення, ніж односторонній тест. 4. Прогнози є одним із найважливіших застосувань регресійного аналізу. 5. Прогнозне значення у завжди дорівнюватиме дійсному значенню у. 6. Значення t-статистики не може бути від'ємним. 7. У простій лінійній регресії великий R2 означає значимий нахил. 8. Проблема помилок у змінних виникає через неточності незалежної змінної. 9. Від'ємна t-статистика для нахилу означає, що незалежна змінна не є значимою. 10. t-статистику можна використати, щоб перевірити значимість коефіцієнта кореляції між двома випадковими змінними. Лабораторна робота №6 Використання Excel для проведення регресійного аналізу ПЛАН 1. Загальне рівняння лінійної регресії. 2. Оцінка параметрів лінійної регресії за допомогою МНК. 3. Властивості простої вибіркової лінійної регресії. 4. Коефіцієнти кореляції та детермінації та зв’язок між ними і нахилом регресії. ЛІТЕРАТУРА 13. Білоусова Л. І. Практикум з автоматизованої статистичної обробки даних психолого- педагогічного експерименту: навч. посіб. / Білоусова Л. І., Колгатін О. Г., Колгатіна Л. С. – Х. : Компанія СМІТ, 2007. – 37 с. – Бібліогр. : с. 37. 14. Боровиков В. П. Statistica : Искусствоанализаданных на компьютере / Владимир Боровиков. - СПб. [и др.] : Питер, 2001. - 650 с. 15. Бююль А. SPSS: искусствообработкиинформации : [пер. с нем] / АхимБююль, Петер Цёфель. – Москва [и др.] : DiaSoft, 2005. – 602 с. 16. Дюк В. А. Обработкаданных на ПК в примерах / Вячеслав Дюк. - СПб. : Питер-пресс, 1997. - 231 с. : ил.; 24 см. - (Советыпрофессионала). 17. Наследов А. Д. SPSS 15 профессиональныйстатистическийанализданных / А. Наследов. – Москва [и др.] : Питер, 2008. – 412 с. 18. Томашевський О. В. Комп'ютерні технології статистичної обробки даних: навч. посібник для студ. вищ. навч. закладів, які навчаються за спец. «Якість, стандартизація та сертифікація» / Томашевський О. В., Рисіков В. П. – Запоріжжя : Запорізький національний технічний ун-т, 2006. – 174с. – Бібліогр. с. 171–173. Хід роботи На основі статистичних даних показника Y і фактора Х(блокА2:В16 ) знайти оцінки: — коефіцієнта кореляції та детермінації;
  • 42.
    42 — параметрів лініїрегресії xbby 10  . Використовуючи коефіцієнт детермінації, оцінити адекватність прийнятої економічної моделі статистичним даним. Якщо модель адекватна статистичним даним, то знайти точковий прогноз показника. Побудувати графіки статистичних даних, лінії регресії. На основі одержаної економетричної моделі зробити висновки. Вводиться гіпотеза, що між фактором Х та показником У існує лінійна стохастична залежність xbby 10  . Оцінки параметрів b0 і b1 парної регресії обчислюютьсяза формулами:          21 xx yyxx b i ii , xbyb 10  Для роботи використовується пакетExcel. Опишемо порядок виконання роботи. Крок1. Блок вихідних даних формується в перших двох стовпцях (АЗ:В15)(табл. 1). За блоком вихідних даних іде блок проміжних розрахунків(C3:I15). Прогнозні значення обчислюються у 16-му рядку. Таблиця 1. Формули для обчислень А В С D Е 1 2 X Y X-Xc Y-Yc (X-Xc)^2 3 2 4,33 =A3-$D$18 =B3-$D$19 =C3^2 4 2,5 9,497 =A4-$D$18 =B4-$D$19 =C4^2 5 3 9,123 =A5-$D$18 =B5-$D$19 =C5^2 6 3,5 13,012 =A6-$D$18 =B6-$D$19 =C6^2 7 4 13,124 =A7-$D$18 =B7-$D$19 =C7^2 8 4,5 16,051 =A8-$D$18 =B8-$D$19 =C8^2 9 5 18,431 =A9-$D$18 =B9-$D$19 =C9^2 10 5,5 18,521 =A10-$D$18 =B10-$D$19 =C10^2 11 6 20,177 =A11-$D$18 =B11-$D$19 =C11^2 12 6,5 24,145 =A12-$D$18 =B12-$D$19 =C12^2 13 7 25,252 =A13-$D$18 =B13-$D$19 =C13^2 14 7,5 26,741 =A14-$D$18 =B14-$D$19 =C14^2 15 8 29,949 =A15-$D$18 =B15-$D$19 =C15^2 16 8,5 17 =СУММ(A3:A15) =СУММ(B3:B15) =СУММ(C3:C15) =СУММ(D3:D15) =СУММ(E3:E15) 18 n= =СУММ(A3:A15)/СРЗНАЧ(A3:A15) Xc= =СРЗНАЧ(A3:A15)R^2= 19 b1= =F17/E17 Yc= =СРЗНАЧ(B3:B15)r= 20 b0= =D19-B19*D18 Крок 2. Середні значення X, Y обчислюються в коміркахD18, D19 з використанням вбудованої статистичної функціїСРЗНАЧ (блок даних). Крок 3. Длявизначення сум стовпців використовуємокнопку автосумування на панелі інструментів  або вбудовану функцію СУММ(блок даних). Після встановлення курсору на комірку A17 натискаємо клавішіShift-FЗ або кнопку xf на панелі інструментів. Відкривається вікноМастерФункций процесораExcel. Знаходимо функціюСУММ, відмічаємо блокАЗ:А15 і натискуємоEnter абоОк. Після натиснення
  • 43.
    43 клавіші Enterбудемо матисуму показника Х у комірціA17. Введена формула копіюється в необхідні комірки17-го рядка. Крок 4. Для знаходження різниці Х-Xc у комірку С3 вводиться формула =АЗ-$D$18. Далі копіюємо одержану формулу в інші комірки стовпця С. Для копіювання формули необхідно: відмітити мишкою комірку С3, натиснути праву клавішу мишки та вибрати з меню командуКопировать. Потім відмічаємо блок копіювання (С4:С15) ставимо покажчик миші на комірку С4, натискуємо з меню командуВставить. Можна скопіювати іншим способом: ставимо курсор на комірку С3, а покажчик миші наводимо на маленький квадратик в правому нижньому куті комірки. Після перетворення покажчика миші в хрестик натискуємо ліву клавішу миші і відмічаємо блок копіювання до С15включно. Формули копіюються в помічений блок. Аналогічним чином обчислюється значення Y-Yc у стовпці D. Крок 5. Для знаходження добутку (Х-Хс)(X-Xc) у комірку E3 вводиться формула =С3^2. Далі копіюємо одержану формулу в інші комірки стовпця E. Для знаходження добутку (Х-Хс)(Y-Yc) у комірку F3 вводиться формула =С3*D3. Далі копіюємо одержану формулу в інші комірки стовпця F. Крок 6.Cуми значень     xxyyxx iii  , 2 обчислюємо у блоку E17:F17. Крок 7. До комірокВ19, В20 вводяться формули для визначення оцінок параметрів відповідно b1 і b0. Крок 8. Для обчислення значення iyˆ , (і = 1,13) у комірку G3 вводимо формулу ixbb 10  з абсолютними посиланнями координати параметрів b0 , b1 і відносним посиланням координати xі. Одержану формулу у комірці GЗ копіюємо у блок G4:G16. У комірці G17 буде знаходитися сума блоку GЗ:G15. Оскільки математичне очікування відхилення фактичних даних від розрахункових дорівнює нулю, то при правильному виконанні розрахунків значення комірок B17 та G17співпадатимуть. Продовження таблиці 1. F G H I 1 2 (X-Xc)(Y-Yc) Yp (Y-Yc)^2 (Y-Yp)^2 3 =C3*D3 =$B$20+$B$19*A3 =(B3-$D$19)^2 =(B3-G3)^2 4 =C4*D4 =$B$20+$B$19*A4 =(B4-$D$19)^2 =(B4-G4)^2 5 =C5*D5 =$B$20+$B$19*A5 =(B5-$D$19)^2 =(B5-G5)^2 6 =C6*D6 =$B$20+$B$19*A6 =(B6-$D$19)^2 =(B6-G6)^2 7 =C7*D7 =$B$20+$B$19*A7 =(B7-$D$19)^2 =(B7-G7)^2 8 =C8*D8 =$B$20+$B$19*A8 =(B8-$D$19)^2 =(B8-G8)^2 9 =C9*D9 =$B$20+$B$19*A9 =(B9-$D$19)^2 =(B9-G9)^2 10 =C10*D10 =$B$20+$B$19*A10 =(B10-$D$19)^2 =(B10-G10)^2 11 =C11*D11 =$B$20+$B$19*A11 =(B11-$D$19)^2 =(B11-G11)^2 12 =C12*D12 =$B$20+$B$19*A12 =(B12-$D$19)^2 =(B12-G12)^2 13 =C13*D13 =$B$20+$B$19*A13 =(B13-$D$19)^2 =(B13-G13)^2 14 =C14*D14 =$B$20+$B$19*A14 =(B14-$D$19)^2 =(B14-G14)^2 15 =C15*D15 =$B$20+$B$19*A15 =(B15-$D$19)^2 =(B15-G15)^2 16 =$B$20+$B$19*A16 17 =СУММ(F3:F15) =СУММ(G3:G15) =СУММ(H3:H15) =СУММ(I3:I15) 18 =1-I17/H17 19 =F17/КОРЕНЬ(E17*H17) 20 Крок 9. Для оцінки коефіцієнта кореляції та коефіцієнта детермінації будуємо блокH3:I17. У коміркуH3 вводиться формула для обчислення значення  2 yyi  та копіюється в блок H3:H15. Сума блокуH3:H15 обчислюється у комірціH17.
  • 44.
    44 У коміркуI3 вводитьсяформула для обчислення значення  2 ˆyyi  та копіюється в блок I3:I15. Сума блокуI3:I15 обчислюється у комірціI17. Таблиця 2. Оцінка параметрів регресії X Y X-Xc Y-Yc (X-Xc)^2 (X-Xc)(Y-Yc) Yp (Y-Yc)^2 (Y-Yp)^2 2,00 4,330 -3,00 -13,236 9,00 39,7068462 5,881275 175,1815 2,406453 2,50 9,497 -2,50 -8,069 6,25 20,1715385 7,828665 65,10255 2,783342 3,00 9,123 -2,00 -8,443 4,00 16,8852308 9,776055 71,27775 0,426481 3,50 13,012 -1,50 -4,554 2,25 6,83042308 11,72345 20,73541 1,660374 4,00 13,124 -1,00 -4,442 1,00 4,44161538 13,67084 19,72795 0,299029 4,50 16,051 -0,50 -1,515 0,25 0,75730769 15,61823 2,29406 0,187294 5,00 18,431 0,00 0,865 0,00 0 17,56562 0,748891 0,748891 5,50 18,521 0,50 0,955 0,25 0,47769231 19,51301 0,91276 0,984075 6,00 20,177 1,00 2,611 1,00 2,61138462 21,4604 6,81933 1,647104 6,50 24,145 1,50 6,579 2,25 9,86907692 23,40779 43,2883 0,543485 7,00 25,252 2,00 7,686 4,00 15,3727692 25,35518 59,08051 0,010645 7,50 26,741 2,50 9,175 6,25 22,9384615 27,30257 84,18768 0,315356 8,00 29,949 3,00 12,383 9,00 37,1501538 29,24996 153,3482 0,488662 8,50 31,19735 65,00 228,35 0,00 0,00 45,50 177,21 228,35 702,70 12,50 n= 13,00Xc= 5,00R^2= 0,9822099 b1= 3,89Yc= 17,57r= 0,99106503 b0= -1,91 Значення коефіцієнта кореляції обчислюється у комірці F19. Значення коефіцієнта детермінації обчислюється у комірціF18. Результат обчислень наведений у табл. 2. Крок 10. Для наочного уявлення одержаних розрахунківбудуємо графіки: фактичних даних(У), лінії регресії для базисних даних та прогнозу (Ур) Порядок побудови графіків 1. Наводимо курсор на Мастердиаграмм і натискаємо лівою клавішею миші. 2. . У діалоговому вікніМастердиаграмм шаг 1 из 4 вибираємо тип діаграми — Точечная. Для переходу до наступного діалогового вікна натискаємо кнопкуДалее>. 3. У діалоговому вікніМастердиаграмм шаг 2 из 4 вказуємо диапазон даних, що дані знаходяться в стовпцях, вказуємо назви рядів Y, Yp. 4. У діалоговому вікні Мастердиаграммшаг 3 из 4 вводимо назву графіка і назву координатних осей. 5. При переході до наступного вікна натискаємо клавішу Далее>, а після останнього вікна натискаємо клавішу Готово. Приступимо до побудови графіків Тримаючи клавішу Ctrl, відмічаємо мишею потрібні для побудови графіка блоки: АЗ:А16, ВЗ:В15, GЗ:G16. Активізуємо кнопку, що знаходиться на панелі інструментів. Відмічені блоки будуть оточені рухливою лінією, а покажчик миші набуде форми маленького чорного хрестика. Помістивши його в поле робочого аркуша (нижче таблиці) і тримаючи натиснутою ліву кнопку миші, розтягнемо прямокутник до бажаної величини графіка. Як тільки відпустимо кнопку, відкриється перший діалог Мастерадиаграмм, в якому будуть показані виділені блоки для побудови графіка . Натиснувши мишкою на кнопку Далее>, перейдемо до наступного діалогу, в якому пропонується вибрати тип майбутнього графіка, після чого натискаємо знову кнопку Далее> і вибираємо різновид вибраного типу графіка. Наступне вікно діалогу продемонструє зов- нішній вигляд графіка . Якщо отриманий результат не задовольняє, можна повернутися до попереднього діалогу, натиснувши кнопку<Назад.
  • 45.
    45 Рухаємось далі. Востанньому вікні діалогу даємо назву всього графіка і його осям . При натисненні клавіші Готовона робочому аркуші з'являється графік . В Excel для кожного графіка (діаграми) можна створити окремий робочий аркуш. Позначивши блок комірок на робочому аркуші і вибравши команду менюВставка - Диаграмма - на новомлисте, створюємо графік на новому аркуші. Для редагування графіка (або його частин) необхідно навести на нього курсор і натиснути 2 рази на ліву клавішу миші. ВИСНОВКИ 1. Оскільки R2 =0.98 економетричну модель Y =3,89*Х-1,91 можна вважати адекватною експериментальним даним і на підставі прийнятої моделі можна проводити економічний аналіз. 2. Для значення фактора Хр=8,5 середнє значення прогнозу показника Yp = 31,20. 3. При зміні фактора на одиницю показник зміниться на 3,89. 4. Коефіцієнт кореляції r =0,99, що говорить про тісний лінійний зв'язок фактора і показника.
  • 46.
    46 Варіанти вхідних данихдля лабораторної роботи №1 Виконати розрахунки і зробити висновки, використовуючи нижче наведені дані. Для формування варіанта вибирається один стовпчик з таблиці 3 і один стовпчик з таблиці 4. Таблиця 3 № X1 X2 X3 X4 X5 X6 X7 X8 X9 X10 X11 X12 1 2,06 2,53 2,17 3,65 3,22 2,16 4,57 2,25 6,15 1,86 2,07 3,11 2 2,58 3,54 2,90 3,82 3,87 2,65 5,42 2,98 5,66 1,91 3,22 3,15 3 3,14 3,84 3,29 3,76 4,95 3,49 5,29 2,15 7,50 2,14 3,04 3,85 4 3,54 3,84 4,13 5,24 5,10 3,16 6,33 2,71 6,90 3,39 3,42 4,84 5 4,18 4,22 5,25 5,03 5,98 3,85 7,63 3,70 8,31 3,95 5,23 4,62 6 4,78 4,81 4,92 5,52 7,28 4,58 7,53 4,59 8,25 4,30 5,70 4,87 7 5,11 6,53 5,79 5,62 6,90 5,33 7,73 4,77 9,39 5,10 5,53 6,09 8 5,67 5,82 5,87 6,98 7,54 5,89 8,44 5,34 9,73 5,47 6,41 7,06 9 6,02 6,43 6,99 6,91 7,91 6,20 9,49 5,45 9,33 5,97 6,68 6,23 10 6,65 7,73 7,04 7,95 8,40 6,39 9,18 6,00 10,50 6,16 7,46 6,83 11 7,05 8,19 8,14 7,24 8,14 6,95 10,14 6,25 11,10 6,46 6,83 8,01 12 7,52 7,65 8,06 9,27 8,76 7,25 9,94 6,79 11,51 6,07 6,34 8,26 13 8,03 9,31 8,57 8,46 9,67 7,80 10,92 8,24 12,42 6,71 8,19 9,37 14 8,56 9,26 9,45 10,3 10,28 8,47 11,89 8,51 12,40 7,16 7,19 9,02 15 9,03 9,86 9,06 10,72 10,59 9,22 11,14 9,15 13,14 8,81 9,72 9,76 Xp 9,52 9,69 10,30 10,05 11,58 9,32 11,73 9,78 12,56 8,07 8,71 10,28 Таблиця 4 № Y1 Y2 Y3 Y4 Y5 Y6 Y7 Y8 Y9 Y10 Y11 Y12 1 7,24 10,89 16,21 12,11 15,21 16,62 10,22 12,50 19,66 14,87 22,68 10,65 2 8,02 11,92 17,75 12,30 15,42 17,63 10,58 13,88 20,53 15,78 23,89 11,87 3 9,28 12,45 18,39 13,82 16,44 19,22 12,01 15,16 21,31 16,79 24,32 12,96 4 10,12 13,27 18,87 14,84 17,93 19,36 12,84 16,06 22,59 18,03 25,97 13,40 5 11,12 14,12 19,60 15,86 18,52 20,52 13,28 16,66 23,27 18,29 26,23 15,12
  • 47.
    47 6 12,19 15,2321,21 16,41 19,80 21,95 15,13 17,65 24,44 19,23 27,60 16,03 7 13,01 16,07 21,84 17,80 20,76 22,45 15,84 18,46 25,85 20,32 28,13 16,29 8 14,12 17,40 23,00 18,61 21,30 23,56 17,08 19,54 26,74 21,18 29,84 18,07 9 15,21 18,68 24,44 19,57 22,25 24,90 17,99 20,58 27,36 22,47 30,31 18,40 10 16,29 19,46 25,36 21,26 24,14 25,53 18,32 21,77 28,37 23,47 31,52 19,53 11 17,01 20,52 25,54 21,08 24,17 26,11 19,49 22,15 29,22 24,07 32,27 20,48 12 18,03 21,32 27,14 22,99 25,66 28,02 20,59 23,80 30,50 25,57 33,77 21,72 13 19,19 22,58 27,95 23,43 26,50 28,37 21,35 24,79 31,21 27,07 34,66 23,17 14 20,21 23,73 28,99 24,63 27,46 29,46 23,20 25,57 2,56 27,62 35,93 23,57 15 21,22 25,02 30,80 25,41 29,02 30,42 24,21 27,18 33,66 28,42 36,97 24,41 Контрольні питання: I. Опишіть параметри регресії та їх зміст. II. Що таке коєфіцієнт кореляції, його зміст? III. Що таке коефіцієнт детермінації, його зміст? IV. Які формули використовуються для розрахунку параметрів регресії, коефіцієнтів кореляції, детермінації? V. Чи вірні ці ствердження (так/ні; пояснити чому) 1. Діаграма розподілу показує взаємозв'язок між залежною і незалежною змінними. 2. У регресійному аналізі залежна змінна завжди знаходиться на осі х, а незалежна змінна — на осі у. 3. Придатність регресійної моделі може вимірюватись як коефіцієнтом детермінації, так і стандартною помилкою оцінювання (корінь з середнього квадрату залишків). 4. Множинну регресію використовуємо, коли на незалежну змінну впливає дві або більше залежних змінних. 5. Нахил регресії вимірює зв'язок між залежною і незалежною змінними. 6. Перетин у регресії — це значення залежної змінної, коли незалежна змінна дорівнює 0. 7. Якщо ми хочемо, за допомогою регресійного аналізу виміряти зв'язок між оцінками у вузі і оцінками у школі, то залежною змінною повинні бути оцінки у вузі, а незалежною змінною — оцінки у школі. 8. У кореляційному аналізі важливо знати, яка саме змінна є незалежною, а яка залежною. 9. Метод найменших квадратів визначає лінію регресії через мінімізацію суми квадратів відхилень. 10. Коефіцієнт детермінації вимірює частку дисперсії незалежної змінної, що пояснює регресію. 11. Якщо дві змінні мають коефіцієнт кореляції -1, то зв'язок між ними зворотний. 12. Якщо економіст поміняє місцями залежну і незалежну змінні (припускаємо, що це можливо в економічному контексті), то R2 зменшиться. 13. R2 у простій регресії дорівнює квадрату коефіцієнта кореляції між х і y. 14. Якщо b1< 0, то це означає, що х має дуже малий вплив на y. 15. Якщо коефіцієнт кореляції дорівнює 1, то точки даних знаходяться на прямій лінії. 16. Коваріація завжди лежить між -1 та +1. Лабораторна робота №7 Використання ППЗ Statistica для проведення регресійного аналізу ПЛАН 1. Використання ППЗ Statistica для оцінки параметрів лінійної регресії. 2. Використання ППЗ Statistica для з’язуваннявластивості простої вибіркової лінійної регресії. 3. Коефіцієнти кореляції та детермінації та зв’язок між ними і нахилом регресії.
  • 48.
    48 ЛІТЕРАТУРА 1. Білоусова Л.І. Практикум з автоматизованої статистичної обробки даних психолого- педагогічного експерименту: навч. посіб. / Білоусова Л. І., Колгатін О. Г., Колгатіна Л. С. – Х. : Компанія СМІТ, 2007. – 37 с. – Бібліогр. : с. 37. 2. Боровиков В. П. Statistica : Искусствоанализаданных на компьютере / Владимир Боровиков. - СПб. [и др.] : Питер, 2001. - 650 с. 3. Бююль А. SPSS: искусствообработкиинформации : [пер. с нем] / АхимБююль, Петер Цёфель. – Москва [и др.] : DiaSoft, 2005. – 602 с. 4. Дюк В. А. Обработкаданных на ПК в примерах / Вячеслав Дюк. - СПб. : Питер-пресс, 1997. - 231 с. : ил.; 24 см. - (Советыпрофессионала). 5. Наследов А. Д. SPSS 15 профессиональныйстатистическийанализданных / А. Наследов. – Москва [и др.] : Питер, 2008. – 412 с. 6. Томашевський О. В. Комп'ютерні технології статистичної обробки даних: навч. посібник для студ. вищ. навч. закладів, які навчаються за спец. «Якість, стандартизація та сертифікація» / Томашевський О. В., Рисіков В. П. – Запоріжжя : Запорізький національний технічний ун-т, 2006. – 174с. – Бібліогр. с. 171–173. Хід роботи Задача. Досліджується залежність між межею міцності пресованої деталі y (МПа) і температурою при пресуванні х (град.). Передбачається наявність лінійної залежності між цими показниками. X 120 125 130 135 140 145 150 155 160 165 Y 110 107 105 98 100 95 95 92 86 83 Розв’язання. 9. Запустити програму Statisticaта створити файл даних з двома змінними та кількістю спостережень – 10. 10. Назва першої змінної – «Х», другої змінної – «Y». 11. Ввести значення спостережень до файлу даних. 12. Провести статистичний аналіз. - «Множественная регрессия» (Головне меню  Анализ  Множественная регрессия) - Обрати залежну та незалежну змінні; - Натиснути кнопку «ОК» на екрані; - Переглянути попередні та проміжні значення розрахунків регресійного аналізу - Вивести стогові результати регресійного аналізу в таблиці натиснувши кнопку «Итоговаятаблицарегресии»
  • 49.
    49 Задача. Забудовник оцінюєгрупу будівель у діловому районі. Його цікавлять загальна площа будівлі , кількість офісів , кількість входів , час експлуатації будівлі . Обираються довільно 11 будівель з 1500. Вихідні дані наведені у таблиці (0,5 входу означає вхід тільки для доставки кореспонденції), – ціна будівлі у тис. у.о. X1 X2 V3 X4 Y 1 2310 2 2 20 142 2 2333 2 2 12 144 3 2356 3 1,5 33 151 4 2379 3 2 43 150 5 2402 2 3 53 139 6 2425 4 2 23 169 7 2448 2 1,5 99 126 8 2471 2 2 34 142 9 2494 3 3 23 163 10 2517 4 4 55 169 11 2540 2 3 22 149 Необхідно визначити лінійні зв’язки між ціною і факторами. Найти коефіцієнти моделі. Перевірити значимість моделі і факторів. Розв’язання.
  • 50.
    50 1. Запустити програмуStatisticaта створити файл даних з п’ятьма змінними та кількістю спостережень – 11. 2. Назва перших чотирьох змінних – «Х1-Х4», п’ятої змінної – «Y». 3. Ввести значення спостережень до файлу даних. 4. Провести статистичний аналіз. - «Множественная регрессия» (Головне меню  Анализ  Множественная регрессия) - Обрати залежну та незалежну змінні; - Натиснути кнопку «ОК» на екрані; - Переглянути попередні та проміжні значення розрахунків регресійного аналізу - Вивести стогові результати регресійного аналізу в таблиці натиснувши кнопку «Итоговаятаблицарегресии»
  • 51.
    51 Лабораторна робота №8 ВикористанняППЗ Statistica при проведенні перевірки статистичних гіпотез ПЛАН 1. Використання ППЗ Statistica при проведенні перевірки статистичних гіпотез за методом Колмагорова-Смірнова. 2. Використання ППЗ Statistica при проведенні перевірки статистичних гіпотез за методом U-критерійМанна-Уітні. ЛІТЕРАТУРА 1. Білоусова Л. І. Практикум з автоматизованої статистичної обробки даних психолого- педагогічного експерименту: навч. посіб. / Білоусова Л. І., Колгатін О. Г., Колгатіна Л. С. – Х. : Компанія СМІТ, 2007. – 37 с. – Бібліогр. : с. 37. 2. Боровиков В. П. Statistica : Искусствоанализаданных на компьютере / Владимир Боровиков. - СПб. [и др.] : Питер, 2001. - 650 с. 3. Бююль А. SPSS: искусствообработкиинформации : [пер. с нем] / АхимБююль, Петер Цёфель. – Москва [и др.] : DiaSoft, 2005. – 602 с. 4. Дюк В. А. Обработкаданных на ПК в примерах / Вячеслав Дюк. - СПб. : Питер-пресс, 1997. - 231 с. : ил.; 24 см. - (Советыпрофессионала). 5. Наследов А. Д. SPSS 15 профессиональныйстатистическийанализданных / А. Наследов. – Москва [и др.] : Питер, 2008. – 412 с. 6. Томашевський О. В. Комп'ютерні технології статистичної обробки даних: навч. посібник для студ. вищ. навч. закладів, які навчаються за спец. «Якість, стандартизація та сертифікація» / Томашевський О. В., Рисіков В. П. – Запоріжжя : Запорізький національний технічний ун-т, 2006. – 174с. – Бібліогр. с. 171–173. Хід роботи Задача. Для перевірки ефективності нової розвиваючої програми були створені групи дітей. Одна група (експериментальна), займалася за новою навчальною програмою, друга (контрольна) – по старій. Після експерименту, діти обох груп були протестовані за методикою Керна-Йерасика (шкільна зрілість). Результати тестування за вербальною шкалою занесені до таблиці. Чи можливо стверджувати, що нова програма є ефективною та має перевагу перед старою. Результати експерименту: Експериментальна група 12 13 10 8 13 12 15 12 10 11 13 11 11 14 11 12 Контрольна група 14 13 14 14 14 13 12 12 15 13 13 13 13 10 13 13 Розв’язання. Сформулюємо гіпотезу:  Н0: дві вибірки є однорідними, що підтверджує статистичну значущість різниці середніх;  Н1: дві вибірки не є однорідними, і не можна стверджувати, що різниця середніх є статистично значима. 1. Розрахуємо непараметричні критерії Колмагорова-Смірнова, U-критерійМанна-Уітні: - «КритерийКолмогорова-Смирнова » (Анализ Непараметрическая статистика  Сравнение двух независимых групп) - Обрати змінні «Група» та «Бал» натиснувши кнопку «Переменные» на екрані - Натиснути кнопку «КритерийКолмогорова-Смирнова».
  • 52.
    52 - Натиснути кнопку«U-критерийМанна-Уитни». Висновок: Н1 гіпотеза відкидається і приймається Н0. Тобто дві вибрики є однорідними, що дає змогу стверджувати, відповідно до різниці середні у двох вибірках про відсутність позитивного впливу нової навчальної програми.