Keeping the Customer 
Safe 
Socket Safety Clips, Hot Sockets & 
Other Recent Research & Development 
at TESCO 
10/02/2012 Slide 1 
Prepared by Tom Lawton 
TESCO – The Eastern Specialty Company 
for EEI Fall Transmission, Distribution and Metering Conference 2014
The Issue 
• Hot Sockets are not a new phenomenon. Virtually every meter man has pulled a meter with a 
portion of the meter base around a blade melted and virtually every utility has been called to 
assist in the investigation of a fire at a meter box. 
• From 2007 to 2011 the four years before the start of the majority of AMI deployments there were 
590 reported fires in the United States that originated in the meter or the meter box. An average 
of 125 per year and an incidence rate of less than one in a million meters each year. 
• Since that time the number has increased dramatically to the point where meter fires have 
dominated the news locally, nationally and internationally at various times over the past three 
years. 
– Utilities going through a full AMI deployment are seeing 
incident rates one and two orders of magnitude greater 
than normal, leading to a media frenzy and a public focus 
on the safety of the meter on the side of their house. 
Slide 2
The Issue 
Utilities need to understand this phenomenon and be proactive in identifying and responding to 
consumer and commission questions related to the safety of a meter installation. Questions that 
each utility should be able to answer going forward; 
– What causes a hot socket? 
– Are the meters ever the cause of a meter box failure? 
– Are some meters or some meter enclosures more susceptible to fires than others? 
– Why are there suddenly so many meter related fires? 
– Have we done enough testing before deploying new meters and new technology to ensure 
that what we are doing is safe and will make the customer safer? 
– What are the things to look for when inspecting an 
Slide 3 
existing meter installation? 
– What are the best practices for handling potential hot 
sockets? 
This presentation will cover the results of our lab investigation, our conclusions and our answers 
to these questions. Each Utility in the room will have to answer these questions for themselves. 
If successful this presentation will spark a conversation on updating our “best practices”.
Why do we know anything about hot sockets? 
• TESCO has been fortunate enough to be involved in several meter deployments where we 
supplied full time and part time meter engineers and project managers to our customer’s AMI 
deployment teams. In this capacity we have been involved in evaluating hot socket issues and 
helping to determine an appropriate response to actual or potential hot sockets. 
• TESCO’s meter lab has been contracted to develop a laboratory fixture that would simulate the 
various features common to most hot sockets found in the field. 
• TESCO developed and refined a fixture since the 2013 Fall EEI running tests and gathering data 
on the effect of hot sockets on meters. 
• TESCO has access to a large number of 
meters which have been exposed to hot 
sockets both before and after catastrophic 
failure. 
• We have access to a limited number of 
sockets that were hot sockets and did not yet 
fail catastrophically. 
Slide 4
Hot Socket Simulator (Catalog No. 3100-L) 
The TESCO Hot Socket Simulator is a piece of meter lab equipment 
to assist in the investigation of meter failure issues related to hot 
socket phenomenon. The Simulator is equipped with one 2S meter 
socket with four jaws, one of which is the heated jaw. The 
arcing/heating apparatus can be moved to any of the four jaws (jaw 1 
is the standard). Additional arcing/heating elements can be provided 
as an option for multiple hot jaws on the existing socket. 
• Ability to Simulate a hot socket in line and load jaws through 
controlled arcing (frequency, gap size) or cartridge heater 
(temperature control) 
• Easily replaceable jaw and socket parts 
• Temperature recorded at stab with non-contact pyrometer 
with a digital display and thermocouple signal output 
• Selectable loads (5A, 10A, 15A, 20A, 25A) 
• Adjustable arcing gap size, 0.03” (0.8mm) and 0.015” 
(0.4mm) cams provided (other sizes available) 
• Screw adjustment of gap size for non-vibration arcing 
Slide 5
Expected & Unexpected Results 
Expected: 
• Hot Sockets are exactly that – hot sockets. The hot sockets are the source of the 
Slide 6 
problem and not hot meters. 
• Electromechanical meters withstand hot sockets better than solid state meters 
Unexpected: 
• Current plays only a small role in how 
quickly a meter will burn up. Meters were 
burned up nearly as quickly at 3 amps, 30 
amps, and 130 amps. 
• Relatively small amounts of vibration can 
be the catalyst in the beginning and 
eventual catastrophic failure of a hot 
socket. Note: Other catalysts include but 
are not limited to power surges, debris, 
humidity, salt water. 
• Contact resistance plays no role in 
creating a hot socket 
And some newer solid state meters are 
better than electromechanical meters.
Temperature Rise Data 
Slide 7
What are the necessary ingredients 
for a hot socket? 
There are three necessary ingredients to create a hot socket (Note: We are 
not suggesting that we have simulated or even understand all causes for all 
hot sockets and meter related fires, but rather that we have simulated and 
understand the causes behind most hot sockets and meter related fires); 
• Loss of jaw tension in at least 
one of the socket jaws. 
• Vibration (or other catalyst 
Slide 8 
to initiate arcing) 
• Minimal load present
What to look for in the field 
Common Features and Common Sources of Concern 
• Pitted and discolored meter blades 
• Melted plastic around one or more of the 
meter stabs (typically the plastic around 
one stab is where the deformation starts) 
• Pitted and discolored socket jaws 
• Loss of spring tension in the socket jaws 
Slide 9
Slide 10
Jaw to Blade Arcing 
Jaws with intermittent 
connections will arc to the 
meter blade resulting in 
pitting on the blade. 
Blade shows early signs 
of arcing. 
Slide 11
12 
Severe Arcing Jaw to Blade 
Tin burned off 
Blade hole due to arcing 
to jaw – Copper melts at 
1040ºC (1900ºF) 
AX-SD base thermoset 
plastic melts at 960ºC 
(1760ºF)
Base Line Data Electro Mechanical meters vs solid state vs the latest 
generation of meters designed with hot sockets in mind 
• At the start of our laboratory investigation the oldest electro mechanical meters 
Slide 13 
withstood hot sockets the best 
• The latest vintage solid state meters withstood hot sockets the least. 
• Over the course of the past twelve months some meter manufacturers have begun to 
release 2S meters designed to withstand hot sockets and some have even begun to 
put temperature sensing closer to the meter blades instead of only on the metrology 
boards. 
• One meter vendor’s service switch meter has used high temperature base plate 
plastic since it was launched in 2008.)
Conclusions from the Research Data that shed 
additional light on the subject 
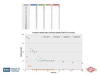
• Repeated meter insertions degrades the tension in the socket jaws (see graph), but 
Slide 14 
not to dangerous levels 
• Exposure to elevated temperatures rapidly degrades the socket jaw tension to 
dangerous levels (see graph) 
• Visual inspection will catch some but not all dangerous socket jaws 
• Arcing creates the heat 
• Exposure to elevated temperatures has a cumulative effect on the meter socket jaw 
• Relatively small vibration can initiate arcing
Slide 15
Service Degradation 
• Calipers show a .01” gap, 
with that size gap between 
jaws and stabs we were 
able to heat meter stabs 
over 1000 degrees 
Fahrenheit in a few 
minutes. 
• The rough spots you see 
on the post-test jaw next to 
the calipers are over .005” 
high. This surface 
degradation appears on the 
stab as well. 
• Between the two surfaces 
you can have large gaps, 
along with insulating by-product 
of the arcing, that 
can sustain heavy arcing in 
a solid state. 
Slide 16
Field Inspection of Sockets 
Best Practices 
Slide 17 
• Example field check list 
– Gaps in meter socket jaws 
– Discoloration of one jaw vs. the other three 
– Signs of melted or deformed plastic on meter base 
– Pitting of either meter blade or socket jaw 
– Loss of tension in meter socket jaws 
– Check condition of wire insulation and connections 
to meter jaws 
– Check the overall condition of the box, socket, 
meter and how they attach to each other and the 
building. 
– Look for signs of tampering 
– Look for signs of water or debris inside of the 
meter can
Hot Socket Gap Indicator (Catalog No. 300) 
The new TESCO Hot Socket Gap Indicator is used to determine if a meter socket jaw has become 
worn-out and unsafe for continued use. The Gap Indicator determines unsafe holding force on meter 
socket jaws based on laboratory testing. The TESCO Hot Socket Gap Indicator is available in two 
versions: 
•Thin-Blade (Catalog No. 300-1) - The "original" Hot Socket Gap Indicator provides a large safety margin for the utility 
user. It is not designed for use with jaw styles that have a designed-in gap. These style jaws are designed to provide 
greater contact area between meter blades and socket jaws. The thinner blade is also not designed for use with freshly 
lubricated socket jaws. 
•Wide-Blade (Catalog No. 300-2) - The newly designed Wide-Blade Hot Socket Gap Indicator is better suited for 
newer style meter socket jaws with designed-in gaps, and socket jaws which have fresh lubricant. This version will 
work with all sockets, but has a smaller built-in safety margin than the original Hot Socket Gap Indicator. 
Slide 18
What can be done once a hot socket is 
identified? 
• Easiest resolution is to replace the damaged jaw. 
• Never try and repair a damaged jaw. The tension in the damaged 
jaw will not return simply by taking a pair of pliers and closing the 
jaw tighter. 
• Either the entire box should be replaced or the damaged jaw 
(assuming the wiring and other jaws are deemed safe through the 
rest of the inspection.) 
• A Socket Safety Clip can be used to leave the service in a safer 
condition than when discovered and provide a “spare tire” that can 
buy the customer or the utility time to address the unsafe condition. 
The alternatives are to either shut the customer’s power off or 
knowingly leave the unsafe condition behind. 
Slide 19
Socket Safety Clip (Catalog No. 301) 
TESCO's Socket Safety Clip has been designed to give meter technicians a 
way to temporarily reassure that a hot socket will not affect a faulty meter 
socket jaw. 
•Improves the Holding Force to 20 lbs. per socket 
•Temporary solution to alleviate disconnecting service 
Slide 20
• Most AMI deployments utilize third party contractors to handle residential and 
some self contained non-2S services. 
• After to or prior to AMI deployments, Utility personnel typically see these 
Slide 21 
sockets 
• Transformer rated meters typically handled by the meter service department 
of the utility. 
• Hot socket concerns with lever by-pass sockets used on 3-phase meters are 
extremely rare. 
Who Sees Hot Sockets?
Summary of the Issues 
• Hot sockets start with a loss of tension in at least one of the meter socket jaws. This 
loss of tension can be from a variety of sources that start as early as improper 
installation or even “tight sockets”. 
• Loss of tension is necessary to create the initial micro-arcing conditions. 
• Sockets with repeated meter exchanges observed to have higher incidence of hot 
socket issues and “booting” a meter may spring jaws even more. 
• Vibration appears to be the most common catalyst to the micro-arcing that creates the 
Slide 22 
initial heat in a “hot socket”. 
• The meter must have some power, but current is not a significant factor in how quickly 
or dramatically a hot socket occurs 
• The effects of vibration and weakened jaw are cumulative 
• Meter Manufacturers have all been working on the design of their meters to better 
withstand a hot socket. These new meters have better baseline performance than 
even the older electro mechanical meters, but a hot socket will eventually burn up 
even the most robust meter.
Recap of the Questions 
Can we respond adequately to; 
– What causes a hot socket? 
– Are the meters ever the cause of a meter box failure? 
– Are some meters or some meter enclosures more susceptible to fires than others? 
– Why are there suddenly so many meter related fires? 
– Have we done enough testing before deploying new meters and new technology to ensure 
that what we are doing is safe and will make the customer safer? 
– What are the things to look for when inspecting an 
Slide 23 
existing meter installation? 
– What are the best practices for handling potential hot 
sockets? 
Some of these questions are more factual in nature and easier to answer. For others every Utility 
will have to answer these questions for themselves, their personnel and their customers. There 
is no one size fits all response given the different rules in the different service territories.
Questions and Discussion 
Tom Lawton 
TESCO – The Eastern Specialty Company 
Bristol, PA 
215-688-0298 (cell) - 1-800-762-8211 
This presentation can also be found under Meter 
Conferences and Schools on the TESCO web site: 
www.tesco-advent.com 
Slide 24

Keeping the Customer Safe

  • 1.
    Keeping the Customer Safe Socket Safety Clips, Hot Sockets & Other Recent Research & Development at TESCO 10/02/2012 Slide 1 Prepared by Tom Lawton TESCO – The Eastern Specialty Company for EEI Fall Transmission, Distribution and Metering Conference 2014
  • 2.
    The Issue •Hot Sockets are not a new phenomenon. Virtually every meter man has pulled a meter with a portion of the meter base around a blade melted and virtually every utility has been called to assist in the investigation of a fire at a meter box. • From 2007 to 2011 the four years before the start of the majority of AMI deployments there were 590 reported fires in the United States that originated in the meter or the meter box. An average of 125 per year and an incidence rate of less than one in a million meters each year. • Since that time the number has increased dramatically to the point where meter fires have dominated the news locally, nationally and internationally at various times over the past three years. – Utilities going through a full AMI deployment are seeing incident rates one and two orders of magnitude greater than normal, leading to a media frenzy and a public focus on the safety of the meter on the side of their house. Slide 2
  • 3.
    The Issue Utilitiesneed to understand this phenomenon and be proactive in identifying and responding to consumer and commission questions related to the safety of a meter installation. Questions that each utility should be able to answer going forward; – What causes a hot socket? – Are the meters ever the cause of a meter box failure? – Are some meters or some meter enclosures more susceptible to fires than others? – Why are there suddenly so many meter related fires? – Have we done enough testing before deploying new meters and new technology to ensure that what we are doing is safe and will make the customer safer? – What are the things to look for when inspecting an Slide 3 existing meter installation? – What are the best practices for handling potential hot sockets? This presentation will cover the results of our lab investigation, our conclusions and our answers to these questions. Each Utility in the room will have to answer these questions for themselves. If successful this presentation will spark a conversation on updating our “best practices”.
  • 4.
    Why do weknow anything about hot sockets? • TESCO has been fortunate enough to be involved in several meter deployments where we supplied full time and part time meter engineers and project managers to our customer’s AMI deployment teams. In this capacity we have been involved in evaluating hot socket issues and helping to determine an appropriate response to actual or potential hot sockets. • TESCO’s meter lab has been contracted to develop a laboratory fixture that would simulate the various features common to most hot sockets found in the field. • TESCO developed and refined a fixture since the 2013 Fall EEI running tests and gathering data on the effect of hot sockets on meters. • TESCO has access to a large number of meters which have been exposed to hot sockets both before and after catastrophic failure. • We have access to a limited number of sockets that were hot sockets and did not yet fail catastrophically. Slide 4
  • 5.
    Hot Socket Simulator(Catalog No. 3100-L) The TESCO Hot Socket Simulator is a piece of meter lab equipment to assist in the investigation of meter failure issues related to hot socket phenomenon. The Simulator is equipped with one 2S meter socket with four jaws, one of which is the heated jaw. The arcing/heating apparatus can be moved to any of the four jaws (jaw 1 is the standard). Additional arcing/heating elements can be provided as an option for multiple hot jaws on the existing socket. • Ability to Simulate a hot socket in line and load jaws through controlled arcing (frequency, gap size) or cartridge heater (temperature control) • Easily replaceable jaw and socket parts • Temperature recorded at stab with non-contact pyrometer with a digital display and thermocouple signal output • Selectable loads (5A, 10A, 15A, 20A, 25A) • Adjustable arcing gap size, 0.03” (0.8mm) and 0.015” (0.4mm) cams provided (other sizes available) • Screw adjustment of gap size for non-vibration arcing Slide 5
  • 6.
    Expected & UnexpectedResults Expected: • Hot Sockets are exactly that – hot sockets. The hot sockets are the source of the Slide 6 problem and not hot meters. • Electromechanical meters withstand hot sockets better than solid state meters Unexpected: • Current plays only a small role in how quickly a meter will burn up. Meters were burned up nearly as quickly at 3 amps, 30 amps, and 130 amps. • Relatively small amounts of vibration can be the catalyst in the beginning and eventual catastrophic failure of a hot socket. Note: Other catalysts include but are not limited to power surges, debris, humidity, salt water. • Contact resistance plays no role in creating a hot socket And some newer solid state meters are better than electromechanical meters.
  • 7.
  • 8.
    What are thenecessary ingredients for a hot socket? There are three necessary ingredients to create a hot socket (Note: We are not suggesting that we have simulated or even understand all causes for all hot sockets and meter related fires, but rather that we have simulated and understand the causes behind most hot sockets and meter related fires); • Loss of jaw tension in at least one of the socket jaws. • Vibration (or other catalyst Slide 8 to initiate arcing) • Minimal load present
  • 9.
    What to lookfor in the field Common Features and Common Sources of Concern • Pitted and discolored meter blades • Melted plastic around one or more of the meter stabs (typically the plastic around one stab is where the deformation starts) • Pitted and discolored socket jaws • Loss of spring tension in the socket jaws Slide 9
  • 10.
  • 11.
    Jaw to BladeArcing Jaws with intermittent connections will arc to the meter blade resulting in pitting on the blade. Blade shows early signs of arcing. Slide 11
  • 12.
    12 Severe ArcingJaw to Blade Tin burned off Blade hole due to arcing to jaw – Copper melts at 1040ºC (1900ºF) AX-SD base thermoset plastic melts at 960ºC (1760ºF)
  • 13.
    Base Line DataElectro Mechanical meters vs solid state vs the latest generation of meters designed with hot sockets in mind • At the start of our laboratory investigation the oldest electro mechanical meters Slide 13 withstood hot sockets the best • The latest vintage solid state meters withstood hot sockets the least. • Over the course of the past twelve months some meter manufacturers have begun to release 2S meters designed to withstand hot sockets and some have even begun to put temperature sensing closer to the meter blades instead of only on the metrology boards. • One meter vendor’s service switch meter has used high temperature base plate plastic since it was launched in 2008.)
  • 14.
    Conclusions from theResearch Data that shed additional light on the subject • Repeated meter insertions degrades the tension in the socket jaws (see graph), but Slide 14 not to dangerous levels • Exposure to elevated temperatures rapidly degrades the socket jaw tension to dangerous levels (see graph) • Visual inspection will catch some but not all dangerous socket jaws • Arcing creates the heat • Exposure to elevated temperatures has a cumulative effect on the meter socket jaw • Relatively small vibration can initiate arcing
  • 15.
  • 16.
    Service Degradation •Calipers show a .01” gap, with that size gap between jaws and stabs we were able to heat meter stabs over 1000 degrees Fahrenheit in a few minutes. • The rough spots you see on the post-test jaw next to the calipers are over .005” high. This surface degradation appears on the stab as well. • Between the two surfaces you can have large gaps, along with insulating by-product of the arcing, that can sustain heavy arcing in a solid state. Slide 16
  • 17.
    Field Inspection ofSockets Best Practices Slide 17 • Example field check list – Gaps in meter socket jaws – Discoloration of one jaw vs. the other three – Signs of melted or deformed plastic on meter base – Pitting of either meter blade or socket jaw – Loss of tension in meter socket jaws – Check condition of wire insulation and connections to meter jaws – Check the overall condition of the box, socket, meter and how they attach to each other and the building. – Look for signs of tampering – Look for signs of water or debris inside of the meter can
  • 18.
    Hot Socket GapIndicator (Catalog No. 300) The new TESCO Hot Socket Gap Indicator is used to determine if a meter socket jaw has become worn-out and unsafe for continued use. The Gap Indicator determines unsafe holding force on meter socket jaws based on laboratory testing. The TESCO Hot Socket Gap Indicator is available in two versions: •Thin-Blade (Catalog No. 300-1) - The "original" Hot Socket Gap Indicator provides a large safety margin for the utility user. It is not designed for use with jaw styles that have a designed-in gap. These style jaws are designed to provide greater contact area between meter blades and socket jaws. The thinner blade is also not designed for use with freshly lubricated socket jaws. •Wide-Blade (Catalog No. 300-2) - The newly designed Wide-Blade Hot Socket Gap Indicator is better suited for newer style meter socket jaws with designed-in gaps, and socket jaws which have fresh lubricant. This version will work with all sockets, but has a smaller built-in safety margin than the original Hot Socket Gap Indicator. Slide 18
  • 19.
    What can bedone once a hot socket is identified? • Easiest resolution is to replace the damaged jaw. • Never try and repair a damaged jaw. The tension in the damaged jaw will not return simply by taking a pair of pliers and closing the jaw tighter. • Either the entire box should be replaced or the damaged jaw (assuming the wiring and other jaws are deemed safe through the rest of the inspection.) • A Socket Safety Clip can be used to leave the service in a safer condition than when discovered and provide a “spare tire” that can buy the customer or the utility time to address the unsafe condition. The alternatives are to either shut the customer’s power off or knowingly leave the unsafe condition behind. Slide 19
  • 20.
    Socket Safety Clip(Catalog No. 301) TESCO's Socket Safety Clip has been designed to give meter technicians a way to temporarily reassure that a hot socket will not affect a faulty meter socket jaw. •Improves the Holding Force to 20 lbs. per socket •Temporary solution to alleviate disconnecting service Slide 20
  • 21.
    • Most AMIdeployments utilize third party contractors to handle residential and some self contained non-2S services. • After to or prior to AMI deployments, Utility personnel typically see these Slide 21 sockets • Transformer rated meters typically handled by the meter service department of the utility. • Hot socket concerns with lever by-pass sockets used on 3-phase meters are extremely rare. Who Sees Hot Sockets?
  • 22.
    Summary of theIssues • Hot sockets start with a loss of tension in at least one of the meter socket jaws. This loss of tension can be from a variety of sources that start as early as improper installation or even “tight sockets”. • Loss of tension is necessary to create the initial micro-arcing conditions. • Sockets with repeated meter exchanges observed to have higher incidence of hot socket issues and “booting” a meter may spring jaws even more. • Vibration appears to be the most common catalyst to the micro-arcing that creates the Slide 22 initial heat in a “hot socket”. • The meter must have some power, but current is not a significant factor in how quickly or dramatically a hot socket occurs • The effects of vibration and weakened jaw are cumulative • Meter Manufacturers have all been working on the design of their meters to better withstand a hot socket. These new meters have better baseline performance than even the older electro mechanical meters, but a hot socket will eventually burn up even the most robust meter.
  • 23.
    Recap of theQuestions Can we respond adequately to; – What causes a hot socket? – Are the meters ever the cause of a meter box failure? – Are some meters or some meter enclosures more susceptible to fires than others? – Why are there suddenly so many meter related fires? – Have we done enough testing before deploying new meters and new technology to ensure that what we are doing is safe and will make the customer safer? – What are the things to look for when inspecting an Slide 23 existing meter installation? – What are the best practices for handling potential hot sockets? Some of these questions are more factual in nature and easier to answer. For others every Utility will have to answer these questions for themselves, their personnel and their customers. There is no one size fits all response given the different rules in the different service territories.
  • 24.
    Questions and Discussion Tom Lawton TESCO – The Eastern Specialty Company Bristol, PA 215-688-0298 (cell) - 1-800-762-8211 This presentation can also be found under Meter Conferences and Schools on the TESCO web site: www.tesco-advent.com Slide 24