PEPS 1
                                                                     ENTRADAS
FECHA             DESCRIPCION                VU                Q                VT
 2-Feb               765            $             43,000.00   2200   $      94,600,000.00
 4-Feb               765
 6-Feb               765
 8-Feb               765            $             45,100.00   2500   $     112,450,000.00
10-Feb               765
10-Feb               765
16-Feb               765            $             48,500.00   3000   $     145,500,000.00
20-Feb               765
20-Feb               765
22-Feb               765
26-Feb               765            $             50,000.00   1000   $      50,000,000.00
30-Feb               765

                                UTILIDAD                                             UTILIDAD
            $      455,472,500      $      402,550,000.00            $          52,922,500

         UEPS 1
                                                                     ENTRADAS
FECHA             DESCRIPCION                VU                Q                VT
 2-Feb               765            $             43,000.00   2200   $      94,600,000.00
 4-Feb               765
 6-Feb               765
 8-Feb               765            $             45,100.00   2500   $     112,450,000.00
10-Feb               765
16-Feb               765            $             48,500.00   3000   $     145,500,000.00
20-Feb               765
22-Feb               765
26-Feb               765            $             50,000.00   1000   $      50,000,000.00
30-Feb               765

                                UTILIDAD                                             UTILIDAD
            $      458,562,000      $      402,550,000.00            $          56,012,000

   PROMEDIO PONDERADO 1
                                                                     ENTRADAS
FECHA             DESCRIPCION                VU                Q                VT
2-Feb                765            $             43,000.00   2200   $      94,600,000.00
4-Feb                765
UEPS 2
                                                                  ENTRADAS
FECHA             DESCRIPCION              VU               Q                VT
 3-Feb                56            $           35,960.00   150   $          5,394,000.00
 5-Feb                56            $           46,875.00
 7-Feb                56            $           37,000.00   180   $          6,660,120.00
 9-Feb                56            $           48,000.00
11-Feb                56            $           37,700.00   200   $          7,540,000.00
15-Feb                56
15-Feb                56
17-Feb                56            $              37,468   200   $          7,493,600.00
19-Feb                56            $           38,000.00

                                UTILIDAD                                           UTILIDAD
             $      23,170,000              27,087,720            $          (3,917,720)
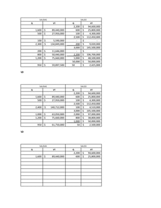
SALIDAS                          SALDO
           Q                 VT           Q                  VT
                                           2,200    $       94,600,000
               1,600 $       89,440,000      600    $       25,800,000
                 500 $       27,950,000      100    $        4,300,000
                                           2,500    $      112,450,000
                 100   $      5,590,000      -      $              -
               2,300   $    134,849,000      200    $        9,020,000
                                           3,000    $      145,500,000
                 200 $       11,646,000      -      $              -
                 800 $       50,440,000    2,200    $      106,700,000
               1,200 $       75,660,000    1,000    $       48,500,000
                                          50,000    $       50,000,000
                950 $        59,897,500   50        $        2,425,000

UTILIDAD




                  SALIDAS                          SALDO
           Q                 VT           Q                  VT
                                           2,200    $       94,600,000
               1,600 $       89,440,000      600    $       25,800,000
                 500 $       27,950,000      100    $        4,300,000
                                           2,500    $      112,450,000
               2,400   $    140,712,000      100    $        4,510,000
                                           3,000    $      145,500,000
               1,000 $       63,050,000    2,000    $       97,000,000
               1,200 $       75,660,000      800    $       38,800,000
                                           1,000    $       50,000,000
                950 $        61,750,000       50    $        2,500,000

UTILIDAD




                  SALIDAS                          SALDO
           Q                 VT           Q                  VT
                                           2,200    $       94,600,000
               1,600 $       89,440,000      600    $       25,800,000
SALIDAS                          SALDO
           Q              VT          Q                  VT
                                          150     $      5,394,000
               128   $    6,000,000         22    $        791,120
                                          180     $      6,660,120
                20   $     970,000        160     $      5,920,000
                                          200     $      7,540,000
               200   $    7,540,000       -       $            -
                80   $    2,960,000         80    $      2,960,000
                                          200     $      7,493,600
               150   $    5,700,000         50    $      1,873,400

UTILIDAD

Kardex

  • 1.
    PEPS 1 ENTRADAS FECHA DESCRIPCION VU Q VT 2-Feb 765 $ 43,000.00 2200 $ 94,600,000.00 4-Feb 765 6-Feb 765 8-Feb 765 $ 45,100.00 2500 $ 112,450,000.00 10-Feb 765 10-Feb 765 16-Feb 765 $ 48,500.00 3000 $ 145,500,000.00 20-Feb 765 20-Feb 765 22-Feb 765 26-Feb 765 $ 50,000.00 1000 $ 50,000,000.00 30-Feb 765 UTILIDAD UTILIDAD $ 455,472,500 $ 402,550,000.00 $ 52,922,500 UEPS 1 ENTRADAS FECHA DESCRIPCION VU Q VT 2-Feb 765 $ 43,000.00 2200 $ 94,600,000.00 4-Feb 765 6-Feb 765 8-Feb 765 $ 45,100.00 2500 $ 112,450,000.00 10-Feb 765 16-Feb 765 $ 48,500.00 3000 $ 145,500,000.00 20-Feb 765 22-Feb 765 26-Feb 765 $ 50,000.00 1000 $ 50,000,000.00 30-Feb 765 UTILIDAD UTILIDAD $ 458,562,000 $ 402,550,000.00 $ 56,012,000 PROMEDIO PONDERADO 1 ENTRADAS FECHA DESCRIPCION VU Q VT 2-Feb 765 $ 43,000.00 2200 $ 94,600,000.00 4-Feb 765
  • 2.
    UEPS 2 ENTRADAS FECHA DESCRIPCION VU Q VT 3-Feb 56 $ 35,960.00 150 $ 5,394,000.00 5-Feb 56 $ 46,875.00 7-Feb 56 $ 37,000.00 180 $ 6,660,120.00 9-Feb 56 $ 48,000.00 11-Feb 56 $ 37,700.00 200 $ 7,540,000.00 15-Feb 56 15-Feb 56 17-Feb 56 $ 37,468 200 $ 7,493,600.00 19-Feb 56 $ 38,000.00 UTILIDAD UTILIDAD $ 23,170,000 27,087,720 $ (3,917,720)
  • 3.
    SALIDAS SALDO Q VT Q VT 2,200 $ 94,600,000 1,600 $ 89,440,000 600 $ 25,800,000 500 $ 27,950,000 100 $ 4,300,000 2,500 $ 112,450,000 100 $ 5,590,000 - $ - 2,300 $ 134,849,000 200 $ 9,020,000 3,000 $ 145,500,000 200 $ 11,646,000 - $ - 800 $ 50,440,000 2,200 $ 106,700,000 1,200 $ 75,660,000 1,000 $ 48,500,000 50,000 $ 50,000,000 950 $ 59,897,500 50 $ 2,425,000 UTILIDAD SALIDAS SALDO Q VT Q VT 2,200 $ 94,600,000 1,600 $ 89,440,000 600 $ 25,800,000 500 $ 27,950,000 100 $ 4,300,000 2,500 $ 112,450,000 2,400 $ 140,712,000 100 $ 4,510,000 3,000 $ 145,500,000 1,000 $ 63,050,000 2,000 $ 97,000,000 1,200 $ 75,660,000 800 $ 38,800,000 1,000 $ 50,000,000 950 $ 61,750,000 50 $ 2,500,000 UTILIDAD SALIDAS SALDO Q VT Q VT 2,200 $ 94,600,000 1,600 $ 89,440,000 600 $ 25,800,000
  • 4.
    SALIDAS SALDO Q VT Q VT 150 $ 5,394,000 128 $ 6,000,000 22 $ 791,120 180 $ 6,660,120 20 $ 970,000 160 $ 5,920,000 200 $ 7,540,000 200 $ 7,540,000 - $ - 80 $ 2,960,000 80 $ 2,960,000 200 $ 7,493,600 150 $ 5,700,000 50 $ 1,873,400 UTILIDAD