Recommended
DOC
PDF
Soal Matematika Bab 1 Bilangan Real
DOCX
DOCX
Ejercicios5 6 farley-gonzalez
PDF
PDF
PDF
PDF
PDF
PDF
クンマーの合同式とゼータ関数の左側 - 数学カフェ #mathcafe_height
PDF
PDF
Practica 2 numeros naturales y enteros
DOCX
DOCX
Tugas 3 (Matematika 2) : Integral
DOCX
operaciones combinadas en Z
DOCX
Trabajo para calificar la unidad 4
DOCX
DOCX
Tugas matematika 3 (semester 2) : Integral
PPTX
PDF
Integration method by parts
DOCX
DOCX
DOCX
DOCX
DOCX
DOCX
DOCX
RTF
DOCX
PPTX
More Related Content
DOC
PDF
Soal Matematika Bab 1 Bilangan Real
DOCX
DOCX
Ejercicios5 6 farley-gonzalez
PDF
PDF
PDF
PDF
What's hot
PDF
PDF
クンマーの合同式とゼータ関数の左側 - 数学カフェ #mathcafe_height
PDF
PDF
Practica 2 numeros naturales y enteros
DOCX
DOCX
Tugas 3 (Matematika 2) : Integral
DOCX
operaciones combinadas en Z
DOCX
Trabajo para calificar la unidad 4
DOCX
DOCX
Tugas matematika 3 (semester 2) : Integral
PPTX
PDF
Integration method by parts
DOCX
DOCX
DOCX
DOCX
DOCX
DOCX
DOCX
More from UTT
RTF
DOCX
PPTX
DOCX
DOCX
Ecuaciones con dos incognitas
DOCX
Dos ecuaciones con dos incógnitas
DOCX
DOCX
DOCX
DOCX
DOCX
DOCX
PDF
Integrales Procesos Industriales 1. 2. Integrales
xsenx dx
1.-
xsenxdx
u x du dx
dv senxdx
v x
cos
x x xdx
x x xdx
x x senx c
( cos ) cos
cos cos
cos
2
2
2
1
2
2
1
( cos )
2
senx xdx
x C
2.-
3. x xdx
xsen senxdx
senx x
xsenx x c
cos
(
cos )
cos
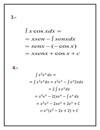
∫ 푥2푒 푥 푑푥 =
= ∫ 푥2푒 푥푑푥 = 푥2푒 푥 − ∫ 푒 푥2푥푑푥
= 2 ∫ 푥 푒 푥 푑푥
= 푥2푒 푥 − 2(푥푒 푥 − ∫ 푒 푥 푑푥
= 푥2푒 푥 − 2푥푒 푥 + 2푒 푥 + 퐶
= 푒 푥 (푥2 − 2푥 + 2) + 퐶
3.-
4.-
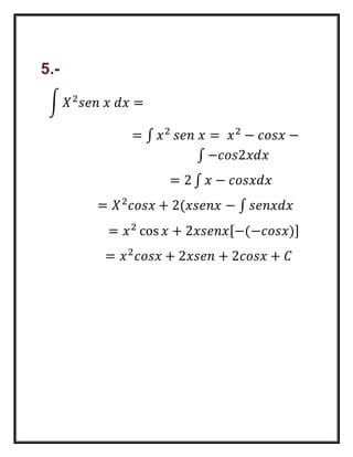
4. ∫ 푋2푠푒푛 푥 푑푥 =
= ∫ 푥2 푠푒푛 푥 = 푥2 − 푐표푠푥 −
∫ −푐표푠2푥푑푥
= 2 ∫ 푥 − 푐표푠푥푑푥
= 푋2푐표푠푥 + 2(푥푠푒푛푥 − ∫ 푠푒푛푥푑푥
= 푥2 cos 푥 + 2푥푠푒푛푥[−(−푐표푠푥)]
= 푥2푐표푠푥 + 2푥푠푒푛 + 2푐표푠푥 + 퐶
5.-