POLITEKNIK MANUFAKTUR NEGERI BANGKA BELITUNG
Tugas 3 MTK2 Page 1
TUGAS 3
MATEMATIKA 2
(Integral)
D
I
S
U
S
U
N
Oleh :
Nama : M. Wahyu Utama
NPM : 003 14 20
Prodi : Teknik Elektronika
Kelas : 1 EA
Semester : 2 (Dua)
POLITEKNIK MANUFAKTUR NEGERI BANGKA BELITUNG
Kawasan Industri Air Kantung Sungailiat, Bangka 33211
Telp. (0717) 93586, Fax. (0717) 93585
Email :polman@polman-babel.ac.id
Website :www.polman-babel.ac.id
TAHUN AJARAN 2014/2015
POLITEKNIK MANUFAKTUR NEGERI BANGKA BELITUNG
Tugas 3 MTK2 Page 2
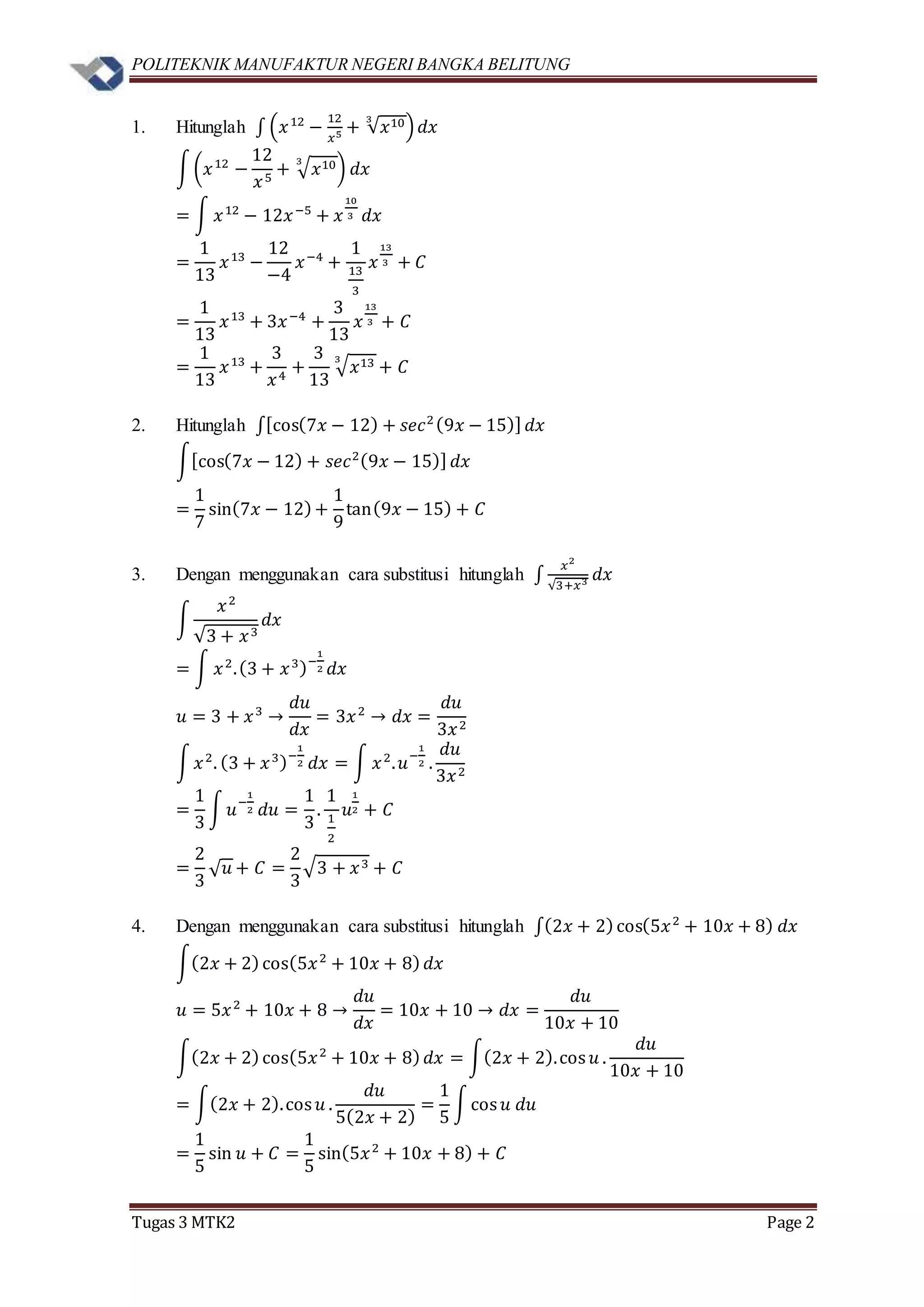
1. Hitunglah ∫ (𝑥12
−
12
𝑥5 + √𝑥103
) 𝑑𝑥
∫(𝑥12
−
12
𝑥5
+ √ 𝑥103
) 𝑑𝑥
= ∫ 𝑥12
− 12𝑥−5
+ 𝑥
10
3 𝑑𝑥
=
1
13
𝑥13
−
12
−4
𝑥−4
+
1
13
3
𝑥
13
3 + 𝐶
=
1
13
𝑥13
+ 3𝑥−4
+
3
13
𝑥
13
3 + 𝐶
=
1
13
𝑥13
+
3
𝑥4
+
3
13
√ 𝑥133
+ 𝐶
2. Hitunglah ∫[cos(7𝑥 − 12) + 𝑠𝑒𝑐2(9𝑥 − 15)] 𝑑𝑥
∫[cos(7𝑥 − 12) + 𝑠𝑒𝑐2(9𝑥 − 15)] 𝑑𝑥
=
1
7
sin(7𝑥 − 12)+
1
9
tan(9𝑥 − 15) + 𝐶
3. Dengan menggunakan cara substitusi hitunglah ∫
𝑥2
√3+𝑥3 𝑑𝑥
∫
𝑥2
√3 + 𝑥3
𝑑𝑥
= ∫ 𝑥2
.(3 + 𝑥3)−
1
2 𝑑𝑥
𝑢 = 3 + 𝑥3
→
𝑑𝑢
𝑑𝑥
= 3𝑥2
→ 𝑑𝑥 =
𝑑𝑢
3𝑥2
∫ 𝑥2
. (3 + 𝑥3)−
1
2 𝑑𝑥 = ∫ 𝑥2
. 𝑢
−
1
2 .
𝑑𝑢
3𝑥2
=
1
3
∫ 𝑢
−
1
2 𝑑𝑢 =
1
3
.
1
1
2
𝑢
1
2 + 𝐶
=
2
3
√ 𝑢 + 𝐶 =
2
3
√3 + 𝑥3 + 𝐶
4. Dengan menggunakan cara substitusi hitunglah ∫(2𝑥 + 2)cos(5𝑥2
+ 10𝑥 + 8) 𝑑𝑥
∫(2𝑥 + 2)cos(5𝑥2
+ 10𝑥 + 8) 𝑑𝑥
𝑢 = 5𝑥2
+ 10𝑥 + 8 →
𝑑𝑢
𝑑𝑥
= 10𝑥 + 10 → 𝑑𝑥 =
𝑑𝑢
10𝑥 + 10
∫(2𝑥 + 2)cos(5𝑥2
+ 10𝑥 + 8) 𝑑𝑥 = ∫(2𝑥 + 2).cos 𝑢 .
𝑑𝑢
10𝑥 + 10
= ∫(2𝑥 + 2).cos 𝑢 .
𝑑𝑢
5(2𝑥 + 2)
=
1
5
∫cos 𝑢 𝑑𝑢
=
1
5
sin 𝑢 + 𝐶 =
1
5
sin(5𝑥2
+ 10𝑥 + 8) + 𝐶
POLITEKNIK MANUFAKTUR NEGERI BANGKA BELITUNG
Tugas 3 MTK2 Page 3
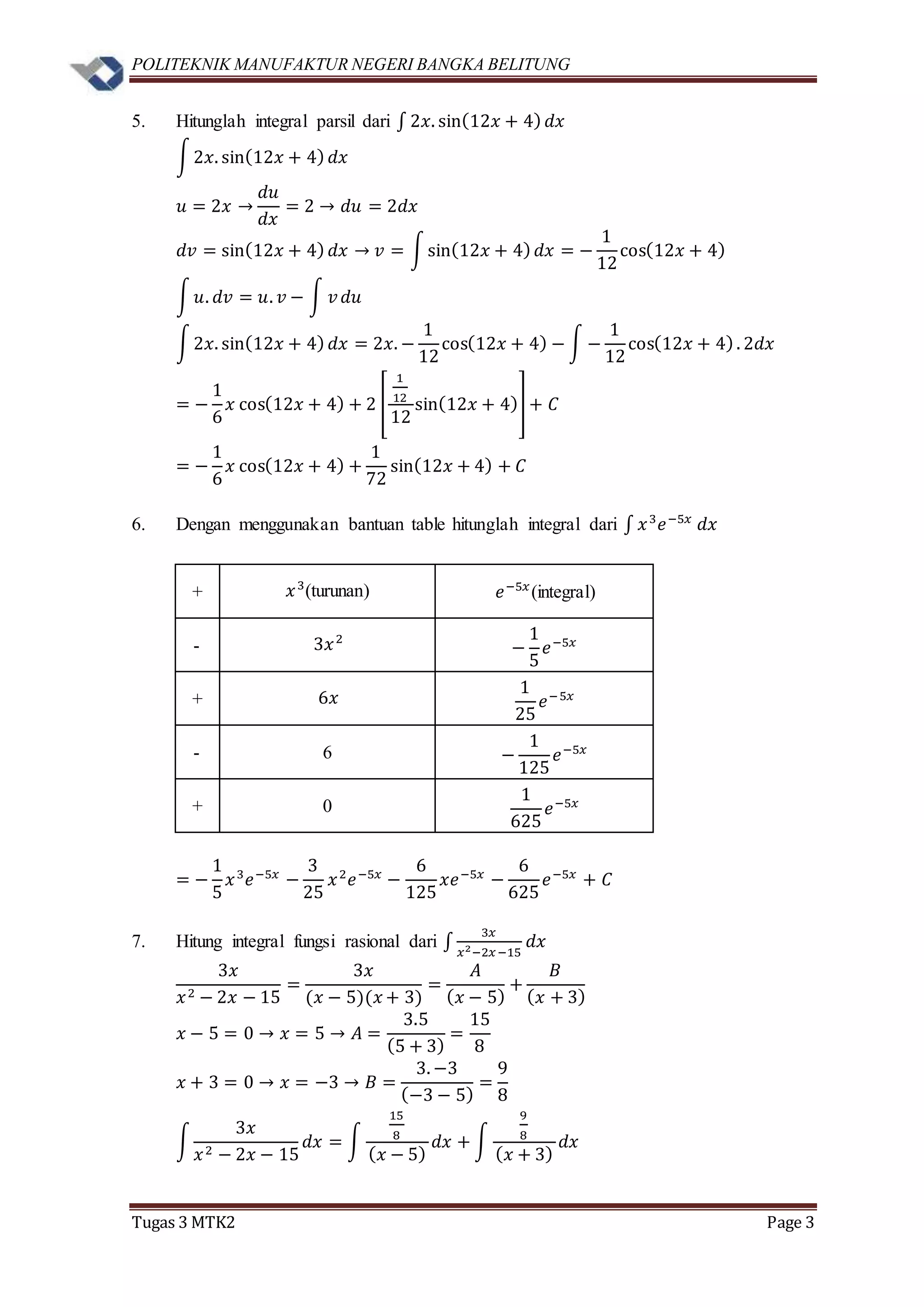
5. Hitunglah integral parsil dari ∫ 2𝑥. sin(12𝑥 + 4) 𝑑𝑥
∫2𝑥. sin(12𝑥 + 4) 𝑑𝑥
𝑢 = 2𝑥 →
𝑑𝑢
𝑑𝑥
= 2 → 𝑑𝑢 = 2𝑑𝑥
𝑑𝑣 = sin(12𝑥 + 4) 𝑑𝑥 → 𝑣 = ∫sin(12𝑥 + 4) 𝑑𝑥 = −
1
12
cos(12𝑥 + 4)
∫ 𝑢. 𝑑𝑣 = 𝑢. 𝑣 − ∫ 𝑣 𝑑𝑢
∫2𝑥. sin(12𝑥 + 4) 𝑑𝑥 = 2𝑥. −
1
12
cos(12𝑥 + 4) − ∫ −
1
12
cos(12𝑥 + 4). 2𝑑𝑥
= −
1
6
𝑥 cos(12𝑥 + 4) + 2 [
1
12
12
sin(12𝑥 + 4)] + 𝐶
= −
1
6
𝑥 cos(12𝑥 + 4) +
1
72
sin(12𝑥 + 4) + 𝐶
6. Dengan menggunakan bantuan table hitunglah integral dari ∫ 𝑥3
𝑒−5𝑥
𝑑𝑥
+ 𝑥3
(turunan) 𝑒−5𝑥
(integral)
- 3𝑥2
−
1
5
𝑒−5𝑥
+ 6𝑥
1
25
𝑒−5𝑥
- 6 −
1
125
𝑒−5𝑥
+ 0
1
625
𝑒−5𝑥
= −
1
5
𝑥3
𝑒−5𝑥
−
3
25
𝑥2
𝑒−5𝑥
−
6
125
𝑥𝑒−5𝑥
−
6
625
𝑒−5𝑥
+ 𝐶
7. Hitung integral fungsi rasional dari ∫
3𝑥
𝑥2−2𝑥−15
𝑑𝑥
3𝑥
𝑥2 − 2𝑥 − 15
=
3𝑥
(𝑥 − 5)(𝑥 + 3)
=
𝐴
( 𝑥 − 5)
+
𝐵
( 𝑥 + 3)
𝑥 − 5 = 0 → 𝑥 = 5 → 𝐴 =
3.5
(5 + 3)
=
15
8
𝑥 + 3 = 0 → 𝑥 = −3 → 𝐵 =
3. −3
(−3 − 5)
=
9
8
∫
3𝑥
𝑥2 − 2𝑥 − 15
𝑑𝑥 = ∫
15
8
( 𝑥 − 5)
𝑑𝑥 + ∫
9
8
( 𝑥 + 3)
𝑑𝑥
POLITEKNIK MANUFAKTUR NEGERI BANGKA BELITUNG
Tugas 3 MTK2 Page 4
=
15
8
ln| 𝑥 − 5| +
9
8
ln| 𝑥 + 3| + 𝐶
8. Hitunglah integral tentu dari ∫ (𝑥4
+ 5𝑥 +
1
𝑥3)
4
1
𝑑𝑥
∫(𝑥4
+ 5𝑥 +
1
𝑥3
)
4
1
𝑑𝑥 = ∫(𝑥4
+ 5𝑥 + 𝑥−3
)
4
1
𝑑𝑥
=
1
5
𝑥5
+
5
2
𝑥2
−
1
2
𝑥−2
=
1
5
𝑥5
+
5
2
𝑥2
−
1
2𝑥2
= (
1
5
. 45
+
5
2
. 42
−
1
2.42
) − (
1
5
. 15
+
5
2
. 12
−
1
2.12
)
= (
1024
5
+ 40 −
1
32
) − (
1
5
+
5
2
−
1
2
)
=
1024
5
−
1
5
−
1
32
−
4
2
+ 40 =
1023
5
−
1
32
+ 38
=
32736 − 5 + 6080
160
=
38811
160
9. Tentukan luas daerah yang dibatasi oleh kurva 𝑦 = 𝑥2
+ 4dan garis 𝑦 = −𝑥 + 16
𝑦1 = 𝑦2 → 𝑥2
+ 4 = −𝑥 + 16
𝑥2
+ 𝑥 − 12 = 0
( 𝑥 + 4)( 𝑥 − 3) = 0
𝑥 = −4 𝑎𝑡𝑎𝑢 𝑥 = 3
𝐿 = ∫(−𝑥 + 16) − ( 𝑥2
+ 4)
3
−4
𝑑𝑥
= ∫(−𝑥2
− 𝑥 + 12)
3
−4
𝑑𝑥 = −
1
3
𝑥3
−
1
2
𝑥2
+ 12𝑥
= (−
1
3
. 33
−
1
2
. 32
+ 12.3) − (−
1
3
. −43
−
1
2
. −42
+ 12. −4)
= (−9 −
9
2
+ 36) − (
64
3
− 8 − 48)
= 27 −
9
2
−
64
3
+ 56 = −
64
3
−
9
2
+ 83
=
−128 − 27 + 498
6
=
343
6
𝑠𝑎𝑡𝑢𝑎𝑛 𝑙𝑢𝑎𝑠
10. Tentukanlah volume benda yang terbentuk dengan memutar mengelilingi sumbu -y
dari daerah yang dibatasi oleh 𝑦 = 3𝑥, 𝑦 = 𝑥, 𝑦 = 0 dan garis 𝑦 = 3
𝑦 = 3𝑥 → 𝑥 =
1
3
𝑦
𝑦 = 𝑥 → 𝑥 = 𝑦
POLITEKNIK MANUFAKTUR NEGERI BANGKA BELITUNG
Tugas 3 MTK2 Page 5
𝑉 = 𝜋 ∫( 𝑥1
2
− 𝑥2
2)
3
0
𝑑𝑦
= 𝜋 ∫(𝑦2
− (
1
3
𝑦)
2
)
3
0
𝑑𝑦 = 𝜋 ∫ (𝑦2
−
1
9
𝑦2
)
3
0
𝑑𝑦
= 𝜋 ∫
8
9
𝑦2
3
0
𝑑𝑦 = 𝜋 [
8
9
3
𝑦3
]
= 𝜋 [
8
27
𝑦3
] = 𝜋 [
8
27
. 33
−
8
27
. 03
]
= 𝜋[8 − 0] = 8𝜋 𝑠𝑎𝑡𝑢𝑎𝑛 𝑣𝑜𝑙𝑢𝑚𝑒

Tugas Matematika 3

  • 1.
    POLITEKNIK MANUFAKTUR NEGERIBANGKA BELITUNG Tugas 3 MTK2 Page 1 TUGAS 3 MATEMATIKA 2 (Integral) D I S U S U N Oleh : Nama : M. Wahyu Utama NPM : 003 14 20 Prodi : Teknik Elektronika Kelas : 1 EA Semester : 2 (Dua) POLITEKNIK MANUFAKTUR NEGERI BANGKA BELITUNG Kawasan Industri Air Kantung Sungailiat, Bangka 33211 Telp. (0717) 93586, Fax. (0717) 93585 Email :polman@polman-babel.ac.id Website :www.polman-babel.ac.id TAHUN AJARAN 2014/2015
  • 2.
    POLITEKNIK MANUFAKTUR NEGERIBANGKA BELITUNG Tugas 3 MTK2 Page 2 1. Hitunglah ∫ (𝑥12 − 12 𝑥5 + √𝑥103 ) 𝑑𝑥 ∫(𝑥12 − 12 𝑥5 + √ 𝑥103 ) 𝑑𝑥 = ∫ 𝑥12 − 12𝑥−5 + 𝑥 10 3 𝑑𝑥 = 1 13 𝑥13 − 12 −4 𝑥−4 + 1 13 3 𝑥 13 3 + 𝐶 = 1 13 𝑥13 + 3𝑥−4 + 3 13 𝑥 13 3 + 𝐶 = 1 13 𝑥13 + 3 𝑥4 + 3 13 √ 𝑥133 + 𝐶 2. Hitunglah ∫[cos(7𝑥 − 12) + 𝑠𝑒𝑐2(9𝑥 − 15)] 𝑑𝑥 ∫[cos(7𝑥 − 12) + 𝑠𝑒𝑐2(9𝑥 − 15)] 𝑑𝑥 = 1 7 sin(7𝑥 − 12)+ 1 9 tan(9𝑥 − 15) + 𝐶 3. Dengan menggunakan cara substitusi hitunglah ∫ 𝑥2 √3+𝑥3 𝑑𝑥 ∫ 𝑥2 √3 + 𝑥3 𝑑𝑥 = ∫ 𝑥2 .(3 + 𝑥3)− 1 2 𝑑𝑥 𝑢 = 3 + 𝑥3 → 𝑑𝑢 𝑑𝑥 = 3𝑥2 → 𝑑𝑥 = 𝑑𝑢 3𝑥2 ∫ 𝑥2 . (3 + 𝑥3)− 1 2 𝑑𝑥 = ∫ 𝑥2 . 𝑢 − 1 2 . 𝑑𝑢 3𝑥2 = 1 3 ∫ 𝑢 − 1 2 𝑑𝑢 = 1 3 . 1 1 2 𝑢 1 2 + 𝐶 = 2 3 √ 𝑢 + 𝐶 = 2 3 √3 + 𝑥3 + 𝐶 4. Dengan menggunakan cara substitusi hitunglah ∫(2𝑥 + 2)cos(5𝑥2 + 10𝑥 + 8) 𝑑𝑥 ∫(2𝑥 + 2)cos(5𝑥2 + 10𝑥 + 8) 𝑑𝑥 𝑢 = 5𝑥2 + 10𝑥 + 8 → 𝑑𝑢 𝑑𝑥 = 10𝑥 + 10 → 𝑑𝑥 = 𝑑𝑢 10𝑥 + 10 ∫(2𝑥 + 2)cos(5𝑥2 + 10𝑥 + 8) 𝑑𝑥 = ∫(2𝑥 + 2).cos 𝑢 . 𝑑𝑢 10𝑥 + 10 = ∫(2𝑥 + 2).cos 𝑢 . 𝑑𝑢 5(2𝑥 + 2) = 1 5 ∫cos 𝑢 𝑑𝑢 = 1 5 sin 𝑢 + 𝐶 = 1 5 sin(5𝑥2 + 10𝑥 + 8) + 𝐶
  • 3.
    POLITEKNIK MANUFAKTUR NEGERIBANGKA BELITUNG Tugas 3 MTK2 Page 3 5. Hitunglah integral parsil dari ∫ 2𝑥. sin(12𝑥 + 4) 𝑑𝑥 ∫2𝑥. sin(12𝑥 + 4) 𝑑𝑥 𝑢 = 2𝑥 → 𝑑𝑢 𝑑𝑥 = 2 → 𝑑𝑢 = 2𝑑𝑥 𝑑𝑣 = sin(12𝑥 + 4) 𝑑𝑥 → 𝑣 = ∫sin(12𝑥 + 4) 𝑑𝑥 = − 1 12 cos(12𝑥 + 4) ∫ 𝑢. 𝑑𝑣 = 𝑢. 𝑣 − ∫ 𝑣 𝑑𝑢 ∫2𝑥. sin(12𝑥 + 4) 𝑑𝑥 = 2𝑥. − 1 12 cos(12𝑥 + 4) − ∫ − 1 12 cos(12𝑥 + 4). 2𝑑𝑥 = − 1 6 𝑥 cos(12𝑥 + 4) + 2 [ 1 12 12 sin(12𝑥 + 4)] + 𝐶 = − 1 6 𝑥 cos(12𝑥 + 4) + 1 72 sin(12𝑥 + 4) + 𝐶 6. Dengan menggunakan bantuan table hitunglah integral dari ∫ 𝑥3 𝑒−5𝑥 𝑑𝑥 + 𝑥3 (turunan) 𝑒−5𝑥 (integral) - 3𝑥2 − 1 5 𝑒−5𝑥 + 6𝑥 1 25 𝑒−5𝑥 - 6 − 1 125 𝑒−5𝑥 + 0 1 625 𝑒−5𝑥 = − 1 5 𝑥3 𝑒−5𝑥 − 3 25 𝑥2 𝑒−5𝑥 − 6 125 𝑥𝑒−5𝑥 − 6 625 𝑒−5𝑥 + 𝐶 7. Hitung integral fungsi rasional dari ∫ 3𝑥 𝑥2−2𝑥−15 𝑑𝑥 3𝑥 𝑥2 − 2𝑥 − 15 = 3𝑥 (𝑥 − 5)(𝑥 + 3) = 𝐴 ( 𝑥 − 5) + 𝐵 ( 𝑥 + 3) 𝑥 − 5 = 0 → 𝑥 = 5 → 𝐴 = 3.5 (5 + 3) = 15 8 𝑥 + 3 = 0 → 𝑥 = −3 → 𝐵 = 3. −3 (−3 − 5) = 9 8 ∫ 3𝑥 𝑥2 − 2𝑥 − 15 𝑑𝑥 = ∫ 15 8 ( 𝑥 − 5) 𝑑𝑥 + ∫ 9 8 ( 𝑥 + 3) 𝑑𝑥
  • 4.
    POLITEKNIK MANUFAKTUR NEGERIBANGKA BELITUNG Tugas 3 MTK2 Page 4 = 15 8 ln| 𝑥 − 5| + 9 8 ln| 𝑥 + 3| + 𝐶 8. Hitunglah integral tentu dari ∫ (𝑥4 + 5𝑥 + 1 𝑥3) 4 1 𝑑𝑥 ∫(𝑥4 + 5𝑥 + 1 𝑥3 ) 4 1 𝑑𝑥 = ∫(𝑥4 + 5𝑥 + 𝑥−3 ) 4 1 𝑑𝑥 = 1 5 𝑥5 + 5 2 𝑥2 − 1 2 𝑥−2 = 1 5 𝑥5 + 5 2 𝑥2 − 1 2𝑥2 = ( 1 5 . 45 + 5 2 . 42 − 1 2.42 ) − ( 1 5 . 15 + 5 2 . 12 − 1 2.12 ) = ( 1024 5 + 40 − 1 32 ) − ( 1 5 + 5 2 − 1 2 ) = 1024 5 − 1 5 − 1 32 − 4 2 + 40 = 1023 5 − 1 32 + 38 = 32736 − 5 + 6080 160 = 38811 160 9. Tentukan luas daerah yang dibatasi oleh kurva 𝑦 = 𝑥2 + 4dan garis 𝑦 = −𝑥 + 16 𝑦1 = 𝑦2 → 𝑥2 + 4 = −𝑥 + 16 𝑥2 + 𝑥 − 12 = 0 ( 𝑥 + 4)( 𝑥 − 3) = 0 𝑥 = −4 𝑎𝑡𝑎𝑢 𝑥 = 3 𝐿 = ∫(−𝑥 + 16) − ( 𝑥2 + 4) 3 −4 𝑑𝑥 = ∫(−𝑥2 − 𝑥 + 12) 3 −4 𝑑𝑥 = − 1 3 𝑥3 − 1 2 𝑥2 + 12𝑥 = (− 1 3 . 33 − 1 2 . 32 + 12.3) − (− 1 3 . −43 − 1 2 . −42 + 12. −4) = (−9 − 9 2 + 36) − ( 64 3 − 8 − 48) = 27 − 9 2 − 64 3 + 56 = − 64 3 − 9 2 + 83 = −128 − 27 + 498 6 = 343 6 𝑠𝑎𝑡𝑢𝑎𝑛 𝑙𝑢𝑎𝑠 10. Tentukanlah volume benda yang terbentuk dengan memutar mengelilingi sumbu -y dari daerah yang dibatasi oleh 𝑦 = 3𝑥, 𝑦 = 𝑥, 𝑦 = 0 dan garis 𝑦 = 3 𝑦 = 3𝑥 → 𝑥 = 1 3 𝑦 𝑦 = 𝑥 → 𝑥 = 𝑦
  • 5.
    POLITEKNIK MANUFAKTUR NEGERIBANGKA BELITUNG Tugas 3 MTK2 Page 5 𝑉 = 𝜋 ∫( 𝑥1 2 − 𝑥2 2) 3 0 𝑑𝑦 = 𝜋 ∫(𝑦2 − ( 1 3 𝑦) 2 ) 3 0 𝑑𝑦 = 𝜋 ∫ (𝑦2 − 1 9 𝑦2 ) 3 0 𝑑𝑦 = 𝜋 ∫ 8 9 𝑦2 3 0 𝑑𝑦 = 𝜋 [ 8 9 3 𝑦3 ] = 𝜋 [ 8 27 𝑦3 ] = 𝜋 [ 8 27 . 33 − 8 27 . 03 ] = 𝜋[8 − 0] = 8𝜋 𝑠𝑎𝑡𝑢𝑎𝑛 𝑣𝑜𝑙𝑢𝑚𝑒