Y Science
  Virtual Laboratories v3.0




Instructor Utilities



      Brigham Young University
Table of Contents
Instructor Utilities
   Overview .............................................................................................................1
       Introduction....................................................................................................1
       Software Configurations ..................................................................................1
       Electronic Assignments and the Web Connectivity Option ..................................2
   Quick Start ..........................................................................................................4
   Database.............................................................................................................5
   Class Management ...............................................................................................6
       Class Roll........................................................................................................7
       Inorganic Assignments .................................................................................. 11
       Quantum Assignments .................................................................................. 16
       Gases Assignments ....................................................................................... 20
       Titration Assignments.................................................................................... 24
       Calorimetry Assignments ............................................................................... 32
       Mechanics, Circuits, and Optics Assignments................................................... 38
       Density Assignments ..................................................................................... 43
       Organic Assignments..................................................................................... 48
       Scores .......................................................................................................... 54
   Grading ............................................................................................................. 55
   Utilities.............................................................................................................. 58
       Overview ...................................................................................................... 58
       Backup ......................................................................................................... 58
       Restore ........................................................................................................ 59
       Reset ........................................................................................................... 59
       Messages ..................................................................................................... 59
       Web Tools .................................................................................................... 61
       Database...................................................................................................... 63

Y Science Server Administration
   Introduction....................................................................................................... 64
       Requirements ............................................................................................... 64
       Access and Initial Configuration ..................................................................... 65
   Administrative Pages .......................................................................................... 65
       General Settings ........................................................................................... 65
       Server Diagnostic .......................................................................................... 66
       Users ........................................................................................................... 66
       Logs............................................................................................................. 66
       Database Settings ......................................................................................... 66
       Change Password.......................................................................................... 67




                                                             i
Appendices
INI Variables and Management Issues ............................................................A-1
  ChemLab INI File ..............................................................................................A-1
  Database Issues ...............................................................................................A-1
  Lab Book Issues................................................................................................A-2
      Servlet Engine URL ......................................................................................A-2
      Automatic Web Updates ...............................................................................A-3
      Window Behavior .........................................................................................A-3
  Inorganic INI Files ............................................................................................A-3
  Quantum INI Files.............................................................................................A-3
      Lab.ini .........................................................................................................A-4
      Video.ini ......................................................................................................A-6
      Spectro.ini ...................................................................................................A-7
      Phosphor.ini ................................................................................................A-7
      KE.ini ..........................................................................................................A-8
      Diode.ini......................................................................................................A-9
      Preset Experiments ......................................................................................A-9
  Gases INI Files................................................................................................A-12
      Gases.ini ...................................................................................................A-12
      Units.ini.....................................................................................................A-17
      Preset Experiments ....................................................................................A-20
  Titration INI Files ............................................................................................A-22
      Lab Variables.ini.........................................................................................A-22
      Acids.ini or Bases.ini...................................................................................A-25
      Oxidants.ini ...............................................................................................A-27
      Reductants.ini............................................................................................A-29
      Salts.ini .....................................................................................................A-32
      Preset Experiments ....................................................................................A-33
  Calorimetry INI Files .......................................................................................A-36
      Lab Variables.ini.........................................................................................A-37
      Metals.ini...................................................................................................A-40
      Organicn.ini...............................................................................................A-41
      Reactionn.ini .............................................................................................A-41
      Saltn.ini.....................................................................................................A-45
      Preset Experiments ....................................................................................A-46
  Mechanics INI Files .........................................................................................A-50
      Mechanics.ini .............................................................................................A-50
      Preset Experiments ....................................................................................A-69




                                                            ii
Density INI Files .............................................................................................A-74
        Density.ini .................................................................................................A-74
        Solids.ini....................................................................................................A-75
        Colors.ini ...................................................................................................A-80
        Fluids.ini....................................................................................................A-83
        Preset Experiments ....................................................................................A-89
    Circuits INI Files..............................................................................................A-92
        Circuits.ini .................................................................................................A-92
        Preset Experiments ....................................................................................A-93
    Optics INI Files ...............................................................................................A-94
        Optics.ini ...................................................................................................A-94
        Preset Experiments ....................................................................................A-96

List of Organic Synthesis Assignments.............................................................B-1

List of Organic Qualitative Analysis Unknowns................................................C-1

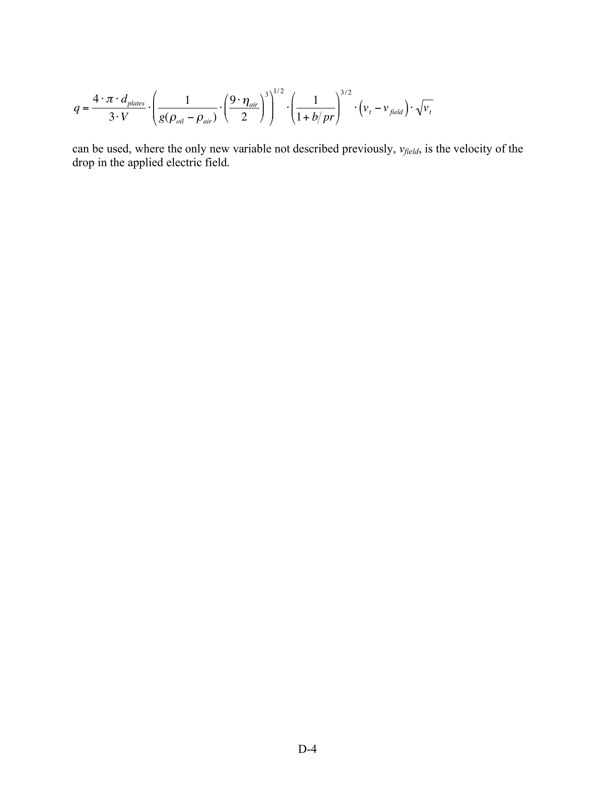
Quantum Equations .......................................................................................... D-1

Answers to Preset Unknowns............................................................................E-1
  Inorganic Qualitative Analysis Unknowns ............................................................E-1
  Organic Qualitative Analysis Unknowns...............................................................E-2
  Titration Unknowns ...........................................................................................E-5




                                                           iii
Instructor Utilities
Overview
Introduction
Welcome to Y Science Laboratories, a set of realistic and sophisticated simulations covering
general chemistry, organic chemistry, and physics laboratories. In these laboratories, students are
put into a virtual environment where they are free to make the choices and decisions that they
would confront in an actual laboratory setting and, in turn, experience the resulting
consequences. These laboratories include simulations of inorganic qualitative analysis,
fundamental experiments in quantum chemistry, gas properties, titration experiments,
calorimetry, mechanics, planetary motion, density, electric circuits, optics, organic synthesis, and
organic qualitative analysis. These simulations are packaged in various combinations to produce
Virtual ChemLab: General Chemistry Laboratories, Virtual ChemLab: Organic Synthesis and
Organic Qualitative Analysis, Virtual Physical Science, Virtual Physics, and Virtual Earth
Science. Y Science Laboratories is the umbrella product that covers all of the simulations, and
Instructor Utilities is the administrative tool used to create classes and assignments and retrieve
the student’s work for grading for any of these products. For the remainder of this users guide,
the term Y Science refers to the particular simulation package that you have purchased.

Each of the simulation packages sold under the Y Science umbrella can be purchased as a site
license version or as a student or single user version. The site license version is intended for
institutions (high schools, colleges, universities, etc.) and the student version is intended for
individual student use, although the two will often be combined together. The site license
version, in addition to allowing multiple installations of the software at an institution, is the only
version that includes the administrative stockroom Instructor Utilities. This Users guide
describes how to manage classes and assignments in Y Science using Instructor Utilities, but
keep in mind that your product may not have all of the simulations described here.

Software Configurations
Although the Y Science simulations can be used as an exploratory activity or tool for students,
the true power of the simulations is realized when students enter the virtual laboratory and
perform assignments or experiments given to them by the instructor just as they would do in an
actual laboratory setting. Because these laboratories are virtual, a wide variety of experiences can
be provided ranging from very basic and guided to very complex and open-ended. It is up to the
instructor to decide the best use of the laboratories whether it be as a pre-lab, a lab replacement, a
homework or quiz assignment, a lab supplement, or a lecture discussion activity. Because each
instructor will have a different comfort level using software in the classroom or laboratory and
will have different levels of technical support available, several different methods of
implementing the simulations at an institution have been provided. Brief descriptions of these are
listed below. Details on actually installing the software are given in the installation instructions.

Workbook Version. In this configuration, an electronic workbook is provided at the beginning of
the simulation that allows students to select experiments that correspond to laboratory
assignments in an accompanying “real” workbook. Students can also enter the laboratory,
bypassing the electronic workbook, to explore in the laboratory on their own or to perform


                                                  1
custom experiments written by the instructor. This version of the software has the full
functionality of the various simulations and can also receive electronic assignments through the
Web Connectivity Option. (See the Electronic Assignments and Web Connectivity Option
section below.) The workbook configuration is the most simple to install and use and requires
almost no oversight by the instructor. The single user version of Y Science installs the software in
the workbook configuration, and the site license version can also be used to install the software
in this configuration on as many institutional computers as necessary.

Direct Access Computer Lab (A Network Version). In this implementation, a centralized database
is installed on a network drive accessible to all client computers in the local area network, and
the Y Science software is installed on any client computers needing access to the simulations.
This installation is called a direct access installation since the client software accesses the
database containing the class lists, assignments, lab books, and scores directly using a mapped or
named network drive. This version allows instructors to give assignments and receive results
electronically. This is a simple installation for computer labs and allows multiple instructors to
use the software, but there are some network security issues associated with this type of
installation. The electronic workbook is available in this installation, but the focus is for students
to receive their assignments and unknowns electronically.

Web Access Computer Lab (A Network Version). This implementation is very similar to the
direct access installation described above except in this instance, the assignment and lab book
data is passed indirectly to the database using a servlet engine running on a TomCat web server.
This installation does not require a local area network but, instead, only requires a simple
connection to the internet. This installation also corrects several security issues associated with a
direct access connection. Details on setting up and using the web connectivity feature is given in
the Instructor Utilities user guide from the management perspective and in the various
simulation user guides from the student perspective. It is strongly suggested the user guides be
reviewed before trying to implement this version. Most questions and problems can be avoided if
the user guides are studied carefully. The electronic workbook is available in this installation, but
the focus is for students to receive their assignments and unknowns electronically.

Electronic Assignments and the Web Connectivity Option
As was described previously, one of the key features of the Y Science simulations is the ability to
give assignments to students using either worksheets out of an accompanying workbook or
electronically. Although worksheets are a convenient method to give assignments to students,
electronic assignments offer the largest variety of activities and the most control over them. The
purpose of the Instructor Utilities component of Y Science is to allow instructors to create
electronic assignments, submit them to students, retrieve the student lab books, and assign
scores. The ability to give assignments and retrieve results is only available when students
running the software have access to the Y Science database (see the Database section below).
Installing a direct access version in a local area network is one way of doing this; however, this
generally limits students to working in a computer lab.

A more flexible approach has been developed where the necessary information for assignments
from the instructor and the results from students can be passed indirectly through a servlet engine
running on a TomCat server. (Details on installing and setting up the servlet engine can be found


                                                  2
in the Installation and Overview guide.) This method of passing data is called the Web
Connectivity Option or Web Database Access. The advantages of this method include (a) it
allows an institution to still setup the software in a computer lab without requiring read/write
privileges on a network drive (a moderate security hole) and (b) students can install their own
copies of the software and still have access to electronic assignments wherever they are as long
as they have access to the internet. The general principles upon which the Web Connectivity
Option is based are described next.

1. The database containing the class lists, assignments, lab books, and scores must still be
   maintained but it can now be stored on a local computer if only one instructor will be using it
   or it can be stored on a network drive if multiple instructors will be using the same servlet
   engine to pass data to and from the students. See the Database section below for more
   details.

2. The Web Connectivity Option works by using the servlet engine as a vehicle to receive data
   from both the instructor and students and save it temporarily on the server. The instructor
   will send (update) data for each class (from the main database), which the student can, in
   turn, retrieve and download to their own computer. In a like manner, a student submits
   (updates) their results for an assignment to the server and the instructor, in turn, will retrieve
   those results and incorporate them into the main database. This synchronization of the
   instructor and student databases is the responsibility of the individual users. If regular
   synchronization is not performed by both the students and instructor, then unpredictable
   results can occur. On the student side, this synchronization occurs automatically as long as
   there is an internet connection.

3. For Instructor Utilities, the Update and Retrieve functions can be performed at two locations.
   First, the Class Roll folder for each class has an Update Web button and Retrieve Web button.
   Clicking these buttons performs the indicated action for the selected class. Secondly, the
   Utilities drawer contains a Web Tools folder where multiple classes can be selected and the
   Update and Retrieve functions performed for the selected classes.

4. The information a student must have to use the Web Connectivity Option is their username,
   password, and the URL address for the servlet engine. The username and password are
   assigned when a student is added to a class. Details on using the student side of the Web
   Connectivity Option is given in the individual laboratory user guides. Details on setting up
   classes and assignments are given in the Instructor Utilities user guide.

5. Before the Web Connectivity Option can be used, the Web Connectivity Option must be
   enabled and the URL address for the servlet engine specified in the Web Tools folder. Details
   on configuring the Web Connectivity Option and other important web functions are found in
   the Web Tools section.




                                                  3
Figure 1.   The stockroom main screen. The upper two drawers of the filing cabinet access
             class management functions, the bottom drawer accesses database backup and
             restore functions as well as other utilities, and the stack of lab books accesses
             grading functions. Click the bell for help.


Quick Start
Getting into the Stockroom
The stockroom (shown in Figure 1), as entered via the stockroom door in the hallway, is the
laboratory management side of Y Science and is used by instructors to establish classes, make
assignments, and view the results, grades, and lab books of the students. Access to this part of
the stockroom (or Instructor Utilities) is allowed only to those individuals with administrative
rights by typing in an administrative username and password at the stockroom card reader. The
stockroom is divided into three main areas or functions:
   (1) Class Management
   (2) Grading
   (3) Utilities


                                                4
Brief descriptions of these areas are given next.

Class Management
Class Management functions are accessed by clicking one of the top two drawers of the filing
cabinet. Some of the functions available in these drawers include creating classes, managing
access privileges, defining assignments for the different labs, and viewing scores and lab books.

Grading
The grading of a specific assignment for an entire class is accessed by clicking the stack of lab
books on the desk. Depending on the type of assignment being graded, various options are
available to make the assignment of scores as painless as possible.

Utilities
Since the class lists, assignments, scores, and lab books are stored in a centralized database, basic
backup and restore functions are available to protect against accidental or intentional corruption
of the database. These functions are accessed by clicking the bottom drawer of the filing cabinet.
Other functions include broadcasting messages to a class or set of classes, handling web
connectivity for multiple classes, and changing the database location.

Database
The database that contains the classes, students, assignments, scores, and lab books is kept in the
Data folder, which is either installed with the software or in another common access location.
The database is stored as encrypted text files and cannot be accessed or modified without the
encryption key. All login information is stored in a separate file, and student lists, assignments,
and scores are stored in files for each individual class. A separate subdirectory is created for each
student inside the Data directory and contains the data for each student’s lab book. Because the
database is centralized and contains important grading information, simple backup and restore
functionality has been added to protect against accidental or intentional corruption of the
database. The backup and restore functions are not intended to protect against hardware failures.
Multiple databases can be managed using the same Instructor Utilities by changing the database
path in the Database folder in the Utilities drawer of the filing cabinet.

In a direct access client/server installation, the database (and other common files and directories)
must be kept on a mapped (PC) or named (Mac) network drive that all Y Science client
computers can access with read/write/erase privileges. In a web access client/server installation,
the database can be stored on a network drive if several instructors will need access to the
database or it can be kept on a local drive, even on a portable computer, as long as there is an
internet connection to allow for the update and retrieval of the web data. Details on using the
web connectivity functionality can be found in the Web Connectivity Option section.

Note: Multiple instances of the Instructor Utilities that are using the same database can be open
      at any given time. However, during grading, adding classes and students, and making
      assignments it is highly recommended that only one instance of Instructor Utilities is
      open at a time.


                                                    5
Figure 2. The Class Management drawer showing the Class Roll manila folder.


Class Management
Class management functions are accessed by clicking one of the top two drawers of the filing
cabinet. Inside the drawer, there are several green hanging folders and manila folders within the
hanging folders. Each hanging folder represents a class (a collection of students), and each
manila folder represents a management function for the selected class. The class management
drawer is closed by clicking the bottom of the drawer where it is labeled close. Closing the
drawer brings the instructor back to the main stockroom.

Classes are selected by clicking the hanging folder label for the indicated class (which brings that
label forward). The green arrows to the left and right of the hanging folders cycle through the list
of classes six classes at a time. A new class is created by clicking the Add Class button in the
Class Roll folder. Details on adding and managing classes follow.

The manila folders in each hanging folder perform specific class management functions. A brief
description of each folder is given. Details are found in their respective help sections.


                                                 6
Class Roll. Add and delete classes; add, delete, and import students; specify usernames and
passwords; update to and retrieve from the web; assign stockroom access privileges.

Inorganic. Define and release assignments for the inorganic qualitative analysis laboratory.

Quantum. Define and release assignments for the quantum experiments.

Gases. Define and release assignments for the gases experiments.

Titration. Define and release assignments for the titration experiments.

Calorimetry. Define and release assignments for the calorimetry or thermodynamic experiments.

Mechanics. Define and release assignments for the mechanics experiments.

Density. Define and release assignments for the density experiments.

Circuits. Define and release assignments for electronic circuit experiments.

Optics. Define and release assignments for the optics experiments.

Organic. Define and release assignments for organic synthesis and organic qualitative analysis
experiments.

Scores. View scores assigned to each student for each assignment, export scores, view lab books,
and determine availability of lab books for grading.


Class Roll
Overview
The class roll folder contains class and student information as well as functions for adding and
deleting classes and student records, importing student information, and defining access
privileges. (See Figure 2.) The folder is divided into three areas:
   (1) class information
   (2) function buttons
   (3) a spreadsheet view of student records.
Details on the three areas of the folder are given in their respective sections below. An overview
of the routine or common functions performed in the class roll folder is described here.

Adding a Class. A new class is added by clicking the button in the Class Roll folder labeled Add
Class followed by filling in the Class Name, Section, and Instructor text boxes. Pressing Tab or
Enter automatically advances to the next text box. Pressing Tab or Enter in the Instructor text



                                                7
box saves the class information. The laboratories that can be accessed by this class must also be
selected.

Adding Students. Students can be added individually by clicking the Add Member button or by
clicking in an empty row of the spreadsheet. Students can also be imported from a tab-delimited
text file.

Deleting a Class. The currently selected class can be deleted by clicking the Delete Class button.

Deleting Students. The currently highlighted member can be deleted by clicking the Delete
Member button.

Modifying Information. Class information or member information can be modified by clicking
the appropriate text box and typing the correction. The Save Class or Save Member button,
respectively, may be pressed to save the modified information.

Updating and Retrieving from the Web. If the Web Connectivity Option is being used, class data
(class lists, assignments, scores, etc.) for the currently selected class can be updated to the servlet
engine by clicking on the Update Web button. Student data is retrieved from the servlet engine
by clicking on the Retrieve Web button.

Note on Organizing Classes. Since only a few individuals require access to the stockroom to
make assignments and grade lab books, it is suggested that a separate administrative class be
created for those who require access to the stockroom. Selecting the Admin rights in the Rights
section of the spreadsheet grants access to the stockroom for the selected individual. Grading
rights are also available for individuals, which grants access only to the lab books for grading.

Class Information
The class information area shows the class name, section number, instructor name, and the
selected (and available) laboratory experiments for the selected hanging folder. (See Figure 2.)
The class name, section number, and instructor can be modified by clicking the appropriate text
box. Pressing Tab or Enter advances the cursor to the next text box except after the instructor
box which, instead, saves the class information to the database. Pressing the Save Class button
also saves the class information to the database. It is not necessary to perform a Save Class when
selecting the experiments that will be available to the class. These changes are saved
automatically.

Function Buttons
These buttons perform most of the class roll functionality and are shown in Figure 2. A detailed
description of these buttons is given next.

Save Class. This button is active when text is being entered or modified in the class information
text boxes. Pressing this button saves the currently entered information in all three text boxes.

Import Class. This button is used to import members into the currently selected class using a tab-
delimited text file. Clicking the button brings up a dialog box which allows the import file to be


                                                  8
located and selected. If errors are found during the import process, an error file is created (and
placed in the installed Y Science directory) and an appropriate error message is displayed. The
format of the import file is as follows:

       Last            First           MI     User Name               Password
       Frog [Tab] Kermit [Tab] T              [Tab]           [Tab]   green
       Bird [Tab] Big    [Tab]                [Tab]           [Tab]   yellow
       Grouch[Tab] Oscar [Tab] T              [Tab]           [Tab]   dirty
       Ernie [Tab]       [Tab]                [Tab]           [Tab]   ducky
       Bert [Tab]        [Tab]                [Tab]           [Tab]   pigeon
       Etc.

Only the last name and password are required with four [Tab]s on each line. Usernames are
created automatically (if the column is left blank) and middle names are truncated to initials
automatically. Class members that are imported are always given student access rights. An
import file can be easily created by importing a class list into a spreadsheet program, editing the
list to the preceding format, and saving the list as a tab-delimited text file.

Add Class. This button begins a new hanging folder for a new class.

Delete Class. This button deletes the currently selected class. A warning is given before the
deletion occurs.

Add Member. This button adds a member to the currently selected class. Text entry starts on the
left with the last name and proceeds to the right by pressing Tab or Enter. The mouse can also be
used to advance to the next field. Pressing Tab or Enter after the ID has been entered saves the
member automatically to the database. Pressing the Save Member button will also save the
member.

Save Member. When a new member is being added to a class or member information is being
modified, this button saves the current entries to the database.

Delete Member. This button deletes the currently selected member. A warning is given before
the deletion occurs.

Delete All. This button deletes all the members in the currently selected class without deleting
class information. A warning is given before the deletion occurs.

Retrieve Web. This button performs a Retrieve function from the servlet engine for the selected
class and automatically synchronizes the local database. If there is no new data to retrieve then a
warning is given. If the instructor proceeds to retrieve the data, then a force retrieve is done
which retrieves all the data from the server and synchronizes the local database replacing any
duplicate information. See the Web Tools folder in Utilities for more ways of retrieving data and
for specifying the URL address.




                                                  9
Update Web. This button performs an Update function to the servlet engine for the selected class.
If there is no new data to send, then a warning is given. If the instructor proceeds to update the
server, then a force update is done which replaces all the data on the server. Note that the Update
function must be performed before students can be authenticated over the web. The update
function must also be performed any time modifications are made to the class data in order to
provide the students in the class with the most up-to-date information.

Cancel. This button cancels text entry in any of the class information or member information text
boxes.

Help. This button accesses the help screen for class rolls.

Student Records
The list of members for the class is given in the spreadsheet. Listed for each member is the last
name, first name, middle initial, username, password (usually the student ID), and administrative
privileges. A member can be added by clicking the Add Member button or by clicking on a blank
line in the spreadsheet. The last name and password are required for each member. The first
name and middle initial are optional. The username is generated automatically, but it can also be
specified. The username and password is used by the member to gain access to the different
laboratories in Y Science and must be unique to each member. Selecting Admin rights for a
member gives that person administrative privileges, which means they can enter the stockroom
and create, modify, and delete classes, students, and assignments. Selecting Grading rights for a
member gives that person grading privileges, which means they can enter the stockroom and
access the grading functionality in the lab books. A user with Grading rights does not have the
ability to enter the Class Management or Utilities functions.

When adding a member, text entry is started on the left with the last name and proceeds to the
right by pressing Tab or Enter. The mouse can also be used to advance to the next field. Pressing
Tab or Enter after the password has been entered saves the member automatically to the
database. Pressing the Save Member button will also save the member. The information for a
member can be modified by clicking the appropriate text box. The change is saved by pressing
Tab or Enter until the password is saved or by pressing the Save Member button. Scrolling
through the member list is accomplished using the scroll bar.




                                                 10
Figure 3. The Inorganic Assignment folder showing a Random/By Student assignment.

Inorganic Assignments
Overview
The inorganic assignment folder allows the instructor to define and release inorganic qualitative
analysis unknowns to the class in the inorganic laboratory. These unknowns (or assignments) are
given to the students in the left slot of the unknown rack in the inorganic stockroom, and the
student’s work on these assignments is recorded (by the student) in the lab book. A new section
is created in the lab book for each assignment accepted by the student. A student reports their
unknown by pressing the Report button in the lab book and then selecting the cations they
determined to be present based on their analysis. After submitting their results, a score is
automatically computed by subtracting points for each incorrect positive or negative result. This
score can be changed at a later time if necessary.

Each unknown is made up of a set of cations that has been selected by the instructor and
constitutes the cations the students will be trying to separate and identify. The instructor can
assign unknowns to the students in four different ways, but the different types of unknowns only
differ by how the actual cations are assigned to the students. These four unknown types are


                                               11
Random/By Class, Random/By Student, Manual/By Class, and Manual/By Student where
Random means the cations are assigned to the students randomly based on certain criterion,
Manual means the cations are assigned manually by the instructor, By Student means a different
unknown (but from the same set of cations) is assigned to each student, and By Class means each
student in the class receives the same unknown. As part of the assignment, the instructor must
also specify the total points possible, the number of points deducted per wrong answer, the date
the assignment will be available to the students (the start date), and the date when the assignment
is due.

The inorganic assignment folder is shown in Figure 3 and can be divided into three general areas:
(a) class information, (b) assignment/archive buttons, and (c) the assignment area. The following
details are on these three areas.

Class Information
In the upper-left of the inorganic assignment folder is the class information area where
information on the currently selected class is given, followed by three buttons that are used to
create, retrieve, or archive inorganic assignments. Class information cannot be modified in this
folder.

Assignment/Archive Buttons
Create New Assignment. This button creates a blank assignment, which can be defined by the
instructor and then released to the class. Details on defining an inorganic assignment are given in
the Assignments section.

Retrieve Assignment. This button retrieves an inorganic assignment from a set of assignments
that have been previously archived. Details on archiving and retrieving inorganic assignments
are given in the Archiving and Retrieving Assignments section.

Archive Assignment. This button saves or archives the currently selected or defined inorganic
assignment. Details on archiving and retrieving inorganic assignments are given in the Archiving
and Retrieving Assignments section.

Assignments
The general procedure for creating an assignment includes the following steps:

 1. Create a blank assignment using the Create New Assignment button. (This is not necessary
    if it is the first assignment.)

 2. Enter a title for the assignment.

 3. Specify the assignment as Random/By Class, Random/By Student, Manual/By Class, or
    Manual/By Student.

 4. Define the cation set.

 5. Assign the unknowns as appropriate for the assignment type. (See #3.)


                                                12
6. Assign the points possible, points for deductions, the start date, and the due date.

The assignment area can be divided into the following parts: (a) Assignment Number, (b)
Assignment Title, (c) Assignment Type, (d) Student List, (e) Cation Set, (f) Function Buttons,
and (g) Points, Deductions, Start Date, and Due Date. Each of these are described in the
following list:

(a) Assignment Number. The number of the current assignment is shown in the assignment
    number box. Assignments that have already been created can be accessed using the left and
    right arrows next to the box. It can take several seconds to update the assignment information
    as each assignment is accessed. Rapidly advancing through the assignments bypasses the
    assignment update for each intermediate assignment. The assignment number only reflects
    the order in which they were created. The start date determines when they are accessible to
    the students.

(b) Assignment Title. Each assignment must be given a title. The title is intended as an aid to
    identify the type of unknown that has been assigned, and it is also used as the default name
    when archiving the assignment. (See Archiving and Retrieving Assignments for details.)
    Assignment titles are entered by clicking the text box and typing the appropriate text.

(c) Assignment Type. The type of assignment is selected by clicking the Create Unknown and
    Assign Unknown drop-down menus. The Create Unknown menu allows the unknown to be
    assigned Randomly or Manually, and the Assign Unknown menu allows the unknown to be
    assigned By Student or By Class. The combination of these two drop-down menus yields the
    four different types of unknowns: Random/By Class, Random/By Student, Manual/By Class,
    or Manual/By Student.

   (1) Random Assignment. In a Random assignment, the cations that have been selected for the
       cation set (see Cation Set below) are assigned randomly based on the Minimum and
       Maximum parameters. (See Figure 3.) The Minimum and Maximum parameters only
       appear on the folder when a Random unknown has been selected. The Minimum
       parameter defines the minimum number of cations that can be assigned from the cation
       set. A “1” would indicate that no fewer than one cation would be present in the unknown
       out of the cations in the cation set, a “2” would mean that no fewer than two cations
       would be in the unknown, and so on. A special case of “0” (zero) is allowed and indicates
       that no cations or a water unknown could be assigned. Similar to the Minimum parameter,
       the Maximum parameter defines the maximum number of cations that can be assigned as
       an unknown from the cation set. Some restrictions to these parameters include (i)
       Maximum cannot be greater than the number of cations in the set and (ii) Minimum
       cannot be greater than Maximum. The Minimum and Maximum parameters are adjusted
       by clicking the up and down arrows next to each parameter.

   (2) Manual Assignment. In a Manual assignment, an unknown is assigned by selecting the
       cations for each unknown manually from the cations in the cation set. (See Cation Set.)
       Cations are selected from the cation set by clicking the cation tiles in the Cation Set box.


                                                13
(3) By Class. When an assignment is given by class, then every student in the class will
       receive the same unknown. For a Random assignment, the unknown is randomly selected
       from the cation set, and for a Manual assignment, the cations in the unknown are selected
       manually.

   (4) By Student. When an assignment is given by student, then every student in the class will
       receive a unique unknown. For a Random assignment, each unknown is randomly
       selected from the cation set, and for a Manual assignment, the cations in each unknown
       are selected manually for each student.

(d) Student List. A student list (see Figure 3) is provided for By Student assignments, for making
    Manual (or individual) assignments and to show the unknowns that have been assigned to
    each student. The list shows three students. The middle student in the box is the currently
    selected student, and there is a student before and after. Student names in red indicate an
    assignment has not been given, whereas student names in blue indicate an assignment has
    been given. The up and down arrows are used to scroll through the list. When an assignment
    has been made (name in blue), the cations that have been assigned to that student are
    highlighted in the Cation Set box. Changes in the assignments can be made up until the start
    date.

(e) Cation Set. Before an unknown can be given to the students in the class, a cation set must be
    defined. This is done by selecting cations from the Cation List and placing them in the Cation
    Set box. Cations are selected clicking and dragging a cation tile from the list to the Cation Set
    box. Cations can be removed from the Cation Set box and returned to the list by clicking and
    dragging from the Cation Set to the Cation List. For Manual assignments, cations are
    assigned from the Cation Set box by clicking once on the desired cation tiles. For a By Class
    assignment, this cation selection process is only done once. For a By Student assignment, the
    cation selection process must be done for each student. Pressing Save saves the assignment
    for the indicated student (see Student List) and automatically advances the student list to the
    next student. For a Random assignment, cations in the Cation Set box cannot be selected
    manually, but once the assignment has been saved, the depressed tiles in the Cation Set box
    indicate the cations that have been assigned to the class or to the indicated student.

(f) Function Buttons. The four function buttons are Save, Cancel, Delete, and Help. The Save
    button saves the current assignment. For Random assignments, pressing the Save button
    actually assigns the unknowns to the class (By Class) or to each student (By Student). The
    Cancel button resets the current assignment to a blank assignment if it has not yet been
    saved; otherwise, it restores the assignment to its last saved state. The Delete button deletes
    an assignment that has not been released, and the Help button opens the help window for
    inorganic assignments.

(g) Points, Deductions, Start Date, and Due Date. The points, deductions, start date, and due
    date for the assignment are specified in these text boxes. The points are the total numbers of
    points assigned for the assignment, and the deductions are the numbers of points to be
    deducted for each wrong answer by the student (either a false positive or false negative). The


                                                 14
minimum score possible is zero. By default, text entry starts in the title box and pressing Tab
   or Enter advances the cursor to the points box, and then the deductions box. The start date is
   the date (starting at midnight) the assignment will be available to the students, and the due
   date is the last day the assignment will be available (ending at midnight). Enter the start date
   and due date by clicking on the calendar icon in their respective boxes and choosing the
   desired day. You may scroll between months by using the arrows on either side of the month
   and year display at the top of the calendar box. An assignment cannot be modified, including
   the start date, once it has been released to the students, but it is possible to change the due
   date. An assignment can only be canceled while it is released by deleting it.

Archiving and Retrieving Assignments
Defining an inorganic qualitative analysis unknown can be a time-consuming and laborious
process, especially if there are several unknowns and there are several classes for which these
unknowns need to be defined. To make this process less time consuming, inorganic assignments
can be archived, or saved, and then retrieved using the Archive Assignment and Retrieve
Assignment buttons.

To archive an assignment, define an inorganic assignment following the steps and procedures
that were described in the Assignments section. Pressing the Archive Assignment button will save
the cation set, the assignment type, the assignment title, the points, and the deductions. A dialog
box will come up asking for a name for the archive and where to save it. The assignment archive
can be stored anywhere, but the default location is the Assignment /Inorganic directory located
where the database is stored. Any number of archives can be stored with any combination of
unknowns.

To retrieve an assignment, an inorganic assignment must first be created. Pressing the Retrieve
Assignment button will bring up a dialog box where the instructor may select from any of the
available archives. Selecting an archive will automatically define the assignment based on the
information that was saved during the archive. At this point, the start date and due date for the
assignment must still be specified, and the actual unknowns must be assigned to the students by
saving the assignment (pressing the Save button) for a Random assignment or by selecting the
cations from the cation set for a Manual assignment.




                                                15
Figure 4. The Quantum Assignments folder.

Quantum Assignments
Overview
The quantum assignment folder allows the instructor to define and release text-based instructions
(or assignments) for performing a number of simulated experiments that demonstrate many of
the concepts and ideas that led to the development of quantum mechanics. The level of these
experiments can be very basic or very sophisticated, depending on the level of the class and the
purpose for performing the experiments. These assignments are given to the students using the
clipboard in the quantum stockroom, and the student’s work on these assignments is recorded
(by the student) in the lab book. A new section is created in the lab book for each assignment
accepted by the student.

The purpose of the quantum laboratory is to allow a student to explore and better understand the
foundational experiments that led up to the development of quantum mechanics. Because of the
very sophisticated nature of most of these experiments, the quantum laboratory is the most
“virtual” of the Y Science laboratory simulations. In general, the laboratory consists of an optics


                                                16
table where various sources, samples, modifiers, and detectors can be placed to perform different
experiments. These devices are located in the stockroom and can be taken out of the stockroom
and placed on the optics table. The emphasis here is to teach the students to probe a sample (e.g.,
a gas, metal foil, two-slit screen, etc.) with a source (e.g., a laser, electron gun, alpha-particle
source, etc.) and detect the outcome with a specific detector (a phosphor screen, spectrometer,
etc.). Heat, electric fields, or magnetic fields can also be applied to modify an aspect of the
experiment. As in all Y Science laboratories, the focus is to allow students the ability to explore
and discover, in a safe and level-appropriate setting, the concepts that are important in the
various areas of chemistry. Complete details on the quantum laboratory, its use and limitations,
and the scope of the simulations can be found in the Quantum Users Guide.

Because these physical chemistry experiments can be complex and not necessarily intuitive to set
up properly, a set of 15 preset experiments has been defined and is accessible to the student
through the clipboard in the stockroom. These preset experiments are defined using a set of INI
variables that describe the various aspects of each experiment. Details on how to change the
preset experiments are found in Appendix A. These preset experiments can also be turned off as
will be described later.

Assignments in the quantum laboratory consist of a set of instructions outlining what is required
of the students to complete the assignment. These assignments are text based, and when a student
accepts the assignment it is displayed on the clipboard. If the student decides to proceed, the
assignment is displayed in the laboratory TV for reference during the experiment. As installed,
the quantum simulation comes with a set of predefined assignments with varying levels of
difficulty. However, the number and difficulty of experiments that can be performed in the
quantum laboratory is enormous; therefore, the ability to import custom assignments and add
them to the database of assignments has also been provided. These custom assignments can also
include custom preset experiments.

Shown in Figure 4 is an example of a quantum assignment folder. The folder can be divided into
two general areas: (1) laboratory setup and (2) assignments. Details on these two areas of the
folder are given in their respective sections.

Laboratory Setup
The laboratory setup area of the quantum assignment folder consists of a class information area
for the currently selected class at the top, followed by the laboratory setup options, followed by
three buttons that are used to create a new assignment, import a custom assignment, and delete a
custom assignment. Class information cannot be modified in this folder.

Preset Experiments. The clipboard in the quantum stockroom contains a list of 15 preset
experiments that the student can select to automatically set up experiments out in the laboratory.
Deselecting this option will turn off access to these preset experiments. Details on modifying the
preset experiments available to the students are found in Appendix A. This setting can be
changed at any time.

Highlight Drop Zones. When individual items of equipment are brought from the stockroom
counter to the optics table, there are specific positions that are allowed for each type of


                                                17
equipment. To help the student see where these allowed drop zones are located, spotlights appear
on the optics table indicating the allowed positions as each item is dragged from the stockroom
counter and dropped on the optics table. Deselecting this setting turns off the spotlights. This
setting can be changed at any time.

Create New Assignment. This button creates a blank assignment that can be defined by the
instructor and then released to the class. Details on defining assignments are given in the
Assignments section.

Import Assignment. The Quantum laboratory comes with a set of predefined assignments with
varying levels of difficulty that demonstrate the concepts and ideas that led up to the
development of quantum mechanics (and beyond). However, it is recognized that the types of
experiments and their level of difficulty will most often need to be custom tailored for the level
of the class, the level of the students, and the individual teaching style of the instructor. This
button allows a custom assignment to be imported into the quantum assignment database.
Pressing the button brings up a dialog box, which allows the instructor to locate the new
assignment file and then bring it into the quantum assignment database. Once the file has been
successfully imported, it is not necessary to keep the original file. This import file must be a text-
(or ASCII-) based file with the following format:

       [Assignment with a preset experiment]
       1   Assignment Title
       2
       3   PRESET:preset_file.ini
       4
       5   Descriptive text of assignment without hard-returns except at paragraphs.

       [Assignment without a preset experiment]
       1   Assignment Title
       2
       3   Descriptive text of assignment without hard-returns except at paragraphs.

The first line is the assignment title and will be used to identify the assignment in the assignment
list (see Figure 4) and on the clipboard in the stockroom. The second line must be blank. The
third line is an optional line. If the word “PRESET:” is present on the third line followed by a
preset experiment file, then, when the assignment is accepted by the student, the preset
experiment will be set up automatically in the laboratory after exiting the stockroom. An
assignment does not necessarily have to have a preset assignment. It is only meant as an option
that allows different levels of experiments to be assigned to the students. If the PRESET: line is
missing then the third line in the text file is assumed to be the beginning of the assignment
description. If the PRESET: line is wrong or an invalid or missing file is found, the third line is
also interpreted as the beginning of the assignment description. Preset experiments for
assignments must be located in the Assignment/Quantum directory located in the installed Y
Science directory and must have the extension “.ini”. Note also that there should be no space
between the “PRESET:” and the file name. Details on defining preset experiments are found in
Appendix A, although several have been included with the software.



                                                 18
Delete Imported. This button will delete the currently selected assignment (displayed in the
assignment list) from the quantum assignment database if the selected assignment is an imported
assignment. Imported assignments are identified with an “*” after the title. A warning will be
given before the deletion is allowed to proceed.

Assignments
The general procedure for creating an assignment includes the following steps:

 1. If the desired assignment is not present in the quantum assignment database, write the
    assignment using the format described and import the assignment.

 2. Create a blank assignment using the Create New Assignment button. (This is not necessary
    if it is the first assignment.)

 3. Select the desired experiment using the Select Experiment drop-down list.

 4. Assign the points possible, the start date, and the due date.

Shown in Figure 4 is the assignment area for a quantum assignment. The parts of the assignment
area are the following: (a) Assignment Number, (b) Select Experiment, (c) Description Box, (d)
Function Buttons, and (e) Points, Start Date, and Due Date. Each of these is described in the
following list:

(a) Assignment Number. The number of the current assignment is shown in the assignment
    number box. Assignments that have already been created can be accessed using the left and
    right arrows next to the box. It can take several seconds to update the assignment information
    as each assignment is accessed. Rapidly advancing through the assignments bypasses the
    assignment update for each intermediate assignment. The assignment number only reflects
    the order in which they were created. The start date determines when they are accessible to
    the students.

(b) Select Experiment. The list of available experiments in the quantum assignment database is
    contained in the Select Experiment drop-down list. Experiments are listed by title and sorted
    alphabetically. Experiments with an “*” at the end are imported assignments and can be
    deleted using the Delete Imported button. Experiments are selected by clicking the desired
    experiment. Currently selected experiments can be replaced by clicking a new experiment.

(c) Description Box. The description box contains the text of the actual experiment for review.
    No editing of the experiment description can be done in this box. If a preset experiment is
    indicated as part of the experiment, it will also be listed here, but not shown to the student.

(d) Function Buttons. The four function buttons are Save, Cancel, Delete, and Help. The Save
    button saves the current assignment. The Cancel button resets the current assignment to a
    blank assignment if it has not yet been saved; otherwise, it restores the assignment to its last
    saved state. The Delete button deletes an assignment even if it has been released, and the
    Help button opens the help window for quantum assignments.


                                                 19
(e) Points, Start Date, and Due Date. The points, start date, and due date for the assignment are
    specified in these text boxes. The points are the total numbers of points assigned for the
    assignment, and the minimum score possible is zero. The start date is the date (starting at
    midnight) the assignment will be available to the students, and the due date is the last day the
    assignment will be available (ending at midnight). Enter the start date and due date by
    clicking on the calendar icon in their respective boxes and choosing the desired day. You
    may scroll between months by using the arrows on either side of the month and year display
    at the top of the calendar box. An assignment cannot be modified, including the start date,
    once it has been released to the students, but it is possible to change the due date. An
    assignment can only be canceled while it is released by deleting it.




 Figure 5. The Gases Assignments folder.

Gases Assignments
Overview
The gases assignment folder allows the instructor to define and release text-based instructions (or
assignments) for performing a set of simulated physical chemistry experiments that demonstrate
the behavior of ideal, real, and van der Waals gases under varying experimental conditions. The


                                                20
level of these experiments can be very basic or very sophisticated, depending on the level of the
class and the purpose for performing the experiments. These assignments are given to the
students using the clipboard in the gases stockroom, and the student’s work on these assignments
is recorded (by the student) in the lab book. A new section is created in the lab book for each
assignment accepted by the student.

The gas experiments included in the Y Science simulated laboratory allow students to explore
and better understand the behavior of ideal gases, real gases, and van der Waals gases (a model
real gas). The gases laboratory contains four experiments each of which includes the four
variables used to describe a gas: pressure (P), temperature (T), volume (V), and the number of
moles (n). The four experiments differ by allowing one of these variables to be the dependent
variable while the others are independent. The four experiments include (1) V as a function of P,
T, and n using a balloon to reflect the volume changes; (2) P as a function of V, T, and n using a
motor driven piston; (3) T as a function of P, V, and n again using a motor driven piston; and (4)
V as a function of P, T, and n but this time using a frictionless, massless piston to reflect volume
changes and using weights to apply pressure. The gases that can be used in these experiments
include an ideal gas; a van der Waals gas whose parameters can be changed to represent any real
gas; real gases including N2, CO2, CH4, H2O, NH3, and He; and eight ideal gases with different
molecular weights that can be added to the experiments to form gas mixtures. As in all Y Science
laboratories, the focus is to allow students the ability to explore and discover, in a safe and level-
appropriate setting, the concepts that are important in the various areas of chemistry. Complete
details on the gases laboratory, its use and limitations, and the scope of the simulations can be
found in the Gases Users Guide.

Because these gas experiments can be complex and not necessarily intuitive to set up properly, a
set of 15 preset experiments has been defined and is accessible to the student through the
clipboard in the stockroom. These preset experiments are defined using a set of INI variables that
describe the various aspects of each experiment. Details on how to change the preset experiments
are found in Appendix A. These preset experiments can also be turned off as will be described
later.

Assignments in the gases laboratory consist of a set of instructions outlining what is required of
the students to complete the assignment. These assignments are text based, and when a student
accepts the assignment it is displayed on the clipboard. If the student decides to proceed, the
assignment is displayed in the laboratory TV for reference during the experiment. As installed,
Gases comes with a set of predefined assignments with varying levels of difficulty. However, the
number and difficulty of experiments that can be performed in the gases laboratory is large;
therefore, the ability to import custom assignments and add them to the database of assignments
has also been provided. These custom assignments can also include custom preset experiments.

Shown in Figure 5 is an example of a gases assignment folder. The folder can be divided into
two general areas: (1) laboratory setup and (2) assignments. Details on these two areas of the
folder are given in their respective sections.




                                                 21
Laboratory Setup
The laboratory setup area of the gases assignment folder consists of a class information area for
the currently selected class at the top, followed by the laboratory setup options, followed by three
buttons that are used to create a new assignment, import a custom assignment, and delete a
custom assignment. Class information cannot be modified in this folder.

Preset Experiments. The clipboard in the gases stockroom contains a list of 15 preset
experiments that the student can select to automatically set up experiments out in the laboratory.
Deselecting this option will turn off access to these preset experiments. Details on modifying the
preset experiments available to the students are found in Appendix A. This setting can be
changed at any time.

van der Waals Parameters. One of the gases available in the gases laboratory is a van der Waals
gas. The a and b parameters used to define the van der Waals gas can be changed in the
laboratory by clicking on the cylinder label. Changing the a and b parameters here on the
assignment folder will change the default values that will be initially set for each student in the
class as they enter the laboratory. The units for the a and b parameters are as specified on the
folder.

Units. The units for the pressure, volume, and temperature variables can be changed at will by
the student using the Units buttons located on the LCD controllers. Specifying the units here on
the assignment folder will change the default units that will be initially used on the LCD
controllers for each experiment.

Create New Assignment. This button creates a blank assignment that can be defined by the
instructor and then released to the class. Details on defining assignments are given in the
Assignments section.

Import Assignment. The gases laboratory comes with a set of predefined assignments with
varying levels of difficulty that demonstrate the behavior of ideal, real, and van der Waals gases
under varying experimental conditions. However, it is recognized that the types of experiments
and their level of difficulty will most often need to be custom tailored for the level of the class,
the level of the students, and the individual teaching style of the instructor. This button allows a
custom assignment to be imported into the gases assignment database. Pressing the button brings
up a dialog box, which allows the instructor to locate the new assignment file and then bring it
into the gases assignment database. Once the file has been successfully imported, it is not
necessary to keep the original file. This import file must be a text- (or ASCII-) based file with the
following format:

       [Assignment with a preset experiment]
       1   Assignment Title
       2
       3   PRESET:preset_file.ini
       4
       5   Descriptive text of assignment without hard-returns except at paragraphs.




                                                 22
[Assignment without a preset experiment]
       1   Assignment Title
       2
       3   Descriptive text of assignment without hard-returns except at paragraphs.

The first line is the assignment title and will be used to identify the assignment in the assignment
list (see Figure 5) and on the clipboard in the stockroom. The second line must be blank. The
third line is an optional line. If the word “PRESET:” is present on the third line followed by a
preset experiment file, then, when the assignment is accepted by the student, the preset
experiment will be set up automatically in the laboratory after exiting the stockroom. An
assignment does not necessarily have to have a preset assignment. It is only meant as an option
that allows different levels of experiments to be assigned to the students. If the PRESET: line is
missing then the third line in the text file is assumed to be the beginning of the assignment
description. If the PRESET: line is wrong or an invalid or missing file is found, the third line is
also interpreted as the beginning of the assignment description. Preset experiments for
assignments must be located in the Assignment/Gases directory located in the installed Y Science
directory and must have the extension “.ini”. Note also that there should be no space between the
“PRESET:” and the file name. Details on defining preset experiments are found in Appendix A,
although several have been included with the software.

Delete Imported. This button will delete the currently selected assignment (displayed in the
assignment list) from the gases assignment database if the selected assignment is an imported
assignment. Imported assignments are identified with an “*” after the title. A warning will be
given before the deletion is allowed to proceed.

Assignments
The general procedure for creating an assignment includes the following steps:

 1. If the desired assignment is not present in the gases assignment database, write the
    assignment using the format described and import the assignment.

 2. Create a blank assignment using the Create New Assignment button. (This is not necessary
    if it is the first assignment.)

 3. Select the desired experiment using the Select Experiment drop-down list.

 4. Assign the points possible, the start date, and the due date.

Shown in Figure 5 is the assignment area for a gases assignment. The parts of the assignment
area are the following: (a) Assignment Number, (b) Select Experiment, (c) Description Box, (d)
Function Buttons, and (e) Points, Start Date, and Due Date. Each of these is described in the
following list:

(a) Assignment Number. The number of the current assignment is shown in the assignment
    number box. Assignments that have already been created can be accessed using the left and
    right arrows next to the box. It can take several seconds to update the assignment information
    as each assignment is accessed. Rapidly advancing through the assignments bypasses the

                                                23
assignment update for each intermediate assignment. The assignment number only reflects
   the order in which they were created. The start date determines when they are accessible to
   the students.

(b) Select Experiment. The list of available experiments in the gases assignment database is
    contained in the Select Experiment drop-down list. Experiments are listed by title and sorted
    alphabetically. Experiments with an “*” at the end are imported assignments and can be
    deleted using the Delete Imported button. Experiments are selected by clicking the desired
    experiment. Currently selected experiments can be replaced by clicking a new experiment.

(c) Description Box. The description box contains the text of the actual experiment for review.
    No editing of the experiment description can be done in this box. If a preset experiment is
    indicated as part of the experiment, it will also be listed here, but not displayed to the student
    when they read the description in the lab.

(d) Function Buttons. The four function buttons are Save, Cancel, Delete, and Help. The Save
    button saves the current assignment. The Cancel button resets the current assignment to a
    blank assignment if it has not yet been saved; otherwise, it restores the assignment to its last
    saved state. The Delete button deletes an assignment even if it has been released, and the
    Help button opens the help window for quantum assignments.

(e) Points, Start Date, and Due Date. The points, start date, and due date for the assignment are
    specified in these text boxes. The points are the total numbers of points assigned for the
    assignment, and the minimum score possible is zero. The start date is the date (starting at
    midnight) the assignment will be available to the students, and the due date is the last day the
    assignment will be available (ending at midnight). Enter the start date and due date by
    clicking on the calendar icon in their respective boxes and choosing the desired day. You
    may scroll between months by using the arrows on either side of the month and year display
    at the top of the calendar box. An assignment cannot be modified, including the start date,
    once it has been released to the students, but it is possible to change the due date. An
    assignment can only be canceled while it is released by deleting it.

Titration Assignments
Overview
The titration assignment folder allows the instructor to define and release acid-base or
potentiometric assignments to classes using the titration laboratory. Titration assignments consist
of acids and/or bases or potentiometric reagents of unknown concentration. When an assignment
is released to the students, the bottles containing the unknowns will be located on the left side of
the “Unknowns” shelf in the titration stockroom, and upon accepting the assignment the
student’s work on these assignments will be recorded by the student in the lab book. A new
section is created in the lab book for each assignment accepted by the student. The students
report their assignments by clicking on the Report button in the lab book and then entering the
concentrations of the unknowns they were assigned using data gathered from their experimental
work and calculations. After submitting their results, a score can be automatically assigned based
on pre-defined automatic grading criteria. This score can be changed at a later time if necessary.


                                                  24
Figure 6. The Titration Assignments folder.

The virtual titration laboratory allows students to perform precise, quantitative titrations
involving acid-base and electrochemical reactions. The available laboratory equipment consists
of a 50 mL buret, 5, 10, and 25 mL pipets, graduated cylinders, beakers, a stir plate, a set of 8
acid-base indicators, a pH meter/voltmeter, a conductivity meter, and an analytical balance for
weighing out solids. Acid-base titrations can be performed on any combination of mono-, di-,
and tri-protic acids and mono-, di-, and tri-basic bases. The pH of these titrations can be
monitored using a pH meter, an indicator, and a conductivity meter, all as a function of volume,
and this data can be saved to an electronic lab book for later analysis. A smaller set of
potentiometric titrations can also be performed. Systematic and random errors in the mass and
volume measurements have been included in the simulation by introducing buoyancy errors in
the mass weighings, volumetric errors in the glassware, and characteristic systematic and random
errors in the pH/voltmeter and conductivity meter output. These errors can be ignored, which
will produce results and errors typical of high school or freshman-level laboratory work, or the
buoyancy and volumetric errors can be measured and included in the calculations to produce
results better than 0.1% in accuracy and reproducibility.




                                               25
Because these titration experiments include a significant amount of detail, a set of 15 preset
experiments has been defined and is accessible to the student through the clipboard in the
stockroom. These preset experiments are defined using a set of INI variables that describe the
various aspects of each experiment. Details on how to change the preset experiments are found in
Appendix A. These preset experiments can also be turned off which will be described later.

The titration laboratory allows both acid-base and potentiometric titrations, however assignments
for each type of titration are essentially the same. A titration assignment consists of (1) selecting
the reagents that will be assigned to the students, (2) specifying the reagents as known or
unknown, (3) specifying the concentrations of the reagents, and (4) selecting and defining the
reagents on the stockroom shelves that will be available to the student during the assignment.
When a titration assignment has been released, the assigned reagents (usually unknowns) will
appear on the left side of the “Unknowns” shelf in the stockroom. Selecting some or all of these
reagents will constitute accepting the assignment, which will then cause the reagent bottles
available in the stockroom to be reconfigured as defined in the assignment. The student now
proceeds with the titration experiment and reports their results using the lab book.

The titration assignment folder is divided into two areas: (1) laboratory setup and (2)
assignments. Details on these two areas of the folder and on defining a titration assignment are
given below.

Laboratory Setup
Shown in Figure 6 is the laboratory setup area of the titration assignment folder. Information on
the currently selected class is given at the top, followed by the laboratory setup options, followed
by three buttons that are used to create assignments and retrieve or archive titration assignments.
Class information cannot be modified in this folder. It should be noted that the settings specified
in this area of the titration folder apply to the selected class as a whole and not to a given
assignment.

Allow Presets. The clipboard in the titration stockroom contains a list of 15 preset experiments
that the student can select to automatically set up experiments out in the laboratory or to assign a
set of pre-defined unknowns. Answers for the unknowns are given in the titration section of the
Instructor’s Manual. Deselecting this option will turn off access to these preset experiments.
Details on modifying the preset experiments available to the students are found in Appendix A.
This setting can be changed at any time.

Auto save and graphing. In the titration laboratory, students have the ability to save the data
associated with a titration (volume, pH/voltage, and conductivity) to the lab book for later
analysis and to view a graph of the pH/voltage and conductivity as a function of volume during
the course of the titration. This ability to save titration data to the lab book includes
automatically reading the volume of titrant delivered from the buret. Deselecting this option will
prevent students from saving titration data to the lab book and from monitoring the titration
using the graphing function. Students will be forced to manually read the buret and record the
necessary data to the lab book.

Activity coefficients. In order to achieve the most accurate calculations of pH and voltage for the
titrations, activity coefficients, as calculated from the extended Debye-Huckle limiting law, are

                                                 26
used in the equilibrium calculations. Deselecting this option will turn off the use of activity
coefficients. Turning off activity coefficients may be useful when students are expected to
perform their own equilibrium calculations and compare them to the results from the virtual
laboratory. Students also have the ability to turn activity coefficients on or off in the stockroom.

Glassware errors. Actual volumetric burets and pipets do not deliver volumes that correspond
exactly to the scale etched on the barrel. These volumetric errors are simulated in the laboratory
by assigning appropriate error functions to each piece of precision glassware available in the
laboratory. These glassware errors are unique to each student but remain constant over time.
Deselecting this option will turn off these error functions, and the buret and pipets will deliver
the volumes as indicated.

Buoyancy errors. Items that are weighed on a balance under standard air pressure are buoyed up
by the air causing the observed mass, as displayed by the balance, to be different than the true
mass. This buoyancy correction is small but does make a statistically significant contribution
when accuracies approaching 0.1% are needed. The mass readings displayed on the analytical
balance in the simulation are observed masses and have been reverse corrected from the true
mass. The balance will give the true mass when this option is deselected.

Base Barometric Pressure. The buoyancy errors applied to the balance readings require
knowledge of the density of air among other things. The density of air can be calculated using a
variety of methods, but each requires knowledge of the temperature and barometric pressure.
Therefore, in order to correct for buoyancy errors, the student must know the current temperature
and barometric pressure in the virtual laboratory. The temperature is constant at 25°C, but the
barometric pressure is assigned a new random value every day. The base or average pressure
used for assigning the daily barometric pressure is specified here. The swing in pressures that can
be assigned for any given day is ±20 Torr around the indicated base pressure.

Create New Assignment. This button creates a blank assignment that can be defined by the
instructor and then released to the class. Details on defining assignments are given in the
Assignments section.

Retrieve Assignment. This button retrieves a titration assignment from a set of assignments that
have been previously archived. Details on archiving and retrieving titration assignments are
given in the Archiving and Retrieving Assignments section.

Archive Assignment. This button saves or archives the currently selected titration assignment.
Details on archiving and retrieving qualitative analysis assignments are given in the Archiving
and Retrieving Assignments section.

Assignments
The general procedure for creating an assignment includes the following steps:

 1. Create a blank assignment using the Create New Assignment button. (This is not necessary
    if it is the first assignment.)



                                                 27
2. Enter a title for the assignment.

 3. Specify the assignment as Acid/base or Potentiometric

 4. Select reagents for the assignment shelf.

 5. Specify the assignment as By Class or By Student.

 6. Type or paste assignment instructions.

 7. Define the stockroom reagents that will be available during the assignment.

 8. Assign the points possible, auto-grading criterion, the start date, and the due date.

The assignment area can be divided into two general areas, each accessed by clicking on their
respective tab on the left: (1) The assignment area and (2) The stockroom shelves (the Acid/Base
or Potentiometric tab). The assignment area is used to define the major portions of the
assignment including the unknowns, points possible, grading, start date, and due date. The
stockroom shelves (either Acid/Base or Potentiometric) area is used to define the stockroom
reagents that will be available during the assignment. Details for each area are given below.

The Assignment Tab
(a) Assignment Number. The number of the current assignment is shown in the assignment
    number box. Assignments that have already been created can be accessed using the left and
    right arrows next to the box. It can take several seconds to update the assignment information
    as each assignment is accessed. Rapidly advancing through the assignments bypasses the
    assignment update for each intermediate assignment. The assignment number only reflects
    the order in which they were created. The start date determines when they are accessible to
    the students.

(b) Assignment Title. Each assignment must be given a title. The title is intended as an aid to
    identify the type of unknown that has been assigned, and it is also used as the default name
    when archiving the assignment. (See Archiving and Retrieving Assignments for details.)
    Assignment titles are entered by clicking on the text box and typing the appropriate text.

(c) Assignment Type. Titration assignments can be either Acid/base or Potentiometric. An
    assignment is defined as Acid/base or Potentiometric by clicking on the appropriate radio
    button. The default assignment type is Acid/base.

(d) Assignment Shelf. A titration assignment can consist of up to three reagent bottles usually
    representing unknowns that will appear on the “Unknowns” shelf in the stockroom. For acid-
    base assignments, two of these bottles can be any combination of acids and/or bases and the
    third can be an inert salt. For potentiometric assignments, there can only be two bottles, one
    of which must be an oxidant and the other a reductant. The third bottle is not allowed. The
    three buttons in the Assignment area represent the three reagents that can be assigned as an
    unknown. The first two buttons are used to select the acids and/or bases for an acid-base


                                                28
assignment or the oxidant and reductant for a potentiometric assignment, while the third
   button is for the inert salt. An “x” in the box on each button indicates that a reagent has been
   selected for that position on the “Unknowns” shelf, and the name of the selected reagent will
   be labeled on the button.

   Clicking on a reagent button will bring up a dialog box where (1) the reagent to be assigned
   to that bottle can be selected from a dropdown list, (2) the concentration for the reagent can
   be specified as Fixed or Random, and (3) the concentration will be labeled as Known or
   Unknown to the student. A Fixed concentration means that the concentration to be assigned
   to that bottle will be constant and the same for each student. A Random concentration
   indicates that the concentration will be assigned randomly within a concentration range
   specified by a minimum and maximum concentration. A Random unknown or known can be
   assigned for the class or uniquely for each student (see Unknown Type below). Note that
   concentrations for aqueous reagents are specified in molarity and the concentrations for
   solids are in weight percent. Clicking on the dropdown arrow to the left of the Assignment
   Shelf buttons will drop down the details (concentration, unknown type, and its known or
   unknown designation) associated with each assigned reagent.

(e) Unknown Type. Concentrations for bottles on the Assignment Shelf and on the stockroom
    shelves can be specified manually (Fixed) or they can be assigned randomly. Fixed
    concentrations are the same for each student in the class, but concentrations assigned
    Randomly can be the same or unique for each student. The Assign Unknown dropdown list
    allows the concentrations that are generated randomly to be the same for the entire class (By
    Class) or to be unique for each student (By Student).

(f) Student List. A student list (not shown in Figure 6 but an example can be seen in Figure 3) is
    provided for By Student assignments to show the unknowns that have been assigned to each
    student. The list shows three students. The middle student in the box is the currently selected
    student, and there is a student before and after. Student names in red indicate an assignment
    has not been given, whereas student names in blue indicate an assignment has been given.
    The up and down arrows are used to scroll through the list. When an assignment has been
    made (name in blue), the concentrations that have been assigned to that student are given in
    the reagent bottle drop down list. Changes in the assignments can be made up until the start
    date.

(g) Tools Available. In titration experiments, the equivalence point can be determined using
    various techniques. For acid-base titrations, a pH meter, indicators, and a conductivity meter
    are available. For potentiometric titrations, a voltmeter and a conductivity meter are
    available. The Tools Available section is used to specify which of the allowed techniques
    will be available for an assignment. The default is all that all techniques are available.

(h) Assignment Instructions. As part of an assignment, it is possible to include instructions for
    the student to use as they do their experimental work. These instructions are not a mandatory
    part of the assignment but are optional depending on the level of guidance that is needed for
    a particular assignment. Instructions are simply typed or pasted into the Instructions text box.
    These instructions will be available for viewing on the clipboard in the stockroom when


                                                29
assigned unknowns are on the “Unknowns” shelf, and they will be available on the TV in the
   laboratory after an assignment has been accepted.

(i) Function Buttons. The four function buttons are Save, Cancel, Delete, and Help. The Save
    button saves the current assignment. For Random assignments, pressing the Save button
    assigns the unknowns to the class (By Class) or to each student (By Student). The Cancel
    button resets the current assignment to a blank assignment if it has not yet been saved;
    otherwise, it restores the assignment to its last saved state. The Delete button deletes an
    assignment even if it has been released, and the Help button opens the help window for
    titration assignments.

(j) Points and Auto-grading. Scoring for an assignment is specified in these boxes. The points
    are the total number of points possible for the assignment. The Auto-grade check box is used
    to turn on auto-grading. If auto-grading is turned off, then it is the instructor’s responsibility
    to inspect the student’s results and assign a score (see Grading). If auto-grading is turned on,
    then the % Error and Deduct values must be included as part of the assignment. Auto-grading
    works by subtracting the number of points specified in the Deduct box from the total points
    possible for every interval the student’s answer is outside the range specified in % Error. For
    example, using the % Error of 1 and a Deduct value of 2 shown in Figure 6, if the student’s
    answer were wrong by 2.2%, 4 points would be deducted. If two unknowns are assigned,
    then both will be used to deduct points. The minimum score possible is zero.

(k) Start Date and Due Date. The start date and due date are used to specify when an assignment
    will be available for the class. By default, text entry starts in the title box and pressing Tab or
    Enter advances the cursor to the points box, and then the deductions box. The start date is the
    date (starting at midnight) the assignment will be available to the students, and the due date is
    the last day the assignment will be available (ending at midnight). Enter the start date and
    due date by clicking on the calendar icon in their respective boxes and choosing the desired
    day. You may scroll between months by using the arrows on either side of the month and
    year display at the top of the calendar box. An assignment cannot be modified, including the
    start date, once it has been released to the students, but it is possible to change the due date.
    An assignment can only be canceled while it is released by deleting it.

The Stockroom Shelves
The stockroom shelves tab in the assignment area will be labeled as either Acid/Base or
Potentiometric depending on the type of assignment that has been selected. Clicking on the tab
will bring the user to a series of buttons, each of which represents a bottle on the stockroom
shelves (see Figure 7). For acid-base assignments, there will be a set of buttons for the acid shelf,
the bases shelf, and the inert salts. For potentiometric assignments, there will be a set of buttons
for the oxidants and for the reductants. The purpose of these buttons is to allow each bottle on
the stockroom shelves to be reconfigured as necessary for the assignment defined in the
assignment area. Reagents can be deselected so they will not be available for students during the
assignment, concentrations can be changed, and concentrations can be converted into unknowns
(although these unknowns cannot be reported and graded as part of the assignment). Combined
with the unknowns that are assigned on the “Unknowns” shelf, the ability to reconfigure the



                                                  30
Figure 7. The stockroom shelves definition area in the Titration Assignment folder. Shown
           here are the buttons to define an acid-base assignment.
reagents on the stockroom shelves provides an enormous amount of flexibility for the level of
assignments.

Clicking on a reagent button will bring up a dialog box where (1) the reagent availability can be
deselected (the default state is all reagents are available), (2) the concentration for the reagent
can be specified as Fixed or Random, and (3) the concentration is Known or Unknown to the
student. An “x” in the box on each button indicates that a reagent is available for the assignment.
A Fixed concentration means that the concentration to be assigned to that bottle will be constant
and the same for each student. A Random concentration indicates that the concentration will be
assigned randomly within a concentration range specified by a minimum and maximum
concentration. A Random unknown or known can be assigned for the class or uniquely for each
student. Note that concentrations for aqueous reagents are specified in molarity and the
concentrations for solids are in weight percent. Clicking on the dropdown arrow to the left of the
buttons will drop down the details (concentration, unknown type, and its known or unknown
designation) associated with each reagent.



                                                31
Archiving and Retrieving Assignments
Defining a titration assignment can be a time-consuming and laborious process, especially if
there are several unknowns and there are several classes for which these unknowns need to be
defined. To make this process less time consuming, titration assignments can be archived, or
saved, and then retrieved using the Archive Assignment and Retrieve Assignment buttons.

To archive an assignment, define a titration assignment following the steps and procedures that
were described in the Assignments section. Pressing the Archive Assignment button will save the
entire assignment except the start date and due date. A dialog box will come up asking for a
name for the archive and where to save it. The assignment archive can be stored anywhere, but
the default location is the Assignment/Titrations directory located where the database is stored.
Any number of archives can be stored with any combination of unknowns.

An assignment is retrieved by clicking on the Retrieve Assignment button, which will bring up a
dialog box where the instructor may select from any of the available archives. Selecting an
archive will automatically define the assignment based on the information that was saved during
the archive. At this point, the start date and due date for the assignment must still be specified,
and the actual unknowns must be assigned to the students by saving the assignment (pressing the
Save button). It is not necessary that a new assignment be created first before retrieving an
archive.

Calorimetry Assignments
Overview
The calorimetry assignment folder allows the instructor to define and release text-based
instructions (or assignments) for performing a set of simulated calorimetry experiments that
demonstrate the concepts important in the study of chemical thermodynamics. The level of these
experiments can be very basic or very sophisticated, depending on the level of the class and the
purpose for performing the experiments. These assignments are given to the students using the
clipboard in the calorimetry stockroom, and the student’s work on these assignments is recorded
(by the student) in the lab book. A new section is created in the lab book for each assignment
accepted by the student.

There are three different calorimeters in the virtual calorimetry laboratory that allow students to
measure various thermodynamic processes including heats of combustion, heats of solution,
heats of reaction, the heat capacity, and the heat of fusion. The calorimeters provided in the
simulations are a classic “coffee cup” calorimeter, a Dewar flask, and a bomb calorimeter. The
calorimetric method used in each calorimeter is based on measuring the temperature change in
the calorimeter caused by the different thermodynamic processes. Instructors can choose from a
wide selection of organic materials to measure the heats of combustion; salts to measure the
heats of solution; acids and bases for heats of reaction; metals and alloys for heat capacity
measurements; and ice for a melting process. Boiling point elevation and freezing point
depressions can also be assigned to be measured. Systematic and random errors in the mass and
volume measurements have been included in the simulation by introducing buoyancy errors in
the mass weighing, volumetric errors in the glassware, and characteristic systematic and random
errors in the thermometer measurements.


                                                32
Figure 8. The Calorimetry Assignments folder.

Because these calorimetry experiments can be complex and not necessarily intuitive to set up
properly, a set of 15 preset experiments has been defined and is accessible to the student through
the clipboard in the stockroom. These preset experiments are defined using a set of INI variables
that describe the various aspects of each experiment. Details on how to change the preset
experiments are found in Appendix A. These preset experiments can also be turned off as will be
described later.

The calorimetry laboratory is used for measurements of the heat of combustion, the heat of
solution, the heat capacity of a metal, and the heat of reaction, however assignments for each
type of calorimetry experiment are essentially the same. A calorimetry assignment consists of (1)
selecting the type of measurement to be assigned (organic, salt, metal, reaction), (2) selecting the
reagents or metals that will be assigned to the students, (3) specifying the reagents as knowns or
unknowns, (4) specifying the points and grading option, and (5) specifying the start date and due
date. When a calorimetry assignment has been released, the assigned reagents or metals will
appear on the left side of the “Unknowns” shelf in the stockroom. Selecting one or all of these



                                                33
reagents or metals will constitute accepting the assignment. The student now proceeds with the
calorimetry experiment and reports their results using the lab book.

The calorimetry assignment folder is divided into two areas: (1) laboratory setup and (2)
assignments. Details on these two areas of the folder and on defining a calorimetry assignment
are given below.

Laboratory Setup
Shown in Figure 8 is the laboratory setup area of the calorimetry assignment folder. Information
on the currently selected class is given at the top, followed by the laboratory setup options,
followed by three buttons that are used to create assignments and retrieve or archive calorimetry
assignments. Class information cannot be modified in this folder. It should be remembered that
the settings specified in this area of the calorimetry folder apply to the selected class as a whole
and not to a given assignment.

Allow preset experiments. The clipboard in the calorimetry stockroom contains a list of 15 preset
experiments that the student can select to automatically set up experiments out in the laboratory.
Deselecting this option will turn off access to these preset experiments. Details on modifying the
preset experiments available to the students are found in Appendix A. This setting can be
changed at any time.

Auto save and graphing. In the calorimetry laboratory, students have the ability to save the
temperature versus time data from the thermometer to the lab book for later analysis and to view
a graph of the temperature as a function of time during the course of an experiment. Deselecting
this option will prevent students from saving temperature data to the lab book and from
monitoring the temperature using the graphing function. Students will be forced to manually
monitor and record the temperature in the lab book.

Glassware errors. Actual graduated cylinders do not deliver volumes that correspond exactly to
the scale etched on the cylinder. These volumetric errors are simulated in the laboratory by
assigning appropriate error functions to each piece of glassware available in the laboratory.
Deselecting this option will turn off these error functions, and the graduated cylinders will
deliver the volumes as indicated.

Buoyancy errors. Items that are weighed on a balance in air are buoyed up by the air causing the
observed mass, as displayed by the balance, to be different than the true mass. This buoyancy
correction is small but does make a statistically significant contribution when accuracies
approaching 0.1% are needed. The mass readings displayed on the analytical balance in the
simulation are observed masses and have been reverse corrected from the true mass. The balance
will give the true mass when this option is deselected.

Base Barometric Pressure. The buoyancy errors applied to the balance readings require
knowledge of the density of air among other things. The density of air can be calculated using a
variety of methods, but each requires knowledge of the temperature and barometric pressure.
Therefore, in order to correct for buoyancy errors, the student must know the current temperature
and barometric pressure in the virtual laboratory. The temperature is constant at 25°C, but the


                                                 34
barometric pressure is assigned a new random value every day. The base or average pressure
used for assigning the daily barometric pressure is specified here. The swing in pressures that can
be assigned for any given day is ±20 Torr around the indicated base pressure.

Create New Assignment. This button creates a blank assignment that can be defined by the
instructor and then released to the class. Details on defining assignments are given in the
Assignments section.

Retrieve Assignment. This button retrieves a calorimetry assignment from a set of assignments
that have been previously archived. Details on archiving and retrieving calorimetry assignments
are given in the Archiving and Retrieving Assignments section.

Archive Assignment. This button saves or archives the currently selected calorimetry assignment.
Details on archiving and retrieving calorimetry assignments are given in the Archiving and
Retrieving Assignments section.

Assignments
The general procedure for creating an assignment includes the following steps:

 1. Create a blank assignment using the Create New Assignment button. (This is not necessary
    if it is the first assignment.)

 2. Enter a title for the assignment.

 3. Specify the assignment type as Organics (combustion), Salts (solution), Metals (heat
    capacity), or Reactions.

 4. Select the reagents or metals for the assignment shelf.

 5. Specify the assignment as By Class or By Student.

 6. Type or paste assignment instructions.

 7. Assign the points possible, auto-grading criterion, the start date, and the due date.

Shown in Figure 8 is the assignment area for a calorimetry assignment. The parts of the
assignment area are the following: (a) Assignment Number, (b) Assignment Title, (c)
Assignment Type, (d) Report In, (e) Assignment Shelf, (f) Auto-Grade and Points, (g) Assign
Unknown, (h) Student List, (i) Assignment Instructions, (j) Function Buttons, and (k) Start date
and Due Date. Each of these is described in the following list:

(a) Assignment Number. The number of the current assignment is shown in the assignment
    number box. Assignments that have already been created can be accessed using the left and
    right arrows next to the box. It can take several seconds to update the assignment information
    as each assignment is accessed. Rapidly advancing through the assignments bypasses the
    assignment update for each intermediate assignment. The assignment number only reflects


                                                35
the order in which they were created. The start date determines when they are accessible to
   the students.

(b) Assignment Title. Each assignment must be given a title. The title is intended as an aid to
    identify the type of measurement that has been assigned, and it is also used as the default
    name when archiving the assignment. (See Archiving and Retrieving Assignments for
    details.) Assignment titles are entered by clicking on the text box and typing the appropriate
    text.

(c) Assignment Type. The type of measurement that can be assigned for a calorimetry assignment
    includes the heat of combustion (Organics), the heat of solution (Salts), the heat capacity of a
    metal (Metals), or the heat of reaction (Reactions). The assignment type is selected by
    clicking on the appropriate radio button. The default assignment type is Organics (heat of
    combustion).

(d) Report In. When reporting the enthalpy or heat capacity for the selected assignment type, the
    answers can be reported per mole or per gram. For reagents that are assigned as unknowns
    (allowed only for Organics, Salts, and Metals), reporting answers per gram is the only option.
    For reactions, answers are reported per mole of the first reagent. The default unit is per mole.

(e) Assignment Shelf. The assignment shelf is used to specify the reagents or metals that will be
    available for students on the “Unknowns” shelf in the stockroom for the selected assignment
    type. For Organics, Salts, and Metals, up to two reagents or metals can be selected, but for
    Reaction assignments only one reaction pair can be selected. If two reagents or metals are
    assigned, then the heat or heat capacity of both must be reported for the assignment. For By
    Class assignments, the same reagents or metals will be given to each student in the class. For
    By Student assignments, the reagents or metals must be selected individually for each
    student. If the Unknown box is checked, then the identity of the reagents or metals will be
    hidden from the students (not available for Reaction assignments).

(f) Auto-Grade and Points. Scoring for an assignment is specified in these boxes. The points are
    the total number of points possible for the assignment. The Auto-grade check box is used to
    turn on auto-grading. If auto-grading is turned off, then it is the instructor’s responsibility to
    inspect the student’s results and assign a score (see Grading). If auto-grading is turned on,
    then the % Error and Deduct values must be included as part of the assignment. Auto-grading
    works by subtracting the number of points specified in the Deduct box from the total points
    possible for every interval the student’s answer is outside the range specified in % Error. For
    example, using the % Error of 1 and a Deduct value of 2 shown in Figure 8, if the student’s
    answer were wrong by 2.5%, then the student would lose 4 points. If two unknowns are
    assigned, then both will be used to deduct points. The minimum score possible is zero. The
    Compare to option specifies if the reported answers will be compared to the standard state
    value or to the non-standard state value actually used in the simulation. This option is only
    available when Auto-Grade has been selected.

(g) Assign Unknown. Assignments can be given to students either By Class or By Student. In a
    By Class assignment, each student in the class will receive the same reagents or metals. In a


                                                 36
By Student assignment, the reagents or metals can be different for each student, but the
   reagents or metals must be assigned manually to each student. By default, assignments are
   defined By Class.

(h) Student List. A student list (see Figure 8) is provided for By Student assignments to show the
    reagents that have been assigned to each student. The list shows three students. The middle
    student in the box is the currently selected student, and there is a student before and after.
    Student names in red indicate an assignment has not been given, whereas student names in
    blue indicate an assignment has been given. The up and down arrows are used to scroll
    through the list. When an assignment has been made (name in blue), the reagents that have
    been assigned to that student are given in the drop down list. Changes in the assignments can
    be made up until the start date.

(i) Assignment Instructions. As part of an assignment, it is possible to include instructions for
    the student to use as they do their experimental work. These instructions are not a mandatory
    part of the assignment but are optional depending on the level of guidance that is needed for
    a particular assignment. Instructions are simply typed or pasted into the Instructions text box.
    These instructions will be available for viewing on the clipboard in the stockroom when
    assigned unknowns are on the “Unknowns” shelf, and they will be available on the TV in the
    laboratory after an assignment has been accepted.

(j) Function Buttons. The four function buttons are Save, Cancel, Delete, and Help. The Save
    button saves the current assignment. For By Student assignments, pressing the Save button
    saves the assignment for the selected student only. The Cancel button resets the current
    assignment to a blank assignment if it has not yet been saved; otherwise, it restores the
    assignment to its last saved state. The Delete button deletes an assignment even if it has been
    released, and the Help button opens the help window for calorimetry assignments.

(k) Start Date and Due Date. The start date and due date are used to specify when an assignment
    will be available for the class. By default, text entry starts in the title box and pressing Tab or
    Enter advances the cursor to the points box, and then the deductions box. The start date is the
    date (starting at midnight) the assignment will be available to the students, and the due date is
    the last day the assignment will be available (ending at midnight). Enter the start date and
    due date by clicking on the calendar icon in their respective boxes and choosing the desired
    day. You may scroll between months by using the arrows on either side of the month and
    year display at the top of the calendar box. An assignment cannot be modified, including the
    start date, once it has been released to the students, but it is possible to change the due date.
    An assignment can only be canceled while it is released by deleting it.

Archiving and Retrieving Assignments
Defining a calorimetry assignment can be a time-consuming and laborious process, especially if
there are several assignments and there are several classes for which these assignments need to
be defined. To make this process less time consuming, calorimetry assignments can be archived,
or saved, and then retrieved using the Archive Assignment and Retrieve Assignment buttons.




                                                  37
To archive an assignment, define a calorimetry assignment following the steps and procedures
that were described in the Assignments section. Pressing the Archive Assignment button will save
the entire assignment except the start date and due date. A dialog box will come up asking for a
name for the archive and where to save it. The assignment archive can be stored anywhere, but
the default location is the Assignment/Calorimetry directory located where the database is stored.
Any number of archives can be stored with any combination of assignments.

An assignment is retrieved by clicking on the Retrieve Assignment button, which will bring up a
dialog box where the instructor may select from any of the available archives. Selecting an
archive will automatically define the assignment based on the information that was saved during
the archive. At this point, the start date and due date for the assignment must still be specified,
and the actual reagents must be assigned to the students by saving the assignment (pressing the
Save button). It is not necessary that a new assignment be created first before retrieving an
archive.

Mechanics, Circuits, and Optics Assignments
Overview
The mechanics, circuits, and optics assignment folders allow the instructor to define and release
text-based instructions (or assignments) for performing a set of simulated physics experiments
that demonstrate the concepts of mechanics, electrical circuits, and optics. The level of these
experiments can be very basic or very sophisticated, depending on the level of the class and the
purpose for performing the experiments. These assignments are given to the students using the
clipboard found in each laboratory, and the student’s work on these assignments is recorded (by
the student) in the lab book. A new section is created in the lab book for each assignment
accepted by the student. Although Mechanics, Circuits, and Optics each have their own
assignment folders, the method for delivering these assignments is essentially identical and will
be described together here.

There are five different types of experiments within the mechanics simulation: Free Motion,
Ramp Motion, Billiards Ball Motion, Falling Rod Rotational Motion, and Planetary Motion.
Each experiment operates within the general framework of the lab and many of the same objects
and forces are used with each type of experiment. The circuit laboratory allows students to build
circuits using either a breadboard or schematic representation. Using the breadboard students
will connect components as they would in an ordinary circuit laboratory by adding resistors, light
bulbs, capacitors, or inductors of any combination and a battery or function generator. When
using the schematic the students can “draw” a circuit schematic on paper as they would to plan a
circuit. The optics laboratory allows students to use lenses and mirrors to modify the images of
various objects and light sources and view the results with a virtual eye. The physics of color can
also be explored using filters and prisms. As in all Y Science laboratories, the focus is to allow
students the ability to explore and discover, in a safe and level-appropriate setting, the concepts
that form the foundation of classical physics. Complete details on these laboratories, their uses
and limitations, and the scope of the simulations can be found in the Mechanics, Circuits, or
Optics Users Guide.




                                                38
Figure 9. The Mechanics Assignments folder. The assignment folders for Circuits and Optics
 are identical except for the sidebar options.

Because these physics experiments can be complex and not necessarily intuitive to set up
properly, a set of 15 preset experiments for each of these simulations have been defined and are
accessible to the student through the clipboard found in each laboratory. These preset
experiments are defined using a set of INI variables that describe the various aspects of each
experiment. Details on how to change the preset experiments are found in Appendix A. These
preset experiments can also be turned off as will be described later.

Assignments in these laboratories consist of a set of instructions outlining what is required of the
students to complete the assignment. These assignments are text based, and when a student
accepts the assignment it is displayed on the clipboard. If the student decides to proceed, the
assignment is displayed in the laboratory TV for reference during the experiment. As installed,
Mechanics, Circuits, or Optics come with a set of predefined assignments with varying levels of
difficulty. However, the number and difficulty of experiments that can be performed in the
laboratories are large; therefore, the ability to import custom assignments and add them to the
database of assignments has also been provided. These custom assignments can also include
custom preset experiments.


                                                39
Shown in Figure 9 is an example of a mechanics assignment folder. Assignment folders for
Circuits and Optics are similar. The folder can be divided into two general areas: (1) laboratory
setup and (2) assignments. Details on these two areas of the folder are given in their respective
sections.

Laboratory Setup
The laboratory setup area of the assignment folder consists of a class information area for the
currently selected class at the top, followed by the laboratory setup options, followed by three
buttons that are used to create a new assignment, import a custom assignment, and delete a
custom assignment. Class information cannot be modified in this folder. The laboratory setup
options are unique to each laboratory simulation.

Preset Experiments. (All) The clipboard found in each laboratory contains a list of 15 preset
experiments that the student can select to automatically set up experiments out in the laboratory.
Deselecting this option will turn off access to these preset experiments. Details on modifying the
preset experiments available to the students are found in Appendix A. This setting can be
changed at any time.

Ideal Wires. (Circuits) In the circuit laboratory, wires can be either ideal or non-ideal. Ideal
means they connect the nodes and contribute no resistance to the circuit. Non-ideal means they
are assumed to have some small resistance as every real wire does. Deselecting this option turns
off ideal wires.

Ideal Components. (Circuits) Resistors, capacitors, and inductors can be treated as ideal or non-
ideal components. Ideal means the stated value of the component is the actual value. For non-
ideal or real components a tolerance can be set such that the value of the component is randomly
assigned to be within a certain chosen range as occurs for real components. Deselecting this
option turns off ideal components.

Show Component Values. (Circuits) For a circuit built on the breadboard, mousing over each
component will show its nominal value, and for the engineering paper the component values are
displayed next to each component. Deselecting this option will hide the component values to
force a measurement or a calculation of the component values.

Display in Centimeters. (Optics) In the optics laboratory, the units for the various objects can be
displayed in centimeters or inches. Deselecting this option will display the units in centimeter.
Note that although the units can be displayed in centimeters, the hole spacing on the optics table
is still fixed at 2 inches.

Create New Assignment. This button creates a blank assignment that can be defined by the
instructor and then released to the class. Details on defining assignments are given in the
Assignments section.

Import Assignment. Each laboratory comes with a set of predefined assignments with varying
levels of difficulty that demonstrate the various concepts in the physics of motion, circuits, and


                                                40
optics. However, it is recognized that the types of experiments and their level of difficulty will
most often need to be custom tailored for the level of the class, the level of the students, and the
individual teaching style of the instructor. This button allows a custom assignment to be
imported into the assignment database. Pressing the button brings up a dialog box, which allows
the instructor to locate the new assignment file and then bring it into the assignment database.
Once the file has been successfully imported, it is not necessary to keep the original file. This
import file must be a text- (or ASCII-) based file with the following format:

       [Assignment with a preset experiment]
       1   Assignment Title
       2
       3   PRESET:preset_file.ini
       4
       5   Descriptive text of assignment without hard-returns except at paragraphs.

       [Assignment without a preset experiment]
       1   Assignment Title
       2
       3   Descriptive text of assignment without hard-returns except at paragraphs.

The first line is the assignment title and will be used to identify the assignment in the assignment
list (see Figure 9) and on the clipboard. The second line must be blank. The third line is an
optional line. If the word “PRESET:” is present on the third line followed by a preset experiment
file, then, when the assignment is accepted by the student, the preset experiment will be set up
automatically in the laboratory. An assignment does not necessarily have to have a preset
assignment. It is only meant as an option that allows different levels of experiments to be
assigned to the students. If the PRESET: line is missing then the third line in the text file is
assumed to be the beginning of the assignment description. If the PRESET: line is wrong or an
invalid or missing file is found, the third line is also interpreted as the beginning of the
assignment description. Preset experiments for assignments must be located in the
Assignment/Mechanics, Assignment/Circuits, or Assignment/Optics directory located in the
installed Y Science directory and must have the extension “.ini”. Note also that there should be
no space between the “PRESET:” and the file name. Details on defining preset experiments are
found in Appendix A, although several have been included with the software.

Delete Imported. This button will delete the currently selected assignment (displayed in the
assignment list) from the assignment database if the selected assignment is an imported
assignment. Imported assignments are identified with an “*” after the title. A warning will be
given before the deletion is allowed to proceed.

Assignments
The general procedure for creating an assignment includes the following steps:

 1. If the desired assignment is not present in the assignment database, write the assignment
    using the format described and import the assignment.




                                                 41
2. Create a blank assignment using the Create New Assignment button. (This is not necessary
    if it is the first assignment.)

 3. Select the desired experiment using the Select Experiment drop-down list.

 4. Assign the points possible, the start date, and the due date.

Shown in Figure 9 is the assignment area for a mechanics assignment. The assignment areas for
a circuits and optics assignment are identical. The parts of the assignment area are the following:
(a) Assignment Number, (b) Select Experiment, (c) Description Box, (d) Function Buttons, and
(e) Points, Start Date, and Due Date. Each of these is described in the following list:

(a) Assignment Number. The number of the current assignment is shown in the assignment
    number box. Assignments that have already been created can be accessed using the left and
    right arrows next to the box. It can take several seconds to update the assignment information
    as each assignment is accessed. Rapidly advancing through the assignments bypasses the
    assignment update for each intermediate assignment. The assignment number only reflects
    the order in which they were created. The start date determines when they are accessible to
    the students.

(b) Select Experiment. The list of available experiments in the assignment database is contained
    in the Select Experiment drop-down list. Experiments are listed by title and sorted
    alphabetically. Experiments with an “*” at the end are imported assignments and can be
    deleted using the Delete Imported button. Experiments are selected by clicking the desired
    experiment. Currently selected experiments can be replaced by clicking a new experiment.

(c) Description Box. The description box contains the text of the actual experiment for review.
    No editing of the experiment description can be done in this box. If a preset experiment is
    indicated as part of the experiment, it will also be listed here, but not shown to the student.

(d) Function Buttons. The four function buttons are Save, Cancel, Delete, and Help. The Save
    button saves the current assignment. The Cancel button resets the current assignment to a
    blank assignment if it has not yet been saved; otherwise, it restores the assignment to its last
    saved state. The Delete button deletes an assignment even if it has been released, and the
    Help button opens the help window for the assignment folder.

(e) Points, Start Date, and Due Date. The points, start date, and due date for the assignment are
    specified in these text boxes. The points are the total numbers of points assigned for the
    assignment, and the minimum score possible is zero. The start date is the date (starting at
    midnight) the assignment will be available to the students, and the due date is the last day the
    assignment will be available (ending at midnight). Enter the start date and due date by
    clicking on the calendar icon in their respective boxes and choosing the desired day. You
    may scroll between months by using the arrows on either side of the month and year display
    at the top of the calendar box. An assignment cannot be modified, including the start date,
    once it has been released to the students, but it is possible to change the due date. An
    assignment can only be canceled while it is released by deleting it.


                                                 42
Figure 10. The Density Assignments folder.


Density Assignments
Overview
The density assignment folder allows the instructor to define and release a set of solid and/or
liquid unknowns to classes using the density laboratory. Density assignments consist of solids
and/or liquids with unknown densities. When an assignment is released to the students, the
assigned solids and/or liquids are placed in graduated cylinders and the student is required to
determine the densities of the assigned materials. These assignments are given to the students
using the clipboard hanging on the wall in the laboratory, and the student’s work on these
assignments is recorded (by the student) in the lab book. A new section is created in the lab book
for each assignment accepted by the student.

The density laboratory allows students the ability to measure the mass and volume of a large set
of liquids and solids which, in turn, will allow them to explore the fundamental concepts
governing density and buoyancy. The laboratory has a set of graduated cylinders that can be
filled with various liquids such as water, corn syrup, mercury, jet fuel, tar, plus many others.
These cylinders can be filled with one or two liquids to study miscibility or the relative density
of the liquids. The laboratory also contains a large selection of solids that can be dropped into

                                                43
these cylinders, and the students can then observe whether the solids float or sink in the selected
liquids. The density of the solids can be calculated by measuring the mass of the solids and the
volume of liquid displaced in the cylinders after the solids have been dropped into the liquid. The
density of the liquids can be determined by measuring the mass and volume of the liquid.
In order to provide students with a set of standard experiments to investigate the concepts of
density and buoyancy, a set of 15 preset experiments has been defined and is accessible to the
student through the clipboard hanging on the wall. These preset experiments are defined using a
set of INI variables that describe the various aspects of each experiment. Details on how to
change the preset experiments are found in Appendix A. These preset experiments can also be
turned off as will be described later.

The density laboratory is used for measurements of volume and mass and the combination of
these measurements is used to investigate the density of both solids and liquids. A density
assignment consists of (1) selecting whether the assigned materials will be real or virtual, (2)
specifying the assignment as the same for the class or different for each student, (3) specifying
the unknown solids and liquids, (4) specifying the points and grading option, and (5) specifying
the start date and due date. When a density assignment has been released, the assignment will
appear on the clipboard. A student accepts the assignment by clicking on the Accept button,
which will then display any assignment instructions. The student now proceeds with the density
experiment and reports their results using the lab book.

The density assignment folder is divided into two areas: (1) laboratory setup and (2)
assignments. Details on these two areas of the folder and on defining a density assignment are
given below.

Laboratory Setup
Shown in Figure 10 is the laboratory setup area of the density assignment folder. Information on
the currently selected class is given at the top, followed by the laboratory setup options, followed
by three buttons that are used to create assignments and retrieve or archive density assignments.
Class information cannot be modified in this folder. It should be remembered that the settings
specified in this area of the density folder apply to the selected class as a whole and not to a
given assignment.

Preset Experiments. The clipboard in the density laboratory contains a list of 15 preset
experiments that the student can select to automatically set up experiments in the laboratory.
Deselecting this option will turn off access to these preset experiments. Details on modifying the
preset experiments available to the students are found in Appendix A. This setting can be
changed at any time.

Glassware Errors. Actual graduated cylinders do not deliver volumes that correspond exactly to
the scale etched on the cylinder. These volumetric errors are simulated in the laboratory by
assigning appropriate error functions to each piece of glassware available in the laboratory.
Deselecting this option will turn off these error functions, and the graduated cylinders will
deliver the volumes as indicated.




                                                44
Create New Assignment. This button creates a blank assignment that can be defined by the
instructor and then released to the class. Details on defining assignments are given in the
Assignments section.

Retrieve Assignment. This button retrieves a density assignment from a set of assignments that
have been previously archived. Details on archiving and retrieving density assignments are given
in the Archiving and Retrieving Assignments section.

Archive Assignment. This button saves or archives the currently selected density assignment.
Details on archiving and retrieving density assignments are given in the Archiving and
Retrieving Assignments section.

Assignments
The general procedure for creating an assignment includes the following steps:

 1. Create a blank assignment using the Create New Assignment button. (This is not necessary
    if it is the first assignment.)

 2. Enter a title for the assignment.

 3. Specify the assignment type as Real or Virtual.

 4. Select the fluids and/or solids that will go into the five graduated cylinders.

 5. Specify the assignment as By Class or By Student.

 6. Type or paste assignment instructions.

 7. Assign the points possible, auto-grading criterion, the start date, and the due date.

Shown in Figure 10 is the assignment area for a density assignment. The parts of the assignment
area are the following: (a) Assignment Number, (b) Assignment Title, (c) Fluids, (d) Solids, (e)
Material Type, (f) Assign Unknown, (g) Student List, (h) Assignment Instructions, (i) Reporting,
(j) Function Buttons, (k) Auto-Grade and Points, and (l) Start Date and Due Date. Each of these
is described in the following list:

(a) Assignment Number. The number of the current assignment is shown in the assignment
    number box. Assignments that have already been created can be accessed using the left and
    right arrows next to the box. It can take several seconds to update the assignment information
    as each assignment is accessed. Rapidly advancing through the assignments bypasses the
    assignment update for each intermediate assignment. The assignment number only reflects
    the order in which they were created. The start date determines when they are accessible to
    the students.

(b) Assignment Title. Each assignment must be given a title. The title is intended as an aid to
    identify the type of measurement that has been assigned, and it is also used as the default


                                                45
name when archiving the assignment. (See Archiving and Retrieving Assignments for
   details.) Assignment titles are entered by clicking on the text box and typing the appropriate
   text.

(c) Fluids. The five fluid buttons represent the five graduated cylinders in the laboratory. These
    buttons are used to select the fluids that will be used for the unknowns. Clicking on any of
    the buttons brings up a dialog box containing (1) a drop down list where you specify if the
    fluid should be selected manually or randomly, (2) the list of available fluids, and (3) the
    Save and Cancel buttons. When selecting fluids manually, you must select a fluid for each
    graduated cylinder and for each student if assigning a unique unknown for each student (see
    below). When selecting unknown fluids randomly, you must select a group or range of fluids
    from which the program will randomly assign an unknown to the class or to each student.
    These fluid assignments are made at the time the overall assignment is saved.

(d) Solids. The five solid buttons represent the five graduated cylinders in the laboratory. These
    buttons are used to select the solids that will be used for the unknowns. Clicking on any of
    the buttons brings up a dialog box containing (1) a drop down list where you specify if the
    solid should be selected manually or randomly, (2) the list of available solids, and (3) the
    Save and Cancel buttons. When selecting solids manually, you must select a solid for each
    graduated cylinder and for each student if assigning a unique unknown for each student (see
    below). When selecting unknown solids randomly, you must select a group or range of solids
    from which the program will randomly assign an unknown to the class or to each student.
    These solid assignments are made at the time the overall assignment is saved.

(e) Material Type. The type of measurement that can be assigned for a density assignment
    includes Real or Virtual. A Real assignment uses real solids and fluids for the basis of the
    unknowns. A Virtual assignment allows the use of virtual materials having a range of
    densities and viscosities selected randomly by the program at the time the assignment is
    saved. The range of densities for these materials is defined in the Fluids and Solids sections
    of the assignment folder. The default assignment type is Real.

(f) Assign Unknown. Assignments can be given to students either By Class or By Student. In a
    By Class assignment, each student in the class will receive the same unknown solid or fluid.
    In a By Student assignment, the unknowns can be assigned randomly or manually to each
    student. By default, assignments are defined By Class.

(g) Student List. A student list (not shown in Figure 10) is provided for By Student assignments
    to show the unknowns that have been assigned to each student. The list shows three students.
    The middle student in the box is the currently selected student, and there is a student before
    and after. Student names in red indicate an assignment has not been given, whereas student
    names in blue indicate an assignment has been given. The up and down arrows are used to
    scroll through the list. When an assignment has been made (name in blue), the unknowns that
    have been assigned to that student are given in the Fluids and Solids sections. Changes in the
    assignments can be made up until the start date.




                                                46
(h) Assignment Instructions. As part of an assignment, it is possible to include instructions for
    the student to use as they do their experimental work. These instructions are not a mandatory
    part of the assignment but are optional depending on the level of guidance that is needed for
    a particular assignment. Instructions are simply typed or pasted into the Instructions text box.
    These instructions will be available for viewing on the clipboard when an assignment is
    accepted, and they will be available on the TV in the laboratory while the assignment is out
    in the laboratory.

(i) Reporting. When reporting the unknown densities for the selected assignment, the answers
    can be reported either Numerically or on a Relative basis. Numerically means the answers
    will be reported as numbers and graded against actual values. Relative means the densities
    will be ranked from lowest to highest but no absolute values will need to be given. Answers
    will be graded Numerically by default.

(j) Function Buttons. The four function buttons are Save, Cancel, Delete, and Help. The Save
    button saves the current assignment. For By Student assignments, pressing the Save button
    saves the assignment for the selected student only. The Cancel button resets the current
    assignment to a blank assignment if it has not yet been saved; otherwise, it restores the
    assignment to its last saved state. The Delete button deletes an assignment even if it has been
    released, and the Help button opens the help window for density assignments.

(k) Auto-Grade and Points. Scoring for an assignment is specified in these boxes. The points are
    the total number of points possible for the assignment. The Auto-grade check box is used to
    turn on auto-grading. If auto-grading is turned off, then it is the instructor’s responsibility to
    inspect the student’s results and assign a score (see Grading). If auto-grading is turned on,
    then the %Error and Deduct values must be included as part of the assignment. Auto-grading
    works by subtracting the number of points specified in the Deduct box from the total points
    possible for every interval the student’s answer is outside the range specified in % Error. For
    example, using the % Error of 3 and a Deduct value of 5 shown in Figure 10, if the student’s
    answer were wrong by 6.5%, then the student would lose 10 points. If two unknowns are
    assigned, then both will be used to deduct points. The minimum score possible is zero. Keep
    in mind that because of inherent uncertainties in the volume measurements, typical
    uncertainties in measured densities will be about 3%.

(l) Start Date and Due Date. The start date and due date are used to specify when an assignment
    will be available for the class. By default, text entry starts in the title box and pressing Tab or
    Enter advances the cursor to the points box, and then the deductions box. The start date is the
    date (starting at midnight) the assignment will be available to the students, and the due date is
    the last day the assignment will be available (ending at midnight). Enter the start date and
    due date by clicking on the calendar icon in their respective boxes and choosing the desired
    day. You may scroll between months by using the arrows on either side of the month and
    year display at the top of the calendar box. An assignment cannot be modified, including the
    start date, once it has been released to the students, but it is possible to change the due date.
    An assignment can only be canceled while it is released by deleting it.




                                                  47
Archiving and Retrieving Assignments
Defining a density assignment can be a time-consuming and laborious process, especially if there
are several assignments and there are several classes for which these assignments need to be
defined. To make this process less time consuming, density assignments can be archived, or
saved, and then retrieved using the Archive Assignment and Retrieve Assignment buttons.

To archive an assignment, define a density assignment following the steps and procedures that
were described in the Assignments section. Pressing the Archive Assignment button will save the
entire assignment except the start date and due date. A dialog box will come up asking for a
name for the archive and where to save it. The assignment archive can be stored anywhere, but
the default location is the Assignment/Density directory located where the database is stored. Any
number of archives can be stored with any combination of assignments.

An assignment is retrieved by clicking on the Retrieve Assignment button, which will bring up a
dialog box where the instructor may select from any of the available archives. Selecting an
archive will automatically define the assignment based on the information that was saved during
the archive. At this point, the start date and due date for the assignment must still be specified,
and the actual reagents must be assigned to the students by saving the assignment (pressing the
Save button). It is not necessary that a new assignment be created first before retrieving an
archive.

Organic Assignments
Overview
The organic assignment folder allows the instructor to define and release organic synthesis and
organic qualitative analysis assignments to the class in the organic laboratory. These assignments
are given to the students using the clipboard in the organic stockroom, and the student’s work on
these assignments is recorded (by the student) in the lab book. A new section is created in the lab
book for each assignment accepted by the student.

In the organic laboratory, the instructor has the option to specify whether (a) compound names
are listed as IUPAC names or common names, (b) if the TV tutorial is available to the student
during practice sessions, and (c) if the spectra library is available to the students. These settings
are independent of the assignments and can be changed at any time.

The instructor can assign to the students of a class any number of synthesis or qualitative
analysis experiments. For either type of assignment, the instructor specifies the total points
possible, the date the assignment will be available to the students (the start date), and the date
when the assignment is due. A synthesis assignment involves selecting one of 17 different
reactions, which defines a set of available starting materials, and a product that each student in
the class will make, purify, and characterize. An organic qualitative analysis assignment involves
assigning unknowns (compounds with an unknown structure) to each student either randomly or
individually, and the student, in turn, will use the analytical techniques and functional group tests
in the laboratory to determine the structure of the unknown. The organic assignment folder is
divided into two areas: (1) laboratory setup and (2) assignments. Details on these two areas of
the folder are given in their respective sections below.


                                                  48
Figure 11. The Organic Assignment folder showing a synthesis assignment.


Laboratory Setup
Shown in Figure 11 and Figure 12 is the laboratory setup area of the organic assignment folder.
Information on the currently selected class is given at the top, followed by the laboratory setup
options, followed by three buttons that are used to create assignments and retrieve or archive
qualitative analysis assignments. Class information cannot be modified in this folder.

Display Names As. In various parts of the organic laboratory, the names of compounds are
displayed either as pop-ups, on the chalkboard, or on the TV. Selecting IUPAC or Common
specifies in what format these names will appear. This setting can be changed at any time.

Tutorial. When Tutorial is selected, the tutorial mode is enabled on the laboratory TV and the
student has the ability to see the contents of different solutions on the lab bench when an
assignment is not out in the laboratory. During an assignment, the tutorial mode is automatically
disabled. This setting can be changed at any time.




                                                49
Figure 12. The Organic Assignment folder showing a qualitative analysis experiment.

Spectra Library. A library of approximately 700 FTIR and NMR spectra are available to the
student through the spectra library option on the laboratory TV. Selecting Spectra Library
allows the students to have access to this library in the laboratory and to save these spectra in
their lab books. When a spectra is saved in the lab book from the spectra library, the spectra is
clearly labeled as coming from the library. Note that the spectra for the qualitative unknowns are
contained in the library; therefore, it is suggested that the library be disabled while qualitative
analysis assignments are available to the students. This setting can be changed at any time.

Create New Assignment. This button creates a blank assignment that can be defined by the
instructor and then released to the class. Details on defining a synthesis or qualitative analysis
assignment are given in the Assignments section.

Retrieve Assignment. This button retrieves a qualitative analysis assignment from a set of
assignments that have been previously archived. Details on archiving and retrieving qualitative
analysis assignments are given in the Archiving and Retrieving Assignments section.




                                                 50
Archive Assignment. This button saves or archives the currently selected qualitative analysis
assignment. Details on archiving and retrieving qualitative analysis assignments are given in the
Archiving and Retrieving Assignments section.

Assignments
The general procedure for creating an assignment includes the following steps:

 1. Create a blank assignment using the Create New Assignment button. (This is not necessary
    if it is the first assignment.)

 2. Specify the type of the assignment as Synthesis or Qualitative Analysis.

 3. For synthesis assignments, choose the reaction and product to be made by the students.

 4. For qualitative analysis experiments, choose the set of unknowns (or retrieve an archive)
    and assign them to the students.

 5. Assign the points possible, the start date, and the due date.

Shown in Figure 12 is the assignment area for a qualitative analysis assignment. A synthesis
assignment screen is similar (shown in Figure 11) except for the contents of the two scroll boxes
and the absence of the student list (described subsequently). The parts of the assignment area are
the following: (a) Assignment Number; (b) Assignment Type; (c) Reactions/Class Scroll Box;
(d) Products/Unknown Scroll Box; (e) Points, Start Date, and Due Date; (f) Student List; (g)
Structure Display Box; and (h) Function Buttons. Each of these is described in the following list:

(a) Assignment Number. The number of the current assignment is shown in the assignment
    number box. Assignments that have already been created can be accessed using the left and
    right arrows next to the box. It can take several seconds to update the assignment information
    as each assignment is accessed. Rapidly advancing through the assignments bypasses the
    assignment update for each intermediate assignment. The assignment number only reflects
    the order in which they were created. The start date determines when they are accessible to
    the students.

(b) Assignment Type. The type of assignment is selected by clicking the Synthesis or Qualitative
    radio buttons. For a qualitative analysis assignment, additional information defining the
    assignment is also listed. Show C–H Analysis specifies whether a C–H analysis of the
    unknowns will be available to the student for this assignment. Qualitative analysis unknowns
    can be assigned randomly or individually. In a random assignment, a set of unknowns is
    defined by the instructor and then randomly assigned to each student in the class. In an
    individual assignment, an unknown can be selected for each student in the list.

(c) Reactions Scroll Box. For a synthesis assignment, the first scroll box is labeled as
    “Reactions” and lists 17 named reactions. These same reactions are listed on the clipboard in
    the organic stockroom. Selecting a reaction on the clipboard defines a set of starting
    materials from which the student is free to choose to perform a reaction. Although the


                                                51
starting materials were chosen to demonstrate the chemistry of the named reaction, the
   student is not forced to perform that reaction, but instead, can choose any of the 15 reagents
   in the laboratory to perform any other viable reaction. Thus, any named reaction (or starting
   material set) is capable of producing a number of products in addition to the products of the
   named reaction. Selecting a named reaction in the reactions scroll box defines a list of
   products (shown in the products scroll box) that can be assigned to the class to make from the
   starting material set. A reaction is chosen by clicking the appropriate reaction.

   Class Scroll Box. For a qualitative analysis assignment, the first scroll box is labeled as
   “Class” and lists 11 classes of unknowns grouped by functional group. Selecting a functional
   group in the class scroll box defines a list of unknowns containing that functional group
   (shown in the unknown scroll box) that can be assigned to the students. A functional group is
   chosen by clicking the appropriate group.

(d) Products Scroll Box. Once a reaction has been selected, a list of the products that can be
    made from the starting material set for the reaction is listed in the products scroll box. (See
    Appendix B for a complete list.) The products that are listed first are products that
    correspond to the selected named reaction. Other products are also listed that demonstrate
    different reactions or selectivity, but can be made from the same selected starting materials
    using other reagents and reaction conditions. Clicking a product selects that product, but does
    not save the assignment. Above the products scroll box is a drop-down menu, which allows
    the products to be listed by IUPAC name or Common name.

   Products Scroll Box. (for qualitative assignments) Once a class or functional group has been
   selected, a list of products containing that functional group is listed in the products scroll
   box. (See Appendix C for a complete list of unknowns.) Within a class, products are
   generally listed with single functional groups first followed by multiple functional group
   unknowns and from less difficult to more difficult. Above the products scroll box is a drop-
   down menu, which allows the products to be listed by IUPAC name or Common name.
   Unlike a synthesis assignment, where there is only one product that can be assigned, for a
   random assignment it is typical to select a set of unknowns, which, in turn, will be assigned
   randomly to the students. Sets of unknowns do not have to be restricted to one functional
   group, but can extend to other functional groups as well. A single product is selected by
   clicking the name. Multiple products are selected by Ctrl-click (both for the Mac and PC) and
   ranges of products are selected by Shift-click. For individual assignments, an unknown is
   assigned to each student by selecting a class (functional group) and a single unknown. After
   the product is selected, the assignment is automatically saved and the student list is advanced
   to the next student. This process should proceed until each student has an unknown.

(e) Points, Start Date, and Due Date. The points, start date, and due date for the assignment are
    specified in these text boxes. The points are the total numbers of points assigned for the
    assignment, and the minimum score possible is zero. The start date is the date (starting at
    midnight) the assignment will be available to the students, and the due date is the last day the
    assignment will be available (ending at midnight). Enter the start date and due date by
    clicking on the calendar icon in their respective boxes and choosing the desired day. You
    may scroll between months by using the arrows on either side of the month and year display


                                                52
at the top of the calendar box. An assignment cannot be modified, including the start date,
   once it has been released to the students, but it is possible to change the due date. An
   assignment can only be canceled while it is released by deleting it.

(f) Student List. For qualitative analysis assignments, a student list is provided for making
    individual assignments and to show the unknowns assigned to each student. The list shows
    three students. The middle student in the box is the currently selected student, and there is a
    student before and after. Student names in red indicate an assignment has not been given,
    whereas student names in blue indicate an assignment has been given. The up and down
    arrows are used to scroll through the list. When an assignment has been made (name in blue),
    the class and unknown are highlighted in the class and unknown scroll boxes, and the
    structure of the unknown is shown in the structure display box. Updating the assignment
    information as each student is accessed can take several seconds. Rapidly advancing through
    the students bypasses the assignment update for the intermediate students. Changes in the
    assignments can be made up until the start date.

(g) Structure Display Box. Mousing over a product or unknown listed in the product/unknown
    scroll box shows the structure of the compound in the structure display box. When a product
    has been selected, the structure is shown in the display box by default. For qualitative
    analysis unknowns, the structure of the unknown assigned to the selected student is shown by
    default in the display box.

(h) Function Buttons. The four function buttons are Save, Cancel, Delete, and Help. The Save
    button saves the current assignment. The Cancel button resets the current assignment to a
    blank assignment if it has not yet been saved; otherwise, it restores the assignment to its last
    saved state. The Delete button deletes an assignment even if it has been released, and the
    Help button opens the help window for organic assignments.

Archiving and Retrieving Assignments
When defining a qualitative analysis assignment, the instructor is required to define a set of
possible unknowns by selecting from the available set of compounds given in each class of
unknown. This can be a time-consuming and laborious process, especially if these sets are large
and need to be defined for several classes. To make this process simpler, these sets can be
archived or saved and then retrieved using the Archive Assignment and Retrieve Assignment
buttons. These buttons are only active for qualitative analysis assignments. Archiving is not
possible for synthesis assignments.

To archive an assignment, define a qualitative analysis assignment following the steps and
procedures that were described in the Assignments section. Pressing the Archive Assignment
button will save the unknown set and the number of points allocated for the assignment. A dialog
box will appear asking for a name for the archive and where to save it. The assignment archive
can be stored anywhere, but the default location is the Assignment /Organic directory located
where the database is stored. Any number of archives can be stored with any combination of
unknowns.




                                                 53
To retrieve an assignment, a qualitative analysis assignment must first be created. Inside a
qualitative analysis assignment, pressing the Retrieve Assignment button will bring up a dialog
box where the instructor may select from any of the available archives. Selecting an archive will
automatically define the set of unknowns based on the archive and allocate the number of points
for the assignment if that was also saved as part of the archive. At this point, the start date and
due date for the assignment must still be specified, and the actual unknowns must be assigned to
the students by saving the assignment (pressing the Save button).

Scores




 Figure 13. The Scores folder inside the Class Management drawer.

Overview
The scores folder (see Figure 13) shows the scores that have been earned by each student in the
class for each assignment, allows these scores to be exported in a tab-delimited text file, shows
the assignments that need to be graded, and allows the lab books to be inspected. The scores
folder is divided into three areas: (1) class and student information, (2) function buttons, and (3)
a spreadsheet view of student records. Each of these areas is described in the following sections.




                                                 54
Class and Student Information
Shown in Figure 13 is the class and student information area of the scores folder. Information on
the currently selected class is given at the top, followed by detailed student information for the
selected student in the spreadsheet. Class and student information cannot be modified in this
folder.

Function Buttons
The two function buttons are View Lab Book and Export Scores. Selecting a student in the
spreadsheet enables the View Lab Book button. Clicking View Lab Book brings up the lab book
for the selected student starting in the Practice section. It is possible to record or modify scores
for assignments that have been reported. See Grading for more details. The Export Scores button
exports the current scores to a tab-delimited text file. A dialog box is used to specify the file
name and path.

Student Records
The list of members is given in the spreadsheet with the assignments and points possible listed
across the top. Members can be listed by Name or by ID (password). When an assignment has
been reported by a student but has not been graded, a small lab book icon appears in the cell
corresponding to the student and the assignment. The lab book icon indicates that an assignment
is available for grading for that student. Clicking the lab book icon brings up the lab book for the
student in the assignment section that needs to be graded. While in the lab book, it is possible to
record a score for the assignment or simply view the lab book and then return to the scores
folder. See Grading for more details. When a grade has been recorded for the assignment, the lab
book icons are replaced with the actual score.

Grading
Overview
Each student is given an electronic lab book to record their notes and submit their results for
grading. These lab books may be reviewed and graded (assigned a score) by (1) clicking the
stack of lab books on the stockroom desk, (2) clicking a lab book icon in the Scores folder, or (3)
clicking the View Lab Book button in the Scores folder. Each method launches the electronic lab
book and allows the instructor to navigate through a student’s notes, results, and conclusions and
record grades for assignments. Each method differs, however, in how the students and
assignments are selected.

The lab book is organized by sections and pages. The section name and current page number for
the section is listed at the top of the page. The first section is labeled Practice and is always the
section that is available to the student anytime an assignment is not out in the laboratory. When
an assignment is accepted for the first time, a new section is created in the lab book (named with
the assignment number) where only the notes associated with that assignment can be recorded.
Each assignment will have its own section, and these sections can only be modified while the
assignment is out in the laboratory. Once an assignment has been submitted for grading, no other
modifications are allowed. After an assignment has been submitted, an extra page is added to the
end of the section where grading information will be posted. This last page also contains the



                                                 55
Figure 14. The grading view of the lab book as accessed through the stack of lab books in
            the stockroom.
student’s reported answers for unknowns, and grading comments from the instructor can also be
recorded here.

Described in the following sections are the navigation tools for the lab book, recording scores,
and the different methods the lab book can be accessed.

Navigation
Moving around inside the lab book from page to page and section to section is accomplished
using the five buttons grouped at the top of the left page of the lab book. (See Figure 14.) The
description of the functionality for each of these buttons follows.

The Previous and Next buttons are used to go to the previous or next page in the current section.
If a page in either the downward or upward direction is not available in the section, the button is
grayed out and not active.


                                                56
The Search Notes button is used to specify a word or phrase that can be
searched for in the current section or in the entire lab book. Shown on the
right is the Search dialog area that is placed on the left page of the lab
book when the Search Notes button has been pressed. The text box is used
to enter the word or words that will be searched for in the current section
or in all sections. The Search button initiates the search for the word or
words typed in the text box. If a match is found, the page with the match
will be shown on the right page of the lab book with the match
highlighted. Pressing the Search button again will search for the next
occurrence. After a match has been found, pressing the OK button will
close the Search dialog and switch the lab book to the new page. Pressing the Cancel button
closes the Search dialog and keeps the lab book on the old page. The Current Section and All
Sections radio buttons specify whether the search is to be made on the current section or over all
sections in the lab book, respectively.

The Go To Page button is used to
jump to any page in any of the sections
in the lab book. Shown on the right is
the Go To dialog box that is displayed
when the Go To Page button is
pressed. The first box lists the
currently available sections in the lab
book by name. Clicking one of these
will then list the available pages for the
highlighted section in the second box.
Clicking one of the pages will switch the lab book to the indicated page and section. Pressing the
Cancel button keeps the lab book on the old page.

The Exit button exits the lab book.

Accessing the Lab Book
A student’s lab book can be accessed in three ways.

1. Stack of Lab Books. Clicking the
   stack of lab books on the
   stockroom desk launches the
   electronic lab book with a dialog
   box (shown in the accompanying
   figure) that allows a specific class
   and assignment to be selected. The
   first box shows the current list of
   classes. Selecting one of these
   classes then lists in the second box
   the assignments that have been defined for the selected class. Selecting one of the
   assignments listed in the second box removes the dialog box and displays the lab book for the


                                                57
first student in the class with the lab book in the selected assignment section. (See Figure 14.)
   In the middle of the left page is a student list where the student shown in the box is the
   student to whom the current lab book belongs. Recording a score for this assignment
   automatically advances the lab book to the next student. Other students in the class can also
   be accessed using the up and down arrow keys in the student list. Other assignments can be
   viewed or graded using the Go To Page button or the Search Notes button. Pressing Exit
   returns to the select class/select assignment dialog box.

2. Lab Book Icon. When an assignment has been reported by a student, but has not been graded,
   a small lab book icon is placed in the cell corresponding to the student and the assignment in
   the Scores spreadsheet. The lab book icon indicates that an assignment is available for
   grading for that student. Clicking the lab book icon brings up the lab book for the student in
   the assignment section that needs to be graded. Recording a score for the assignment replaces
   the lab book icon with the score in the spreadsheet.

3. View Lab Book. Selecting a student listed in the Scores spreadsheet and clicking the View
   Lab Book button brings up the lab book for the student starting in the Practice section. The
   assignment sections of the lab book can be accessed using the Go To Page button or the
   Search Notes button. Scores can be modified or recorded in the assignment sections.

Recording Scores
In assignment sections of the lab book, a score box and Record button are available at the bottom
left page of the lab book. (See Figure 14.) If a score has already been recorded for the
assignment, then the score is shown in the score box; otherwise, the score box is blank. A score
is recorded or modified by (1) clicking the score box, typing the score, and pressing Enter or (2)
clicking the Record button. A score can be recorded for an assignment even if the assignment has
not been submitted; however, this will prevent the student from further work on the assignment
even if the due date has not passed. Also note that when recording scores, comments can be
recorded in the comment box (not shown) for each assignment for later student viewing.

Utilities
Overview
Since the class lists, assignments, scores, and lab books are stored in a centralized database, basic
backup and restore functions are available to protect against accidental or intentional corruption
of the database. In addition to these database utilities, there is also a Message utility that allows
an instructor to broadcast important information or reminders to the students of a selected class
on the chalkboard in the organic laboratory or the chalkboard in the general chemistry
laboratory. All of these functions are accessed by clicking the bottom drawer of the filing
cabinet. Inside the utilities drawer are manila folders, each of which performs a specific utility
function. These functions are described in the sections that follow.

Backup
The Backup folder contains a list of the 22 most recent backups listed by date and time with the
most recent backups listed first. Clicking the Perform Backup button performs a complete
backup of the current database. When the number of backups reaches 22, the oldest backup is


                                                 58
discarded to make room for the newest backup. These backups are stored in the Backup directory
in the Y Science directory and, therefore, do not protect against hardware failures.

Restore
The Restore folder contains a list of the 22 most recent backups listed by date and time with the
most recent backups listed first. Clicking one of the backups generates another list containing the
classes that were stored in the selected backup. Clicking the Restore All button replaces the
current database with the selected backup. A warning is given before the restore proceeds to
delete the current database. A specific class within a backup can be restored by first selecting the
class and then clicking the Restore Class button. A warning is given before the restore proceeds
to delete the current class and replace it with the backup.

Reset
The reset folder simply contains a Reset button, which, when pressed, deletes the current
database and resets it to a known state containing one class (Admin) and two members. One of
the members has administrative privileges for access to the stockroom. It is important that after
the reset operation, the new administrative password is either noted or changed so future access
to the stockroom can be ensured.

Messages
When administering classes and assignments inside of Y Science, it is sometimes necessary or
useful to send out brief messages reminding the students of deadlines, giving them hints, or
warning them of problems. The Messages folder (see Figure 15) allows an instructor to compose
a message, select the classes where the message will be sent, and define at what time the
message will be released to the student and when the message will expire. Messages that have
been sent are displayed on the chalkboards in the general chemistry laboratory and in the organic
laboratory. Multiple messages can be sent and made available to students at the same time. The
process for creating and sending messages is divided into three steps: (a) compose the message,
(b) select the class or classes where the message will be sent, and (c) define when the message
will be sent and when it will expire.

(a) Composing a Message. A new message is created by first clicking the Create New Message
    button (unless this is the first message, in which case the message area is already set up for a
    new message). The actual text to be sent to the students can be typed directly into the
    message box or can be pasted in from another program. The message can be as long as
    needed since scrolling will be available for the students at the chalkboards.

(b) Selecting the Classes. Once the message has been typed or entered, the classes for whom the
    message is intended must be selected. Located on the left of the Messages folder is a list of
    classes for the current database. Classes are selected by clicking the desired class. Multiple
    classes are selected by Ctrl-click (both for the Mac and PC) and a range of classes is selected
    by Shift-click.

(c) Sending the Message. Once the message has been composed and the destination classes
    selected, the time of delivery for the message must be defined next. Below the message text
    box are the Send options. A message can be sent Now or On a specified date by selecting the


                                                 59
Figure 15. The Messages folder as accessed from the Utilities drawer.

   appropriate radio button. If a date is specified, the date must selected using the usual calendar
   functionality described in the assignment folders. The duration of the message or how long
   the message will be available to the selected classes is defined by specifying the number of
   days (from the send date) the message will be available or by specifying the Until. The
   message is not actually sent until the Send Message button is pressed.

(d) Miscellaneous. The number of the current message is shown in the message number box at
    the top of the folder. Messages that have already been created and saved can be accessed
    using the left and right arrows next to the box. It can take several seconds to update the
    message information as each message is accessed.

   At the bottom of the Messages folder are the normal four buttons for Save, Cancel, Delete,
   and Help. The Save button will save the current message for later action. The Cancel button
   will cancel the current message or current changes and revert back to the previously saved
   state. The Delete button will delete the current message, and Help will access the Utilities
   Help screen.



                                                60
Figure 16. The Web Tools folder as accessed through the Utilities drawer. The Web Tools
            folder is used to test the servlet engine, update and retrieve data from the web,
            and set the URL address.

Web Tools
The Web Connectivity Option allows the instructor to give electronic assignments to the students
of one or more classes and, in turn, receive their answers and results through a servlet engine.
Details on configuring and using the Web Connectivity Option is given in the Overview section
at the beginning of this users guide. The Web Tools folder, shown in Figure 16, allows the
instructor to configure the Web Connectivity Option and perform several web connectivity
functions. Details on configuring the web option and using the web connectivity functions is
given here. Details on installing the servlet engine are given in the Installation and Overview
Guide, and details on administering the servlet engine are given in the Y Science Server
Administration section below.

Servlet URL. The Web Connectivity Option works by having a servlet engine collect data from
both the instructor and student and store it temporarily on the server. Both the instructor and the
student must specify the URL address of the servlet engine before the Web Connectivity Option
can be used. The Servlet URL text field is used to specify the URL address of the servlet engine
being used by Instructor Utilities. The servlet engine is actually a very small Java program that

                                                61
runs on a TomCat server; as a result, several instances or contexts of the servlet engine can run
simultaneously on any given server. It is recommended that each context on the server be used to
pass only one managed database between the instructor and the students since the servlet engine
does not check for duplicate classes nor duplicate students. The format of the URL address will
take the form of http://localhost:8080/Context/y where the localhost will be the IP address or
registered server name of the server and Context is the name of the context war file of the servlet
engine running on the server. The default Context is “yscience”.

Test Connection. Clicking the Test Connection button will query the servlet engine at the
specified URL address to test the servlet engine configuration and the indicated URL address. If
the test is not successful, then trouble shoot the following issues: (1) the TomCat server is not
running, (2) the servlet engine is not running or not configured, (3) there is no internet
connection, or (4) the URL address is incorrect.

Test Server. Clicking the Test Server button will query the servlet engine at the specified URL
address to test the servlet engine configuration, the indicated URL address, and tests the writing
and reading of files on the server. A common problem when configuring the servlet engine is the
servlet engine runs correctly but incorrect permissions have been granted to the servlet
preventing the writing and reading of files. This test insures that the correct permissions have
been established.

Clear All. Clicking the Clear All button will clear all the stored data off the context at the
specified URL address. If more than one database is using the same context, then data from the
other database will also be cleared.

Select Classes. The update and retrieve functions for the Web Connectivity Option can be
performed for each class using the Update Web and Retrieve Web buttons located in the Class
Roll folder for each class. However, if there are several sections of the same class, it will be
easier to select all these classes and perform the update and/or retrieve at the same time. Listed in
the Select Classes scroll box is a list of all the classes for the current database. Multiple classes
are selected by Ctrl-click (both for the Mac and PC) and ranges of classes are selected by Shift-
click. All classes in the list can be selected by clicking on the Select All box. The Update,
Retrieve, or Clear buttons below the Select Classes scroll box operate on these selected classes.

Update Web. This button performs an Update function to the servlet engine for the selected
classes. If there is no new data to send, then a warning is given. If the instructor proceeds to
update the server, then a force update is done which replaces all the data on the server. Note that
the Update function must be performed before students can be authenticated over the web and
allowed to turn on their own Web Connectivity Option. The update function must also be
performed any time modifications are made to the class data in order to provide the students in
the class with the most up-to-date information.

Retrieve Web. This button performs a Retrieve function from the servlet engine for the selected
classes and automatically synchronizes the local database. If there is no new data to retrieve then
a warning is given. If the instructor proceeds to retrieve the data then a force retrieve is done



                                                 62
which retrieves all the data from the server and synchronizes the local database replacing any
duplicate information.

Force Update/Retrieve Web. The Force Update Web and Force Retrieve Web buttons are
identical to the regular Update and Retrieve functions except the Force functions copy all the
data either from the local database to the server (update) or from the server to the database
(retrieve). A regular Update or Retrieve moves only the data that is new or has been modified.

Clear Web. Clicking on this button clears the data for the selected off the context at the specified
URL address. This is a destructive process and prevents any students who may try to upload data
from doing so. A class can be re-established by simply performing and Update function.

Database
Local Database Location. The database that contains the classes, students, assignments, scores,
and lab books is stored either locally inside the main installed Y Science directory or it could be
stored elsewhere such as on a network drive where it can be shared with other client computers
in a direct access installation. Details on the database structure can be found in the Database
section. The Local Database Location text field allows the instructor to specify the location of
the working database that will be used by Instructor Utilities which, in turn, allows an instructor
to manage multiple databases. The path that is entered in the text field must be a complete path
and must end with /Data/ (or :Data:) For the OS X operating system, the path separators must be
colons (“:”). If an entered path does not contain a valid Y Science database then an initial
database will be created automatically. If you enter a valid Y Science database path, then you will
be prompted to enter a username and password to gain entry to the new database. The entered
path can be saved by either using the Return key or by clicking on the Save button.




                                                63
Y Science Server Administration
Introduction
Requirements
In the Web Connectivity Option, assignments and student results are passed between the
instructor and student using a small server application that stores both the assignment and student
data temporarily on the server. This server application (hereafter called a servlet or servlet
engine) runs inside a TomCat server (or any other equivalent application server) that can be
installed on a Windows, OS X, or Unix platform. The server computer can be any computer that
has an IP address and does not have to be anything fancy. The following is a general list of
requirements and other general information needed to setup and run the servlet engine. (Note that
in the following description administrator is either the instructor setting up the servlet engine or
a technical support individual.)

1. The server must have the latest version of Java 2SE JRE 5.0 installed (currently that is 5.0
   Update 8). For OS X machines, this will be on the OS X installation disk. You must be using
   Tiger 10.4 or greater. For Windows and Unix, this can be downloaded from
   http://java.sun.com/javase/downloads.

2. The server must also have the TomCat (also called Jakarta) application server (or an
   equivalent) installed. A copy of TomCat for Windows and OS X is included on Y Science
   installation CD in the Servlet folder.

3. A directory will need to be established on the server where the data can be stored temporarily
   by the servlet engine. All users who will be administering TomCat will need to have
   read/write privileges to this directory. This should only be a problem in Unix.

4. It is not recommended that different Y Science databases use the same servlet engine since
   there is no checking for duplicate class names and students. This is easily solved since
   multiple instances of the servlet engine can run simultaneously on the server. Each instance
   of the servlet engine is called a context and must be managed independently.

5. The URL address for the servlet engine will have the following format:
   http://localhost:8080/Context/y where the localhost will be the IP address or registered server
   name of the server and Context is the name of the context war file of the servlet engine
   running on the server. The default Context is “yscience”. This URL address will be needed
   by the instructor and students.

6. In order for the Web Connectivity Option to work, the servlet engine must be running on a
   server that is accessible to the client computers who will be using it. If the server is behind a
   firewall, then it is the administrator’s responsibility to ensure that any client computers
   outside the firewall can still see the server.

7. When running TomCat on any version of Windows other than Windows 2000 Server or
   Windows 2003 Server, there can only be, at most, 10 simultaneous connections to the


                                                 64
TomCat server from the clients. This is by Microsoft's design; however, the connection time
   with the server should be short for each client and should not cause a significant problem
   except with large numbers of users.

In the following discussion, it is assumped that you have successfully installed and know how to
start and stop the servlet engine. Specific instructions for installing and configuring the servlet
engine can be found in the Installation and Overview Guide. Given below is a description of how
to initially configure and access the servlet administration page, followed by a description of the
various servlet options within the servlet administration page.

Access and Initial Configuration
After the servlet engine has been installed on the server, you need to configure each context you
may have deployed. The servlet engine will not work until it has been configured. To do this, use
your browser to go to the link http://localhost:8080/yscience/admin (or use your other context
names in place of “yscience”) and use the username chemlab and the password chemlab (case
sensitive) to gain access to the context manager or servlet administration page. This will be the
address you use each time you need to access the servlet administration page.

The first time you access the servlet administration page, you will be asked to specify where the
database will be located, that is, the path where you will save the context data. (You will need a
new folder for each context.) You will also need to enter a new username and password since the
initial chemlab username and password will not work after the sevlet has been configured. When
this information has been entered, click the Update Path button and everything should be ready
for use. Repeat this step for all contexts you have deployed. Please Note: For OS X, the path
used for specifying where the context data will be stored must be entered using Linux syntax.
That is, if the path on your Mac is Macintosh HD:Users:YourName:ServletData then the path
you should enter is /Users/YourName/ServletData. We recommend that spaces not be used in
any of the folder names.

Administrative Pages
After the servlet engine has been initially configured, the administratin page can be re-visited to
customize various servlet settings, perform diagnostics, and perform various other administrative
functions. The servlet administration page is divided into the following sections: (1) General
Settings, (2) Server Diagnostic, (3) Users, (4) Logs, (5) Database Settings, and (6) Change
Password. Detailed descriptions of these sections are given next.

General Settings
Session Timeout Time The servlet can only transfer data to and from the server one session at a
time, although the time required for each session is typically very brief. This setting is the
maximum time a session can last for both students and administrators before a session timout is
invoked. The default timout setting is usually sufficient except updating and retrieving for very
large classes.

Select Server DB Version The Y Science server can administor to both older version 2.5 (v2.5)
and v3.0+ products. Although the different versions use different servlet protocols, you can


                                                65
specifiy with this setting the product version and protocols you wish to use. Selecting v2.5+
(default) allows the servlet to use both protocols, while v2.5 and v3.0 force the servlet to restrict
access to the indicated versions.

Server Status This allows you to turn the transfer of data through the servlet engine on and off.
However, this option does not actually turn the servlet application on and off.

Server Diagnostic
This section performs a wide set of servlet function diagnostics to insure the servlet is
functioning properly. Mostly these tests confirm that data can be written to and read from the
specified server database location. After the diagnostic is performed, the test results are
displayed with brief explainations for any failures.

Users
Here you can add and delete servlet administrator users. Only those who need access to the
administration portion of the server should be added to the list of users. To add a new user,
simply enter in the username and password of the new user, verify the password by entering it
again, and then click the Add User button. The password must be at least five characters long.

Logs
A history of all access to and use of the servlet can be stored in log files for later inspection for
diagnostic purposes. The following options allow control of the logging functions performed by
the servlet engine.

Logging Level This specifies the level of detail to be stored in the log files. These levels include
off, severe, warning, info, and config. Off gathers no information, Severe lists only errors,
Warning lists errors and warnings, Info displays a general log of those who access the server
along with errors and warnings., and Config stores all attempted actions.

File Size Limit This is the maximum or limiting log file size before a new log file is created.

Number of Old Log Files to Keep This is the maximum number of old log files to keep before
the oldest file is deleted.

Log File Format This allows you to choose plain text or XML as the file format for the log files.

Database Settings
This section allows you to specify a new database path to store the database information on the
server. Note that specifiying a new database path is a distructive process and resets all database
settings back to their default state and requires entering a new username and password. Setting a
new database path in this section is equivalent to an initial configuration when the servlet engine
was first installed. Changing to a new database path does not erase information stored in
previous database locations and that information can be restored by typing in the old database
path.



                                                  66
Note that for OS X based servers, the path used for specifying where the context data will be
stored must be entered using Linux syntax. That is, if the path on your Mac is Macintosh
HD:Users:YourName:ServletData then the path you should enter is
/Users/YourName/ServletData. We recommend that spaces not be used in any of the folder
names.

Change Password
This section allows you to change the password for the servlet adminstrator who is currently
logged into the system. The new password must be more than 5 characters long and must be
entered twice.




                                               67
Appendix A
INI Variables and Management Issues
Many of the functions and simulation parameters used in Y Science are controlled by INI
variables. INI variables are numerical or text settings that are contained in a small set of INI files
found in the various Y Science directories. These INI files are text-based files all with the
extension “.ini” and can be viewed or edited in any simple text-based editor. It should be noted
that in these INI files, variables are grouped together in sections by a header line with the format
[name], where name is the name of the section. When adding INI variables to a file, the section
names, if not already present in the file, must be added along with the new variables.

During the installation of Y Science, these INI variables are set at what is considered to be the
optimal settings for most applications. However, many of these INI variables can be changed to
fit individual needs and applications. Given in this appendix is a description of most of these INI
variables and how they fit within the greater scope of Y Science. Along with a description of
these INI variables, many issues associated with the management and implementation of Y
Science will also be discussed.

ChemLab INI File
The ChemLab.ini file is the main INI file that controls the overall operation of the software.
Most of what is described in this section is a more detailed description of how the Y Science
simulations are configured and how some of these INI variables can be reconfigured. Given
below is a description of the INI variables that can be modified.

Database Issues
When Y Science is installed, a Chemlab.ini file is created in the main Y Science directory that has
the format

       [Database]
       DatabasePath = pathData       (PC)
       or
       DatabasePath = path:Data:       (Mac)

where path is the path to the Y Science directory chosen at the time of the installation. This INI
variable points to the Data directory where the login, class management files, and electronic lab
books are stored. For client installations, this variable points to the database on the server. For
local installations, the variable points to the local database.

During a direct client installation, the installer creates this variable based on where the client
installer was launched. If the installer was launched from the server in the Y Science directory,
then the variable should point to the correct database. If the direct client installer was copied to a
removable media (say, a USB drive), which is then used to install the client program, the INI
variable will default to the removable media drive. During the installation, an option is given to
enter the correct path for the server database. This path must include the Data (:Data:) part of
the path to the database.

                                                 A-1
As Y Science has been developed and as new features have been added, the format of the
database has been forced to change. When students are using older versions of the software with
new versions of Instructor Utilities, there could be database incompatibilities. An INI variable
has been added which will control how these incompatibilities will be handled.

       [General]
       Autoupgrade = No or Yes (default) or Force

A No will always prompt the user to upgrade the database, A Yes will automatically upgrade the
database if it is a student user, and Force will always upgrade the database for any version of the
software.

Lab Book Issues
To increase the speed and reliability of the electronic lab book in a Direct Database Access
mode, a copy of the lab book is placed on the local drive of the computer when the lab book is
opened in the laboratory or in Instructor Utilities. When this is done, a lock is placed on the file
to prevent two users (the instructor and the student) from modifying the file at the same time. In
the event of a hardware crash while the lab book is open, this lock remains in effect even when
the program is restarted. This lock can be overridden by the instructor by opening the lab book
inside Instructor Utilities using the View Lab Book button in the Score folder.

When a student has their lab book open in the laboratory, the lab book information is stored in
memory. Saves of the lab book are made only at the time the lab book is exited, when an
assignment is submitted, or when a grade is assigned. To protect against loosing data because of
hardware crashes, the lab book is automatically saved every 5 minutes (300 seconds). The timer
interval between automatic saves can be changed by adding the variable

       [Labbook]
       SaveTimer = nnnn

to the Chemlab.ini file, where nnnn is the time in seconds between saves. If this line is absent in
the INI file, the time interval defaults to 300 seconds. If nnnn is set to zero, then automatic
saving is turned off.

Servlet Engine URL
If the Web Connectivity Option is being used, the URL address for the servlet engine is stored
with the INI variable

       [Manage]
       WebURL=http://localhost:8080/Context/y

where localhost is the IP address or registered name of the server on which the servlet engine
resides and Context is the name of the servlet engine context (usually “yscience”). In Instructor
Utilities, the URL address is specified in the Web Tools folder. When a student version is first
installed, the URL address is initially left blank and when the first student activates the Web



                                                A-2
Connectivity Option, they must type in the full path of the URL. From then on, the URL address
of the most recently successful authenticated student is used as the default address.

Automatic Web Updates
If the Web Connectivity Option is used on the student side, an INI variable

       [General]
       Web_Install=aConnect

can be set that forces an automatic retrieve when the students enter the laboratory and automatic
updates when the student submits assignments and exits the laboratory. Automatic Updates can
be set individually in the Web Options section of the student lab book, but this variable forces
automatic updates. For security reasons, this variable is mandatory for computer lab installations
using the Web Connectivity Option and is automatically set during a web client install (see the
installation instructions for more details).

Window Behavior
Macromedia Director has a feature that causes overlapping windows to still be active even for
windows that are underneath, so when the cursor is clicked on the active window that click is
also recorded on the inactive window. We have addressed this problem by providing three cursor
options with INI variables.

       [Window Behavior]
       All_Windows_Cursor = Off, Clicks (default), or Always
       Popup_Windows = Off, Clicks (default), or Always

Both INI variables work the same way but are applied to different types of windows.
All_Windows_Cursor applies only to the main laboratory windows, and Popup_Windows
applies to the popup windows (lab book, meters, detectors, etc.). Off means an inactive window
cannot be activated except by clicking on the window bar at the top. Clicks means the cursor will
not change when over an inactive window but clicking anywhere on the window will activate the
window. Always means all inactive windows will behave as if they were active.

Inorganic INI Files
There are no INI files currently used for the inorganic simulation.

Quantum INI Files
The quantum simulation consists of a set of fundamental experiments that demonstrate the ideas
and concepts leading up to the development of quantum mechanics. Much of the operation of the
laboratory and the parameters defining the experiments is controlled using INI variables located
in the files Lab.ini, Video.ini, Spectro.ini, Phosphor.ini, KE.ini, and Diode.ini. The variables in
Lab.ini generally control aspects of the entire quantum simulation or experimental parameters
that are in more than one experiment. The Lab.ini file is located in the QuantumDB directory in


                                               A-3
the ChemLabQ directory. The Video.ini, Spectro.ini, Phosphor.ini, KE.ini, and Diode.ini files
contain INI variables that are specific to the operation of each of the indicated detectors. These
variables generally control and define the operation of the various quantum experiments and are
located in the Detectors directory in the ChemLabQ directory. There is one additional set of INI
files and these define the preset experiments located on the stockroom clipboard and used in the
quantum assignments. Described in each of the following sections are the INI variables
contained in each of these INI files. The purpose for providing this information is to grant
instructors the ability to change or adjust the quantum simulation to suit their own needs.

Lab.ini
INI Variables                                  Description
[Settings]                                     Required header line.
Move_Detector_Forward=1                        For monitors with resolutions of 1024 x 768 or less, there may not be enough
                                               room for the main lab window and detector window to be open at the same time
                                               and comfortably see changes in the detector as changes are made in the lab.
                                               Setting this variable to 1 forces the detector window to be on top after any
                                               change is made in the lab. Setting this variable to 0 forces normal window
                                               operation.

IntenEGunDisp=1 e/s,10 e/s,100 e/s,         The electron gun allowed intensity values displayed on the LCD controller.
  1000 e/s,1 nA,1 uA,1 mA,1 A
IntenEGunVal=1 e/s,10 e/s,100 e/s,1000 e/s, The electron gun intensities assigned to the corresponding display values. It is
   0.05,0.3,0.7,1                           not suggested that the e/s values be changed.

IntenLaserDisp=1 p/s,10 p/s,100 p/s,1000 p/s, The laser allowed intensity values displayed on the LCD controller.
   1 nW,1 uW,1 mW,1 W,1 kW,1 MW
IntenLaserVal=1 p/s,10 p/s,100 p/s,1000 p/s, The laser intensities assigned to the corresponding display values. It is not
   0.05,0.2,0.4,0.6,0.8,1                     suggested that the p/s values be changed.

IntenBulbDisp=1 nW,1 uW,1 mW,1 W,1 kW,         The super light bulb allowed intensity values displayed on the LCD controller.
   1 MW
IntenBulbVal=0.05,0.2,0.4,0.6,0.8,1            The super light bulb intensities assigned to the corresponding display values.

WavelengthDisp=nm,um,mm                        The allowed units displayed on the laser LCD controller.
WavelengthVal=1e-9,1e-6,1e-3                   The multipliers assigned to the corresponding units on the laser LCD.
WavelengthMax=999                              The maximum setting on the maximum scale on the laser LCD controller.
WavelengthMin=020                              The minimum setting on the minimum scale on the laser LCD controller.

KEnergyDisp=me,eV,keV                          The allowed units displayed on the electron gun LCD controller.
KEnergyVal=1e-3,1,1e3                          The multipliers assigned to the corresponding units on the electron gun LCD.
KEnergyMax=050                                 The maximum setting on the maximum scale on the electron gun LCD controller.
KEnergyMin=001                                 The minimum setting on the minimum scale on the electron gun LCD controller.

AlphaKEnergy=5.4e6                             The kinetic energy of the alpha particles from the alpha source in eV.

BDisp=uT,mT,T                                  The allowed units displayed on the magnetic field LCD controller.
BVal=1e-6,1e-3,1                               The multipliers assigned to the corresponding units on the magnetic field LCD.
BMax=100                                       The maximum setting on the maximum scale on the magnetic field LCD
                                               controller.



                                                              A-4
BMin=0                   The minimum setting on the minimum scale on the magnetic field LCD controller.

EDisp=V,kV               The allowed units displayed on the electric field LCD controller.
EVal=1,1e3               The multipliers assigned to the corresponding units on the electric field LCD.
EMax=005                 The maximum setting on the maximum scale on the electric field LCD controller.
EMin=00                  The minimum setting on the minimum scale on the electric field LCD controller.

HeatDisp=0 K             The allowed units displayed on the heater LCD controller.
HeatVal=10               The multipliers assigned to the corresponding units on the heater LCD.
HeatMax=400              The maximum setting on the maximum scale on the heater LCD controller.
HeatMin=30               The minimum setting on the minimum scale on the heater LCD controller.

SlitDisp=nm,um,mm        The allowed units displayed on the two-slit LCD controller.
SlitVal=1e-9,1e-6,1e-3   The multipliers assigned to the corresponding units on the two-slit LCD.
SlitMax=100              The maximum setting on the maximum scale on the two-slit LCD controller.
SlitMin=1                The minimum setting on the minimum scale on the two-slit LCD controller.

Laser_Open_Delay=75      The delay time in msec before the laser lid is removed during a mouse over.

T_Heat_Glow = 399        The temperature at which the heating element begins to glow in K.

T_Gas_XPLD = 700         The temperature at which the gas holder explodes.
T_Liquid_XPLD = 400      The temperature at which the liquid holder explodes.
T_Oil_XPLD = 450         The temperature at which the oil mist begins to smoke.

T_Red = 700              The temperature at which the foils turn dull red when heated.
T_Orange = 900           The temperature at which the foils turn orange when heated.
T_white = 1100           The temperature at which the foils turn white when heated.

Color_A=4096             The first of the visible light scaling parameters used in the spectrometer color
                         window to simulate the sensitivity of the human eye.
Color_B=8.317766167                                                                 [
                         The second scaling parameter. The equation is Iobs = Imax ln(I A) B . ]
Setting_Delay=400        The delay time in msec before a change in any LCD controller is processed.

Gas_Glow=300             The AC voltage at which any gas will begin to emit.

PB_Gx=76.20              The distance, in cm, between position 7 and position 9 on the table. This is used
                         to calculate the deflection of particles in any particle bending experiment.
PB_Ey=91.44              The distance, in cm, between position 9 and position 8 or 10 on the table. This is
                         used to calculate whether a particle will hit a detector in position 8 or 10.
PB_n=40                  The number of iterations to use when solving the differential equation while a
                         charged particle moves through the electric or magnetic fields.
PB_EB_Length=0.050       The length of the electric and magnetic fields, in m, for the E and B modifiers in
                         position 7 on the table. This is used in the particle bending experiments.
PB_E_Dist=0.050          The spacing between the electric plates for the E modifier in position 7. This is
                         used for calculating the applied electric field using E = V/d.




                                        A-5
Video.ini
INI Variables           Description
[Video]
OilYMin=29              The y pixel position where the oil drops disappear from the screen.
OilYMax=379             The y pixel position where the oil drops appear on the screen.
OilXMin=75              The left-most pixel position (xmin) where the oil drops can fall.
OilXMax = 330           The right-most pixel position (xmax) where the oil drops can fall.
PixelFactor=1           The number of pixels used when calculating the speed of the oil drops per pixel.
Oil_Y_Pixel_D_nm=2857   Defines the number of nm per pixel in the oil mist.
Oil_SlowMo_Factor = 5   Defines the slow-motion factor when the slow-motion button is pressed.
Oil1=1.00e-06           Defines the diameters of the 10 different oil drops in m.
Oil2=1.13e-06
Oil3=1.25e-06
Oil4=1.38e-06
Oil5=1.42e-06
Oil6=1.51e-06
Oil7=1.64e-06
Oil8=1.69e-06
Oil9=1.79e-06
Oil10=1.92e-06
Oil1_Size=01            There are 10 graphics that depict 10 different size drops where 01 is the
Oil2_Size=01            smallest drop and 10 is the largest. These variables assign the drop graphic for
Oil3_Size=01            the 10 different size drops defined earlier.
Oil4_Size=01
Oil5_Size=02
Oil6_Size=02
Oil7_Size=02
Oil8_Size=02
Oil9_Size=03
Oil10_Size=03

MaxIntensity=1          The intensity of the egun that blows away the oil drops.
EPlate_D=0.010          The spacing of the electric plates in the oil mist chamber in m.
oilDensity=821          Density of the oil in kg m-3 for the oil mist.
airDensity=1.22         Density of the air in kg m-3 for the oil mist.
airVisc = 1.4607e-5     Viscosity of the air in kg m-1 s-1 for the oil mist.
atmoPres=1.00           Air pressure in atmospheres for the oil mist.

SpotPixel=2             The size of the spots for the two-slit single photon experiments.
PixelPerCM=50           The number of pixels per cm in the x direction on the video screen for the two-slit
                        experiment. Essentially defines the size of the screen.
Video_Slit_D=0.01       The distance of the screen from the slits in m.
SlitTopY=126            The top pixel position for the interference pattern.
SlitBottomY=239         The bottom pixel position for the interference pattern.
SpotSqueeze=0.9         Used to adjust a set of random numbers to give a gaussian distribution.
BaseIntensity=0.25      The intensity of each spot as they hit the screen in the single photon experiment.
                        Overlapping spots add intensity.
Spot_Dis_mSec=750       The time, in msec, spots on the video screen persist before disappearing when


                                       A-6
not in Persist Mode.
BoxExtend=100                 For some configurations, the outer fringes of an interference pattern can be very
                              long. This variable sets an upper bound on this size for certain situations.

Large_Spot_Size=8             The size of a simple laser spot on the video camera in pixels.
Slit_Rect_W=400               The width of the white rectangle in a bulb/two-slit combination.
Slit_Rect_H=20                The height of the white rectangle in a bulb/two-slit combination.

Slit_Width_Pixel=187          The width, in pixels, the two-slit graphic can move.


Spectro.ini
INI Variables                 Description
[Spectro]
BB_Min = 10                   The minimum wavelength, in nm, for the blackbody spectrum.
BB_Max = 5000                 The maximum wavelength, in nm, for the blackbody spectrum.
Zoom_Min = 1                  The maximum, full-scale zoom, in nm, for the blackbody experiment.
Graph_Resolution=300          The number of points to use to graph the blackbody curve.
Zoom_Min_PE=0.1               The maximum, full-scale zoom, in nm, for the photoemission experiment.
PE_Detail_Switch=5            The full-scale zoom, in nm, where a switch is made between the low-resolution
                              and high-resolution photoemission files.
Adsorb_Detail_Switch=10       The full-scale zoom, in nm, where a switch is made between the low-resolution
                              and high-resolution adsorption files.
Raman_Scale_Factor=1e4        The multiplication factor for the center Raman peak.
Raman_Broad_Factor=.10        The gaussian broadening parameter for the center Raman peak.
Raman_Sat_Scale_Factor=0.01   The multiplication factor for the satellite Raman peak.
Raman_Sat_Broad_Factor=.010   The gaussian broadening parameter for the satellite Raman peak.
Raman_Wave_Min_nm=110         The minimum laser wavelength where a Raman experiment will work.
Raman_Wave_Max_nm=999         The maximum laser wavelength where a Raman experiment will work.


Phosphor.ini
INI Variables                 Description
[Phosphor]
Spot_Diameter=10              The diameter, in pixels, for general spots that appear on the phosphor screen.
Spot_Remain_mSec=300          The time, in msec, spots persist on the phosphor screen when not in Persist
                              Mode.
Spot_R=108                    The R-value for a full-intensity spot.
Spot_G=165                    The G-value for a full-intensity spot.
Spot_B=78                     The B-value for a full-intensity spot.
Base_Intensity=0.2            The intensity of each spot as they hit the screen in the single particle
                              experiments. Overlapping spots add intensity.

SpotPixel=2                   The size of the spots for the two-slit single particle experiments.
PixelPerCM=50                 The number of pixels per cm in the x direction on the phosphor screen for the
                              two-slit experiment. Essentially defines the size of the screen.
Phosphor_Slit_D=0.01          The distance of the screen from the slits in m.
SlitTopY=108                  The top pixel position for the interference pattern.
SlitBottomY=221               The bottom pixel position for the interference pattern.
SpotSqueeze=0.9               Used to adjust a set of random numbers to give a gaussian distribution.


                                             A-7
BaseIntensity=0.25        The intensity of each spot as they hit the screen in the single particle, two-slit
                          experiment. Overlapping spots add intensity.
Spot_Dis_mSec=750         The time, in msec, spots on the phosphor screen persist before disappearing
                          when not in Persist Mode.
BoxExtend=100             For some configurations, the outer fringes of an interference pattern can be very
                          long. This variable sets an upper bound on this size for certain situations.

Ruth_Diam=50              The base diameter, in pixels, for the forward scattering spot in the Rutherford
                          experiment. Spot size changes size based on nuclear cross section.
Eo=5.4                    The energy of the alpha particles in MeV.
Ruth_Intensity=1e5        The intensity of the alpha-particle flux in particles per second.
T=0.001                   The thickness of the metal foil in cm.
Area_cm2=144              The area of the phosphor screen in cm2.
DistB_cm=138.2            The distance from position 5 to position 1 in cm.
DistI_cm=81.3             The distance from position 5 to position 4 in cm.
DistE_cm=190.9            The distance from position 5 to position 8 in cm.
DistG_cm=172.7            The distance from position 5 to position 9 in cm.
Ruth_Spread=0.1           The fade parameter for the forward-scattering Rutherford spot.
Ruth_Dis=300              The time, in msec, the backscattering spots persist before disappearing when not
                          in Persist Mode.
Ruth_Spot_Size=6          The size of the backscattering spots in pixels.
Ruth_Spot_Fade=12         The fade parameter for the backscattering spots.
Ruth_Spot_Power=3         A second fade parameter for the backscattering spots.
Sigma=100                 A second fade parameter for the forward scattering spot.

PB_Base_Intensity=.25     The intensity of a single particle spot as it hits the screen in the particle-bending
                          experiments. Overlapping spots add intensity.
PB_Spot_Dis_mSec=300      The time, in msec, spots on the phosphor screen persist before disappearing
                          when not in Persist Mode.

PB_ScreenW=12             The screen width, in cm, for the particle-bending experiment.
PB_SpotSize=10            The size of a particle-bending spot in pixels.
PB_Fade=15                The fade parameter for a particle-bending spot.

Grid_Red=100              The grid color R-value.
Grid_Green=100            The grid color G-value.
Grid_Blue=100             The grid color B-value.
Grid_Space_CM=1           The spacing between major grid lines.


KE.ini
INI Variables             Description
PE_Min = 0                The minimum energy, in eV, for graphing on the bolometer.
PE_Max = 60               The maximum energy, in eV, for graphing on the bolometer.
PE_Zoom_Min = 2           The maximum, full-scale zoom, in eV, for the blackbody experiment.
PE_R=0                    The graphing line color R-value.
PE_G=200                  The graphing line color G-value.
PE_B=0                    The graphing line color B-value.
Time_Interval_mSec=1000   The time interval between measurements in the integrated mode.
Time_Scale_Sec=60         The full-scale time in the integrated mode.


                                         A-8
Diode.ini
INI Variables                       Description
[Diode]
Time_Interval_mSec=1000             The time interval between measurements.
Time_Scale_Sec=60                   The full-scale time.
Line_R=25                           The graphing line color R-value.
Line_G=25                           The graphing line color G-value.
Line_B=25                           The graphing line color B-value.
BB_Min=100                          The wavelength to starting integrating the blackbody intensity.
BB_Max=5000                         The wavelength to stop integrating the blackbody intensity.
BB_Resolution=3000                  The number of points to use to perform the integration.


Preset Experiments
Located on the clipboard in the quantum stockroom is a set of 15 preset experiments listed by
title. If allowed by the instructor, students can select one of these experiments and, upon
returning to the laboratory, the selected experiment will be automatically set up and running. A
preset experiment can also be used for assignments so a student can accept an assignment with
the experiment already set up for them. Preset experiments are intended to provide flexibility for
the instructor so the quantum simulation can be adapted to the level of the class or the individual
teaching style of the instructor. Several experiments have already been defined and are installed
with the software. This section describes how these files can be modified.

Each preset experiment is defined using an INI file. For the preset experiments on the clipboard,
these files have the name Experimentn.ini, where n is a number between 1 and 15 and represents
experiments 1 through 15 on the clipboard. These files are located in the Presets directory in the
ChemLabQ directory. For the preset experiments used in assignments, these files must be located
in the Assignments/Quantum directory and can have any name, but must have the extension
“.ini”. Information on how to use preset experiments in assignments is given in the “Quantum
Assignments” section. Note that in client installations, any modified preset experiments for the
clipboard must be modified for each client installation.

Given subsequently is a description of a preset experiment INI file and the variables that are used
to define an experiment. Before reviewing the INI file information, here are some important
points to keep in mind: (a) All of the variables described have default values, so variables may be
left blank or not used at all. An experiment can be set up or defined to any degree desired by the
instructor. (b) Some variables are mutually exclusive; that is, the use of one variable may mean
another variable cannot be used. Some error checking exists for such situations, but the error
checking is not comprehensive. (c) The LCD control boxes for various pieces of equipment use
three different INI variables to define their initial settings: one for the numeric value on the LCD
box, one to define the location of the decimal place, and the other to define the units. Not all of
these need to be used to define the initial settings. (d) Positions on the table are defined using
numbers from 1 to 10 as indicated in the following figure:




                                                  A-9
1                       4                                                 8




                             2                       5                               7                 9




                             3                       6                                                 10


Positions 1, 2, and 3 are for sources, position 5 is for samples, position 5 is also for electric or
magnetic field modifiers or heat, position 7 is for electric or magnetic field modifiers, and
positions 1, 3, 4, 6, 8, 9, and 10 are for detectors.

The following two tables show the INI variables used in preset experiments. The first lists all the
variables that can be used and their allowed values. Default values are given in red. The second
is an example of a preset experiment for the Millikan Oil Drop Experiment to show how the
variables can be used.

Complete Preset Experiment INI Variable List
INI Variables                   Description
[Title]
Title=Experiment Title                           Defines the title of the experiment as shown on the clipboard. Not used for preset
                                                 assignments.

[Source]
Source=none, alpha, bulb, egun, laser            Defines the source for the experiment. The allowed values are shown.
Position=1, 2, 3 (Default = stockroom counter)   Defines the position for the source.
On_Off=on, off                                   Sets the source initially on or initially off.
Intensity= (Default = lowest intensity)          Sets the source intensity. See Lab.ini file for allowed values.
Setting=nnn (Default = lowest value)             Sets the three digits on the LCD source control box.
Setting_Units= (Default = smallest units)        Sets the units on the LCD source control box. See Lab.ini file for allowed values.
Setting_Decimal_Position=1, 2, 3                 Sets the decimal place on the LCD source control box. 1 is after the first digit, 2
                                                 the second digit, and 3 is after the right-most digit.

[Sample]
Holder=none, oil mist, liquid, metal, gas,       Defines the sample holder that will be used in the experiment. The allowed
   two slit                                      values are shown.
Sample= (Default = empty)                        Defines the liquid, metal, or gas sample to be used. Allowed values are given in
                                                 the Liquid, Metal, or Gas Tables found in the QuantumDB directory.
Position=5 (Default = stockroom counter)         Defines the position for the sample. 5 is the only allowed position.
Spacing=nnn (Default = lowest value)             Sets the three digits on the LCD spacing control box for the two-slit sample.



                                                               A-10
Spacing_Units=nm, um, mm                      Sets the units on the LCD spacing control box. The allowed values are shown.
Spacing_Decimal_Position=1, 2, 3              Sets the decimal place on the LCD spacing control box. 1 is after the first digit, 2
                                              is after the second digit, and 3 is after the right-most digit.

[Detector]
Detector=none, phosphor, spectro, video,      Defines the detector that will be used in the experiment. The allowed values are
   diode, bolometer                           shown.
Position=1, 3, 4, 6, 8, 9, 10 (Default =      Puts the detector in the specified position. The allowed values are shown.
stockroom counter)
On_Off=on, off                                Turns the detector initially on or initially off.

[Modifiers]
Modifier=none, heat, E_field, B_field,        Defines the modifiers that will be used in the experiment. The allowed values are
   E_B_field                                  shown. To use an electric and magnetic field combination, utilize the E_B_field
                                              value. Heat cannot be used in combination with another modifier.
Position=5, 7 (Default = stockroom counter)   Puts the modifiers in position 5 or 7. Heat can only be in position 5. The electric
                                              and magnetic fields must be in the same position.
E_Setting=nnn (Default = lowest value)        Sets the three digits on the LCD electric field control box.
E_Setting_Units=V, kV                         Sets the units on the LCD electric field control box. The allowed values are
                                              shown.
E_Setting_Decimal_Position=1, 2, 3            Sets the decimal place on the LCD electric field control box. 1 is after the first
                                              digit, 2 is after the second digit, and 3 is after the right-most digit.
B_Setting=nnn (Default = lowest value)        Sets the three digits on the LCD magnetic field control box.
B_Setting_Units=uT, mT, T                     Sets the units on the LCD magnetic field control box. The allowed values are
                                              shown.
B_Setting_Decimal_Position=1, 2, 3            Sets the decimal place on the LCD magnetic field control box. 1 is after the first
                                              digit, 2 is after the second digit, and 3 is after the right-most digit.
H_Setting=nnn (Default = lowest value)        Sets the temperature on the heat modifier. The units of the specified temperature
                                              must be in Kelvin and the ones digit must be 0 (zero).

An Example of a Millikan Oil Drop Preset Experiment
INI Variables                     Description
[Title]
Title=Millikan Oil Drop Experiment            Defines the title of the experiment shown on the clipboard. Not used for preset
                                              assignments.

[Source]
Source=eGun                                   Defines the source as the electron gun.
Position=2                                    Puts the source at position 2.
On_Off=on                                     Turns the source on initially.
Intensity=1 nA                                Sets the source intensity to 1 nA.
Setting=100                                   Sets the electron gun energy to 100 on the LCD box.
Setting_Units=me                              Sets the electron gun energy units to meV.
Setting_Decimal_Position=3                    Puts the electron gun energy decimal place to the right-most position.

[Sample]
Holder=oil mist                               Defines the holder as the oil mist.
Position=5                                    Puts the oil mist in position 5.

[Detector]



                                                             A-11
Detector=video                      Defines the detector as the video camera.
Position=9                          Puts the video camera in position 9.
On_Off=on                           Turns the video camera on.

[Modifiers]
Modifier=E_field                    Defines the modifier as the electric field.
Position=5                          Puts the modifier in position 5.
E_Setting=0                         Sets the electric field initially to zero.
E_Setting_Units=V                   Sets the units on the electric field LCD box to volts (V).
E_Setting_Decimal_Position=3        Puts the decimal place to the right-most position.


Gases INI Files
The gases laboratory consists of a set of simulated physical chemistry experiments that
demonstrate the behavior of ideal, real, and van der Waals gases under varying experimental
conditions. Much of the operation of the laboratory and the parameters defining the experiments
is controlled using INI variables located in the two files Gases.ini and Units.ini located in the
GasINI directory in the ChemLabG directory. The variables in Gases.ini generally control
aspects of the four different gas experiments, and the variables in Units.ini control the operation
of the LCD controllers, unit conversions, and significant figures. There is one additional set of
INI files and these define the preset experiments located on the stockroom clipboard and used in
the gases assignments. Described in each of the following sections are the INI variables
contained in each of these INI files. The purpose for providing this information is to grant
instructors the ability to change or adjust the gases simulation to suit their own needs.

Gases.ini
 INI Variables                       Description
 [General]
 Slider_Delay_mSec=500               The time in milliseconds that the slider remains stationary before changing the
                                     digits on the LCD.
 Slider_Change_Rate_mSec=500         The time in milliseconds between the changing of digits of the LCD when the
                                     slider is dragged up or down.
 Labbook_Save_Method=Any_Change      This specifies when data will be saved to the lab book. “Any_Change” saves
                                     the data after every change. “Slider” saves the data only after the slider is
                                     released.
 Labbook_Data_Line_Limit = 1000      The limit of lines that the lab book will save before it automatically starts a new
                                     page.
 Limit_Error_Per=.1                  When iterating the solutions for real gases, this variable specifies how close (in
                                     percent) the iterations have to be before the algorithm says it is done.
 Auto_Min_Max=0                      Defines whether the LCD’s go automatically to the max or min when a number
                                     higher or lower than that amount is selected. Zero is off.

 [Experiment_1]                      (The following apply only to the Balloon Experiment.)
 Volume_Init_m^3=0                   The initial volume of experiment in units of m3.
 Volume_Unit=m^3                     The initial units of volume.
 Balloon_Max_Vol_m^3=0.012           The maximum allowed volume of the balloon in m3 before it pops.

 Pressure_Init_Pa=100000             The initial pressure in units of Pascals.
 Pressure_H2O_Init_Pa=100000         The initial pressure in units of Pascals if the gas chosen is H2O.
 Pressure_Max_Pa=1e9                 The maximum pressure allowed in the experiment in units of Pascals.


                                                  A-12
Pressure_Min_Pa=0                  The minimum pressure of the experiment.
Pressure_Unit=Pa                   The initial units of pressure.

Temp_Init_K=298                    The initial temperature in Kelvin.
Temp_H2O_Init_K=400                The initial temperature, in Kelvin, if the gas chosen is H2O.
Temp_Max_K=3000                    The maximum temperature allowed in the experiment in Kelvin.
Temp_Min_K=0                       The minimum temperature of the experiment.
Temp_Unit=K                        The initial unit of temperature.

n_Init=0                           The initial number of moles.
n_max=50.0                         The maximum number of moles allowed in the experiment.

Flow_Rate_1=0.01                   The number of moles per second that are released from the gas regulator at
Flow_Rate_2=0.02                   the different flow rates selected on the regulator.
Flow_Rate_3=0.04
Flow_Rate_4=0.06
Flow_Rate_5=0.08
Flow_Rate_6=0.1
Flow_Rate_7=0.15
Flow_Rate_8=0.2
Flow_Rate_9=0.25
Flow_Rate_10=.3

Regulator_Pressure_1_Pa=138000     The pressure setting for the regulator at the various needle positions.
Regulator_Pressure_2_Pa=276000
Regulator_Pressure_3_Pa=414000
Regulator_Pressure_4_Pa=552000
Regulator_Pressure_5_Pa=690000
Regulator_Pressure_6_Pa=827000
Regulator_Pressure_7_Pa=965000
Regulator_Pressure_8_Pa=1103000
Regulator_Pressure_9_Pa=1241000
Regulator_Pressure_10_Pa=1517000

P_Atmosphere_Pa=101010             The pressure settings on the regulator are actually relative to atmospheric
                                   pressure. This variable specifies what is atmospheric pressure in the lab.

Wide_Update_Time_mSec = 333        Time in milliseconds for the experiment to be updated in the zoomed out mode
                                   when gas is being added.

Temp_1_K=50                        The temperature, in Kelvin, where the bath liquid changes color to indicate
                                   changes in temperature (sea green to light blue).
Temp_2_K=150                       The temperature where the cord changes color from light blue to dark blue.
Temp_3_K=250                       The temperature where the cord changes color from dark blue to forest green.
Temp_4_K=350                       The temperature where the cord changes color from forest green to yellow.
Temp_5_K=450                       The temperature where the cord changes color from yellow to goldenrod.
Temp_6_K=550                       The temperature where the cord changes color from goldenrod to red.

Real_Approx_Error_Per=0.0001       The error limit for iterating real gas solutions in per cent.

[Experiment_2]                     (The following apply only to the Pressure Experiment.)
Volume_Init_m^3=0.004              The initial volume of experiment in units of m3.
Volume_H2O_Init_m^3=0.004          The initial volume of experiment in units of m3 if the gas chosen is H2O.
Volume_Unit=m^3                    The initial units of volume.
Vol_Max_m^3=0.004                  The maximum allowed volume of the experiment in units of m3.
Vol_Min_m^3=0.0                    The minimum allowed volume of the experiment in units of m3.


                                                A-13
Pressure_Init_Pa=0                 The initial pressure in units of Pascals.
Pressure_H2O_Init_Pa=0             The initial pressure in units of Pascals if the gas chosen is H2O.
Pressure_Max_Pa=1e9                The maximum pressure, in units of Pascals, allowed in the experiment.
Pressure_Min_Pa=0                  The minimum pressure of the experiment.
Pressure_Unit=Pa                   The initial units of pressure.

Temp_Init_K=298                    The initial temperature in Kelvin.
Temp_H2O_Init_K=400                The initial temperature, in Kelvin, if the gas chosen is H2O.
Temp_Max_K=3000                    The maximum temperature, in Kelvin, allowed in the experiment.
Temp_Min_K=0                       The minimum temperature of the experiment.
Temp_Unit=K                        The initial unit of temperature.

n_Init=0                           The initial number of moles.
n_max=50.0                         The maximum number of moles allowed in the experiment.

Flow_Rate_Pa_1=10000.0             The rate the pressure is increased in the experiment (Pa/sec) for the different
Flow_Rate_Pa_2=20000.0             regulator settings.
Flow_Rate_Pa_3=30000.0
Flow_Rate_Pa_4=40000.0
Flow_Rate_Pa_5=50000.0
Flow_Rate_Pa_6=60000.0
Flow_Rate_Pa_7=70000.0
Flow_Rate_Pa_8=80000.0
Flow_Rate_Pa_9=90000.0
Flow_Rate_Pa_10=100000.0

Regulator_Pressure_1_Pa=138000     The pressure setting for the regulator at the various needle positions.
Regulator_Pressure_2_Pa=276000
Regulator_Pressure_3_Pa=414000
Regulator_Pressure_4_Pa=552000
Regulator_Pressure_5_Pa=690000
Regulator_Pressure_6_Pa=827000
Regulator_Pressure_7_Pa=965000
Regulator_Pressure_8_Pa=1103000
Regulator_Pressure_9_Pa=1241000
Regulator_Pressure_10_Pa=1517000

P_Atmosphere_Pa=101010             The pressure settings on the regulator are actually relative to atmospheric
                                   pressure. This variable specifies what is atmospheric pressure in the lab.

Wide_Update_Time_mSec = 333        Time in milliseconds for the experiment to be updated in the zoomed out mode
                                   when gas is being added.

Temp_1_K=50                        The temperature, in Kelvin, where the bath liquid changes color to indicate
                                   changes in temperature (sea green to light blue).
Temp_2_K=150                       The temperature where the cord changes color from light blue to dark blue.
Temp_3_K=250                       The temperature where the cord changes color from dark blue to forest green.
Temp_4_K=350                       The temperature where the cord changes color from forest green to yellow.
Temp_5_K=450                       The temperature where the cord changes color from yellow to goldenrod.
Temp_6_K=550                       The temperature where the cord changes color from goldenrod to red.

Real_Approx_Error_Per=0.0001       The error limit for iterating real gas solutions in per cent.

[Experiment_3]                     (The following apply only to the Temperature Experiment.)
Volume_Init_m^3=0.004              The initial volume of experiment in units of m3.


                                                A-14
Volume_H2O_Init_m^3=0.004          The initial volume of experiment in units of m3 if the gas chosen is H2O.
Volume_Unit=m^3                    The initial units of volume.
Vol_Max_m^3=0.004                  The maximum allowed volume of the experiment in units of m3.
Vol_Min_m^3=0                      The minimum allowed volume of the experiment in units of m3.

Pressure_Init_Pa=0                 The initial pressure in units of Pascals.
Pressure_H2O_Init_Pa=0             The initial pressure in units of Pascals if the gas chosen is H2O.
Pressure_Max_Pa=1e9                The maximum pressure, in units of Pascals, allowed in the experiment.
Pressure_Min_Pa=1                  The minimum pressure of the experiment.
Pressure_Unit=Pa                   The initial units of pressure.

Temp_Init_K=298                    The initial temperature in Kelvin.
Temp_H2O_Init_K=400                The initial temperature, in Kelvin, if the gas chosen is H2O.
Temp_Max_K=3000                    The maximum temperature, in Kelvin, allowed in the experiment.
Temp_Min_K=0                       The minimum temperature of the experiment.
Temp_Unit=K                        The initial unit of temperature.

n_Init=0.0                         The initial number of moles.
n_max=50.0                         The maximum number of moles allowed in the experiment.

Flow_Rate_Pa_1=10000.0             The rate the pressure is increased in the experiment (Pa/sec) for the different
Flow_Rate_Pa_2=20000.0             regulator settings.
Flow_Rate_Pa_3=30000.0
Flow_Rate_Pa_4=40000.0
Flow_Rate_Pa_5=50000.0
Flow_Rate_Pa_6=60000.0
Flow_Rate_Pa_7=70000.0
Flow_Rate_Pa_8=80000.0
Flow_Rate_Pa_9=90000.0
Flow_Rate_Pa_10=100000.0

Regulator_Pressure_1_Pa=138000     The pressure setting for the regulator at the various needle positions.
Regulator_Pressure_2_Pa=276000
Regulator_Pressure_3_Pa=414000
Regulator_Pressure_4_Pa=552000
Regulator_Pressure_5_Pa=690000
Regulator_Pressure_6_Pa=827000
Regulator_Pressure_7_Pa=965000
Regulator_Pressure_8_Pa=1103000
Regulator_Pressure_9_Pa=1241000
Regulator_Pressure_10_Pa=1517000

P_Atmosphere_Pa=101010             The pressure settings on the regulator are actually relative to atmospheric
                                   pressure. This variable specifies what is atmospheric pressure in the lab.

Wide_Update_Time_mSec = 333        Time in milliseconds for the experiment to be updated in the zoomed out mode
                                   when gas is being added.

Real_Approx_Error_Per=0.0001

[Experiment_4]                     (The following apply only to the Cylinder Experiment.)
Volume_Unit=m^3                    The initial unit of volume.
Vol_Min_m^3=0                      The minimum volume allowed in units of m3.

Pressure_Init_Pa=100000            The initial pressure in units of Pascals.
Pressure_H2O_Init_Pa=100000        The initial pressure in units of Pascals if the gas chosen is H2O.


                                               A-15
Pressure_Max_Pa=1e9              The maximum pressure, in units of Pascals, allowed in the experiment.
Pressure_Min_Pa=0                The minimum pressure of the experiment.
Pressure_Unit=Pa                 The initial units of pressure.

Internal_Pressure_Max_Pa=1e9     The maximum pressure, in Pascals, allowed inside the cylinder.
Internal_Pressure_Min_Pa=0       The minimum pressure inside the cylinder.
Internal_Pressure_Unit=Pa        The initial units of the pressure inside the cylinder.

Temp_Init_K=298                  The initial temperature in Kelvin.
Temp_H2O_Init_K=400              The initial temperature, in Kelvin, if the gas chosen is H2O.
Temp_Max_K=3000                  The maximum temperature, in Kelvin, allowed in the experiment.
Temp_Min_K=0                     The minimum temperature of the experiment.
Temp_Unit=K                      The initial unit of temperature.

n_Init=0.0                       The initial number of moles.
n_max=50.0                       The maximum moles allowed in the experiment.

Mass_Init_g=0                    The initial mass on the piston.
Mass_Max_g=5000000000            The maximum mass allowed on the piston in grams.
Mass_Min_g=0                     The minimum mass allowed on the piston in grams.
Mass_Unit=g                      The initial unit of mass.

Mass_1_Max_g=20000               The masses at which the size of the weight on the piston is changed to a
Mass_2_Max_g=50000               larger or smaller image (in grams).
Mass_3_Max_g=100000
Mass_4_Max_g=500000
Mass_5_Max_g=1000000
Mass_6_Max_g=2000000
Mass_7_Max_g=5000000
Mass_8_Max_g=10000000
Mass_9_Max_g=20000000

Cylinder_Height_m=0.40           The height of the cylinder used in the calculations (in m).
Cylinder_Diameter_m=0.150        The diameter of the cylinder used in the calculations (in m).

Explode_Speed=10                 Speed in which the piston moves during an explosion.
Oscillation_Damp=6               A constant in the piston dampening equation.
Oscillation_Angle_Multiplier=1   A constant in the piston dampening equation.

P_Atmosphere_Pa=101010           The pressure settings on the regulator are actually relative to atmospheric
                                 pressure. This variable specifies what is atmospheric pressure in the lab.

Temp_1_K=50                      The temperature, in Kelvin, where the bath liquid changes color to indicate
                                 changes in temperature (sea green to light blue).
Temp_2_K=150                     The temperature where the cord changes color from light blue to dark blue.
Temp_3_K=250                     The temperature where the cord changes color from dark blue to forest green.
Temp_4_K=350                     The temperature where the cord changes color from forest green to yellow.
Temp_5_K=450                     The temperature where the cord changes color from yellow to goldenrod.
Temp_6_K=550                     The temperature where the cord changes color from goldenrod to red.

Real_Approx_Error_Per=0.0001     The error limit for iterating real gas solutions in per cent.

Osc_Cutoff_Per=10.0              The maximum number of oscillations in the piston dampening equation.




                                              A-16
Units.ini
 INI Variables                       Description
 [Pressure]
 Units=Pa,atm,psi,Torr,bar           The different units that can be used for pressure.
 Labbook_Sig_Fig=7                   The number of significant figures that will be saved in the lab book for
                                     pressure.
 Labbook_Header=P                    The header used in the lab book for pressure when saving data.

 Pa_Prefix=1,k,M                     The prefixes that are possible when pressure is in units of Pascals.
 Pa_Prefix_factor=1,1e-3,1e-6        The multipliers that are used when the different prefixes are used.
 Pa_Prefix_Switch=1e3,1e6            The point at which the different prefixes are changed.
 Pa_Sig_Fig_Max=4,4,4                The maximum significant figures shown in the LCD for each prefix when units
                                     of Pascals are used.
 Pa_Sig_Fig_Decimal=2,3,4            The maximum number of places after the decimal point for each prefix when
                                     units of Pascals are used.

 atm_Prefix=1,k,M                    The prefixes that are possible when pressure is in units of atmospheres.
 atm_Prefix_factor=1,1e-3,1e-6       The multipliers that are used when the different prefixes are used.
 atm_Prefix_Switch=1e3,1e6           The point at which the different prefixes are changed.
 atm_Sig_Fig_Max=4,4,4               The maximum significant figures for each prefix shown in the LCD when units
                                     of atmospheres are used.
 atm_Sig_Fig_Decimal=3,3,4           The maximum number of places after the decimal point for each prefix when
                                     units of atmospheres are used.

 psi_Prefix=1                        The prefix that is possible when pressure is in units of pounds per square inch.
 psi_Prefix_factor=1                 The multiplier that is used.
 psi_Prefix_Switch=1                 If more than one prefix were possible, the point at which the different prefixes
                                     would be changed.
 psi_Sig_Fig_Max=4                   The maximum significant figures shown in the LCD when units of pounds per
                                     square inch is used.
 psi_Sig_Fig_Decimal=3               The maximum number of places after the decimal point for each prefix when
                                     units of pounds per square inch are used.

 torr_Prefix=m,1,k                   The prefixes that are possible when pressure is in units of torr.
 torr_Prefix_factor=1e3,1,1e-3       The multipliers that are used when the different prefixes are used.
 torr_Prefix_Switch=.99999,1e3       The point at which the different prefixes are changed.
 torr_Sig_Fig_Max=3,4,4              The maximum significant figures shown in the LCD for each prefix when units
                                     of torr are used.
 torr_Sig_Fig_Decimal=2,3,3          The maximum number of places after the decimal point for each prefix when
                                     units of torr inch are used.

 bar_Prefix=m,1,k,M                  The prefixes that are possible when pressure is in bars.
 bar_Prefix_factor=1e3,1,1e-3,1e-6   The multipliers that are used when the different prefixes are used.
 bar_Prefix_Switch=.99999,1e3,1e6    The point at which the different prefixes are changed.
 bar_Sig_Fig_Max=4,4,4,4             The maximum significant figures shown in the LCD for each prefix when units
                                     of bars are used.
 bar_Sig_Fig_Decimal=2,3,3,4         The maximum number of places after the decimal point for each prefix when
                                     units of bars are used.

 [Volume]
 Units=m^3,L,cm^3,in^3,ft^3          The different units that can be used for volume.
 Labbook_Sig_Fig=7                   The number of significant figures that will be saved in the lab book for volume.
 Labbook_Header=V                    The header used in the lab book for volume when saving data.

 m^3_Prefix=1                        The prefix that is possible when volume is in units of m3.


                                                 A-17
m^3_Prefix_factor=1      The multiplier that is used.
m^3_Prefix_Switch=1      If more than one prefix were possible, the point at which the different prefixes
                         are changed.
m^3_Sig_Fig_Max=4        The maximum significant figures shown in the LCD when units of m 3 are used.
m^3_Sig_Fig_Decimal=4    The maximum number of places after the decimal point when units of m 3 are
                         used.

L_Prefix=m,1             The prefixes that are possible when volume is in units of Liters.
L_Prefix_factor=1e3,1    The multipliers that are used when the different prefixes are used.
L_Prefix_Switch=1        The point at which the different prefixes are changed.
L_Sig_Fig_Max=4,4        The maximum significant figures for each prefix shown in the LCD when units
                         of Liters are used.
L_Sig_Fig_Decimal=4,4    The maximum number of places after the decimal point when units of Liters
                         are used.

cm^3_Prefix=1            The prefix that is possible when volume is in units of cm3.
cm^3_Prefix_factor=1     The multiplier that is used.
cm^3_Prefix_Switch=1     If more than one prefix were possible, the point at which the different prefixes
                         are changed.
cm^3_Sig_Fig_Max=4       The maximum significant figures shown in the LCD when units of cm3 are
                         used.
cm^3_Sig_Fig_Decimal=4   The maximum number of places after the decimal point when units of cm3 are
                         used.

in^3_Prefix=1            The prefix that is possible when volume is in units of in 3.
in^3_Prefix_factor=1     The multiplier that is used.
in^3_Prefix_Switch=1     If more than one prefix were possible, the point at which the different prefixes
                         are changed.
in^3_Sig_Fig_Max=4       The maximum significant figures shown in the LCD when units of in 3 are used.
in^3_Sig_Fig_Decimal=4   The maximum number of places after the decimal point when units of in3 are
                         used.

ft^3_Prefix=1            The prefix that is possible when volume is in units of ft3.
ft^3_Prefix_factor=1     The multiplier that is used.
ft^3_Prefix_Switch=1     If more than one prefix were possible, the point at which the different prefixes
                         are changed.
ft^3_Sig_Fig_Max=4       The maximum significant figures shown in the LCD when units of ft3 are used.
ft^3_Sig_Fig_Decimal=4   The maximum number of places after the decimal point when units of ft3 are
                         used.

[Temperature]
Units=K,C,F,R            The different units that can be used for temperature.
Labbook_Sig_Fig=7        The number of significant figures that will be saved in the lab book for
                         temperature.
Labbook_Header=T         The header used in the lab book for temperature when saving data.

K_Prefix=1               The prefix that is possible when temperature is in units of Kelvin.
K_Prefix_Factor=1        The multiplier that is used.
K_Prefix_Switch=         If more than one prefix were possible, the point at which the different prefixes
                         are changed.
K_Sig_Fig_Max=5          The maximum significant figures shown in the LCD when Kelvin is used.
K_Sig_Fig_Decimal=2      The number of significant figures after the decimal point.

c_Prefix=1               The prefix that is possible when temperature is in units of Celsius.
c_Prefix_Factor=1        The multiplier that is used.
c_Prefix_Switch=         If more than one prefix were possible, the point at which the different prefixes


                                     A-18
are used.
c_Sig_Fig_Max=5             The maximum significant figures shown in the LCD when Celsius is used.
c_Sig_Fig_Decimal=2         The number of significant figures after the decimal point.

f_Prefix=1                  The prefix that is possible when temperature is in units of Fahrenheit.
f_Prefix_Factor=1           The multiplier that is used.
f_Prefix_Switch=            If more than one prefix were possible, the point at which the different prefixes
                            are changed.
f_Sig_Fig_Max=5             The maximum significant figures shown in the LCD when Fahrenheit is used.
f_Sig_Fig_Decimal=2         The number of significant figures after the decimal point.

r_Prefix=1                  The prefix that is possible when temperature is in units of Rankin.
r_Prefix_Factor=1           The multiplier that is used.
r_Prefix_Switch=            If more than one prefix were possible, the point at which the different prefixes
                            are changed.
r_Sig_Fig_Max=5             The maximum significant figures shown in the LCD when Rankin is used.
r_Sig_Fig_Decimal=2         The number of significant figures after the decimal point.

[mass]                      (This section applies to the Cylinder Experiment.)
Units=g,lbs,Tons            The different units that can be used for mass.
Labbook_Sig_Fig=5           The number of significant figures that will be saved in the lab book for mass.
Labbook_Header=m            The header used in the lab book for mass when saving data.

g_Prefix=k,M                The prefixes that are possible when the mass is in units of grams.
g_Prefix_Factor=1e-3,1e-6   The multipliers that are used when the different prefixes are used.
g_Prefix_Switch=1e6         The point at which the different prefixes are changed.
g_Sig_Fig_Max=3             The maximum significant figures shown in the LCD for each prefix when grams
                            are used.
g_Sig_Fig_Decimal=1         The number of significant figures after the decimal point.

lbs_Prefix=1,k              The prefixes that are possible when mass is in units of lbs.
lbs_Prefix_Factor=1,1e-3    The multipliers that are used when the different prefixes are used.
lbs_Prefix_Switch=1e3       The point at which the different prefixes are changed.
lbs_Sig_Fig_Max=4           The maximum significant figures shown in the LCD for each prefix when lbs
                            are used.
lbs_Sig_Fig_Decimal=2       The number of significant figures after the decimal point.

Tons_Prefix=1               The prefix that is possible when mass is in units of tons.
Tons_Prefix_Factor=1        The multiplier that is used.
Tons_Prefix_Switch=         If more than one prefix were possible, the point at which the different prefixes
                            are used.
Tons_Sig_Fig_Max=4          The maximum significant figures shown in the LCD when tons are used.
Tons_Sig_Fig_Decimal=2      The number of significant figures after the decimal point.

[moles]
Units=moles                 The unit used for moles.
Labbook_Sig_Fig=4           The number of significant figures that will be saved in the lab book for moles.
Labbook_Header=n            The header used in the lab book for moles when saving data.

moles_Prefix=1              The prefixes that are possible for moles.
moles_Prefix_Factor=1       The multipliers that are used when the different prefixes are used.
moles_Prefix_Switch=        The point at which the different prefixes are changed.
moles_Sig_Fig_Max=4         The maximum significant figures shown in the LCD for each prefix when moles
                            are used.
moles_Sig_Fig_Decimal=4     The number of significant figures after the decimal point.



                                        A-19
[Conversion_Factors]
 Pa_to_Torr=7.5006e-3                The conversion factors between different units of pressure. The numbers are
 Pa_to_psi=1.45038e-4                converted by multiplying the number in the first unit by the conversion factor.
 Pa_to_atm=9.86923e-6
 Pa_to_bar=1e-5

 m^3_to_L=1e3                        The conversion factors between different units of volume. The numbers are
 m^3_to_cm^3=1e6                     converted by multiplying the number in the first unit by the conversion factor.
 m^3_to_ft^3=35.3147
 m^3_to_in^3=61023.74

 g_to_lbs=0.00220462                 The conversion factors between different units of mass. The numbers are
 g_to_Tons=0.00000110231             converted by multiplying the number in the first unit by the conversion factor.

Preset Experiments
Located on the clipboard in the gases stockroom is a set of 15 preset experiments listed by title.
If allowed by the instructor, students can select one of these experiments and, upon returning to
the laboratory, the selected experiment will be automatically set up and running. A preset
experiment can also be used for assignments so a student can accept an assignment with the
experiment already set up for them. Preset experiments are intended to provide flexibility for the
instructor so the gases simulation can be adapted to the level of the class or the individual
teaching style of the instructor. Several experiments have already been defined and are installed
with the software. This section describes how these files can be modified.

Each preset experiment is defined using an INI file. For the preset experiments on the clipboard,
these files have the name Experimentn.ini, where n is a number between 1 and 15 and represents
experiments 1 through 15 on the clipboard. These files are located in the Presets directory in the
ChemLabG directory. For the preset experiments used in assignments, these files must be located
in the Assignments/Gases directory and can have any name, but must have the extension “.ini”.
Information on how to use preset experiments in assignments is given in the “Gases
Assignments” section. Note that in client installations, any modified preset experiments for the
clipboard must be modified for each client installation.

Given subsequently is a description of a preset experiment INI file and the variables that are used
to define an experiment. Before reviewing the INI file information, here are some important
points to keep in mind: (a) All of the variables described have default values, so variables may be
left blank or not used at all. An experiment can be set up or defined to any degree desired by the
instructor. (b) Some variables are mutually exclusive; that is, the use of one variable may mean
another variable cannot be used. Some error checking exists for such situations, but the error
checking is not comprehensive.

The following two tables show the INI variables used in preset experiments. The first lists all the
variables that can be used and their allowed values. Default values are given in red. The second
is an example of a preset experiment for a pressure experiment using water as a gas to show how
the variables can be used.




                                                 A-20
Complete Preset Experiment INI Variable List
 INI Variables                   Description
 [Title]
 Title=Cylinder Experiment Ideal                   Sets the title of the experiment as shown on the clipboard. Not used for preset
                                                   electronic assignments.

 [Experiment]
 Experiment_Num=0,1,2,3,4                          Defines which experiment will be used.

 Gas=N2, CO2, CH4, H2O, NH3, He, vdw,              Defines which gas will be used. If an ideal gas mixture is used, use a comma
 Ideal1, Ideal2, Ideal3, Ideal4, Ideal5, Ideal6,   to separate the gases.
 Ideal7, Ideal8

 VDWa=                                             Sets the a and b parameters for a van der Waals gas. These only need to be
 VDWb=                                             present if a van der Waals gas is selected.

 Temperature_K= (Default = 298)                    Sets the temperature of the experiment in Kelvin if temperature is not the
                                                   dependent variable.
 Pressure_Pa= (Default =100000 for Balloon         Sets the pressure of the experiment in Pascals if pressure is not the
 Experiment, 0 for Temperature and Cylinder        dependent variable. For the Cylinder Experiment, this sets the external
 Experiment.)                                      pressure.
 moles=                                            Sets the number of moles in the experiment. If an ideal gas mixture is used,
                                                   separate each amount by a comma and the moles will be matched with the
                                                   corresponding gas.
 Volume_m^3= (Default = 0.004 for                  Sets the volume of the experiment if volume is not the dependent variable.
 Pressure and Temperature Experiments)
 mass_kg= (Default =0)                             Sets the mass on the piston for the Cylinder Experiment.

 prePiston_Temp_K= (Default = 273)                 Used for pre piston calculations if the piston is turned on in the Cylinder
                                                   Experiment.
 prePiston_Pressure_Pa= (Default =                 Sets the internal pressure in the Cylinder Experiment.
 506.625e3)

 Temperature_Unit= K,C,F,R (Default = K)           Sets the starting unit for temperature.
 Pressure_Unit= Pa,atm,psi,Torr,bar                Sets the starting unit for pressure.
 (Default = Pa)
 Volume_Unit= m^3,L,cm^3,in^3,ft^3                 Sets the starting unit for volume.
 (Default = m^3)
 mass_Unit= g,lbs,Tons (Default = g)               Sets the starting unit for mass in the Cylinder Experiment.
 Internal_Pressure_Unit= Pa,atm,psi,Torr,          Sets the starting unit for the internal pressure in the Cylinder Experiment.


 GasAttached=1, yes, 0, no (Default = no)          Defines whether the gas is already attached to the experiment.
 AttachedGas=                                      Used only if a mixture is selected. It defines which gas is attached.
 RegulatorPosition=0-10 (Default = 6)              Defines the position of the regulator needle if the gas is attached.

 PistonOn=1, yes, 0, no (Default = no)             Sets the piston as on or off in the Cylinder Experiment.

 Ideal_Real=Ideal, Real (Default = Real)           Sets the gas tanks to show either the real gases or the ideal gases.

 Zoom=yes, no (Default = no)                       Sets the initial view of the experiment as zoomed in (yes) or zoomed out (no).




                                                                A-21
An Example Pressure Preset Experiment
 INI Variables                   Description

 [Title]
 Title=Pressure Experiment H2O        Defines the title of the experiment as shown on the clipboard. Not used for
                                      preset assignments.

 [Experiment]
 Experiment_Num=2                     Defines the experiment as the Pressure Experiment.

 Gas=H2O                              Defines the gas to be used as H2O

 Temperature_K=400                    Sets the initial temperature to 400 Kelvin.
 Pressure_Pa=                         Pressure is the dependent variable in this experiment.
 moles=.1                             Sets the number of moles in the experiment to 0.1.

 Volume_m^3=0.004                     Sets the volume of the experiment to 0.004 m3.

 Temperature_Unit=K                   Sets the starting temperature unit as Kelvin.
 Pressure_Unit=atm                    Sets the starting pressure unit as atm.
 Volume_Unit=L                        Sets the starting volume unit as L.

 GasAttached=Yes                      Attaches the gas to the experiment.
 AttachedGas=H2O                      Sets the attached gas as H2O.
 RegulatorPosition=6                  Sets the gas needle on the regulator to position 6.

 Ideal_Real=Real                      Sets the gases in the lab to be the real gases.


Titration INI Files
The titration laboratory allows students to perform precise, quantitative titrations involving acid-
base and electrochemical reactions. Much of the operation of the laboratory and the parameters
defining the experiments is controlled using INI variables located in the files Lab Variables.ini,
Acidn.ini or Basen.ini, Indicators.ini, Oxidantn.ini, Reductantn.ini, and Saltn.ini located in the
Reagents directory in the ChemLabT directory. The variables in LabVariables.ini generally
control aspects of the laboratory as a whole, and the Indicators.ini file defines the indicators that
can be used for acid-base titrations. Each acid, base, oxidant, reductant, or salt file defines a
bottle in the titration stockroom where n designates the bottle position on the shelf. There is one
additional set of INI files and these define the preset experiments located on the stockroom.
Described in each of the following sections are the INI variables contained in each of these INI
files. The purpose for providing this information is to grant instructors the ability to change or
adjust the titration simulation to suit their own needs.

Lab Variables.ini
 INI Variables                        Description
 [General]
 Base_Lab_pressure=760                Every day a new random pressure is calculated that will be the same for each
                                      member in a class. This the initial base pressure for the lab in Torr.
 Plus_Minus_pressure=15               The min/max spread in pressure.
 %Humidity=50                         The percent humidity in the lab.
 Labbook_Data_Line_Limit=1000         The maximum number of lines of titration data saved in one link before a new



                                                  A-22
link is automatically started.
Labbook_Plot_Point_Limit = 100   The maximum number of points that will be plotted on the graph.

[pH Meter]
pH_Slope_%dev=200                The amount of deviation in the slope of an uncalibrated pH meter.
pH_Intercept_Max=4               The maximum intercept for an uncalibrated pH meter.
pH_Flicker_Time=4                The amount of time between flicker calculations for the pH meter display.
pH_Flicker_Max=.01               The maximum amount the pH meter can flicker above or below the true value.
pH_Min=0                         The minimum pH possible.
pH_Max=14                        The maximum pH possible.

[Voltmeter]
Volt_Max_Flicker=0               The maximum amount the voltmeter can flicker above or below the true value.
Volt_Flicker_Time=4              The amount of time between flicker calculations for the voltmeter display.
Volt_Graph_Min=-5                The minimum voltage possible on a voltage graph.
Volt_Graph_Max=5                 The maximum voltage possible on a voltage graph.
Volt_Calc_Min=-5                 The minimum voltage possible for the EMF calculation.
Volt_Calc_Max=5                  The maximum voltage possible for the EMF calculation.

[Conductivity Meter]
Conductivity_Max_Flicker=.01     The maximum amount the conductivity meter can flicker above or below the
                                 true value.
Conductivity_Flicker_Time=3      The amount of time between flicker calculations for the conductivity display.

[Graph Tool]
Plot_View_Coords=70,8,329,179    The coordinates for the graph in the plot window.
ph_color=55,75,255               The RGB values for the color of the pH line on the graph.
conductivity_color=255,55,55     The RGB values for the color of the conductivity line on the graph.
tick_line_color=55,55,55         The RGB values for the color of the tick marks on the graph.
Label_Text_Size=6                The font size for the graph labels.

[Balance]
Weights_Density=8                The density of the calibration weights.
Balance_Flicker_Max=.0001        The maximum amount the balance can flicker above or below the true value.
Balance_Flicker_Time=2.5         The amount of time between flicker calculations for the balance display.
Weigh_paper_mass=.225            The average mass of the weigh paper.
Weigh_paper_mass_%dev=5          The maximum percent deviation for each weigh paper from the average mass.
Level1=0.01                      The masses of solid added for each scoop size on the side of the bottle.
Level2=0.05
Level3=0.1
Level4=0.2
Level5=0.5
Solid_%dev=5                     The maximum percent deviation for each scoop size when solid is added onto
                                 the balance.
Weigh_paper_amount_1=.01         The mass of solid represented by the graphic for each pile of solid.
Weigh_paper_amount_2=.1
Weigh_paper_amount_3=.5
Weigh_paper_amount_4=1
Weigh_paper_amount_5=2
Weigh_paper_amount_6=4
Weigh_paper_amount_7=6
Weigh_paper_amount_8=8
Weigh_paper_amount_9=11
Weigh_paper_amount_10=15

[Glassware]


                                             A-23
Beaker_mass=100               The average mass of each beaker.
Beaker_mass_%dev=5            The maximum percent deviation of each beaker from the average mass.
Beaker_vol=.250               The average volume of each beaker.
Beaker_vol_%dev=.7            The maximum percent deviation of each beaker from the average volume.
Beaker_overflow_vol=.300      The volume at which the beaker overflow animation will be played.
BuretRandom_%dev=.16          The maximum percent deviation from true volume.
Buret_%dev=.1                 The applied error to the true buret volumes.
PipetRandom_%dev=.32          The maximum percent deviation from true volume for the pipets.
Pipet_%dev=.12                The maximum percent deviation from the true volume for the pipets
Grad_vol1=.005                The average volume of the graduated cylinders.
Grad_vol2=.010
Grad_vol3=.025
Grad_vol4=.050
Grad_%dev=.5                  The maximum percent deviation from the actual volume for the graduated
                              cylinders.
WaterBottle_vol=.001          The average volume delivered by the water bottle.
WaterBottle_%dev=10           The maximum percent deviation from the average volume delivered by the
                              water bottle.

[Stir plate]
Rate_On=1                     The time that it takes in seconds, with the stir plate on, for the meters to
                              display the newly calculated values after something is added from the buret
                              into the beaker.
Rate_Off=5                    The time that it takes in seconds, with the stir plate off, for the meters to
                              display the newly calculated values after something is added from the buret
                              into the beaker.

[Buret flow rate]
Position2=0.5 drops/sec       The rate at which the buret solution is delivered to the beaker when the
                              stopcock is at position 2. Specified in drops/sec or mL/sec.
Position3=2.0 drops/sec       The rate at position 3.
Position4=0.5 mL/sec          The rate at position 4.
Position5=1 mL/sec            The rate at position 5.
Drop_vol_mL= 0.0544           The average volume of each drop.
Vol_%dev=5                    The maximum percent deviation from the average drop size.

[Other flow rates]
bottle_flow=20 mL/sec         The rate at which liquids flow from the bottle in mL/sec.
sink_flow=30 mL/sec           The rate at which water is delivered from the sink in mL/sec.
flow_delay_sec=0.5            The time in seconds after a bottle is positioned over the buret or a beaker
                              under the sink or a graduated cylinder over a beaker, etc. before the volume
                              starts to be delivered.

[Iterations]
Allowed_dev_charge=.0000001   The maximum percent deviation of the initial possible minimum and maximum
                              pH’s.
Allowed%dev_VolT=.001         The maximum percent deviation of the final iteration from the preceding
                              iteration in acid-base titration calculations.
Allowed%dev_VolR=.01          The maximum percent deviation of the final iteration from the preceding
                              iteration in redox titration calculations.
Allowed%dev_IonicS=.000001    The maximum percent deviation of the final iteration from the preceding
                              iteration of the activity coefficients.




                                          A-24
Acidn.ini or Basen.ini
INI Variables                                Description
[General]
Name=                                        Long name that pops up when the bottle is moused over.
Short_name=                                  Name that appears on the bottle.
Phase=solid, aqueous                         Phase of the substance.
Color=(clear, white, yellow, pink, orange,   Color of the substance.
red, green, blue, purple, darkgreen,
darkred, darkblue, or darkpurple)
Unknown=yes,no                               Defines whether or not the reagent can be made into an unknown.

[Solids]                                     This section applies only to reagents that are solids.
MW=                                          The molecular weight of the reagent.
Density=                                     The density of the reagent.
Max_Conc=                                    The maximum concentration allowed for the reagent when mixed with water.
%Weight=                                     The weight percent (impurity) for the reagent on the stockroom shelf.
%Weight_Min=                                 The minimum weight percent allowed when making unknowns.
%Weight_Max=                                 The maximum weight percent allowed when making unknowns.
%Wt_Init_Min=                                The initial minimum weight percent when creating an unknown.
%Wt_Init_Max=                                The initial maximum weight percent when creating an unknown.
Impurity=                                    Defines what the impurity is in solids that are not 100% pure. The impurity is
                                             defined by specifying the name of the INI file representing the impurity (usually
                                             NaCl).

[Aqueous Solutions]                          This section applies only to aqueous solutions.
Conc=                                        The concentration given in mol/L or ‘random’. If a concentration is given, then
                                             that concentration is fixed at startup. If ‘random’ is given, then a random
                                             concentration between the minimum and maximum is used at startup.
Conc_Min=                                    The minimum concentration allowed when making unknowns.
Conc_Max=                                    The maximum concentration allowed when making unknowns.
Conc_Init_Min=                               The initial minimum concentration when creating unknowns.
Conc_Init_Max=                               The initial maximum concentration when creating unknowns.

[Initial species]
1=HP,1-                                      The initial species of acid or base after it has dissociated in water and its
                                             charge.
M_1=1                                        The stoichiometric coefficient of initial species.
Z1=-1                                        The charge of initial species.
Inert_ion=K,1+                               The charge of inert ion.
M_inert_ion=1                                The stoichiometric coefficient of inert ion.
Z_inert_ion=1                                The charge of inert ion

[Reaction species]
2=P,2-                                       The species in solution and its charge after the first species dissociates. 2-4
3=                                           are acidic species (3-4 are for the species of polyprotic acids) and 5-7 are
4=                                           basic species (6-7 are for the species of polybasic bases).
5=H2P
6=
7=

[Equilibrium constants]
Ka1=3.908E-06                                The equilibrium constants for the acid and conjugate base or base and
Ka2=0                                        conjugate acid. More than one set of equilibrium constants is defined for
Ka3=0                                        polyprotic acids or polybasic bases.
Kb1=8.995E-12


                                                          A-25
Kb2=0
 Kb3=0

 [Activity coefficients]
 HR1=700                     The hydrated radius of each species.
 HR2=700
 HR3=
 HR4=
 HR5=0
 HR6=
 HR7=
 HR_inert_ion=300

 [Conductivity]
 1ec=30                      The conductance (   o
                                                     ) of the species.
 2ec=45
 3ec=
 4ec=
 5ec=0
 6ec=
 7ec=
 Inert_ion_ec=73.48

 [Partial Molal Volume]
 V1=83.0                     The partial molal volume of each species in cm3/mol.
 V2=106.3
 V3=
 V4=
 V5=115
 V6=
 V7=
 V_inert_ion=9.02

 [Molecular Weight]
 MW1=165.124                 The molecular weight of each dissociated species.
 MW2=164.115
 MW3=
 MW4=
 MW5=166.132
 MW6=
 MW7=
 MW_inert_ion=39.098

Indicators.ini
 INI Variables             Description
 [General]
 Acid_Start=1.8            The following variables define the pH chart in the lab view and popup view
 Base_End=1.8

 [Popup]
 Vertical_Pos=-2
 Bar_Height=11
 Label_Font_Size=12.5
 Transistion_Range=5



                                         A-26
[TitrationLab]
Vertical_Pos=0
Bar_Height=2
Label_Font_Size=3
Transistion_Range=1

[Color]
Yellow=254,254,7           The RGB values to use for each color.
Red=214,49,63
Purple=211,164,218
Pink=255,164,188
Blue=132,214,250
Clear=230,231,231
DarkBlue=53,51,143
DarkGreen=60,83,55
DarkPurple=73,42,79
DarkRed=99,51,65
Green=91,182,138
Orange=246,114,23

[Bottle 1]
Name=Methyl violet         The name of the indicator in the first bottle.
Short_name=Met V           The name that appears on the bottle label.
Transition1_Start=0.1      The pH at which the color begins to change for the first transition.
Transition1_End=1.6        The pH at which the color change is complete for the first transition.
Acid_color=Yellow          The color of the indicator on the acid side of the transition.
Mix1_color=blue            The color of the indicator in between the beginning and ending pH of the first
                           transition.
Base1_color=purple         The color of the indicator after the first transition.
Transition2_Start=         The pH at which the color begins to change for the second transition.
Transition2_End=           The pH at which the color change is complete for the second transition.
Mix2_color=                The color of the indicator in between the beginning and ending pH of the second
                           transition.
Base2_color=               The color of the indicator after the second transition.
                           This is duplicated for bottles 2 through 8.

Oxidantn.ini
INI Variables              Description
[General]
Name=Permanganate - Acid   Long name that pops up when the bottle is moused over.
Short_name=KMnO4           Name that appears on the bottle.
Solution=Acid              Defines the oxidant as being in acidic, neutral, or basic solution.
Phase=aqueous              Phase of the substance.
Color=darkpurple           Color of the substance. (See Acid/Base file for list of colors.)
Unknown=yes                Defines whether or not the reagent can be made into an unknown.

[Solids]                   This section applies only to reagents that are solids.
MW=                        The molecular weight of the reagent.
Density=                   The density of the reagent.
Max_Conc=                  The maximum concentration allowed for the reagent when mixed with water.
%Weight=                   The weight percent (impurity) for the reagent on the stockroom shelf.
%Weight_Min=               The minimum weight percent allowed when making unknowns.
%Weight_Max=               The maximum weight percent allowed when making unknowns.
%Wt_Init_Min=              The initial minimum weight percent when creating an unknown.
%Wt_Init_Max=              The initial maximum weight percent when creating an unknown.


                                          A-27
Impurity=             Defines what the impurity is in solids that are not 100% pure. The impurity is
                      defined by specifying the name of the INI file representing the impurity (usually
                      NaCl).

[Aqueous Solutions]   This section applies only to reagents that are aqueous.
Conc=0.02             The concentration given in mol/L or ‘random’. If a concentration is given, then
                      that concentration is fixed at startup. If ‘random’ is given, then a random
                      concentration between the minimum and maximum is used at startup.
Conc_Min=0.005        The minimum concentration allowed when making unknowns.
Conc_Max=0.08         The maximum concentration allowed when making unknowns.
Conc_Init_Min=.001    The initial concentration percent when creating an unknown.
Conc_Init_Max=.01     The initial concentration percent when creating an unknown.
Water_EMF=1.368       The EMF when the oxidant is in water by itself.

[Acid_Base]
Acid_Base_Conc=2.0    The concentration of the acid or base in the solution.
Cat=H,1+              The cationic species and charge.
M_Cat=1               The stoichiometric coefficient of cation.
Z_Cat=1               The charge of cation.
Ani=Cl,1-             The anionic species and charge.
M_Ani=1               The stoichiometric coefficient of anion.
Z_Ani=-1              The charge of anion.

[Inert ion]
Inert_ion=K,1+        Identification and charge of inert species.
M_inert_ion=1         The stoichiometric coefficient of inert species.
Z_inert_ion=1         The charge of inert species.
HR_inert_ion=300      The hydrated radius of inert species.
Inert_ion_ec=73.48    The equivalent conductance ( o) of inert ion.
V_Inert_ion=9.02      The partial molal volume of the inert ion in cm 3/mol.
MW_Inert_ion=39.098   The molecular weight of the inert species.

[Half reaction]       The half reaction for each oxidizing agent is cR2+fX+oH++nRe - aR1+eW+mOH-.
                      If a part is not applicable, then it will be left blank. R1 is the oxidizing agent, R2 is
                      the reducing agent produced, and X and W are other species involved in the half
                      reaction.
SEP=1.507             The standard reduction potential in volts.
R1=MnO4,1-            The species that is reduced and its charge.
M_R1=1                The stoichiometric coefficient of the species that is reduced.
Z_R1=-1               The charge of the species that is reduced.
R1_color=darkpurple   The color of the species that is reduced.
R1_phase=aqueous      The phase of species that is reduced.
a=1                   The stoichiometric coefficient for R1
W=                    The species for W
Z_W=                  The charge for W
W_phase=              The phase for W
e=                    The stoichiometric coefficient for W
m=8                   The stoichiometric coefficient for OH
nR=5                  The stoichiometric coefficient for e -
R2=Mn,2+              The species after it has been reduced and its charge.
Z_R2=2                The charge of the reduced species.
R2_color=clear        The color of the reduced species.
R2_phase=aqueous      The phase of the reduced species.
c=1                   The stoichiometric coefficient for R2
X=H2O                 The species for X.
Z_X=0                 The charge for X.


                                      A-28
X_phase=liquid                       The phase for X.
f=4                                  The stoichiometric coefficient for X.
o=                                   The stoichiometric coefficient for H+

[Activity coefficients]
HR_R1=350                            The hydrated radius of R1.
HR_W=                                The hydrated radius of W.
HR_R2=600                            The hydrated radius of R2.
HR_X=0                               The hydrated radius of X.
HR_Cat=900                           The hydrated radius of the cation of the acid or base.
HR_Ani=300                           The hydrated radius of the anion of the acid or base.

[Conductivity]
R1_ec=67                             The equivalent conductance (     o
                                                                        ) of R1.
W_ec=                                The equivalent conductance (     o
                                                                        ) of W.
R2_ec=110                            The equivalent conductance (     o
                                                                        ) of R2.
X_ec=                                The equivalent conductance (     o
                                                                        ) of X.
Cat_ec=349.65                        The equivalent conductance (     o
                                                                        ) of the cation of the acid or base.
Ani_ec=76.31                         The equivalent conductance (     o
                                                                        ) of the anion of the acid or base.

[Partial Molal Volume]
V_R1=42.5                            The partial molal volume of R1 in cm3/mol.
V_W=                                 The partial molal volume of W in cm3/mol.
V_R2=-17.7                           The partial molal volume of R2 in cm3/mol.
V_X=                                 The partial molal volume of X in cm3/mol.
V_Cat=0                              The partial molal volume of the cation of the acid or base in cm3/mol.
V_Ani=17.83                          The partial molal volume of the anion of the acid or base in cm3/mol.

[Molecular Weight]
MW_R1=118.934                        The molecular weight of R1.
MW_W=                                The molecular weight of W.
MW_R2=54.938                         The molecular weight of R2.
MW_X=18.015                          The molecular weight of X.
MW_cat=1.008                         The molecular weight of the cation of the acid or base.
MW_ani=35.453                        The molecular weight of the anion of the acid or base.

Reductantn.ini
[General]
Name=Iron(II) Chloride               Long name that pops up when the bottle is moused over.
Short_name=FeCl2                     Name that appears on the bottle.
Phase=solid (or liquid or aqueous)   Phase of the substance.
Color=green                          Color of the substance in water. (See Acid/Base file for list of colors.)
Unknown=yes                          Defines whether or not the reagent can be made into an unknown.

[Solids]                             This section applies only to reagents that are solids.
MW=151.909                           The molecular weight of the reagent.
Density=3.16                         The density of the reagent.
Max_Conc=5.1                         The maximum concentration allowed for the reagent when mixed with water.
%Weight=90                           The weight percent (impurity) for the reagent on the stockroom shelf.
%Weight_Min=50                       The minimum weight percent allowed when making unknowns.
%Weight_Max=100                      The maximum weight percent allowed when making unknowns.
%Wt_Init_Min=80                      The initial minimum weight percent when creating an unknown.
%Wt_Init_Min=90                      The initial maximum weight percent when creating an unknown.
Impurity=NaCl                        Defines what the impurity is in solids that are not 100% pure. The impurity is
                                     defined by specifying the name of the INI file representing the impurity (usually


                                                    A-29
NaCl).

[Aqueous Solutions]     This section applies only to reagents that are aqueous.
Conc=                   The concentration given in mol/L or ‘random’. If a concentration is given, then
                        that concentration is fixed at startup. If ‘random’ is given, then a random
                        concentration between the minimum and maximum is used at startup.
Conc_Min=               The minimum concentration allowed when making unknowns.
Conc_Max=               The maximum concentration allowed when making unknowns.
Conc_Init_Min=          The initial concentration percent when creating an unknown.
Conc_Init_Max=          The initial concentration percent when creating an unknown.
Water_EMF=1.368         The EMF when the reductant is in water by itself.

[Neutral species]       Species present in neutral solution (not an acidic or basic solution).
O1=Fe,2+                The species that is reduced and its charge.
M_O1=1                  The stoichiometric coefficient of the species that is reduced.
Z_O1=2                  The charge of the species that is reduced.
O1_color=clear          The color of species that is reduced.
O1_phase=aqueous        The phase of species that is reduced.

[Inert ion]
Inert_ion=Cl,1-         Identification and charge of inert species.
M_inert_ion=2           The stoichiometric coefficient of inert species.
Z_inert_ion=-1          The charge of inert species.
HR_inert_ion=300        The hydrated radius of inert species.
Inert_ion_ec=76.31      The equivalent conductance ( o) of the inert ion.
V_Inert_ion=17.83       The partial molal volume of the inert ion in cm 3/mol.
MW_Inert_ion=35.453     The molecular weight of inert species.

[Half reaction(acid)]   The half reaction for each reducing agent is dO2+hZ+nH++nOe- bO1+gY+pOH-.
                        If a part is not applicable, then it will be left blank. O1 is the reducing agent, O2 is
                        the oxidizing agent produced, and Z and Y are other species involved in the half
                        reaction. The following section applies to reactions in acidic solution.
SEP=0.732               The standard reduction potential in volts.
O1=Fe,2+                The species that is reduced and its charge.
M_O1=1                  The stoichiometric coefficient of the species that is reduced.
Z_O1=2                  The charge of the species that is reduced.
O1_color=clear          The color of the species that is reduced.
O1_phase=aqueous        The phase of the species that is reduced.
b=1                     The stoichiometric coefficient for O1.
Y=                      The species for Y.
Z_Y=                    The charge for Y.
Y_phase=                The phase for Y.
g=                      The stoichiometric coefficient for Y.
p=                      The stoichiometric coefficient for OH-.
nO=1                    The stoichiometric coefficient for e -.
O2=Fe,3+                The species after it has been reduced and its charge.
Z_O2=3                  The charge of reduced species.
O2_color=clear          The color of reduced species.
O2_phase=aqueous        The phase of reduced species.
d=1                     The stoichiometric coefficient for O2.
Z=                      The species for Z.
Z_Z=                    The charge for Z.
Z_phase=                The phase for Z
h=                      The stoichiometric coefficient for Z.
n=                      The stoichiometric coefficient for H+.



                                        A-30
[Activity coefficients(acid)]
HR_O1=600                       The hydrated radius of O1.
HR_Y=                           The hydrated radius of Y.
HR_O2=900                       The hydrated radius of O2.
HR_Z=                           The hydrated radius of Z.

[Conductivity(acid)]
O1_ec=108                       The equivalent conductance (      o
                                                                    ) of O1.
Y_ec=                           The equivalent conductance (      o
                                                                    ) of Y.
O2_ec=204                       The equivalent conductance (      o
                                                                    ) of O2.
Z_ec=                           The equivalent conductance (      o
                                                                    ) of Z.

[Partial Molal Volume(acid)]
V_O1=-24.7                      The partial molal volume of O1 in cm3/mol.
V_Y=                            The partial molal volume of Y in cm3/mol.
V_O2=-43.7                      The partial molal volume of O2 in cm3/mol.
V_Z=                            The partial molal volume of Z in cm3/mol.

[Molecular Weight(acid)]
MW_O1=55.847                    The molecular weight of O1.
MW_Y=                           The molecular weight of Y.
MW_O2=55.847                    The molecular weight of O2.
MW_Z=                           The molecular weight of Z.

[Half reaction(base)]           Repeat for basic half reaction.
SEP=-0.86
O1=Fe(OH)2
M_O1=1
Z_O1=0
O1_color=green
O1_phase=solid
b=2
Y=
Z_Y=
Y_phase=
g=
p=2
nO=1
O2=Fe2O3
Z_O2=0
O2_color=red
O2_phase=solid
d=1
Z=H2O
Z_Z=0
Z_phase=liquid
h=3
n=

[Activity coefficients(base)]
HR_O1=
HR_Y=
HR_O2=
HR_Z=

[Conductivity(base)]


                                               A-31
O1_ec=0
 Y_ec=
 O2_ec=0
 Z_ec=0

 [Partial Molal Volume(base)]
 V_O1=
 V_Y=
 V_O2=
 V_Z=

 [Molecular Weight(base)]
 MW_O1=89.861
 MW_Y=
 MW_O2=159.691
 MW_Z=18.015

Saltn.ini
 [General]
 Name=Barium Chloride           Long name that pops up when the bottle is moused over.
 Short_name=BaCl2               Name that appears on the bottle.
 Phase=solid                    Phase of the substance.
 Color=white                    Color of the substance in water. (See Acid/Base file for list of colors.)

 [Solids]                       These are assumed to be pure.
 MW=208.233                     The molecular weight of substance.
 Density=3.856                  The density of substance.
 Max_Conc=1.8                   The maximum concentration when dissolved in water.

 [Aqueous Solutions]
 Conc=                          The concentration of substance.

 [Species]
 Cat=Ba,2+                      The species from the compound that becomes the cation and its charge.
 M_Cat=1                        The stoichiometric coefficient of the cation.
 Z_Cat=2                        The charge of the cation.
 Ani=Cl,1-                      The species from the compound that becomes the anion and its charge.
 M_Ani=2                        The stoichiometric coefficient of the anion.
 Z_Ani=-1                       The charge of the anion.

 [Activity coefficients]
 HR_Cat=500                     The hydrated radius of the cation.
 HR_Ani=300                     The hydrated radius of the anion.

 [Conductivity]
 Cat_ec=130                     The equivalent conductance (     o
                                                                     ) of the cation.
 Ani_ec=76.31                   The equivalent conductance (     o
                                                                     ) of the anion.

 [Partial Molal Volume]
 V_Cat=-12.47                   The partial molal volume of the cation in cm3/mol.
 V_Ani=17.83                    The partial molal volume of the anion in cm3/mol.

 [Molecular Weight]
 MW_cat=137.327                 The molecular weight of the cation.
 MW_ani=35.453                  The molecular weight of the anion.



                                               A-32
Preset Experiments
Located on the clipboard in the titration stockroom is a set of 15 preset experiments listed by
title. If allowed by the instructor, students can select one of these experiments and, upon
returning to the laboratory, the selected experiment will be automatically set up and running.
Preset experiments are intended to provide flexibility for the instructor so the titration simulation
can be adapted to the level of the class or the individual teaching style of the instructor. Several
experiments have already been defined and are installed with the software. This section describes
how these files can be modified.

Each preset experiment is defined using an INI file. For the preset experiments on the clipboard,
these files have the name Experimentn.ini, where n is a number between 1 and 15 and represents
experiments 1 through 15 on the clipboard. These files are located in the Presets directory in the
ChemLabT directory. Note that in client installations, any modified preset experiments for the
clipboard must be modified for each client installation.

Given subsequently is a description of a preset experiment INI file and the variables that are used
to define an experiment. Before reviewing the INI file information, here are some important
points to keep in mind: (a) All of the variables described have default values, so variables may be
left blank or not used at all. An experiment can be set up or defined to any degree desired by the
instructor. (b) Some variables are mutually exclusive; that is, the use of one variable may mean
another variable cannot be used. Some error checking exists for such situations, but the error
checking is not comprehensive.

The following two tables show the INI variables used in preset experiments. The first lists all the
variables that can be used and their allowed values. Default values are given in red. The second
is an example of a preset experiment for a strong acid vs. polyprotic acid titration to show how
the variables can be used.

Complete Titration Preset Experiment INI Variable List
 [Title]
 Title=Polyprotic Acid Strong Base The title of the preset experiment.
 Unknown

 [General]
 ActivityCoefficient=0,1 (Default = 1)   Sets whether the activity coefficients are on or off. On is 1.
 IndicatorUsed=0-8 (Default = 0)         Sets which indicator is used based on the number of each indicator in the
                                         indicator.ini file. Zero is none.

 [pH Volt Meter]
 Calibrated=0,1 (Default = 1)            Sets whether the pH/voltmeter is already calibrated. 1 is calibrated.
 Window_Open=0,1 (Default = 1 if the     Sets whether the pH/voltmeter window is open. Zero is closed.
 probe is in the beaker)
 In_Beaker=0,1 (Default = 1)             Sets whether the pH/voltmeter probe is in the beaker or in the rack. Zero is in the
                                         rack.

 [Conductivity Meter]
 In_Beaker=0,1 (Default = 1)             Sets whether the conductivity meter is in the beaker or in the rack. Zero is in the
                                         rack.
 Window_Open=0,1 (Default = 1 if the     Sets whether the conductivity meter window is open. Zero is closed.
 probe is in the beaker)



                                                        A-33
[Unknowns]
Bottle=1,2,3                       Defines which bottle is the unknown. 1-3 are possible. The numbers refer to the
                                   bottle numbers below.
Unknown1= s1                       Sets the random concentration or percent weight seed (sn) for unknown
Unknown2= s2                       concentrations. The actual concentration assigned to each unknown is
Unknown3= s3                       determined using the first set of equations for solutions and the second for solids:
Unknown4= s4
Unknown5= s5                                     15sin / 3 + 2.5si2 + 30.9si4
                                   xi = si n+
                                                           3+ si + n
Unknown6= s6                             (
                                   [M] = xi 1000     ) ([M]                 )
                                                                      [M] min + [M] min
                                                              max
Unknown7= s7
Unknown8= s8
                                                   sin / 4 + 342.5si2 + 0.9si3
                                   yi = n +
                                                            3 + si + 10n
Unknown9= s9                                 (
                                   wt% = yi 1000      ) (wt%                    )
                                                                        wt% min + wt% min
                                                                max
Unknown10= 10s
Unknown11= s11                     where si is the seed for unknown i and n is the unknown number.
Unknown12= s12
Unknown13= s13
Unknown14= s14
Unknown15= s15

[Bottle 1]
Filename=                          Defines which reagent will be used for bottle 1. Given by INI file name.
Conc=                              Sets the concentration if the reagent is a solution. If it is an unknown,
                                   concentration is calculated using seed above. If it is blank but not an unknown, it
                                   uses the default value, defined in the INI file for the reagent.
%Weight=                           Sets the percentage weight if the reagent is a solid. If it is an unknown,
                                   concentration is calculated using seed above. If it is blank but not an unknown, it
                                   uses the default value, defined in the INI file for the reagent.
Position=1,2,3, or 4 for a solid   Defines the position of the bottle in the lab.

[Bottle 2]
Filename=                          Defines which reagent will be used for bottle 2. Given by INI file name.
Conc=                              Sets the concentration if the reagent is a solution. If it is an unknown,
                                   concentration is calculated using seed above. If it is blank but not an unknown, it
                                   uses the default value, defined in the INI file for the reagent.
%Weight=                           Sets the percentage weight if the reagent is a solid. If it is an unknown,
                                   concentration is calculated using seed above. If it is blank but not an unknown, it
                                   uses the default value, defined in the INI file for the reagent.
Position=1,2,3, or 4 for a solid   Defines the position of the bottle in the lab.

[Bottle 3]
Filename=                          Defines which reagent will be used for bottle 3. Given by INI file name.
Conc=                              Sets the concentration if the reagent is a solution. If it is an unknown,
                                   concentration is calculated using seed above. If it is blank but not an unknown, it
                                   uses the default value, defined in the INI file for the reagent.
%Weight=                           Sets the percentage weight if the reagent is a solid. If it is an unknown,
                                   concentration is calculated using seed above. If it is blank but not an unknown, it
                                   uses the default value, defined in the INI file for the reagent.
Position=1,2,3, or 4 for a solid   Defines the position of the bottle in the lab.




                                                    A-34
[Buret]
 Bottle=1,2,3                          Defines which reagent is in the buret. Numbers correspond to bottles 1, 2, and 3
                                       above. No salts are allowed in buret. Only one bottle is possible.
 Amount=                               Sets the volume of above bottle to put in the buret. Use “full” to fill buret.
 Water_mL= (Default = 0)               Sets the volume of water to put in the buret.
 Window_Open=0,1 (Default = 1)         Sets whether the buret window will be open. Zero is closed.
 Graph_Window_Open=0,1 (Default = 0)   Sets whether graph window will be open. Zero is closed. If buret window is
                                       closed, graph window will also be closed.

 [Stir Plate]
 Active=0,1 (Default = 1)              Sets whether beaker is on the stir plate. Zero means the beaker is not there.
 Bottle_1=1,2,3                        Sets which reagent is in the beaker. Numbers correspond to bottles 1, 2, and 3
                                       above.
 Amount_1=                             Sets how much of first bottle is in the beaker. Given in mL or in grams depending
                                       on whether it is a liquid or a solid.
 Bottle_2=                             Sets which reagent is in the beaker. Numbers correspond to bottles 1, 2, and 3
                                       above. Bottle 2 can only be a salt.
 Amount_2=                             Sets how much of second bottle is in the beaker. Given in mL or in grams
                                       depending on whether it is a liquid or a solid.
 Water_mL=                             Sets how much water is in the beaker.
 On=0,1 (Default = 1)                  Sets whether the stir plate is on. Zero means the stir plate is off.

Example Titration Preset Experiment
 [Title]
 Title=Strong Acid Polybasic Base The title of the preset experiment.
 Unknown

 [General]
 ActivityCoefficient=1                 Sets the activity coefficients as on.
 IndicatorUsed=3                       Sets the indicator as Thymol blue.


 [pH Volt Meter]
 Calibrated=1                          Sets the pH meter as calibrated.
 Window_Open=1                         Sets the pH meter window to be open.
 In_Beaker=1                           Sets the pH probe to be in the beaker

 [Conductivity Meter]
 In_Beaker=1                           Sets the conductivity probe to be in the beaker.
 Window_Open=1                         Sets the conductivity window as open.

 [Unknowns]
 Bottle=2                              Defines bottle 2 to be the unknown.
 Unknown1=75                           Sets the percent weight seed for unknown concentrations as 75.
 Unknown2=75
 Unknown3=75
 Unknown4=75
 Unknown5=75
 Unknown6=75
 Unknown7=75
 Unknown8=75
 Unknown9=75
 Unknown10=75
 Unknown11=75
 Unknown12=75
 Unknown13=75


                                                      A-35
Unknown14=75
 Unknown15=75

 [Bottle 1]
 Filename=Acid5.ini                Defines bottle 1 as Acid5.
 Conc=.2463                        Sets the concentration of the reagent.
 Position=1                        Puts the bottle at position 1.

 [Bottle 2]
 Filename=Base6.ini                Defines bottle 2 as Base6.
 %Weight=                          This is the unknown – no percentage weight is set.
 Conc=
 Position=2                        Puts the bottle at position 2.

 [Bottle 3]                        There are no inert salts in this experiment.

 [Buret]
 Bottle=1                          Defines bottle 1 as the reagent in the buret.
 Amount=Full                       Fills the buret.
 Water_mL=0                        Puts 0 mL water in the buret.
 Window_Open=1                     Sets the buret window as open.
 Graph_Window_Open=1               Sets the graph window as open.

 [Stir Plate]
 Active=1                          Sets the beaker on the stir plate.
 Bottle_1=2                        Sets bottle 2 as the reagent in the beaker on the stir plate.
 Amount_1=1.300                    Sets the amount in the beaker as 1.3 g.
 Bottle_2=                         There are no salts in this experiment.
 Amount_2=
 Water_mL=25                       Sets the amount of water in the beaker as 25 mL.
 On=1                              Sets the stir plate as on.


Calorimetry INI Files
The calorimetry laboratory allows students to perform calorimetric experiments involving heats
of combustion, heats of solution, heats of reaction, the heat capacity of metals, plus many others.
Much of the operation of the laboratory and the parameters defining the experiments is
controlled using INI variables located in the files Lab Variables.ini, Metals.ini, Organicn.ini,
Reactionn.ini, and Saltn.ini located in the Reagents directory in the ChemLabC directory. The
variables in LabVariables.ini generally control aspects of the laboratory as a whole, and the
Organic, Reaction, and Salt INI files define the respective bottles in the calorimetry stockroom
where n designates the bottle position on the shelf. The Metals.ini file defines the metals
contained in the metals cabinet in the stockroom. There is one additional set of INI files and
these define the preset experiments located on the stockroom. Described in each of the following
sections are the INI variables contained in each of these INI files. The purpose for providing this
information is to grant instructors the ability to change or adjust the calorimetry simulation to
suit their own needs.




                                                   A-36
Lab Variables.ini
 INI Variables                       Description
 [General]
 Base_Lab_pressure=760               Every day a new random pressure is calculated that will be the same for each
                                     member in a class. This the initial base pressure for the lab in Torr.
 Plus_Minus_pressure=15              The min/max spread in pressure.
 %Humidity=50                        The percent humidity in the lab.
 Labbook_Data_Line_Limit=1000        The maximum number of lines of titration data saved in one link before a new
                                     link is automatically started.
 Labbook_Plot_Point_Limit=100        The maximum number of points that will be plotted on the graph.
 Calculation_Update_Interval_sec=1   The time interval used in updating the calculations.
 Max_Heater_Concentration=4.0        The maximum solution concentration at which the heater burns out.
 Clock_Accel_Factor=5                The factor at which time increases when the acceleration button is pressed.

 [Graph Tool]
 Plot_View_Coords=76,8,355,178       The coordinates for the graph in the plot window.
 plot_color=55,75,255                The RGB values for the color of the line on the graph.
 tick_line_color=55,55,55            The RGB values for the color of the tick marks on the graph.
 Label_Text_Size=9                   The font size for the graph labels.
 t_Range_min=5                       The range of the X-axis in minutes.

 [Balance]
 Weights_Density=8                   The density of the calibration weights.
 Balance_Flicker_Max=.0001           The maximum amount the balance can flicker above or below the true value.
 Balance_Flicker_Time=2.5            The amount of time between flicker calculations for the balance display.
 Weigh_paper_mass=.225               The average mass of the weigh paper.
 Weigh_paper_mass_%dev=5             The maximum percent deviation for each weigh paper from the average mass.
 Level1=0.05                         The masses of solid added for each scoop size on the side of the bottle.
 Level2=0.1
 Level3=0.2
 Level4=0.5
 Level5=1.0
 Solid_%dev=5                        The maximum percent deviation for each scoop size when solid is added onto
                                     the balance.
 Weigh_paper_amount_1=.01            The mass of solid represented by the graphic for each pile of solid.
 Weigh_paper_amount_2=.1
 Weigh_paper_amount_3=.5
 Weigh_paper_amount_4=1
 Weigh_paper_amount_5=2
 Weigh_paper_amount_6=4
 Weigh_paper_amount_7=6
 Weigh_paper_amount_8=8
 Weigh_paper_amount_9=11
 Weigh_paper_amount_10=15
 Pipet_Level1=0.00010                The volume of liquid represented by the graphic for each pipet fill-level (L).
 Pipet_Level2=0.00025
 Pipet_Level3=0.00050
 Pipet_Level4=0.00075
 Pipet_Level5=0.001
 Liquid_%dev=5                       The maximum percent deviation for each pipet size when liquid is added onto
                                     the balance.

 [Thermometer]
 Flicker_Max=.01                     The maximum amount the thermometer can flicker above or below the true


                                                  A-37
value.
Flicker_Time=2.5           The amount of time between flicker calculations for the thermometer display

[Glassware]
Beaker_mass=100            The average mass of each beaker.
Beaker_mass_%dev=5         The maximum percent deviation of each beaker from the average mass.
Beaker_vol=.250            The average volume of each beaker.
Beaker_vol_%dev=.7         The maximum percent deviation of each beaker from the average volume.
Beaker_overflow_vol=.300   The volume at which the beaker overflow animation will be played.
Grad_vol4=.010             The average volume of the graduated cylinders.
Grad_vol3=.025
Grad_vol2=.050
Grad_vol1=.100
Grad_%dev=.5               The maximum percent deviation from the actual volume for the graduated
                           cylinders.
GlassError=1               Sets whether glassware errors are on or off.

[Metals]
Metal_Mass_%dev=5          The maximum percent deviation in the mass of the metals.

[Dewar]
Cup_Vol=.5                 The maximum volume of the dewar (L).
Cup_Vol_%dev=2             The maximum percent deviation of each the volume of each dewar (set once
                           for each student).
K1=0.095                   The cooling constant used in the cooling equations.
K1_LO=0.327                The cooling constant used in the cooling equations when the lid is removed.
Tao2=1                     The heating constant used in heating equations.
C_Cal=52                   The absolute heat capacity of the dewar (J/K).
Resistance=2000            The maximum resistance of the heater in the dewar ( ).
Min_Heater_Vol=.02         The minimum voltage allowed for the heater (V).
Temp_Sig_Fig=2             The number of decimal places displayed on the thermometer display.

[Coffee]
Cup_Vol=.513               The maximum volume of the coffee cups (L).
Cup_Vol_%dev=1             The maximum percent deviation of each the volume of each coffee cup
                           calorimeter (set once for each student).
K1=0.17                    The cooling constant used in the cooling equations.
K1_LO=0.52                 The cooling constant used in the cooling equations when the lid is removed.
Tao2=1                     The heating constant used in heating equations.
C_Cal=8.5                  The absolute heat capacity of the coffee cups (J/K).
Resistance=2000            The maximum resistance of the heater in the coffee cups ( ).
Min_Heater_Vol=.02         The minimum voltage allowed for the heater (V).
Temp_Sig_Fig=2             The number of decimal places displayed on the thermometer display.

[Bomb]
Cup_Vol=.01                The maximum volume of the bomb sample cup (L).
Cup_Vol_%dev=1             The maximum percent deviation of each the volume of each sample cup (set
                           once for each student).
Cup_Mass=12                The mass of the sample cup (g).
Cup_Mass_%dev=1            The maximum percent deviation of the sample cup mass.
K1=0.1                     The cooling constant used in the cooling equations.
K1_LO=0.1                  The cooling constant used in the cooling equations when the lid open.
Tao2=0.1                   The heating constant used in heating equations.
C_Cal=1949.985             The absolute heat capacity of the bomb calorimeter (J/K).
O2_Pressure=30             The starting pressure of Oxygen gas (atm).
O2_Pressure_%dev=2         The maximum percent deviation in the starting O2 pressure.


                                       A-38
wire_length=4           The length of ignition wire (cm).
Wire_length_%dev=5      The maximum percent deviation in the length of ignition wire.
wire_J_cm=10.75         The energy given off by the ignition wire (J/cm).
Water_Vol=2000          The volume of water in the bath in the calorimeter (mL).
HC_CO2=37.11            The heat capacity of CO2 gas (J/molK).
HC_O2=29.36             The heat capacity of O2 gas (J/molK).
HC_N2=29.12             The heat capacity of N2 gas (J/molK).
Temp_Sig_Fig=3          The number of decimal places displayed on the thermometer display.

[Beaker]
K1=1.0                  The cooling constant of a beaker on the counter (used when ice melts and hot
                        metals cool).
Tao2=0.1                The heating constant of a beaker on the counter.
C_Cal=45                The heat capacity of a glass beaker.
Ice_Melt_Delay=120      The time delay before ice in a beaker on the counter begins to melt (s).

[Reaction Constants]
Kr_Organic=0.02         The reaction constant of combusting organics.
te_Organic=300          The time for a combustion reaction to give off its heat (s).
Kr_Salt=0.08            The reaction constant for dissolving salts with stirring on.
te_Salt=60              The time for a dissolving salt to give off its heat with stirring on (s).
Kr_Salt_NS=0.045        The reaction constant for dissolving salts with stirring off.
te_Salt_NS=120          The time for a dissolving salt to give off its heat with stirring off (s).
Kr_Reaction=0.22        The reaction constant for reactions with stirring on.
te_Reaction=30          The time for reactions to give off their heat with stirring on (s).
Kr_Reaction_NS=0.095    The reaction constant for reactions with stirring off.
te_Reaction_NS=60       The time for reactions to give off their heat with stirring off (s).
Kr_Metal=0.25           The reaction constant for adding metals with stirring on.
te_Metal=20             The time for metals to give off their heat with stirring on (s).
Kr_Metal_NS=0.08        The reaction constant for adding metals with stirring off.
te_Metal_NS=40          The time for metals to give off their heat with stirring off (s).
Kr_Combo=4              The reaction constant for combining liquids with stirring on.
te_Combo=10             The time for combining liquids to give off their heat with stirring on (s).
Kr_Combo_NS=0.3         The reaction constant for combining liquids with stirring off.
te_Combo_NS=20          The time for combining liquids to give off their heat with stirring off (s).

[Ice]
Mass=25.0               The mass of ice in one scoop (g).
Mass_%dev=10            The maximum deviation of mass of ice in one scoop.
K_Ice_Stir_On=25        The cooling constant for ice melting with stirring on.
K_Ice_Stir_Off=10       The cooling constant for ice melting with stirring off.
c_ice=37.466            The heat capacity of ice (J/molK).

[Oven]
Base_Temp_C=100         The initial temperature of the oven (°C).
Min_Temp_C=25           The minimum temperature of the oven (°C).
Max_Temp_C=200          The maximum temperature of the oven (°C).

[Control Box]
Current_Max_mA=500      The maximum current in the heater (mA).

[Other flow rates]
bottle_flow=30 mL/sec   The rate at which liquids flow from the bottle in mL/sec.
sink_flow=30 mL/sec     The rate at which water is delivered from the sink in mL/sec.
flow_delay_sec=0.5      The time in seconds after a bottle is positioned over the buret or a beaker
                        under the sink or a graduated cylinder over a beaker, etc. before the volume


                                     A-39
starts to be delivered.


 [Conversion_Factors]
 atm_to_Pa=101325.0       The conversion factors between different units of pressure.
 atm_to_bar=1.01325

 L_to_cm^3=1e3            The conversion factors between different units of volume.
 L_to_Gal=.264172052358

 cm_to_in=.393700787402   The conversion factors between different units of length.


Metals.ini
 INI Variables            Description
 [General]

 [1 A1]                   Position of the metal in the Drawers [Drawer ColumnRow]
 Name=Silver              The long name that pops up when metal is moused over.
 Short_name=Ag            Name that appears on the label in the drawer.
 Color=silver             Color of the metal (silver, gold, copper, dull)
 Unknown=yes              If the metal can be assigned as an unknown.
 Mass=27.96               The average mass of the metal.
 Melting_Point_C=961.78   The melting point of the metal.
 Heat_Capacity=0.235      The heat capacity of the metal (J/gK).
 MW=107.868               The molecular weight of the metal.
 Density=9.32             The density of the metal.
 BlowUp=No                If the metal is explosively reactive with water (Yes or No).

 [1 A2]
 Name=Aluminum
 Short_name=Al
 Color=silver
 Unknown=yes
 Mass=7.125
 Melting_Point_C=660.32
 Heat_Capacity=0.897
 MW=26.982
 Density=2.375
 BlowUp=No

 [1 A3]
 Name=Gold
 Short_name=Au
 Color=gold
 Unknown=yes
 Mass=51.93
 Melting_Point_C=1064
 Heat_Capacity=0.129
 MW=196.97
 Density=17.31
 BlowUp=no

 [1 A4]
 Name=Beryllium


                                       A-40
Short_name=Be
 Color=dull
 Unknown=yes
 Mass=5.07
 Melting_Point_C=1287
 Heat_Capacity=1.825
 MW=9.012
 Density=1.69
 BlowUp=no




Organicn.ini
 INI Variables                  Description
 [General]
 Name=Benzoic acid              The long name that pops up when bottle is moused over.
 Short_name=C7H6O2              The name that appears on the bottle.
 Phase=solid                    The phase of the Organic compound (solid or liquid).
 Color=white                    The color of the compound.
 Unknown=yes                    If the compound may be assigned as an unknown (yes or no).

 [Physical Data]
 dHo=3226.9E3                   The standard state heat of combustion of the compound (J/mol).
 MW=122.13                      The molecular weight of the compound.
 Density=1.2659                 The density of the compound.
 Packing_Density_Solid=2.5318   The density used to calculate how much volume the scooped solid takes up.
 a=7                            The number of carbons in the molecule.
 b=6                            The number of hydrogens.
 c=2                            The number of oxygens.
 d=0                            The number of nitrogens.


Reactionn.ini
 INI Variables                  Description
 [General1]                     1 contains the information for bottle 1 of the pair (the left one).
 Name=Hydrochloric Acid         The long name that pops up when bottle is moused over.
 Short_name=HCl                 The name that appears on the bottle.
 Phase=aqueous                  The phase of the compound (solid or aqueous).
 Color=clear                    The color of the compound.
 Unknown=yes                    If the compound may be assigned as an unknown (yes or no).

 [General2]                     2 contains the information for bottle 2 of the pair (the right one).
 Name=Sodium Hydroxide
 Short_name=NaOH
 Phase=aqueous
 Color=clear
 Unknown=yes

 [Solids1]                      If the phase for the bottle is solid:
 MW=                            The molecular weight of the solid.
 Density=                       The density of the solid.
 dHs=                           The heat of solution of the solid.
 Max_Conc=                      The maximum concentration the solid may dissolve in solution.
 %Weight=                       This is not used for the Calorimetry lab.


                                             A-41
%Weight_Min=           This is not used for the Calorimetry lab.
%Weight_Max=           This is not used for the Calorimetry lab.
%Wt_Init_Min=          This is not used for the Calorimetry lab.
%Wt_Init_Max=          This is not used for the Calorimetry lab.
Impurity=              This is not used for the Calorimetry lab.

[Aqueous Solutions1]   If the phase of the bottle is aqueous:
Conc=1.0000            The concentration of the solution.
Conc_Min=0.010         This is not used for the Calorimetry lab.
Conc_Max=4.0000        This is not used for the Calorimetry lab.
Conc_Init_Min=0.1000   This is not used for the Calorimetry lab.
Conc_Init_Max=0.1200   This is not used for the Calorimetry lab.

[Solids2]
MW=
Density=
dHs=
Max_Conc=
%Weight=
%Weight_Min=
%Weight_Max=
%Wt_Init_Min=
%Wt_Init_Max=
Impurity=

[Aqueous Solutions2]
Conc=1.0000
Conc_Min=0.010
Conc_Max=4.0000
Conc_Init_Min=0.1000
Conc_Init_Max=0.1200

[Reaction]
dHr=5.58e4             The standard state heat of reaction per mole of the limiting reactant.

[Reactants]
R1=HCl                 The reactant in bottle 1
M_R1=1                 The stoichiometric coefficient of this reactant in the reaction.
Ph_R1=aqueous          The phase of R1 in solution
R1_cat=H,1+            The cation if R1 dissociates.
M_R1_cat=1             The stoichiometric coefficient for the cation.
Z_R1_cat=1             The charge of this cation.
MW_R1_Cat=1.008        The molecular weight of this cation.
R1_ani=Cl,1-           The anion if R1 dissociates.
M_R1_ani=1             The stoichiometric coefficient for the anion.
Z_R1_ani=-1            The charge of this anion.
MW_R1_Ani=35.453       The molecular weight of this anion.

R2=NaOH                The reactant in bottle 2
M_R2=1                 The stoichiometric coefficient of this reactant in the reaction.
Ph_R2=aqueous          The phase of R2 in solution
R2_cat=Na,1+           The cation if R2 dissociates.
M_R2_cat=1             The stoichiometric coefficient for the cation.
Z_R2_cat=1             The charge of this cation.
MW_R2_cat=22.990       The molecular weight of this cation.
R2_ani=OH,1-           The anion if R2 dissociates.


                                    A-42
M_R2_ani=1         The stoichiometric coefficient for the anion.
Z_R2_ani=-1        The charge of this anion.
MW_R2_ani=17.007   The molecular weight of this anion.

R3=                Another possible reactant in bottle 1.
M_R3=
Ph_R3=
R3_cat=
M_R3_cat=
Z_R3_cat=
MW_R3_cat=
R3_ani=
M_R3_ani=
Z_R3_ani=
MW_R3_ani=

R4=                Another possible reactant in bottle 2.
M_R4=
Ph_R4=
R4_cat=
M_R4_cat=
Z_R4_cat=
MW_R4_cat=
R4_ani=
M_R4_ani=
Z_R4_ani=
MW_R4_ani=

[Products]
P1=H2O             The first product of the reaction.
M_P1=1             The stoichiometric coefficient of this product in the reaction.
Ph_P1=liquid       The phase of P1 in solution
P1_cat=            The cation if P1 dissociates.
M_P1_cat=          The stoichiometric coefficient for the cation.
Z_P1_cat=          The charge of this cation.
MW_P1_cat=         The molecular weight of this cation.
P1_ani=            The anion if P1 dissociates.
M_P1_ani=          The stoichiometric coefficient for the anion.
Z_P1_ani=          The charge of this anion.
MW_P1_ani=         The molecular weight of this anion.

P2=NaCl            The second product of the reaction.
M_P2=1
Ph_P2=aqueous
P2_cat=Na,1+
M_P2_cat=1
Z_P2_cat=1
MW_P2_cat=22.990
P2_ani=Cl,1-
M_P2_ani=1
Z_P2_ani=-1
MW_P2_ani=35.453

P3=                A third product of the reaction.
M_P3=
Ph_P3=


                                A-43
P3_cat=
M_P3_cat=
Z_P3_cat=
MW_P3_cat=
P3_ani=
M_P3_ani=
Z_P3_ani=
MW_P3_ani=

P4=
M_P4=
Ph_P4=
P4_cat=
M_P4_cat=
Z_P4_cat=
MW_P4_cat=
P4_ani=
M_P4_ani=
Z_P4_ani=
MW_P4_ani=

[Partial Molal Volume]
R1density=               The density of R1 if it does not dissolve in solution.
R1_catV=0                The partial molal volume of the cation of R1 if it dissolves in solution.
R1_aniV=17.83            The partial molal volume of the anion of R1 if it dissolves in solution.
R2density=
R2_catV=-1.21
R2_aniV=-4.04
R3density=
R3_catV=
R3_aniV=
R4density=
R4_catV=
R4_aniV=
P1density=
P1_catV=
P1_aniV=
P2density=
P2_catV=-1.21
P2_aniV=17.83
P3density=
P3_catV=
P3_aniV=
P4density=
P4_catV=
P4_aniV=

[Heat Capacity]
R1_HC=                   The heat capacity of R1 if it does not dissolve in solution.
R1_catHC=0               The partial molar heat capacity of the cation of R1 if it dissolves in solution.
R1_aniHC=-124.7          The partial molar heat capacity of the anion of R1 if it dissolves in solution.
R2_HC=
R2_catHC=38.60
R2_aniHC=-141.5
R3_HC=
R3_catHC=


                                      A-44
R3_aniHC=
 R4_HC=
 R4_catHC=
 R4_aniHC=
 P1_HC=
 P1_catHC=
 P1_aniHC=
 P2_HC=
 P2_catHC=38.60
 P2_aniHC=-124.7
 P3_HC=
 P3_catHC=
 P3_aniHC=
 P4_HC=
 P4_catHC=
 P4_aniHC=

 [Molecular Weight]
 R1_MW=36.461            The molecular weight of R1.
 R2_MW=39.997
 R3_MW=
 R4_MW=
 P1_MW=18.015
 P2_MW=58.443
 P3_MW=
 P4_MW=




Saltn.ini
 INI Variables           Description
 [General]
 Name=Sodium Flouride    The long name that pops up when bottle is moused over.
 Short_name=NaF          The name that appears on the bottle.
 Phase=solid             The phase of the salt (always solid for salts).
 Color=white             The color of the salt.
 Unknown=yes             If the compound may be assigned as an unknown (yes or no).

 [Physical Data]
 dH=-0.91e3              The standard state heat of solution of the salt (J/molK)
 MW=41.988               The molecular weight of the salt.
 Density=2.78            The density of the salt.
 Max_Conc=6.1            The maximum concentration that the salt may dissolve to.

 [Species]
 Cat=Na,1+               The cation of the dissolved salt.
 M_Cat=1                 The stoichiometric coefficient of the cation.
 Z_Cat=1                 The charge of the cation.
 Ani=F,-1                The anion of the dissolved salt.
 M_Ani=1                 The stoichiometric coefficient of the anion.
 Z_Ani=-1                The charge of the anion.

 [Molar Heat Capacity]
 HC=46.9                 The heat capacity of the solid salt.
 HC_Cat=46.4             The partial molar heat capacity of the cation.


                                      A-45
HC_Ani=-106.7                       The partial molar heat capacity of the anion.

 [Partial Molal Volume]
 V_Cat=-1.21                         The partial molal volume of the cation.
 V_Ani=-1.6                          The partial molal volume of the anion.

 [Molecular Weight]
 MW_cat=22.990                       The molecular weight of the cation.
 MW_ani=18.998                       The molecular weight of the anion.



Preset Experiments
Located on the clipboard in the calorimetry stockroom is a set of 15 preset experiments listed by
title. If allowed by the instructor, students can select one of these experiments and, upon
returning to the laboratory, the selected experiment will be automatically set up and running.
Preset experiments are intended to provide flexibility for the instructor so the calorimetry
simulation can be adapted to the level of the class or the individual teaching style of the
instructor. Several experiments have already been defined and are installed with the software.
This section describes how these files can be modified.

Each preset experiment is defined using an INI file. For the preset experiments on the clipboard,
these files have the name Experimentn.ini, where n is a number between 1 and 15 and represents
experiments 1 through 15 on the clipboard. These files are located in the Presets directory in the
ChemLabC directory. Note that in client installations, any modified preset experiments for the
clipboard must be modified for each client installation.

Given subsequently is a description of a preset experiment INI file and the variables that are used
to define an experiment. Before reviewing the INI file information, here are some important
points to keep in mind: (a) All of the variables described have default values, so variables may be
left blank or not used at all. An experiment can be set up or defined to any degree desired by the
instructor. (b) Some variables are mutually exclusive; that is, the use of one variable may mean
another variable cannot be used. Some error checking exists for such situations, but the error
checking is not comprehensive.

The following two tables show the INI variables used in preset experiments. The first lists all the
variables that can be used and their allowed values. Default values are given in red. The second
is an example of a preset experiment for a heat of reaction experiment to show how the variables
can be used. Provided below the tables is a small graphic showing the position labels used for the
various INI position variables.

Complete Calorimetry Preset Experiment INI Variable List
 INI Variables                   Description
 [Title]
 Title=Freezing Point Depression     The title of the preset experiment.

 [General]
 Timer=On,Off (Default = Off)        Sets the timer (the timer window) to be open or closed.

 [Calorimeter]                       These are variables for the calorimeters in general.



                                                 A-46
Lid=On,Off (Default = Off)                 Specifies if the lid to the calorimeter is on or off.
Calorimeter=Bomb,Coffee,Dewar,None         Specifies which calorimeter is selected.
            (Default = None)
Position=Counter,Table (Default = Table)   Specifies the position of the calorimeter in the laboratory. Position labels are
                                           case sensitive.
Temperature_K=298.15 (Default = 298.15)    Sets the initial temperature of any water that may be in the calorimeter.
                                           Position must be set to Table.
Graph_Window=On,Off (Default = Off)        Sets the graph window to open or closed.

###Coffee/Dewar Variables###               These variables are only for the coffee cup or dewar.
Thermometer=On,Off (Default = Off)         Sets the thermometer to be on or off.
Bottle=Bottle,Bottle 2 (Or Blank)          Specifies which solution or solid from the available bottles that will be in the
                                           calorimeter.
Bottle_Amount=Random,Volume,Mass           Specifies the volume or mass from the bottle. Volume should be a number in
                                           mL for liquids; Mass is a number in grams for solids.
Bottle_Min=                                Specifies minimum amount (mL or g) for Random amounts.
Bottle_Max=                                Specifies maximum amount (mL or g) for Random amounts.
Metal=Yes,No (Default = No)                Specifies if a metal is already in the calorimeter. If yes, then position in Metals
                                           section below specifies position of dish.
Ice=Random,Mass (Default = 0.0)            Specifies the mass of ice that will be in the calorimeter.
Ice_Min=                                   Specifies the minimum mass of ice for Random amounts.
Ice_Max=                                   Specifies the maximum mass of ice for Random amounts.
Water=Random,Volume (Default = 0.0)        Specifies the volume of water that will be in the calorimeter.
Water_Min=                                 Specifies the minimum volume of water for Random amounts.
Water_Max=                                 Specifies the maximum volume of water for Random amounts.
Current= (Default = 0)                     Sets the initial current setting for the electrical heater.
Stirring=On,Off (Default = Off)            Sets stirring on or off.
Heater=On,Off (Default = Off)              Sets the electrical heater on or off. If the lid is off, then the heater is set off.

###Bomb Variables###                       These variables are only for the bomb calorimeter.
Thermometer=On,Off (Default = Off)         Sets the thermometer to be on or off. This is the bomb control panel.
Bomb=In,Out (Default = Out)                Specifies if the bomb is in or out of the calorimeter.
Screw_Cap=On,Off (Default = Off)           Sets the screw cap to be on or off of the bomb.
bomb_Head=On,Off (Default = Off)           Puts the bomb head in or out of the bomb.
Cup=In,Out (Default = In)                  Puts the bomb cup in or out of the bomb head.
Cup_Position=TableE,TableF                 If the bomb cup is out, places the cup on the indicated table position.
              (Default =TableE)
Bottle=Bottle (Or Blank)                   Specifies that the liquid or solid from the selected bottle is in the bomb cup.
Bottle_Amount=Random,Volume,Mass           Specifies the volume or mass from the bottle. Volume should be a number in
                                           mL for liquids; Mass is a number in grams for solids.
Bottle_Min=                                Specifies minimum amount (mL or g) for Random amounts.
Bottle_Max=                                Specifies maximum amount (mL or g) for Random amounts.

[Bottle]                                   These variables define what chemical is represented by Bottle or Bottle 2.
Filename=Salt1.ini                         The name of the organic, salt, or reaction INI file.
Position=CounterA,CounterB,CounterC,Tab    Position for the bottle in the laboratory.
leA,TableB,TableC,TableG
(Default =TableG for organics & solids,
TableA for aqueous reactants)
Bottle2_Position=CounterA,CounterB,Count   Position for the second bottle for reaction experiments.
erC,TableA,TableB,TableC,TableG
(Default =TableG for solids, TableA for
aqueous reactants.)
Unknown=Yes,No (Default = No)              Specifies if the bottle should be labeled as an unknown.

[Metal]


                                                        A-47
Metal=1 A1                                  Specifies the metal by specifying the metal location. [Drawer ColumnRow]
 Position=CounterA,CounterB,CounterC,Tab     Position of the metal and dish in the laboratory.
 leD,TableE,TableF,Oven (Default = TableD)

 [Oven]                                      Not used if bomb experiment is out.
 On_Off=On,Off (Default = Off)               Turns oven on and off.
 Open_Closed=Open,Closed                     Sets the oven door as open or closed.
             (Default = Closed)
 Temperature= (Default = min temp limit)     Sets the temperature of the oven in C.

 [Balance]
 On_Off=On,Off (Default = On)                Sets the balance to be on or off.
 Tare_container=Yes,No (Default = No)        Specifies if the weigh paper or beaker mass will be subtracted from balance
                                             reading.

 [Beaker1]                                   Not used if bomb experiment is out.
 Position=TableA,TableB,TableC,TableD,Ta     Position of the beaker on the table. The default position starts with the first
 bleE,TableF                                 available position.
 Bottle=Bottle,Bottle 2                      Assigns what is in the beaker. This must be specified.
 Amount=Random,Volume,Mass                   Specifies the volume or mass in the beaker. Volume should be a number in
                                             mL for liquids; Mass is a number in grams for solids.
 Min=                                        Specifies minimum amount (mL or g) for Random amounts.
 Max=                                        Specifies maximum amount (mL or g) for Random amounts.

 [Beaker2]                                   Not used if bomb experiment is out. Used only for reaction experiments.
 Position=TableA,TableB,TableC,TableD,Ta     Position of the beaker on the table. The default position starts with the first
 bleE,TableF                                 available position.
 Bottle=Bottle,Bottle 2                      Assigns what is in the beaker. This must be specified.
 Amount=Random,Volume,Mass                   Specifies the volume or mass in the beaker. Volume should be a number in
                                             mL for liquids; Mass is a number in grams for solids.
 Min=                                        Specifies minimum amount (mL or g) for Random amounts.
 Max=                                        Specifies maximum amount (mL or g) for Random amounts.

 [Paper]
 Position=Paper,TableF,None                  Position of the weigh paper in the laboratory.
          (Default=None)
 Bottle=Bottle,Bottle 2                      What is on the paper. This must be assigned to a solid.
 Amount=Random,Mass                          Specifies the mass on the paper in grams. If a metal has been selected, then
                                             this is ignored.
 Min=                                        Specifies minimum amount for Random amounts.
 Max=                                        Specifies maximum amount for Random amounts.

Example Calorimetry Preset Experiment
 INI Variables                   Description
 [Title]
 Title=Heat of Reaction: HCl (aq) + NaOH     Title of experiment.
 (s)

 [General]
 Timer=Off                                   Stopwatch window is not open.

 [Calorimeter]
 Calorimeter=Dewar                           Selected the dewar as the calorimeter.
 Thermometer=On                              Thermometer is on and thermometer window is open.
 Temperature_K=298.15                        Temperature of anything inside calorimeter is set to 25 C.



                                                          A-48
Graph_Window=On                    Graph window is open.
Lid=On                             The lid to the calorimeter is on.
Stirring=On                        Stirring is turned on.
Position=Table                     The calorimeter is placed on the table.
Water=.100                         There is 100 mL of water in the calorimeter.

[Bottle]
Filename=Reaction2.ini             Reaction postion 2 is used for reactants.
Position=CounterA                  Position of bottle 1 is on the counter.
Bottle2_Position=TableG            Position of bottle 2 is on the Table in position G.

[Beaker1]
Position=TableB                    A beaker is placed on the table in location B.
Bottle=Bottle                      The beaker is filled with bottle 1.
Amount=0.100                       The amount is 100 mL.

[Balance]
On_Off=On                          The balance is turned on.
Tare_container=Yes                 The weigh paper is tared.

[Paper]
Position=TableF                    The weigh paper is on the balance.
Bottle=Bottle 2                    The solid from bottle 2 is on the weigh paper.
Amount=Random                      A random amount is selected.
Amount_Min=3.999                   The minimum value.
Amount_Max=4.000                   The maximum value.




Figure A1. Position labels for calorimetry INI variables.




                                                A-49
Mechanics INI File
The mechanics laboratory allows students the ability to perform realistic mechanical experiments
in a controlled environment of their pleasing. Much of the experiments are controlled using the
laboratory INI file however, there are presets that will be determined by their own preset INI
files. These presets INI are described below. The variables contained in the laboratory INI file
are explained below. Note that each variable has its own default and max/min values. The
purpose for providing this information is to grant instructors the ability to change or adjust the
mechanics simulation to suit their own needs.

Mechanics.ini
 INI Variables                                 Description
 [General]
 DisplaySigFig=3                               The significant digits that will be displayed in the work area display boxes.
 AccelerationValues=0.01, 0.05, 0.1, 0.5, 1,   The acceleration factor which time will be multiplied by to increase the speed
 5, 10, 50, 100, 500                           of the experiment. The time acceleration display will rotate through in this
                                               order.
 AccelerationDefault=1                         The starting value for lab time acceleration. Must correspond with one of the
                                               defined acceleration values.
 LabbookSigFig=4                               The number of significant digits to be stored in the labbook.
 PlanetAccelerationValues=pa1d, pa10d,         The time acceleration values used in planetary simulations. d = day, y = year.
 pa30d, pa100d, pa1y, pa10y, pa100y

 pa1d_Label=1 Day                              The label that will be displayed for 1 Day increments.
 pa1d_sec=84600                                The number of seconds per chosen acceleration value.

 pa10d_Label=10 Days                           The label that will be displayed for 10 Day increments.
 pa10d_sec=846000                              The number of seconds per chosen acceleration value.

 pa30d_Label=30 Days                           The label that will be displayed for 30 Day increments.
 pa30d_sec=2592000                             The number of seconds per chosen acceleration value.

 pa100d_Label=100 Days                         The label that will be displayed for 100 Day increments.
 pa100d_sec=8460000                            The number of seconds per chosen acceleration value.

 pa1y_Label=1 Year                             The label that will be displayed for 1 Year increments.
 pa1y_sec=31557600                             The number of seconds per chosen acceleration value.

 pa10y_Label=10 Years                          The label that will be displayed for 10 Year increments.
 pa10y_sec=315576000                           The number of seconds per chosen acceleration value.

 pa100y_Label=100 Years                        The label that will be displayed for 100 Year increments.
 pa100y_sec=3155760000                         The number of seconds per chosen acceleration value.

 Planet_Auto_Increment_Time=5                  The number of seconds that pass between auto time increment.

 [Grid]
 Red=100                                       Color of grid lines.
 Green=100                                     Color of grid lines.
 Blue=100                                      Color of grid lines.
 Transparency=50                               The transparency of the grid lines on the screen.
 Label_Red=25                                  Grid label colors.
 Label_Green=25                                Grid label colors.


                                                           A-50
Label_Blue=25                                Grid label colors.
Label_Transparency=50                        Transparency label colors.
P_Red=200                                    Planet grid line color.
P_Green=100                                  Planet grid line color.
P_Blue=100                                   Planet grid line color.
P_Transparency=15                            Planet grid lines transparency.
P_Label_Red=200                              Label for planet grid line colors.
P_Label_Green=100                            Label for planet grid line colors.
P_Label_Blue=100                             Label for planet grid line colors.
P_Label_Transparency=100                     Planet transparency grid label color.

Startx1=-10                                  The initial coordinates for the grid (Y-axis calculated from the x-axis).
Startx2=10                                   The initial coordinates for the grid (Y-axis calculated from the x-axis).
AutoScaleFactor=4                            The multiplication factor for auto scaling the grid size.

[Materials]
materials=wood,plastic,metal,cement,rubber   The materials available in the lab.
wood_label=Wood                              The label shown for this material.
plastic_label=Plastic                        The label shown for this material.
metal_label=Metal                            The label shown for this material.
rubber_label=Rubber                          The label shown for this material.

[Ball]
m=10                                         The mass of the ball.
m_min=0.0001                                 The minimum mass of the ball.
m_max=1000000                                The maximum mass of the ball.
r=0.5                                        The radius of the ball.
r_min=0.001                                  The minimum radius of the ball.
r_max=100                                    The maximum radius of the ball.
v0=0.0                                       The initial velocity of the ball.
Beta=0.0                                     The initial angle of velocity. A 0 radian angle is with respect to the positive x-
                                             axis, moving counterclockwise through the quadrants from 0-2Pi radians.
material=metal                               The default material for the ball.
sphere=solid                                 The type of sphere the ball is. It can either be a solid sphere or a shell, with all
                                             the mass distribution on the shell. The options are either solid or thin.
min_pixel_r=8                                The minimum pixel radius the ball can be when at the minimum radius.
AllowsideAV=1                                The angular velocity graphic is on or off. This shows the ball rotating when the
                                             ball is moving on the ramp, but not in the point of perfect rolling without
                                             slipping yet. 1=on, 2=off.

[MultipleBalls]
mn=10                                        The mass of each ball in the multiple ball simulation.
mn_min=0.001                                 The minimum mass of each ball.
mn_max=1000000                               The maximum mass of each ball.
rn=0.5                                       The radius of each ball.
rn_min=0.001                                 The minimum radius of each ball.
rn_mx=1000                                   The maximum radius of each ball.

[Forces]
Fi=1000000                                   The default force if not specified in the individual experiment sections.
Fi_min=0                                     The minimum magnitude of force (newtons).
Fi_max=1000000                               The maximum magnitude of force (newtons).
Fi_rocket=100                                The magnitude of the rocket force.
Fi_plunger=3000                              The magnitude of the plunger force.
phi=0                                        The angle of applied force. A 0 radian angle is with respect to the positive x-
                                             axis, moving counterclockwise through the quadrants from 0-2Pi radians.


                                                          A-51
phi_min=0                                  The minimum angle of applied force.
phi_max=6.28318531                         The maximum angle of applied force.
rocketTime=1                               The number of seconds the rocket force is applied per click, or fire.
plungerTime=0.05                           The number of seconds the plunger force is applied.

[Frictions]
wood_wood=0.55                             The coefficient of friction between the two materials.
wood_plastic=0.33                          The coefficient of friction between the two materials.
wood_cement=0.62                           The coefficient of friction between the two materials.
wood_rubber=0.96                           The coefficient of friction between the two materials.

plastic_wood=0.33                          The coefficient of friction between the two materials.
plastic_plastic=0.15                       The coefficient of friction between the two materials.
plastic_metal=0.45                         The coefficient of friction between the two materials.
plastic_cement=0.25                        The coefficient of friction between the two materials.
plastic_rubber=0.85                        The coefficient of friction between the two materials.

metal_wood=0.38                            The coefficient of friction between the two materials.
metal_plastic=0.45                         The coefficient of friction between the two materials.
metal_metal=0.52                           The coefficient of friction between the two materials.
metal_cement=0.30                          The coefficient of friction between the two materials.
metal_rubber=0.90                          The coefficient of friction between the two materials.

cement_wood=0.62                           The coefficient of friction between the two materials.
cement_plastic=0.25                        The coefficient of friction between the two materials.
cement_metal=0.30                          The coefficient of friction between the two materials.
cement_cement=0.55                         The coefficient of friction between the two materials.
cement_rubber=0.89                         The coefficient of friction between the two materials.

rubber_wood=0.96                           The coefficient of friction between the two materials.
rubber_plastic=0.85                        The coefficient of friction between the two materials.
rubber_metal=0.90                          The coefficient of friction between the two materials.
rubber_cement=0.89                         The coefficient of friction between the two materials.
rubber_rubber=1.00                         The coefficient of friction between the two materials.

P=101325                                   The default pressure (Pa) at sea level.
P_min=0                                    The minimum pressure allowed (Pa). This pressure would correspond to an
                                           altitude of below sea level, but we just leave the altitude at 0 for all low
                                           pressures.
P_max=10132500                             The maximum pressure allowed.
Z=0                                        The altitude of the experiment (m) above sea level.
Z_min=0                                    The minimum altitude of the experiments (m).
Z_mx=44642                                 The maximum altitude of the experiments.

[Gravity]
gx=9.80665                                 The magnitude of gravity in the direction of the (+) x-axis (m/s^2).
gx_min=-300                                The minimum magnitude of x axis gravity.
gx_max=300                                 The maximum magnitude of x axis gravity.
gy=9.80665                                 The magnitude of gravity in the direction of the (-) y-axis.
gy_min=-300                                The minimum magnitude of y axis gravity.
gy_max=300                                 The maximum magnitude of y axis gravity.
gr=9.80665                                 The magnitude of gravity in the radial direction.
gr_min=-300                                The minimum magnitude of radial gravity.
gr_max=300                                 The maximum magnitude of radial gravity.
g_multiplier=0.101971621298                The multiplier to set the number of g’s per chosen gravity value.
planetList=Sun,Mercury,Venus,Earth,Mars,   The list of names to show in the parameters palette for gravities.


                                                       A-52
Jupiter,Saturn,Uranus,Neptune,Pluto
gravityList= 274.13,3.59,8.87,9.80665,1.62,   The list of corresponding gravities to the planetList. Must be in same order as
3.77,25.95,11.08,10.67,14.07,0.42             the planetList.

[Ramp]
theta=0.78539816339745                        The default angle of the ramp (radians).
theta_min=0                                   The minimum angle of the ramp.
theta_mx=1.57079633                           The maximum angle of the ramp.
L=50                                          The length of the ramp (m).
L_min=1                                       The minimum length of the ramp.
L_max=10000                                   The maximum length of the ramp.
Material=wood                                 The material of the ramp. Choices in material section above.
YAxisPlacement=1.3                            The angle (radians) above which the object placement is controlled by the y
                                              location of the mouse.
[Rod]
theta=0.005                                   The starting angle of the rod from the positive y axis (radians).
theta_min=0                                   The minimum angle of the rod.
theta_mx=1.57079633                           The maximum angle of the rod.
r=1.5                                         The radius of the rod (m).
r_min=0.1                                     The minimum radius of the rod.
r_max=1000                                    The maximum radius of the rod.
l=20                                          The length of the rod.
l_min=1                                       The minimum length of the rod.
l_max=100000                                  The maximum length of the rod.
material=brickmortar                          The initial material of the rod. Options below.
materials=wood, cement, glass, titanium,      The options for material of the rod.
aluminum, castiron, brickmortar

wood_label=Wood                               The label for the wood material.
wood_tensile=35200000                         The tensile strength for wood material (Pa).
wood_density=518                              The density of the wood material (kg/m^3).

cement_label= Cement                          The label for the material.
cement _tensile=3500000                       The tensile strength for material.
cement _density=2320                          The density of the material.

glass_label= Glass                            The label for the material.
glass _tensile=3600000000                     The tensile strength for material.
glass _density=2530                           The density of the material.

titanium_label= Titanium                      The label for the material.
titanium _tensile=830000000                   The tensile strength for material.
titanium_density=4510                         The density of the material.

aluminum_label= Aluminum                      The label for the material.
aluminum _tensile=180000000                   The tensile strength for material.
aluminum _density=2700                        The density of the material.

castiron_label= Cast Iron                     The label for the material.
castrion _tensile=200000000                   The tensile strength for material.
castiron _density=6800                        The density of the material.

Brickmortar_label= Brick and Mortar           The label for the material.
Brickmortar _tensile=689000                   The tensile strength for material.
Brickmortar _density=1840                     The density of the material.



                                                          A-53
[Sled]
m=10                               The mass of the sled (kg).
m_min=0.001                        The minimum mass of the sled.
m_max=1000000                      The maximum mass of the sled.
Ls=2                               The length of the sled (m).
Ls_min=0.1                         The minimum length of the sled.
Ls_max=100                         The maximum length of the sled.
h=1                                The height of the sled (m).
h_min=0.1                          The minimum height of the sled.
h_max=100                          The maximum height of the sled.
w=0.5                              The width of the sled (m).
w_min=0.1                          The minimum width of the sled.
w_max=100                          The maximum width of the sled.
v0=0.0                             The initial velocity of the sled (m/s).
Beta=0.0                           The initial angle of velocity (rad).
material=metal                     The material of the sled.
min_pixel_h=8                      The minimum pixel height the sled can be.

[UnitTime]
s=1                                The base unit is in seconds.
min=60                             The number of seconds in a minute.
hr=3600                            The number of seconds in an hour.
day=86400                          The number of seconds in a day.
yr=31557600                        The number of seconds in a year.

[UnitTimeLabel]
s=s                                The label shown for seconds is “s”.
min=min                            The label shown for minute is “min”.
hr=hr                              The label for hour.
day=day                            The label for day.
yr=yr                              The label for year.

[UnitPosition]
m=1                                The base unit is in meters.
cm=100                             The number of centimeters in a meter.
km=0.001                           The number of kilometers in a meter.
in=39.37007                        The number of inches in a meter.
ft=3.28083                         The number of feet in a meter.
yd=1.09361                         The number of yards in a meter.
mi=0.0006213711                    The number of miles in a meter.
AU=0.0000000000066845871226706     The number of astronomical units in a meter.
Lyr=0.00000000000000010570008340   The number of light-years in a meter.

[UnitPositionLabel]
m=m                                The label for meters.
cm=cm                              The label for centimeters.
km=km                              The label for kilometers.
in=in                              The label for inches.
ft=ft                              The label for feet.
yd=yd                              The label for yards.
mi=mi                              The label for miles.
AU=AU                              The label for astronomical units.
Lyr=Lyr                            The label for light-years.

[UnitMass]
kg=1                               The base unit is in kilograms


                                               A-54
g=1000                       The number of grams in a kilogram.
Mg=.001                      The number of megagrams in a kilogram.
oz=35.274                    The number of ounces in a kilogram.
lbs=2.20462262               The number of pounds in a kilogram.
T=.001102                    The number of tons in a kilogram.
slg=.068522                  The number of slugs in a kilogram.

[UnitMassLabel]
kg=kg                        The label for kilogram.
g=g                          The label for grams.
Mg=Mg                        The label for megagrams.
oz=oz                        The label for ounces.
lbs=lbs                      The label for pounds.
T=Tons                       The label for tons.
slg=slugs                    The label for slugs.

[UnitForce]
N=1                          The base unit is in newtons.
dyn=100000                   The number of dynes in a newton.
PF=.22480                    The number of pounds-force in a newton.
TF=.0001124                  The number of tons-force in a newton.

[UnitForceLabel]
N=N                          The label for newtons.
dyn=dyn                      The label for dynes.
PF=lbs-F                     The label for pounds-force.
TF=Tons-F                    The label for tons-force.

[UnitVelocity]
m_s=1                        The base unit is meters per second.
Km_s=.001                    The number of kilometers per second in a meter per second.
Km_hr=3.60                   The number of kilometers per hour in a meter per second.
ft_s=3.28083                 The number of feet per second in a meter per second.
mi_s=.0006214                The number of miles per second in a meter per second.
mi_hr=2.2369363              The number of miles per hour in a meter per second.
AU_yr=4743.739               The number of astronomical units per year in a meter per second.

[UnitVelocityLabel]
m_s=m/s                      The label for meter per second.
Km_s=km/s                    The label for kilometer per second.
Km_hr=km/hr                  The label for kilometer per hour.
ft_s=ft/s                    The label for feet per second.
mi_s=mi/s                    The label for miles per second.
mi_hr=mi/hr                  The label for miles per hour.
AU_yr=AU/yr                  The label for astronomical units per year.

[UnitAirPressure]
atm=0.00000986923169314269   The number of atmosphere per pascal.
Pa=1                         The base unit is pascals.

[UnitAirPressureLabel]
atm=atm                      The label for atmospheres.
Pa=Pa                        The label for pascals.

[UnitTemperatureLabel]
C=C                          The label for Celsius.


                                         A-55
F=F                                The label for Fahrenheit.
K=K                                The label for Kelvin.

[UnitAngles]
R=1                                The base unit is radians.
D=57.297                           The number of degrees in a radian.

[UnitAnglesLabel]
R=rad                              The label for radians.
D=Degrees                          The label for degrees.

[ProjectileMotionBallExperiment]
X0=0                               The initial x coordinate of the object.
X0_min=-1000000                    The minimum x coordinate allowed.
X0_max=1000000                     The maximum x coordinate allowed.
Y0=0                               The initial y coordinate of the object.
Y0_min=-1000000                    The minimum y coordinate allowed.
Y0_max=1000000                     The maximum y coordinate allowed.

V0=0.0                             The initial velocity of the object (m/s).
V0_min=0                           The minimum velocity of the object.
V0_max=300000000                   The maximum velocity of the object.

Beta=0.78539816                    The initial angle of velocity of the object (rad). Counter-clockwise from + x axis.
Beta_min=0                         The minimum angle for velocity.
Beta_max=6.28318531                The maximum angle for velocity.

Fi=0                               The initial force applied to object.
Fi_min=0                           The minimum force allowed.
Fi_max=1000                        The maximum force allowed.

phi=0.0                            The angle of applied force (rad). Counter-clockwise from + x axis.
phi_min=0                          The minimum angle of applied force.
phi_max=6.28318531                 The maximum angle of applied force.

P=101325                           The initial pressure of air (Pa).
P_min=0                            The minimum pressure of air.
P_max=10132500                     The maximum pressure of air.

Z=0                                The initial altitude of experiment (m).
Z_min=0                            The minimum altitude.
Z_max=44642                        The maximum altitude.

gx=9.80665                         The gravitational acceleration along the x axis (m/s^2).
gx_min=0                           The minimum gravitational acceleration.
gx_max=300                         The maximum gravitational acceleration.

gy=9.80665                         The gravitational acceleration along the y axis (m/s^2).
gy_min=0                           The minimum gravitational acceleration.
gy_max=300                         The maximum gravitational acceleration.

gr=9.80665                         The gravitational acceleration radially towards the center of the screen, the
                                   origin (m/s^2).
gr_min=0                           The minimum gravitational acceleration.
gr_max=300                         The maximum gravitational acceleration.



                                                A-56
[RampMotionExperiment]
X0=0                     The initial x coordinate of the object.
X0_min=-1000000          The minimum x coordinate allowed.
X0_max=1000000           The maximum x coordinate allowed.
Y0=0                     The initial y coordinate of the object.
Y0_min=-1000000          The minimum y coordinate allowed.
Y0_max=1000000           The maximum y coordinate allowed.

V0=0                     The initial velocity of the object along the ramp (m/s^2).
V0_min=-300000000        The minimum velocity of the object.
V0_max=300000000         The maximum velocity of the object.

theta=0.0                The default angle of the ramp (rad).
theta_min=0              The minimum angle of the ramp.
theta_max=6.28318531     The maximum angle of the ramp.

Fi=0                     The force applied to the object (N).
Fi_min=0                 The minimum force allowed.
Fi_max=1000              The maximum force allowed.

P=101325                 The default pressure of air (Pa).
P_min=0                  The minimum pressure allowed.
P_max=10132500           The maximum pressure allowed.

Z=0                      The default altitude-sea level (m).
Z_min=0                  The minimum altitude allowed.
Z_max=44642              The maximum altitude allowed.

gx=9.80665               The gravitational acceleration along the x axis (m/s^2).
gx_min=0                 The minimum gravitational acceleration.
gx_max=300               The maximum gravitational acceleration.

gy=9.80665               The gravitational acceleration along the y axis (m/s^2).
gy_min=0                 The minimum gravitational acceleration.
gy_max=300               The maximum gravitational acceleration.

gr=9.80665               The gravitational acceleration radially towards the center (m/s^2).
gr_min=0                 The minimum gravitational acceleration.
gr_max=300               The maximum gravitational acceleration.

d=1                      The distance below the surface of the ramp the radial sink is located-projected
                         perpendicular to the ramp surface (m)
d_min=0                  The minimum distance radial sink is located.
d_max=10                 The maximum distance the radial sink is located.

uk=0.38                  The default coefficient of friction.
uk_min=0                 The minimum coefficient of friction.
uk_max=1                 The maximum coefficient of friction.

phi=0                    The angle the ball is rotated with respect to zero point-since the ball is
                         symmetrical this is not evident (rad).
phi_min=0                The minimum angle allowed.
phi_max=6.28318531       The maximum angle allowed.

AVO = 0.0                The initial angular velocity of ball (rad/s).
dAV0 = 0.0               The initial angular acceleration of the ball (rad/s^2).


                                      A-57
ball_radial_factor=1.0    Coefficients in the equations of motion. Do not change.
sled_radial_factor=1.0    Coefficients in the equations of motion. Do not change.

[BucketBallsExperiment]
MaxBalls=15               The Maximum number of balls allowed.
X0=0                      The initial x position of a ball (m).
X0_min=-1000000           The minimum x coordinate allowed. Must be inside the walls.
X0_max=1000000            The maximum x corrdinate allowe. Must be inside the walls.
Y0=0                      The initial y coordinate of the ball (m).
Y0_min=-1000000           The minimum y coordinate allowed. Must be inside the walls.
Y0_max=1000000            The maximum y coordinate allowed. Must be inside the walls.

V0=0                      The initial velocity of ball (m/s).
V0_min=-300000000         The minimum velocity of ball.
V0_max=300000000          The maximum velocity of ball.

vmin=0.000001             The minimum velocity allowed for the ball.

Beta=0                    The initial angle of velocity. A 0 radian angle is with respect to the positive x-
                          axis, moving counterclockwise through the quadrants from 0-2Pi radians.
Beta_min=0                The minimum angle of velocity.
Beta_max=6.28318531       The maximum angle of velocity.

Width=20                  The width of the table area bordered by the walls (m). Must be greater than
                          zero.
Width_min=1               The minimum width of the work area.
Width_max=10000           The maximum width of the work area.
Height=20                 The height of the table area bordered by the walls (m). Must be greater than
                          zero.
Height_min=1              The minimum height of the work area.
Height_max=10000          The maximum height of the work area.

Fi=0                      The initial force applied to ball (N).
Fi_min=0                  The minimum force allowed.
Fi_max=50                 The maximum force allowed.

phi=0.0                   The initial angle of applied force. A 0 radian angle is with respect to the
                          positive x-axis, moving counterclockwise through the quadrants from 0-2Pi
                          radians.
phi_min=0                 The minimum angle of applied force.
phi_max=6.28318531        The maximum angle of applied force.

surface_material=wood     The material of the surface. Must be one listed in materials section.
ball_material=metal       The material of the balls. Must be one listed in the materials section.

MaxBall1D=3               The maximum number of balls allowed for 1-d motion. Otherwise default 2-d.

gx=9.80665                The gravitational acceleration along the x axis (m/s^2).
gx_min=0                  The minimum gravitational acceleration.
gx_max=300                The maximum gravitational acceleration.

gy=9.80665                The gravitational acceleration along the y axis (m/s^2).
gy_min=0                  The minimum gravitational acceleration.
gy_max=300                The maximum gravitational acceleration.



                                       A-58
g=9.80665   The gravitational acceleration into the screen (m/s^2). This is what is holding
            the ball on the surface. Graphic is not shown.
g_min=0     The minimum value for gravitational acceleration into the screen.
g_max=300   The maximum value for gravitational acceleration into the screen.

uk=0.38     Default coefficient of friction.
uk_min=0    The minimum value for coefficient of friction.
uk_max=5    The maximum value for coefficient of friction.

k=1         The default coefficient of elasticity.
k_min=0     The minimum coefficient of elasticity. Totally inelastic.
k_max=1     The maximum coefficient of elasticity. Totally elastic.

b1_m=10     The mass for ball 1 (kg).
b1_r=0.5    The radius for ball 1 (m).
b1_x=0      The x coordinate for ball 1 (m).
b1_y=0      The y coordinate for ball 1.
b1_vx=0     The x velocity for ball 1 (m/s^2).
b1_vy=0     The y velocity for ball 1.
b1_F=0      Indicates if force is attached to ball 1. 1=yes. 0=no. Only one force can be
            applied to one of the balls at a time.

b2_m=10     The mass for ball 2.
b2_r=0.5    The radius for ball 2.
b2_x=0      The x coordinate for ball 2.
b2_y=0      The y coordinate for ball 2.
b2_vx=0     The x velocity for ball 2.
b2_vy=0     The y velocity for ball 2.
b2_F=0      Indicates if force is attached to ball 2. 1=yes. 0=no. Only one force to one ball
            at time.

b3_m=10     The mass for ball 3.
b3_r=0.5    The radius for ball 3.
b3_x=0      The x coordinate for ball 3.
b3_y=0      The y coordinate for ball 3.
b3_vx=0     The x velocity for ball 3.
b3_vy=0     The y velocity for ball 3.
b3_F=0      Indicates if force is attached to ball 3. 1=yes. 0=no. Only one force to one ball
            at time.

b4_m=10     The mass for ball 4.
b4_r=0.5    The radius for ball 4.
b4_x=0      The x coordinate for ball 4.
b4_y=0      The y coordinate for ball 4.
b4_vx=0     The x velocity for ball 4.
b4_vy=0     The y velocity for ball 4.
b4_F=0      Indicates if force is attached to ball 4. 1=yes. 0=no. Only one force to one ball
            at time.

b5_m=10     The mass for ball 5.
b5_r=0.5    The radius for ball 5.
b5_x=0      The x coordinate for ball 5.
b5_y=0      The y coordinate for ball 5.
b5_vx=0     The x velocity for ball 5.
b5_vy=0     The y velocity for ball 5.
b5_F=0      Indicates if force is attached to ball 5. 1=yes. 0=no. Only one force to one ball


                         A-59
at time.

b6_m=10     The mass for ball 6.
b6_r=0.5    The radius for ball 6.
b6_x=0      The x coordinate for ball 6.
b6_y=0      The y coordinate for ball 6.
b6_vx=0     The x velocity for ball 6.
b6_vy=0     The y velocity for ball 6.
b6_F=0      Indicates if force is attached to ball 6. 1=yes. 0=no. Only one force to one ball
            at time.

b7_m=10     The mass for ball 7.
b7_r=0.5    The radius for ball 7.
b7_x=0      The x coordinate for ball 7.
b7_y=0      The y coordinate for ball 7.
b7_vx=0     The x velocity for ball 7.
b7_vy=0     The y velocity for ball 7.
b7_F=0      Indicates if force is attached to ball 7. 1=yes. 0=no. Only one force to one ball
            at time.

b8_m=10     The mass for ball 8.
b8_r=0.5    The radius for ball 8.
b8_x=0      The x coordinate for ball 8.
b8_y=0      The y coordinate for ball 8.
b8_vx=0     The x velocity for ball 8.
b8_vy=0     The y velocity for ball 8.
b8_F=0      Indicates if force is attached to ball 8. 1=yes. 0=no. Only one force to one ball
            at time.

b9_m=10     The mass for ball 9.
b9_r=0.5    The radius for ball 9.
b9_x=0      The x coordinate for ball 9.
b9_y=0      The y coordinate for ball 9.
b9_vx=0     The x velocity for ball 9.
b9_vy=0     The y velocity for ball 9.
b9_F=0      Indicates if force is attached to ball 9. 1=yes. 0=no. Only one force to one ball
            at time.

b10_m=10    The mass for ball 10.
b10_r=0.5   The radius for ball 10.
b10_x=0     The x coordinate for ball 10.
b10_y=0     The y coordinate for ball 10.
b10_vx=0    The x velocity for ball 10.
b10_vy=0    The y velocity for ball 10.
b10_F=0     Indicates if force is attached to ball 10. 1=yes. 0=no. Only one force to one ball
            at time.

b11_m=10    The mass for ball 11.
b11_r=0.5   The radius for ball 11.
b11_x=0     The x coordinate for ball 11.
b11_y=0     The y coordinate for ball 11.
b11_vx=0    The x velocity for ball 11.
b11_vy=0    The y velocity for ball 11.
b11_F=0     Indicates if force is attached to ball 11. 1=yes. 0=no. Only one force to one ball
            at time.



                        A-60
b12_m=10              The mass for ball 12.
b12_r=0.5             The radius for ball 12.
b12_x=0               The x coordinate for ball 12.
b12_y=0               The y coordinate for ball 12.
b12_vx=0              The x velocity for ball 12.
b12_vy=0              The y velocity for ball 12.
b12_F=0               Indicates if force is attached to ball 12. 1=yes. 0=no. Only one force to one ball
                      at time.

b13_m=10              The mass for ball 13.
b13_r=0.5             The radius for ball 13.
b13_x=0               The x coordinate for ball 13.
b13_y=0               The y coordinate for ball 13.
b13_vx=0              The x velocity for ball 13.
b13_vy=0              The y velocity for ball 13.
b13_F=0               Indicates if force is attached to ball 13. 1=yes. 0=no. Only one force to one ball
                      at time.

b14_m=10              The mass for ball 14.
b14_r=0.5             The radius for ball 14.
b14_x=0               The x coordinate for ball 14.
b14_y=0               The y coordinate for ball 14.
b14_vx=0              The x velocity for ball 14.
b14_vy=0              The y velocity for ball 14.
b14_F=0               Indicates if force is attached to ball 14. 1=yes. 0=no. Only one force to one ball
                      at time.

b15_m=10              The mass for ball 15.
b15_r=0.5             The radius for ball 15.
b15_x=0               The x coordinate for ball 15.
b15_y=0               The y coordinate for ball 15.
b15_vx=0              The x velocity for ball 15.
b15_vy=0              The y velocity for ball 15.
b15_F=0               Indicates if force is attached to ball 15. 1=yes. 0=no. Only one force to one ball
                      at time.

[RodExperiment]
DividePoints=20       The number of sections to divide the rod into for calculations.
TestPoints = 10       The number of sections to test on the rod out of the total number of divided
                      sections.

g=9.80665             The value of the gravitational constant for rod experiment (m/s^2).
g_min=0               The minimum value for the gravitational constant.
g_max=300             The maximum value for the gravitational constant.

[PlanetExperiment]
sun_mass=1.98892e30   The mass of the sun (kg).
sun_mass_min=1e25     The minimum mass of sun.
sun_mass_max=1e45     The maximum mass of sun.
sun_spin=0.04         The amount of spin for the sun graphic.

time_min=0            The minimum date allowed in the planetary simulation. Year=0.
time_max=4000         The maximum date allowed in the planetary simulation. Year=4000.

CalculateAll=1        Calculate all of the data for each planet. 1=yes.0=no. Use 0 for slower
                      computers to speed up computations.


                                  A-61
a=1e10                The semi-major axis default (m).
a_min=1e9             The minimum semi-major axis.
a_max=1e14            The maximum semi-major axis.

E=.1                  The default eccentricity.
E_min=0               The minimum eccentricity.
E_max=1.0             The maximum eccentricity.

mass=1e6              The default mass of planet (kg).
mass_min=1e6          The minimum mass of planet.
mass_max=1e45         The maximum mass of planet.

inclination=0         The inclination of the orbit with respect to the Earth-Sun plane (degrees).
inclination_min=0     The minimum inclination.
inclination_max=180   The maximum inclination.

X0=0                  The initial starting position x coordinate (m).
X0_min=-1e15          The minimum x coordinate.
X0_max=1e15           The maximum x coordinate.

Y0=0                  The initial starting position y coordinate (m).
Y0_min=-1e15          The minimum y coordinate.
Y0_max=1e15           The maximum y coordinate.

[PlanetMercury]
mass=3.3022e23        The mass of Mercury (kg).
a=5.791e10            The semi-major axis of Mercury (m).
E=.20563              The eccentricity of the orbit of Mercury.
Inclination=7         The inclination of the orbit of Mercury.
X0=-0.27856           The initial x coordinate of Mercury-this is from the starting day of Jan 1, 2006
                      (AU).
Y0=-0.36032           The initial y coordinate of Mercury-this is from the starting day of Jan 1, 2006
                      (AU).
Y0_Hemi=-             The check for initial position since a circle can have positive y values and
                      negative y values for the same x. The program only places the planet initially
                      according to the x value. = Above x axis. - = Below x axis.
spin=0.01705140316    The rotational period based off of 1 being the spin of the Earth.
moons=                The moons associated with Mercury. None allowed.

[PlanetVenus]         The mass of Venus (kg).
mass=4.869e24         The semi-major axis of Venus (m).
a=10.821e10           The eccentricity of the orbit of Venus.
E=.0067               The inclination of the orbit of Venus.
Inclination=3.39      The initial x coordinate of Venus- this is from the starting day of Jan 1, 2006
                      (AU).
X0=-0.03285           The initial y coordinate of Venus - this is from the starting day of Jan 1, 2006
                      (AU).
Y0=0.71867            The check for initial position since a circle can have positive y values and
                      negative y values. The program only places the planet initially according to the
                      x value. = Above x axis. - = Below x axis.
spin=0.004114913062   The rotational period based off of 1 being the spin of the Earth.
moons=                The moons associated with Venus. None allowed.

[PlanetEarth]
mass=5.9742e24        The mass of Earth (kg).


                                   A-62
a=14.96e10                            The semi-major axis of Earth (m).
E=.0167                               The eccentricity of the orbit of Earth.
Inclination=0                         The inclination of the orbit of Earth.
X0=-0.17789                           The x coordinate of Earth (AU).
Y0=0.96713                            The y coordinate of Earth.
spin=1                                The rotational period based off of 1 being the spin of the Earth.
moons=Moon                            The moons associated with Earth. Options: Moon

[PlanetMars]
mass=6.4191e23                        The mass of Mars.
a=22.792e10                           The semi-major axis of Mars.
E=.0935                               The eccentricity of the orbit of Mars.
Inclination=1.85                      The inclination of the orbit of Mars.
X0=0.40626                            The initial x coordinate of Mars.
Y0=1.47623                            The initial y coordinate of Mars.
spin=1.00273948427                    The rotational period based off of 1 being the spin of the Earth.
moons=Deimos,Phobos                   The moons associated with Mars. Options: Deimos,Phobos

[PlanetJupiter]
mass=1.8988e27                        The mass of Jupiter.
a=77.857e10                           The semi-major axis of Jupiter.
E=.0489                               The eccentricity of the orbit of Jupiter.
Inclination=1.3                       The inclination of the orbit of Jupiter.
X0=-4.47847                           The initial x coordinate of Jupiter.
Y0=-3.08624                           The initial y coordinate of Jupiter.
Y0_Hemi=-                             The check for initial position since a circle can have positive y values and
                                      negative y values. The program only places the planet initially according to the
                                      x value. = Above x axis. - = Below x axis.
spin=2.41815733794                    The rotational period based off of 1 being the spin of the Earth.
moons=Callisto,Europa,Ganymede,Io     The moons associated with Jupiter. Options: Callisto,Europa,Ganymede,Io

[PlanetSaturn]                        The mass of Saturn.
mass=5.685e26                         The semi-major axis of Saturn.
a=143.353e10                          The eccentricity of the orbit of Saturn.
E=.0565                               The inclination of the orbit of Saturn.
Inclination=2.49                      The initial x coordinate of Saturn.
X0=-5.46407                           The initial y coordinate of Saturn.
Y0=7.2853                             The check for initial position since a circle can have positive y values and
                                      negative y values. The program only places the planet initially according to the
                                      x value. = Above x axis. - = Below x axis.
spin=2.25220528566                    The rotational period based off of 1 being the spin of the Earth.
moons=Enceladus,Iapetus,Mimas,Titan   The moons associated with Saturn. Options:Enceladus,Iapetus,Mimas,Titan

[PlanetUranus]
mass=8.6625e25                        The mass of Uranus.
a=287.246e10                          The semi-major axis of Uranus.
E=.0457                               The eccentricity of the orbit of Uranus.
Inclination=.77                       The inclination of the orbit of Uranus.
X0=18.8727                            The initial x coordinate of Uranus.
Y0=-6.83659                           The initial y coordinate of Uranus.
Y0_Hemi=-                             The check for initial position since a circle can have positive y values and
                                      negative y values. The program only places the planet initially according to the
                                      x value. = Above x axis. - = Below x axis.
spin=1.39211136956                    The rotational period based off of 1 being the spin of the Earth.
moons=Titania,Miranda,Oberon          The moons associated with Uranus. Options:Titania,Miranda,Oberon



                                                  A-63
[PlanetNeptune]
mass=1.0278e26         The mass of Neptune.
a=449.506e10           The semi-major axis of Neptune.
E=.0113                The eccentricity of the orbit of Neptune.
Inclination=1.77       The inclination of the orbit of Neptune.
X0=22.0093             The initial x coordinate of Neptune.
Y0=-20.4713            The initial y coordinate of Neptune.
Y0_Hemi=-              The check for initial position since a circle can have positive y values and
                       negative y values. The program only places the planet initially according to the
                       x value. = Above x axis. - = Below x axis.
spin=1.48975791434     The rotational period based off of 1 being the spin of the Earth.
moons=Triton           The moons associated with Neptune. Option: Triton

[PlanetPluto]
mass=1.314e22          The mass of Pluto.
a=590.638e10           The semi-major axis of Pluto.
E=.2488                The eccentricity of the orbit of Pluto.
Inclination=17.15      The inclination of the orbit of Pluto.
X0=-3.00077            The initial x coordinate of Pluto.
Y0=-30.6266            The initial y coordinate of Pluto.
Y0_Hemi=-              The check for initial position since a circle can have positive y values and
                       negative y values. The program only places the planet initially according to the
                       x value. = Above x axis. - = Below x axis.
spin=0.156568028809    The rotational period based off of 1 being the spin of the Earth.
moons=Charon           The moons associated with Pluto. Option: Charon

[Planet]
mass=6e24              The mass of the Planet.
a=2                    The semi-major axis of the Planet.
E=.15                  The eccentricity of the Planet.
Inclination=           The inclination of the orbit of the Planet.
X0=-3.00077            The x coordinate of the Planet .
moons=                 The moons associated the Planet. Option: none.

[PlanetHalleysComet]
mass=1.7e15            The mass of Halley’s Comet.
a=268.379E+10          The semi-major axis Halley’s Comet.
E=.9673                The eccentricity of the orbit of Halley’s Comet.
Inclination=162.24     The inclination of the orbit of Halley’s Comet.
X0=28.04863505         The x coordinate of Halley’s Comet.
moons=                 The moons associated with Halley’s Comet. None allowed.

[MoonMoon]
Mass=7.3349e22         The mass of the Moon (kg).
E=.0549                The eccentricity of the orbit of the Moon.
Inclination=5.145      The inclination of the orbit of the Moon.
R=1.74e6               The radius of the Moon (m)
a=3.844e8              The semi-major axis of the orbit of the Moon.
X0=-.17697             The initial x coordinate of the Moon (AU).
Y0=.96490              The initial y coordinate of the Moon (AU).

[MoonDeimos]
Mass=5e11              The mass of Deimos (kg).
E=0.0                  The eccentricity of the orbit of Deimos.
Inclination=1.8        The inclination of the orbit of Deimos.
R=4e3                  The radius of Deimos (m).


                                   A-64
a=2.3495e7        The semi-major axis of the orbit of Deimos.
X0=.40626         The initial x coordinate of Deimos (AU).
Y0=1.47607        The initial y coordinate of the Deimos (AU).
OrbitReset=.05    The number of years to elapse before the orbit resets to the original initial
                  position due to the multi-body interactions.

[MoonPhobos]
Mass=1.05e16      The mass of Phobos (kg).
E=.01             The eccentricity of Phobos.
Inclination=1     The inclination of the orbit of Phobos.
R=6e3             The radius of Phobos (m)
a=9.378e6         The semi-major axis of the orbit of Phobos.
X0=.40620         The initial x coordinate of Phobos (AU).
Y0=1.47622        The initial y coordinate of Phobos (AU).
OrbitReset=.05    The number of years to elapse before the orbit resets to the original initial
                  position due to the multi-body interactions.

[MoonCallisto]
Mass=1.076e23     The mass of Callisto (kg).
E=.007            The eccentricity of Callisto.
Inclination=.51   The inclination of the orbit of Callisto.
R=2.4e6           The radius of Callisto (m)
a=1.883e9         The semi-major axis of the orbit of Callisto.
X0=-4.49089       The initial x coordinate of Callisto (AU).
Y0=-3.08874       The initial y coordinate of Callisto (AU).
Y0_Hemi=-         The check for initial position since a circle can have positive y values and
                  negative y values. + = Above x axis. - = Below x axis.
OrbitReset=10     The number of years to elapse before the orbit resets to the original initial
                  position due to the multi-body interactions.

[MoonEuropa]
Mass=4.8e22       The mass of Europa (kg).
E=.009            The eccentricity of Europa.
Inclination=.47   The inclination of the orbit of Europa.
R=1.569e6         The radius of Europa (m)
a=6.709e8         The semi-major axis of the orbit of Europa.
X0=-4.47986       The initial x coordinate of Europa (AU).
Y0=-3.09054       The initial y coordinate of Europa (AU).
Y0_Hemi=-         The check for initial position since a circle can have positive y values and
                  negative y values. + = Above x axis. - = Below x axis.
OrbitReset=10     The number of years to elapse before the orbit resets to the original initial
                  position due to the multi-body interactions.

[MoonGanymede]
Mass=1.482e23     The mass of Ganymede (kg).
E=.0015           The eccentricity of Ganymede.
Inclination=.21   The inclination of the orbit of Ganymede.
R=2.631e6         The radius of Ganymede (m)
a=1.07e9          The semi-major axis of the orbit of Ganymede.
X0=-4.47229       The initial x coordinate of Ganymede (AU).
Y0=-3.08984       The initial y coordinate of Ganymede (AU).
Y0_Hemi=-         The check for initial position since a circle can have positive y values and
                  negative y values. + = Above x axis. - = Below x axis.
OrbitReset=10     The number of years to elapse before the orbit resets to the original initial
                  position due to the multi-body interactions.



                              A-65
[MoonIo]
Mass=8.93e22       The mass of Io (kg).
E=.004             The eccentricity of Io.
Inclination=.04    The inclination of the orbit of Io.
R=1.818e6          The radius of Io (m)
a=4.216e8          The semi-major axis of the orbit of Io.
X0=-4.47805        The initial x coordinate of Io (AU).
Y0=-3.08902        The initial y coordinate of Io (AU).
Y0_Hemi=-          The check for initial position since a circle can have positive y values and
                   negative y values. + = Above x axis. - = Below x axis.
OrbitReset=10      The number of years to elapse before the orbit resets to the original initial
                   position due to the multi-body interactions.

[MoonEnceladus]
Mass=8.4e19        The mass of Enceladus (kg).
E=.00452           The eccentricity of Enceladus.
Inclination=0      The inclination of the orbit of Enceladus.
R=2.5e5            The radius of Enceladus (m)
a=2.3804e8         The semi-major axis of the orbit of Enceladus.
X0=-5.46372        The initial x coordinate of Enceladus (AU).
Y0=7.28666         The initial y coordinate of Enceladus (AU).
OrbitReset=10      The number of years to elapse before the orbit resets to the original initial
                   position due to the multi-body interactions.

[MoonIapetus]
Mass=1.88e21       The mass of Iapetus (kg).
E=.028             The eccentricity of Iapetus.
Inclination=7.52   The inclination of the orbit of Iapetus.
R=7.30e5           The radius of Iapetus (m)
a=3.5608e9         The semi-major axis of the orbit of Iapetus.
X0=-5.46279        The initial x coordinate of Iapetus (AU).
Y0=7.30821         The initial y coordinate of Iapetus (AU).
OrbitReset=10      The number of years to elapse before the orbit resets to the original initial
                   position due to the multi-body interactions.

[MoonMimas]
Mass=3.8e19        The mass of Mimas (kg).
E=.0202            The eccentricity of Mimas.
Inclination=1.53   The inclination of the orbit of Mimas.
R=1.96e5           The radius of Mimas (m)
a=1.8554e8         The semi-major axis of the orbit of Mimas.
X0=-5.46410        The initial x coordinate of Mimas (AU).
Y0=7.28642         The initial y coordinate of Mimas (AU).
OrbitReset=10      The number of years to elapse before the orbit resets to the original initial
                   position due to the multi-body interactions.

[MoonTitan]
Mass=1.35e23       The mass of Titan (kg).
E=.0292            The eccentricity of Titan.
Inclination=.33    The inclination of the orbit of Titan.
R=2.575e6          The radius of Titan (m)
a=1.22186e9        The semi-major axis of the orbit of Titan.
X0=-5.46105        The initial x coordinate of Titan (AU).
Y0=7.27859         The initial y coordinate of Titan (AU).
OrbitReset=10      The number of years to elapse before the orbit resets to the original initial
                   position due to the multi-body interactions.


                               A-66
[MoonTitania]
Mass=3.52e21          The mass of Titania (kg).
E=.0022               The eccentricity of Titania.
Inclination=.14       The inclination of the orbit of Titania.
R=7.9e5               The radius of Titania (m)
a=4.38e8              The semi-major axis of the orbit of Titania.
X0=18.8755            The initial x coordinate of Titania (AU).
Y0=-6.83724           The initial y coordinate of Titania (AU).
Y0_Hemi=-             The check for initial position since a circle can have positive y values and
                      negative y values. + = Above x axis. - = Below x axis.
OrbitReset=10         The number of years to elapse before the orbit resets to the original initial
                      position due to the multi-body interactions.

[MoonMiranda]
Mass=6.33e19          The mass of Miranda (kg).
E=.003                The eccentricity of Miranda.
Inclination=4.22      The inclination of the orbit of Miranda.
R=2.36e5              The radius of Miranda (m)
a=1.3e8               The semi-major axis of the orbit of Miranda.
X0=18.8729            The initial x coordinate of Miranda (AU).
Y0=-6.83648           The initial y coordinate of Miranda (AU).
Y0_Hemi=-             The check for initial position since a circle can have positive y values and
                      negative y values. + = Above x axis. - = Below x axis.
OrbitReset=10         The number of years to elapse before the orbit resets to the original initial
                      position due to the multi-body interactions.

[MoonOberon]
Mass=3.01e21          The mass of Oberon (kg).
E=.0008               The eccentricity of Oberon.
Inclination=.1        The inclination of the orbit of Oberon.
R=7.63e5              The radius of Oberon (m)
a=5.834e8             The semi-major axis of the orbit of Oberon.
X0=18.8721            The initial x coordinate of Oberon (AU).
Y0=-6.83700           The initial y coordinate of Oberon (AU).
Y0_Hemi=-             The check for initial position since a circle can have positive y values and
                      negative y values. + = Above x axis. - = Below x axis.
OrbitReset=10         The number of years to elapse before the orbit resets to the original initial
                      position due to the multi-body interactions.

[MoonTriton]
Mass=2.14e22          The mass of Triton (kg).
E=.000016             The eccentricity of Triton.
Inclination=157.345   The inclination of the orbit of Triton.
R=1.352e6             The radius of Triton (m)
a=3.55e8              The semi-major axis of the orbit of Triton.
X0=22.0071            The initial x coordinate of Triton (AU).
Y0=-20.4712           The initial y coordinate of Triton (AU).
Y0_Hemi=-             The check for initial position since a circle can have positive y values and
                      negative y values. + = Above x axis. - = Below x axis.
OrbitReset=10         The number of years to elapse before the orbit resets to the original initial
                      position due to the multi-body interactions.

[MoonCharon]
Mass=1.62e21          The mass of Charon (kg).
E=.0003               The eccentricity of Charon.


                                  A-67
Inclination=96.16                The inclination of the orbit of Charon.
R=5.93e5                         The radius of Charon (m)
a=1.9571e8                       The semi-major axis of the orbit of Charon.
X0=-3.00089                      The initial x coordinate of Charon (AU).
Y0=-30.6267                      The initial y coordinate of Charon (AU).
Y0_Hemi=-                        The check for initial position since a circle can have positive y values and
                                 negative y values. + = Above x axis. - = Below x axis.
OrbitReset=10                    The number of years to elapse before the orbit resets to the original initial
                                 position due to the multi-body interactions.

[FreeMotionUniformGravityBall]
h=.01                            The Runge Kutta step size for free motion uniform gravity experiments with
                                 ball.
hmin=.00001                      The minimum step size allowed.
equationTimer_mSec=100           .
TOL=.00001                       The accuracy of the values being approximated in Runge Kutta.

[FreeMotionUniformGravitySled]
h=.01                            The Runge Kutta step size for free motion uniform gravity experiments with
                                 sled.
hmin=.00001                      The minimum step size allowed.
equationTimer_mSec=100
TOL=.00001                       The accuracy of the values being approximated in Runge Kutta.

[FreeMotionRadialGravityBall]
h=.01                            The Runge Kutta step size for free motion radial gravity experiments with ball.
hmin=.00001                      The minimum step size allowed.
equationTimer_mSec=100
TOL=.00001                       The accuracy of the values being approximated in Runge Kutta.

[FreeMotionRadialGravitySled]
h=.01                            The Runge Kutta step size for free motion radial gravity experiments with sled.
hmin=.00001                      The minimum step size allowed.
equationTimer_mSec=100
TOl=.00001                       The accuracy of the values being approximated in Runge Kutta.

[RampUniformGravityBall]
h=.01                            The Runge Kutta step size for ramp motion uniform gravity experiments with
                                 ball.
hmin=.00001                      The minimum step size allowed.
equationTimer_mSec=100
TOL=.00001                       The accuracy of the values being approximated in Runge Kutta.
TOLMax=1                         The maximum allowed TOL value before it just accepts the value.

[RampUniformGravitySled]
h=.01                            The Runge Kutta step size for ramp motion uniform gravity experiments with
                                 sled.
hmin=.00001                      The minimum step size allowed.
equationTimer_mSec=100
TOL=.00001                       The accuracy of the values being approximated in Runge Kutta.
TOLMax=.75                       The maximum allowed TOL value before it just accepts the value.

[RampRadialGravityBall]
h=.01                            The Runge Kutta step size for ramp motion radial gravity experiments with
                                 ball.
hmin=.00001                      The minimum step size allowed.


                                             A-68
equationTimer_mSec=100
 TOL=.00001                          The accuracy of the values being approximated in Runge Kutta.
 TOLMax=1                            The maximum allowed TOL value before it just accepts the value.

 [RampRadialGravitySled]
 h=.01                               The Runge Kutta step size for ramp motion radial gravity experiments with
                                     sled.
 hmin=.00001                         The minimum step size allowed.
 equationTimer_mSec=100
 TOL=.007                            The accuracy of the values being approximated in Runge Kutta.
 TOLMax=.1                           The maximum allowed TOL value before it just accepts the value.

 [BucketBalls]
 h=.001                              The step size for the Bucket of Balls experiment.
 hmin=.0000001                       The minimum step size allowed.
 equationTimer_mSec=100
 TOL=.00001                          Not used.

 [FallingRod]
 h=.01                               The Runge Kutta step size for the falling rod experiment.
 hmin=.00001                         The minimum step size allowed.
 equationTimer_mSec=100
 TOL=.00001                          The accuracy of the values being approximated in Runge Kutta.

 [Planets]
 h=86400                             The maximum step size for Runge Kutta to use in planetary motion.
 hmin=.000001                        The minimum step sized allowed in Runge Kutta.
 equationTimer_mSec=75
 TOL=1.0                             The accuracy of the values being approximated in Runge Kutta.
 X0_Diff=.01                         The accuracy of finding the initial position.

 [Administrator]
 Phi0=0                              The initial angular velocity of the ball in ramp experiment.
 Phi0_min=0                          The minimum initial angular velocity.
 Phi0_max=10                         The maximum initial angular velocity.

 [Misc]
 Cp_ball=.5                          The drag coefficient for a generic ball.
 Cp_sled=1                           The drag coefficient for a generic block.
 alpha=.000155                       The linear air resistance constant.
 row=1.2250                          The default air density.

Preset Experiments
Located on the clipboard in the mechanics stockroom is a set of 15 preset experiments listed by
title. If allowed by the instructor, students can select one of these experiments and, upon
returning to the laboratory, the selected experiment will be automatically set up and running. A
preset experiment can also be used for assignments so a student can accept an assignment with
the experiment already set up for them. Preset experiments are intended to provide flexibility for
the instructor so the mechanics simulation can be adapted to the level of the class or the
individual teaching style of the instructor. Several experiments have already been defined and are
installed with the software. This section describes how these files can be modified.




                                                 A-69
Each preset experiment is defined using an INI file. For the preset experiments on the clipboard,
these files have the name Experimentn.ini, where n is a number between 1 and 15 and represents
experiments 1 through 15 on the clipboard. These files are located in the Presets directory in the
PhysicsM directory. For the preset experiments used in assignments, these files must be located
in the Assignments/Mechanics directory and can have any name but must have the extension
“.ini”. Information on how to use preset experiments in assignments is given in the “Mechanics
Assignments” section. Note that in client installations, any modified preset experiments for the
clipboard must be modified for each client installation.

Given subsequently is a description of a preset experiment INI file and the variables that are used
to define an experiment. Before reviewing the INI file information, here are some important
points to keep in mind: (a) All of the variables described have default values, so variables may be
left blank or not used at all. An experiment can be set up or defined to any degree desired by the
instructor. (b) Some variables are mutually exclusive; that is, the use of one variable may mean
another variable cannot be used. Some error checking exists for such situations, but the error
checking is not comprehensive.

The following two tables show the INI variables used in preset experiments. The first lists all the
variables that can be used and their allowed values. Default values are given in red. The second
is an example of a preset experiment for a balanced force experiment to show how the variables
can be used.

Complete Mechanics Preset Experiment INI Variable List
 [Title]
 title=Free Motion Radial Gravity – Ball The title for the lab.

 [General]
 tray= bucketballs,ramp,air,sliding, rolling,     Sets which items are in the tray. (Case sensitive). Remember some are
 gUp, gDown, gRight, gLeft, gRadial, rocket,      mutually exclusive. They must be placed in this order.
 plunger, mercury, venus, earth, mars,
 juptier, saturn, uranus, neptune, pluto,
 comet
 motion= ramp,air,sliding, rolling, gUp,          Sets which items are in the motion experiment area. (Case sensitive). Items
 gDown, gRight, gLeft, gRadial, rocket,           must be placed in order as they appear in the options.
 plunger, mercury, venus, earth, mars,
 juptier, saturn, uranus, neptune, pluto,
 comet
 startLoc=motion (or stock, lab)                  Starting location for the preset.

 gridx1=-12                                       The initial coordinates for the grid. X1 is for the negative x values.
 gridx2=12                                        x2 on the positive x values.
 gridy1=-7                                        Grid y coordinates will be ignored unless we are in free motion (they will
                                                  always be scaled to match the x coordinates). y1 is the negative y values.
 gridy2=7                                         y2 is the positive y values.

 coordinate=polar (or Cartesian,                  The current coordinate system displayed.
 cartesianTotal, polarTotal)
 labbook=1                                        The labbook is open or closed. 1=open, 0=closed
 acceleration=1 (or 0.01, 0.05, 0.1, 0.5, 1, 5,   The time acceleration factor to use. Must equal one of the options in the INI file
 10,                                              above.
 50, 100, 500)



                                                               A-70
recordData=a1, b1, a2, b2, a3, b3, a4, b4,    The list of cells from the data output table to record in the labbook. The rows
a5, b5                                        are labeled a and b from top to bottom and the columns are numbered 1-5
                                              from left to right.

[Units]
time=s (or min,hr, day, yr)                   The time units used.
position=m (or cm, km, in, ft, yrd, mi, AU,   The position units used.
lya)
mass=kg (or g, Mg, oz, lbs, T, slg)           The mass units used.
force=N (or dyn, PF, TF)                      The force units used.

[planet]
view=0 (or 1, 2, 3)                           The view to go to. Options 0 (solar system top), 1 (solar system parallel view),
                                              2 (planet top), 3 (planet inside)
size=0 (or 1)                                 Sets the size of the planets. 1=big (enlarged), 0=small (to scale)
planet=earth (or any planet)                  Selected Planet.
trackMoon=moon                                Moon to track. Used ONLY if view = 2 or 3 AND it's planet is specified
angle=0 ( between 0 – 360)                    Angle of view for inside view.
date=0                                        Tells how many days from day 0 year 2006. It can be positive or negative.
sun_mass=1.9819e30                            Mass of the sun.

[ball]
m=100                                         The mass of the ball.
r=1.16                                        The radius of the ball.
vx=-5                                         The velocity in x-direction (ignored for ramp).
vy=.2                                         The velocity in y-direction (ignored for ramp).
v=-2                                          The total velocity - used only for when ball is placed DIRECTLY in motion area
                                              on ramp (ie not on tray)
x=-1                                          The initial x coordinate.
y=2                                           The initial y coordinate.
s=10                                          The position from the bottom of the ramp (x and y coordinates are ignored).
material=rubber                               The material of ball. Must match materials list in INI file.
sphere=thin                                   The type of sphere to use. Options: solid or thin. This only makes a difference
                                              for ramp motion for the rotational inertia.

[sled]
m=100                                         The mass of the sled.
l=10                                          The length of the sled.
h=25                                          The height of the sled.
w=30                                          The width of the sled.
vx=-5                                         The velocity of the sled in the x direction.
vy=.2                                         The velocity of the sled in the y direction.
v=-2                                          The velocity of the sled along the ramp.
x=1                                           The initial x coordinante of the sled.
y=2                                           The initial y coordinante of the sled.
s=10                                          The initial position along the ramp from the bottom.
material=rubber                               The material of the sled. Must be one of the options in INI file.

[rod]
theta=.00314                                  The initial angle of the rod. Angle from 0-1.57079633
r=10                                          The radius of the rod.
l=20                                          The length of the rod.
tensile=689000                                The tensile strength of the rod. Units in pascals.
density=1000                                  The density of the material of the rod.
material=aluminum                             This will set tensile and density, if tensile and density variables are missing
                                              from the preset. Must match material in INI file.


                                                           A-71
[bucketballs]
surface_material=metal        The surface material of the table. Must match a material in the INI file.
ball_material=plastic         The material of the ball. Must match material in the INI file.
k=1                           The elasticity coefficient. Between 0-1.
type=1D                       The type of experiment being performed. Options: 1D or 2D.

# is a number between 1-15.   Each ball will have the following information if you want to specify it in a preset.
b#_m=10                       The mass of ball #.
b#_r=0.5                      The radius of ball #.
b#_x=0                        The initial x coordinante of ball #. Ignored if not in motion area.
b#_y=0                        The initial y coordinante of ball #. Ignored if not in motion area.
b#_vx=0                       The initial velcosity in the x direction of ball #.
b#_vy=0                       The initial velocity in the y direction of ball #.
b#_motion=1                   This indicates if ball is in the motion area. 0=no 1=yes
b#_F=1                        This indicates if the force is attached to this ball. Can only be attached to one
                              ball at a time. Ball must be in motion area. 0=no 1=attached
b#_Selected=0                 Sets if this ball is currently being tracked for display. 0=No. 1=Tracked.

[ramp]
theta = .33                   The angle of the ramp from the x-axis. Options between 0 – 1.570796 rad.
L=100                         The length of the ramp.
material=wood                 The material of the ramp.

[air]
P=101325                      The pressure of the location of experiment (Pa). This sets the air resistance.
Z=5                           The altitude of location of experiment (m).

[sliding]
uk=.23                        The coefficient of friction for sliding and rolling with slipping.

[rolling]
uk=.23                        The coefficient of friction for pure rolling without slipping.

[gUp]
g=9.8                         The gravitational acceleration in the up direction (m/s^2).

[gDown]
g=9.8                         The gravitational acceleration in the down direction.

[gLeft]
g=9.8                         The gravitational acceleration in the left direction.

[gRight]
g=9.8                         The gravitational acceleration in the right direction.

[gRadial]
g=9.8                         The gravitational acceleration in the radial direction.
d=.5                          The distance below the surface of the ramp the radial sink is located-projected
                              perpendicular to the ramp surface (m)

[rocket]
Fi=1000                       The magnitude of force.
time=-1                       The time of applied force. -1=continuous. Positive values set the number of
                              seconds the rocket is applied.
angle=.78                     The angle of applied force. Overwrittien if there is a ramp chosen at a defined


                                           A-72
angle. The force will be applied at that angle. The sled can only be hit at
                                      angles of 0, pi/2, pi, 3*pi/2.

 [plunger]
 Fi=10000                             The magnitude of force.
 angle=.78                            The angle of the applied force. Overwritten with sled or ramp.

 [mercury]
 hideMoon=                            Sets which moons to NOT display. Options: none.
 [venus]
 hideMoon=                            Sets which moons to NOT display. Options: none.
 [earth]
 hideMoon=                            Sets which moons to NOT display. Options: moon.
 [mars]
 hideMoon=                            Sets which moons to NOT display. Options: Deimos, Phobos.
 [jupiter]
 hideMoon=io,europa                   Sets which moons to NOT display. Options: Callisto, Europa, Ganymede, Io.
 [saturn]
 hideMoon=                            Sets which moons to NOT display. Options: Enceladus, Iapetus, Mimas, Titan.
 [uranus]
 hideMoon=                            Sets which moons to NOT display. Options: Titania, Miranda, Oberon.
 [neptune]
 hideMoon=                            Sets which moons to NOT display. Options: Triton.
 [pluto]
 hideMoon=                            Sets which moons to NOT display. Options: Charon.
 [comet]

Example Mechanics Preset Experiment
 [Title]
 title=Balanced Forces          The title for the experiment.

 [General]
 tray=rolling                         The items in the tray.
 motion=ramp, ball, gDown, rocket     The items in the motion area.
 startLoc=motion                      The current viewing location.

 gridx1=10                            The setup for the grid axis.
 gridx2=0
 gridy1=-7
 gridy2=7

 coordinate=Polar                     The current coordinates.
 labbook=1                            The labbook is opened.
 acceleration=1                       The time acceleration value.
 recordData=a1, b1, a2, b2, a3        The data to record in the labbook.

 [Units]                              The current units.
 time=sec
 position=m
 mass=kg
 force=N

 [ball]
 m=100                                The mass of the ball.
 r=1.5                                The radius of the ball.
 vx=0                                 The initial x velocity of the ball.


                                                    A-73
vy=0                                The initial y velocity of the ball.
 v=0                                 The initial total velocity of the ball.
 x=0                                 The initial x coordinate.
 y=0                                 The initial y coordinate.
 s=50                                The initial position on the ramp from the bottom.
 material=wood                       The material of the ball.
 sphere=solid                        The type of ball.

 [ramp]
 theta = 1.570796                    The angle of the ramp.
 l=100                               The length of the ramp.
 material=cement                     The material of the ramp.

 [rolling]
  k=.38                              The coefficient of friction.

 [gDown]
 g=9.80665                           The gravitational acceleration down.

 [rocket]
 Fi=849.3                            The magnitude of force.
 time=-1                             The time of applied force.
 angle=3.141592654                   The angle of applied force.


Density INI File
The density laboratory allows students the ability to perform realistic density and buoyancy
experiments in a controlled environment of their pleasing. Much of the experiments are
controlled using the laboratory INI file however, there are presets that will be determined by
their own preset INI files. The presets INI are described bleow. The variables contained in the
laboratory INI file are explained below. Note that each variable has its own default max/min
values. The purpose of providing this information is to grant instructors the ability to change or
adjust the density simulation to suit their own needs.

Density.ini
INI Variables                       Description
[Balance]                           Required header line.
BalDigits=3                         The number of decimal places available on the balance.
MaxBalance=4.0                      The maximum mass that can be weighed on the balance in kg.
Balance_Flicker_Max=.000001         The maximum amount that the balance flickers between readings.
Balance_Flicker_Time=2.5            The time between each flicker in seconds.

[Beaker]                            Required header line.
Beaker_mass_%dev=5                  The percent deviation in weight from the set beaker mass.
MaxBeakerVol=250                    The maximum amount of volume a beaker can hold in mL.
Beaker_mass=.100                    The set mass for each beaker in g.

[Solids]                            Required header line.
Object_mass_%dev=0.1                The percent deviation in weight from the set object mass.
radius_min=.015                     The minimum radius of the object in meters.


                                                  A-74
radius_max=.0172              The maximum radius of the object in meters.
VSolidmindensity=0.1          The minimum density of a random virtual solid (g/mL).
VSolidmaxdensity=25           The maximum density of a random virtual solid (g/mL).

[Fluids]                      Required header line.
VFluidmindensity=0.1          The minimum density of a random virtual fluid (g/mL).
VFluidmaxdensity=25           The maximum density of a random virtual fluid (g/mL).
VFluidminviscosity=0.000001   The minimum viscosity of a random virtual fluid.
VFluidmaxviscosity=25         The maximum viscosity of a random virtual fluid.

[Cylinder]                    Required header line.
MaxCylVol=230                 The maximum volume fill for the cylinder in mL.
radius=.017841                The radius of the graduated cylinder in meters.
FillVariationMax=4.0          The maximum variation in volume of the filled cylinder in mL.
GlassError_%Dev=0.25          The percent deviation in glassware error.

[Timer]                       Required header line.
TimeDigits=2                  Number of decimil places shown on the timer.



Solids.ini
INI Variables                 Description
[Aluminum]                    Required header line.
Solid=Aluminum                The name of the solid.
Density=2.643                 The density of the solid (g/mL).
Color=Aluminum                The color of the solid.
Explodes=                     What liquids the solid explodes in.

[Brass]                       Required header line.
Solid=Brass                   The name of the solid.
Density=8.553                 The density of the solid (g/mL).
Color=Brass                   The color of the solid.
Explodes=                     What liquids the solid explodes in.

[Brick]                       Required header line.
Solid=Brick                   The name of the solid.
Density=1.922                 The density of the solid (g/mL).
Color=Brick                   The color of the solid.
Explodes=                     What liquids the solid explodes in.

[Bronze]                      Required header line.
Solid=Bronze                  The name of the solid.
Density=8.8                   The density of the solid (g/mL).
Color=Bronze                  The color of the solid.
Explodes=                     What liquids the solid explodes in.

[Carbon]                      Required header line.



                                            A-75
Solid=Carbon                                   The name of the solid.
Density=2.163                                  The density of the solid (g/mL).
Color=Carbon                                   The color of the solid.
Explodes=                                      What liquids the solid explodes in.

[Cement]                                       Required header line.
Solid=Cement                                   The name of the solid.
Density=1.509                                  The density of the solid (g/mL).
Color=Cement                                   The color of the solid.
Explodes=                                      What liquids the solid explodes in.

[Cesium]                                       Required header line.
Solid=Cesium                                   The name of the solid.
Density=1.879                                  The density of the solid (g/mL).
Color=Cesium                                   The color of the solid.
Explodes= Acetone, Alcohol, Ammonia,           What liquids the solid explodes in.
Bromine, Ethanol, Glycerol, Maple Syrup, Milk,
Phenolphthalein, Salt Water, Soda, Water

[Cherry Wood]                                  Required header line.
Solid=Cherry Wood                              The name of the solid.
Density=.433                                   The density of the solid (g/mL).
Color=Cherry Wood                              The color of the solid.
Explodes=                                      What liquids the solid explodes in.

[Chocolate]                                    Required header line.
Solid=Chocolate                                The name of the solid.
Density=1.3                                    The density of the solid (g/mL).
Color=Chocolate                                The color of the solid.
Explodes=                                      What liquids the solid explodes in.

[Copper]                                       Required header line.
Solid=Copper                                   The name of the solid.
Density=8.92                                   The density of the solid (g/mL).
Color=Copper                                   The color of the solid.
Explodes=                                      What liquids the solid explodes in.

[Cork]                                         Required header line.
Solid=Cork                                     The name of the solid.
Density=.24                                    The density of the solid (g/mL).
Color=Cork                                     The color of the solid.
Explodes=                                      What liquids the solid explodes in.

[Glass]                                        Required header line.
Solid=Glass                                    The name of the solid.
Density=2.579                                  The density of the solid.
Color=Glass                                    The color of the solid.
Explodes=                                      What liquids the solid explodes in.



                                                             A-76
[Gold]            Required header line.
Solid=Gold        The name of the solid.
Density=19.32     The density of the solid (g/mL).
Color=gold        The color of the solid.
Explodes=         What liquids the solid explodes in.

[Granite]         Required header line.
Solid=Granite     The name of the solid.
Density=2.691     The density of the solid (g/mL).
Color=Granite     The color of the solid.
Explodes=         What liquids the solid explodes in.

[Ice]             Required header line.
Solid=Ice         The name of the solid.
Density=.897      The density of the solid (g/mL).
Color=Ice         The color of the solid.
Explodes=         What liquids the solid explodes in.

[Iron]            Required header line.
Solid=Iron        The name of the solid.
Density=7.207     The density of the solid (g/mL).
Color=Iron        The color of the solid.
Explodes=         What liquids the solid explodes in.

[Ivory]           Required header line.
Solid=Ivory       The name of the solid.
Density=1.842     The density of the solid (g/mL).
Color=Ivory       The color of the solid.
Explodes=         What liquids the solid explodes in.

[Lead]            Required header line.
Solid=Lead        The name of the solid.
Density=11.37     The density of the solid (g/mL).
Color=Lead        The color of the solid.
Explodes=         What liquids the solid explodes in.

[Limestone]       Required header line.
Solid=Limestone   The name of the solid.
Density=2.467     The density of the solid (g/mL).
Color=Limestone   The color of the solid.
Explodes=         What liquids the solid explodes in.

[Mahogany]        Required header line.
Solid=Mahogany    The name of the solid.
Density=.705      The density of the solid (g/mL).
Color=Mahogany    The color of the solid.
Explodes=         What liquids the solid explodes in.



                                A-77
[Nickel]                                       Required header line.
Solid=Nickel                                   The name of the solid.
Density=8.602                                  The density of the solid (g/mL).
Color=Nickel                                   The color of the solid.
Explodes=                                      What liquids the solid explodes in.

[Pine Wood]                                    Required header line.
Solid=Pine Wood                                The name of the solid.
Density=.65                                    The density of the solid (g/mL).
Color=Pine Wood                                The color of the solid.
Explodes=                                      What liquids the solid explodes in.

[Plastic]                                      Required header line.
Solid=Plastic                                  The name of the solid.
Density=1.00                                   The density of the solid (g/mL).
Color=Plastic                                  The color of the solid.
Explodes=                                      What liquids the solid explodes in.

[Platinum]                                     Required header line.
Solid=Platinum                                 The name of the solid.
Density=21.090                                 The density of the solid (g/mL).
Color=Platinum                                 The color of the solid.
Explodes=                                      What liquids the solid explodes in.

[Red Oak Wood]                                 Required header line.
Solid=Red Oak Wood                             The name of the solid.
Density=.673                                   The density of the solid (g/mL).
Color=Red Oak Wood                             The color of the solid.
Explodes=                                      What liquids the solid explodes in.

[Rubber]                                       Required header line.
Solid=Rubber                                   The name of the solid.
Density=1.506                                  The density of the solid (g/mL).
Color=Rubber                                   The color of the solid.
Explodes=                                      What liquids the solid explodes in.

[Sodium]                                       Required header line.
Solid=Sodium                                   The name of the solid.
Density=0.968                                  The density of the solid (g/mL).
Color=Silicon                                  The color of the solid.
Explodes= Acetone, Alcohol, Ammonia,           What liquids the solid explodes in.
Bromine, Ethanol, Glycerol, Maple Syrup, Milk,
Phenolphthalein, Salt Water, Soda, Water

[Silver]                                       Required header line.
Solid=Silver                                   The name of the solid.
Density=10.490                                 The density of the solid (g/mL).



                                                             A-78
Color=silver            The color of the solid.
Explodes=               What liquids the solid explodes in.

[Steel]                 Required header line.
Solid=Steel             The name of the solid.
Density=7.715           The density of the solid (g/mL).
Color=Steel             The color of the solid.
Explodes=               What liquids the solid explodes in.

[Sulfur]                Required header line.
Solid=Sulfur            The name of the solid.
Density=2.002           The density of the solid (g/mL).
Color=Sulfur            The color of the solid.
Explodes=               What liquids the solid explodes in.

[Tin]                   Required header line.
Solid=Tin               The name of the solid.
Density=7.352           The density of the solid (g/mL).
Color=Tin               The color of the solid.
Explodes=               What liquids the solid explodes in.

[Titanium]              Required header line.
Solid=Titanium          The name of the solid.
Density=4.507           The density of the solid (g/mL).
Color=Titanium          The color of the solid.
Explodes=               What liquids the solid explodes in.

[Tungsten]              Required header line.
Solid=Tungsten          The name of the solid.
Density=19.250          The density of the solid (g/mL).
Color=Tungsten          The color of the solid.
Explodes=               What liquids the solid explodes in.

[Walnut Wood]           Required header line.
Solid=Walnut Wood       The name of the solid.
Density=0.593           The density of the solid (g/mL).
Color=Walnut Wood       The color of the solid.
Explodes=               What liquids the solid explodes in.

[Zinc]                  Required header line.
Solid=Zinc              The name of the solid.
Density=7.140           The density of the solid (g/mL).
Color=Zinc              The color of the solid.
Explodes=               What liquids the solid explodes in.

[Virtual Solid A]       Required header line.
Solid=Virtual Solid A   The name of the solid.
Density=.312            The density of the solid (g/mL).



                                      A-79
Color=Virtual Yellow     The color of the solid.
Explodes=                What liquids the solid explodes in.

[Virtual Solid B]        Required header line.
Solid=Virtual Solid B    The name of the solid.
Density=5.362            The density of the solid (g/mL).
Color=Virtual Red        The color of the solid.
Explodes=                What liquids the solid explodes in.

[Virtual Solid C]        Required header line.
Solid= Virtual Solid C   The name of the solid.
Density=14.895           The density of the solid (g/mL).
Color=Virtual Blue       The color of the solid.
Explodes=                What liquids the solid explodes in.

[Virtual Solid D]        Required header line.
Solid=Virtual Solid D    The name of the solid.
Density=10               The density of the solid (g/mL).
Color=Virtual Black      The color of the solid.
Explodes=                What liquids the solid explodes in.


Colors.ini
INI Variables            Description
[Red]                    Required header line.
color=Bromine            The name for red in this program is Bromine.

[Clear]                  Required header line
color=clear              The name for clear in this program is clear

[Dark Yellow]            Required header line
color=CornSyrup          The name for dark yellow in this program is CornSyrup.

[Purple]                 Required header line
color=GrapeSoda          The name for purple in this program is GrapeSoda

[Brown]                  Required header line
Color=MapleSyrup         The name for brown in this program is MapleSyrup.

[Honey]                  Required header line
Color=Honey              The name for honey in this program is Honey.

[Silver]                 Required header line
Color=Mercury            The name for silver in this program is Mercury.

[White]                  Required header line
Color=Milk               The name for white in this program is Milk.




                                       A-80
[Dark Brown]        Required header line
Color=MotorOil      The name for dark brown in this program is MotorOil.

[Yellow]            Required header line
Color=OliveOil      The name for yellow in this program is OliveOil.

[Black]             Required header line
Color=Tar           The name for black in this program is tar.

[ClearRed]          Required header line
Mix=yes             This color is a mix of 2 already listed colors.
Color=Bromine       Color one from above in the mix.
Color2=Clear        Color two from above in the mix
Color2Blend=20      Percent of the second color that makes up the mix.

[DarkBrownRed]      Required header line
Mix=yes             This color is a mix of 2 already listed colors.
Color=Bromine       Color one from above in the mix.
Color2=MotorOil     Color two from above in the mix
Color2Blend=50      Percent of the second color that makes up the mix.

[BrownRed]          Required header line
Mix=yes             This color is a mix of 2 already listed colors.
Color=Bromine       Color one from above in the mix.
Color2=MapleSyrup   Color two from above in the mix
Color2Blend=50      Percent of the second color that makes up the mix.

[RedWhite]          Required header line
Mix=yes             This color is a mix of 2 already listed colors.
Color=Bromine       Color one from above in the mix.
Color2=Milk         Color two from above in the mix
Color2Blend=30      Percent of the second color that makes up the mix.

[RedPurple]         Required header line
Mix=yes             This color is a mix of 2 already listed colors.
Color=Bromine       Color one from above in the mix.
Color2=GrapeSoda    Color two from above in the mix
Color2Blend=50      Percent of the second color that makes up the mix.

[ClearDarkBrown]    Required header line
Mix=yes             This color is a mix of 2 already listed colors.
Color=MotorOil      Color one from above in the mix.
Color2=Clear        Color two from above in the mix
Color2Blend=20      Percent of the second color that makes up the mix.

[YellowDarkBrown]   Required header line
Mix=yes             This color is a mix of 2 already listed colors.
Color=MotorOil      Color one from above in the mix.



                                  A-81
Color2=OliveOil    Color two from above in the mix
Color2Blend=30     Percent of the second color that makes up the mix.

[ClearBrown]       Required header line
Mix=yes            This color is a mix of 2 already listed colors.
Color=MapleSyrup   Color one from above in the mix.
Color2=Clear       Color two from above in the mix
Color2Blend=20     Percent of the second color that makes up the mix.

[ClearWhite]       Required header line
Mix=yes            This color is a mix of 2 already listed colors.
Color=Milk         Color one from above in the mix.
Color2=Clear       Color two from above in the mix
Color2Blend=20     Percent of the second color that makes up the mix.

[ClearYellow]      Required header line
Mix=yes            This color is a mix of 2 already listed colors.
Color=OliveOil     Color one from above in the mix.
Color2=Clear       Color two from above in the mix
Color2Blend=20     Percent of the second color that makes up the mix.

[ClearPurple]      Required header line
Mix=yes            This color is a mix of 2 already listed colors.
Color=GrapeSoda    Color one from above in the mix.
Color2=Clear       Color two from above in the mix
Color2Blend=20     Percent of the second color that makes up the mix.

[PurpleWhite]      Required header line
Mix=yes            This color is a mix of 2 already listed colors.
Color=GrapeSoda    Color one from above in the mix.
Color2=Milk        Color two from above in the mix
Color2Blend=40     Percent of the second color that makes up the mix.

[BrownPurple]      Required header line
Mix=yes            This color is a mix of 2 already listed colors.
Color=MapleSyrup   Color one from above in the mix.
Color2=GrapeSoda   Color two from above in the mix
Color2Blend=30     Percent of the second color that makes up the mix.

[RedYellow]        Required header line
Mix=yes            This color is a mix of 2 already listed colors.
Color=Bromine      Color one from above in the mix.
Color2=OliveOil    Color two from above in the mix
Color2Blend=30     Percent of the second color that makes up the mix.

[BrownWhite]       Required header line
Mix=Yes            This color is a mix of 2 already listed colors.
Color=MapleSyrup   Color one from above in the mix.



                                 A-82
color2=Milk                                      Color two from above in the mix
Color2Blend=35                                   Percent of the second color that makes up the mix.

[YellowBrown]                                    Required header line
Mix=yes                                          This color is a mix of 2 already listed colors.
Color=CornSyrup                                  Color one from above in the mix.
Color2=MotorOil                                  Color two from above in the mix
Color2Blend=50                                   Percent of the second color that makes up the mix.


Fluids.ini
INI Variables                                    Description
[Acetone]                                        Required header line.
Solid=Acetone                                    The name of the fluid.
Density=0.78458                                  The density of the fluid (g/mL).
Viscosity=.000306                                The viscosity of the fluid.
Miscible=Alcohol, Ammonia, Bromine, Car Oil,     The fluids that the fluid in question is miscible with.
Ethanol, Gasoline, Glycerol, Jet Fuel, Maple
Syrup, Milk, Olive Oil, Phenolphthalein, Sea
Water, Soda, Turpentine, Water
Color=clear                                      The color of the fluid.
MixColor= clear, clear, clearred,                The color of the mixed fluid in the same order as miscibility.
cleardarkbrown, clear, clear, clear, clear,
clearbrown, clearwhite, clearyellow, clear,
clear, clearpurple, clear, clear

[Alcohol]                                        Required header line.
Fluid= Alcohol                                   The name of the fluid.
Density=.78651                                   The density of the fluid (g/mL).
Viscosity=.000544                                The viscosity of the fluid.
Miscible= Acetone, Ammonia, Bromine, Car         The fluids that the fluid in question is miscible with.
Oil, Ethanol, Gasoline, Glycerol, Jet Fuel,
Maple Syrup, Milk, Olive Oil, Phenolphthalein,
Sea Water, Soda, Turpentine, Water
Color=clear                                      The color of the fluid.
MixColor= clear, clear, clearred,                The color of the mixed fluid in the same order as miscibility.
cleardarkbrown, clear, clear, clear, clear,
clearbrown, clearwhite, clearyellow, clear,
clear, clearpurple, clear, clear

[Ammonia]                                        Required header line.
Fluid= Ammonia                                   The name of the fluid.
Density=.82335                                   The density of the fluid (g/mL).
Viscosity=.00000982                              The viscosity of the fluid.
Bromine, Car Oil, Ethanol, Gasoline, Glycerol,   The fluids that the fluid in question is miscible with.
Jet Fuel, Maple Syrup, Milk, Olive Oil,
Phenolphthalein, Sea Water, Soda,
Turpentine, Water
Color=clear                                      The color of the fluid.
MixColor= clear, clear, clearred,                The color of the mixed fluid in the same order as miscibility.
cleardarkbrown, clear,clear, clear, clear,


                                                                A-83
clearbrown, clearwhite, clearyellow, clear,
clear, clearbrown, clear, clear

[Bromine]                                     Required header line.
Fluid= Bromine                                The name of the fluid.
Density=3.1028                                The density of the fluid (g/mL).
Viscosity=.00095                              The viscosity of the fluid.
Miscible= Acetone, Alcohol, Ammonia, Car Oil, The fluids that the fluid in question is miscible with.
Ethanol, Gasoline, Glycerol, Jet Fuel, Maple
Syrup, Milk, Olive Oil, Phenolphthalein, Sea
Water, Soda, Turpentine, Water
Color=Red                                     The color of the fluid.
MixColor=clearred, clearred, clearred,        The color of the mixed fluid in the same order as miscibility.
darkbrownred, clearred, clearred, clearred,
clearred, brownred, redwhite, redyellow,
clearred, clearred, redpurple, clearred,
clearred

[Car Oil]                                         Required header line.
Fluid= Car Oil                                    The name of the fluid.
Density=.8913                                     The density of the fluid (g/mL).
Viscosity=.0318                                   The viscosity of the fluid.
Miscible= Acetone, Alcohol, Ammonia,              The fluids that the fluid in question is miscible with.
Bromine, Ethanol, Gasoline, Glycerol, Jet
Fuel, Olive Oil, Phenolphthalein, Turpentine
Color=Dark Brown                                  The color of the fluid.
MixColor=cleardarkbrown, cleardarkbrown,          The color of the mixed fluid in the same order as miscibility.
cleardarkbrown, darkbrownred,
cleardarkbrown, cleardarkbrown,
cleardarkbrown, cleardarkbrown,
yellowdarkbrown, cleardarkbrown,
cleardarkbrown

[Corn Syrup]                                      Required header line.
Fluid= Corn Syrup                                 The name of the fluid.
Density=1.38                                      The density of the fluid (g/mL).
Viscosity=7                                       The viscosity of the fluid.
Miscible=                                         The fluids that the fluid in question is miscible with.
Color=Dark Yellow                                 The color of the fluid.
MixColor=                                         The color of the mixed fluid in the same order as miscibility.

[Ethanol]                                         Required header line.
Fluid= Ethanol                                    The name of the fluid.
Density=.57026                                    The density of the fluid (g/mL).
Viscosity=.00107                                  The viscosity of the fluid.
Miscible= Acetone, Alcohol, Ammonia,              The fluids that the fluid in question is miscible with.
Bromine, Car Oil, Gasoline, Glycerol, Jet Fuel,
Maple Syrup, Milk, Olive Oil, Phenolphthalein,
Sea Water, Soda, Turpentine, Water
Color= clear                                      The color of the fluid.
MixColor= clear, clear, clear, clearred,          The color of the mixed fluid in the same order as miscibility.



                                                                 A-84
cleardarkbrown, clear, clear, clear, clearbrown,
clearwhite, clearyellow, clear, clear,
clearpurple, clear, clear

[Gasoline]                                         Required header line.
Fluid= Gasoline                                    The name of the fluid.
Density=.73722                                     The density of the fluid (g/mL).
Viscosity=.000748                                  The viscosity of the fluid.
Miscible= Acetone, Alcohol, Ammonia,               The fluids that the fluid in question is miscible with.
Bromine, Car Oil, Ethanol, Glycerol, Jet Fuel,
Olive Oil, Phenolphthalein, Turpentine
Color= clear                                       The color of the fluid.
MixColor= clear, clear, clear, clearred,           The color of the mixed fluid in the same order as miscibility.
cleardarkbrown, clear, clear, clear,
clearyellow, clear, clear

[Glycerol]                                       Required header line.
Fluid= Glycerol                                  The name of the fluid.
Density=1.25937                                  The density of the fluid (g/mL).
Viscosity=.934                                   The viscosity of the fluid.
Miscible= Acetone, Alcohol, Ammonia,             The fluids that the fluid in question is miscible with.
Bromine, Car Oil, Ethanol, Gasoline, Jet Fuel,
Maple Syrup, Milk, Olive Oil, Phenolphthalein,
Sea Water, Soda, Turpentine, Water
Color=clear                                      The color of the fluid.
MixColor= clear, clear, clear, clearred,         The color of the mixed fluid in the same order as miscibility.
cleardarkbrown, clear, clear, clear, clearbrown,
clearwhite, clearyellow, clear, clear,
clearpurple, clear, clear

[Honey]                                            Required header line.
Fluid= Honey                                       The name of the fluid.
Density=1.45                                       The density of the fluid (g/mL).
Viscosity=14                                       The viscosity of the fluid.
Miscible=                                          The fluids that the fluid in question is miscible with.
Color=Honey                                        The color of the fluid.
MixColor=                                          The color of the mixed fluid in the same order as miscibility.

[Jet Fuel]                                         Required header line.
Fluid= Jet Fuel                                    The name of the fluid.
Density=.81715                                     The density of the fluid (g/mL).
Viscosity=.002214                                  The viscosity of the fluid.
Miscible= Acetone, Alcohol, Ammonia,               The fluids that the fluid in question is miscible with.
Bromine, Car Oil, Ethanol, Gasoline, Glycerol,
Olive Oil, Phenolphthalein, Turpentine
Color= clear                                       The color of the fluid.
MixColor= clear, clear, clear, clearred,           The color of the mixed fluid in the same order as miscibility.
cleardarkbrown, clear, clear, clear,
clearyellow, clear, clear

[Maple Syrup]                                      Required header line.


                                                                  A-85
Fluid= Maple Syrup                                The name of the fluid.
Density=.982                                      The density of the fluid (g/mL).
Viscosity=3.2                                     The viscosity of the fluid.
Miscible= Acetone, Alcohol, Ammonia,              The fluids that the fluid in question is miscible with.
Bromine, Ethanol, Glycerol, Milk,
Phenolphthalein, Sea Water, Soda, Water
Color=brown                                       The color of the fluid.
MixColor= clearbrown, clearbrown,                 The color of the mixed fluid in the same order as miscibility.
clearbrown, brownred, clearbrown,
clearbrown, brownwhite, clearbrown,
clearbrown, brownpurple, clearbrown

[Mercury]                                         Required header line.
Fluid= Mercury                                    The name of the fluid.
Density=13.57                                     The density of the fluid (g/mL).
Viscosity=.00153                                  The viscosity of the fluid.
Miscible=                                         The fluids that the fluid in question is miscible with.
Color=silver                                      The color of the fluid.
MixColor=                                         The color of the mixed fluid in the same order as miscibility.

[Milk]                                            Required header line.
Fluid= Milk                                       The name of the fluid.
Density=1.02                                      The density of the fluid (g/mL).
Viscosity=.00256                                  The viscosity of the fluid.
Miscible= Acetone, Alcohol, Ammonia,              The fluids that the fluid in question is miscible with.
Bromine, Ethanol, Glycerol, Maple Syrup,
Phenolphthalein, Sea Water, Soda, Water
Color=white                                       The color of the fluid.
MixColor= clearwhite, clearwhite, clearwhite,     The color of the mixed fluid in the same order as miscibility.
redwhite, clearwhite, clearwhite, brownwhite,
clearwhite, clearwhite, purplewhite, clearwhite

[Olive Oil]                                       Required header line.
Fluid= Olive Oil                                  The name of the fluid.
Density=.895                                      The density of the fluid (g/mL).
Viscosity=.081                                    The viscosity of the fluid.
Miscible= Acetone, Alcohol, Ammonia,              The fluids that the fluid in question is miscible with.
Bromine, Car Oil, Ethanol, Gasoline, Glycerol,
Jet Fuel, Phenolphthalein, Turpentine
Color=yellow                                      The color of the fluid.
MixColor= clearyellow, clearyellow,               The color of the mixed fluid in the same order as miscibility.
clearyellow, redyellow, yellowdarkbrown,
clearyellow, clearyellow, clearyellow,
clearyellow, clearyellow, clearyellow

[Phenolphthalein]                                 Required header line.
Fluid= Phenolphthalein                            The name of the fluid.
Density=.81215                                    The density of the fluid (g/mL).
Viscosity=.000475                                 The viscosity of the fluid.
Ammonia, Bromine, Car Oil, Ethanol,               The fluids that the fluid in question is miscible with.
Gasoline, Glycerol, Jet Fuel, Maple Syrup,


                                                                 A-86
Milk, Olive Oil, Sea Water, Soda, Turpentine,
Water
Color= clear                                  The color of the fluid.
MixColor= clear, clear, clear, clearred,      The color of the mixed fluid in the same order as miscibility.
cleardarkbrown, clear, clear, clear, clear,
clearbrown, clearwhite, clearyellow, clear,
clearpurple, clear, clear

[Sea Water]                                    Required header line.
Fluid=Sea Water                                The name of the fluid.
Density=1.025                                  The density of the fluid (g/mL).
Viscosity=.00165                               The viscosity of the fluid.
Miscible= Acetone, Alcohol, Ammonia,           The fluids that the fluid in question is miscible with.
Bromine, Ethanol, Glycerol, Maple Syrup, Milk,
Phenolphthalein, Soda, Water
Color= clear                                   The color of the fluid.
MixColor= clear,clear, clear, clearred, clear, The color of the mixed fluid in the same order as miscibility.
clear, clearbrown, clearwhite, clear,
clearpurple, clear

[Soda]                                         Required header line.
Fluid= Soda                                    The name of the fluid.
Density=.94                                    The density of the fluid (g/mL).
Viscosity=.00102                               The viscosity of the fluid.
Miscible= Acetone, Alcohol, Ammonia,           The fluids that the fluid in question is miscible with.
Bromine, Ethanol, Glycerol, Maple Syrup, Milk,
Phenolphthalein, Sea Water, Water
Color=Purple                                   The color of the fluid.
MixColor= clearpurple, clearpurple,            The color of the mixed fluid in the same order as miscibility.
clearpurple, redpurple, clearpurple,
clearpurple, brownpurple, purplewhite,
clearpurple, clearpurple, clearpurple

[Tar]                                            Required header line.
Fluid= Tar                                       The name of the fluid.
Density=1.153                                    The density of the fluid (g/mL).
Viscosity=100                                    The viscosity of the fluid.
Miscible=                                        The fluids that the fluid in question is miscible with.
Color=black                                      The color of the fluid.
MixColor=                                        The color of the mixed fluid in the same order as miscibility.

[Turpentine]                                     Required header line.
Fluid= Turpentine                                The name of the fluid.
Density=.86807                                   The density of the fluid (g/mL).
Viscosity=0.001                                  The viscosity of the fluid.
Miscible= Acetone, Alcohol, Ammonia,             The fluids that the fluid in question is miscible with.
Bromine, Car Oil, Ethanol, Gasoline, Glycerol,
Jet Fuel, Olive Oil, Phenolphthalein
Color= clear                                     The color of the fluid.
MixColor= clear, clear, clear, clearred,         The color of the mixed fluid in the same order as miscibility.
cleardarkbrown, clear, clear, clear, clear,


                                                                A-87
clearyellow, clear

[Water]                                         Required header line.
Fluid= Water                                    The name of the fluid.
Density=.99997                                  The density of the fluid (g/mL).
Viscosity=.001                                  The viscosity of the fluid.
Miscible= Acetone, Alcohol, Ammonia,            The fluids that the fluid in question is miscible with.
Bromine, Ethanol, Glycerol, Maple Syrup, Milk,
Phenolphthalein, Sea Water, Soda
Color= clear                                    The color of the fluid.
MixColor= clear, clear, clear, clearred, clear, The color of the mixed fluid in the same order as miscibility.
clear, clearbrown, clearwhite, clear, clear,
clearpurple

[Virtual Fluid A]                               Required header line.
Fluid= Virtual Fluid A                          The name of the fluid.
Density=0.1354                                  The density of the fluid (g/mL).
Viscosity=2.54                                  The viscosity of the fluid.
Miscible=                                       The fluids that the fluid in question is miscible with.
Color=Red                                       The color of the fluid.
MixColor=                                       The color of the mixed fluid in the same order as miscibility.

[Virtual Fluid B]                               Required header line.
Fluid= Virtual Fluid B                          The name of the fluid.
Density=0.2356                                  The density of the fluid (g/mL).
Viscosity=5                                     The viscosity of the fluid.
Miscible=                                       The fluids that the fluid in question is miscible with.
Color=purple                                    The color of the fluid.
MixColor=                                       The color of the mixed fluid in the same order as miscibility.

[Virtual Fluid C]                               Required header line.
Fluid= Virtual Fluid C                          The name of the fluid.
Density=2.23                                    The density of the fluid (g/mL).
Viscosity=10                                    The viscosity of the fluid.
Miscible=                                       The fluids that the fluid in question is miscible with.
Color=Dark Yellow                               The color of the fluid.
MixColor=                                       The color of the mixed fluid in the same order as miscibility.

[Virtual Fluid D]                               Required header line.
Fluid= Virtual Fluid D                          The name of the fluid.
Density=8.456                                   The density of the fluid (g/mL).
Viscosity=50                                    The viscosity of the fluid.
Miscible=                                       The fluids that the fluid in question is miscible with.
Color=Black                                     The color of the fluid.
MixColor=                                       The color of the mixed fluid in the same order as miscibility.




                                                               A-88
Preset Experiments
Located on the clipboard in the density laboratory is a set of 15 preset experiments listed by title.
If allowed by the instructor, students can select one of these experiments and, upon returning to
the laboratory, the selected experiment will be automatically set up and running. Preset
experiments are intended to provide flexibility for the instructor so the density simulation can be
adapted to the level of the class or the individual teaching style of the instructor. Several
experiments have already been defined and are installed with the software. This section describes
how these files can be modified.

Each preset experiment is defined using an INI file. For the preset experiments on the clipboard,
these files have the name Experimentn.ini, where n is a number between 1 and 15 and represents
experiments 1 through 15 on the clipboard. These files are located in the Presets directory in the
PhysicsD directory. Note that in client installations, any modified preset experiments for the
clipboard must be modified for each client installation.

Given subsequently is a description of a preset experiment INI file and the variables that are used
to define an experiment. Before reviewing the INI file information, here are some important
points to keep in mind: (a) All of the variables described have default values, so variables may be
left blank or not used at all. An experiment can be set up or defined to any degree desired by the
instructor. (b) Some variables are mutually exclusive; that is, the use of one variable may mean
another variable cannot be used. Some error checking exists for such situations, but the error
checking is not comprehensive.

The following two tables show the INI variables used in preset experiments. The first lists all the
variables that can be used and their allowed values. Default values are given in red. The second
is an example of a preset experiment for a simple density experiment to show how the variables
can be used.

Complete Preset Experiment INI Variable List
 INI Variables                   Description
 [Title]
 Title=Test Preset                            Sets the title of the experiment as shown on the clipboard. Not used for preset
                                              electronic assignments.

 [Cylinder1]
 BallType=Real, virtual (Default = no ball)   Defines whether the ball in cylinder 1 will be Real or Virtual - this is a required
                                              item for the ball to be used.
 BallKnown=no, yes (Default = yes)            Sets whether the student will know what the ball is.
 BallRadius=.01 (Default=random size will     Defines the radius of the ball in cylinder 1. It must be within the set max/min
 be created)                                  values for ball radius.
 BallName=Aluminum                            Defines the name of the ball and will be shown if the ball is known, but even if
                                              the ball is unknown this is a required item. If the ball is Real, the name must
                                              match an already exiting ball in the solids.ini file. If the ball is Virtual, the name
                                              can be whatever you want
 BallDensity=.5                               If the ball is virtual the ball density is required. This defines the density of the
                                              virtual ball in g/mL.
 BallColor=clear                              This defines the ball color of virtual balls. This value must match a color value
                                              in the solids.ini.
 Fluid1Type=Virtual, Real (Default = no       This is a required field and defines whether or not the fluid is real or virtual.



                                                           A-89
fluid)

Fluid1Known=yes, no                             Sets whether the student will know what the fluid is.
(Default = yes)
Fluid1Amount=half, full                         Defines the amount of fluid 1 in cylinder 1. A random value around full or half
                                                will be used.
Fluid1Name=Corn Syrup                           Defies the name of the fluid that will be shown if the fluid is known. If the fluid
                                                is real it must be from the pre-existing fluids.ini file, but if it is virtual it can be
                                                whatever you want.
Fliud1Density=1.1                               Defines the density for virtual fluids in g/ml.
Fluid1Viscosity=.003 (Default = a random        Defines the viscosity for virtual fluids.
value between the min/max will be
selected)
Fluid1Color=red                                 Defines the color for virtual fluids, and the color must match a value color in
                                                the colors.ini file.
Fluid2Type=Virtual, real (Default = no fluid)   If fluid 1 if full, or there is no fluid 1 then fluid 2 is ignored. This defines
                                                whether fluid 2 will be real or virtual.
Fluid2Known=yes, no                             Sets whether the student will know what the fluid is.
Fluid2Name=Corn Syrup                           Defines the name of fluid 2 if it is real, real the name must match one from the
                                                fluids.ini file.
Fluid2VName=Virtual Fluid                       If the fluid is virtual this defines the name of the virtual fluid.
Fliud2Density=1.1                               This defines the density of the virtual fluid in g/ml.
Fluid2Viscosity=.003 (Default = a random        Defines the viscosity for virtual fluids.
value between the min/max will be
selected)
Fluid2Color=clear                               Defines the color for virtual fluids, and the color must match a value color in
                                                the colors.ini file.

[Cylinder2]                                     Uses all the same variables as outlined under [Cylinder1].

[Cylinder3]                                     Uses all the same variables as outlined under [Cylinder1].

[Cylinder4]                                     Uses all the same variables as outlined under [Cylinder1].
                                                .
[Cylinder5]                                     Uses all the same variables as outlined under [Cylinder1].

[Balance]
OnOff=on, off (Default=on)                      Sets whether or not the balance is on or not.
tare=0.0 (default = 0.0)                        Defines value to set the tare value to.
Object=ball, beaker (Default = no object)       Defines what object is on the balance
BallType=Real                                   Defines whether the ball in cylinder 1 will be Real or Virtual - this is a required
                                                item for the ball to be used.
BallKnown=no, yes (Default = yes)               Sets whether the student will know what the ball is.
BallRadius=.01 (Default=random size will        Defines the radius of the ball in cylinder 1. It must be within the set max/min
be created)                                     values for ball radius.
BallName=Aluminum                               Defines the name of the ball and will be shown if the ball is known, but even if
                                                the ball is unknown this is a required item. If the ball is Real, the name must
                                                match an already exiting ball in the solids.ini file. If the ball is Virtual, the name
                                                can be whatever you want
BallDensity=.5                                  If the ball is virtual the ball density is required. This defines the density of the
                                                virtual ball in g/mL.
BallColor=clear                                 This defines the ball color of virtual balls. This value must match a color value
                                                in the solids.ini.

[Beaker]                                        The position of the beaker is set in the Balance section. If it is not put on the
                                                balance it is put on the table.


                                                              A-90
Fluid1Type=Virtual, Real (Default = no          This is a required field and defines whether or not the fluid is real or virtual.
 fluid)

 Fluid1Known=yes, no                             Sets whether the student will know what the fluid is.
 (Default = yes)
 Fluid1Amount=half, full                         Defines the amount of fluid 1 in the beaker. A random value around full or half
                                                 will be used.
 Fluid1Name=Corn Syrup                           Defies the name of the fluid that will be shown if the fluid is known. If the fluid
                                                 is real it must be from the pre-existing fluids.ini file, but if it is virtual it can be
                                                 whatever you want.
 Fliud1Density=1.1                               Defines the density for virtual fluids in g/ml.
 Fluid1Viscosity=.003 (Default = a random        Defines the viscosity for virtual fluids.
 value between the min/max will be
 selected)
 Fluid1Color=red                                 Defines the color for virtual fluids, and the color must match a value color in
                                                 the colors.ini file.
 Fluid2Type=Virtual, real (Default = no fluid)   If fluid 1 if full, or there is no fluid 1 then fluid 2 is ignored. This defines
                                                 whether fluid 2 will be real or virtual.
 Fluid2Known=yes, no                             Sets whether the student will know what the fluid is.
 Fluid2Name=Corn Syrup                           Defines the name of fluid 2 if it is real, real the name must match one from the
                                                 fluids.ini file.
 Fluid2VName=Virtual Fluid                       If the fluid is virtual this defines the name of the virtual fluid.
 Fliud2Density=1.1                               This defines the density of the virtual fluid in g/ml.
 Fluid2Viscosity=.003 (Default = a random        Defines the viscosity for virtual fluids.
 value between the min/max will be
 selected)
 Fluid2Color=clear                               Defines the color for virtual fluids, and the color must match a value color in
                                                 the colors.ini file.

An Example Density Preset Experiment
 INI Variables                   Description

 [Title]
 Title=Ice in Alcohol or Water                   Defines the title of the experiment as shown on the clipboard. Not used for
                                                 preset assignments.

 [Cylinder1]
 BallType=Real                                   Defines the ball type as a real ball.
 BallKnown=yes                                   Allows the student to see the type of ball.
 BallName=Ice                                    Defines which real ball from the solid.ini file is used.

 Fluid1Type=Real                                 Defines the fluid as a real fluid.
 Fluid1Known=yes                                 Allows the student to see the type of fluid.
 Fluid1Amount=full                               The cylinder will be full to a random value near full.
 Fluid1Name=Alcohol                              Defines which real fluid from the fluid.ini file is used.

 [Cylinder2]
 BallType=Real                                   Defines the ball type as a real ball.
 BallKnown=yes                                   Allows the student to see the type of ball.
 BallName=Ice                                    Defines which real ball from the solid.ini file is used.

 Fluid1Type=Real                                 Defines the fluid as a real fluid.
 Fluid1Known=yes                                 Allows the student to see the type of fluid.
 Fluid1Amount=full                               The cylinder will be full to a random value near full.
 Fluid1Name=Water                                Defines which real fluid from the fluid.ini file is used.



                                                               A-91
Circuits INI File
The circuits laboratory gives students the ability to build simple or complex circuits using
resistors, capacitors, inductors, and light bulbs and analyze these circuits using a Digital
Multimeter (DMM) or oscilloscope. A significant fraction of the simulation is controlled by the
Circuits.ini file where initial values for components are specified, variables affecting the Laplace
transformation are defined, as well as many other variables. There is also an additional set of INI
files and these define the preset experiments located on the clipboard and used in the circuits
assignments. Described in each of the following sections are the INI variables contained in each
of these INI files. The purpose for providing this information is to grant instructors the ability to
change or adjust the circuits simulation to suit their own needs.

Circuits.ini
 INI Variables                                  Description
 [General]
 AccelerationValues=0.001, 0.005, 0.01, 0.05,   These are the allowed acceleration values for displaying data on the
 0.1, 0.5, 1, 5, 10                             oscilloscope.
 AccelerationDefault=1                          The default acceleration value the program will use.

 MaxComponents=20                               The maximum number of components that can be used in a circuit.

 ShowErrors=no                                  Solving a circuit using Laplace transforms is complex and occasionally
                                                the algorithm fails. This variable specifies whether these errors should
                                                be shown.

 [Meters]
 OscilloscopeRefresh_mSec=50                    How often to update data on the oscilloscope.
 MultiMeterRefresh_RMS_mSec=250                 How often to update RMS measurements on the DMM.
 MultiMeterRefresh_mSec=100                     How often to update DC measurements on the DMM.
 MultiMeterOhmMax=2000000                       The maximum resistance before an overload is displayed on the DMM.

 [RMS]
 MultiMeter_RMS_SamplesPerPeriod=30             How many data points to use per period to calculate the RMS values.
 MultiMeter_RMS_MaxPeriods=20                   How many periods to use to calculate the RMS values.
 Power_RMS_SamplesPerPeriod=30                  Same for power measurements here and below.
 Power_RMS_MaxPeriods=20
 RMS_Threshold_Hz=3                             The lowest frequency before RMS values are no longer calculated.

 [PowerSources]
 VoltagePeak=1.0                                The initial default voltage amplitude for the function generator.
 VoltagePeakMax=1000.0                          The maximum amplitude that can be selected.
 VoltagePeakMin=0.1                             The minimum amplitude that can be selected.
 Frequency=60                                   The initial default frequency.
 FrequencyMax=1000000                           The maximum frequency.
 FrequencyMin=.001                              The minimum frequency.
 DC_Frequency=10000                             DC experiments are really AC calculations. This is a dummy frequency
                                                to use.
 SquareWaveTerms=10                             The powerseries terms to use for a square wave.
 SawWaveTerms=10                                The powerseries terms to use for a saw tooth wave form.

 [Resistors]
 Resistance=100                                 The initial resistance to use for a resistor.


                                                        A-92
ResistanceLarge=1000                     The initial resistance to use for a large resistor on the breadboard.
 ResistanceMin=1                          The smallest resistance available.
 ResistanceMax=1000000                    The largest resistance available.
 Tolerance=.0025                          The initial tolerance or uncertainty in the assigned value for the
                                          resistance. 0.0025 means 0.25%.
 BurnOutCheck_mSec=500                    How often to check to see if the power has exceeded the power rating.
 P_BurnOut_Watts=5.0                      The default resistor power rating.
 p_BurnOut_Watts_Min=0.25                 The minimum power rating.
 P_BurnOut_Watts_Max=100                  The maximum power rating.
 BurnOutTime_Sec=5                        The time in seconds the power rating must be exceeded before burning
                                          out.

 [Capacitors]
 Capacitance=1e-6                         The initial capacitance to use for a capacitor.
 CapacitanceLarge=5e-2                    The initial capacitance to use for a large capacitor on the breadboard.
 CapacitanceMin=1e-10                     The smallest capacitance available.
 CapacitanceMax=10                        The largest capacitance available.
 Tolerance=.0025                          The initial tolerance or uncertainty in the assigned value for the
                                          capacitance. 0.0025 means 0.25%.

 [Inductors]
 Inductance=1e-3                          The initial inductance to use for an inductor.
 InductanceLarge=1.0                      The initial inductance to use for a large inductor on the breadboard.
 InductanceMin=1e-8                       The smallest inductance available.
 InductanceMax=10                         The largest inductance available.
 Tolerance=.0025                          The initial tolerance or uncertainty in the assigned value for the
                                          inductance. 0.0025 means 0.25%.

 [Wires]
 ResistanceMin=.000001                    The minimum randomly assigned resistance for a wire.
 ResistanceMax=.0001                      The maximum randomly assigned resistance for a wire.

 [Bulbs]
 Watts=60                                 The initial wattage to use for a light bulb.
 WattsMin=10                              The smallest wattage light bulb available.
 WattsMax=100                             The largest wattage light bulb available.
 IlluminationCheck_mSec=100               How often to check for a change in illumination of the light bulb.
 BurnOutPowerPercentage=1.1               How far to exceed the specified wattage before the light bulb burns.
 MaxBrightnessWatts=110                   The wattage for the brightest light bulb graphic.
 Voltage=84.78                            The RMS voltage to convert the selected wattage into resistance.
 BurnOutTime_Sec=5                        The time in seconds the power rating must be exceeded before burning
                                          out.
 Brightness_Exponential=.75               The brightness exponential to make the illumination curve non-linear.

 [Misc]
 MultiplicityTolerance=.001               When the percent difference between two roots is smaller than this
                                          value, then the roots are considered to have the same multiplicity.


Preset Experiments
Located on the clipboard in the circuits laboratory is a set of 15 preset experiments listed by title.
If allowed by the instructor, students can select one of these experiments and, upon returning to
the laboratory, the selected experiment will be automatically set up and running. Preset
experiments are intended to provide flexibility for the instructor so the circuits simulation can be
adapted to the level of the class or the individual teaching style of the instructor. Several

                                                 A-93
experiments have already been defined and are installed with the software. This section describes
how these preset files can be created.

Each preset experiment is defined using an INI file. For the preset experiments on the clipboard,
these files have the name Experimentn.ini, where n is a number between 1 and 15 and represents
experiments 1 through 15 on the clipboard. These files are located in the Presets directory in the
PhysicsC directory. Note that in client installations, any modified preset experiments for the
clipboard must be modified for each client installation.

Unlike the other simulations, creating preset experiments is relatively easy in the circuits
simulation. Instead of creating the preset files by hand, all that is needed is to create or setup the
experiment in the circuit laboratory and then save the experiment as a preset. A preset is saved
by right-clicking with the mouse on a hidden button located in the extreme upper left-hand
corner of the laboratory. These preset files can be modified by hand if needed and component
values can be changed to unknown as well. Once a preset file has been saved, the preset
language is largely self-explanatory.

Optics INI File
The optics laboratory gives students the ability explore and understand the concepts of lenses,
mirrors, prisms, and color inside an easy to use virtual laboratory. A significant fraction of the
simulation is controlled by the Optics.ini file where initial values for components are specified,
variables affecting the simulation are defined, as well as other variables. There is also an
additional set of INI files and these define the preset experiments located on the clipboard and
used in the optics assignments. Described in each of the following sections are the INI variables
contained in each of these INI files. The purpose for providing this information is to grant
instructors the ability to change or adjust the optics simulation to suit their own needs.

Optics.ini
 INI Variables                            Description
 [General]
 MirrorLensHeight_cm=7.62                 The lens height.
 HoleSpacing_cm=5.08                      The spacing between holes on the optics table (set at 2 inches).
 MaxTheta = 1.0                           The maximum angle in radians a lens or mirror can “see” the light x2.
 MaxMirrorLensCount=15                    The maximum number of mirrors or lenses that can be on the table.
 MaxBounceCount=50                        The maximum number of bounces off the mirrors.
 ImageLines=on                            This turns the sight lines for the eye and objects on or off.

 [Laser]
 Wavelength=632                           This sets the initial wavelength for the laser. (in nm)
 WaveLengthMin=400                        This sets the minimum wavelength for the laser.
 WaveLengthMax=700                        This sets the maximum wavelength for the laser.

 [Light]
 Light_Red=250                            This sets the initial RGB values for the light bulb. A setting of 255 for
                                          each color will make the line transparent.
 Light_Green=250
 Light_Bue=250



                                                  A-94
[Mirror]
Radius=71                   Sets the initial radius of curvature for the mirror. Anything over the
                            maximum assumes a flat mirror. (in cm)
RadiusMin=4                 Sets the minimum radius for the mirror.
RadiusMax=70                This sets the maximum radius for the mirror.

[Lens]
Radius1=20                  Sets the initial radius of curvature for the lens for side 1. Anything over
                            the maximum assumes a flat lens. (in cm).
Radius1Min=4                Sets the minimum radius for the lens.
Radius1Max=70               Sets the maximum radius for the lens.
Radius2=-20                 Sets the radius of curvature for side 2 of the lens. The negative sign
                            makes it convex compared to side 1.

IndexRefraction=1.5         Sets the index of refraction for the lens material.
IndexRefractionMin=0.1      Sets the minimum index of refraction.
IndexRefractionmax=10       Sets the maximum index of refraction.

DoubleThickness=0           Sets the initial thickness of the lens at the outside edge between face 1
                            and face2.
DoubleThicknessMin=0.0      Sets the minimum thickness of the lens (in cm).
DoublethicknessMax=1.0      Sets the maximum thickness of the lens (in cm).

[Eye]
AngleIncrement=5            The angle increment when rotating the eye in degrees.
LaserBeamRadius=20          The radius of the laser beam when hitting the eye in pixels.
LaserBeamTransparency=100   The transparency of the laser beam on the eye.
Height=7.62                 The size of the eye aperture in cm.
BlurFudge=0.25              The degree of blurring for a maximally blurred image (0 to 1).
BallNormalFactor=.5         The size of the nominal ball graphic relative to its base size (0 to 1).
CandleNormalFactor=.5       The size of the nominal candle graphic relative to its base size (0 to 1).
GnomeNormalFactor=.5        The size of the nominal gnome graphic relative to its base size (0 to 1).
LaserNormalFactor=.5        The size of the nominal laser graphic relative to its base size (0 to 1).
LightNormalFactor=.5        The size of the nominal light graphic relative to its base size (0 to 1).
MaxTheta=0.5236             The widest angle (in radians) before an image will not enter the eye.

[Filter]
Red=0                       Sets the red filter to be on or off (1=on, 0=off).
Green=0                     Sets the green filter to be on or off (1=on, 0=off).
Blue=0                      Sets the blue filter to be on or off (1=on, 0=off).

[Beach Ball]
Height=17.0                 Sets the height of the beach ball in cm.

[Gnome]
Height = 7.62               Sets the height of the gnome in cm.

[Candle]
Height = 5.08               Sets the height of the candle in cm.

[Slits]
Increment_cm=.1             Sets the distance the slit curtain will move for each click of an arrow.




                                    A-95
Preset Experiments
Located on the clipboard in the optics laboratory is a set of 15 preset experiments listed by title.
If allowed by the instructor, students can select one of these experiments and, upon returning to
the laboratory, the selected experiment will be automatically set up and running. Preset
experiments are intended to provide flexibility for the instructor so the optics simulation can be
adapted to the level of the class or the individual teaching style of the instructor. Several
experiments have already been defined and are installed with the software. This section describes
how these files can be modified.

Each preset experiment is defined using an INI file. For the preset experiments on the clipboard,
these files have the name Experimentn.ini, where n is a number between 1 and 15 and represents
experiments 1 through 15 on the clipboard. These files are located in the Presets directory in the
PhysicsO directory. Note that in client installations, any modified preset experiments for the
clipboard must be modified for each client installation.

Unlike the other simulations, creating preset experiments is relatively easy in the optics
simulation. Instead of creating the preset files by hand, all that is needed is to create or setup the
experiment in the optics laboratory and then save the experiment as a preset. A preset is saved by
right-clicking with the mouse on a hidden button located in the extreme upper left-hand corner of
the laboratory. These preset files can be modified by hand if needed, and once a preset file has
been saved, the preset language is largely self-explanatory.




                                                A-96
Appendix B
List of Organic Synthesis Assignments
A list of products that can be assigned for organic synthesis experiments for each named reaction.

Esterification                                   13.                2-Nitrobenzeneacetic acid
1.                  Methyl acetate

                                                 14.                2,4-Dinitrophenylacetic
2.                  Ethyl acetate                                   acid

                                                 15.                Formic acid
3.                  3-Methylbutyl acetate

                                                 16.                3-Methyl butanoic acid
4.                  Methyl butanoate

                                                 17.                Ethanal
5.                  Ethyl butanoate

                                                 18.                3-Methyl butanal
6.                  3-Methylbutyl butanoate

                                                 19.                1-Chloro-3-methylbutane
7.                  Methyl phenylacetate

                                                 20.                2-Chloro-3-methylbutane
8.                  Ethyl-2-phenyl acetate

                                                 21.                Diisopentyl ether
9.                  3-Methylbutyl
                    phenylacetate
                                                 22.                Benzoic acid
10.                 Butanol

                                                 23.                Bromo-phenyl-acetic acid
11.                 2-Phenyl ethanol


12.                 4-Nitrobenzeneacetic acid    Alcohol Halogenation
                                                 1.               Chlorocyclohexane




                                                B-1
2.    Chlorophenylmethane        16.               Benzyl ethyl ether


3.    2-Chloro-2-methyl
      propane                    Alkyl Halide Solvolysis
                                 1.                Benzyl alcohol
4.    1-Chloro-3-methylbutane

                                 2.                2-Methyl-2-propanol
5.    2-Chloro-3-methylbutane

                                 3.                exo-Bicyclo[2.2.1]
6.    3-Methyl butanoic acid                       heptane-2-ol

                                 4.                Tetrahydrofuran
7.    3-Methyl butanal

                                 5.                1,4-Butanediol
8.    Benzoic acid

                                 6.                1-Chloromethyl-4-nitro-
9.    Benzaldehyde                                 benzene

                                 7.                1-Chloromethyl-2-nitro-
10.   Cyclohexanone                                benzene

                                 8.                1-Chloromethyl-2,4-
11.   Cyclohexene                                  dinitro-benzene

                                 9.                4-Nitro-benzyl alcohol
12.   Diisopentyl ether

                                 10.               2-Nitro-benzyl alcohol
13.   Dibenzyl Ether

                                 11.               Benzyl ethyl ether
14.   1,1-Oxybis-cyclohexane

                                 12.               Benzyl methyl ether
15.   Di-tert-butyl ether

                                 13.               2-methyl-2-ethoxy-
                                                   propane




                                B-2
14.             1-Methoxy butane            2.    1-Phenylethanol


15.             5-Ethoxybicyclo[2.2.1]      3.    1-Methyl-cyclohexanol
                heptane

16.             Bicyclo[2.2.1]hept-2-ene    4.    2,3-Dimethyl-2-butanol


17.             Benzoic acid                5.    1-Hexanol


18.             Bicyclo[2.2.1]              6.    3,3-Dimethyl-1-butanol
                heptan-2-one

19.             4-Chloro-butanoic acid      7.    2-Phenyl ethanol


20.             4-Chloro-butyraldehyde      8.    trans-2-methyl-
                                                  cyclohexanol

21.             1,4-Dichlorobutane          9.    Hexane-1,2-diol


22.             Butanol                     10.   3,3-Dimethyl-1,2-butane
                                                  diol

23.             2-Benzyl-benzyl chloride    11.   1-Phenyl-ethane-1,2-diol


24.             4-Benzyl-benzyl chloride    12.   cis-1-Methyl-
                                                  cyclohexane-1,2-diol

25.             Benzyldiisopropylamine      13.   Ethyl 2-hexyl ether


26.             Butyldiisopropylamine       14.   2-Ethoxy-2,3-dimethyl-
                                                  butane

                                            15.   Ethyl-(1-phenyl-ethyl)-
Alkene Hydration                                  ether
1.               2-Hexanol




                                           B-3
16.   1-Ethoxy-1-methyl-         30.             Ethyl-(2-bromo-1-phenyl-
      cyclohexane                                ethyl)-ether

17.   2-Chloro-hexane            31.             Pentanoic acid


18.   2-chloro-2,3-dimethyl      32.             2,2-Dimethylpropanoic
      butane                                     acid

19.   1-Chloro-1-phenylethane    33.             Benzoic acid


20.   1-Chloro-1-methyl-         34.             6-Oxo-heptanoic acid
      cyclohexane

21.   1,2-Dibromo-hexane         35.             Formic acid


22.   1,2-Dibromo-3,3-           36.             1,2-Epoxyhexane
      dimethyl-butane

23.   (1,2-Dibromoethyl)-        37.             3,3-Dimethyl-1,2-epoxy
      benzene                                    butane

24.   1,2-Dibromo-1-methyl-      38.             1,2-Epoxyethylbenzene
      cyclohexane

25.   1-Bromo-2-hexanol          39.             1-Methyl-1,2-
                                                 epoxycyclohexane

26.   1-Bromo-3,3-dimethyl-2-    40.             4-Nitro-styrene
      butanol

27.   2-Bromo-1-phenyl-          41.             2-Nitro-styrene
      ethanol

28.   2-Bromo-2-methyl-          42.             1,3-Diphenyl-1-butene
      cyclohexanol

29.   1-Bromo-2-ethoxy-
      hexane                     Hydroboration
                                 1.              2-Methyl-1-butanol




                                B-4
2.    2-Methyl-3-pentanol        16.   2-Chloro-hexane


3.    4-Methyl-2-pentanol        17.   1-Chloro-1-methyl-
                                       cyclohexane

4.    1-Hexanol                  18.   1,2-Dibromo-2-methyl-
                                       butane

5.    trans-2-methyl-            19.   2,3-Dibromo-4-methyl-
      cyclohexanol                     pentane

6.    2-Methyl-2-butanol         20.   1,2-Dibromo-hexane


7.    2-Methyl-2-pentanol        21.   trans-1,2-Dibromo-1-
                                       methyl-cyclohexane

8.    2-Hexanol                  22.   1-Bromo-2-methyl-
                                       butan-2-ol

9.    1-Methyl-cyclohexanol      23.   1-Bromo-2-hexanol


10.   2-Ethoxy-2-methylbutane    24.   trans-2-Bromo-2-methyl-
                                       cyclohexanol

11.   3-Ethoxy-2-methyl-         25.   1-Bromo-2-ethoxy-2-
      pentane                          methyl-butane

12.   Ethyl 2-hexyl ether        26.   1-Bromo-2-ethoxy-
                                       hexane

13.   1-Ethoxy-1-methyl-         27.   2-Methyl-butane-1,2-diol
      cyclohexane

14.   2-Methyl-2-chlorobutane    28.   syn-4-Methyl-pentane-
                                       2,3-diol

15.   2-Chloro-2-                29.   Hexane-1,2-diol
      methylpentane




                                B-5
30.             cis-1-Methyl-              3.    1,4-Dibromo-2-butene
                cyclohexane-1,2-diol

31.             1,2-Epoxy-2-methyl-        4.    trans-2,3-Dibromo-butane
                butane

32.             2,3-Epoxy-4-methyl-        5.    (1R)-trans-1,2-Dibromo-
                pentane                          cyclohexane

33.             1,2-Epoxyhexane            6.    2-Hexanol


34.             1-Methyl-1,2-              7.    3-Buten-1-ol
                epoxycyclohexane

35.             2-Butanone                 8.    2-Butanol


36.             2-Methyl-propionic acid    9.    1-Cyclohexanol


37.             Acetic acid                10.   1-Hexanol


38.             Pentanoic acid             11.   Ethyl 2-hexyl ether


39.             6-Oxo-heptanoic acid       12.   3-Ethoxy-1-butene


40.             Formic acid                13.   1-Ethoxy-2-butene


41.             2-Methyl-2-pentene         14.   2-Ethoxy-butane


                                           15.   Ethoxy-cyclohexane
Alkene Bromination
1.              1,2-Dibromo-hexane
                                           16.   2-Chloro-hexane

2.              3,4-Dibromo-1-butene




                                          B-6
17.   3-Chloro-1-butene          31.              cis-Cyclohexane-1,2-diol


18.   1-Chloro-2-butene          32.              1,2-Epoxyhexane


19.   2-Chloro-butane            33.              3,4-Epoxy-but-1-ene


20.   Chlorocyclohexane          34.              2,3-Epoxy-butane


21.   1-Bromo-2-hexanol          35.              1,2-Epoxy-cyclohexane


22.   anti-3-Bromo-butan-2-ol    36.              Pentanoic acid


23.   trans-2-Bromo-             37.              2-Propenoic acid
      cyclohexanol

24.   1-Bromo-2-ethoxy-          38.              Acetic acid
      hexane

25.   4-Bromo-3-ethoxy-but-1-    39.              Hexanedioic acid
      ene

26.   anti-2-Bromo-3-ethoxy-     40.              Formic acid
      butane

27.   trans-1-Bromo-2-ethoxy-
      cyclohexane                Alkene Dihydroxylation
                                 1.              2-Methyl-butane-1,2-diol
28.   Hexane-1,2-diol

                                 2.               Hexane-1,2-diol
29.   But-3-ene-1,2-diol

                                 3.               cis-Octahydro-
30.   syn-Butane-2,3-diol                         naphthalene-4a,8a-diol

                                 4.               cis-Cyclohexane-1,2-diol




                                B-7
5.    2-Methyl-2-butanol           19.   1,2-Dibromo-2-methyl-
                                         butane

6.    2-Hexanol                    20.   1,2-Dibromo-hexane


7.    Bicyclo[4.4.0]decane-1-ol    21.   4a,8a-Dibromo-
                                         decahydro-naphthalene

8.    1-Cyclohexanol               22.   (1R)-trans-1,2-Dibromo-
                                         cyclohexane

9.    2-Methyl-1-butanol           23.   1-Bromo-2-methyl-
                                         butan-2-ol

10.   1-Hexanol                    24.   1-Bromo-2-hexanol


11.   2-Ethoxy-2-methylbutane      25.   9-Bromo-10-hydroxy-
                                         trans-decalin

12.   Ethyl 2-hexyl ether          26.   trans-2-Bromo-
                                         cyclohexanol

13.   trans-9-Ethoxydecalin        27.   1-Bromo-2-ethoxy-2-
                                         methyl-butane

14.   Ethoxy-cyclohexane           28.   1-Bromo-2-ethoxy-
                                         hexane

15.   2-Methyl-2-chlorobutane      29.   trans-1-Bromo-2-ethoxy-
                                         cyclohexane

16.   2-Chloro-hexane              30.   1,2-Epoxy-2-methyl-
                                         butane

17.   4a-Chloro-decahydro-         31.   1,2-Epoxyhexane
      naphthalene

18.   Chlorocyclohexane            32.   4a,8a-Epoxy-decahydro-
                                         napthalene




                                  B-8
33.           1,2-Epoxy-cyclohexane       9.    Ethoxy-cyclohexane


34.           2-Butanone                  10.   3-Ethoxy-cyclohexene


35.           Pentanoic acid              11.   2-Chloro-butane


36.           Hexanedioic acid            12.   Chlorocyclohexane


37.           Cyclodecane-1,6-dione       13.   4-Chloro-1,2-dimethyl-
                                                cyclohexene

38.           Formic acid                 14.   3-Chloro-cyclohexene


                                          15.   trans-2,3-Dibromo-butane
Epoxidation
1.            2,3-Epoxy-butane
                                          16.   (1R)-trans-1,2-Dibromo-
                                                cyclohexane
2.            1,2-Epoxy-cyclohexane
                                          17.   4,5-Dibromo-4,5-
                                                dimethyl-cyclohexene
3.            1,2-Dimethyl-1,2-epoxy-
              cyclohex-4-ene              18.   2,3-Dibromo-
                                                cyclohexanol
4.            2,3-Epoxy-cyclohexanol
                                          19.   anti-3-Bromo-butan-2-ol

5.            2-Butanol
                                          20.   trans-2-Bromo-
                                                cyclohexanol
6.            1-Cyclohexanol
                                          21.   2-Bromo-cyclohexane-
                                                1,3-diol
7.            3,4-Dimethyl-cyclohex-3-
              enol                        22.   3-Bromo-cyclohexane-
                                                1,2-diol
8.            2-Ethoxy-butane




                                         B-9
23.           anti-2-Bromo-3-ethoxy-       4.    Bicyclo[2.2.1]hept-5-ene-
              butane                             2-carboxylic acid methyl
                                                 ester
24.           trans-1-Bromo-2-ethoxy-      5.    Bicyclo[2.2.1]hepta-2,5-
              cyclohexane                        diene-2,3-dicarboxylic
                                                 acid dimethyl ester
25.           syn-Butane-2,3-diol          6.    1,4,4a,8a-Tetrahydro-1,4-
                                                 methano-naphthalene-5,8-
                                                 dione
26.           cis-Cyclohexane-1,2-diol     7.    4-Oxo-cyclohex-2-ene
                                                 carboxylic acid methyl
                                                 ester
27.           cis-4,5-Dimethyl-            8.    4-Hydroxy-phthalic acid
              cyclohex-4-ene-1,2-diol            dimethyl ester

28.           Cyclohexane-1,2,3-triol      9.    Naphthalene-1,4,6-triol


29.           Acetic acid                  10.   3a,4,7,7a-Tetrahydro-4,7-
                                                 methano-indene

30.           Hexanedioic acid             11.   5-Vinylbicyclo[2.2.1]
                                                 hept-2-ene

31.           Oct-4-ene-2,7-dione          12.   Bicyclo[4.3.0]nona-3,7-
                                                 diene

32.           2-Cyclohexen-1-one           13.   Cyclohex-3-enecarboxylic
                                                 acid ethyl ester

33.           Cyclohexa-1,3-diene          14.   Cyclohexa-1,4-diene-1,2-
                                                 dicarboxylic acid diethyl
                                                 ester
                                           15.   Cyclohex-1,4-diene-1,2-
Diels Alder                                      dicarboxylic acid
1.            Cyclohex-3-enecarboxylic
              acid methyl ester            16.   Cyclohex-3-enecarboxylic
                                                 acid
2.            Cyclohexa-1,4-diene-1,2-
              dicarboxylic acid            17.   2,3-Epoxy-2,3,4a,5,8,8a-
              dimethyl ester                     hexahydro-[1,4]
3.            4a,5,8,8a-Tetrahydro-              naphthoquinone
              [1,4]naphthoquinone




                                         B-10
18.   5,6-Epoxy-3a,4,5,6,7,7a-     32.   Cyclopent-2-enyl ethyl
      hexahydro-4,7-methano-             ether
      indene
19.   1,2-Epoxy-1,2,3a,4,7,7a-     33.   3-Chloro-1-butene
      hexahydro-4,7-methano-
      indene
20.   2-Bicyclo[2.2.1]hept-5-      34.   1-Chloro-2-butene
      en-2-yl-oxirane

21.   6-vinyl-3-oxa-tricyclo       35.   3-Chloro-cyclopentene
      [3.2.1.02,4]octane

22.   2,2a,3,5a,6,6a-hexahydro-    36.   3,4-Dibromo-1-butene
      1aH-1-oxa-cyclopropa
      [f]indene
23.   7-Oxa-bicyclo[4.1.0]hept-    37.   1,4-Dibromo-2-butene
      3-ene-3,4-dicarboxylic
      acid dimethyl ester
24.   3,4-Epoxy-cyclohexane        38.   trans-3,4-Dibrom-
      carboxylic acid methyl             cyclopentene
      ester
25.   1,2,3,4,4a,8a-hexahydro-     39.   3,5-Dibromo-
      1,4-methano-2,3-epoxy-             cyclopentene
      naphthalene-5,8-dione
26.   3-Oxa-tricyclo[3.2.1.02,4]   40.   2,3-Dibromo-propanoic
      oct-6-ene-6,7-dicarboxylic         acid methyl ester
      acid dimethyl ester
27.   3-Oxa-tricyclo[3.2.1.02,4]   41.   trans-5-Bromo-cyclopent-
      octane-6-carboxylic acid           2-enol
      methyl ester
28.   3-Buten-1-ol                 42.   3-Bromo-2-hydroxy-
                                         propionic acid methyl
                                         ester
29.   2-Cyclopenten-1-ol           43.   4-Bromo-3-ethoxy-
                                         but-1-ene

30.   3-Ethoxy-1-butene            44.   Buta-3-ene-1,2-diol


31.   1-Ethoxy-2-butene            45.   cis-Cyclopent-3-ene-
                                         1,2-diol




                                 B-11
46.   2,3-Dihydroxy-propionic       60.     Hydroquinone
      acid methyl ester

47.   3,4-Epoxy-but-1-ene           61.     But-2-ynedioic acid


48.   3,4-Epoxy-cyclopentene        62.     But-2-ynedioic acid
                                            diethyl ester

49.   Oxirane-2-carboxylic acid     63.     2-Propenoic acid, ethyl
      methyl ester                          ester

50.   2-Propenoic acid
                                    Aldol
                                    1.      3-Hydroxybutanal
51.   Pent-2-ene-1,5-dioic acid

                                    2.      2-Ethyl-3-hydroxy-
52.   Formic acid                           hexanal

                                    3.      3-Hydroxy-3-phenyl-
53.   4-Methoxy-but-3-en-2-                 propanal
      one
                                    4.      2-Ethyl-hex-2-enal
54.   Methoxy-trimethyl-silane

                                    5.      5-Hydroxy-2,2,4-
55.   Trimethylsilanol                      trimethyl-hexan-3-one

                                    6.      3-Hydroxy-2-methyl-3-
56.   Ethoxy-trimethyl-silane               phenyl-propionic acid
                                            2,6-dimethyl-phenyl ester
                                    7.      1-hydroxy-2,4,4-
57.   4-Hydroxy-but-3-en-2-one
                                            trimethyl-1-phenyl-
                                            pentan-3-one
58.   4-Ethoxy-but-3-en-2-one       8.      5-Hydroxy-2,2,4-
                                            trimethyl-octan-3-one

59.   1-Hydroxy-4-methoxy-          9.      anti-3-Hydroxy-2-methyl-
      but-3-en-2-one                        3-phenyl-propionic acid
                                            ethyl ester




                                  B-12
10.   3-Hydroxy-2-methyl-3-         24.   Propanoic acid, 1,1-
      phenyl-propionic acid               dimethylethyl ester
      methyl ester

11.   anti-3-Hydroxy-2-methyl-      25.   1,1-Diethoxy-ethane
      3-phenyl-propionic acid

12.   anti-3-hydroxy-2-methyl-      26.   1,1-Diethoxy-butane
      hexanoic acid-2,6-
      dimethyl-phenyl ester

13.   But-2-enal                    27.   Benzaldehyde
                                          diethylacetal


14.   3-Phenyl-propenal             28.   Ethanol


15.   2,2,4-Trimethyl-hex-4-en-     29.   Butanol
      3-one

16.   2,4,4-Trimethyl-1-phenyl-     30.   Benzyl alcohol
      pent-1-en-3-one

17.   2-Methyl-3-phenyl-            31.   2,2-Dimethyl-pentan-3-ol
      acrylic acid ethyl ester

18.   2-Methyl-3-phenyl-            32.   Acetic acid
      acrylic acid methyl ester

19.   2-Methyl-3-oxo-pentanoic 33.        Butanoic acid
      acid methyl ester

20.   2-Methyl-3-phenyl-            34.   Benzoic acid
      acrylic acid

21.   Formic acid methyl ester      35.   Bromo-acetaldehyde


22.   Formic acid propyl ester      36.   2-Bromo-butanal


23.   Formic acid phenyl ester      37.   4-Bromo-2,2-dimethyl-
                                          pentan-3-one




                                  B-13
38.              Propionic acid-2,6-            6.    Cyclohexyl-phenyl-
                 dimethyl-4-bromo-phenyl              methanol
                 ester
39.              2-Bromo-propionic acid         7.    Propionic acid
                 2,6-dimethyl-phenyl ester

40.              3-Nitro-benzaldehyde           8.    Benzoic acid


41.              Propionic acid-2,6-            9.    Cyclohexane
                 dimethyl-4-nitro-phenyl              carboxylic acid
                 ester
42.              3-Hydroxy-3-(4-nitro-          10.   Ethanol
                 phenyl)-propanal
                                                11.   Propan-2-ol
43.              3-(4-Nitro-phenyl)-
                 propenal
                                                12.   Benzyl alcohol
44.              Propionic acid

                                                13.   1-Cyclohexanol
45.              2,6-Dimethyl-phenol

                                                14.   Phenol
46.              Propionic acid ethyl ester

                                                15.   2,2-Diethoxy-propane
Grignard Addition
1.               2-Methyl-2-butanol
                                                16.   Benzaldehyde
                                                      diethylacetal
2.               2-cyclohexyl-propan-2-ol
                                                17.   Ethyl bromide


3.               2-Phenyl-2-propanol
                                                18.   Bromobenzene

4.               1-Phenyl-1-propanol
                                                19.   Bromocyclohexane


5.               Diphenyl-methanol




                                              B-14
20.               1-Bromo-propan-2-one         6.               Benzoic acid


21.               nitro-Benzene                7.               Benzaldehyde
                                                                diethylacetal

22.               1,3-Dinitrobenzene           8.               Benzyl alcohol


23.               3-Nitro-benzaldehyde         9.               Formic acid phenyl ester


24.               Formic acid phenyl ester
                                               Friedel-Crafts
                                               1.               3-Isopropyl-benzaldehyde
25.               4-Methyl-pent-3-en-2-one

                                               2.               3-Benzoyl-benzaldehyde
26.               4-Hydroxy-4-phenyl-
                  butan-2-one
                                               3.               3-Acetyl-benzaldehyde
27.               4-Phenyl-but-3-en-2-one

                                               4.               1-isopropyl-2-methyl-
28.               Methyl acetate                                benzene

                                               5.               1-Isopropyl-4-methyl-
                                                                benzene
Benzene Nitration
1.                1-Methyl-4-nitro-benzene     6.               4-Acetyltoluene


2.                1-Methyl-2-nitro-benzene     7.               2-Acetyltoluene


3.                1-Methyl-2,4-dinitro-        8.               2-Methyl-benzophenone
                  benzene

4.                3-Nitro-benzaldehyde         9.               4-Methyl-benzophenone


5.                Bromomethyl-benzene          10.              Ethyl acetate




                                             B-15
11.   Methyl acetate                25.             1-Methyl-2-nitro-benzene


12.   Benzoic acid ethyl ester      26.             1-Methyl-2,4-dinitro-
                                                    benzene

13.   Benzoic acid methyl ester     27.             3-Nitro-benzaldehyde


14.   Bromoacetic acid ethyl        28.             3-Nitro-benzoic acid
      ester

15.   Acetic acid                   29.             Bromomethyl-benzene


16.   Benzoic acid                  30.             Formic acid phenyl ester


17.   Bromoacetic acid              31.             2-Ethoxy-propane


18.   2,2-Diethoxy-propane          32.             2-Propanone


19.   Benzaldehyde
      diethylacetal                 Acid Chloride
                                    1.              Acetyl chloride
20.   Propan-2-ol

                                    2.              Benzoyl chloride
21.   Benzyl alcohol

                                    3.              Heptanoyl chloride
22.   N,N-Diisopropyl-
      acetamide
                                    4.              Ethyl acetate
23.   N,N-Diisopropyl-
      benzamide
                                    5.              Benzoic acid ethyl ester
24.   1-Methyl-4-nitro-benzene

                                    6.              Ethyl heptanoate




                                  B-16
7.               Ethanol                      11.   3-Oxo-butyric acid


8.               Benzyl alcohol               12.   3-Oxo-butyric acid ethyl
                                                    ester

9.               1-Heptanol                   13.   3-Nitro-benzaldehyde


10.              3-Nitro-benzoic acid         14.   Bicyclohexyliden-2-one


                                              15.   2-(Hydroxy-phenyl-
Carbonyl Reduction                                  methyl)-cyclohexanone
1.              Benzyl alcohol
                                              16.   2-Benzylidene-
                                                    cyclohexanone
2.               1-Cyclohexanol
                                              17.   2-Acetyl-3-phenyl-acrylic
                                                    acid
3.               3-Hydroxy-butyric acid
                 methyl ester                 18.   4-Phenyl-but-3-en-2-one

4.               Benzaldehyde
                 diethylacetal                19.   2-Acetyl-3-phenyl-acrylic
                                                    acid methyl ester
5.               1,1-Diethoxy-
                 cyclohexane                  20.   2-Acetyl-3-phenyl-acrylic
                                                    acid ethyl ester
6.               2-Bromo-cyclohexanone
                                              21.   2-Cyclohexylidene-
                                                    acetoacetic acid
7.               2-Bromo-3-oxo-butyric
                 acid methyl ester            22.   1-Cyclohexylidene-
                                                    propan-2-one
8.               Benzoic acid
                                              23.   2-Cyclohexylidene-3-oxo-
                                                    butyric acid methyl ester
9.               Formic acid phenyl ester
                                              24.   2-Cyclohexylidene-3-oxo-
                                                    butyric acid ethyl ester
10.              Oxepan-2-one




                                            B-17
Claisen Condensation                            15.               Propionic acid
1.               2-Oxo-cyclohexane
                 carboxylic acid methyl
                 ester                          16.               Heptanedioic acid
2.               3-Oxo-butyric acid
                 methyl ester
                                                17.               Bromo-acetic acid methyl
3.                3-Oxo-pentanoic acid                            ester
                  methyl ester
                                                18.               2-Bromo-propanoic acid
4.                2-Methyl-3-oxo-butyric                          methyl ester
                  acid methyl ester
                                                19.               2-Bromo-heptanedioic
5.                2-Methyl-3-oxo-pentanoic                        acid dimethyl ester
                  acid methyl ester

6.                3-Oxo-butyric acid ethyl      Alcohol Oxidation
                  ester                         1.                Benzoic acid

7.                2-Methyl-3-oxo-pentanoic
                  acid ethyl ester         2.                     Benzaldehyde

8.                2-Oxo-cyclohexane
                  carboxylic acid ethyl ester   3.                Acetophenone

9.                3-Oxo-pentanoic acid
                  ethyl ester                   4.                3-Methyl-cyclohex-2-
                                                                  enone
10.               2-Methyl-3-oxo-butyric
                  acid ethyl ester              5.                Chlorophenylmethane

11.               Ethyl acetate
                                                6.                1-Chloro-1-phenylethane

12.               Ethyl propionate
                                                7.                3-Chloro-1-methyl-
                                                                  cyclohexene
13.               Heptanedioic acid diethyl
                  ester                         8.                Dibenzyl Ether

14.               Acetic acid
                                                9.                Benzyl ethyl ether




                                              B-18
10.   bis-(1-Phenyl-ethyl)-ether


11.   Ethyl-(1-phenyl-ethyl)-
      ether

12.   Benzyl-(1-phenyl-ethyl)-
      ether

13.   1-Methyl-cyclohexane-
      1,2,3-triol

14.   2-Hydroxy-2-methyl-
      hexanedioic acid

15.   1-Methyl-2,3-
      epoxycyclohexanol




                                   B-19
Appendix C
List of Organic Qualitative Analysis Unknowns
A list of organic qualitative analysis unknowns that can be assigned arranged by unknown class.

Alkenes                                         13.               1,2,3,4,5,6,7,8-Octahydro-
1.                1-Hexene                                        naphthalene

                                                14.               4,5-Dimethyl-cyclohexene
2.                1-Methyl-cyclohexene

                                                15.               Cyclohexa-1,3-diene
3.                4-Methyl-2-pentene

                                                16.               Cyclopenta-1,3-diene
4.                2-Methyl-1-butene

                                                17.               4-Vinyl-cyclohexene
5.                Styrene

                                                18.               1,2-Dimethyl-cyclohexa-
6.                2-Methyl-2-pentene                              1,4-diene

                                                19.               Bicylo[2.2.1]hept-2-ene
7.                1,3-Diphenyl-1-butene

                                                20.               4-Nitro-styrene
8.                Benzene

                                                21.               2-Nitro-styrene
9.                1-isopropyl-2-methyl-
                  benzene
                                                22.               nitro-Benzene
10.               1-Isopropyl-4-methyl-
                  benzene
                                                23.               Cyclohex-2-enol
11.               Indene

                                                24.               2-Buten-1-ol
12.               Cyclohexene

                                                25.               cis-Cyclopent-3-ene-1,2-
                                                                  diol



                                              C-1
26.   cis-4,5-Dimethyl-           40.        1,2-Dimethyl-1,2-epoxy-
      cyclohex-4-ene-1,2-diol                cyclohex-4-ene

27.   But-2-enal                  41.        1-Ethoxy-2-butene


28.   3-Phenyl-propenal           42.        N-Allylaniline


29.   2-Ethyl-hex-2-enal          43.        Acrylamide


30.   4-Methyl-pent-3-en-2-one    44.        Cinnamamide


31.   2,5-Cyclohexadiene-1,4-     45.        1-Bromo-but-3-en-2-ol
      dione

32.   3-Methyl-cyclohex-2-        46.        4-Bromo-3-ethoxy-but-1-
      enone                                  ene

33.   2-Propenoic acid, methyl
      ester                       Alcohols
                                  1.         Benzyl alcohol
34.   2-Propenoic acid, ethyl
      ester
                                  2.         3-Methyl-1-butanol
35.   Cyclohex-3-enecarboxylic
      acid methyl ester
                                  3.         2-Methyl-2-propanol
36.   2-Propenoic acid

                                  4.         2-Methyl-butane-1,2-diol
37.   3-Chloro-cyclohexene

                                  5.         Methanol
38.   3-Chloro-1-butene

                                  6.         Ethanol
39.   1,4-Dibromo-2-butene

                                  7.         Butanol




                                 C-2
8.    1-Hexanol                     22.   1-Cyclohexanol


9.    1-Heptanol                    23.   trans-2-methyl-
                                          cyclohexanol

10.   2-Methyl-1-butanol            24.   2,3-Dimethyl-2-butanol


11.   2-Phenyl ethanol              25.   2-Phenyl-2-propanol


12.   4-tert-Butylbenzyl alcohol    26.   2-Methyl-2-pentanol


13.   2-Butanol                     27.   2-Methyl-2-butanol


14.   2-Hexanol                     28.   1,4-Butanediol


15.   1-Phenylethanol               29.   Hexane-1,2-diol


16.   Diphenyl-methanol             30.   syn-Butane-2,3-diol


17.   1-Phenyl-1-propanol           31.   syn-4-Methyl-pentane-2,3-
                                          diol

18.   Propan-2-ol                   32.   cis-Cyclohexane-1,2-diol


19.   2,2-Dimethyl-pentan-3-ol      33.   cis-1-Methyl-cyclohexane-
                                          1,2-diol

20.   2-Methyl-3-pentanol           34.   Phenol


21.   4-Methyl-2-pentanol           35.   Benzene-1,3-diol




                                   C-3
36.   Cyclohexane-1,2,3-triol     50.         1-hydroxy-2,4,4-trimethyl-
                                              1-phenyl-pentan-3-one

37.   2-Nitro-benzyl alcohol      51.         4-Chloro-1-butanol


38.   4-Nitro-benzyl alcohol      52.         1-Bromo-2-hexanol


39.   2,6-Dimethyl-4-nitro-       53.         1-Bromo-3,3-dimethyl-2-
      phenol                                  butanol

40.   Cyclohex-2-enol             54.         9-Bromo-10-hydroxy-
                                              trans-decalin

41.   2-Buten-1-ol                55.         2-Bromo-cyclohexane-1,3-
                                              diol

42.   cis-Cyclopent-3-ene-1,2-    56.         2,3-Dibromo-cyclohexanol
      diol

43.   cis-4,5-Dimethyl-           57.         3-Hydroxy-butyric acid
      cyclohex-4-ene-1,2-diol                 methyl ester

44.   3-Hydroxybutanal            58.         3-Hydroxy-2-methyl-3-
                                              phenyl-propionic acid 2,6-
                                              dimethyl-phenyl ester
45.   4-Hydroxy-4-phenyl-         59.         1-Bromo-but-3-en-2-ol
      butan-2-one

46.   2-Ethyl-3-hydroxy-          60.         3-Bromo-2-hydroxy-
      butyraldehyde                           propionic acid methyl ester

47.   4-Hydroxy-4-methyl-
      pentan-2-one                Aldehydes
                                  1.          Butyraldehyde
48.   5-Hydroxy-2,2,4-
      trimethyl-octan-3-one
                                  2.          Benzaldehyde
49.   2-(Hydroxy-phenyl-
      methyl)-butyraldehyde
                                  3.          3-Phenyl-propenal




                                 C-4
4.    3-Methyl butanal            18.       4-Acetamidobenzaldehyde


5.    3-Isopropyl-benzaldehyde

                                  Ketones
6.    4-Nitrobenzaldehyde         1.        1-Phenyl-ethanone


7.    3-Nitro-benzaldehyde        2.        Cyclohexanone


8.    But-2-enal                  3.        2-Propanone


9.    2-Ethyl-hex-2-enal          4.        2-Butanone


10.   3-Acetyl-benzaldehyde       5.        2,2-Dimethyl-pentan-3-one


11.   3-Hydroxybutanal            6.        4-Acetyltoluene


12.   3-Hydroxy-3-phenyl-         7.        2-Acetyltoluene
      propanal

13.   2-Ethyl-3-hydroxy-          8.        4-Methyl-benzophenone
      butyraldehyde

14.   2-(Hydroxy-phenyl-          9.        Cyclodecane-1,6-dione
      methyl)-butyraldehyde

15.   Bromo-acetaldehyde          10.       Bicyclo[2.2.1]heptan-2-one


16.   4-Chloro-butyraldehyde      11.       4-Methyl-pent-3-en-2-one


17.   4-Chloro-benzaldehyde       12.       2-Cyclohexen-1-one




                                 C-5
13.     3-Methyl-cyclohex-2-          3.    Formic acid
        enone

14.     2,5-Cyclohexadiene-1,4-       4.    Acetic acid
        dione

15.     3-Acetyl-benzaldehyde         5.    Propionic acid


16.     4-Hydroxy-4-phenyl-           6.    Butanoic acid
        butan-2-one

17.     4-Hydroxy-4-methyl-           7.    Pentanoic acid
        pentan-2-one

18.     1-hydroxy-2,4,4-trimethyl-    8.    2-Methyl-propionic acid
        1-phenyl-pentan-3-one

19.     5-Hydroxy-2,2,4-              9.    3-Methyl butanoic acid
        trimethyl-octan-3-one

20.     2-Bromo-cyclohexanone         10.   2,2-Dimethylpropanoic
                                            acid

21.     3-Oxo-butyric acid            11.   2-Phenylacetic acid


22.     2-Oxo-propionic acid          12.   Cyclohexanecarboxylic
                                            acid

23.     3-Oxo-butyric acid methyl     13.   Ethane-1,2-dioic acid
        ester

24.     2-Oxo-cyclohexane             14.   Propanedioic acid
        carboxylic acid methyl
        ester
                                      15.   Hexanedioic acid
Acids
1.      Benzoic acid
                                      16.   Heptanedioic acid

2.      Heptanoic acid




                                     C-6
17.      3-Nitro-benzoic acid         4.    Methyl acetate


18.      4-Nitro-benzoic acid         5.    Ethyl acetate


19.      2-Nitrobenzeneacetic acid    6.    Propionic acid ethyl ester


20.      2,4-Dinitrophenylacetic      7.    Propanoic acid, 1,1-
         acid                               dimethylethyl ester

21.      2-Propenoic acid             8.    Methyl butanoate


22.      Bicyclo[2.2.1]hept-5-ene-    9.    Ethyl butanoate
         2-carboxylic acid

23.      3-Oxo-butyric acid           10.   3-Methylbutyl butanoate


24.      2-Oxo-propionic acid         11.   Benzoic acid methyl ester


25.      2-Bromo-butanoic acid        12.   Benzoic acid ethyl ester


26.      m-Chlorobenzoic acid         13.   Methyl phenylacetate


27.      N-Acetylanthranilic acid     14.   3-Methylbutyl
                                            phenylacetate

                                      15.   Ethyl heptanoate
Esters
1.       Ethyl-2-phenyl acetate
                                      16.   Acetic acid 1-phenyl-ethyl
                                            ester
2.       3-Methylbutyl acetate
                                      17.   Formic acid methyl ester

3.       Methyl propionate




                                     C-7
18.   Formic acid propyl ester      32.      3-Oxo-butyric acid methyl
                                             ester

19.   Formic acid phenyl ester      33.      3-Oxo-butyric acid ethyl
                                             ester

20.   Propionic acid 2,6-           34.      2-Oxo-cyclohexane
      dimethyl-phenyl ester                  carboxylic acid methyl
                                             ester
21.   Dihydro-furan-2-one           35.      Methyl 2-chloropropionate


22.   Oxepan-2-one                  36.      3-Hydroxy-butyric acid
                                             methyl ester

23.   1,7-Dimethyl-                 37.      3-Bromo-2-hydroxy-
      heptanedioate                          propionic acid methyl ester

24.   Heptanedioic acid diethyl     38.      3-Hydroxy-2-methyl-3-
      ester                                  phenyl-propionic acid 2,6-
                                             dimethyl-phenyl ester
25.   3-Nitro-benzoic acid ethyl
      ester                         Amines
                                    1.       Benzylamine

26.   Propionic acid-2,6-
      dimethyl-4-nitro-phenyl       2.       Diisopropyl amine
      ester
27.   2-Bromo-heptanedioic acid
      dimethyl ester            3.           Triethyl amine


28.   2-Propenoic acid, methyl
                                    4.       Methyl amine
      ester

29.   2-Propenoic acid, ethyl       5.       Propyl amine
      ester

30.   Cyclohex-3-enecarboxylic      6.       n-Heptylamine
      acid methyl ester

31.   But-2-ynedioic acid ethyl     7.       n-Octylamine
      ester methyl ester



                                   C-8
8.    Isopropylamine            22.      Quinoline


9.    sec-Butylamine            23.      N-Allylaniline


10.   Aniline

                                Amides
11.   Diethylamine              1.       N,N-Diisopropyl-
                                         acetamide

12.   N-Methylpropylamine       2.       Acetanilide


13.   N-Ethylisopropylamine     3.       Formamide


14.   N-Methylaniline           4.       Butyramide


15.   N-Methyldibutylamine      5.       Cyclohexanecarboxamide


16.   Butyldiisopropylamine     6.       N-Ethylacetamide


17.   Benzyldiisopropylamine    7.       2,2-Dimethyl-
                                         propionamide

18.   Triisopropylamine         8.       N,N-Dimethylacetamide


19.   N,N-Dimethylaniline       9.       Formanilide


20.   Cyclobutylamine           10.      N,N-Diphenylformamide


21.   1-Phenylpiperidine        11.      1-Acetylpiperidine




                               C-9
12.       Cinnamamide                  10.   2-Chloro-hexane


13.       2-Bromopropionamide          11.   2-Chloro-butane


14.       4-Acetamidobenzaldehyde      12.   2-Chloro-3-methylbutane


15.       2-Bromo-N-                   13.   2-Chloro-4-methyl pentane
          phenylpropionamide

16.       N-Acetylanthranilic acid     14.   3-Chloro-2-methyl pentane


                                       15.   exo-2-Chloro-
Halides                                      bicyclo[2.2.1]heptane
1.        Chlorophenylmethane
                                       16.   Bromocyclohexane

2.        2-Chloro-2-methyl
          propane                      17.   2-Chloro-2-methylpentane

3.        Chlorocyclohexane
                                       18.   4a-Chloro-decahydro-
                                             naphthalene
4.        1-Chloro-3-methyl butane
                                       19.   1,2-Dibromo-hexane

5.        1,4-Dibromo-2-butene
                                       20.   1,2-Dibromo-2-methyl-
                                             butane
6.        Chlorobutane
                                       21.   1,2-Dibromo-1-methyl-
                                             cyclohexane
7.        1-tert-Butyl-4-
          chloromethyl-benzene         22.   4a,8a-Dibromo-decahydro-
                                             naphthalene
8.        Ethyl bromide
                                       23.   1-Chloromethyl-2-nitro-
                                             benzene
9.        Bromomethyl-benzene




                                     C-10
24.   Benzene Chloride            38.      Methyl 2-chloropropionate


25.   Bromobenzene                39.      2-Bromo-heptanedioic acid
                                           dimethyl ester

26.   3-Chloro-1-butene           40.      2-Bromopropionamide


27.   3-Chloro-cyclohexene        41.      2-Bromo-N-phenyl
                                           propionamide

28.   4-Chloro-1-butanol          42.      1-Bromo-but-3-en-2-ol


29.   1-Bromo-2-hexanol           43.      4-Bromo-3-ethoxy-
                                           but-1-ene

30.   1-Bromo-3,3-dimethyl-2-     44.      3-Bromo-2-hydroxy-
      butanol                              propionic acid methyl ester

31.   9-Bromo-10-hydroxy-         45.      2-Bromo-cyclohexane-1,3-
      trans-decalin                        diol

32.   Bromo-acetaldehyde          46.      2,3-Dibromo-cyclohexanol


33.   4-Chloro-benzaldehyde
                                  Ethers
                                  1.       1,2-Epoxy-cyclohexane
34.   4-Chloro-butyraldehyde

                                  2.       Diethyl ether
35.   2-Bromo-cyclohexanone

                                  3.       2-Methoxypropane
36.   2-Bromo-butanoic acid

                                  4.       1-Ethoxy-butane
37.   m-Chlorobenzoic acid

                                  5.       Di-tert-butyl ether




                                C-11
6.    Diisopentyl ether         20.              4a,8a-Epoxy-decahydro-
                                                 napthalene

7.    Ethyl 2-hexyl ether       21.              1,1-Diethoxy-ethane


8.    2-Methoxy-2-methyl-       22.              2,2-Diethoxy-propane
      propane

9.    Dibenzyl Ether            23.              Benzaldehyde
                                                 diethylacetal

10.   Benzyl methyl ether       24.              1-Ethoxy-2-butene


11.   Ethyl phenyl ether        25.              3,4-Epoxy-but-1-ene


12.   Benzyl ethyl ether        26.              1,2-Dimethyl-1,2-epoxy-
                                                 cyclohex-4-ene

13.   Tetrahydrofuran           27.              4-Bromo-3-ethoxy-but-1-
                                                 ene

14.   2,3-Epoxy-butane
                                Natural Products
                                1.               Citric Acid
15.   1,2-Epoxyhexane

                                2.               Glycine
16.   1,2-Epoxyethylbenzene

                                3.               Fumaric Acid
17.   3,3-Dimethyl-1,2-
      epoxybutane
                                4.               Alpha-ketogluteric Acid
18.   1,2-Epoxy-2-methyl-
      butane
                                5.               Dopamine
19.   1-Methyl-1,2-
      epoxycyclohexane
                                6.               D-Glucose




                              C-12
7.    Sucrose


8.    Vanillin


9.    Capsaicin


10.   Cocaine


11.   Cholesterol




                    C-13
Appendix D
Quantum Equations
The experiments in the quantum simulation are based on actual experimental measurements, as is
the case for the emission and adsorption experiments or on equations that are derived from
fundamental principles. Given in this section is a description of some of these equations that an
instructor may wish to pass on to the students in the class. It is beyond the scope of this user’s
guide to detail how these equations were derived. Most of the supporting information for these
equations can be found in a good undergraduate physics text. In the case of the Millikan Oil
Drop Experiment, the equations used in the simulation were developed from Millikan’s original
paper.

Photoelectric Effect. In the photoelectric experiment, the kinetic energy of the electron
ejected from a metal due to an incident photon is calculated using the equation, E kinetic = h   ,
where h is Planck’s constant, is the frequency of the photon, and is the work function for the
metal. Values of the work function used for all the available metals are given in the Metal Table
found in the QuantumDB directory. In this experiment, no multiple photon events are allowed to
occur.

Blackbody Radiation. In the quantum simulation, each available metal can be heated up to its
melting point, where it is then allowed to melt. Before the metal melts, each metal is treated as a
perfect blackbody emitter and follows Planck’s blackbody radiation formula. The equation that is
used in the simulation is given in terms of the intensity (not the energy density, which is
                                       8 hc        1
normally the case) and is I ( ) = N        5    hc k BT
                                                            where I( ) is the intensity of the
                                       T      e         1
radiation as a function of wavelength, ; N is a normalizing factor set to 0.2 to keep the intensity
within the bounds of 0 to 1; and the other variables take on their normal values.

Thompson Experiment. In the Thompson Experiment, the charge-to-mass ratio, q/me, for an
electron can be calculated by measuring the deflection of a beam of electrons on a phosphor
screen caused by an applied electric field and then measuring the magnitude of a perpendicular
magnetic field required to bring the deflected beam back to the center of the phosphor screen.
The setup and geometry of the experiment has an incident beam of electrons with a given kinetic
energy (velocity), which passes through an electric field of strength E and a perpendicular
magnetic field of strength B. Initially, B is set to 0 (zero), and the incident beam is deflected on
the phosphor screen by applying a voltage across the electric plates. The deflection and voltage
must be measured. The deflected beam is then brought back to the zero (or middle) of the
phosphor screen by applying the magnetic field. From these measurements and using values
specified in the INI variables, the charge-to-mass ratio for an electron, q/me, can be calculated.

The derivation of the following equations is straightforward, but involves more detail than is
necessary here. The charge-to-mass ratio, q/me, is calculated using the equation




                                                D-1
q  2 Ez
  = 2 2 , where
me B l

  q = the charge on the electron in coulombs,
 me = the mass of the electron in kg,
  E = is the magnitude of the electric field calculated using E = V/d,
  V = voltage applied to the electric plates in volts,
  d = the spacing between the electric plates in m and is specified as an INI variable in Lab.ini
       (default setting = 0.050 m),
  z = the deflection of the electron beam as the beam exits the electric and magnetic fields,
  B = the applied magnetic field in T, and
   l = the length of the electric and magnetic fields. (This is also specified as an INI variable in
       Lab.ini. The default setting is 0.050 m.)

The deflection of the electron beam as the beam exits the electric and magnetic field, z, cannot be
measured directly, but must be calculated using the measured deflection on the phosphor screen,
x. The equation that calculates z from x is straightforward to derive and reduces to

         x
z=            , where
     1 + 2b l

  z = the deflection of the electron beam as the beam exits the electric and magnetic fields,
  x = the deflection of the electron beam as measured at the phosphor screen,
  b = the distance from the electric and magnetic field to the phosphor screen and is specified as
      an INI variable in Lab.ini (default setting = 0.762 m),
  l = the length of the electric and magnetic fields. (This is also specified as an INI variable in
      Lab.ini. The default setting is 0.050 m.)

Millikan Oil Drop Experiment. In the Millikan Oil Drop Experiment, the charge of an
electron is measured using the following process: (1) A random number of electrons (between 0
and 5) are deposited on very fine oil mist droplets using an electron gun. (2) The mass of an
individual droplet is calculated by measuring the terminal velocity of the drop. (3) The drop is
then suspended (or stopped from falling) by adjusting the voltage across the electric plates. (4)
From the mass of the drop and the voltage required to suspend the drop, the charge on the drop
can be calculated. The following equations are required for this calculation.

To calculate the radius of the oil droplet from the terminal velocity, the first approximation of the
radius, is

         9    air   vt
r=                                 ,
      2 g (   oil        air   )


                                                D-2
which can then be used to calculate a more accurate value using the equation
                                                1/ 2
     9           air   vt                1
r=                                                     ,
   2 g (         oil        air   )   1+ b pr

where r on the right side of the equation is the radius acquired from the first approximation and
the new r is used for the second iteration and so on until the answer converges. The variables are
defined as follows:

  vt = terminal velocity;
               -2
  g = 9.81 m s , acceleration due to gravity;
  oil   = density of oil = 821 kg m-3 (set as an INI variable in Video.ini);
 air    = density of air = 1.22 kg m-3 (set as an INI variable in Video.ini);
 air= viscosity of air = 1.4607 10-5 kg m-1 s-1 (set as an INI variable in Video.ini);
                                                   -8
  b = correction for small drop size = 8.1184 10 m atm;
  p = atmospheric pressure in atm = 1 (set as an INI variable in Video.ini).

From this, the mass of the droplet can be calculated from the equation
    4
m=       r 3 oil .
     3

If a voltage is applied such that the drop is stationary, then the force due to gravity is balanced by
the force due to the electric field, or

qE = mg .

Rearranging and using E = V/dplates yields

        d plates m g                             d plates m g
q=                          or Q(n) C =                         , where
             V                                             V

   q=       total charge on the drop,
Q(n) =      number of electrons on the drop (an integer),
  C=        the fundamental charge of an electron,
  E=        electric field = V/dplates,
  V=        voltage across the plates, and
dplates = the distance between the voltage plates = 0.010 m (set as an INI variable in Video.ini).

To do a more refined calculation of q, or to calculate it for a nonzero velocity for an applied
field, the equation


                                                                D-3
3 1/ 2             3/2
     4    d plates              1             9                         1
q=
         3 V         g(                   )       2
                                                      air
                                                                     1+ b pr
                                                                                     (v   t   v field )   vt
                          oil       air



can be used, where the only new variable not described previously, vfield, is the velocity of the
drop in the applied electric field.




                                                                     D-4
Appendix E
Answers to Preset Unknowns

Inorganic Qualitative Analysis Unknowns
Unknown   Cation             Unknown   Cation                   Unknown   Cation
    1     Na+                   43     Ba2+, Ca2+                  85     Zn2+
    2     K+                    44     Sr2+                        86     Sb3+
    3     Na+, K+               45     Ba2+, Mg2+                  87     Sn4+
    4     Water                 46     Ca2+                        88     Al3+
    5     Water                 47     Sr2+, Ca2+                  89     Ag+, Mg2+, Cu2+
    6     Na+                   48     Mg2+                        90     Ag+, Mg2+, Cr3+
    7     K+                    49     Sr2+, Mg2+                  91     Ag+, Mg2+, Co2+
    8     Na+, K+               50     Water                       92     Ag+, Ca2+, Cu2+
    9     Pb2+                  51     Ca2+, Mg2+                  93     Ag+, Ca2+, Cr3+
   10     Hg22+                 52     Ba2+, Sr2+, Ca2+, Mg2+      94     Ag+, Ca2+, Co2+
   11     Ag+                   53     Sr2+, Ca2+, Mg2+            95     Ag+, Sr2+, Cu2+
   12     Water                 54     Ba2+, Ca2+, Mg2+            96     Ag+, Sr2+, Cr3+
   13     Ag+, Hg22+, Pb2+      55     Ba2+, Sr2+, Mg2+            97     Ag+, Sr2+, Co2+
   14     Hg22+, Pb2+           56     Ba2+, Sr2+, Ca2+            98     Ag+, Ba2+, Cu2+
   15     Ag+, Pb2+             57     Co2+, Cu2+                  99     Ag+, Ba2+, Cr3+
   16     Ag+, Hg22+            58     Co2+, Ni2+                  100    Ag+, Ba2+, Co2+
   17     Water                 59     Cu2+, Ni2+                  101    Hg22+, Ba2+, Co2+
   18     Ag+, Hg22+, Pb2+      60     Co2+, Cu2+, Ni2+            102    Hg22+, Ba2+, Cr3+
   19     Ag+, Hg22+            61     Water                       103    Hg22+, Ba2+, Cu2+
   20     Ag+, Pb2+             62     Ni2+                        104    Hg22+, Sr2+, Co2+
   21     Hg22+, Pb2+           63     Cu2+                        105    Hg22+, Sr2+, Cr3+
   22     Ag+                   64     Co2+                        106    Hg22+, Sr2+, Cu2+
   23     Pb2+                  65     Water                       107    Hg22+, Ca2+, Co2+
   24     Hg22+                 66     Co2+                        108    Hg22+, Ca2+, Cr3+
   25     Co2+, Cr3+            67     Cu2+                        109    Hg22+, Ca2+, Cu2+
   26     Co2+, Cu2+            68     Ni2+                        110    Hg22+, Mg2+, Co2+
   27     Cr3+, Cu2+            69     Co2+, Cu2+, Ni2+            111    Hg22+, Mg2+, Cr3+
   28     Water                 70     Cu2+, Ni2+                  112    Hg22+, Mg2+, Cu2+
   29     Co2+, Cr3+, Cu2+      71     Co2+, Ni2+                  113    Pb2+, Mg2+, Cu2+
   30     Cr3+                  72     Co2+, Cu2+                  114    Pb2+, Mg2+, Cr3+
   31     Cu2+                  73     Al3+, Sb3+                  115    Pb2+, Mg2+, Co2+
   32     Co2+                  74     Al3+, Sn4+                  116    Pb2+, Ca2+, Cu2+
   33     Co2+, Cr3+, Cu2+      75     Al3+, Zn2+                  117    Pb2+, Ca2+, Cr3+
   34     Water                 76     Sb3+, Sn4+                  118    Pb2+, Ca2+, Co2+
   35     Co2+                  77     Sb3+, Zn2+                  119    Pb2+, Sr2+, Cu2+
   36     Cu2+                  78     Sn4+, Zn2+                  120    Pb2+, Sr2+, Cr3+
   37     Cr3+                  79     Water                       121    Pb2+, Sr2+, Co2+
   38     Cr3+, Cu2+            80     Al3+, Sb3+, Sn4+            122    Pb2+, Ba2+, Cu2+
   39     Co2+, Cr3+            81     Al3+, Sb3+, Zn2+            123    Pb2+, Ba2+, Cr3+
   40     Co2+, Cu2+            82     Al3+, Sn4+, Zn2+            124    Pb2+, Ba2+, Co2+
   41     Ba2+, Sr2+            83     Sb3+, Sn4+, Zn2+
   42     Ba2+                  84     Al3+, Sb3+, Sn4+, Zn2+




                                       E-1
Organic Qualitative Analysis Unknowns
Alkenes                                     48.    3-Nitro-benzoic acid
1.     1,4-Dibromo-2-butene                 49.    4-Nitro-benzoic acid
2.     1-Ethoxy-2-butene                    50.    2,4-Dinitrophenylacetic acid
3.     2-Buten-1-ol                         51.    2-Methyl-propionic acid
4.     2-Methyl-2-pentene                   52.    Ethanedioc acid
5.     3-Chloro-1-butene
6.     4-Methyl-pent-3-en-2-one             Alcohols
7.     Ethyl acrylate                       53.    Benzyl alcohol
8.     Methyl acrylate                      54.    3-Methyl-1-butanol
9.     2-Propenoic acid                     55.    2-Methyl-2-propanol
10.    Acrylamide                           56.    2-Methyl-butane-1,2-diol
11.    N-Vinylaniline                       57.    1-Butanol
12.    2,5-Cyclohexadiene-1,4-dione         58.    1-Heptanol
13.    But-2-enal                           59.    1-Hexanol
14.    3-Phenyl-propenal                    60.    2-Methyl-1-butanol
15.    Cinnamamide                          61.    2-Phenyl ethanol
16.    Cyclohexene                          62.    4-tert-Butylbenzyl alcohol
17.    Cyclopenta-1,3-diene                 63.    2-Nitro-benzyl alcohol
18.    4,5-Dimethyl-cyclohexene             64.    4-Nitro-benzyl alcohol
19.    1-Hexene                             65.    2-Butanol
20.    2-Methyl-1-butene                    66.    1-Hexanol
21.    3-Methyl-cyclohex-2-enone            67.    1-Phenylethanol
22.    1-Methyl-cyclohexene                 68.    Diphenyl-methanol
23.    4-Methyl-2-pentene                   69.    1-Phenyl-1-propanol
24.    nitro-Benzene                        70.    2,2-Dimethyl-pentan-3-ol
25.    2-Nitro-styrene                      71.    2-Methyl-3-pentanol
26.    4-Nitro-styrene                      72.    4-Methyl-2-pentanol
27.    Styrene                              73.    Cyclohexanol
                                            74.    2,3-Dimethyl-2-butanol
Acids                                       75.    2-Phenyl-2-propanol
28.     Benzoic acid                        76.    2-Methyl-2-pentanol
29.     Heptanedioic acid                   77.    2-Methyl-2-butanol
30.     Heptanoic acid                      78.    2-Chloro-4-methyl pentane
31.     Cyclohexanecarboxylic acid          79.    3-Chloro-2-methyl pentane
32.     Acetic acid                         80.    Bromobenzene
33.     Hexanedioic acid                    81.    Bromomethyl-benzene
34.     Butanoic acid
35.     2,2-Dimethylpropanoic acid          Amides
36.     Formic acid                         82.    N-Ethylacetamide
37.     3-Methyl butanoic acid              83.    Formamide
38.     Propanedioic acid                   84.    Butyramide
39.     Pentanoic acid                      85.    N,N-Dimethylacetamide
40.     2-Phenylacetic acid                 86.    Cyclohexanecarboxamide
41.     Propionic acid                      87.    Formanilide
42.     3-Oxo-butyric acid                  88.    1-Acetylpiperidine
43.     2-Propenoic acid                    89.    N,N-Diphenylformamide
44.     2-Oxo-propionic acid                90.    2-Bromopropionamide
45.     2-Nitrobenzeneacetic acid           91.    Cinnamamide
46.     m-Chlorobenzoic acid                92.    Acetanilide
47.     2-Bromo-butanoic acid
                                            Amines
                                            93.    Benzylamine

                                      E-2
94.      n-Heptylamine                                   140.   Ethyl phenyl ether
95.      Diisopropyl amine                               141.   Benzyl ethyl ether
96.      Triethyl amine                                  142.   Ethyl 2-hexyl ether
97.      Methyl amine                                    143.   Di-tert-butyl ether
98.      Propyl amine                                    144.   1-Ethoxy-2-butene
99.      Aniline                                         145.   2-Methoxy-2-methyl-propane
100.     sec-Butylamine                                  146.   1,1-Diethoxy-ethane
101.     N-Methylaniline                                 147.   2,2-Diethoxy-propane
102.     N-Methyldibutylamine                            148.   Dibenzyl Ether
103.     N-Methylpropylamine                             149.   1-Ethoxy-butane
104.     Cyclobutylamine                                 150.   2-Methoxypropane
105.     n-Octylamine                                    151.   Diisopentyl ether
106.     Triisopropylamine
107.     N,N-Dimethylaniline                             Halides
108.     Quinoline                                       152.    Benzyl chloride
109.     Isopropylamine                                  153.    2-Chloro-2-methyl propane
                                                         154.    Chlorocyclohexane
Esters                                                   155.    1-Chloro-3-methyl butane
110.     Ethyl-2-phenyl acetate                          156.    Benzene Chloride
111.     3-Methylbutyl acetate                           157.    4-Chloro-1-butanol
112.     Methyl propionate                               158.    2-Chloro-norbornane
113.     Methyl acrylate                                 159.    3-Chloro-cyclohexene
114.     1,7-Dimethyl-heptanedioate                      160.    3-Chloro-1-butene
115.     Methyl acetylacetate                            161.    3-Bromo-cyclohexane-1,2-diol
116.     2-Oxo-cyclohexane carboxylic acid               162.    4-Chloro-benzaldehyde
         methyl ester                                    163.    4-Chloro-butyraldehyde
117.     Ethyl heptanoate                                164.    Bromo-acetaldehyde
118.     Ethyl-2-phenyl acetate                          165.    2-Bromo-cyclohexanone
119.     Propyl formate                                  166.    m-Chlorobenzoic acid
120.     Ethyl acrylate                                  167.    2-Nitrobenzyl chloride
121.     Methyl 2-chloropropionate                       168.    4-tert-Butyl-benzyl chloride
122.     3-Hydroxy-butyric acid methyl ester             169.    1-Bromo-3,3-dimethyl-2-butanol
123.     2-Bromo-heptanedioic acid dimethyl              170.    1-Bromo-2-hexanol
         ester                                           171.    1,4-Dibromo-2-butene
124.     Cyclohex-3-enecarboxylic acid methyl            172.    2-Bromo-butanoic acid
         ester                                           173.    Bromocyclohexane
125.     Ethyl acetoacetate                              174.    Ethyl bromide
126.     Ethyl butanoate                                 175.    1,2-Dibromo-hexane
127.     Ethyl benzoate                                  176.    2-Chloro-butane
128.     Ethyl 3-nitrobenzoate                           177.    2-Chloro-hexane
129.     Methyl formate                                  178.    2-Chloro-3-methylbutane
130.     Phenylformate                                   179.    2-Chloro-2-methylpentane
131.     3-Methylbutyl butanoate                         180.    Hexane-1,2-diol
132.     3-Methylbutyl phenylacetate                     181.    syn-Butane-2,3-diol
133.     Methyl butanoate                                182.    Benzene-1,3-diol
134.     Methyl phenylacetate                            183.    2,6-Dimethyl-4-nitro-phenol
135.     Heptanedioic acid diethyl ester                 184.    Cyclohex-2-enol
136.     Propanoic acid, 1,1-dimethylethyl ester         185.    2-Buten-1-ol
137.     Propionic acid 2,6-dimethyl-phenyl              186.    3-Hydroxybutanal
         ester                                           187.    4-Hydroxy-4-phenyl-butan-2-one
                                                         188.    4-Chloro-1-butanol
Ethers                                                   189.    1-Bromo-2-hexanol
138.   Diethyl ether                                     190.    1-Bromo-but-3-en-2-ol
139.   Tetrahydrofuran                                   191.    3-Hydroxy-butyric acid methyl ester


                                                   E-3
240.   Triethyl amine
Ketones                                   241.   Aniline
192.   Acetophenone                       242.   N,N-Dimethylaniline
193.   Cyclohexanone                      243.   Methyl propionate
194.   2-Propanone                        244.   Ethyl heptanoate
195.   2-Butanone                         245.   Ethyl acetoacetate
196.   2,2-Dimethyl-pentan-3-one          246.   Ethyl benzoate
197.   4-Acetyltoluene                    247.   Diethyl ether
198.   2-Acetyltoluene                    248.   Tetrahydrofuran
199.   4-Methyl-benzophenone              249.   Dibenzyl Ether
                                          250.   3-Chloro-cyclohexene
Aldehydes                                 251.   1-Bromo-2-hexanol
200.  Butyraldehyde hydrate               252.   Bromocyclohexane
201.  Benzaldehyde                        253.   Ethyl bromide
202.  3-Phenyl-propenal                   254.   2-Chloro-3-methylbutane
203.  3-Methyl butanal                    255.   syn-Butane-2,3-diol
204.  3-Isopropyl-benzaldehyde            256.   Cyclohex-2-enol
205.  4-Nitrobenzaldehyde                 257.   Acetophenone
206.  But-2-enal                          258.   Cyclohexanone
207.  3-Hydroxybutanal                    259.   2-Butanone
208.  3-Hydroxy-3-phenyl-propanal         260.   Benzaldehyde
209.  Bromo-acetaldehyde                  261.   3-Methyl butanal
210.  4-Chloro-butyraldehyde              262.   But-2-enal
211.  4-Chloro-benzaldehyde
212.  4-Acetamidobenzaldehyde

General Unknown
213.  1-Ethoxy-2-butene
214.  2-Methyl-2-pentene
215.  2-Propenoic acid
216.  But-2-enal
217.  Cyclohexene
218.  Cyclopenta-1,3-diene
219.  1-Hexene
220.  1-Methyl-cyclohexene
221.  nitro-Benzene
222.  Styrene
223.  Benzoic acid
224.  Cyclohexanecarboxylic acid
225.  Acetic acid
226.  Butanoic acid
227.  Propanedioic acid
228.  2-Phenylacetic acid
229.  m-Chlorobenzoic acid
230.  Ethanedioc acid
231.  1-Butanol
232.  1-Hexanol
233.  1-Phenylethanol
234.  4-Methyl-2-pentanol
235.  2-Chloro-4-methyl pentane
236.  Bromobenzene
237.  N,N-Dimethylacetamide
238.  N,N-Diphenylformamide
239.  Benzylamine


                                    E-4
Titration Unknowns

Preset #2        10.   64.62 wt%         3.    0.2968 M   13.   0.0137 M
1.   0.1611 M    11.   64.65 wt%         4.    0.2910 M   14.   0.0138 M
2.   0.1552 M    12.   65.02 wt%         5.    0.2879 M   15.   0.0139 M
3.   0.1518 M    13.   66.16 wt%         6.    0.2870 M
4.   0.1501 M    14.   68.96 wt%         7.    0.2880 M
5.   0.1497 M    15.   74.88 wt%         8.    0.2907 M
6.   0.1503 M                            9.    0.2948 M
7.   0.1516 M    Preset #8               10.   0.3004 M
8.   0.1535 M    1.   0.3209 M           11.   0.3073 M
9.   0.1559 M    2.   0.3064 M           12.   0.3156 M
10. 0.1587 M     3.   0.2968 M           13.   0.3253 M
11. 0.1619 M     4.   0.2910 M           14.   0.3364 M
12. 0.1654 M     5.   0.2879 M           15.   0.3491 M
13. 0.1692 M     6.   0.2870 M
14. 0.1732 M     7.   0.2880 M           Preset #13
15. 0.1774 M     8.   0.2907 M           1.   79.12 wt%
                 9.   0.2948 M           2.   78.50 wt%
Preset #4        10. 0.3004 M            3.   77.96 wt%
1.   0.2566 M    11. 0.3073 M            4.   77.47 wt%
2.   0.2457 M    12. 0.3156 M            5.   77.03 wt%
3.   0.2389 M    13. 0.3253 M            6.   76.63 wt%
4.   0.2349 M    14. 0.3364 M            7.   76.28 wt%
5.   0.2330 M    15. 0.3491 M            8.   75.96 wt%
6.   0.2328 M                            9.   75.72 wt%
7.   0.2340 M    Preset #10              10. 75.62 wt%
8.   0.2364 M    1.   74.84 wt%          11. 75.92 wt%
9.   0.2399 M    2.   74.23 wt%          12. 77.29 wt%
10. 0.2442 M     3.   73.70 wt%          13. 81.48 wt%
11. 0.2495 M     4.   73.24 wt%          14. 91.86 wt%
12. 0.2556 M     5.   72.83 wt%          15. 87.51 wt%
13. 0.2625 M     6.   72.46 wt%
14. 0.2703 M     7.   72.13 wt%          Preset #15
15. 0.2788 M     8.   71.84 wt%          1.   0.0133 M
                 9.   71.62 wt%          2.   0.0132 M
Preset #6        10. 71.51 wt%           3.   0.0131 M
1.   67.52 wt%   11. 71.68 wt%           4.   0.0131 M
2.   66.94 wt%   12. 72.62 wt%           5.   0.0131 M
3.   66.45 wt%   13. 75.45 wt%           6.   0.0131 M
4.   66.05 wt%   14. 82.47 wt%           7.   0.0132 M
5.   65.70 wt%   15. 97.25 wt%           8.   0.0132 M
6.   65.40 wt%                           9.   0.0133 M
7.   65.13 wt%   Preset #11              10. 0.0134 M
8.   64.91 wt%   1.   0.3209 M           11. 0.0135 M
9.   64.73 wt%   2.   0.3064 M           12. 0.0136 M


                                   E-5

Instructor utilities guide

  • 1.
    Y Science Virtual Laboratories v3.0 Instructor Utilities Brigham Young University
  • 2.
    Table of Contents InstructorUtilities Overview .............................................................................................................1 Introduction....................................................................................................1 Software Configurations ..................................................................................1 Electronic Assignments and the Web Connectivity Option ..................................2 Quick Start ..........................................................................................................4 Database.............................................................................................................5 Class Management ...............................................................................................6 Class Roll........................................................................................................7 Inorganic Assignments .................................................................................. 11 Quantum Assignments .................................................................................. 16 Gases Assignments ....................................................................................... 20 Titration Assignments.................................................................................... 24 Calorimetry Assignments ............................................................................... 32 Mechanics, Circuits, and Optics Assignments................................................... 38 Density Assignments ..................................................................................... 43 Organic Assignments..................................................................................... 48 Scores .......................................................................................................... 54 Grading ............................................................................................................. 55 Utilities.............................................................................................................. 58 Overview ...................................................................................................... 58 Backup ......................................................................................................... 58 Restore ........................................................................................................ 59 Reset ........................................................................................................... 59 Messages ..................................................................................................... 59 Web Tools .................................................................................................... 61 Database...................................................................................................... 63 Y Science Server Administration Introduction....................................................................................................... 64 Requirements ............................................................................................... 64 Access and Initial Configuration ..................................................................... 65 Administrative Pages .......................................................................................... 65 General Settings ........................................................................................... 65 Server Diagnostic .......................................................................................... 66 Users ........................................................................................................... 66 Logs............................................................................................................. 66 Database Settings ......................................................................................... 66 Change Password.......................................................................................... 67 i
  • 3.
    Appendices INI Variables andManagement Issues ............................................................A-1 ChemLab INI File ..............................................................................................A-1 Database Issues ...............................................................................................A-1 Lab Book Issues................................................................................................A-2 Servlet Engine URL ......................................................................................A-2 Automatic Web Updates ...............................................................................A-3 Window Behavior .........................................................................................A-3 Inorganic INI Files ............................................................................................A-3 Quantum INI Files.............................................................................................A-3 Lab.ini .........................................................................................................A-4 Video.ini ......................................................................................................A-6 Spectro.ini ...................................................................................................A-7 Phosphor.ini ................................................................................................A-7 KE.ini ..........................................................................................................A-8 Diode.ini......................................................................................................A-9 Preset Experiments ......................................................................................A-9 Gases INI Files................................................................................................A-12 Gases.ini ...................................................................................................A-12 Units.ini.....................................................................................................A-17 Preset Experiments ....................................................................................A-20 Titration INI Files ............................................................................................A-22 Lab Variables.ini.........................................................................................A-22 Acids.ini or Bases.ini...................................................................................A-25 Oxidants.ini ...............................................................................................A-27 Reductants.ini............................................................................................A-29 Salts.ini .....................................................................................................A-32 Preset Experiments ....................................................................................A-33 Calorimetry INI Files .......................................................................................A-36 Lab Variables.ini.........................................................................................A-37 Metals.ini...................................................................................................A-40 Organicn.ini...............................................................................................A-41 Reactionn.ini .............................................................................................A-41 Saltn.ini.....................................................................................................A-45 Preset Experiments ....................................................................................A-46 Mechanics INI Files .........................................................................................A-50 Mechanics.ini .............................................................................................A-50 Preset Experiments ....................................................................................A-69 ii
  • 4.
    Density INI Files.............................................................................................A-74 Density.ini .................................................................................................A-74 Solids.ini....................................................................................................A-75 Colors.ini ...................................................................................................A-80 Fluids.ini....................................................................................................A-83 Preset Experiments ....................................................................................A-89 Circuits INI Files..............................................................................................A-92 Circuits.ini .................................................................................................A-92 Preset Experiments ....................................................................................A-93 Optics INI Files ...............................................................................................A-94 Optics.ini ...................................................................................................A-94 Preset Experiments ....................................................................................A-96 List of Organic Synthesis Assignments.............................................................B-1 List of Organic Qualitative Analysis Unknowns................................................C-1 Quantum Equations .......................................................................................... D-1 Answers to Preset Unknowns............................................................................E-1 Inorganic Qualitative Analysis Unknowns ............................................................E-1 Organic Qualitative Analysis Unknowns...............................................................E-2 Titration Unknowns ...........................................................................................E-5 iii
  • 5.
    Instructor Utilities Overview Introduction Welcome toY Science Laboratories, a set of realistic and sophisticated simulations covering general chemistry, organic chemistry, and physics laboratories. In these laboratories, students are put into a virtual environment where they are free to make the choices and decisions that they would confront in an actual laboratory setting and, in turn, experience the resulting consequences. These laboratories include simulations of inorganic qualitative analysis, fundamental experiments in quantum chemistry, gas properties, titration experiments, calorimetry, mechanics, planetary motion, density, electric circuits, optics, organic synthesis, and organic qualitative analysis. These simulations are packaged in various combinations to produce Virtual ChemLab: General Chemistry Laboratories, Virtual ChemLab: Organic Synthesis and Organic Qualitative Analysis, Virtual Physical Science, Virtual Physics, and Virtual Earth Science. Y Science Laboratories is the umbrella product that covers all of the simulations, and Instructor Utilities is the administrative tool used to create classes and assignments and retrieve the student’s work for grading for any of these products. For the remainder of this users guide, the term Y Science refers to the particular simulation package that you have purchased. Each of the simulation packages sold under the Y Science umbrella can be purchased as a site license version or as a student or single user version. The site license version is intended for institutions (high schools, colleges, universities, etc.) and the student version is intended for individual student use, although the two will often be combined together. The site license version, in addition to allowing multiple installations of the software at an institution, is the only version that includes the administrative stockroom Instructor Utilities. This Users guide describes how to manage classes and assignments in Y Science using Instructor Utilities, but keep in mind that your product may not have all of the simulations described here. Software Configurations Although the Y Science simulations can be used as an exploratory activity or tool for students, the true power of the simulations is realized when students enter the virtual laboratory and perform assignments or experiments given to them by the instructor just as they would do in an actual laboratory setting. Because these laboratories are virtual, a wide variety of experiences can be provided ranging from very basic and guided to very complex and open-ended. It is up to the instructor to decide the best use of the laboratories whether it be as a pre-lab, a lab replacement, a homework or quiz assignment, a lab supplement, or a lecture discussion activity. Because each instructor will have a different comfort level using software in the classroom or laboratory and will have different levels of technical support available, several different methods of implementing the simulations at an institution have been provided. Brief descriptions of these are listed below. Details on actually installing the software are given in the installation instructions. Workbook Version. In this configuration, an electronic workbook is provided at the beginning of the simulation that allows students to select experiments that correspond to laboratory assignments in an accompanying “real” workbook. Students can also enter the laboratory, bypassing the electronic workbook, to explore in the laboratory on their own or to perform 1
  • 6.
    custom experiments writtenby the instructor. This version of the software has the full functionality of the various simulations and can also receive electronic assignments through the Web Connectivity Option. (See the Electronic Assignments and Web Connectivity Option section below.) The workbook configuration is the most simple to install and use and requires almost no oversight by the instructor. The single user version of Y Science installs the software in the workbook configuration, and the site license version can also be used to install the software in this configuration on as many institutional computers as necessary. Direct Access Computer Lab (A Network Version). In this implementation, a centralized database is installed on a network drive accessible to all client computers in the local area network, and the Y Science software is installed on any client computers needing access to the simulations. This installation is called a direct access installation since the client software accesses the database containing the class lists, assignments, lab books, and scores directly using a mapped or named network drive. This version allows instructors to give assignments and receive results electronically. This is a simple installation for computer labs and allows multiple instructors to use the software, but there are some network security issues associated with this type of installation. The electronic workbook is available in this installation, but the focus is for students to receive their assignments and unknowns electronically. Web Access Computer Lab (A Network Version). This implementation is very similar to the direct access installation described above except in this instance, the assignment and lab book data is passed indirectly to the database using a servlet engine running on a TomCat web server. This installation does not require a local area network but, instead, only requires a simple connection to the internet. This installation also corrects several security issues associated with a direct access connection. Details on setting up and using the web connectivity feature is given in the Instructor Utilities user guide from the management perspective and in the various simulation user guides from the student perspective. It is strongly suggested the user guides be reviewed before trying to implement this version. Most questions and problems can be avoided if the user guides are studied carefully. The electronic workbook is available in this installation, but the focus is for students to receive their assignments and unknowns electronically. Electronic Assignments and the Web Connectivity Option As was described previously, one of the key features of the Y Science simulations is the ability to give assignments to students using either worksheets out of an accompanying workbook or electronically. Although worksheets are a convenient method to give assignments to students, electronic assignments offer the largest variety of activities and the most control over them. The purpose of the Instructor Utilities component of Y Science is to allow instructors to create electronic assignments, submit them to students, retrieve the student lab books, and assign scores. The ability to give assignments and retrieve results is only available when students running the software have access to the Y Science database (see the Database section below). Installing a direct access version in a local area network is one way of doing this; however, this generally limits students to working in a computer lab. A more flexible approach has been developed where the necessary information for assignments from the instructor and the results from students can be passed indirectly through a servlet engine running on a TomCat server. (Details on installing and setting up the servlet engine can be found 2
  • 7.
    in the Installationand Overview guide.) This method of passing data is called the Web Connectivity Option or Web Database Access. The advantages of this method include (a) it allows an institution to still setup the software in a computer lab without requiring read/write privileges on a network drive (a moderate security hole) and (b) students can install their own copies of the software and still have access to electronic assignments wherever they are as long as they have access to the internet. The general principles upon which the Web Connectivity Option is based are described next. 1. The database containing the class lists, assignments, lab books, and scores must still be maintained but it can now be stored on a local computer if only one instructor will be using it or it can be stored on a network drive if multiple instructors will be using the same servlet engine to pass data to and from the students. See the Database section below for more details. 2. The Web Connectivity Option works by using the servlet engine as a vehicle to receive data from both the instructor and students and save it temporarily on the server. The instructor will send (update) data for each class (from the main database), which the student can, in turn, retrieve and download to their own computer. In a like manner, a student submits (updates) their results for an assignment to the server and the instructor, in turn, will retrieve those results and incorporate them into the main database. This synchronization of the instructor and student databases is the responsibility of the individual users. If regular synchronization is not performed by both the students and instructor, then unpredictable results can occur. On the student side, this synchronization occurs automatically as long as there is an internet connection. 3. For Instructor Utilities, the Update and Retrieve functions can be performed at two locations. First, the Class Roll folder for each class has an Update Web button and Retrieve Web button. Clicking these buttons performs the indicated action for the selected class. Secondly, the Utilities drawer contains a Web Tools folder where multiple classes can be selected and the Update and Retrieve functions performed for the selected classes. 4. The information a student must have to use the Web Connectivity Option is their username, password, and the URL address for the servlet engine. The username and password are assigned when a student is added to a class. Details on using the student side of the Web Connectivity Option is given in the individual laboratory user guides. Details on setting up classes and assignments are given in the Instructor Utilities user guide. 5. Before the Web Connectivity Option can be used, the Web Connectivity Option must be enabled and the URL address for the servlet engine specified in the Web Tools folder. Details on configuring the Web Connectivity Option and other important web functions are found in the Web Tools section. 3
  • 8.
    Figure 1. The stockroom main screen. The upper two drawers of the filing cabinet access class management functions, the bottom drawer accesses database backup and restore functions as well as other utilities, and the stack of lab books accesses grading functions. Click the bell for help. Quick Start Getting into the Stockroom The stockroom (shown in Figure 1), as entered via the stockroom door in the hallway, is the laboratory management side of Y Science and is used by instructors to establish classes, make assignments, and view the results, grades, and lab books of the students. Access to this part of the stockroom (or Instructor Utilities) is allowed only to those individuals with administrative rights by typing in an administrative username and password at the stockroom card reader. The stockroom is divided into three main areas or functions: (1) Class Management (2) Grading (3) Utilities 4
  • 9.
    Brief descriptions ofthese areas are given next. Class Management Class Management functions are accessed by clicking one of the top two drawers of the filing cabinet. Some of the functions available in these drawers include creating classes, managing access privileges, defining assignments for the different labs, and viewing scores and lab books. Grading The grading of a specific assignment for an entire class is accessed by clicking the stack of lab books on the desk. Depending on the type of assignment being graded, various options are available to make the assignment of scores as painless as possible. Utilities Since the class lists, assignments, scores, and lab books are stored in a centralized database, basic backup and restore functions are available to protect against accidental or intentional corruption of the database. These functions are accessed by clicking the bottom drawer of the filing cabinet. Other functions include broadcasting messages to a class or set of classes, handling web connectivity for multiple classes, and changing the database location. Database The database that contains the classes, students, assignments, scores, and lab books is kept in the Data folder, which is either installed with the software or in another common access location. The database is stored as encrypted text files and cannot be accessed or modified without the encryption key. All login information is stored in a separate file, and student lists, assignments, and scores are stored in files for each individual class. A separate subdirectory is created for each student inside the Data directory and contains the data for each student’s lab book. Because the database is centralized and contains important grading information, simple backup and restore functionality has been added to protect against accidental or intentional corruption of the database. The backup and restore functions are not intended to protect against hardware failures. Multiple databases can be managed using the same Instructor Utilities by changing the database path in the Database folder in the Utilities drawer of the filing cabinet. In a direct access client/server installation, the database (and other common files and directories) must be kept on a mapped (PC) or named (Mac) network drive that all Y Science client computers can access with read/write/erase privileges. In a web access client/server installation, the database can be stored on a network drive if several instructors will need access to the database or it can be kept on a local drive, even on a portable computer, as long as there is an internet connection to allow for the update and retrieval of the web data. Details on using the web connectivity functionality can be found in the Web Connectivity Option section. Note: Multiple instances of the Instructor Utilities that are using the same database can be open at any given time. However, during grading, adding classes and students, and making assignments it is highly recommended that only one instance of Instructor Utilities is open at a time. 5
  • 10.
    Figure 2. TheClass Management drawer showing the Class Roll manila folder. Class Management Class management functions are accessed by clicking one of the top two drawers of the filing cabinet. Inside the drawer, there are several green hanging folders and manila folders within the hanging folders. Each hanging folder represents a class (a collection of students), and each manila folder represents a management function for the selected class. The class management drawer is closed by clicking the bottom of the drawer where it is labeled close. Closing the drawer brings the instructor back to the main stockroom. Classes are selected by clicking the hanging folder label for the indicated class (which brings that label forward). The green arrows to the left and right of the hanging folders cycle through the list of classes six classes at a time. A new class is created by clicking the Add Class button in the Class Roll folder. Details on adding and managing classes follow. The manila folders in each hanging folder perform specific class management functions. A brief description of each folder is given. Details are found in their respective help sections. 6
  • 11.
    Class Roll. Addand delete classes; add, delete, and import students; specify usernames and passwords; update to and retrieve from the web; assign stockroom access privileges. Inorganic. Define and release assignments for the inorganic qualitative analysis laboratory. Quantum. Define and release assignments for the quantum experiments. Gases. Define and release assignments for the gases experiments. Titration. Define and release assignments for the titration experiments. Calorimetry. Define and release assignments for the calorimetry or thermodynamic experiments. Mechanics. Define and release assignments for the mechanics experiments. Density. Define and release assignments for the density experiments. Circuits. Define and release assignments for electronic circuit experiments. Optics. Define and release assignments for the optics experiments. Organic. Define and release assignments for organic synthesis and organic qualitative analysis experiments. Scores. View scores assigned to each student for each assignment, export scores, view lab books, and determine availability of lab books for grading. Class Roll Overview The class roll folder contains class and student information as well as functions for adding and deleting classes and student records, importing student information, and defining access privileges. (See Figure 2.) The folder is divided into three areas: (1) class information (2) function buttons (3) a spreadsheet view of student records. Details on the three areas of the folder are given in their respective sections below. An overview of the routine or common functions performed in the class roll folder is described here. Adding a Class. A new class is added by clicking the button in the Class Roll folder labeled Add Class followed by filling in the Class Name, Section, and Instructor text boxes. Pressing Tab or Enter automatically advances to the next text box. Pressing Tab or Enter in the Instructor text 7
  • 12.
    box saves theclass information. The laboratories that can be accessed by this class must also be selected. Adding Students. Students can be added individually by clicking the Add Member button or by clicking in an empty row of the spreadsheet. Students can also be imported from a tab-delimited text file. Deleting a Class. The currently selected class can be deleted by clicking the Delete Class button. Deleting Students. The currently highlighted member can be deleted by clicking the Delete Member button. Modifying Information. Class information or member information can be modified by clicking the appropriate text box and typing the correction. The Save Class or Save Member button, respectively, may be pressed to save the modified information. Updating and Retrieving from the Web. If the Web Connectivity Option is being used, class data (class lists, assignments, scores, etc.) for the currently selected class can be updated to the servlet engine by clicking on the Update Web button. Student data is retrieved from the servlet engine by clicking on the Retrieve Web button. Note on Organizing Classes. Since only a few individuals require access to the stockroom to make assignments and grade lab books, it is suggested that a separate administrative class be created for those who require access to the stockroom. Selecting the Admin rights in the Rights section of the spreadsheet grants access to the stockroom for the selected individual. Grading rights are also available for individuals, which grants access only to the lab books for grading. Class Information The class information area shows the class name, section number, instructor name, and the selected (and available) laboratory experiments for the selected hanging folder. (See Figure 2.) The class name, section number, and instructor can be modified by clicking the appropriate text box. Pressing Tab or Enter advances the cursor to the next text box except after the instructor box which, instead, saves the class information to the database. Pressing the Save Class button also saves the class information to the database. It is not necessary to perform a Save Class when selecting the experiments that will be available to the class. These changes are saved automatically. Function Buttons These buttons perform most of the class roll functionality and are shown in Figure 2. A detailed description of these buttons is given next. Save Class. This button is active when text is being entered or modified in the class information text boxes. Pressing this button saves the currently entered information in all three text boxes. Import Class. This button is used to import members into the currently selected class using a tab- delimited text file. Clicking the button brings up a dialog box which allows the import file to be 8
  • 13.
    located and selected.If errors are found during the import process, an error file is created (and placed in the installed Y Science directory) and an appropriate error message is displayed. The format of the import file is as follows: Last First MI User Name Password Frog [Tab] Kermit [Tab] T [Tab] [Tab] green Bird [Tab] Big [Tab] [Tab] [Tab] yellow Grouch[Tab] Oscar [Tab] T [Tab] [Tab] dirty Ernie [Tab] [Tab] [Tab] [Tab] ducky Bert [Tab] [Tab] [Tab] [Tab] pigeon Etc. Only the last name and password are required with four [Tab]s on each line. Usernames are created automatically (if the column is left blank) and middle names are truncated to initials automatically. Class members that are imported are always given student access rights. An import file can be easily created by importing a class list into a spreadsheet program, editing the list to the preceding format, and saving the list as a tab-delimited text file. Add Class. This button begins a new hanging folder for a new class. Delete Class. This button deletes the currently selected class. A warning is given before the deletion occurs. Add Member. This button adds a member to the currently selected class. Text entry starts on the left with the last name and proceeds to the right by pressing Tab or Enter. The mouse can also be used to advance to the next field. Pressing Tab or Enter after the ID has been entered saves the member automatically to the database. Pressing the Save Member button will also save the member. Save Member. When a new member is being added to a class or member information is being modified, this button saves the current entries to the database. Delete Member. This button deletes the currently selected member. A warning is given before the deletion occurs. Delete All. This button deletes all the members in the currently selected class without deleting class information. A warning is given before the deletion occurs. Retrieve Web. This button performs a Retrieve function from the servlet engine for the selected class and automatically synchronizes the local database. If there is no new data to retrieve then a warning is given. If the instructor proceeds to retrieve the data, then a force retrieve is done which retrieves all the data from the server and synchronizes the local database replacing any duplicate information. See the Web Tools folder in Utilities for more ways of retrieving data and for specifying the URL address. 9
  • 14.
    Update Web. Thisbutton performs an Update function to the servlet engine for the selected class. If there is no new data to send, then a warning is given. If the instructor proceeds to update the server, then a force update is done which replaces all the data on the server. Note that the Update function must be performed before students can be authenticated over the web. The update function must also be performed any time modifications are made to the class data in order to provide the students in the class with the most up-to-date information. Cancel. This button cancels text entry in any of the class information or member information text boxes. Help. This button accesses the help screen for class rolls. Student Records The list of members for the class is given in the spreadsheet. Listed for each member is the last name, first name, middle initial, username, password (usually the student ID), and administrative privileges. A member can be added by clicking the Add Member button or by clicking on a blank line in the spreadsheet. The last name and password are required for each member. The first name and middle initial are optional. The username is generated automatically, but it can also be specified. The username and password is used by the member to gain access to the different laboratories in Y Science and must be unique to each member. Selecting Admin rights for a member gives that person administrative privileges, which means they can enter the stockroom and create, modify, and delete classes, students, and assignments. Selecting Grading rights for a member gives that person grading privileges, which means they can enter the stockroom and access the grading functionality in the lab books. A user with Grading rights does not have the ability to enter the Class Management or Utilities functions. When adding a member, text entry is started on the left with the last name and proceeds to the right by pressing Tab or Enter. The mouse can also be used to advance to the next field. Pressing Tab or Enter after the password has been entered saves the member automatically to the database. Pressing the Save Member button will also save the member. The information for a member can be modified by clicking the appropriate text box. The change is saved by pressing Tab or Enter until the password is saved or by pressing the Save Member button. Scrolling through the member list is accomplished using the scroll bar. 10
  • 15.
    Figure 3. TheInorganic Assignment folder showing a Random/By Student assignment. Inorganic Assignments Overview The inorganic assignment folder allows the instructor to define and release inorganic qualitative analysis unknowns to the class in the inorganic laboratory. These unknowns (or assignments) are given to the students in the left slot of the unknown rack in the inorganic stockroom, and the student’s work on these assignments is recorded (by the student) in the lab book. A new section is created in the lab book for each assignment accepted by the student. A student reports their unknown by pressing the Report button in the lab book and then selecting the cations they determined to be present based on their analysis. After submitting their results, a score is automatically computed by subtracting points for each incorrect positive or negative result. This score can be changed at a later time if necessary. Each unknown is made up of a set of cations that has been selected by the instructor and constitutes the cations the students will be trying to separate and identify. The instructor can assign unknowns to the students in four different ways, but the different types of unknowns only differ by how the actual cations are assigned to the students. These four unknown types are 11
  • 16.
    Random/By Class, Random/ByStudent, Manual/By Class, and Manual/By Student where Random means the cations are assigned to the students randomly based on certain criterion, Manual means the cations are assigned manually by the instructor, By Student means a different unknown (but from the same set of cations) is assigned to each student, and By Class means each student in the class receives the same unknown. As part of the assignment, the instructor must also specify the total points possible, the number of points deducted per wrong answer, the date the assignment will be available to the students (the start date), and the date when the assignment is due. The inorganic assignment folder is shown in Figure 3 and can be divided into three general areas: (a) class information, (b) assignment/archive buttons, and (c) the assignment area. The following details are on these three areas. Class Information In the upper-left of the inorganic assignment folder is the class information area where information on the currently selected class is given, followed by three buttons that are used to create, retrieve, or archive inorganic assignments. Class information cannot be modified in this folder. Assignment/Archive Buttons Create New Assignment. This button creates a blank assignment, which can be defined by the instructor and then released to the class. Details on defining an inorganic assignment are given in the Assignments section. Retrieve Assignment. This button retrieves an inorganic assignment from a set of assignments that have been previously archived. Details on archiving and retrieving inorganic assignments are given in the Archiving and Retrieving Assignments section. Archive Assignment. This button saves or archives the currently selected or defined inorganic assignment. Details on archiving and retrieving inorganic assignments are given in the Archiving and Retrieving Assignments section. Assignments The general procedure for creating an assignment includes the following steps: 1. Create a blank assignment using the Create New Assignment button. (This is not necessary if it is the first assignment.) 2. Enter a title for the assignment. 3. Specify the assignment as Random/By Class, Random/By Student, Manual/By Class, or Manual/By Student. 4. Define the cation set. 5. Assign the unknowns as appropriate for the assignment type. (See #3.) 12
  • 17.
    6. Assign thepoints possible, points for deductions, the start date, and the due date. The assignment area can be divided into the following parts: (a) Assignment Number, (b) Assignment Title, (c) Assignment Type, (d) Student List, (e) Cation Set, (f) Function Buttons, and (g) Points, Deductions, Start Date, and Due Date. Each of these are described in the following list: (a) Assignment Number. The number of the current assignment is shown in the assignment number box. Assignments that have already been created can be accessed using the left and right arrows next to the box. It can take several seconds to update the assignment information as each assignment is accessed. Rapidly advancing through the assignments bypasses the assignment update for each intermediate assignment. The assignment number only reflects the order in which they were created. The start date determines when they are accessible to the students. (b) Assignment Title. Each assignment must be given a title. The title is intended as an aid to identify the type of unknown that has been assigned, and it is also used as the default name when archiving the assignment. (See Archiving and Retrieving Assignments for details.) Assignment titles are entered by clicking the text box and typing the appropriate text. (c) Assignment Type. The type of assignment is selected by clicking the Create Unknown and Assign Unknown drop-down menus. The Create Unknown menu allows the unknown to be assigned Randomly or Manually, and the Assign Unknown menu allows the unknown to be assigned By Student or By Class. The combination of these two drop-down menus yields the four different types of unknowns: Random/By Class, Random/By Student, Manual/By Class, or Manual/By Student. (1) Random Assignment. In a Random assignment, the cations that have been selected for the cation set (see Cation Set below) are assigned randomly based on the Minimum and Maximum parameters. (See Figure 3.) The Minimum and Maximum parameters only appear on the folder when a Random unknown has been selected. The Minimum parameter defines the minimum number of cations that can be assigned from the cation set. A “1” would indicate that no fewer than one cation would be present in the unknown out of the cations in the cation set, a “2” would mean that no fewer than two cations would be in the unknown, and so on. A special case of “0” (zero) is allowed and indicates that no cations or a water unknown could be assigned. Similar to the Minimum parameter, the Maximum parameter defines the maximum number of cations that can be assigned as an unknown from the cation set. Some restrictions to these parameters include (i) Maximum cannot be greater than the number of cations in the set and (ii) Minimum cannot be greater than Maximum. The Minimum and Maximum parameters are adjusted by clicking the up and down arrows next to each parameter. (2) Manual Assignment. In a Manual assignment, an unknown is assigned by selecting the cations for each unknown manually from the cations in the cation set. (See Cation Set.) Cations are selected from the cation set by clicking the cation tiles in the Cation Set box. 13
  • 18.
    (3) By Class.When an assignment is given by class, then every student in the class will receive the same unknown. For a Random assignment, the unknown is randomly selected from the cation set, and for a Manual assignment, the cations in the unknown are selected manually. (4) By Student. When an assignment is given by student, then every student in the class will receive a unique unknown. For a Random assignment, each unknown is randomly selected from the cation set, and for a Manual assignment, the cations in each unknown are selected manually for each student. (d) Student List. A student list (see Figure 3) is provided for By Student assignments, for making Manual (or individual) assignments and to show the unknowns that have been assigned to each student. The list shows three students. The middle student in the box is the currently selected student, and there is a student before and after. Student names in red indicate an assignment has not been given, whereas student names in blue indicate an assignment has been given. The up and down arrows are used to scroll through the list. When an assignment has been made (name in blue), the cations that have been assigned to that student are highlighted in the Cation Set box. Changes in the assignments can be made up until the start date. (e) Cation Set. Before an unknown can be given to the students in the class, a cation set must be defined. This is done by selecting cations from the Cation List and placing them in the Cation Set box. Cations are selected clicking and dragging a cation tile from the list to the Cation Set box. Cations can be removed from the Cation Set box and returned to the list by clicking and dragging from the Cation Set to the Cation List. For Manual assignments, cations are assigned from the Cation Set box by clicking once on the desired cation tiles. For a By Class assignment, this cation selection process is only done once. For a By Student assignment, the cation selection process must be done for each student. Pressing Save saves the assignment for the indicated student (see Student List) and automatically advances the student list to the next student. For a Random assignment, cations in the Cation Set box cannot be selected manually, but once the assignment has been saved, the depressed tiles in the Cation Set box indicate the cations that have been assigned to the class or to the indicated student. (f) Function Buttons. The four function buttons are Save, Cancel, Delete, and Help. The Save button saves the current assignment. For Random assignments, pressing the Save button actually assigns the unknowns to the class (By Class) or to each student (By Student). The Cancel button resets the current assignment to a blank assignment if it has not yet been saved; otherwise, it restores the assignment to its last saved state. The Delete button deletes an assignment that has not been released, and the Help button opens the help window for inorganic assignments. (g) Points, Deductions, Start Date, and Due Date. The points, deductions, start date, and due date for the assignment are specified in these text boxes. The points are the total numbers of points assigned for the assignment, and the deductions are the numbers of points to be deducted for each wrong answer by the student (either a false positive or false negative). The 14
  • 19.
    minimum score possibleis zero. By default, text entry starts in the title box and pressing Tab or Enter advances the cursor to the points box, and then the deductions box. The start date is the date (starting at midnight) the assignment will be available to the students, and the due date is the last day the assignment will be available (ending at midnight). Enter the start date and due date by clicking on the calendar icon in their respective boxes and choosing the desired day. You may scroll between months by using the arrows on either side of the month and year display at the top of the calendar box. An assignment cannot be modified, including the start date, once it has been released to the students, but it is possible to change the due date. An assignment can only be canceled while it is released by deleting it. Archiving and Retrieving Assignments Defining an inorganic qualitative analysis unknown can be a time-consuming and laborious process, especially if there are several unknowns and there are several classes for which these unknowns need to be defined. To make this process less time consuming, inorganic assignments can be archived, or saved, and then retrieved using the Archive Assignment and Retrieve Assignment buttons. To archive an assignment, define an inorganic assignment following the steps and procedures that were described in the Assignments section. Pressing the Archive Assignment button will save the cation set, the assignment type, the assignment title, the points, and the deductions. A dialog box will come up asking for a name for the archive and where to save it. The assignment archive can be stored anywhere, but the default location is the Assignment /Inorganic directory located where the database is stored. Any number of archives can be stored with any combination of unknowns. To retrieve an assignment, an inorganic assignment must first be created. Pressing the Retrieve Assignment button will bring up a dialog box where the instructor may select from any of the available archives. Selecting an archive will automatically define the assignment based on the information that was saved during the archive. At this point, the start date and due date for the assignment must still be specified, and the actual unknowns must be assigned to the students by saving the assignment (pressing the Save button) for a Random assignment or by selecting the cations from the cation set for a Manual assignment. 15
  • 20.
    Figure 4. TheQuantum Assignments folder. Quantum Assignments Overview The quantum assignment folder allows the instructor to define and release text-based instructions (or assignments) for performing a number of simulated experiments that demonstrate many of the concepts and ideas that led to the development of quantum mechanics. The level of these experiments can be very basic or very sophisticated, depending on the level of the class and the purpose for performing the experiments. These assignments are given to the students using the clipboard in the quantum stockroom, and the student’s work on these assignments is recorded (by the student) in the lab book. A new section is created in the lab book for each assignment accepted by the student. The purpose of the quantum laboratory is to allow a student to explore and better understand the foundational experiments that led up to the development of quantum mechanics. Because of the very sophisticated nature of most of these experiments, the quantum laboratory is the most “virtual” of the Y Science laboratory simulations. In general, the laboratory consists of an optics 16
  • 21.
    table where varioussources, samples, modifiers, and detectors can be placed to perform different experiments. These devices are located in the stockroom and can be taken out of the stockroom and placed on the optics table. The emphasis here is to teach the students to probe a sample (e.g., a gas, metal foil, two-slit screen, etc.) with a source (e.g., a laser, electron gun, alpha-particle source, etc.) and detect the outcome with a specific detector (a phosphor screen, spectrometer, etc.). Heat, electric fields, or magnetic fields can also be applied to modify an aspect of the experiment. As in all Y Science laboratories, the focus is to allow students the ability to explore and discover, in a safe and level-appropriate setting, the concepts that are important in the various areas of chemistry. Complete details on the quantum laboratory, its use and limitations, and the scope of the simulations can be found in the Quantum Users Guide. Because these physical chemistry experiments can be complex and not necessarily intuitive to set up properly, a set of 15 preset experiments has been defined and is accessible to the student through the clipboard in the stockroom. These preset experiments are defined using a set of INI variables that describe the various aspects of each experiment. Details on how to change the preset experiments are found in Appendix A. These preset experiments can also be turned off as will be described later. Assignments in the quantum laboratory consist of a set of instructions outlining what is required of the students to complete the assignment. These assignments are text based, and when a student accepts the assignment it is displayed on the clipboard. If the student decides to proceed, the assignment is displayed in the laboratory TV for reference during the experiment. As installed, the quantum simulation comes with a set of predefined assignments with varying levels of difficulty. However, the number and difficulty of experiments that can be performed in the quantum laboratory is enormous; therefore, the ability to import custom assignments and add them to the database of assignments has also been provided. These custom assignments can also include custom preset experiments. Shown in Figure 4 is an example of a quantum assignment folder. The folder can be divided into two general areas: (1) laboratory setup and (2) assignments. Details on these two areas of the folder are given in their respective sections. Laboratory Setup The laboratory setup area of the quantum assignment folder consists of a class information area for the currently selected class at the top, followed by the laboratory setup options, followed by three buttons that are used to create a new assignment, import a custom assignment, and delete a custom assignment. Class information cannot be modified in this folder. Preset Experiments. The clipboard in the quantum stockroom contains a list of 15 preset experiments that the student can select to automatically set up experiments out in the laboratory. Deselecting this option will turn off access to these preset experiments. Details on modifying the preset experiments available to the students are found in Appendix A. This setting can be changed at any time. Highlight Drop Zones. When individual items of equipment are brought from the stockroom counter to the optics table, there are specific positions that are allowed for each type of 17
  • 22.
    equipment. To helpthe student see where these allowed drop zones are located, spotlights appear on the optics table indicating the allowed positions as each item is dragged from the stockroom counter and dropped on the optics table. Deselecting this setting turns off the spotlights. This setting can be changed at any time. Create New Assignment. This button creates a blank assignment that can be defined by the instructor and then released to the class. Details on defining assignments are given in the Assignments section. Import Assignment. The Quantum laboratory comes with a set of predefined assignments with varying levels of difficulty that demonstrate the concepts and ideas that led up to the development of quantum mechanics (and beyond). However, it is recognized that the types of experiments and their level of difficulty will most often need to be custom tailored for the level of the class, the level of the students, and the individual teaching style of the instructor. This button allows a custom assignment to be imported into the quantum assignment database. Pressing the button brings up a dialog box, which allows the instructor to locate the new assignment file and then bring it into the quantum assignment database. Once the file has been successfully imported, it is not necessary to keep the original file. This import file must be a text- (or ASCII-) based file with the following format: [Assignment with a preset experiment] 1 Assignment Title 2 3 PRESET:preset_file.ini 4 5 Descriptive text of assignment without hard-returns except at paragraphs. [Assignment without a preset experiment] 1 Assignment Title 2 3 Descriptive text of assignment without hard-returns except at paragraphs. The first line is the assignment title and will be used to identify the assignment in the assignment list (see Figure 4) and on the clipboard in the stockroom. The second line must be blank. The third line is an optional line. If the word “PRESET:” is present on the third line followed by a preset experiment file, then, when the assignment is accepted by the student, the preset experiment will be set up automatically in the laboratory after exiting the stockroom. An assignment does not necessarily have to have a preset assignment. It is only meant as an option that allows different levels of experiments to be assigned to the students. If the PRESET: line is missing then the third line in the text file is assumed to be the beginning of the assignment description. If the PRESET: line is wrong or an invalid or missing file is found, the third line is also interpreted as the beginning of the assignment description. Preset experiments for assignments must be located in the Assignment/Quantum directory located in the installed Y Science directory and must have the extension “.ini”. Note also that there should be no space between the “PRESET:” and the file name. Details on defining preset experiments are found in Appendix A, although several have been included with the software. 18
  • 23.
    Delete Imported. Thisbutton will delete the currently selected assignment (displayed in the assignment list) from the quantum assignment database if the selected assignment is an imported assignment. Imported assignments are identified with an “*” after the title. A warning will be given before the deletion is allowed to proceed. Assignments The general procedure for creating an assignment includes the following steps: 1. If the desired assignment is not present in the quantum assignment database, write the assignment using the format described and import the assignment. 2. Create a blank assignment using the Create New Assignment button. (This is not necessary if it is the first assignment.) 3. Select the desired experiment using the Select Experiment drop-down list. 4. Assign the points possible, the start date, and the due date. Shown in Figure 4 is the assignment area for a quantum assignment. The parts of the assignment area are the following: (a) Assignment Number, (b) Select Experiment, (c) Description Box, (d) Function Buttons, and (e) Points, Start Date, and Due Date. Each of these is described in the following list: (a) Assignment Number. The number of the current assignment is shown in the assignment number box. Assignments that have already been created can be accessed using the left and right arrows next to the box. It can take several seconds to update the assignment information as each assignment is accessed. Rapidly advancing through the assignments bypasses the assignment update for each intermediate assignment. The assignment number only reflects the order in which they were created. The start date determines when they are accessible to the students. (b) Select Experiment. The list of available experiments in the quantum assignment database is contained in the Select Experiment drop-down list. Experiments are listed by title and sorted alphabetically. Experiments with an “*” at the end are imported assignments and can be deleted using the Delete Imported button. Experiments are selected by clicking the desired experiment. Currently selected experiments can be replaced by clicking a new experiment. (c) Description Box. The description box contains the text of the actual experiment for review. No editing of the experiment description can be done in this box. If a preset experiment is indicated as part of the experiment, it will also be listed here, but not shown to the student. (d) Function Buttons. The four function buttons are Save, Cancel, Delete, and Help. The Save button saves the current assignment. The Cancel button resets the current assignment to a blank assignment if it has not yet been saved; otherwise, it restores the assignment to its last saved state. The Delete button deletes an assignment even if it has been released, and the Help button opens the help window for quantum assignments. 19
  • 24.
    (e) Points, StartDate, and Due Date. The points, start date, and due date for the assignment are specified in these text boxes. The points are the total numbers of points assigned for the assignment, and the minimum score possible is zero. The start date is the date (starting at midnight) the assignment will be available to the students, and the due date is the last day the assignment will be available (ending at midnight). Enter the start date and due date by clicking on the calendar icon in their respective boxes and choosing the desired day. You may scroll between months by using the arrows on either side of the month and year display at the top of the calendar box. An assignment cannot be modified, including the start date, once it has been released to the students, but it is possible to change the due date. An assignment can only be canceled while it is released by deleting it. Figure 5. The Gases Assignments folder. Gases Assignments Overview The gases assignment folder allows the instructor to define and release text-based instructions (or assignments) for performing a set of simulated physical chemistry experiments that demonstrate the behavior of ideal, real, and van der Waals gases under varying experimental conditions. The 20
  • 25.
    level of theseexperiments can be very basic or very sophisticated, depending on the level of the class and the purpose for performing the experiments. These assignments are given to the students using the clipboard in the gases stockroom, and the student’s work on these assignments is recorded (by the student) in the lab book. A new section is created in the lab book for each assignment accepted by the student. The gas experiments included in the Y Science simulated laboratory allow students to explore and better understand the behavior of ideal gases, real gases, and van der Waals gases (a model real gas). The gases laboratory contains four experiments each of which includes the four variables used to describe a gas: pressure (P), temperature (T), volume (V), and the number of moles (n). The four experiments differ by allowing one of these variables to be the dependent variable while the others are independent. The four experiments include (1) V as a function of P, T, and n using a balloon to reflect the volume changes; (2) P as a function of V, T, and n using a motor driven piston; (3) T as a function of P, V, and n again using a motor driven piston; and (4) V as a function of P, T, and n but this time using a frictionless, massless piston to reflect volume changes and using weights to apply pressure. The gases that can be used in these experiments include an ideal gas; a van der Waals gas whose parameters can be changed to represent any real gas; real gases including N2, CO2, CH4, H2O, NH3, and He; and eight ideal gases with different molecular weights that can be added to the experiments to form gas mixtures. As in all Y Science laboratories, the focus is to allow students the ability to explore and discover, in a safe and level- appropriate setting, the concepts that are important in the various areas of chemistry. Complete details on the gases laboratory, its use and limitations, and the scope of the simulations can be found in the Gases Users Guide. Because these gas experiments can be complex and not necessarily intuitive to set up properly, a set of 15 preset experiments has been defined and is accessible to the student through the clipboard in the stockroom. These preset experiments are defined using a set of INI variables that describe the various aspects of each experiment. Details on how to change the preset experiments are found in Appendix A. These preset experiments can also be turned off as will be described later. Assignments in the gases laboratory consist of a set of instructions outlining what is required of the students to complete the assignment. These assignments are text based, and when a student accepts the assignment it is displayed on the clipboard. If the student decides to proceed, the assignment is displayed in the laboratory TV for reference during the experiment. As installed, Gases comes with a set of predefined assignments with varying levels of difficulty. However, the number and difficulty of experiments that can be performed in the gases laboratory is large; therefore, the ability to import custom assignments and add them to the database of assignments has also been provided. These custom assignments can also include custom preset experiments. Shown in Figure 5 is an example of a gases assignment folder. The folder can be divided into two general areas: (1) laboratory setup and (2) assignments. Details on these two areas of the folder are given in their respective sections. 21
  • 26.
    Laboratory Setup The laboratorysetup area of the gases assignment folder consists of a class information area for the currently selected class at the top, followed by the laboratory setup options, followed by three buttons that are used to create a new assignment, import a custom assignment, and delete a custom assignment. Class information cannot be modified in this folder. Preset Experiments. The clipboard in the gases stockroom contains a list of 15 preset experiments that the student can select to automatically set up experiments out in the laboratory. Deselecting this option will turn off access to these preset experiments. Details on modifying the preset experiments available to the students are found in Appendix A. This setting can be changed at any time. van der Waals Parameters. One of the gases available in the gases laboratory is a van der Waals gas. The a and b parameters used to define the van der Waals gas can be changed in the laboratory by clicking on the cylinder label. Changing the a and b parameters here on the assignment folder will change the default values that will be initially set for each student in the class as they enter the laboratory. The units for the a and b parameters are as specified on the folder. Units. The units for the pressure, volume, and temperature variables can be changed at will by the student using the Units buttons located on the LCD controllers. Specifying the units here on the assignment folder will change the default units that will be initially used on the LCD controllers for each experiment. Create New Assignment. This button creates a blank assignment that can be defined by the instructor and then released to the class. Details on defining assignments are given in the Assignments section. Import Assignment. The gases laboratory comes with a set of predefined assignments with varying levels of difficulty that demonstrate the behavior of ideal, real, and van der Waals gases under varying experimental conditions. However, it is recognized that the types of experiments and their level of difficulty will most often need to be custom tailored for the level of the class, the level of the students, and the individual teaching style of the instructor. This button allows a custom assignment to be imported into the gases assignment database. Pressing the button brings up a dialog box, which allows the instructor to locate the new assignment file and then bring it into the gases assignment database. Once the file has been successfully imported, it is not necessary to keep the original file. This import file must be a text- (or ASCII-) based file with the following format: [Assignment with a preset experiment] 1 Assignment Title 2 3 PRESET:preset_file.ini 4 5 Descriptive text of assignment without hard-returns except at paragraphs. 22
  • 27.
    [Assignment without apreset experiment] 1 Assignment Title 2 3 Descriptive text of assignment without hard-returns except at paragraphs. The first line is the assignment title and will be used to identify the assignment in the assignment list (see Figure 5) and on the clipboard in the stockroom. The second line must be blank. The third line is an optional line. If the word “PRESET:” is present on the third line followed by a preset experiment file, then, when the assignment is accepted by the student, the preset experiment will be set up automatically in the laboratory after exiting the stockroom. An assignment does not necessarily have to have a preset assignment. It is only meant as an option that allows different levels of experiments to be assigned to the students. If the PRESET: line is missing then the third line in the text file is assumed to be the beginning of the assignment description. If the PRESET: line is wrong or an invalid or missing file is found, the third line is also interpreted as the beginning of the assignment description. Preset experiments for assignments must be located in the Assignment/Gases directory located in the installed Y Science directory and must have the extension “.ini”. Note also that there should be no space between the “PRESET:” and the file name. Details on defining preset experiments are found in Appendix A, although several have been included with the software. Delete Imported. This button will delete the currently selected assignment (displayed in the assignment list) from the gases assignment database if the selected assignment is an imported assignment. Imported assignments are identified with an “*” after the title. A warning will be given before the deletion is allowed to proceed. Assignments The general procedure for creating an assignment includes the following steps: 1. If the desired assignment is not present in the gases assignment database, write the assignment using the format described and import the assignment. 2. Create a blank assignment using the Create New Assignment button. (This is not necessary if it is the first assignment.) 3. Select the desired experiment using the Select Experiment drop-down list. 4. Assign the points possible, the start date, and the due date. Shown in Figure 5 is the assignment area for a gases assignment. The parts of the assignment area are the following: (a) Assignment Number, (b) Select Experiment, (c) Description Box, (d) Function Buttons, and (e) Points, Start Date, and Due Date. Each of these is described in the following list: (a) Assignment Number. The number of the current assignment is shown in the assignment number box. Assignments that have already been created can be accessed using the left and right arrows next to the box. It can take several seconds to update the assignment information as each assignment is accessed. Rapidly advancing through the assignments bypasses the 23
  • 28.
    assignment update foreach intermediate assignment. The assignment number only reflects the order in which they were created. The start date determines when they are accessible to the students. (b) Select Experiment. The list of available experiments in the gases assignment database is contained in the Select Experiment drop-down list. Experiments are listed by title and sorted alphabetically. Experiments with an “*” at the end are imported assignments and can be deleted using the Delete Imported button. Experiments are selected by clicking the desired experiment. Currently selected experiments can be replaced by clicking a new experiment. (c) Description Box. The description box contains the text of the actual experiment for review. No editing of the experiment description can be done in this box. If a preset experiment is indicated as part of the experiment, it will also be listed here, but not displayed to the student when they read the description in the lab. (d) Function Buttons. The four function buttons are Save, Cancel, Delete, and Help. The Save button saves the current assignment. The Cancel button resets the current assignment to a blank assignment if it has not yet been saved; otherwise, it restores the assignment to its last saved state. The Delete button deletes an assignment even if it has been released, and the Help button opens the help window for quantum assignments. (e) Points, Start Date, and Due Date. The points, start date, and due date for the assignment are specified in these text boxes. The points are the total numbers of points assigned for the assignment, and the minimum score possible is zero. The start date is the date (starting at midnight) the assignment will be available to the students, and the due date is the last day the assignment will be available (ending at midnight). Enter the start date and due date by clicking on the calendar icon in their respective boxes and choosing the desired day. You may scroll between months by using the arrows on either side of the month and year display at the top of the calendar box. An assignment cannot be modified, including the start date, once it has been released to the students, but it is possible to change the due date. An assignment can only be canceled while it is released by deleting it. Titration Assignments Overview The titration assignment folder allows the instructor to define and release acid-base or potentiometric assignments to classes using the titration laboratory. Titration assignments consist of acids and/or bases or potentiometric reagents of unknown concentration. When an assignment is released to the students, the bottles containing the unknowns will be located on the left side of the “Unknowns” shelf in the titration stockroom, and upon accepting the assignment the student’s work on these assignments will be recorded by the student in the lab book. A new section is created in the lab book for each assignment accepted by the student. The students report their assignments by clicking on the Report button in the lab book and then entering the concentrations of the unknowns they were assigned using data gathered from their experimental work and calculations. After submitting their results, a score can be automatically assigned based on pre-defined automatic grading criteria. This score can be changed at a later time if necessary. 24
  • 29.
    Figure 6. TheTitration Assignments folder. The virtual titration laboratory allows students to perform precise, quantitative titrations involving acid-base and electrochemical reactions. The available laboratory equipment consists of a 50 mL buret, 5, 10, and 25 mL pipets, graduated cylinders, beakers, a stir plate, a set of 8 acid-base indicators, a pH meter/voltmeter, a conductivity meter, and an analytical balance for weighing out solids. Acid-base titrations can be performed on any combination of mono-, di-, and tri-protic acids and mono-, di-, and tri-basic bases. The pH of these titrations can be monitored using a pH meter, an indicator, and a conductivity meter, all as a function of volume, and this data can be saved to an electronic lab book for later analysis. A smaller set of potentiometric titrations can also be performed. Systematic and random errors in the mass and volume measurements have been included in the simulation by introducing buoyancy errors in the mass weighings, volumetric errors in the glassware, and characteristic systematic and random errors in the pH/voltmeter and conductivity meter output. These errors can be ignored, which will produce results and errors typical of high school or freshman-level laboratory work, or the buoyancy and volumetric errors can be measured and included in the calculations to produce results better than 0.1% in accuracy and reproducibility. 25
  • 30.
    Because these titrationexperiments include a significant amount of detail, a set of 15 preset experiments has been defined and is accessible to the student through the clipboard in the stockroom. These preset experiments are defined using a set of INI variables that describe the various aspects of each experiment. Details on how to change the preset experiments are found in Appendix A. These preset experiments can also be turned off which will be described later. The titration laboratory allows both acid-base and potentiometric titrations, however assignments for each type of titration are essentially the same. A titration assignment consists of (1) selecting the reagents that will be assigned to the students, (2) specifying the reagents as known or unknown, (3) specifying the concentrations of the reagents, and (4) selecting and defining the reagents on the stockroom shelves that will be available to the student during the assignment. When a titration assignment has been released, the assigned reagents (usually unknowns) will appear on the left side of the “Unknowns” shelf in the stockroom. Selecting some or all of these reagents will constitute accepting the assignment, which will then cause the reagent bottles available in the stockroom to be reconfigured as defined in the assignment. The student now proceeds with the titration experiment and reports their results using the lab book. The titration assignment folder is divided into two areas: (1) laboratory setup and (2) assignments. Details on these two areas of the folder and on defining a titration assignment are given below. Laboratory Setup Shown in Figure 6 is the laboratory setup area of the titration assignment folder. Information on the currently selected class is given at the top, followed by the laboratory setup options, followed by three buttons that are used to create assignments and retrieve or archive titration assignments. Class information cannot be modified in this folder. It should be noted that the settings specified in this area of the titration folder apply to the selected class as a whole and not to a given assignment. Allow Presets. The clipboard in the titration stockroom contains a list of 15 preset experiments that the student can select to automatically set up experiments out in the laboratory or to assign a set of pre-defined unknowns. Answers for the unknowns are given in the titration section of the Instructor’s Manual. Deselecting this option will turn off access to these preset experiments. Details on modifying the preset experiments available to the students are found in Appendix A. This setting can be changed at any time. Auto save and graphing. In the titration laboratory, students have the ability to save the data associated with a titration (volume, pH/voltage, and conductivity) to the lab book for later analysis and to view a graph of the pH/voltage and conductivity as a function of volume during the course of the titration. This ability to save titration data to the lab book includes automatically reading the volume of titrant delivered from the buret. Deselecting this option will prevent students from saving titration data to the lab book and from monitoring the titration using the graphing function. Students will be forced to manually read the buret and record the necessary data to the lab book. Activity coefficients. In order to achieve the most accurate calculations of pH and voltage for the titrations, activity coefficients, as calculated from the extended Debye-Huckle limiting law, are 26
  • 31.
    used in theequilibrium calculations. Deselecting this option will turn off the use of activity coefficients. Turning off activity coefficients may be useful when students are expected to perform their own equilibrium calculations and compare them to the results from the virtual laboratory. Students also have the ability to turn activity coefficients on or off in the stockroom. Glassware errors. Actual volumetric burets and pipets do not deliver volumes that correspond exactly to the scale etched on the barrel. These volumetric errors are simulated in the laboratory by assigning appropriate error functions to each piece of precision glassware available in the laboratory. These glassware errors are unique to each student but remain constant over time. Deselecting this option will turn off these error functions, and the buret and pipets will deliver the volumes as indicated. Buoyancy errors. Items that are weighed on a balance under standard air pressure are buoyed up by the air causing the observed mass, as displayed by the balance, to be different than the true mass. This buoyancy correction is small but does make a statistically significant contribution when accuracies approaching 0.1% are needed. The mass readings displayed on the analytical balance in the simulation are observed masses and have been reverse corrected from the true mass. The balance will give the true mass when this option is deselected. Base Barometric Pressure. The buoyancy errors applied to the balance readings require knowledge of the density of air among other things. The density of air can be calculated using a variety of methods, but each requires knowledge of the temperature and barometric pressure. Therefore, in order to correct for buoyancy errors, the student must know the current temperature and barometric pressure in the virtual laboratory. The temperature is constant at 25°C, but the barometric pressure is assigned a new random value every day. The base or average pressure used for assigning the daily barometric pressure is specified here. The swing in pressures that can be assigned for any given day is ±20 Torr around the indicated base pressure. Create New Assignment. This button creates a blank assignment that can be defined by the instructor and then released to the class. Details on defining assignments are given in the Assignments section. Retrieve Assignment. This button retrieves a titration assignment from a set of assignments that have been previously archived. Details on archiving and retrieving titration assignments are given in the Archiving and Retrieving Assignments section. Archive Assignment. This button saves or archives the currently selected titration assignment. Details on archiving and retrieving qualitative analysis assignments are given in the Archiving and Retrieving Assignments section. Assignments The general procedure for creating an assignment includes the following steps: 1. Create a blank assignment using the Create New Assignment button. (This is not necessary if it is the first assignment.) 27
  • 32.
    2. Enter atitle for the assignment. 3. Specify the assignment as Acid/base or Potentiometric 4. Select reagents for the assignment shelf. 5. Specify the assignment as By Class or By Student. 6. Type or paste assignment instructions. 7. Define the stockroom reagents that will be available during the assignment. 8. Assign the points possible, auto-grading criterion, the start date, and the due date. The assignment area can be divided into two general areas, each accessed by clicking on their respective tab on the left: (1) The assignment area and (2) The stockroom shelves (the Acid/Base or Potentiometric tab). The assignment area is used to define the major portions of the assignment including the unknowns, points possible, grading, start date, and due date. The stockroom shelves (either Acid/Base or Potentiometric) area is used to define the stockroom reagents that will be available during the assignment. Details for each area are given below. The Assignment Tab (a) Assignment Number. The number of the current assignment is shown in the assignment number box. Assignments that have already been created can be accessed using the left and right arrows next to the box. It can take several seconds to update the assignment information as each assignment is accessed. Rapidly advancing through the assignments bypasses the assignment update for each intermediate assignment. The assignment number only reflects the order in which they were created. The start date determines when they are accessible to the students. (b) Assignment Title. Each assignment must be given a title. The title is intended as an aid to identify the type of unknown that has been assigned, and it is also used as the default name when archiving the assignment. (See Archiving and Retrieving Assignments for details.) Assignment titles are entered by clicking on the text box and typing the appropriate text. (c) Assignment Type. Titration assignments can be either Acid/base or Potentiometric. An assignment is defined as Acid/base or Potentiometric by clicking on the appropriate radio button. The default assignment type is Acid/base. (d) Assignment Shelf. A titration assignment can consist of up to three reagent bottles usually representing unknowns that will appear on the “Unknowns” shelf in the stockroom. For acid- base assignments, two of these bottles can be any combination of acids and/or bases and the third can be an inert salt. For potentiometric assignments, there can only be two bottles, one of which must be an oxidant and the other a reductant. The third bottle is not allowed. The three buttons in the Assignment area represent the three reagents that can be assigned as an unknown. The first two buttons are used to select the acids and/or bases for an acid-base 28
  • 33.
    assignment or theoxidant and reductant for a potentiometric assignment, while the third button is for the inert salt. An “x” in the box on each button indicates that a reagent has been selected for that position on the “Unknowns” shelf, and the name of the selected reagent will be labeled on the button. Clicking on a reagent button will bring up a dialog box where (1) the reagent to be assigned to that bottle can be selected from a dropdown list, (2) the concentration for the reagent can be specified as Fixed or Random, and (3) the concentration will be labeled as Known or Unknown to the student. A Fixed concentration means that the concentration to be assigned to that bottle will be constant and the same for each student. A Random concentration indicates that the concentration will be assigned randomly within a concentration range specified by a minimum and maximum concentration. A Random unknown or known can be assigned for the class or uniquely for each student (see Unknown Type below). Note that concentrations for aqueous reagents are specified in molarity and the concentrations for solids are in weight percent. Clicking on the dropdown arrow to the left of the Assignment Shelf buttons will drop down the details (concentration, unknown type, and its known or unknown designation) associated with each assigned reagent. (e) Unknown Type. Concentrations for bottles on the Assignment Shelf and on the stockroom shelves can be specified manually (Fixed) or they can be assigned randomly. Fixed concentrations are the same for each student in the class, but concentrations assigned Randomly can be the same or unique for each student. The Assign Unknown dropdown list allows the concentrations that are generated randomly to be the same for the entire class (By Class) or to be unique for each student (By Student). (f) Student List. A student list (not shown in Figure 6 but an example can be seen in Figure 3) is provided for By Student assignments to show the unknowns that have been assigned to each student. The list shows three students. The middle student in the box is the currently selected student, and there is a student before and after. Student names in red indicate an assignment has not been given, whereas student names in blue indicate an assignment has been given. The up and down arrows are used to scroll through the list. When an assignment has been made (name in blue), the concentrations that have been assigned to that student are given in the reagent bottle drop down list. Changes in the assignments can be made up until the start date. (g) Tools Available. In titration experiments, the equivalence point can be determined using various techniques. For acid-base titrations, a pH meter, indicators, and a conductivity meter are available. For potentiometric titrations, a voltmeter and a conductivity meter are available. The Tools Available section is used to specify which of the allowed techniques will be available for an assignment. The default is all that all techniques are available. (h) Assignment Instructions. As part of an assignment, it is possible to include instructions for the student to use as they do their experimental work. These instructions are not a mandatory part of the assignment but are optional depending on the level of guidance that is needed for a particular assignment. Instructions are simply typed or pasted into the Instructions text box. These instructions will be available for viewing on the clipboard in the stockroom when 29
  • 34.
    assigned unknowns areon the “Unknowns” shelf, and they will be available on the TV in the laboratory after an assignment has been accepted. (i) Function Buttons. The four function buttons are Save, Cancel, Delete, and Help. The Save button saves the current assignment. For Random assignments, pressing the Save button assigns the unknowns to the class (By Class) or to each student (By Student). The Cancel button resets the current assignment to a blank assignment if it has not yet been saved; otherwise, it restores the assignment to its last saved state. The Delete button deletes an assignment even if it has been released, and the Help button opens the help window for titration assignments. (j) Points and Auto-grading. Scoring for an assignment is specified in these boxes. The points are the total number of points possible for the assignment. The Auto-grade check box is used to turn on auto-grading. If auto-grading is turned off, then it is the instructor’s responsibility to inspect the student’s results and assign a score (see Grading). If auto-grading is turned on, then the % Error and Deduct values must be included as part of the assignment. Auto-grading works by subtracting the number of points specified in the Deduct box from the total points possible for every interval the student’s answer is outside the range specified in % Error. For example, using the % Error of 1 and a Deduct value of 2 shown in Figure 6, if the student’s answer were wrong by 2.2%, 4 points would be deducted. If two unknowns are assigned, then both will be used to deduct points. The minimum score possible is zero. (k) Start Date and Due Date. The start date and due date are used to specify when an assignment will be available for the class. By default, text entry starts in the title box and pressing Tab or Enter advances the cursor to the points box, and then the deductions box. The start date is the date (starting at midnight) the assignment will be available to the students, and the due date is the last day the assignment will be available (ending at midnight). Enter the start date and due date by clicking on the calendar icon in their respective boxes and choosing the desired day. You may scroll between months by using the arrows on either side of the month and year display at the top of the calendar box. An assignment cannot be modified, including the start date, once it has been released to the students, but it is possible to change the due date. An assignment can only be canceled while it is released by deleting it. The Stockroom Shelves The stockroom shelves tab in the assignment area will be labeled as either Acid/Base or Potentiometric depending on the type of assignment that has been selected. Clicking on the tab will bring the user to a series of buttons, each of which represents a bottle on the stockroom shelves (see Figure 7). For acid-base assignments, there will be a set of buttons for the acid shelf, the bases shelf, and the inert salts. For potentiometric assignments, there will be a set of buttons for the oxidants and for the reductants. The purpose of these buttons is to allow each bottle on the stockroom shelves to be reconfigured as necessary for the assignment defined in the assignment area. Reagents can be deselected so they will not be available for students during the assignment, concentrations can be changed, and concentrations can be converted into unknowns (although these unknowns cannot be reported and graded as part of the assignment). Combined with the unknowns that are assigned on the “Unknowns” shelf, the ability to reconfigure the 30
  • 35.
    Figure 7. Thestockroom shelves definition area in the Titration Assignment folder. Shown here are the buttons to define an acid-base assignment. reagents on the stockroom shelves provides an enormous amount of flexibility for the level of assignments. Clicking on a reagent button will bring up a dialog box where (1) the reagent availability can be deselected (the default state is all reagents are available), (2) the concentration for the reagent can be specified as Fixed or Random, and (3) the concentration is Known or Unknown to the student. An “x” in the box on each button indicates that a reagent is available for the assignment. A Fixed concentration means that the concentration to be assigned to that bottle will be constant and the same for each student. A Random concentration indicates that the concentration will be assigned randomly within a concentration range specified by a minimum and maximum concentration. A Random unknown or known can be assigned for the class or uniquely for each student. Note that concentrations for aqueous reagents are specified in molarity and the concentrations for solids are in weight percent. Clicking on the dropdown arrow to the left of the buttons will drop down the details (concentration, unknown type, and its known or unknown designation) associated with each reagent. 31
  • 36.
    Archiving and RetrievingAssignments Defining a titration assignment can be a time-consuming and laborious process, especially if there are several unknowns and there are several classes for which these unknowns need to be defined. To make this process less time consuming, titration assignments can be archived, or saved, and then retrieved using the Archive Assignment and Retrieve Assignment buttons. To archive an assignment, define a titration assignment following the steps and procedures that were described in the Assignments section. Pressing the Archive Assignment button will save the entire assignment except the start date and due date. A dialog box will come up asking for a name for the archive and where to save it. The assignment archive can be stored anywhere, but the default location is the Assignment/Titrations directory located where the database is stored. Any number of archives can be stored with any combination of unknowns. An assignment is retrieved by clicking on the Retrieve Assignment button, which will bring up a dialog box where the instructor may select from any of the available archives. Selecting an archive will automatically define the assignment based on the information that was saved during the archive. At this point, the start date and due date for the assignment must still be specified, and the actual unknowns must be assigned to the students by saving the assignment (pressing the Save button). It is not necessary that a new assignment be created first before retrieving an archive. Calorimetry Assignments Overview The calorimetry assignment folder allows the instructor to define and release text-based instructions (or assignments) for performing a set of simulated calorimetry experiments that demonstrate the concepts important in the study of chemical thermodynamics. The level of these experiments can be very basic or very sophisticated, depending on the level of the class and the purpose for performing the experiments. These assignments are given to the students using the clipboard in the calorimetry stockroom, and the student’s work on these assignments is recorded (by the student) in the lab book. A new section is created in the lab book for each assignment accepted by the student. There are three different calorimeters in the virtual calorimetry laboratory that allow students to measure various thermodynamic processes including heats of combustion, heats of solution, heats of reaction, the heat capacity, and the heat of fusion. The calorimeters provided in the simulations are a classic “coffee cup” calorimeter, a Dewar flask, and a bomb calorimeter. The calorimetric method used in each calorimeter is based on measuring the temperature change in the calorimeter caused by the different thermodynamic processes. Instructors can choose from a wide selection of organic materials to measure the heats of combustion; salts to measure the heats of solution; acids and bases for heats of reaction; metals and alloys for heat capacity measurements; and ice for a melting process. Boiling point elevation and freezing point depressions can also be assigned to be measured. Systematic and random errors in the mass and volume measurements have been included in the simulation by introducing buoyancy errors in the mass weighing, volumetric errors in the glassware, and characteristic systematic and random errors in the thermometer measurements. 32
  • 37.
    Figure 8. TheCalorimetry Assignments folder. Because these calorimetry experiments can be complex and not necessarily intuitive to set up properly, a set of 15 preset experiments has been defined and is accessible to the student through the clipboard in the stockroom. These preset experiments are defined using a set of INI variables that describe the various aspects of each experiment. Details on how to change the preset experiments are found in Appendix A. These preset experiments can also be turned off as will be described later. The calorimetry laboratory is used for measurements of the heat of combustion, the heat of solution, the heat capacity of a metal, and the heat of reaction, however assignments for each type of calorimetry experiment are essentially the same. A calorimetry assignment consists of (1) selecting the type of measurement to be assigned (organic, salt, metal, reaction), (2) selecting the reagents or metals that will be assigned to the students, (3) specifying the reagents as knowns or unknowns, (4) specifying the points and grading option, and (5) specifying the start date and due date. When a calorimetry assignment has been released, the assigned reagents or metals will appear on the left side of the “Unknowns” shelf in the stockroom. Selecting one or all of these 33
  • 38.
    reagents or metalswill constitute accepting the assignment. The student now proceeds with the calorimetry experiment and reports their results using the lab book. The calorimetry assignment folder is divided into two areas: (1) laboratory setup and (2) assignments. Details on these two areas of the folder and on defining a calorimetry assignment are given below. Laboratory Setup Shown in Figure 8 is the laboratory setup area of the calorimetry assignment folder. Information on the currently selected class is given at the top, followed by the laboratory setup options, followed by three buttons that are used to create assignments and retrieve or archive calorimetry assignments. Class information cannot be modified in this folder. It should be remembered that the settings specified in this area of the calorimetry folder apply to the selected class as a whole and not to a given assignment. Allow preset experiments. The clipboard in the calorimetry stockroom contains a list of 15 preset experiments that the student can select to automatically set up experiments out in the laboratory. Deselecting this option will turn off access to these preset experiments. Details on modifying the preset experiments available to the students are found in Appendix A. This setting can be changed at any time. Auto save and graphing. In the calorimetry laboratory, students have the ability to save the temperature versus time data from the thermometer to the lab book for later analysis and to view a graph of the temperature as a function of time during the course of an experiment. Deselecting this option will prevent students from saving temperature data to the lab book and from monitoring the temperature using the graphing function. Students will be forced to manually monitor and record the temperature in the lab book. Glassware errors. Actual graduated cylinders do not deliver volumes that correspond exactly to the scale etched on the cylinder. These volumetric errors are simulated in the laboratory by assigning appropriate error functions to each piece of glassware available in the laboratory. Deselecting this option will turn off these error functions, and the graduated cylinders will deliver the volumes as indicated. Buoyancy errors. Items that are weighed on a balance in air are buoyed up by the air causing the observed mass, as displayed by the balance, to be different than the true mass. This buoyancy correction is small but does make a statistically significant contribution when accuracies approaching 0.1% are needed. The mass readings displayed on the analytical balance in the simulation are observed masses and have been reverse corrected from the true mass. The balance will give the true mass when this option is deselected. Base Barometric Pressure. The buoyancy errors applied to the balance readings require knowledge of the density of air among other things. The density of air can be calculated using a variety of methods, but each requires knowledge of the temperature and barometric pressure. Therefore, in order to correct for buoyancy errors, the student must know the current temperature and barometric pressure in the virtual laboratory. The temperature is constant at 25°C, but the 34
  • 39.
    barometric pressure isassigned a new random value every day. The base or average pressure used for assigning the daily barometric pressure is specified here. The swing in pressures that can be assigned for any given day is ±20 Torr around the indicated base pressure. Create New Assignment. This button creates a blank assignment that can be defined by the instructor and then released to the class. Details on defining assignments are given in the Assignments section. Retrieve Assignment. This button retrieves a calorimetry assignment from a set of assignments that have been previously archived. Details on archiving and retrieving calorimetry assignments are given in the Archiving and Retrieving Assignments section. Archive Assignment. This button saves or archives the currently selected calorimetry assignment. Details on archiving and retrieving calorimetry assignments are given in the Archiving and Retrieving Assignments section. Assignments The general procedure for creating an assignment includes the following steps: 1. Create a blank assignment using the Create New Assignment button. (This is not necessary if it is the first assignment.) 2. Enter a title for the assignment. 3. Specify the assignment type as Organics (combustion), Salts (solution), Metals (heat capacity), or Reactions. 4. Select the reagents or metals for the assignment shelf. 5. Specify the assignment as By Class or By Student. 6. Type or paste assignment instructions. 7. Assign the points possible, auto-grading criterion, the start date, and the due date. Shown in Figure 8 is the assignment area for a calorimetry assignment. The parts of the assignment area are the following: (a) Assignment Number, (b) Assignment Title, (c) Assignment Type, (d) Report In, (e) Assignment Shelf, (f) Auto-Grade and Points, (g) Assign Unknown, (h) Student List, (i) Assignment Instructions, (j) Function Buttons, and (k) Start date and Due Date. Each of these is described in the following list: (a) Assignment Number. The number of the current assignment is shown in the assignment number box. Assignments that have already been created can be accessed using the left and right arrows next to the box. It can take several seconds to update the assignment information as each assignment is accessed. Rapidly advancing through the assignments bypasses the assignment update for each intermediate assignment. The assignment number only reflects 35
  • 40.
    the order inwhich they were created. The start date determines when they are accessible to the students. (b) Assignment Title. Each assignment must be given a title. The title is intended as an aid to identify the type of measurement that has been assigned, and it is also used as the default name when archiving the assignment. (See Archiving and Retrieving Assignments for details.) Assignment titles are entered by clicking on the text box and typing the appropriate text. (c) Assignment Type. The type of measurement that can be assigned for a calorimetry assignment includes the heat of combustion (Organics), the heat of solution (Salts), the heat capacity of a metal (Metals), or the heat of reaction (Reactions). The assignment type is selected by clicking on the appropriate radio button. The default assignment type is Organics (heat of combustion). (d) Report In. When reporting the enthalpy or heat capacity for the selected assignment type, the answers can be reported per mole or per gram. For reagents that are assigned as unknowns (allowed only for Organics, Salts, and Metals), reporting answers per gram is the only option. For reactions, answers are reported per mole of the first reagent. The default unit is per mole. (e) Assignment Shelf. The assignment shelf is used to specify the reagents or metals that will be available for students on the “Unknowns” shelf in the stockroom for the selected assignment type. For Organics, Salts, and Metals, up to two reagents or metals can be selected, but for Reaction assignments only one reaction pair can be selected. If two reagents or metals are assigned, then the heat or heat capacity of both must be reported for the assignment. For By Class assignments, the same reagents or metals will be given to each student in the class. For By Student assignments, the reagents or metals must be selected individually for each student. If the Unknown box is checked, then the identity of the reagents or metals will be hidden from the students (not available for Reaction assignments). (f) Auto-Grade and Points. Scoring for an assignment is specified in these boxes. The points are the total number of points possible for the assignment. The Auto-grade check box is used to turn on auto-grading. If auto-grading is turned off, then it is the instructor’s responsibility to inspect the student’s results and assign a score (see Grading). If auto-grading is turned on, then the % Error and Deduct values must be included as part of the assignment. Auto-grading works by subtracting the number of points specified in the Deduct box from the total points possible for every interval the student’s answer is outside the range specified in % Error. For example, using the % Error of 1 and a Deduct value of 2 shown in Figure 8, if the student’s answer were wrong by 2.5%, then the student would lose 4 points. If two unknowns are assigned, then both will be used to deduct points. The minimum score possible is zero. The Compare to option specifies if the reported answers will be compared to the standard state value or to the non-standard state value actually used in the simulation. This option is only available when Auto-Grade has been selected. (g) Assign Unknown. Assignments can be given to students either By Class or By Student. In a By Class assignment, each student in the class will receive the same reagents or metals. In a 36
  • 41.
    By Student assignment,the reagents or metals can be different for each student, but the reagents or metals must be assigned manually to each student. By default, assignments are defined By Class. (h) Student List. A student list (see Figure 8) is provided for By Student assignments to show the reagents that have been assigned to each student. The list shows three students. The middle student in the box is the currently selected student, and there is a student before and after. Student names in red indicate an assignment has not been given, whereas student names in blue indicate an assignment has been given. The up and down arrows are used to scroll through the list. When an assignment has been made (name in blue), the reagents that have been assigned to that student are given in the drop down list. Changes in the assignments can be made up until the start date. (i) Assignment Instructions. As part of an assignment, it is possible to include instructions for the student to use as they do their experimental work. These instructions are not a mandatory part of the assignment but are optional depending on the level of guidance that is needed for a particular assignment. Instructions are simply typed or pasted into the Instructions text box. These instructions will be available for viewing on the clipboard in the stockroom when assigned unknowns are on the “Unknowns” shelf, and they will be available on the TV in the laboratory after an assignment has been accepted. (j) Function Buttons. The four function buttons are Save, Cancel, Delete, and Help. The Save button saves the current assignment. For By Student assignments, pressing the Save button saves the assignment for the selected student only. The Cancel button resets the current assignment to a blank assignment if it has not yet been saved; otherwise, it restores the assignment to its last saved state. The Delete button deletes an assignment even if it has been released, and the Help button opens the help window for calorimetry assignments. (k) Start Date and Due Date. The start date and due date are used to specify when an assignment will be available for the class. By default, text entry starts in the title box and pressing Tab or Enter advances the cursor to the points box, and then the deductions box. The start date is the date (starting at midnight) the assignment will be available to the students, and the due date is the last day the assignment will be available (ending at midnight). Enter the start date and due date by clicking on the calendar icon in their respective boxes and choosing the desired day. You may scroll between months by using the arrows on either side of the month and year display at the top of the calendar box. An assignment cannot be modified, including the start date, once it has been released to the students, but it is possible to change the due date. An assignment can only be canceled while it is released by deleting it. Archiving and Retrieving Assignments Defining a calorimetry assignment can be a time-consuming and laborious process, especially if there are several assignments and there are several classes for which these assignments need to be defined. To make this process less time consuming, calorimetry assignments can be archived, or saved, and then retrieved using the Archive Assignment and Retrieve Assignment buttons. 37
  • 42.
    To archive anassignment, define a calorimetry assignment following the steps and procedures that were described in the Assignments section. Pressing the Archive Assignment button will save the entire assignment except the start date and due date. A dialog box will come up asking for a name for the archive and where to save it. The assignment archive can be stored anywhere, but the default location is the Assignment/Calorimetry directory located where the database is stored. Any number of archives can be stored with any combination of assignments. An assignment is retrieved by clicking on the Retrieve Assignment button, which will bring up a dialog box where the instructor may select from any of the available archives. Selecting an archive will automatically define the assignment based on the information that was saved during the archive. At this point, the start date and due date for the assignment must still be specified, and the actual reagents must be assigned to the students by saving the assignment (pressing the Save button). It is not necessary that a new assignment be created first before retrieving an archive. Mechanics, Circuits, and Optics Assignments Overview The mechanics, circuits, and optics assignment folders allow the instructor to define and release text-based instructions (or assignments) for performing a set of simulated physics experiments that demonstrate the concepts of mechanics, electrical circuits, and optics. The level of these experiments can be very basic or very sophisticated, depending on the level of the class and the purpose for performing the experiments. These assignments are given to the students using the clipboard found in each laboratory, and the student’s work on these assignments is recorded (by the student) in the lab book. A new section is created in the lab book for each assignment accepted by the student. Although Mechanics, Circuits, and Optics each have their own assignment folders, the method for delivering these assignments is essentially identical and will be described together here. There are five different types of experiments within the mechanics simulation: Free Motion, Ramp Motion, Billiards Ball Motion, Falling Rod Rotational Motion, and Planetary Motion. Each experiment operates within the general framework of the lab and many of the same objects and forces are used with each type of experiment. The circuit laboratory allows students to build circuits using either a breadboard or schematic representation. Using the breadboard students will connect components as they would in an ordinary circuit laboratory by adding resistors, light bulbs, capacitors, or inductors of any combination and a battery or function generator. When using the schematic the students can “draw” a circuit schematic on paper as they would to plan a circuit. The optics laboratory allows students to use lenses and mirrors to modify the images of various objects and light sources and view the results with a virtual eye. The physics of color can also be explored using filters and prisms. As in all Y Science laboratories, the focus is to allow students the ability to explore and discover, in a safe and level-appropriate setting, the concepts that form the foundation of classical physics. Complete details on these laboratories, their uses and limitations, and the scope of the simulations can be found in the Mechanics, Circuits, or Optics Users Guide. 38
  • 43.
    Figure 9. TheMechanics Assignments folder. The assignment folders for Circuits and Optics are identical except for the sidebar options. Because these physics experiments can be complex and not necessarily intuitive to set up properly, a set of 15 preset experiments for each of these simulations have been defined and are accessible to the student through the clipboard found in each laboratory. These preset experiments are defined using a set of INI variables that describe the various aspects of each experiment. Details on how to change the preset experiments are found in Appendix A. These preset experiments can also be turned off as will be described later. Assignments in these laboratories consist of a set of instructions outlining what is required of the students to complete the assignment. These assignments are text based, and when a student accepts the assignment it is displayed on the clipboard. If the student decides to proceed, the assignment is displayed in the laboratory TV for reference during the experiment. As installed, Mechanics, Circuits, or Optics come with a set of predefined assignments with varying levels of difficulty. However, the number and difficulty of experiments that can be performed in the laboratories are large; therefore, the ability to import custom assignments and add them to the database of assignments has also been provided. These custom assignments can also include custom preset experiments. 39
  • 44.
    Shown in Figure9 is an example of a mechanics assignment folder. Assignment folders for Circuits and Optics are similar. The folder can be divided into two general areas: (1) laboratory setup and (2) assignments. Details on these two areas of the folder are given in their respective sections. Laboratory Setup The laboratory setup area of the assignment folder consists of a class information area for the currently selected class at the top, followed by the laboratory setup options, followed by three buttons that are used to create a new assignment, import a custom assignment, and delete a custom assignment. Class information cannot be modified in this folder. The laboratory setup options are unique to each laboratory simulation. Preset Experiments. (All) The clipboard found in each laboratory contains a list of 15 preset experiments that the student can select to automatically set up experiments out in the laboratory. Deselecting this option will turn off access to these preset experiments. Details on modifying the preset experiments available to the students are found in Appendix A. This setting can be changed at any time. Ideal Wires. (Circuits) In the circuit laboratory, wires can be either ideal or non-ideal. Ideal means they connect the nodes and contribute no resistance to the circuit. Non-ideal means they are assumed to have some small resistance as every real wire does. Deselecting this option turns off ideal wires. Ideal Components. (Circuits) Resistors, capacitors, and inductors can be treated as ideal or non- ideal components. Ideal means the stated value of the component is the actual value. For non- ideal or real components a tolerance can be set such that the value of the component is randomly assigned to be within a certain chosen range as occurs for real components. Deselecting this option turns off ideal components. Show Component Values. (Circuits) For a circuit built on the breadboard, mousing over each component will show its nominal value, and for the engineering paper the component values are displayed next to each component. Deselecting this option will hide the component values to force a measurement or a calculation of the component values. Display in Centimeters. (Optics) In the optics laboratory, the units for the various objects can be displayed in centimeters or inches. Deselecting this option will display the units in centimeter. Note that although the units can be displayed in centimeters, the hole spacing on the optics table is still fixed at 2 inches. Create New Assignment. This button creates a blank assignment that can be defined by the instructor and then released to the class. Details on defining assignments are given in the Assignments section. Import Assignment. Each laboratory comes with a set of predefined assignments with varying levels of difficulty that demonstrate the various concepts in the physics of motion, circuits, and 40
  • 45.
    optics. However, itis recognized that the types of experiments and their level of difficulty will most often need to be custom tailored for the level of the class, the level of the students, and the individual teaching style of the instructor. This button allows a custom assignment to be imported into the assignment database. Pressing the button brings up a dialog box, which allows the instructor to locate the new assignment file and then bring it into the assignment database. Once the file has been successfully imported, it is not necessary to keep the original file. This import file must be a text- (or ASCII-) based file with the following format: [Assignment with a preset experiment] 1 Assignment Title 2 3 PRESET:preset_file.ini 4 5 Descriptive text of assignment without hard-returns except at paragraphs. [Assignment without a preset experiment] 1 Assignment Title 2 3 Descriptive text of assignment without hard-returns except at paragraphs. The first line is the assignment title and will be used to identify the assignment in the assignment list (see Figure 9) and on the clipboard. The second line must be blank. The third line is an optional line. If the word “PRESET:” is present on the third line followed by a preset experiment file, then, when the assignment is accepted by the student, the preset experiment will be set up automatically in the laboratory. An assignment does not necessarily have to have a preset assignment. It is only meant as an option that allows different levels of experiments to be assigned to the students. If the PRESET: line is missing then the third line in the text file is assumed to be the beginning of the assignment description. If the PRESET: line is wrong or an invalid or missing file is found, the third line is also interpreted as the beginning of the assignment description. Preset experiments for assignments must be located in the Assignment/Mechanics, Assignment/Circuits, or Assignment/Optics directory located in the installed Y Science directory and must have the extension “.ini”. Note also that there should be no space between the “PRESET:” and the file name. Details on defining preset experiments are found in Appendix A, although several have been included with the software. Delete Imported. This button will delete the currently selected assignment (displayed in the assignment list) from the assignment database if the selected assignment is an imported assignment. Imported assignments are identified with an “*” after the title. A warning will be given before the deletion is allowed to proceed. Assignments The general procedure for creating an assignment includes the following steps: 1. If the desired assignment is not present in the assignment database, write the assignment using the format described and import the assignment. 41
  • 46.
    2. Create ablank assignment using the Create New Assignment button. (This is not necessary if it is the first assignment.) 3. Select the desired experiment using the Select Experiment drop-down list. 4. Assign the points possible, the start date, and the due date. Shown in Figure 9 is the assignment area for a mechanics assignment. The assignment areas for a circuits and optics assignment are identical. The parts of the assignment area are the following: (a) Assignment Number, (b) Select Experiment, (c) Description Box, (d) Function Buttons, and (e) Points, Start Date, and Due Date. Each of these is described in the following list: (a) Assignment Number. The number of the current assignment is shown in the assignment number box. Assignments that have already been created can be accessed using the left and right arrows next to the box. It can take several seconds to update the assignment information as each assignment is accessed. Rapidly advancing through the assignments bypasses the assignment update for each intermediate assignment. The assignment number only reflects the order in which they were created. The start date determines when they are accessible to the students. (b) Select Experiment. The list of available experiments in the assignment database is contained in the Select Experiment drop-down list. Experiments are listed by title and sorted alphabetically. Experiments with an “*” at the end are imported assignments and can be deleted using the Delete Imported button. Experiments are selected by clicking the desired experiment. Currently selected experiments can be replaced by clicking a new experiment. (c) Description Box. The description box contains the text of the actual experiment for review. No editing of the experiment description can be done in this box. If a preset experiment is indicated as part of the experiment, it will also be listed here, but not shown to the student. (d) Function Buttons. The four function buttons are Save, Cancel, Delete, and Help. The Save button saves the current assignment. The Cancel button resets the current assignment to a blank assignment if it has not yet been saved; otherwise, it restores the assignment to its last saved state. The Delete button deletes an assignment even if it has been released, and the Help button opens the help window for the assignment folder. (e) Points, Start Date, and Due Date. The points, start date, and due date for the assignment are specified in these text boxes. The points are the total numbers of points assigned for the assignment, and the minimum score possible is zero. The start date is the date (starting at midnight) the assignment will be available to the students, and the due date is the last day the assignment will be available (ending at midnight). Enter the start date and due date by clicking on the calendar icon in their respective boxes and choosing the desired day. You may scroll between months by using the arrows on either side of the month and year display at the top of the calendar box. An assignment cannot be modified, including the start date, once it has been released to the students, but it is possible to change the due date. An assignment can only be canceled while it is released by deleting it. 42
  • 47.
    Figure 10. TheDensity Assignments folder. Density Assignments Overview The density assignment folder allows the instructor to define and release a set of solid and/or liquid unknowns to classes using the density laboratory. Density assignments consist of solids and/or liquids with unknown densities. When an assignment is released to the students, the assigned solids and/or liquids are placed in graduated cylinders and the student is required to determine the densities of the assigned materials. These assignments are given to the students using the clipboard hanging on the wall in the laboratory, and the student’s work on these assignments is recorded (by the student) in the lab book. A new section is created in the lab book for each assignment accepted by the student. The density laboratory allows students the ability to measure the mass and volume of a large set of liquids and solids which, in turn, will allow them to explore the fundamental concepts governing density and buoyancy. The laboratory has a set of graduated cylinders that can be filled with various liquids such as water, corn syrup, mercury, jet fuel, tar, plus many others. These cylinders can be filled with one or two liquids to study miscibility or the relative density of the liquids. The laboratory also contains a large selection of solids that can be dropped into 43
  • 48.
    these cylinders, andthe students can then observe whether the solids float or sink in the selected liquids. The density of the solids can be calculated by measuring the mass of the solids and the volume of liquid displaced in the cylinders after the solids have been dropped into the liquid. The density of the liquids can be determined by measuring the mass and volume of the liquid. In order to provide students with a set of standard experiments to investigate the concepts of density and buoyancy, a set of 15 preset experiments has been defined and is accessible to the student through the clipboard hanging on the wall. These preset experiments are defined using a set of INI variables that describe the various aspects of each experiment. Details on how to change the preset experiments are found in Appendix A. These preset experiments can also be turned off as will be described later. The density laboratory is used for measurements of volume and mass and the combination of these measurements is used to investigate the density of both solids and liquids. A density assignment consists of (1) selecting whether the assigned materials will be real or virtual, (2) specifying the assignment as the same for the class or different for each student, (3) specifying the unknown solids and liquids, (4) specifying the points and grading option, and (5) specifying the start date and due date. When a density assignment has been released, the assignment will appear on the clipboard. A student accepts the assignment by clicking on the Accept button, which will then display any assignment instructions. The student now proceeds with the density experiment and reports their results using the lab book. The density assignment folder is divided into two areas: (1) laboratory setup and (2) assignments. Details on these two areas of the folder and on defining a density assignment are given below. Laboratory Setup Shown in Figure 10 is the laboratory setup area of the density assignment folder. Information on the currently selected class is given at the top, followed by the laboratory setup options, followed by three buttons that are used to create assignments and retrieve or archive density assignments. Class information cannot be modified in this folder. It should be remembered that the settings specified in this area of the density folder apply to the selected class as a whole and not to a given assignment. Preset Experiments. The clipboard in the density laboratory contains a list of 15 preset experiments that the student can select to automatically set up experiments in the laboratory. Deselecting this option will turn off access to these preset experiments. Details on modifying the preset experiments available to the students are found in Appendix A. This setting can be changed at any time. Glassware Errors. Actual graduated cylinders do not deliver volumes that correspond exactly to the scale etched on the cylinder. These volumetric errors are simulated in the laboratory by assigning appropriate error functions to each piece of glassware available in the laboratory. Deselecting this option will turn off these error functions, and the graduated cylinders will deliver the volumes as indicated. 44
  • 49.
    Create New Assignment.This button creates a blank assignment that can be defined by the instructor and then released to the class. Details on defining assignments are given in the Assignments section. Retrieve Assignment. This button retrieves a density assignment from a set of assignments that have been previously archived. Details on archiving and retrieving density assignments are given in the Archiving and Retrieving Assignments section. Archive Assignment. This button saves or archives the currently selected density assignment. Details on archiving and retrieving density assignments are given in the Archiving and Retrieving Assignments section. Assignments The general procedure for creating an assignment includes the following steps: 1. Create a blank assignment using the Create New Assignment button. (This is not necessary if it is the first assignment.) 2. Enter a title for the assignment. 3. Specify the assignment type as Real or Virtual. 4. Select the fluids and/or solids that will go into the five graduated cylinders. 5. Specify the assignment as By Class or By Student. 6. Type or paste assignment instructions. 7. Assign the points possible, auto-grading criterion, the start date, and the due date. Shown in Figure 10 is the assignment area for a density assignment. The parts of the assignment area are the following: (a) Assignment Number, (b) Assignment Title, (c) Fluids, (d) Solids, (e) Material Type, (f) Assign Unknown, (g) Student List, (h) Assignment Instructions, (i) Reporting, (j) Function Buttons, (k) Auto-Grade and Points, and (l) Start Date and Due Date. Each of these is described in the following list: (a) Assignment Number. The number of the current assignment is shown in the assignment number box. Assignments that have already been created can be accessed using the left and right arrows next to the box. It can take several seconds to update the assignment information as each assignment is accessed. Rapidly advancing through the assignments bypasses the assignment update for each intermediate assignment. The assignment number only reflects the order in which they were created. The start date determines when they are accessible to the students. (b) Assignment Title. Each assignment must be given a title. The title is intended as an aid to identify the type of measurement that has been assigned, and it is also used as the default 45
  • 50.
    name when archivingthe assignment. (See Archiving and Retrieving Assignments for details.) Assignment titles are entered by clicking on the text box and typing the appropriate text. (c) Fluids. The five fluid buttons represent the five graduated cylinders in the laboratory. These buttons are used to select the fluids that will be used for the unknowns. Clicking on any of the buttons brings up a dialog box containing (1) a drop down list where you specify if the fluid should be selected manually or randomly, (2) the list of available fluids, and (3) the Save and Cancel buttons. When selecting fluids manually, you must select a fluid for each graduated cylinder and for each student if assigning a unique unknown for each student (see below). When selecting unknown fluids randomly, you must select a group or range of fluids from which the program will randomly assign an unknown to the class or to each student. These fluid assignments are made at the time the overall assignment is saved. (d) Solids. The five solid buttons represent the five graduated cylinders in the laboratory. These buttons are used to select the solids that will be used for the unknowns. Clicking on any of the buttons brings up a dialog box containing (1) a drop down list where you specify if the solid should be selected manually or randomly, (2) the list of available solids, and (3) the Save and Cancel buttons. When selecting solids manually, you must select a solid for each graduated cylinder and for each student if assigning a unique unknown for each student (see below). When selecting unknown solids randomly, you must select a group or range of solids from which the program will randomly assign an unknown to the class or to each student. These solid assignments are made at the time the overall assignment is saved. (e) Material Type. The type of measurement that can be assigned for a density assignment includes Real or Virtual. A Real assignment uses real solids and fluids for the basis of the unknowns. A Virtual assignment allows the use of virtual materials having a range of densities and viscosities selected randomly by the program at the time the assignment is saved. The range of densities for these materials is defined in the Fluids and Solids sections of the assignment folder. The default assignment type is Real. (f) Assign Unknown. Assignments can be given to students either By Class or By Student. In a By Class assignment, each student in the class will receive the same unknown solid or fluid. In a By Student assignment, the unknowns can be assigned randomly or manually to each student. By default, assignments are defined By Class. (g) Student List. A student list (not shown in Figure 10) is provided for By Student assignments to show the unknowns that have been assigned to each student. The list shows three students. The middle student in the box is the currently selected student, and there is a student before and after. Student names in red indicate an assignment has not been given, whereas student names in blue indicate an assignment has been given. The up and down arrows are used to scroll through the list. When an assignment has been made (name in blue), the unknowns that have been assigned to that student are given in the Fluids and Solids sections. Changes in the assignments can be made up until the start date. 46
  • 51.
    (h) Assignment Instructions.As part of an assignment, it is possible to include instructions for the student to use as they do their experimental work. These instructions are not a mandatory part of the assignment but are optional depending on the level of guidance that is needed for a particular assignment. Instructions are simply typed or pasted into the Instructions text box. These instructions will be available for viewing on the clipboard when an assignment is accepted, and they will be available on the TV in the laboratory while the assignment is out in the laboratory. (i) Reporting. When reporting the unknown densities for the selected assignment, the answers can be reported either Numerically or on a Relative basis. Numerically means the answers will be reported as numbers and graded against actual values. Relative means the densities will be ranked from lowest to highest but no absolute values will need to be given. Answers will be graded Numerically by default. (j) Function Buttons. The four function buttons are Save, Cancel, Delete, and Help. The Save button saves the current assignment. For By Student assignments, pressing the Save button saves the assignment for the selected student only. The Cancel button resets the current assignment to a blank assignment if it has not yet been saved; otherwise, it restores the assignment to its last saved state. The Delete button deletes an assignment even if it has been released, and the Help button opens the help window for density assignments. (k) Auto-Grade and Points. Scoring for an assignment is specified in these boxes. The points are the total number of points possible for the assignment. The Auto-grade check box is used to turn on auto-grading. If auto-grading is turned off, then it is the instructor’s responsibility to inspect the student’s results and assign a score (see Grading). If auto-grading is turned on, then the %Error and Deduct values must be included as part of the assignment. Auto-grading works by subtracting the number of points specified in the Deduct box from the total points possible for every interval the student’s answer is outside the range specified in % Error. For example, using the % Error of 3 and a Deduct value of 5 shown in Figure 10, if the student’s answer were wrong by 6.5%, then the student would lose 10 points. If two unknowns are assigned, then both will be used to deduct points. The minimum score possible is zero. Keep in mind that because of inherent uncertainties in the volume measurements, typical uncertainties in measured densities will be about 3%. (l) Start Date and Due Date. The start date and due date are used to specify when an assignment will be available for the class. By default, text entry starts in the title box and pressing Tab or Enter advances the cursor to the points box, and then the deductions box. The start date is the date (starting at midnight) the assignment will be available to the students, and the due date is the last day the assignment will be available (ending at midnight). Enter the start date and due date by clicking on the calendar icon in their respective boxes and choosing the desired day. You may scroll between months by using the arrows on either side of the month and year display at the top of the calendar box. An assignment cannot be modified, including the start date, once it has been released to the students, but it is possible to change the due date. An assignment can only be canceled while it is released by deleting it. 47
  • 52.
    Archiving and RetrievingAssignments Defining a density assignment can be a time-consuming and laborious process, especially if there are several assignments and there are several classes for which these assignments need to be defined. To make this process less time consuming, density assignments can be archived, or saved, and then retrieved using the Archive Assignment and Retrieve Assignment buttons. To archive an assignment, define a density assignment following the steps and procedures that were described in the Assignments section. Pressing the Archive Assignment button will save the entire assignment except the start date and due date. A dialog box will come up asking for a name for the archive and where to save it. The assignment archive can be stored anywhere, but the default location is the Assignment/Density directory located where the database is stored. Any number of archives can be stored with any combination of assignments. An assignment is retrieved by clicking on the Retrieve Assignment button, which will bring up a dialog box where the instructor may select from any of the available archives. Selecting an archive will automatically define the assignment based on the information that was saved during the archive. At this point, the start date and due date for the assignment must still be specified, and the actual reagents must be assigned to the students by saving the assignment (pressing the Save button). It is not necessary that a new assignment be created first before retrieving an archive. Organic Assignments Overview The organic assignment folder allows the instructor to define and release organic synthesis and organic qualitative analysis assignments to the class in the organic laboratory. These assignments are given to the students using the clipboard in the organic stockroom, and the student’s work on these assignments is recorded (by the student) in the lab book. A new section is created in the lab book for each assignment accepted by the student. In the organic laboratory, the instructor has the option to specify whether (a) compound names are listed as IUPAC names or common names, (b) if the TV tutorial is available to the student during practice sessions, and (c) if the spectra library is available to the students. These settings are independent of the assignments and can be changed at any time. The instructor can assign to the students of a class any number of synthesis or qualitative analysis experiments. For either type of assignment, the instructor specifies the total points possible, the date the assignment will be available to the students (the start date), and the date when the assignment is due. A synthesis assignment involves selecting one of 17 different reactions, which defines a set of available starting materials, and a product that each student in the class will make, purify, and characterize. An organic qualitative analysis assignment involves assigning unknowns (compounds with an unknown structure) to each student either randomly or individually, and the student, in turn, will use the analytical techniques and functional group tests in the laboratory to determine the structure of the unknown. The organic assignment folder is divided into two areas: (1) laboratory setup and (2) assignments. Details on these two areas of the folder are given in their respective sections below. 48
  • 53.
    Figure 11. TheOrganic Assignment folder showing a synthesis assignment. Laboratory Setup Shown in Figure 11 and Figure 12 is the laboratory setup area of the organic assignment folder. Information on the currently selected class is given at the top, followed by the laboratory setup options, followed by three buttons that are used to create assignments and retrieve or archive qualitative analysis assignments. Class information cannot be modified in this folder. Display Names As. In various parts of the organic laboratory, the names of compounds are displayed either as pop-ups, on the chalkboard, or on the TV. Selecting IUPAC or Common specifies in what format these names will appear. This setting can be changed at any time. Tutorial. When Tutorial is selected, the tutorial mode is enabled on the laboratory TV and the student has the ability to see the contents of different solutions on the lab bench when an assignment is not out in the laboratory. During an assignment, the tutorial mode is automatically disabled. This setting can be changed at any time. 49
  • 54.
    Figure 12. TheOrganic Assignment folder showing a qualitative analysis experiment. Spectra Library. A library of approximately 700 FTIR and NMR spectra are available to the student through the spectra library option on the laboratory TV. Selecting Spectra Library allows the students to have access to this library in the laboratory and to save these spectra in their lab books. When a spectra is saved in the lab book from the spectra library, the spectra is clearly labeled as coming from the library. Note that the spectra for the qualitative unknowns are contained in the library; therefore, it is suggested that the library be disabled while qualitative analysis assignments are available to the students. This setting can be changed at any time. Create New Assignment. This button creates a blank assignment that can be defined by the instructor and then released to the class. Details on defining a synthesis or qualitative analysis assignment are given in the Assignments section. Retrieve Assignment. This button retrieves a qualitative analysis assignment from a set of assignments that have been previously archived. Details on archiving and retrieving qualitative analysis assignments are given in the Archiving and Retrieving Assignments section. 50
  • 55.
    Archive Assignment. Thisbutton saves or archives the currently selected qualitative analysis assignment. Details on archiving and retrieving qualitative analysis assignments are given in the Archiving and Retrieving Assignments section. Assignments The general procedure for creating an assignment includes the following steps: 1. Create a blank assignment using the Create New Assignment button. (This is not necessary if it is the first assignment.) 2. Specify the type of the assignment as Synthesis or Qualitative Analysis. 3. For synthesis assignments, choose the reaction and product to be made by the students. 4. For qualitative analysis experiments, choose the set of unknowns (or retrieve an archive) and assign them to the students. 5. Assign the points possible, the start date, and the due date. Shown in Figure 12 is the assignment area for a qualitative analysis assignment. A synthesis assignment screen is similar (shown in Figure 11) except for the contents of the two scroll boxes and the absence of the student list (described subsequently). The parts of the assignment area are the following: (a) Assignment Number; (b) Assignment Type; (c) Reactions/Class Scroll Box; (d) Products/Unknown Scroll Box; (e) Points, Start Date, and Due Date; (f) Student List; (g) Structure Display Box; and (h) Function Buttons. Each of these is described in the following list: (a) Assignment Number. The number of the current assignment is shown in the assignment number box. Assignments that have already been created can be accessed using the left and right arrows next to the box. It can take several seconds to update the assignment information as each assignment is accessed. Rapidly advancing through the assignments bypasses the assignment update for each intermediate assignment. The assignment number only reflects the order in which they were created. The start date determines when they are accessible to the students. (b) Assignment Type. The type of assignment is selected by clicking the Synthesis or Qualitative radio buttons. For a qualitative analysis assignment, additional information defining the assignment is also listed. Show C–H Analysis specifies whether a C–H analysis of the unknowns will be available to the student for this assignment. Qualitative analysis unknowns can be assigned randomly or individually. In a random assignment, a set of unknowns is defined by the instructor and then randomly assigned to each student in the class. In an individual assignment, an unknown can be selected for each student in the list. (c) Reactions Scroll Box. For a synthesis assignment, the first scroll box is labeled as “Reactions” and lists 17 named reactions. These same reactions are listed on the clipboard in the organic stockroom. Selecting a reaction on the clipboard defines a set of starting materials from which the student is free to choose to perform a reaction. Although the 51
  • 56.
    starting materials werechosen to demonstrate the chemistry of the named reaction, the student is not forced to perform that reaction, but instead, can choose any of the 15 reagents in the laboratory to perform any other viable reaction. Thus, any named reaction (or starting material set) is capable of producing a number of products in addition to the products of the named reaction. Selecting a named reaction in the reactions scroll box defines a list of products (shown in the products scroll box) that can be assigned to the class to make from the starting material set. A reaction is chosen by clicking the appropriate reaction. Class Scroll Box. For a qualitative analysis assignment, the first scroll box is labeled as “Class” and lists 11 classes of unknowns grouped by functional group. Selecting a functional group in the class scroll box defines a list of unknowns containing that functional group (shown in the unknown scroll box) that can be assigned to the students. A functional group is chosen by clicking the appropriate group. (d) Products Scroll Box. Once a reaction has been selected, a list of the products that can be made from the starting material set for the reaction is listed in the products scroll box. (See Appendix B for a complete list.) The products that are listed first are products that correspond to the selected named reaction. Other products are also listed that demonstrate different reactions or selectivity, but can be made from the same selected starting materials using other reagents and reaction conditions. Clicking a product selects that product, but does not save the assignment. Above the products scroll box is a drop-down menu, which allows the products to be listed by IUPAC name or Common name. Products Scroll Box. (for qualitative assignments) Once a class or functional group has been selected, a list of products containing that functional group is listed in the products scroll box. (See Appendix C for a complete list of unknowns.) Within a class, products are generally listed with single functional groups first followed by multiple functional group unknowns and from less difficult to more difficult. Above the products scroll box is a drop- down menu, which allows the products to be listed by IUPAC name or Common name. Unlike a synthesis assignment, where there is only one product that can be assigned, for a random assignment it is typical to select a set of unknowns, which, in turn, will be assigned randomly to the students. Sets of unknowns do not have to be restricted to one functional group, but can extend to other functional groups as well. A single product is selected by clicking the name. Multiple products are selected by Ctrl-click (both for the Mac and PC) and ranges of products are selected by Shift-click. For individual assignments, an unknown is assigned to each student by selecting a class (functional group) and a single unknown. After the product is selected, the assignment is automatically saved and the student list is advanced to the next student. This process should proceed until each student has an unknown. (e) Points, Start Date, and Due Date. The points, start date, and due date for the assignment are specified in these text boxes. The points are the total numbers of points assigned for the assignment, and the minimum score possible is zero. The start date is the date (starting at midnight) the assignment will be available to the students, and the due date is the last day the assignment will be available (ending at midnight). Enter the start date and due date by clicking on the calendar icon in their respective boxes and choosing the desired day. You may scroll between months by using the arrows on either side of the month and year display 52
  • 57.
    at the topof the calendar box. An assignment cannot be modified, including the start date, once it has been released to the students, but it is possible to change the due date. An assignment can only be canceled while it is released by deleting it. (f) Student List. For qualitative analysis assignments, a student list is provided for making individual assignments and to show the unknowns assigned to each student. The list shows three students. The middle student in the box is the currently selected student, and there is a student before and after. Student names in red indicate an assignment has not been given, whereas student names in blue indicate an assignment has been given. The up and down arrows are used to scroll through the list. When an assignment has been made (name in blue), the class and unknown are highlighted in the class and unknown scroll boxes, and the structure of the unknown is shown in the structure display box. Updating the assignment information as each student is accessed can take several seconds. Rapidly advancing through the students bypasses the assignment update for the intermediate students. Changes in the assignments can be made up until the start date. (g) Structure Display Box. Mousing over a product or unknown listed in the product/unknown scroll box shows the structure of the compound in the structure display box. When a product has been selected, the structure is shown in the display box by default. For qualitative analysis unknowns, the structure of the unknown assigned to the selected student is shown by default in the display box. (h) Function Buttons. The four function buttons are Save, Cancel, Delete, and Help. The Save button saves the current assignment. The Cancel button resets the current assignment to a blank assignment if it has not yet been saved; otherwise, it restores the assignment to its last saved state. The Delete button deletes an assignment even if it has been released, and the Help button opens the help window for organic assignments. Archiving and Retrieving Assignments When defining a qualitative analysis assignment, the instructor is required to define a set of possible unknowns by selecting from the available set of compounds given in each class of unknown. This can be a time-consuming and laborious process, especially if these sets are large and need to be defined for several classes. To make this process simpler, these sets can be archived or saved and then retrieved using the Archive Assignment and Retrieve Assignment buttons. These buttons are only active for qualitative analysis assignments. Archiving is not possible for synthesis assignments. To archive an assignment, define a qualitative analysis assignment following the steps and procedures that were described in the Assignments section. Pressing the Archive Assignment button will save the unknown set and the number of points allocated for the assignment. A dialog box will appear asking for a name for the archive and where to save it. The assignment archive can be stored anywhere, but the default location is the Assignment /Organic directory located where the database is stored. Any number of archives can be stored with any combination of unknowns. 53
  • 58.
    To retrieve anassignment, a qualitative analysis assignment must first be created. Inside a qualitative analysis assignment, pressing the Retrieve Assignment button will bring up a dialog box where the instructor may select from any of the available archives. Selecting an archive will automatically define the set of unknowns based on the archive and allocate the number of points for the assignment if that was also saved as part of the archive. At this point, the start date and due date for the assignment must still be specified, and the actual unknowns must be assigned to the students by saving the assignment (pressing the Save button). Scores Figure 13. The Scores folder inside the Class Management drawer. Overview The scores folder (see Figure 13) shows the scores that have been earned by each student in the class for each assignment, allows these scores to be exported in a tab-delimited text file, shows the assignments that need to be graded, and allows the lab books to be inspected. The scores folder is divided into three areas: (1) class and student information, (2) function buttons, and (3) a spreadsheet view of student records. Each of these areas is described in the following sections. 54
  • 59.
    Class and StudentInformation Shown in Figure 13 is the class and student information area of the scores folder. Information on the currently selected class is given at the top, followed by detailed student information for the selected student in the spreadsheet. Class and student information cannot be modified in this folder. Function Buttons The two function buttons are View Lab Book and Export Scores. Selecting a student in the spreadsheet enables the View Lab Book button. Clicking View Lab Book brings up the lab book for the selected student starting in the Practice section. It is possible to record or modify scores for assignments that have been reported. See Grading for more details. The Export Scores button exports the current scores to a tab-delimited text file. A dialog box is used to specify the file name and path. Student Records The list of members is given in the spreadsheet with the assignments and points possible listed across the top. Members can be listed by Name or by ID (password). When an assignment has been reported by a student but has not been graded, a small lab book icon appears in the cell corresponding to the student and the assignment. The lab book icon indicates that an assignment is available for grading for that student. Clicking the lab book icon brings up the lab book for the student in the assignment section that needs to be graded. While in the lab book, it is possible to record a score for the assignment or simply view the lab book and then return to the scores folder. See Grading for more details. When a grade has been recorded for the assignment, the lab book icons are replaced with the actual score. Grading Overview Each student is given an electronic lab book to record their notes and submit their results for grading. These lab books may be reviewed and graded (assigned a score) by (1) clicking the stack of lab books on the stockroom desk, (2) clicking a lab book icon in the Scores folder, or (3) clicking the View Lab Book button in the Scores folder. Each method launches the electronic lab book and allows the instructor to navigate through a student’s notes, results, and conclusions and record grades for assignments. Each method differs, however, in how the students and assignments are selected. The lab book is organized by sections and pages. The section name and current page number for the section is listed at the top of the page. The first section is labeled Practice and is always the section that is available to the student anytime an assignment is not out in the laboratory. When an assignment is accepted for the first time, a new section is created in the lab book (named with the assignment number) where only the notes associated with that assignment can be recorded. Each assignment will have its own section, and these sections can only be modified while the assignment is out in the laboratory. Once an assignment has been submitted for grading, no other modifications are allowed. After an assignment has been submitted, an extra page is added to the end of the section where grading information will be posted. This last page also contains the 55
  • 60.
    Figure 14. Thegrading view of the lab book as accessed through the stack of lab books in the stockroom. student’s reported answers for unknowns, and grading comments from the instructor can also be recorded here. Described in the following sections are the navigation tools for the lab book, recording scores, and the different methods the lab book can be accessed. Navigation Moving around inside the lab book from page to page and section to section is accomplished using the five buttons grouped at the top of the left page of the lab book. (See Figure 14.) The description of the functionality for each of these buttons follows. The Previous and Next buttons are used to go to the previous or next page in the current section. If a page in either the downward or upward direction is not available in the section, the button is grayed out and not active. 56
  • 61.
    The Search Notesbutton is used to specify a word or phrase that can be searched for in the current section or in the entire lab book. Shown on the right is the Search dialog area that is placed on the left page of the lab book when the Search Notes button has been pressed. The text box is used to enter the word or words that will be searched for in the current section or in all sections. The Search button initiates the search for the word or words typed in the text box. If a match is found, the page with the match will be shown on the right page of the lab book with the match highlighted. Pressing the Search button again will search for the next occurrence. After a match has been found, pressing the OK button will close the Search dialog and switch the lab book to the new page. Pressing the Cancel button closes the Search dialog and keeps the lab book on the old page. The Current Section and All Sections radio buttons specify whether the search is to be made on the current section or over all sections in the lab book, respectively. The Go To Page button is used to jump to any page in any of the sections in the lab book. Shown on the right is the Go To dialog box that is displayed when the Go To Page button is pressed. The first box lists the currently available sections in the lab book by name. Clicking one of these will then list the available pages for the highlighted section in the second box. Clicking one of the pages will switch the lab book to the indicated page and section. Pressing the Cancel button keeps the lab book on the old page. The Exit button exits the lab book. Accessing the Lab Book A student’s lab book can be accessed in three ways. 1. Stack of Lab Books. Clicking the stack of lab books on the stockroom desk launches the electronic lab book with a dialog box (shown in the accompanying figure) that allows a specific class and assignment to be selected. The first box shows the current list of classes. Selecting one of these classes then lists in the second box the assignments that have been defined for the selected class. Selecting one of the assignments listed in the second box removes the dialog box and displays the lab book for the 57
  • 62.
    first student inthe class with the lab book in the selected assignment section. (See Figure 14.) In the middle of the left page is a student list where the student shown in the box is the student to whom the current lab book belongs. Recording a score for this assignment automatically advances the lab book to the next student. Other students in the class can also be accessed using the up and down arrow keys in the student list. Other assignments can be viewed or graded using the Go To Page button or the Search Notes button. Pressing Exit returns to the select class/select assignment dialog box. 2. Lab Book Icon. When an assignment has been reported by a student, but has not been graded, a small lab book icon is placed in the cell corresponding to the student and the assignment in the Scores spreadsheet. The lab book icon indicates that an assignment is available for grading for that student. Clicking the lab book icon brings up the lab book for the student in the assignment section that needs to be graded. Recording a score for the assignment replaces the lab book icon with the score in the spreadsheet. 3. View Lab Book. Selecting a student listed in the Scores spreadsheet and clicking the View Lab Book button brings up the lab book for the student starting in the Practice section. The assignment sections of the lab book can be accessed using the Go To Page button or the Search Notes button. Scores can be modified or recorded in the assignment sections. Recording Scores In assignment sections of the lab book, a score box and Record button are available at the bottom left page of the lab book. (See Figure 14.) If a score has already been recorded for the assignment, then the score is shown in the score box; otherwise, the score box is blank. A score is recorded or modified by (1) clicking the score box, typing the score, and pressing Enter or (2) clicking the Record button. A score can be recorded for an assignment even if the assignment has not been submitted; however, this will prevent the student from further work on the assignment even if the due date has not passed. Also note that when recording scores, comments can be recorded in the comment box (not shown) for each assignment for later student viewing. Utilities Overview Since the class lists, assignments, scores, and lab books are stored in a centralized database, basic backup and restore functions are available to protect against accidental or intentional corruption of the database. In addition to these database utilities, there is also a Message utility that allows an instructor to broadcast important information or reminders to the students of a selected class on the chalkboard in the organic laboratory or the chalkboard in the general chemistry laboratory. All of these functions are accessed by clicking the bottom drawer of the filing cabinet. Inside the utilities drawer are manila folders, each of which performs a specific utility function. These functions are described in the sections that follow. Backup The Backup folder contains a list of the 22 most recent backups listed by date and time with the most recent backups listed first. Clicking the Perform Backup button performs a complete backup of the current database. When the number of backups reaches 22, the oldest backup is 58
  • 63.
    discarded to makeroom for the newest backup. These backups are stored in the Backup directory in the Y Science directory and, therefore, do not protect against hardware failures. Restore The Restore folder contains a list of the 22 most recent backups listed by date and time with the most recent backups listed first. Clicking one of the backups generates another list containing the classes that were stored in the selected backup. Clicking the Restore All button replaces the current database with the selected backup. A warning is given before the restore proceeds to delete the current database. A specific class within a backup can be restored by first selecting the class and then clicking the Restore Class button. A warning is given before the restore proceeds to delete the current class and replace it with the backup. Reset The reset folder simply contains a Reset button, which, when pressed, deletes the current database and resets it to a known state containing one class (Admin) and two members. One of the members has administrative privileges for access to the stockroom. It is important that after the reset operation, the new administrative password is either noted or changed so future access to the stockroom can be ensured. Messages When administering classes and assignments inside of Y Science, it is sometimes necessary or useful to send out brief messages reminding the students of deadlines, giving them hints, or warning them of problems. The Messages folder (see Figure 15) allows an instructor to compose a message, select the classes where the message will be sent, and define at what time the message will be released to the student and when the message will expire. Messages that have been sent are displayed on the chalkboards in the general chemistry laboratory and in the organic laboratory. Multiple messages can be sent and made available to students at the same time. The process for creating and sending messages is divided into three steps: (a) compose the message, (b) select the class or classes where the message will be sent, and (c) define when the message will be sent and when it will expire. (a) Composing a Message. A new message is created by first clicking the Create New Message button (unless this is the first message, in which case the message area is already set up for a new message). The actual text to be sent to the students can be typed directly into the message box or can be pasted in from another program. The message can be as long as needed since scrolling will be available for the students at the chalkboards. (b) Selecting the Classes. Once the message has been typed or entered, the classes for whom the message is intended must be selected. Located on the left of the Messages folder is a list of classes for the current database. Classes are selected by clicking the desired class. Multiple classes are selected by Ctrl-click (both for the Mac and PC) and a range of classes is selected by Shift-click. (c) Sending the Message. Once the message has been composed and the destination classes selected, the time of delivery for the message must be defined next. Below the message text box are the Send options. A message can be sent Now or On a specified date by selecting the 59
  • 64.
    Figure 15. TheMessages folder as accessed from the Utilities drawer. appropriate radio button. If a date is specified, the date must selected using the usual calendar functionality described in the assignment folders. The duration of the message or how long the message will be available to the selected classes is defined by specifying the number of days (from the send date) the message will be available or by specifying the Until. The message is not actually sent until the Send Message button is pressed. (d) Miscellaneous. The number of the current message is shown in the message number box at the top of the folder. Messages that have already been created and saved can be accessed using the left and right arrows next to the box. It can take several seconds to update the message information as each message is accessed. At the bottom of the Messages folder are the normal four buttons for Save, Cancel, Delete, and Help. The Save button will save the current message for later action. The Cancel button will cancel the current message or current changes and revert back to the previously saved state. The Delete button will delete the current message, and Help will access the Utilities Help screen. 60
  • 65.
    Figure 16. TheWeb Tools folder as accessed through the Utilities drawer. The Web Tools folder is used to test the servlet engine, update and retrieve data from the web, and set the URL address. Web Tools The Web Connectivity Option allows the instructor to give electronic assignments to the students of one or more classes and, in turn, receive their answers and results through a servlet engine. Details on configuring and using the Web Connectivity Option is given in the Overview section at the beginning of this users guide. The Web Tools folder, shown in Figure 16, allows the instructor to configure the Web Connectivity Option and perform several web connectivity functions. Details on configuring the web option and using the web connectivity functions is given here. Details on installing the servlet engine are given in the Installation and Overview Guide, and details on administering the servlet engine are given in the Y Science Server Administration section below. Servlet URL. The Web Connectivity Option works by having a servlet engine collect data from both the instructor and student and store it temporarily on the server. Both the instructor and the student must specify the URL address of the servlet engine before the Web Connectivity Option can be used. The Servlet URL text field is used to specify the URL address of the servlet engine being used by Instructor Utilities. The servlet engine is actually a very small Java program that 61
  • 66.
    runs on aTomCat server; as a result, several instances or contexts of the servlet engine can run simultaneously on any given server. It is recommended that each context on the server be used to pass only one managed database between the instructor and the students since the servlet engine does not check for duplicate classes nor duplicate students. The format of the URL address will take the form of http://localhost:8080/Context/y where the localhost will be the IP address or registered server name of the server and Context is the name of the context war file of the servlet engine running on the server. The default Context is “yscience”. Test Connection. Clicking the Test Connection button will query the servlet engine at the specified URL address to test the servlet engine configuration and the indicated URL address. If the test is not successful, then trouble shoot the following issues: (1) the TomCat server is not running, (2) the servlet engine is not running or not configured, (3) there is no internet connection, or (4) the URL address is incorrect. Test Server. Clicking the Test Server button will query the servlet engine at the specified URL address to test the servlet engine configuration, the indicated URL address, and tests the writing and reading of files on the server. A common problem when configuring the servlet engine is the servlet engine runs correctly but incorrect permissions have been granted to the servlet preventing the writing and reading of files. This test insures that the correct permissions have been established. Clear All. Clicking the Clear All button will clear all the stored data off the context at the specified URL address. If more than one database is using the same context, then data from the other database will also be cleared. Select Classes. The update and retrieve functions for the Web Connectivity Option can be performed for each class using the Update Web and Retrieve Web buttons located in the Class Roll folder for each class. However, if there are several sections of the same class, it will be easier to select all these classes and perform the update and/or retrieve at the same time. Listed in the Select Classes scroll box is a list of all the classes for the current database. Multiple classes are selected by Ctrl-click (both for the Mac and PC) and ranges of classes are selected by Shift- click. All classes in the list can be selected by clicking on the Select All box. The Update, Retrieve, or Clear buttons below the Select Classes scroll box operate on these selected classes. Update Web. This button performs an Update function to the servlet engine for the selected classes. If there is no new data to send, then a warning is given. If the instructor proceeds to update the server, then a force update is done which replaces all the data on the server. Note that the Update function must be performed before students can be authenticated over the web and allowed to turn on their own Web Connectivity Option. The update function must also be performed any time modifications are made to the class data in order to provide the students in the class with the most up-to-date information. Retrieve Web. This button performs a Retrieve function from the servlet engine for the selected classes and automatically synchronizes the local database. If there is no new data to retrieve then a warning is given. If the instructor proceeds to retrieve the data then a force retrieve is done 62
  • 67.
    which retrieves allthe data from the server and synchronizes the local database replacing any duplicate information. Force Update/Retrieve Web. The Force Update Web and Force Retrieve Web buttons are identical to the regular Update and Retrieve functions except the Force functions copy all the data either from the local database to the server (update) or from the server to the database (retrieve). A regular Update or Retrieve moves only the data that is new or has been modified. Clear Web. Clicking on this button clears the data for the selected off the context at the specified URL address. This is a destructive process and prevents any students who may try to upload data from doing so. A class can be re-established by simply performing and Update function. Database Local Database Location. The database that contains the classes, students, assignments, scores, and lab books is stored either locally inside the main installed Y Science directory or it could be stored elsewhere such as on a network drive where it can be shared with other client computers in a direct access installation. Details on the database structure can be found in the Database section. The Local Database Location text field allows the instructor to specify the location of the working database that will be used by Instructor Utilities which, in turn, allows an instructor to manage multiple databases. The path that is entered in the text field must be a complete path and must end with /Data/ (or :Data:) For the OS X operating system, the path separators must be colons (“:”). If an entered path does not contain a valid Y Science database then an initial database will be created automatically. If you enter a valid Y Science database path, then you will be prompted to enter a username and password to gain entry to the new database. The entered path can be saved by either using the Return key or by clicking on the Save button. 63
  • 68.
    Y Science ServerAdministration Introduction Requirements In the Web Connectivity Option, assignments and student results are passed between the instructor and student using a small server application that stores both the assignment and student data temporarily on the server. This server application (hereafter called a servlet or servlet engine) runs inside a TomCat server (or any other equivalent application server) that can be installed on a Windows, OS X, or Unix platform. The server computer can be any computer that has an IP address and does not have to be anything fancy. The following is a general list of requirements and other general information needed to setup and run the servlet engine. (Note that in the following description administrator is either the instructor setting up the servlet engine or a technical support individual.) 1. The server must have the latest version of Java 2SE JRE 5.0 installed (currently that is 5.0 Update 8). For OS X machines, this will be on the OS X installation disk. You must be using Tiger 10.4 or greater. For Windows and Unix, this can be downloaded from http://java.sun.com/javase/downloads. 2. The server must also have the TomCat (also called Jakarta) application server (or an equivalent) installed. A copy of TomCat for Windows and OS X is included on Y Science installation CD in the Servlet folder. 3. A directory will need to be established on the server where the data can be stored temporarily by the servlet engine. All users who will be administering TomCat will need to have read/write privileges to this directory. This should only be a problem in Unix. 4. It is not recommended that different Y Science databases use the same servlet engine since there is no checking for duplicate class names and students. This is easily solved since multiple instances of the servlet engine can run simultaneously on the server. Each instance of the servlet engine is called a context and must be managed independently. 5. The URL address for the servlet engine will have the following format: http://localhost:8080/Context/y where the localhost will be the IP address or registered server name of the server and Context is the name of the context war file of the servlet engine running on the server. The default Context is “yscience”. This URL address will be needed by the instructor and students. 6. In order for the Web Connectivity Option to work, the servlet engine must be running on a server that is accessible to the client computers who will be using it. If the server is behind a firewall, then it is the administrator’s responsibility to ensure that any client computers outside the firewall can still see the server. 7. When running TomCat on any version of Windows other than Windows 2000 Server or Windows 2003 Server, there can only be, at most, 10 simultaneous connections to the 64
  • 69.
    TomCat server fromthe clients. This is by Microsoft's design; however, the connection time with the server should be short for each client and should not cause a significant problem except with large numbers of users. In the following discussion, it is assumped that you have successfully installed and know how to start and stop the servlet engine. Specific instructions for installing and configuring the servlet engine can be found in the Installation and Overview Guide. Given below is a description of how to initially configure and access the servlet administration page, followed by a description of the various servlet options within the servlet administration page. Access and Initial Configuration After the servlet engine has been installed on the server, you need to configure each context you may have deployed. The servlet engine will not work until it has been configured. To do this, use your browser to go to the link http://localhost:8080/yscience/admin (or use your other context names in place of “yscience”) and use the username chemlab and the password chemlab (case sensitive) to gain access to the context manager or servlet administration page. This will be the address you use each time you need to access the servlet administration page. The first time you access the servlet administration page, you will be asked to specify where the database will be located, that is, the path where you will save the context data. (You will need a new folder for each context.) You will also need to enter a new username and password since the initial chemlab username and password will not work after the sevlet has been configured. When this information has been entered, click the Update Path button and everything should be ready for use. Repeat this step for all contexts you have deployed. Please Note: For OS X, the path used for specifying where the context data will be stored must be entered using Linux syntax. That is, if the path on your Mac is Macintosh HD:Users:YourName:ServletData then the path you should enter is /Users/YourName/ServletData. We recommend that spaces not be used in any of the folder names. Administrative Pages After the servlet engine has been initially configured, the administratin page can be re-visited to customize various servlet settings, perform diagnostics, and perform various other administrative functions. The servlet administration page is divided into the following sections: (1) General Settings, (2) Server Diagnostic, (3) Users, (4) Logs, (5) Database Settings, and (6) Change Password. Detailed descriptions of these sections are given next. General Settings Session Timeout Time The servlet can only transfer data to and from the server one session at a time, although the time required for each session is typically very brief. This setting is the maximum time a session can last for both students and administrators before a session timout is invoked. The default timout setting is usually sufficient except updating and retrieving for very large classes. Select Server DB Version The Y Science server can administor to both older version 2.5 (v2.5) and v3.0+ products. Although the different versions use different servlet protocols, you can 65
  • 70.
    specifiy with thissetting the product version and protocols you wish to use. Selecting v2.5+ (default) allows the servlet to use both protocols, while v2.5 and v3.0 force the servlet to restrict access to the indicated versions. Server Status This allows you to turn the transfer of data through the servlet engine on and off. However, this option does not actually turn the servlet application on and off. Server Diagnostic This section performs a wide set of servlet function diagnostics to insure the servlet is functioning properly. Mostly these tests confirm that data can be written to and read from the specified server database location. After the diagnostic is performed, the test results are displayed with brief explainations for any failures. Users Here you can add and delete servlet administrator users. Only those who need access to the administration portion of the server should be added to the list of users. To add a new user, simply enter in the username and password of the new user, verify the password by entering it again, and then click the Add User button. The password must be at least five characters long. Logs A history of all access to and use of the servlet can be stored in log files for later inspection for diagnostic purposes. The following options allow control of the logging functions performed by the servlet engine. Logging Level This specifies the level of detail to be stored in the log files. These levels include off, severe, warning, info, and config. Off gathers no information, Severe lists only errors, Warning lists errors and warnings, Info displays a general log of those who access the server along with errors and warnings., and Config stores all attempted actions. File Size Limit This is the maximum or limiting log file size before a new log file is created. Number of Old Log Files to Keep This is the maximum number of old log files to keep before the oldest file is deleted. Log File Format This allows you to choose plain text or XML as the file format for the log files. Database Settings This section allows you to specify a new database path to store the database information on the server. Note that specifiying a new database path is a distructive process and resets all database settings back to their default state and requires entering a new username and password. Setting a new database path in this section is equivalent to an initial configuration when the servlet engine was first installed. Changing to a new database path does not erase information stored in previous database locations and that information can be restored by typing in the old database path. 66
  • 71.
    Note that forOS X based servers, the path used for specifying where the context data will be stored must be entered using Linux syntax. That is, if the path on your Mac is Macintosh HD:Users:YourName:ServletData then the path you should enter is /Users/YourName/ServletData. We recommend that spaces not be used in any of the folder names. Change Password This section allows you to change the password for the servlet adminstrator who is currently logged into the system. The new password must be more than 5 characters long and must be entered twice. 67
  • 72.
    Appendix A INI Variablesand Management Issues Many of the functions and simulation parameters used in Y Science are controlled by INI variables. INI variables are numerical or text settings that are contained in a small set of INI files found in the various Y Science directories. These INI files are text-based files all with the extension “.ini” and can be viewed or edited in any simple text-based editor. It should be noted that in these INI files, variables are grouped together in sections by a header line with the format [name], where name is the name of the section. When adding INI variables to a file, the section names, if not already present in the file, must be added along with the new variables. During the installation of Y Science, these INI variables are set at what is considered to be the optimal settings for most applications. However, many of these INI variables can be changed to fit individual needs and applications. Given in this appendix is a description of most of these INI variables and how they fit within the greater scope of Y Science. Along with a description of these INI variables, many issues associated with the management and implementation of Y Science will also be discussed. ChemLab INI File The ChemLab.ini file is the main INI file that controls the overall operation of the software. Most of what is described in this section is a more detailed description of how the Y Science simulations are configured and how some of these INI variables can be reconfigured. Given below is a description of the INI variables that can be modified. Database Issues When Y Science is installed, a Chemlab.ini file is created in the main Y Science directory that has the format [Database] DatabasePath = pathData (PC) or DatabasePath = path:Data: (Mac) where path is the path to the Y Science directory chosen at the time of the installation. This INI variable points to the Data directory where the login, class management files, and electronic lab books are stored. For client installations, this variable points to the database on the server. For local installations, the variable points to the local database. During a direct client installation, the installer creates this variable based on where the client installer was launched. If the installer was launched from the server in the Y Science directory, then the variable should point to the correct database. If the direct client installer was copied to a removable media (say, a USB drive), which is then used to install the client program, the INI variable will default to the removable media drive. During the installation, an option is given to enter the correct path for the server database. This path must include the Data (:Data:) part of the path to the database. A-1
  • 73.
    As Y Sciencehas been developed and as new features have been added, the format of the database has been forced to change. When students are using older versions of the software with new versions of Instructor Utilities, there could be database incompatibilities. An INI variable has been added which will control how these incompatibilities will be handled. [General] Autoupgrade = No or Yes (default) or Force A No will always prompt the user to upgrade the database, A Yes will automatically upgrade the database if it is a student user, and Force will always upgrade the database for any version of the software. Lab Book Issues To increase the speed and reliability of the electronic lab book in a Direct Database Access mode, a copy of the lab book is placed on the local drive of the computer when the lab book is opened in the laboratory or in Instructor Utilities. When this is done, a lock is placed on the file to prevent two users (the instructor and the student) from modifying the file at the same time. In the event of a hardware crash while the lab book is open, this lock remains in effect even when the program is restarted. This lock can be overridden by the instructor by opening the lab book inside Instructor Utilities using the View Lab Book button in the Score folder. When a student has their lab book open in the laboratory, the lab book information is stored in memory. Saves of the lab book are made only at the time the lab book is exited, when an assignment is submitted, or when a grade is assigned. To protect against loosing data because of hardware crashes, the lab book is automatically saved every 5 minutes (300 seconds). The timer interval between automatic saves can be changed by adding the variable [Labbook] SaveTimer = nnnn to the Chemlab.ini file, where nnnn is the time in seconds between saves. If this line is absent in the INI file, the time interval defaults to 300 seconds. If nnnn is set to zero, then automatic saving is turned off. Servlet Engine URL If the Web Connectivity Option is being used, the URL address for the servlet engine is stored with the INI variable [Manage] WebURL=http://localhost:8080/Context/y where localhost is the IP address or registered name of the server on which the servlet engine resides and Context is the name of the servlet engine context (usually “yscience”). In Instructor Utilities, the URL address is specified in the Web Tools folder. When a student version is first installed, the URL address is initially left blank and when the first student activates the Web A-2
  • 74.
    Connectivity Option, theymust type in the full path of the URL. From then on, the URL address of the most recently successful authenticated student is used as the default address. Automatic Web Updates If the Web Connectivity Option is used on the student side, an INI variable [General] Web_Install=aConnect can be set that forces an automatic retrieve when the students enter the laboratory and automatic updates when the student submits assignments and exits the laboratory. Automatic Updates can be set individually in the Web Options section of the student lab book, but this variable forces automatic updates. For security reasons, this variable is mandatory for computer lab installations using the Web Connectivity Option and is automatically set during a web client install (see the installation instructions for more details). Window Behavior Macromedia Director has a feature that causes overlapping windows to still be active even for windows that are underneath, so when the cursor is clicked on the active window that click is also recorded on the inactive window. We have addressed this problem by providing three cursor options with INI variables. [Window Behavior] All_Windows_Cursor = Off, Clicks (default), or Always Popup_Windows = Off, Clicks (default), or Always Both INI variables work the same way but are applied to different types of windows. All_Windows_Cursor applies only to the main laboratory windows, and Popup_Windows applies to the popup windows (lab book, meters, detectors, etc.). Off means an inactive window cannot be activated except by clicking on the window bar at the top. Clicks means the cursor will not change when over an inactive window but clicking anywhere on the window will activate the window. Always means all inactive windows will behave as if they were active. Inorganic INI Files There are no INI files currently used for the inorganic simulation. Quantum INI Files The quantum simulation consists of a set of fundamental experiments that demonstrate the ideas and concepts leading up to the development of quantum mechanics. Much of the operation of the laboratory and the parameters defining the experiments is controlled using INI variables located in the files Lab.ini, Video.ini, Spectro.ini, Phosphor.ini, KE.ini, and Diode.ini. The variables in Lab.ini generally control aspects of the entire quantum simulation or experimental parameters that are in more than one experiment. The Lab.ini file is located in the QuantumDB directory in A-3
  • 75.
    the ChemLabQ directory.The Video.ini, Spectro.ini, Phosphor.ini, KE.ini, and Diode.ini files contain INI variables that are specific to the operation of each of the indicated detectors. These variables generally control and define the operation of the various quantum experiments and are located in the Detectors directory in the ChemLabQ directory. There is one additional set of INI files and these define the preset experiments located on the stockroom clipboard and used in the quantum assignments. Described in each of the following sections are the INI variables contained in each of these INI files. The purpose for providing this information is to grant instructors the ability to change or adjust the quantum simulation to suit their own needs. Lab.ini INI Variables Description [Settings] Required header line. Move_Detector_Forward=1 For monitors with resolutions of 1024 x 768 or less, there may not be enough room for the main lab window and detector window to be open at the same time and comfortably see changes in the detector as changes are made in the lab. Setting this variable to 1 forces the detector window to be on top after any change is made in the lab. Setting this variable to 0 forces normal window operation. IntenEGunDisp=1 e/s,10 e/s,100 e/s, The electron gun allowed intensity values displayed on the LCD controller. 1000 e/s,1 nA,1 uA,1 mA,1 A IntenEGunVal=1 e/s,10 e/s,100 e/s,1000 e/s, The electron gun intensities assigned to the corresponding display values. It is 0.05,0.3,0.7,1 not suggested that the e/s values be changed. IntenLaserDisp=1 p/s,10 p/s,100 p/s,1000 p/s, The laser allowed intensity values displayed on the LCD controller. 1 nW,1 uW,1 mW,1 W,1 kW,1 MW IntenLaserVal=1 p/s,10 p/s,100 p/s,1000 p/s, The laser intensities assigned to the corresponding display values. It is not 0.05,0.2,0.4,0.6,0.8,1 suggested that the p/s values be changed. IntenBulbDisp=1 nW,1 uW,1 mW,1 W,1 kW, The super light bulb allowed intensity values displayed on the LCD controller. 1 MW IntenBulbVal=0.05,0.2,0.4,0.6,0.8,1 The super light bulb intensities assigned to the corresponding display values. WavelengthDisp=nm,um,mm The allowed units displayed on the laser LCD controller. WavelengthVal=1e-9,1e-6,1e-3 The multipliers assigned to the corresponding units on the laser LCD. WavelengthMax=999 The maximum setting on the maximum scale on the laser LCD controller. WavelengthMin=020 The minimum setting on the minimum scale on the laser LCD controller. KEnergyDisp=me,eV,keV The allowed units displayed on the electron gun LCD controller. KEnergyVal=1e-3,1,1e3 The multipliers assigned to the corresponding units on the electron gun LCD. KEnergyMax=050 The maximum setting on the maximum scale on the electron gun LCD controller. KEnergyMin=001 The minimum setting on the minimum scale on the electron gun LCD controller. AlphaKEnergy=5.4e6 The kinetic energy of the alpha particles from the alpha source in eV. BDisp=uT,mT,T The allowed units displayed on the magnetic field LCD controller. BVal=1e-6,1e-3,1 The multipliers assigned to the corresponding units on the magnetic field LCD. BMax=100 The maximum setting on the maximum scale on the magnetic field LCD controller. A-4
  • 76.
    BMin=0 The minimum setting on the minimum scale on the magnetic field LCD controller. EDisp=V,kV The allowed units displayed on the electric field LCD controller. EVal=1,1e3 The multipliers assigned to the corresponding units on the electric field LCD. EMax=005 The maximum setting on the maximum scale on the electric field LCD controller. EMin=00 The minimum setting on the minimum scale on the electric field LCD controller. HeatDisp=0 K The allowed units displayed on the heater LCD controller. HeatVal=10 The multipliers assigned to the corresponding units on the heater LCD. HeatMax=400 The maximum setting on the maximum scale on the heater LCD controller. HeatMin=30 The minimum setting on the minimum scale on the heater LCD controller. SlitDisp=nm,um,mm The allowed units displayed on the two-slit LCD controller. SlitVal=1e-9,1e-6,1e-3 The multipliers assigned to the corresponding units on the two-slit LCD. SlitMax=100 The maximum setting on the maximum scale on the two-slit LCD controller. SlitMin=1 The minimum setting on the minimum scale on the two-slit LCD controller. Laser_Open_Delay=75 The delay time in msec before the laser lid is removed during a mouse over. T_Heat_Glow = 399 The temperature at which the heating element begins to glow in K. T_Gas_XPLD = 700 The temperature at which the gas holder explodes. T_Liquid_XPLD = 400 The temperature at which the liquid holder explodes. T_Oil_XPLD = 450 The temperature at which the oil mist begins to smoke. T_Red = 700 The temperature at which the foils turn dull red when heated. T_Orange = 900 The temperature at which the foils turn orange when heated. T_white = 1100 The temperature at which the foils turn white when heated. Color_A=4096 The first of the visible light scaling parameters used in the spectrometer color window to simulate the sensitivity of the human eye. Color_B=8.317766167 [ The second scaling parameter. The equation is Iobs = Imax ln(I A) B . ] Setting_Delay=400 The delay time in msec before a change in any LCD controller is processed. Gas_Glow=300 The AC voltage at which any gas will begin to emit. PB_Gx=76.20 The distance, in cm, between position 7 and position 9 on the table. This is used to calculate the deflection of particles in any particle bending experiment. PB_Ey=91.44 The distance, in cm, between position 9 and position 8 or 10 on the table. This is used to calculate whether a particle will hit a detector in position 8 or 10. PB_n=40 The number of iterations to use when solving the differential equation while a charged particle moves through the electric or magnetic fields. PB_EB_Length=0.050 The length of the electric and magnetic fields, in m, for the E and B modifiers in position 7 on the table. This is used in the particle bending experiments. PB_E_Dist=0.050 The spacing between the electric plates for the E modifier in position 7. This is used for calculating the applied electric field using E = V/d. A-5
  • 77.
    Video.ini INI Variables Description [Video] OilYMin=29 The y pixel position where the oil drops disappear from the screen. OilYMax=379 The y pixel position where the oil drops appear on the screen. OilXMin=75 The left-most pixel position (xmin) where the oil drops can fall. OilXMax = 330 The right-most pixel position (xmax) where the oil drops can fall. PixelFactor=1 The number of pixels used when calculating the speed of the oil drops per pixel. Oil_Y_Pixel_D_nm=2857 Defines the number of nm per pixel in the oil mist. Oil_SlowMo_Factor = 5 Defines the slow-motion factor when the slow-motion button is pressed. Oil1=1.00e-06 Defines the diameters of the 10 different oil drops in m. Oil2=1.13e-06 Oil3=1.25e-06 Oil4=1.38e-06 Oil5=1.42e-06 Oil6=1.51e-06 Oil7=1.64e-06 Oil8=1.69e-06 Oil9=1.79e-06 Oil10=1.92e-06 Oil1_Size=01 There are 10 graphics that depict 10 different size drops where 01 is the Oil2_Size=01 smallest drop and 10 is the largest. These variables assign the drop graphic for Oil3_Size=01 the 10 different size drops defined earlier. Oil4_Size=01 Oil5_Size=02 Oil6_Size=02 Oil7_Size=02 Oil8_Size=02 Oil9_Size=03 Oil10_Size=03 MaxIntensity=1 The intensity of the egun that blows away the oil drops. EPlate_D=0.010 The spacing of the electric plates in the oil mist chamber in m. oilDensity=821 Density of the oil in kg m-3 for the oil mist. airDensity=1.22 Density of the air in kg m-3 for the oil mist. airVisc = 1.4607e-5 Viscosity of the air in kg m-1 s-1 for the oil mist. atmoPres=1.00 Air pressure in atmospheres for the oil mist. SpotPixel=2 The size of the spots for the two-slit single photon experiments. PixelPerCM=50 The number of pixels per cm in the x direction on the video screen for the two-slit experiment. Essentially defines the size of the screen. Video_Slit_D=0.01 The distance of the screen from the slits in m. SlitTopY=126 The top pixel position for the interference pattern. SlitBottomY=239 The bottom pixel position for the interference pattern. SpotSqueeze=0.9 Used to adjust a set of random numbers to give a gaussian distribution. BaseIntensity=0.25 The intensity of each spot as they hit the screen in the single photon experiment. Overlapping spots add intensity. Spot_Dis_mSec=750 The time, in msec, spots on the video screen persist before disappearing when A-6
  • 78.
    not in PersistMode. BoxExtend=100 For some configurations, the outer fringes of an interference pattern can be very long. This variable sets an upper bound on this size for certain situations. Large_Spot_Size=8 The size of a simple laser spot on the video camera in pixels. Slit_Rect_W=400 The width of the white rectangle in a bulb/two-slit combination. Slit_Rect_H=20 The height of the white rectangle in a bulb/two-slit combination. Slit_Width_Pixel=187 The width, in pixels, the two-slit graphic can move. Spectro.ini INI Variables Description [Spectro] BB_Min = 10 The minimum wavelength, in nm, for the blackbody spectrum. BB_Max = 5000 The maximum wavelength, in nm, for the blackbody spectrum. Zoom_Min = 1 The maximum, full-scale zoom, in nm, for the blackbody experiment. Graph_Resolution=300 The number of points to use to graph the blackbody curve. Zoom_Min_PE=0.1 The maximum, full-scale zoom, in nm, for the photoemission experiment. PE_Detail_Switch=5 The full-scale zoom, in nm, where a switch is made between the low-resolution and high-resolution photoemission files. Adsorb_Detail_Switch=10 The full-scale zoom, in nm, where a switch is made between the low-resolution and high-resolution adsorption files. Raman_Scale_Factor=1e4 The multiplication factor for the center Raman peak. Raman_Broad_Factor=.10 The gaussian broadening parameter for the center Raman peak. Raman_Sat_Scale_Factor=0.01 The multiplication factor for the satellite Raman peak. Raman_Sat_Broad_Factor=.010 The gaussian broadening parameter for the satellite Raman peak. Raman_Wave_Min_nm=110 The minimum laser wavelength where a Raman experiment will work. Raman_Wave_Max_nm=999 The maximum laser wavelength where a Raman experiment will work. Phosphor.ini INI Variables Description [Phosphor] Spot_Diameter=10 The diameter, in pixels, for general spots that appear on the phosphor screen. Spot_Remain_mSec=300 The time, in msec, spots persist on the phosphor screen when not in Persist Mode. Spot_R=108 The R-value for a full-intensity spot. Spot_G=165 The G-value for a full-intensity spot. Spot_B=78 The B-value for a full-intensity spot. Base_Intensity=0.2 The intensity of each spot as they hit the screen in the single particle experiments. Overlapping spots add intensity. SpotPixel=2 The size of the spots for the two-slit single particle experiments. PixelPerCM=50 The number of pixels per cm in the x direction on the phosphor screen for the two-slit experiment. Essentially defines the size of the screen. Phosphor_Slit_D=0.01 The distance of the screen from the slits in m. SlitTopY=108 The top pixel position for the interference pattern. SlitBottomY=221 The bottom pixel position for the interference pattern. SpotSqueeze=0.9 Used to adjust a set of random numbers to give a gaussian distribution. A-7
  • 79.
    BaseIntensity=0.25 The intensity of each spot as they hit the screen in the single particle, two-slit experiment. Overlapping spots add intensity. Spot_Dis_mSec=750 The time, in msec, spots on the phosphor screen persist before disappearing when not in Persist Mode. BoxExtend=100 For some configurations, the outer fringes of an interference pattern can be very long. This variable sets an upper bound on this size for certain situations. Ruth_Diam=50 The base diameter, in pixels, for the forward scattering spot in the Rutherford experiment. Spot size changes size based on nuclear cross section. Eo=5.4 The energy of the alpha particles in MeV. Ruth_Intensity=1e5 The intensity of the alpha-particle flux in particles per second. T=0.001 The thickness of the metal foil in cm. Area_cm2=144 The area of the phosphor screen in cm2. DistB_cm=138.2 The distance from position 5 to position 1 in cm. DistI_cm=81.3 The distance from position 5 to position 4 in cm. DistE_cm=190.9 The distance from position 5 to position 8 in cm. DistG_cm=172.7 The distance from position 5 to position 9 in cm. Ruth_Spread=0.1 The fade parameter for the forward-scattering Rutherford spot. Ruth_Dis=300 The time, in msec, the backscattering spots persist before disappearing when not in Persist Mode. Ruth_Spot_Size=6 The size of the backscattering spots in pixels. Ruth_Spot_Fade=12 The fade parameter for the backscattering spots. Ruth_Spot_Power=3 A second fade parameter for the backscattering spots. Sigma=100 A second fade parameter for the forward scattering spot. PB_Base_Intensity=.25 The intensity of a single particle spot as it hits the screen in the particle-bending experiments. Overlapping spots add intensity. PB_Spot_Dis_mSec=300 The time, in msec, spots on the phosphor screen persist before disappearing when not in Persist Mode. PB_ScreenW=12 The screen width, in cm, for the particle-bending experiment. PB_SpotSize=10 The size of a particle-bending spot in pixels. PB_Fade=15 The fade parameter for a particle-bending spot. Grid_Red=100 The grid color R-value. Grid_Green=100 The grid color G-value. Grid_Blue=100 The grid color B-value. Grid_Space_CM=1 The spacing between major grid lines. KE.ini INI Variables Description PE_Min = 0 The minimum energy, in eV, for graphing on the bolometer. PE_Max = 60 The maximum energy, in eV, for graphing on the bolometer. PE_Zoom_Min = 2 The maximum, full-scale zoom, in eV, for the blackbody experiment. PE_R=0 The graphing line color R-value. PE_G=200 The graphing line color G-value. PE_B=0 The graphing line color B-value. Time_Interval_mSec=1000 The time interval between measurements in the integrated mode. Time_Scale_Sec=60 The full-scale time in the integrated mode. A-8
  • 80.
    Diode.ini INI Variables Description [Diode] Time_Interval_mSec=1000 The time interval between measurements. Time_Scale_Sec=60 The full-scale time. Line_R=25 The graphing line color R-value. Line_G=25 The graphing line color G-value. Line_B=25 The graphing line color B-value. BB_Min=100 The wavelength to starting integrating the blackbody intensity. BB_Max=5000 The wavelength to stop integrating the blackbody intensity. BB_Resolution=3000 The number of points to use to perform the integration. Preset Experiments Located on the clipboard in the quantum stockroom is a set of 15 preset experiments listed by title. If allowed by the instructor, students can select one of these experiments and, upon returning to the laboratory, the selected experiment will be automatically set up and running. A preset experiment can also be used for assignments so a student can accept an assignment with the experiment already set up for them. Preset experiments are intended to provide flexibility for the instructor so the quantum simulation can be adapted to the level of the class or the individual teaching style of the instructor. Several experiments have already been defined and are installed with the software. This section describes how these files can be modified. Each preset experiment is defined using an INI file. For the preset experiments on the clipboard, these files have the name Experimentn.ini, where n is a number between 1 and 15 and represents experiments 1 through 15 on the clipboard. These files are located in the Presets directory in the ChemLabQ directory. For the preset experiments used in assignments, these files must be located in the Assignments/Quantum directory and can have any name, but must have the extension “.ini”. Information on how to use preset experiments in assignments is given in the “Quantum Assignments” section. Note that in client installations, any modified preset experiments for the clipboard must be modified for each client installation. Given subsequently is a description of a preset experiment INI file and the variables that are used to define an experiment. Before reviewing the INI file information, here are some important points to keep in mind: (a) All of the variables described have default values, so variables may be left blank or not used at all. An experiment can be set up or defined to any degree desired by the instructor. (b) Some variables are mutually exclusive; that is, the use of one variable may mean another variable cannot be used. Some error checking exists for such situations, but the error checking is not comprehensive. (c) The LCD control boxes for various pieces of equipment use three different INI variables to define their initial settings: one for the numeric value on the LCD box, one to define the location of the decimal place, and the other to define the units. Not all of these need to be used to define the initial settings. (d) Positions on the table are defined using numbers from 1 to 10 as indicated in the following figure: A-9
  • 81.
    1 4 8 2 5 7 9 3 6 10 Positions 1, 2, and 3 are for sources, position 5 is for samples, position 5 is also for electric or magnetic field modifiers or heat, position 7 is for electric or magnetic field modifiers, and positions 1, 3, 4, 6, 8, 9, and 10 are for detectors. The following two tables show the INI variables used in preset experiments. The first lists all the variables that can be used and their allowed values. Default values are given in red. The second is an example of a preset experiment for the Millikan Oil Drop Experiment to show how the variables can be used. Complete Preset Experiment INI Variable List INI Variables Description [Title] Title=Experiment Title Defines the title of the experiment as shown on the clipboard. Not used for preset assignments. [Source] Source=none, alpha, bulb, egun, laser Defines the source for the experiment. The allowed values are shown. Position=1, 2, 3 (Default = stockroom counter) Defines the position for the source. On_Off=on, off Sets the source initially on or initially off. Intensity= (Default = lowest intensity) Sets the source intensity. See Lab.ini file for allowed values. Setting=nnn (Default = lowest value) Sets the three digits on the LCD source control box. Setting_Units= (Default = smallest units) Sets the units on the LCD source control box. See Lab.ini file for allowed values. Setting_Decimal_Position=1, 2, 3 Sets the decimal place on the LCD source control box. 1 is after the first digit, 2 the second digit, and 3 is after the right-most digit. [Sample] Holder=none, oil mist, liquid, metal, gas, Defines the sample holder that will be used in the experiment. The allowed two slit values are shown. Sample= (Default = empty) Defines the liquid, metal, or gas sample to be used. Allowed values are given in the Liquid, Metal, or Gas Tables found in the QuantumDB directory. Position=5 (Default = stockroom counter) Defines the position for the sample. 5 is the only allowed position. Spacing=nnn (Default = lowest value) Sets the three digits on the LCD spacing control box for the two-slit sample. A-10
  • 82.
    Spacing_Units=nm, um, mm Sets the units on the LCD spacing control box. The allowed values are shown. Spacing_Decimal_Position=1, 2, 3 Sets the decimal place on the LCD spacing control box. 1 is after the first digit, 2 is after the second digit, and 3 is after the right-most digit. [Detector] Detector=none, phosphor, spectro, video, Defines the detector that will be used in the experiment. The allowed values are diode, bolometer shown. Position=1, 3, 4, 6, 8, 9, 10 (Default = Puts the detector in the specified position. The allowed values are shown. stockroom counter) On_Off=on, off Turns the detector initially on or initially off. [Modifiers] Modifier=none, heat, E_field, B_field, Defines the modifiers that will be used in the experiment. The allowed values are E_B_field shown. To use an electric and magnetic field combination, utilize the E_B_field value. Heat cannot be used in combination with another modifier. Position=5, 7 (Default = stockroom counter) Puts the modifiers in position 5 or 7. Heat can only be in position 5. The electric and magnetic fields must be in the same position. E_Setting=nnn (Default = lowest value) Sets the three digits on the LCD electric field control box. E_Setting_Units=V, kV Sets the units on the LCD electric field control box. The allowed values are shown. E_Setting_Decimal_Position=1, 2, 3 Sets the decimal place on the LCD electric field control box. 1 is after the first digit, 2 is after the second digit, and 3 is after the right-most digit. B_Setting=nnn (Default = lowest value) Sets the three digits on the LCD magnetic field control box. B_Setting_Units=uT, mT, T Sets the units on the LCD magnetic field control box. The allowed values are shown. B_Setting_Decimal_Position=1, 2, 3 Sets the decimal place on the LCD magnetic field control box. 1 is after the first digit, 2 is after the second digit, and 3 is after the right-most digit. H_Setting=nnn (Default = lowest value) Sets the temperature on the heat modifier. The units of the specified temperature must be in Kelvin and the ones digit must be 0 (zero). An Example of a Millikan Oil Drop Preset Experiment INI Variables Description [Title] Title=Millikan Oil Drop Experiment Defines the title of the experiment shown on the clipboard. Not used for preset assignments. [Source] Source=eGun Defines the source as the electron gun. Position=2 Puts the source at position 2. On_Off=on Turns the source on initially. Intensity=1 nA Sets the source intensity to 1 nA. Setting=100 Sets the electron gun energy to 100 on the LCD box. Setting_Units=me Sets the electron gun energy units to meV. Setting_Decimal_Position=3 Puts the electron gun energy decimal place to the right-most position. [Sample] Holder=oil mist Defines the holder as the oil mist. Position=5 Puts the oil mist in position 5. [Detector] A-11
  • 83.
    Detector=video Defines the detector as the video camera. Position=9 Puts the video camera in position 9. On_Off=on Turns the video camera on. [Modifiers] Modifier=E_field Defines the modifier as the electric field. Position=5 Puts the modifier in position 5. E_Setting=0 Sets the electric field initially to zero. E_Setting_Units=V Sets the units on the electric field LCD box to volts (V). E_Setting_Decimal_Position=3 Puts the decimal place to the right-most position. Gases INI Files The gases laboratory consists of a set of simulated physical chemistry experiments that demonstrate the behavior of ideal, real, and van der Waals gases under varying experimental conditions. Much of the operation of the laboratory and the parameters defining the experiments is controlled using INI variables located in the two files Gases.ini and Units.ini located in the GasINI directory in the ChemLabG directory. The variables in Gases.ini generally control aspects of the four different gas experiments, and the variables in Units.ini control the operation of the LCD controllers, unit conversions, and significant figures. There is one additional set of INI files and these define the preset experiments located on the stockroom clipboard and used in the gases assignments. Described in each of the following sections are the INI variables contained in each of these INI files. The purpose for providing this information is to grant instructors the ability to change or adjust the gases simulation to suit their own needs. Gases.ini INI Variables Description [General] Slider_Delay_mSec=500 The time in milliseconds that the slider remains stationary before changing the digits on the LCD. Slider_Change_Rate_mSec=500 The time in milliseconds between the changing of digits of the LCD when the slider is dragged up or down. Labbook_Save_Method=Any_Change This specifies when data will be saved to the lab book. “Any_Change” saves the data after every change. “Slider” saves the data only after the slider is released. Labbook_Data_Line_Limit = 1000 The limit of lines that the lab book will save before it automatically starts a new page. Limit_Error_Per=.1 When iterating the solutions for real gases, this variable specifies how close (in percent) the iterations have to be before the algorithm says it is done. Auto_Min_Max=0 Defines whether the LCD’s go automatically to the max or min when a number higher or lower than that amount is selected. Zero is off. [Experiment_1] (The following apply only to the Balloon Experiment.) Volume_Init_m^3=0 The initial volume of experiment in units of m3. Volume_Unit=m^3 The initial units of volume. Balloon_Max_Vol_m^3=0.012 The maximum allowed volume of the balloon in m3 before it pops. Pressure_Init_Pa=100000 The initial pressure in units of Pascals. Pressure_H2O_Init_Pa=100000 The initial pressure in units of Pascals if the gas chosen is H2O. Pressure_Max_Pa=1e9 The maximum pressure allowed in the experiment in units of Pascals. A-12
  • 84.
    Pressure_Min_Pa=0 The minimum pressure of the experiment. Pressure_Unit=Pa The initial units of pressure. Temp_Init_K=298 The initial temperature in Kelvin. Temp_H2O_Init_K=400 The initial temperature, in Kelvin, if the gas chosen is H2O. Temp_Max_K=3000 The maximum temperature allowed in the experiment in Kelvin. Temp_Min_K=0 The minimum temperature of the experiment. Temp_Unit=K The initial unit of temperature. n_Init=0 The initial number of moles. n_max=50.0 The maximum number of moles allowed in the experiment. Flow_Rate_1=0.01 The number of moles per second that are released from the gas regulator at Flow_Rate_2=0.02 the different flow rates selected on the regulator. Flow_Rate_3=0.04 Flow_Rate_4=0.06 Flow_Rate_5=0.08 Flow_Rate_6=0.1 Flow_Rate_7=0.15 Flow_Rate_8=0.2 Flow_Rate_9=0.25 Flow_Rate_10=.3 Regulator_Pressure_1_Pa=138000 The pressure setting for the regulator at the various needle positions. Regulator_Pressure_2_Pa=276000 Regulator_Pressure_3_Pa=414000 Regulator_Pressure_4_Pa=552000 Regulator_Pressure_5_Pa=690000 Regulator_Pressure_6_Pa=827000 Regulator_Pressure_7_Pa=965000 Regulator_Pressure_8_Pa=1103000 Regulator_Pressure_9_Pa=1241000 Regulator_Pressure_10_Pa=1517000 P_Atmosphere_Pa=101010 The pressure settings on the regulator are actually relative to atmospheric pressure. This variable specifies what is atmospheric pressure in the lab. Wide_Update_Time_mSec = 333 Time in milliseconds for the experiment to be updated in the zoomed out mode when gas is being added. Temp_1_K=50 The temperature, in Kelvin, where the bath liquid changes color to indicate changes in temperature (sea green to light blue). Temp_2_K=150 The temperature where the cord changes color from light blue to dark blue. Temp_3_K=250 The temperature where the cord changes color from dark blue to forest green. Temp_4_K=350 The temperature where the cord changes color from forest green to yellow. Temp_5_K=450 The temperature where the cord changes color from yellow to goldenrod. Temp_6_K=550 The temperature where the cord changes color from goldenrod to red. Real_Approx_Error_Per=0.0001 The error limit for iterating real gas solutions in per cent. [Experiment_2] (The following apply only to the Pressure Experiment.) Volume_Init_m^3=0.004 The initial volume of experiment in units of m3. Volume_H2O_Init_m^3=0.004 The initial volume of experiment in units of m3 if the gas chosen is H2O. Volume_Unit=m^3 The initial units of volume. Vol_Max_m^3=0.004 The maximum allowed volume of the experiment in units of m3. Vol_Min_m^3=0.0 The minimum allowed volume of the experiment in units of m3. A-13
  • 85.
    Pressure_Init_Pa=0 The initial pressure in units of Pascals. Pressure_H2O_Init_Pa=0 The initial pressure in units of Pascals if the gas chosen is H2O. Pressure_Max_Pa=1e9 The maximum pressure, in units of Pascals, allowed in the experiment. Pressure_Min_Pa=0 The minimum pressure of the experiment. Pressure_Unit=Pa The initial units of pressure. Temp_Init_K=298 The initial temperature in Kelvin. Temp_H2O_Init_K=400 The initial temperature, in Kelvin, if the gas chosen is H2O. Temp_Max_K=3000 The maximum temperature, in Kelvin, allowed in the experiment. Temp_Min_K=0 The minimum temperature of the experiment. Temp_Unit=K The initial unit of temperature. n_Init=0 The initial number of moles. n_max=50.0 The maximum number of moles allowed in the experiment. Flow_Rate_Pa_1=10000.0 The rate the pressure is increased in the experiment (Pa/sec) for the different Flow_Rate_Pa_2=20000.0 regulator settings. Flow_Rate_Pa_3=30000.0 Flow_Rate_Pa_4=40000.0 Flow_Rate_Pa_5=50000.0 Flow_Rate_Pa_6=60000.0 Flow_Rate_Pa_7=70000.0 Flow_Rate_Pa_8=80000.0 Flow_Rate_Pa_9=90000.0 Flow_Rate_Pa_10=100000.0 Regulator_Pressure_1_Pa=138000 The pressure setting for the regulator at the various needle positions. Regulator_Pressure_2_Pa=276000 Regulator_Pressure_3_Pa=414000 Regulator_Pressure_4_Pa=552000 Regulator_Pressure_5_Pa=690000 Regulator_Pressure_6_Pa=827000 Regulator_Pressure_7_Pa=965000 Regulator_Pressure_8_Pa=1103000 Regulator_Pressure_9_Pa=1241000 Regulator_Pressure_10_Pa=1517000 P_Atmosphere_Pa=101010 The pressure settings on the regulator are actually relative to atmospheric pressure. This variable specifies what is atmospheric pressure in the lab. Wide_Update_Time_mSec = 333 Time in milliseconds for the experiment to be updated in the zoomed out mode when gas is being added. Temp_1_K=50 The temperature, in Kelvin, where the bath liquid changes color to indicate changes in temperature (sea green to light blue). Temp_2_K=150 The temperature where the cord changes color from light blue to dark blue. Temp_3_K=250 The temperature where the cord changes color from dark blue to forest green. Temp_4_K=350 The temperature where the cord changes color from forest green to yellow. Temp_5_K=450 The temperature where the cord changes color from yellow to goldenrod. Temp_6_K=550 The temperature where the cord changes color from goldenrod to red. Real_Approx_Error_Per=0.0001 The error limit for iterating real gas solutions in per cent. [Experiment_3] (The following apply only to the Temperature Experiment.) Volume_Init_m^3=0.004 The initial volume of experiment in units of m3. A-14
  • 86.
    Volume_H2O_Init_m^3=0.004 The initial volume of experiment in units of m3 if the gas chosen is H2O. Volume_Unit=m^3 The initial units of volume. Vol_Max_m^3=0.004 The maximum allowed volume of the experiment in units of m3. Vol_Min_m^3=0 The minimum allowed volume of the experiment in units of m3. Pressure_Init_Pa=0 The initial pressure in units of Pascals. Pressure_H2O_Init_Pa=0 The initial pressure in units of Pascals if the gas chosen is H2O. Pressure_Max_Pa=1e9 The maximum pressure, in units of Pascals, allowed in the experiment. Pressure_Min_Pa=1 The minimum pressure of the experiment. Pressure_Unit=Pa The initial units of pressure. Temp_Init_K=298 The initial temperature in Kelvin. Temp_H2O_Init_K=400 The initial temperature, in Kelvin, if the gas chosen is H2O. Temp_Max_K=3000 The maximum temperature, in Kelvin, allowed in the experiment. Temp_Min_K=0 The minimum temperature of the experiment. Temp_Unit=K The initial unit of temperature. n_Init=0.0 The initial number of moles. n_max=50.0 The maximum number of moles allowed in the experiment. Flow_Rate_Pa_1=10000.0 The rate the pressure is increased in the experiment (Pa/sec) for the different Flow_Rate_Pa_2=20000.0 regulator settings. Flow_Rate_Pa_3=30000.0 Flow_Rate_Pa_4=40000.0 Flow_Rate_Pa_5=50000.0 Flow_Rate_Pa_6=60000.0 Flow_Rate_Pa_7=70000.0 Flow_Rate_Pa_8=80000.0 Flow_Rate_Pa_9=90000.0 Flow_Rate_Pa_10=100000.0 Regulator_Pressure_1_Pa=138000 The pressure setting for the regulator at the various needle positions. Regulator_Pressure_2_Pa=276000 Regulator_Pressure_3_Pa=414000 Regulator_Pressure_4_Pa=552000 Regulator_Pressure_5_Pa=690000 Regulator_Pressure_6_Pa=827000 Regulator_Pressure_7_Pa=965000 Regulator_Pressure_8_Pa=1103000 Regulator_Pressure_9_Pa=1241000 Regulator_Pressure_10_Pa=1517000 P_Atmosphere_Pa=101010 The pressure settings on the regulator are actually relative to atmospheric pressure. This variable specifies what is atmospheric pressure in the lab. Wide_Update_Time_mSec = 333 Time in milliseconds for the experiment to be updated in the zoomed out mode when gas is being added. Real_Approx_Error_Per=0.0001 [Experiment_4] (The following apply only to the Cylinder Experiment.) Volume_Unit=m^3 The initial unit of volume. Vol_Min_m^3=0 The minimum volume allowed in units of m3. Pressure_Init_Pa=100000 The initial pressure in units of Pascals. Pressure_H2O_Init_Pa=100000 The initial pressure in units of Pascals if the gas chosen is H2O. A-15
  • 87.
    Pressure_Max_Pa=1e9 The maximum pressure, in units of Pascals, allowed in the experiment. Pressure_Min_Pa=0 The minimum pressure of the experiment. Pressure_Unit=Pa The initial units of pressure. Internal_Pressure_Max_Pa=1e9 The maximum pressure, in Pascals, allowed inside the cylinder. Internal_Pressure_Min_Pa=0 The minimum pressure inside the cylinder. Internal_Pressure_Unit=Pa The initial units of the pressure inside the cylinder. Temp_Init_K=298 The initial temperature in Kelvin. Temp_H2O_Init_K=400 The initial temperature, in Kelvin, if the gas chosen is H2O. Temp_Max_K=3000 The maximum temperature, in Kelvin, allowed in the experiment. Temp_Min_K=0 The minimum temperature of the experiment. Temp_Unit=K The initial unit of temperature. n_Init=0.0 The initial number of moles. n_max=50.0 The maximum moles allowed in the experiment. Mass_Init_g=0 The initial mass on the piston. Mass_Max_g=5000000000 The maximum mass allowed on the piston in grams. Mass_Min_g=0 The minimum mass allowed on the piston in grams. Mass_Unit=g The initial unit of mass. Mass_1_Max_g=20000 The masses at which the size of the weight on the piston is changed to a Mass_2_Max_g=50000 larger or smaller image (in grams). Mass_3_Max_g=100000 Mass_4_Max_g=500000 Mass_5_Max_g=1000000 Mass_6_Max_g=2000000 Mass_7_Max_g=5000000 Mass_8_Max_g=10000000 Mass_9_Max_g=20000000 Cylinder_Height_m=0.40 The height of the cylinder used in the calculations (in m). Cylinder_Diameter_m=0.150 The diameter of the cylinder used in the calculations (in m). Explode_Speed=10 Speed in which the piston moves during an explosion. Oscillation_Damp=6 A constant in the piston dampening equation. Oscillation_Angle_Multiplier=1 A constant in the piston dampening equation. P_Atmosphere_Pa=101010 The pressure settings on the regulator are actually relative to atmospheric pressure. This variable specifies what is atmospheric pressure in the lab. Temp_1_K=50 The temperature, in Kelvin, where the bath liquid changes color to indicate changes in temperature (sea green to light blue). Temp_2_K=150 The temperature where the cord changes color from light blue to dark blue. Temp_3_K=250 The temperature where the cord changes color from dark blue to forest green. Temp_4_K=350 The temperature where the cord changes color from forest green to yellow. Temp_5_K=450 The temperature where the cord changes color from yellow to goldenrod. Temp_6_K=550 The temperature where the cord changes color from goldenrod to red. Real_Approx_Error_Per=0.0001 The error limit for iterating real gas solutions in per cent. Osc_Cutoff_Per=10.0 The maximum number of oscillations in the piston dampening equation. A-16
  • 88.
    Units.ini INI Variables Description [Pressure] Units=Pa,atm,psi,Torr,bar The different units that can be used for pressure. Labbook_Sig_Fig=7 The number of significant figures that will be saved in the lab book for pressure. Labbook_Header=P The header used in the lab book for pressure when saving data. Pa_Prefix=1,k,M The prefixes that are possible when pressure is in units of Pascals. Pa_Prefix_factor=1,1e-3,1e-6 The multipliers that are used when the different prefixes are used. Pa_Prefix_Switch=1e3,1e6 The point at which the different prefixes are changed. Pa_Sig_Fig_Max=4,4,4 The maximum significant figures shown in the LCD for each prefix when units of Pascals are used. Pa_Sig_Fig_Decimal=2,3,4 The maximum number of places after the decimal point for each prefix when units of Pascals are used. atm_Prefix=1,k,M The prefixes that are possible when pressure is in units of atmospheres. atm_Prefix_factor=1,1e-3,1e-6 The multipliers that are used when the different prefixes are used. atm_Prefix_Switch=1e3,1e6 The point at which the different prefixes are changed. atm_Sig_Fig_Max=4,4,4 The maximum significant figures for each prefix shown in the LCD when units of atmospheres are used. atm_Sig_Fig_Decimal=3,3,4 The maximum number of places after the decimal point for each prefix when units of atmospheres are used. psi_Prefix=1 The prefix that is possible when pressure is in units of pounds per square inch. psi_Prefix_factor=1 The multiplier that is used. psi_Prefix_Switch=1 If more than one prefix were possible, the point at which the different prefixes would be changed. psi_Sig_Fig_Max=4 The maximum significant figures shown in the LCD when units of pounds per square inch is used. psi_Sig_Fig_Decimal=3 The maximum number of places after the decimal point for each prefix when units of pounds per square inch are used. torr_Prefix=m,1,k The prefixes that are possible when pressure is in units of torr. torr_Prefix_factor=1e3,1,1e-3 The multipliers that are used when the different prefixes are used. torr_Prefix_Switch=.99999,1e3 The point at which the different prefixes are changed. torr_Sig_Fig_Max=3,4,4 The maximum significant figures shown in the LCD for each prefix when units of torr are used. torr_Sig_Fig_Decimal=2,3,3 The maximum number of places after the decimal point for each prefix when units of torr inch are used. bar_Prefix=m,1,k,M The prefixes that are possible when pressure is in bars. bar_Prefix_factor=1e3,1,1e-3,1e-6 The multipliers that are used when the different prefixes are used. bar_Prefix_Switch=.99999,1e3,1e6 The point at which the different prefixes are changed. bar_Sig_Fig_Max=4,4,4,4 The maximum significant figures shown in the LCD for each prefix when units of bars are used. bar_Sig_Fig_Decimal=2,3,3,4 The maximum number of places after the decimal point for each prefix when units of bars are used. [Volume] Units=m^3,L,cm^3,in^3,ft^3 The different units that can be used for volume. Labbook_Sig_Fig=7 The number of significant figures that will be saved in the lab book for volume. Labbook_Header=V The header used in the lab book for volume when saving data. m^3_Prefix=1 The prefix that is possible when volume is in units of m3. A-17
  • 89.
    m^3_Prefix_factor=1 The multiplier that is used. m^3_Prefix_Switch=1 If more than one prefix were possible, the point at which the different prefixes are changed. m^3_Sig_Fig_Max=4 The maximum significant figures shown in the LCD when units of m 3 are used. m^3_Sig_Fig_Decimal=4 The maximum number of places after the decimal point when units of m 3 are used. L_Prefix=m,1 The prefixes that are possible when volume is in units of Liters. L_Prefix_factor=1e3,1 The multipliers that are used when the different prefixes are used. L_Prefix_Switch=1 The point at which the different prefixes are changed. L_Sig_Fig_Max=4,4 The maximum significant figures for each prefix shown in the LCD when units of Liters are used. L_Sig_Fig_Decimal=4,4 The maximum number of places after the decimal point when units of Liters are used. cm^3_Prefix=1 The prefix that is possible when volume is in units of cm3. cm^3_Prefix_factor=1 The multiplier that is used. cm^3_Prefix_Switch=1 If more than one prefix were possible, the point at which the different prefixes are changed. cm^3_Sig_Fig_Max=4 The maximum significant figures shown in the LCD when units of cm3 are used. cm^3_Sig_Fig_Decimal=4 The maximum number of places after the decimal point when units of cm3 are used. in^3_Prefix=1 The prefix that is possible when volume is in units of in 3. in^3_Prefix_factor=1 The multiplier that is used. in^3_Prefix_Switch=1 If more than one prefix were possible, the point at which the different prefixes are changed. in^3_Sig_Fig_Max=4 The maximum significant figures shown in the LCD when units of in 3 are used. in^3_Sig_Fig_Decimal=4 The maximum number of places after the decimal point when units of in3 are used. ft^3_Prefix=1 The prefix that is possible when volume is in units of ft3. ft^3_Prefix_factor=1 The multiplier that is used. ft^3_Prefix_Switch=1 If more than one prefix were possible, the point at which the different prefixes are changed. ft^3_Sig_Fig_Max=4 The maximum significant figures shown in the LCD when units of ft3 are used. ft^3_Sig_Fig_Decimal=4 The maximum number of places after the decimal point when units of ft3 are used. [Temperature] Units=K,C,F,R The different units that can be used for temperature. Labbook_Sig_Fig=7 The number of significant figures that will be saved in the lab book for temperature. Labbook_Header=T The header used in the lab book for temperature when saving data. K_Prefix=1 The prefix that is possible when temperature is in units of Kelvin. K_Prefix_Factor=1 The multiplier that is used. K_Prefix_Switch= If more than one prefix were possible, the point at which the different prefixes are changed. K_Sig_Fig_Max=5 The maximum significant figures shown in the LCD when Kelvin is used. K_Sig_Fig_Decimal=2 The number of significant figures after the decimal point. c_Prefix=1 The prefix that is possible when temperature is in units of Celsius. c_Prefix_Factor=1 The multiplier that is used. c_Prefix_Switch= If more than one prefix were possible, the point at which the different prefixes A-18
  • 90.
    are used. c_Sig_Fig_Max=5 The maximum significant figures shown in the LCD when Celsius is used. c_Sig_Fig_Decimal=2 The number of significant figures after the decimal point. f_Prefix=1 The prefix that is possible when temperature is in units of Fahrenheit. f_Prefix_Factor=1 The multiplier that is used. f_Prefix_Switch= If more than one prefix were possible, the point at which the different prefixes are changed. f_Sig_Fig_Max=5 The maximum significant figures shown in the LCD when Fahrenheit is used. f_Sig_Fig_Decimal=2 The number of significant figures after the decimal point. r_Prefix=1 The prefix that is possible when temperature is in units of Rankin. r_Prefix_Factor=1 The multiplier that is used. r_Prefix_Switch= If more than one prefix were possible, the point at which the different prefixes are changed. r_Sig_Fig_Max=5 The maximum significant figures shown in the LCD when Rankin is used. r_Sig_Fig_Decimal=2 The number of significant figures after the decimal point. [mass] (This section applies to the Cylinder Experiment.) Units=g,lbs,Tons The different units that can be used for mass. Labbook_Sig_Fig=5 The number of significant figures that will be saved in the lab book for mass. Labbook_Header=m The header used in the lab book for mass when saving data. g_Prefix=k,M The prefixes that are possible when the mass is in units of grams. g_Prefix_Factor=1e-3,1e-6 The multipliers that are used when the different prefixes are used. g_Prefix_Switch=1e6 The point at which the different prefixes are changed. g_Sig_Fig_Max=3 The maximum significant figures shown in the LCD for each prefix when grams are used. g_Sig_Fig_Decimal=1 The number of significant figures after the decimal point. lbs_Prefix=1,k The prefixes that are possible when mass is in units of lbs. lbs_Prefix_Factor=1,1e-3 The multipliers that are used when the different prefixes are used. lbs_Prefix_Switch=1e3 The point at which the different prefixes are changed. lbs_Sig_Fig_Max=4 The maximum significant figures shown in the LCD for each prefix when lbs are used. lbs_Sig_Fig_Decimal=2 The number of significant figures after the decimal point. Tons_Prefix=1 The prefix that is possible when mass is in units of tons. Tons_Prefix_Factor=1 The multiplier that is used. Tons_Prefix_Switch= If more than one prefix were possible, the point at which the different prefixes are used. Tons_Sig_Fig_Max=4 The maximum significant figures shown in the LCD when tons are used. Tons_Sig_Fig_Decimal=2 The number of significant figures after the decimal point. [moles] Units=moles The unit used for moles. Labbook_Sig_Fig=4 The number of significant figures that will be saved in the lab book for moles. Labbook_Header=n The header used in the lab book for moles when saving data. moles_Prefix=1 The prefixes that are possible for moles. moles_Prefix_Factor=1 The multipliers that are used when the different prefixes are used. moles_Prefix_Switch= The point at which the different prefixes are changed. moles_Sig_Fig_Max=4 The maximum significant figures shown in the LCD for each prefix when moles are used. moles_Sig_Fig_Decimal=4 The number of significant figures after the decimal point. A-19
  • 91.
    [Conversion_Factors] Pa_to_Torr=7.5006e-3 The conversion factors between different units of pressure. The numbers are Pa_to_psi=1.45038e-4 converted by multiplying the number in the first unit by the conversion factor. Pa_to_atm=9.86923e-6 Pa_to_bar=1e-5 m^3_to_L=1e3 The conversion factors between different units of volume. The numbers are m^3_to_cm^3=1e6 converted by multiplying the number in the first unit by the conversion factor. m^3_to_ft^3=35.3147 m^3_to_in^3=61023.74 g_to_lbs=0.00220462 The conversion factors between different units of mass. The numbers are g_to_Tons=0.00000110231 converted by multiplying the number in the first unit by the conversion factor. Preset Experiments Located on the clipboard in the gases stockroom is a set of 15 preset experiments listed by title. If allowed by the instructor, students can select one of these experiments and, upon returning to the laboratory, the selected experiment will be automatically set up and running. A preset experiment can also be used for assignments so a student can accept an assignment with the experiment already set up for them. Preset experiments are intended to provide flexibility for the instructor so the gases simulation can be adapted to the level of the class or the individual teaching style of the instructor. Several experiments have already been defined and are installed with the software. This section describes how these files can be modified. Each preset experiment is defined using an INI file. For the preset experiments on the clipboard, these files have the name Experimentn.ini, where n is a number between 1 and 15 and represents experiments 1 through 15 on the clipboard. These files are located in the Presets directory in the ChemLabG directory. For the preset experiments used in assignments, these files must be located in the Assignments/Gases directory and can have any name, but must have the extension “.ini”. Information on how to use preset experiments in assignments is given in the “Gases Assignments” section. Note that in client installations, any modified preset experiments for the clipboard must be modified for each client installation. Given subsequently is a description of a preset experiment INI file and the variables that are used to define an experiment. Before reviewing the INI file information, here are some important points to keep in mind: (a) All of the variables described have default values, so variables may be left blank or not used at all. An experiment can be set up or defined to any degree desired by the instructor. (b) Some variables are mutually exclusive; that is, the use of one variable may mean another variable cannot be used. Some error checking exists for such situations, but the error checking is not comprehensive. The following two tables show the INI variables used in preset experiments. The first lists all the variables that can be used and their allowed values. Default values are given in red. The second is an example of a preset experiment for a pressure experiment using water as a gas to show how the variables can be used. A-20
  • 92.
    Complete Preset ExperimentINI Variable List INI Variables Description [Title] Title=Cylinder Experiment Ideal Sets the title of the experiment as shown on the clipboard. Not used for preset electronic assignments. [Experiment] Experiment_Num=0,1,2,3,4 Defines which experiment will be used. Gas=N2, CO2, CH4, H2O, NH3, He, vdw, Defines which gas will be used. If an ideal gas mixture is used, use a comma Ideal1, Ideal2, Ideal3, Ideal4, Ideal5, Ideal6, to separate the gases. Ideal7, Ideal8 VDWa= Sets the a and b parameters for a van der Waals gas. These only need to be VDWb= present if a van der Waals gas is selected. Temperature_K= (Default = 298) Sets the temperature of the experiment in Kelvin if temperature is not the dependent variable. Pressure_Pa= (Default =100000 for Balloon Sets the pressure of the experiment in Pascals if pressure is not the Experiment, 0 for Temperature and Cylinder dependent variable. For the Cylinder Experiment, this sets the external Experiment.) pressure. moles= Sets the number of moles in the experiment. If an ideal gas mixture is used, separate each amount by a comma and the moles will be matched with the corresponding gas. Volume_m^3= (Default = 0.004 for Sets the volume of the experiment if volume is not the dependent variable. Pressure and Temperature Experiments) mass_kg= (Default =0) Sets the mass on the piston for the Cylinder Experiment. prePiston_Temp_K= (Default = 273) Used for pre piston calculations if the piston is turned on in the Cylinder Experiment. prePiston_Pressure_Pa= (Default = Sets the internal pressure in the Cylinder Experiment. 506.625e3) Temperature_Unit= K,C,F,R (Default = K) Sets the starting unit for temperature. Pressure_Unit= Pa,atm,psi,Torr,bar Sets the starting unit for pressure. (Default = Pa) Volume_Unit= m^3,L,cm^3,in^3,ft^3 Sets the starting unit for volume. (Default = m^3) mass_Unit= g,lbs,Tons (Default = g) Sets the starting unit for mass in the Cylinder Experiment. Internal_Pressure_Unit= Pa,atm,psi,Torr, Sets the starting unit for the internal pressure in the Cylinder Experiment. GasAttached=1, yes, 0, no (Default = no) Defines whether the gas is already attached to the experiment. AttachedGas= Used only if a mixture is selected. It defines which gas is attached. RegulatorPosition=0-10 (Default = 6) Defines the position of the regulator needle if the gas is attached. PistonOn=1, yes, 0, no (Default = no) Sets the piston as on or off in the Cylinder Experiment. Ideal_Real=Ideal, Real (Default = Real) Sets the gas tanks to show either the real gases or the ideal gases. Zoom=yes, no (Default = no) Sets the initial view of the experiment as zoomed in (yes) or zoomed out (no). A-21
  • 93.
    An Example PressurePreset Experiment INI Variables Description [Title] Title=Pressure Experiment H2O Defines the title of the experiment as shown on the clipboard. Not used for preset assignments. [Experiment] Experiment_Num=2 Defines the experiment as the Pressure Experiment. Gas=H2O Defines the gas to be used as H2O Temperature_K=400 Sets the initial temperature to 400 Kelvin. Pressure_Pa= Pressure is the dependent variable in this experiment. moles=.1 Sets the number of moles in the experiment to 0.1. Volume_m^3=0.004 Sets the volume of the experiment to 0.004 m3. Temperature_Unit=K Sets the starting temperature unit as Kelvin. Pressure_Unit=atm Sets the starting pressure unit as atm. Volume_Unit=L Sets the starting volume unit as L. GasAttached=Yes Attaches the gas to the experiment. AttachedGas=H2O Sets the attached gas as H2O. RegulatorPosition=6 Sets the gas needle on the regulator to position 6. Ideal_Real=Real Sets the gases in the lab to be the real gases. Titration INI Files The titration laboratory allows students to perform precise, quantitative titrations involving acid- base and electrochemical reactions. Much of the operation of the laboratory and the parameters defining the experiments is controlled using INI variables located in the files Lab Variables.ini, Acidn.ini or Basen.ini, Indicators.ini, Oxidantn.ini, Reductantn.ini, and Saltn.ini located in the Reagents directory in the ChemLabT directory. The variables in LabVariables.ini generally control aspects of the laboratory as a whole, and the Indicators.ini file defines the indicators that can be used for acid-base titrations. Each acid, base, oxidant, reductant, or salt file defines a bottle in the titration stockroom where n designates the bottle position on the shelf. There is one additional set of INI files and these define the preset experiments located on the stockroom. Described in each of the following sections are the INI variables contained in each of these INI files. The purpose for providing this information is to grant instructors the ability to change or adjust the titration simulation to suit their own needs. Lab Variables.ini INI Variables Description [General] Base_Lab_pressure=760 Every day a new random pressure is calculated that will be the same for each member in a class. This the initial base pressure for the lab in Torr. Plus_Minus_pressure=15 The min/max spread in pressure. %Humidity=50 The percent humidity in the lab. Labbook_Data_Line_Limit=1000 The maximum number of lines of titration data saved in one link before a new A-22
  • 94.
    link is automaticallystarted. Labbook_Plot_Point_Limit = 100 The maximum number of points that will be plotted on the graph. [pH Meter] pH_Slope_%dev=200 The amount of deviation in the slope of an uncalibrated pH meter. pH_Intercept_Max=4 The maximum intercept for an uncalibrated pH meter. pH_Flicker_Time=4 The amount of time between flicker calculations for the pH meter display. pH_Flicker_Max=.01 The maximum amount the pH meter can flicker above or below the true value. pH_Min=0 The minimum pH possible. pH_Max=14 The maximum pH possible. [Voltmeter] Volt_Max_Flicker=0 The maximum amount the voltmeter can flicker above or below the true value. Volt_Flicker_Time=4 The amount of time between flicker calculations for the voltmeter display. Volt_Graph_Min=-5 The minimum voltage possible on a voltage graph. Volt_Graph_Max=5 The maximum voltage possible on a voltage graph. Volt_Calc_Min=-5 The minimum voltage possible for the EMF calculation. Volt_Calc_Max=5 The maximum voltage possible for the EMF calculation. [Conductivity Meter] Conductivity_Max_Flicker=.01 The maximum amount the conductivity meter can flicker above or below the true value. Conductivity_Flicker_Time=3 The amount of time between flicker calculations for the conductivity display. [Graph Tool] Plot_View_Coords=70,8,329,179 The coordinates for the graph in the plot window. ph_color=55,75,255 The RGB values for the color of the pH line on the graph. conductivity_color=255,55,55 The RGB values for the color of the conductivity line on the graph. tick_line_color=55,55,55 The RGB values for the color of the tick marks on the graph. Label_Text_Size=6 The font size for the graph labels. [Balance] Weights_Density=8 The density of the calibration weights. Balance_Flicker_Max=.0001 The maximum amount the balance can flicker above or below the true value. Balance_Flicker_Time=2.5 The amount of time between flicker calculations for the balance display. Weigh_paper_mass=.225 The average mass of the weigh paper. Weigh_paper_mass_%dev=5 The maximum percent deviation for each weigh paper from the average mass. Level1=0.01 The masses of solid added for each scoop size on the side of the bottle. Level2=0.05 Level3=0.1 Level4=0.2 Level5=0.5 Solid_%dev=5 The maximum percent deviation for each scoop size when solid is added onto the balance. Weigh_paper_amount_1=.01 The mass of solid represented by the graphic for each pile of solid. Weigh_paper_amount_2=.1 Weigh_paper_amount_3=.5 Weigh_paper_amount_4=1 Weigh_paper_amount_5=2 Weigh_paper_amount_6=4 Weigh_paper_amount_7=6 Weigh_paper_amount_8=8 Weigh_paper_amount_9=11 Weigh_paper_amount_10=15 [Glassware] A-23
  • 95.
    Beaker_mass=100 The average mass of each beaker. Beaker_mass_%dev=5 The maximum percent deviation of each beaker from the average mass. Beaker_vol=.250 The average volume of each beaker. Beaker_vol_%dev=.7 The maximum percent deviation of each beaker from the average volume. Beaker_overflow_vol=.300 The volume at which the beaker overflow animation will be played. BuretRandom_%dev=.16 The maximum percent deviation from true volume. Buret_%dev=.1 The applied error to the true buret volumes. PipetRandom_%dev=.32 The maximum percent deviation from true volume for the pipets. Pipet_%dev=.12 The maximum percent deviation from the true volume for the pipets Grad_vol1=.005 The average volume of the graduated cylinders. Grad_vol2=.010 Grad_vol3=.025 Grad_vol4=.050 Grad_%dev=.5 The maximum percent deviation from the actual volume for the graduated cylinders. WaterBottle_vol=.001 The average volume delivered by the water bottle. WaterBottle_%dev=10 The maximum percent deviation from the average volume delivered by the water bottle. [Stir plate] Rate_On=1 The time that it takes in seconds, with the stir plate on, for the meters to display the newly calculated values after something is added from the buret into the beaker. Rate_Off=5 The time that it takes in seconds, with the stir plate off, for the meters to display the newly calculated values after something is added from the buret into the beaker. [Buret flow rate] Position2=0.5 drops/sec The rate at which the buret solution is delivered to the beaker when the stopcock is at position 2. Specified in drops/sec or mL/sec. Position3=2.0 drops/sec The rate at position 3. Position4=0.5 mL/sec The rate at position 4. Position5=1 mL/sec The rate at position 5. Drop_vol_mL= 0.0544 The average volume of each drop. Vol_%dev=5 The maximum percent deviation from the average drop size. [Other flow rates] bottle_flow=20 mL/sec The rate at which liquids flow from the bottle in mL/sec. sink_flow=30 mL/sec The rate at which water is delivered from the sink in mL/sec. flow_delay_sec=0.5 The time in seconds after a bottle is positioned over the buret or a beaker under the sink or a graduated cylinder over a beaker, etc. before the volume starts to be delivered. [Iterations] Allowed_dev_charge=.0000001 The maximum percent deviation of the initial possible minimum and maximum pH’s. Allowed%dev_VolT=.001 The maximum percent deviation of the final iteration from the preceding iteration in acid-base titration calculations. Allowed%dev_VolR=.01 The maximum percent deviation of the final iteration from the preceding iteration in redox titration calculations. Allowed%dev_IonicS=.000001 The maximum percent deviation of the final iteration from the preceding iteration of the activity coefficients. A-24
  • 96.
    Acidn.ini or Basen.ini INIVariables Description [General] Name= Long name that pops up when the bottle is moused over. Short_name= Name that appears on the bottle. Phase=solid, aqueous Phase of the substance. Color=(clear, white, yellow, pink, orange, Color of the substance. red, green, blue, purple, darkgreen, darkred, darkblue, or darkpurple) Unknown=yes,no Defines whether or not the reagent can be made into an unknown. [Solids] This section applies only to reagents that are solids. MW= The molecular weight of the reagent. Density= The density of the reagent. Max_Conc= The maximum concentration allowed for the reagent when mixed with water. %Weight= The weight percent (impurity) for the reagent on the stockroom shelf. %Weight_Min= The minimum weight percent allowed when making unknowns. %Weight_Max= The maximum weight percent allowed when making unknowns. %Wt_Init_Min= The initial minimum weight percent when creating an unknown. %Wt_Init_Max= The initial maximum weight percent when creating an unknown. Impurity= Defines what the impurity is in solids that are not 100% pure. The impurity is defined by specifying the name of the INI file representing the impurity (usually NaCl). [Aqueous Solutions] This section applies only to aqueous solutions. Conc= The concentration given in mol/L or ‘random’. If a concentration is given, then that concentration is fixed at startup. If ‘random’ is given, then a random concentration between the minimum and maximum is used at startup. Conc_Min= The minimum concentration allowed when making unknowns. Conc_Max= The maximum concentration allowed when making unknowns. Conc_Init_Min= The initial minimum concentration when creating unknowns. Conc_Init_Max= The initial maximum concentration when creating unknowns. [Initial species] 1=HP,1- The initial species of acid or base after it has dissociated in water and its charge. M_1=1 The stoichiometric coefficient of initial species. Z1=-1 The charge of initial species. Inert_ion=K,1+ The charge of inert ion. M_inert_ion=1 The stoichiometric coefficient of inert ion. Z_inert_ion=1 The charge of inert ion [Reaction species] 2=P,2- The species in solution and its charge after the first species dissociates. 2-4 3= are acidic species (3-4 are for the species of polyprotic acids) and 5-7 are 4= basic species (6-7 are for the species of polybasic bases). 5=H2P 6= 7= [Equilibrium constants] Ka1=3.908E-06 The equilibrium constants for the acid and conjugate base or base and Ka2=0 conjugate acid. More than one set of equilibrium constants is defined for Ka3=0 polyprotic acids or polybasic bases. Kb1=8.995E-12 A-25
  • 97.
    Kb2=0 Kb3=0 [Activitycoefficients] HR1=700 The hydrated radius of each species. HR2=700 HR3= HR4= HR5=0 HR6= HR7= HR_inert_ion=300 [Conductivity] 1ec=30 The conductance ( o ) of the species. 2ec=45 3ec= 4ec= 5ec=0 6ec= 7ec= Inert_ion_ec=73.48 [Partial Molal Volume] V1=83.0 The partial molal volume of each species in cm3/mol. V2=106.3 V3= V4= V5=115 V6= V7= V_inert_ion=9.02 [Molecular Weight] MW1=165.124 The molecular weight of each dissociated species. MW2=164.115 MW3= MW4= MW5=166.132 MW6= MW7= MW_inert_ion=39.098 Indicators.ini INI Variables Description [General] Acid_Start=1.8 The following variables define the pH chart in the lab view and popup view Base_End=1.8 [Popup] Vertical_Pos=-2 Bar_Height=11 Label_Font_Size=12.5 Transistion_Range=5 A-26
  • 98.
    [TitrationLab] Vertical_Pos=0 Bar_Height=2 Label_Font_Size=3 Transistion_Range=1 [Color] Yellow=254,254,7 The RGB values to use for each color. Red=214,49,63 Purple=211,164,218 Pink=255,164,188 Blue=132,214,250 Clear=230,231,231 DarkBlue=53,51,143 DarkGreen=60,83,55 DarkPurple=73,42,79 DarkRed=99,51,65 Green=91,182,138 Orange=246,114,23 [Bottle 1] Name=Methyl violet The name of the indicator in the first bottle. Short_name=Met V The name that appears on the bottle label. Transition1_Start=0.1 The pH at which the color begins to change for the first transition. Transition1_End=1.6 The pH at which the color change is complete for the first transition. Acid_color=Yellow The color of the indicator on the acid side of the transition. Mix1_color=blue The color of the indicator in between the beginning and ending pH of the first transition. Base1_color=purple The color of the indicator after the first transition. Transition2_Start= The pH at which the color begins to change for the second transition. Transition2_End= The pH at which the color change is complete for the second transition. Mix2_color= The color of the indicator in between the beginning and ending pH of the second transition. Base2_color= The color of the indicator after the second transition. This is duplicated for bottles 2 through 8. Oxidantn.ini INI Variables Description [General] Name=Permanganate - Acid Long name that pops up when the bottle is moused over. Short_name=KMnO4 Name that appears on the bottle. Solution=Acid Defines the oxidant as being in acidic, neutral, or basic solution. Phase=aqueous Phase of the substance. Color=darkpurple Color of the substance. (See Acid/Base file for list of colors.) Unknown=yes Defines whether or not the reagent can be made into an unknown. [Solids] This section applies only to reagents that are solids. MW= The molecular weight of the reagent. Density= The density of the reagent. Max_Conc= The maximum concentration allowed for the reagent when mixed with water. %Weight= The weight percent (impurity) for the reagent on the stockroom shelf. %Weight_Min= The minimum weight percent allowed when making unknowns. %Weight_Max= The maximum weight percent allowed when making unknowns. %Wt_Init_Min= The initial minimum weight percent when creating an unknown. %Wt_Init_Max= The initial maximum weight percent when creating an unknown. A-27
  • 99.
    Impurity= Defines what the impurity is in solids that are not 100% pure. The impurity is defined by specifying the name of the INI file representing the impurity (usually NaCl). [Aqueous Solutions] This section applies only to reagents that are aqueous. Conc=0.02 The concentration given in mol/L or ‘random’. If a concentration is given, then that concentration is fixed at startup. If ‘random’ is given, then a random concentration between the minimum and maximum is used at startup. Conc_Min=0.005 The minimum concentration allowed when making unknowns. Conc_Max=0.08 The maximum concentration allowed when making unknowns. Conc_Init_Min=.001 The initial concentration percent when creating an unknown. Conc_Init_Max=.01 The initial concentration percent when creating an unknown. Water_EMF=1.368 The EMF when the oxidant is in water by itself. [Acid_Base] Acid_Base_Conc=2.0 The concentration of the acid or base in the solution. Cat=H,1+ The cationic species and charge. M_Cat=1 The stoichiometric coefficient of cation. Z_Cat=1 The charge of cation. Ani=Cl,1- The anionic species and charge. M_Ani=1 The stoichiometric coefficient of anion. Z_Ani=-1 The charge of anion. [Inert ion] Inert_ion=K,1+ Identification and charge of inert species. M_inert_ion=1 The stoichiometric coefficient of inert species. Z_inert_ion=1 The charge of inert species. HR_inert_ion=300 The hydrated radius of inert species. Inert_ion_ec=73.48 The equivalent conductance ( o) of inert ion. V_Inert_ion=9.02 The partial molal volume of the inert ion in cm 3/mol. MW_Inert_ion=39.098 The molecular weight of the inert species. [Half reaction] The half reaction for each oxidizing agent is cR2+fX+oH++nRe - aR1+eW+mOH-. If a part is not applicable, then it will be left blank. R1 is the oxidizing agent, R2 is the reducing agent produced, and X and W are other species involved in the half reaction. SEP=1.507 The standard reduction potential in volts. R1=MnO4,1- The species that is reduced and its charge. M_R1=1 The stoichiometric coefficient of the species that is reduced. Z_R1=-1 The charge of the species that is reduced. R1_color=darkpurple The color of the species that is reduced. R1_phase=aqueous The phase of species that is reduced. a=1 The stoichiometric coefficient for R1 W= The species for W Z_W= The charge for W W_phase= The phase for W e= The stoichiometric coefficient for W m=8 The stoichiometric coefficient for OH nR=5 The stoichiometric coefficient for e - R2=Mn,2+ The species after it has been reduced and its charge. Z_R2=2 The charge of the reduced species. R2_color=clear The color of the reduced species. R2_phase=aqueous The phase of the reduced species. c=1 The stoichiometric coefficient for R2 X=H2O The species for X. Z_X=0 The charge for X. A-28
  • 100.
    X_phase=liquid The phase for X. f=4 The stoichiometric coefficient for X. o= The stoichiometric coefficient for H+ [Activity coefficients] HR_R1=350 The hydrated radius of R1. HR_W= The hydrated radius of W. HR_R2=600 The hydrated radius of R2. HR_X=0 The hydrated radius of X. HR_Cat=900 The hydrated radius of the cation of the acid or base. HR_Ani=300 The hydrated radius of the anion of the acid or base. [Conductivity] R1_ec=67 The equivalent conductance ( o ) of R1. W_ec= The equivalent conductance ( o ) of W. R2_ec=110 The equivalent conductance ( o ) of R2. X_ec= The equivalent conductance ( o ) of X. Cat_ec=349.65 The equivalent conductance ( o ) of the cation of the acid or base. Ani_ec=76.31 The equivalent conductance ( o ) of the anion of the acid or base. [Partial Molal Volume] V_R1=42.5 The partial molal volume of R1 in cm3/mol. V_W= The partial molal volume of W in cm3/mol. V_R2=-17.7 The partial molal volume of R2 in cm3/mol. V_X= The partial molal volume of X in cm3/mol. V_Cat=0 The partial molal volume of the cation of the acid or base in cm3/mol. V_Ani=17.83 The partial molal volume of the anion of the acid or base in cm3/mol. [Molecular Weight] MW_R1=118.934 The molecular weight of R1. MW_W= The molecular weight of W. MW_R2=54.938 The molecular weight of R2. MW_X=18.015 The molecular weight of X. MW_cat=1.008 The molecular weight of the cation of the acid or base. MW_ani=35.453 The molecular weight of the anion of the acid or base. Reductantn.ini [General] Name=Iron(II) Chloride Long name that pops up when the bottle is moused over. Short_name=FeCl2 Name that appears on the bottle. Phase=solid (or liquid or aqueous) Phase of the substance. Color=green Color of the substance in water. (See Acid/Base file for list of colors.) Unknown=yes Defines whether or not the reagent can be made into an unknown. [Solids] This section applies only to reagents that are solids. MW=151.909 The molecular weight of the reagent. Density=3.16 The density of the reagent. Max_Conc=5.1 The maximum concentration allowed for the reagent when mixed with water. %Weight=90 The weight percent (impurity) for the reagent on the stockroom shelf. %Weight_Min=50 The minimum weight percent allowed when making unknowns. %Weight_Max=100 The maximum weight percent allowed when making unknowns. %Wt_Init_Min=80 The initial minimum weight percent when creating an unknown. %Wt_Init_Min=90 The initial maximum weight percent when creating an unknown. Impurity=NaCl Defines what the impurity is in solids that are not 100% pure. The impurity is defined by specifying the name of the INI file representing the impurity (usually A-29
  • 101.
    NaCl). [Aqueous Solutions] This section applies only to reagents that are aqueous. Conc= The concentration given in mol/L or ‘random’. If a concentration is given, then that concentration is fixed at startup. If ‘random’ is given, then a random concentration between the minimum and maximum is used at startup. Conc_Min= The minimum concentration allowed when making unknowns. Conc_Max= The maximum concentration allowed when making unknowns. Conc_Init_Min= The initial concentration percent when creating an unknown. Conc_Init_Max= The initial concentration percent when creating an unknown. Water_EMF=1.368 The EMF when the reductant is in water by itself. [Neutral species] Species present in neutral solution (not an acidic or basic solution). O1=Fe,2+ The species that is reduced and its charge. M_O1=1 The stoichiometric coefficient of the species that is reduced. Z_O1=2 The charge of the species that is reduced. O1_color=clear The color of species that is reduced. O1_phase=aqueous The phase of species that is reduced. [Inert ion] Inert_ion=Cl,1- Identification and charge of inert species. M_inert_ion=2 The stoichiometric coefficient of inert species. Z_inert_ion=-1 The charge of inert species. HR_inert_ion=300 The hydrated radius of inert species. Inert_ion_ec=76.31 The equivalent conductance ( o) of the inert ion. V_Inert_ion=17.83 The partial molal volume of the inert ion in cm 3/mol. MW_Inert_ion=35.453 The molecular weight of inert species. [Half reaction(acid)] The half reaction for each reducing agent is dO2+hZ+nH++nOe- bO1+gY+pOH-. If a part is not applicable, then it will be left blank. O1 is the reducing agent, O2 is the oxidizing agent produced, and Z and Y are other species involved in the half reaction. The following section applies to reactions in acidic solution. SEP=0.732 The standard reduction potential in volts. O1=Fe,2+ The species that is reduced and its charge. M_O1=1 The stoichiometric coefficient of the species that is reduced. Z_O1=2 The charge of the species that is reduced. O1_color=clear The color of the species that is reduced. O1_phase=aqueous The phase of the species that is reduced. b=1 The stoichiometric coefficient for O1. Y= The species for Y. Z_Y= The charge for Y. Y_phase= The phase for Y. g= The stoichiometric coefficient for Y. p= The stoichiometric coefficient for OH-. nO=1 The stoichiometric coefficient for e -. O2=Fe,3+ The species after it has been reduced and its charge. Z_O2=3 The charge of reduced species. O2_color=clear The color of reduced species. O2_phase=aqueous The phase of reduced species. d=1 The stoichiometric coefficient for O2. Z= The species for Z. Z_Z= The charge for Z. Z_phase= The phase for Z h= The stoichiometric coefficient for Z. n= The stoichiometric coefficient for H+. A-30
  • 102.
    [Activity coefficients(acid)] HR_O1=600 The hydrated radius of O1. HR_Y= The hydrated radius of Y. HR_O2=900 The hydrated radius of O2. HR_Z= The hydrated radius of Z. [Conductivity(acid)] O1_ec=108 The equivalent conductance ( o ) of O1. Y_ec= The equivalent conductance ( o ) of Y. O2_ec=204 The equivalent conductance ( o ) of O2. Z_ec= The equivalent conductance ( o ) of Z. [Partial Molal Volume(acid)] V_O1=-24.7 The partial molal volume of O1 in cm3/mol. V_Y= The partial molal volume of Y in cm3/mol. V_O2=-43.7 The partial molal volume of O2 in cm3/mol. V_Z= The partial molal volume of Z in cm3/mol. [Molecular Weight(acid)] MW_O1=55.847 The molecular weight of O1. MW_Y= The molecular weight of Y. MW_O2=55.847 The molecular weight of O2. MW_Z= The molecular weight of Z. [Half reaction(base)] Repeat for basic half reaction. SEP=-0.86 O1=Fe(OH)2 M_O1=1 Z_O1=0 O1_color=green O1_phase=solid b=2 Y= Z_Y= Y_phase= g= p=2 nO=1 O2=Fe2O3 Z_O2=0 O2_color=red O2_phase=solid d=1 Z=H2O Z_Z=0 Z_phase=liquid h=3 n= [Activity coefficients(base)] HR_O1= HR_Y= HR_O2= HR_Z= [Conductivity(base)] A-31
  • 103.
    O1_ec=0 Y_ec= O2_ec=0 Z_ec=0 [Partial Molal Volume(base)] V_O1= V_Y= V_O2= V_Z= [Molecular Weight(base)] MW_O1=89.861 MW_Y= MW_O2=159.691 MW_Z=18.015 Saltn.ini [General] Name=Barium Chloride Long name that pops up when the bottle is moused over. Short_name=BaCl2 Name that appears on the bottle. Phase=solid Phase of the substance. Color=white Color of the substance in water. (See Acid/Base file for list of colors.) [Solids] These are assumed to be pure. MW=208.233 The molecular weight of substance. Density=3.856 The density of substance. Max_Conc=1.8 The maximum concentration when dissolved in water. [Aqueous Solutions] Conc= The concentration of substance. [Species] Cat=Ba,2+ The species from the compound that becomes the cation and its charge. M_Cat=1 The stoichiometric coefficient of the cation. Z_Cat=2 The charge of the cation. Ani=Cl,1- The species from the compound that becomes the anion and its charge. M_Ani=2 The stoichiometric coefficient of the anion. Z_Ani=-1 The charge of the anion. [Activity coefficients] HR_Cat=500 The hydrated radius of the cation. HR_Ani=300 The hydrated radius of the anion. [Conductivity] Cat_ec=130 The equivalent conductance ( o ) of the cation. Ani_ec=76.31 The equivalent conductance ( o ) of the anion. [Partial Molal Volume] V_Cat=-12.47 The partial molal volume of the cation in cm3/mol. V_Ani=17.83 The partial molal volume of the anion in cm3/mol. [Molecular Weight] MW_cat=137.327 The molecular weight of the cation. MW_ani=35.453 The molecular weight of the anion. A-32
  • 104.
    Preset Experiments Located onthe clipboard in the titration stockroom is a set of 15 preset experiments listed by title. If allowed by the instructor, students can select one of these experiments and, upon returning to the laboratory, the selected experiment will be automatically set up and running. Preset experiments are intended to provide flexibility for the instructor so the titration simulation can be adapted to the level of the class or the individual teaching style of the instructor. Several experiments have already been defined and are installed with the software. This section describes how these files can be modified. Each preset experiment is defined using an INI file. For the preset experiments on the clipboard, these files have the name Experimentn.ini, where n is a number between 1 and 15 and represents experiments 1 through 15 on the clipboard. These files are located in the Presets directory in the ChemLabT directory. Note that in client installations, any modified preset experiments for the clipboard must be modified for each client installation. Given subsequently is a description of a preset experiment INI file and the variables that are used to define an experiment. Before reviewing the INI file information, here are some important points to keep in mind: (a) All of the variables described have default values, so variables may be left blank or not used at all. An experiment can be set up or defined to any degree desired by the instructor. (b) Some variables are mutually exclusive; that is, the use of one variable may mean another variable cannot be used. Some error checking exists for such situations, but the error checking is not comprehensive. The following two tables show the INI variables used in preset experiments. The first lists all the variables that can be used and their allowed values. Default values are given in red. The second is an example of a preset experiment for a strong acid vs. polyprotic acid titration to show how the variables can be used. Complete Titration Preset Experiment INI Variable List [Title] Title=Polyprotic Acid Strong Base The title of the preset experiment. Unknown [General] ActivityCoefficient=0,1 (Default = 1) Sets whether the activity coefficients are on or off. On is 1. IndicatorUsed=0-8 (Default = 0) Sets which indicator is used based on the number of each indicator in the indicator.ini file. Zero is none. [pH Volt Meter] Calibrated=0,1 (Default = 1) Sets whether the pH/voltmeter is already calibrated. 1 is calibrated. Window_Open=0,1 (Default = 1 if the Sets whether the pH/voltmeter window is open. Zero is closed. probe is in the beaker) In_Beaker=0,1 (Default = 1) Sets whether the pH/voltmeter probe is in the beaker or in the rack. Zero is in the rack. [Conductivity Meter] In_Beaker=0,1 (Default = 1) Sets whether the conductivity meter is in the beaker or in the rack. Zero is in the rack. Window_Open=0,1 (Default = 1 if the Sets whether the conductivity meter window is open. Zero is closed. probe is in the beaker) A-33
  • 105.
    [Unknowns] Bottle=1,2,3 Defines which bottle is the unknown. 1-3 are possible. The numbers refer to the bottle numbers below. Unknown1= s1 Sets the random concentration or percent weight seed (sn) for unknown Unknown2= s2 concentrations. The actual concentration assigned to each unknown is Unknown3= s3 determined using the first set of equations for solutions and the second for solids: Unknown4= s4 Unknown5= s5 15sin / 3 + 2.5si2 + 30.9si4 xi = si n+ 3+ si + n Unknown6= s6 ( [M] = xi 1000 ) ([M] ) [M] min + [M] min max Unknown7= s7 Unknown8= s8 sin / 4 + 342.5si2 + 0.9si3 yi = n + 3 + si + 10n Unknown9= s9 ( wt% = yi 1000 ) (wt% ) wt% min + wt% min max Unknown10= 10s Unknown11= s11 where si is the seed for unknown i and n is the unknown number. Unknown12= s12 Unknown13= s13 Unknown14= s14 Unknown15= s15 [Bottle 1] Filename= Defines which reagent will be used for bottle 1. Given by INI file name. Conc= Sets the concentration if the reagent is a solution. If it is an unknown, concentration is calculated using seed above. If it is blank but not an unknown, it uses the default value, defined in the INI file for the reagent. %Weight= Sets the percentage weight if the reagent is a solid. If it is an unknown, concentration is calculated using seed above. If it is blank but not an unknown, it uses the default value, defined in the INI file for the reagent. Position=1,2,3, or 4 for a solid Defines the position of the bottle in the lab. [Bottle 2] Filename= Defines which reagent will be used for bottle 2. Given by INI file name. Conc= Sets the concentration if the reagent is a solution. If it is an unknown, concentration is calculated using seed above. If it is blank but not an unknown, it uses the default value, defined in the INI file for the reagent. %Weight= Sets the percentage weight if the reagent is a solid. If it is an unknown, concentration is calculated using seed above. If it is blank but not an unknown, it uses the default value, defined in the INI file for the reagent. Position=1,2,3, or 4 for a solid Defines the position of the bottle in the lab. [Bottle 3] Filename= Defines which reagent will be used for bottle 3. Given by INI file name. Conc= Sets the concentration if the reagent is a solution. If it is an unknown, concentration is calculated using seed above. If it is blank but not an unknown, it uses the default value, defined in the INI file for the reagent. %Weight= Sets the percentage weight if the reagent is a solid. If it is an unknown, concentration is calculated using seed above. If it is blank but not an unknown, it uses the default value, defined in the INI file for the reagent. Position=1,2,3, or 4 for a solid Defines the position of the bottle in the lab. A-34
  • 106.
    [Buret] Bottle=1,2,3 Defines which reagent is in the buret. Numbers correspond to bottles 1, 2, and 3 above. No salts are allowed in buret. Only one bottle is possible. Amount= Sets the volume of above bottle to put in the buret. Use “full” to fill buret. Water_mL= (Default = 0) Sets the volume of water to put in the buret. Window_Open=0,1 (Default = 1) Sets whether the buret window will be open. Zero is closed. Graph_Window_Open=0,1 (Default = 0) Sets whether graph window will be open. Zero is closed. If buret window is closed, graph window will also be closed. [Stir Plate] Active=0,1 (Default = 1) Sets whether beaker is on the stir plate. Zero means the beaker is not there. Bottle_1=1,2,3 Sets which reagent is in the beaker. Numbers correspond to bottles 1, 2, and 3 above. Amount_1= Sets how much of first bottle is in the beaker. Given in mL or in grams depending on whether it is a liquid or a solid. Bottle_2= Sets which reagent is in the beaker. Numbers correspond to bottles 1, 2, and 3 above. Bottle 2 can only be a salt. Amount_2= Sets how much of second bottle is in the beaker. Given in mL or in grams depending on whether it is a liquid or a solid. Water_mL= Sets how much water is in the beaker. On=0,1 (Default = 1) Sets whether the stir plate is on. Zero means the stir plate is off. Example Titration Preset Experiment [Title] Title=Strong Acid Polybasic Base The title of the preset experiment. Unknown [General] ActivityCoefficient=1 Sets the activity coefficients as on. IndicatorUsed=3 Sets the indicator as Thymol blue. [pH Volt Meter] Calibrated=1 Sets the pH meter as calibrated. Window_Open=1 Sets the pH meter window to be open. In_Beaker=1 Sets the pH probe to be in the beaker [Conductivity Meter] In_Beaker=1 Sets the conductivity probe to be in the beaker. Window_Open=1 Sets the conductivity window as open. [Unknowns] Bottle=2 Defines bottle 2 to be the unknown. Unknown1=75 Sets the percent weight seed for unknown concentrations as 75. Unknown2=75 Unknown3=75 Unknown4=75 Unknown5=75 Unknown6=75 Unknown7=75 Unknown8=75 Unknown9=75 Unknown10=75 Unknown11=75 Unknown12=75 Unknown13=75 A-35
  • 107.
    Unknown14=75 Unknown15=75 [Bottle1] Filename=Acid5.ini Defines bottle 1 as Acid5. Conc=.2463 Sets the concentration of the reagent. Position=1 Puts the bottle at position 1. [Bottle 2] Filename=Base6.ini Defines bottle 2 as Base6. %Weight= This is the unknown – no percentage weight is set. Conc= Position=2 Puts the bottle at position 2. [Bottle 3] There are no inert salts in this experiment. [Buret] Bottle=1 Defines bottle 1 as the reagent in the buret. Amount=Full Fills the buret. Water_mL=0 Puts 0 mL water in the buret. Window_Open=1 Sets the buret window as open. Graph_Window_Open=1 Sets the graph window as open. [Stir Plate] Active=1 Sets the beaker on the stir plate. Bottle_1=2 Sets bottle 2 as the reagent in the beaker on the stir plate. Amount_1=1.300 Sets the amount in the beaker as 1.3 g. Bottle_2= There are no salts in this experiment. Amount_2= Water_mL=25 Sets the amount of water in the beaker as 25 mL. On=1 Sets the stir plate as on. Calorimetry INI Files The calorimetry laboratory allows students to perform calorimetric experiments involving heats of combustion, heats of solution, heats of reaction, the heat capacity of metals, plus many others. Much of the operation of the laboratory and the parameters defining the experiments is controlled using INI variables located in the files Lab Variables.ini, Metals.ini, Organicn.ini, Reactionn.ini, and Saltn.ini located in the Reagents directory in the ChemLabC directory. The variables in LabVariables.ini generally control aspects of the laboratory as a whole, and the Organic, Reaction, and Salt INI files define the respective bottles in the calorimetry stockroom where n designates the bottle position on the shelf. The Metals.ini file defines the metals contained in the metals cabinet in the stockroom. There is one additional set of INI files and these define the preset experiments located on the stockroom. Described in each of the following sections are the INI variables contained in each of these INI files. The purpose for providing this information is to grant instructors the ability to change or adjust the calorimetry simulation to suit their own needs. A-36
  • 108.
    Lab Variables.ini INIVariables Description [General] Base_Lab_pressure=760 Every day a new random pressure is calculated that will be the same for each member in a class. This the initial base pressure for the lab in Torr. Plus_Minus_pressure=15 The min/max spread in pressure. %Humidity=50 The percent humidity in the lab. Labbook_Data_Line_Limit=1000 The maximum number of lines of titration data saved in one link before a new link is automatically started. Labbook_Plot_Point_Limit=100 The maximum number of points that will be plotted on the graph. Calculation_Update_Interval_sec=1 The time interval used in updating the calculations. Max_Heater_Concentration=4.0 The maximum solution concentration at which the heater burns out. Clock_Accel_Factor=5 The factor at which time increases when the acceleration button is pressed. [Graph Tool] Plot_View_Coords=76,8,355,178 The coordinates for the graph in the plot window. plot_color=55,75,255 The RGB values for the color of the line on the graph. tick_line_color=55,55,55 The RGB values for the color of the tick marks on the graph. Label_Text_Size=9 The font size for the graph labels. t_Range_min=5 The range of the X-axis in minutes. [Balance] Weights_Density=8 The density of the calibration weights. Balance_Flicker_Max=.0001 The maximum amount the balance can flicker above or below the true value. Balance_Flicker_Time=2.5 The amount of time between flicker calculations for the balance display. Weigh_paper_mass=.225 The average mass of the weigh paper. Weigh_paper_mass_%dev=5 The maximum percent deviation for each weigh paper from the average mass. Level1=0.05 The masses of solid added for each scoop size on the side of the bottle. Level2=0.1 Level3=0.2 Level4=0.5 Level5=1.0 Solid_%dev=5 The maximum percent deviation for each scoop size when solid is added onto the balance. Weigh_paper_amount_1=.01 The mass of solid represented by the graphic for each pile of solid. Weigh_paper_amount_2=.1 Weigh_paper_amount_3=.5 Weigh_paper_amount_4=1 Weigh_paper_amount_5=2 Weigh_paper_amount_6=4 Weigh_paper_amount_7=6 Weigh_paper_amount_8=8 Weigh_paper_amount_9=11 Weigh_paper_amount_10=15 Pipet_Level1=0.00010 The volume of liquid represented by the graphic for each pipet fill-level (L). Pipet_Level2=0.00025 Pipet_Level3=0.00050 Pipet_Level4=0.00075 Pipet_Level5=0.001 Liquid_%dev=5 The maximum percent deviation for each pipet size when liquid is added onto the balance. [Thermometer] Flicker_Max=.01 The maximum amount the thermometer can flicker above or below the true A-37
  • 109.
    value. Flicker_Time=2.5 The amount of time between flicker calculations for the thermometer display [Glassware] Beaker_mass=100 The average mass of each beaker. Beaker_mass_%dev=5 The maximum percent deviation of each beaker from the average mass. Beaker_vol=.250 The average volume of each beaker. Beaker_vol_%dev=.7 The maximum percent deviation of each beaker from the average volume. Beaker_overflow_vol=.300 The volume at which the beaker overflow animation will be played. Grad_vol4=.010 The average volume of the graduated cylinders. Grad_vol3=.025 Grad_vol2=.050 Grad_vol1=.100 Grad_%dev=.5 The maximum percent deviation from the actual volume for the graduated cylinders. GlassError=1 Sets whether glassware errors are on or off. [Metals] Metal_Mass_%dev=5 The maximum percent deviation in the mass of the metals. [Dewar] Cup_Vol=.5 The maximum volume of the dewar (L). Cup_Vol_%dev=2 The maximum percent deviation of each the volume of each dewar (set once for each student). K1=0.095 The cooling constant used in the cooling equations. K1_LO=0.327 The cooling constant used in the cooling equations when the lid is removed. Tao2=1 The heating constant used in heating equations. C_Cal=52 The absolute heat capacity of the dewar (J/K). Resistance=2000 The maximum resistance of the heater in the dewar ( ). Min_Heater_Vol=.02 The minimum voltage allowed for the heater (V). Temp_Sig_Fig=2 The number of decimal places displayed on the thermometer display. [Coffee] Cup_Vol=.513 The maximum volume of the coffee cups (L). Cup_Vol_%dev=1 The maximum percent deviation of each the volume of each coffee cup calorimeter (set once for each student). K1=0.17 The cooling constant used in the cooling equations. K1_LO=0.52 The cooling constant used in the cooling equations when the lid is removed. Tao2=1 The heating constant used in heating equations. C_Cal=8.5 The absolute heat capacity of the coffee cups (J/K). Resistance=2000 The maximum resistance of the heater in the coffee cups ( ). Min_Heater_Vol=.02 The minimum voltage allowed for the heater (V). Temp_Sig_Fig=2 The number of decimal places displayed on the thermometer display. [Bomb] Cup_Vol=.01 The maximum volume of the bomb sample cup (L). Cup_Vol_%dev=1 The maximum percent deviation of each the volume of each sample cup (set once for each student). Cup_Mass=12 The mass of the sample cup (g). Cup_Mass_%dev=1 The maximum percent deviation of the sample cup mass. K1=0.1 The cooling constant used in the cooling equations. K1_LO=0.1 The cooling constant used in the cooling equations when the lid open. Tao2=0.1 The heating constant used in heating equations. C_Cal=1949.985 The absolute heat capacity of the bomb calorimeter (J/K). O2_Pressure=30 The starting pressure of Oxygen gas (atm). O2_Pressure_%dev=2 The maximum percent deviation in the starting O2 pressure. A-38
  • 110.
    wire_length=4 The length of ignition wire (cm). Wire_length_%dev=5 The maximum percent deviation in the length of ignition wire. wire_J_cm=10.75 The energy given off by the ignition wire (J/cm). Water_Vol=2000 The volume of water in the bath in the calorimeter (mL). HC_CO2=37.11 The heat capacity of CO2 gas (J/molK). HC_O2=29.36 The heat capacity of O2 gas (J/molK). HC_N2=29.12 The heat capacity of N2 gas (J/molK). Temp_Sig_Fig=3 The number of decimal places displayed on the thermometer display. [Beaker] K1=1.0 The cooling constant of a beaker on the counter (used when ice melts and hot metals cool). Tao2=0.1 The heating constant of a beaker on the counter. C_Cal=45 The heat capacity of a glass beaker. Ice_Melt_Delay=120 The time delay before ice in a beaker on the counter begins to melt (s). [Reaction Constants] Kr_Organic=0.02 The reaction constant of combusting organics. te_Organic=300 The time for a combustion reaction to give off its heat (s). Kr_Salt=0.08 The reaction constant for dissolving salts with stirring on. te_Salt=60 The time for a dissolving salt to give off its heat with stirring on (s). Kr_Salt_NS=0.045 The reaction constant for dissolving salts with stirring off. te_Salt_NS=120 The time for a dissolving salt to give off its heat with stirring off (s). Kr_Reaction=0.22 The reaction constant for reactions with stirring on. te_Reaction=30 The time for reactions to give off their heat with stirring on (s). Kr_Reaction_NS=0.095 The reaction constant for reactions with stirring off. te_Reaction_NS=60 The time for reactions to give off their heat with stirring off (s). Kr_Metal=0.25 The reaction constant for adding metals with stirring on. te_Metal=20 The time for metals to give off their heat with stirring on (s). Kr_Metal_NS=0.08 The reaction constant for adding metals with stirring off. te_Metal_NS=40 The time for metals to give off their heat with stirring off (s). Kr_Combo=4 The reaction constant for combining liquids with stirring on. te_Combo=10 The time for combining liquids to give off their heat with stirring on (s). Kr_Combo_NS=0.3 The reaction constant for combining liquids with stirring off. te_Combo_NS=20 The time for combining liquids to give off their heat with stirring off (s). [Ice] Mass=25.0 The mass of ice in one scoop (g). Mass_%dev=10 The maximum deviation of mass of ice in one scoop. K_Ice_Stir_On=25 The cooling constant for ice melting with stirring on. K_Ice_Stir_Off=10 The cooling constant for ice melting with stirring off. c_ice=37.466 The heat capacity of ice (J/molK). [Oven] Base_Temp_C=100 The initial temperature of the oven (°C). Min_Temp_C=25 The minimum temperature of the oven (°C). Max_Temp_C=200 The maximum temperature of the oven (°C). [Control Box] Current_Max_mA=500 The maximum current in the heater (mA). [Other flow rates] bottle_flow=30 mL/sec The rate at which liquids flow from the bottle in mL/sec. sink_flow=30 mL/sec The rate at which water is delivered from the sink in mL/sec. flow_delay_sec=0.5 The time in seconds after a bottle is positioned over the buret or a beaker under the sink or a graduated cylinder over a beaker, etc. before the volume A-39
  • 111.
    starts to bedelivered. [Conversion_Factors] atm_to_Pa=101325.0 The conversion factors between different units of pressure. atm_to_bar=1.01325 L_to_cm^3=1e3 The conversion factors between different units of volume. L_to_Gal=.264172052358 cm_to_in=.393700787402 The conversion factors between different units of length. Metals.ini INI Variables Description [General] [1 A1] Position of the metal in the Drawers [Drawer ColumnRow] Name=Silver The long name that pops up when metal is moused over. Short_name=Ag Name that appears on the label in the drawer. Color=silver Color of the metal (silver, gold, copper, dull) Unknown=yes If the metal can be assigned as an unknown. Mass=27.96 The average mass of the metal. Melting_Point_C=961.78 The melting point of the metal. Heat_Capacity=0.235 The heat capacity of the metal (J/gK). MW=107.868 The molecular weight of the metal. Density=9.32 The density of the metal. BlowUp=No If the metal is explosively reactive with water (Yes or No). [1 A2] Name=Aluminum Short_name=Al Color=silver Unknown=yes Mass=7.125 Melting_Point_C=660.32 Heat_Capacity=0.897 MW=26.982 Density=2.375 BlowUp=No [1 A3] Name=Gold Short_name=Au Color=gold Unknown=yes Mass=51.93 Melting_Point_C=1064 Heat_Capacity=0.129 MW=196.97 Density=17.31 BlowUp=no [1 A4] Name=Beryllium A-40
  • 112.
    Short_name=Be Color=dull Unknown=yes Mass=5.07 Melting_Point_C=1287 Heat_Capacity=1.825 MW=9.012 Density=1.69 BlowUp=no Organicn.ini INI Variables Description [General] Name=Benzoic acid The long name that pops up when bottle is moused over. Short_name=C7H6O2 The name that appears on the bottle. Phase=solid The phase of the Organic compound (solid or liquid). Color=white The color of the compound. Unknown=yes If the compound may be assigned as an unknown (yes or no). [Physical Data] dHo=3226.9E3 The standard state heat of combustion of the compound (J/mol). MW=122.13 The molecular weight of the compound. Density=1.2659 The density of the compound. Packing_Density_Solid=2.5318 The density used to calculate how much volume the scooped solid takes up. a=7 The number of carbons in the molecule. b=6 The number of hydrogens. c=2 The number of oxygens. d=0 The number of nitrogens. Reactionn.ini INI Variables Description [General1] 1 contains the information for bottle 1 of the pair (the left one). Name=Hydrochloric Acid The long name that pops up when bottle is moused over. Short_name=HCl The name that appears on the bottle. Phase=aqueous The phase of the compound (solid or aqueous). Color=clear The color of the compound. Unknown=yes If the compound may be assigned as an unknown (yes or no). [General2] 2 contains the information for bottle 2 of the pair (the right one). Name=Sodium Hydroxide Short_name=NaOH Phase=aqueous Color=clear Unknown=yes [Solids1] If the phase for the bottle is solid: MW= The molecular weight of the solid. Density= The density of the solid. dHs= The heat of solution of the solid. Max_Conc= The maximum concentration the solid may dissolve in solution. %Weight= This is not used for the Calorimetry lab. A-41
  • 113.
    %Weight_Min= This is not used for the Calorimetry lab. %Weight_Max= This is not used for the Calorimetry lab. %Wt_Init_Min= This is not used for the Calorimetry lab. %Wt_Init_Max= This is not used for the Calorimetry lab. Impurity= This is not used for the Calorimetry lab. [Aqueous Solutions1] If the phase of the bottle is aqueous: Conc=1.0000 The concentration of the solution. Conc_Min=0.010 This is not used for the Calorimetry lab. Conc_Max=4.0000 This is not used for the Calorimetry lab. Conc_Init_Min=0.1000 This is not used for the Calorimetry lab. Conc_Init_Max=0.1200 This is not used for the Calorimetry lab. [Solids2] MW= Density= dHs= Max_Conc= %Weight= %Weight_Min= %Weight_Max= %Wt_Init_Min= %Wt_Init_Max= Impurity= [Aqueous Solutions2] Conc=1.0000 Conc_Min=0.010 Conc_Max=4.0000 Conc_Init_Min=0.1000 Conc_Init_Max=0.1200 [Reaction] dHr=5.58e4 The standard state heat of reaction per mole of the limiting reactant. [Reactants] R1=HCl The reactant in bottle 1 M_R1=1 The stoichiometric coefficient of this reactant in the reaction. Ph_R1=aqueous The phase of R1 in solution R1_cat=H,1+ The cation if R1 dissociates. M_R1_cat=1 The stoichiometric coefficient for the cation. Z_R1_cat=1 The charge of this cation. MW_R1_Cat=1.008 The molecular weight of this cation. R1_ani=Cl,1- The anion if R1 dissociates. M_R1_ani=1 The stoichiometric coefficient for the anion. Z_R1_ani=-1 The charge of this anion. MW_R1_Ani=35.453 The molecular weight of this anion. R2=NaOH The reactant in bottle 2 M_R2=1 The stoichiometric coefficient of this reactant in the reaction. Ph_R2=aqueous The phase of R2 in solution R2_cat=Na,1+ The cation if R2 dissociates. M_R2_cat=1 The stoichiometric coefficient for the cation. Z_R2_cat=1 The charge of this cation. MW_R2_cat=22.990 The molecular weight of this cation. R2_ani=OH,1- The anion if R2 dissociates. A-42
  • 114.
    M_R2_ani=1 The stoichiometric coefficient for the anion. Z_R2_ani=-1 The charge of this anion. MW_R2_ani=17.007 The molecular weight of this anion. R3= Another possible reactant in bottle 1. M_R3= Ph_R3= R3_cat= M_R3_cat= Z_R3_cat= MW_R3_cat= R3_ani= M_R3_ani= Z_R3_ani= MW_R3_ani= R4= Another possible reactant in bottle 2. M_R4= Ph_R4= R4_cat= M_R4_cat= Z_R4_cat= MW_R4_cat= R4_ani= M_R4_ani= Z_R4_ani= MW_R4_ani= [Products] P1=H2O The first product of the reaction. M_P1=1 The stoichiometric coefficient of this product in the reaction. Ph_P1=liquid The phase of P1 in solution P1_cat= The cation if P1 dissociates. M_P1_cat= The stoichiometric coefficient for the cation. Z_P1_cat= The charge of this cation. MW_P1_cat= The molecular weight of this cation. P1_ani= The anion if P1 dissociates. M_P1_ani= The stoichiometric coefficient for the anion. Z_P1_ani= The charge of this anion. MW_P1_ani= The molecular weight of this anion. P2=NaCl The second product of the reaction. M_P2=1 Ph_P2=aqueous P2_cat=Na,1+ M_P2_cat=1 Z_P2_cat=1 MW_P2_cat=22.990 P2_ani=Cl,1- M_P2_ani=1 Z_P2_ani=-1 MW_P2_ani=35.453 P3= A third product of the reaction. M_P3= Ph_P3= A-43
  • 115.
    P3_cat= M_P3_cat= Z_P3_cat= MW_P3_cat= P3_ani= M_P3_ani= Z_P3_ani= MW_P3_ani= P4= M_P4= Ph_P4= P4_cat= M_P4_cat= Z_P4_cat= MW_P4_cat= P4_ani= M_P4_ani= Z_P4_ani= MW_P4_ani= [Partial Molal Volume] R1density= The density of R1 if it does not dissolve in solution. R1_catV=0 The partial molal volume of the cation of R1 if it dissolves in solution. R1_aniV=17.83 The partial molal volume of the anion of R1 if it dissolves in solution. R2density= R2_catV=-1.21 R2_aniV=-4.04 R3density= R3_catV= R3_aniV= R4density= R4_catV= R4_aniV= P1density= P1_catV= P1_aniV= P2density= P2_catV=-1.21 P2_aniV=17.83 P3density= P3_catV= P3_aniV= P4density= P4_catV= P4_aniV= [Heat Capacity] R1_HC= The heat capacity of R1 if it does not dissolve in solution. R1_catHC=0 The partial molar heat capacity of the cation of R1 if it dissolves in solution. R1_aniHC=-124.7 The partial molar heat capacity of the anion of R1 if it dissolves in solution. R2_HC= R2_catHC=38.60 R2_aniHC=-141.5 R3_HC= R3_catHC= A-44
  • 116.
    R3_aniHC= R4_HC= R4_catHC= R4_aniHC= P1_HC= P1_catHC= P1_aniHC= P2_HC= P2_catHC=38.60 P2_aniHC=-124.7 P3_HC= P3_catHC= P3_aniHC= P4_HC= P4_catHC= P4_aniHC= [Molecular Weight] R1_MW=36.461 The molecular weight of R1. R2_MW=39.997 R3_MW= R4_MW= P1_MW=18.015 P2_MW=58.443 P3_MW= P4_MW= Saltn.ini INI Variables Description [General] Name=Sodium Flouride The long name that pops up when bottle is moused over. Short_name=NaF The name that appears on the bottle. Phase=solid The phase of the salt (always solid for salts). Color=white The color of the salt. Unknown=yes If the compound may be assigned as an unknown (yes or no). [Physical Data] dH=-0.91e3 The standard state heat of solution of the salt (J/molK) MW=41.988 The molecular weight of the salt. Density=2.78 The density of the salt. Max_Conc=6.1 The maximum concentration that the salt may dissolve to. [Species] Cat=Na,1+ The cation of the dissolved salt. M_Cat=1 The stoichiometric coefficient of the cation. Z_Cat=1 The charge of the cation. Ani=F,-1 The anion of the dissolved salt. M_Ani=1 The stoichiometric coefficient of the anion. Z_Ani=-1 The charge of the anion. [Molar Heat Capacity] HC=46.9 The heat capacity of the solid salt. HC_Cat=46.4 The partial molar heat capacity of the cation. A-45
  • 117.
    HC_Ani=-106.7 The partial molar heat capacity of the anion. [Partial Molal Volume] V_Cat=-1.21 The partial molal volume of the cation. V_Ani=-1.6 The partial molal volume of the anion. [Molecular Weight] MW_cat=22.990 The molecular weight of the cation. MW_ani=18.998 The molecular weight of the anion. Preset Experiments Located on the clipboard in the calorimetry stockroom is a set of 15 preset experiments listed by title. If allowed by the instructor, students can select one of these experiments and, upon returning to the laboratory, the selected experiment will be automatically set up and running. Preset experiments are intended to provide flexibility for the instructor so the calorimetry simulation can be adapted to the level of the class or the individual teaching style of the instructor. Several experiments have already been defined and are installed with the software. This section describes how these files can be modified. Each preset experiment is defined using an INI file. For the preset experiments on the clipboard, these files have the name Experimentn.ini, where n is a number between 1 and 15 and represents experiments 1 through 15 on the clipboard. These files are located in the Presets directory in the ChemLabC directory. Note that in client installations, any modified preset experiments for the clipboard must be modified for each client installation. Given subsequently is a description of a preset experiment INI file and the variables that are used to define an experiment. Before reviewing the INI file information, here are some important points to keep in mind: (a) All of the variables described have default values, so variables may be left blank or not used at all. An experiment can be set up or defined to any degree desired by the instructor. (b) Some variables are mutually exclusive; that is, the use of one variable may mean another variable cannot be used. Some error checking exists for such situations, but the error checking is not comprehensive. The following two tables show the INI variables used in preset experiments. The first lists all the variables that can be used and their allowed values. Default values are given in red. The second is an example of a preset experiment for a heat of reaction experiment to show how the variables can be used. Provided below the tables is a small graphic showing the position labels used for the various INI position variables. Complete Calorimetry Preset Experiment INI Variable List INI Variables Description [Title] Title=Freezing Point Depression The title of the preset experiment. [General] Timer=On,Off (Default = Off) Sets the timer (the timer window) to be open or closed. [Calorimeter] These are variables for the calorimeters in general. A-46
  • 118.
    Lid=On,Off (Default =Off) Specifies if the lid to the calorimeter is on or off. Calorimeter=Bomb,Coffee,Dewar,None Specifies which calorimeter is selected. (Default = None) Position=Counter,Table (Default = Table) Specifies the position of the calorimeter in the laboratory. Position labels are case sensitive. Temperature_K=298.15 (Default = 298.15) Sets the initial temperature of any water that may be in the calorimeter. Position must be set to Table. Graph_Window=On,Off (Default = Off) Sets the graph window to open or closed. ###Coffee/Dewar Variables### These variables are only for the coffee cup or dewar. Thermometer=On,Off (Default = Off) Sets the thermometer to be on or off. Bottle=Bottle,Bottle 2 (Or Blank) Specifies which solution or solid from the available bottles that will be in the calorimeter. Bottle_Amount=Random,Volume,Mass Specifies the volume or mass from the bottle. Volume should be a number in mL for liquids; Mass is a number in grams for solids. Bottle_Min= Specifies minimum amount (mL or g) for Random amounts. Bottle_Max= Specifies maximum amount (mL or g) for Random amounts. Metal=Yes,No (Default = No) Specifies if a metal is already in the calorimeter. If yes, then position in Metals section below specifies position of dish. Ice=Random,Mass (Default = 0.0) Specifies the mass of ice that will be in the calorimeter. Ice_Min= Specifies the minimum mass of ice for Random amounts. Ice_Max= Specifies the maximum mass of ice for Random amounts. Water=Random,Volume (Default = 0.0) Specifies the volume of water that will be in the calorimeter. Water_Min= Specifies the minimum volume of water for Random amounts. Water_Max= Specifies the maximum volume of water for Random amounts. Current= (Default = 0) Sets the initial current setting for the electrical heater. Stirring=On,Off (Default = Off) Sets stirring on or off. Heater=On,Off (Default = Off) Sets the electrical heater on or off. If the lid is off, then the heater is set off. ###Bomb Variables### These variables are only for the bomb calorimeter. Thermometer=On,Off (Default = Off) Sets the thermometer to be on or off. This is the bomb control panel. Bomb=In,Out (Default = Out) Specifies if the bomb is in or out of the calorimeter. Screw_Cap=On,Off (Default = Off) Sets the screw cap to be on or off of the bomb. bomb_Head=On,Off (Default = Off) Puts the bomb head in or out of the bomb. Cup=In,Out (Default = In) Puts the bomb cup in or out of the bomb head. Cup_Position=TableE,TableF If the bomb cup is out, places the cup on the indicated table position. (Default =TableE) Bottle=Bottle (Or Blank) Specifies that the liquid or solid from the selected bottle is in the bomb cup. Bottle_Amount=Random,Volume,Mass Specifies the volume or mass from the bottle. Volume should be a number in mL for liquids; Mass is a number in grams for solids. Bottle_Min= Specifies minimum amount (mL or g) for Random amounts. Bottle_Max= Specifies maximum amount (mL or g) for Random amounts. [Bottle] These variables define what chemical is represented by Bottle or Bottle 2. Filename=Salt1.ini The name of the organic, salt, or reaction INI file. Position=CounterA,CounterB,CounterC,Tab Position for the bottle in the laboratory. leA,TableB,TableC,TableG (Default =TableG for organics & solids, TableA for aqueous reactants) Bottle2_Position=CounterA,CounterB,Count Position for the second bottle for reaction experiments. erC,TableA,TableB,TableC,TableG (Default =TableG for solids, TableA for aqueous reactants.) Unknown=Yes,No (Default = No) Specifies if the bottle should be labeled as an unknown. [Metal] A-47
  • 119.
    Metal=1 A1 Specifies the metal by specifying the metal location. [Drawer ColumnRow] Position=CounterA,CounterB,CounterC,Tab Position of the metal and dish in the laboratory. leD,TableE,TableF,Oven (Default = TableD) [Oven] Not used if bomb experiment is out. On_Off=On,Off (Default = Off) Turns oven on and off. Open_Closed=Open,Closed Sets the oven door as open or closed. (Default = Closed) Temperature= (Default = min temp limit) Sets the temperature of the oven in C. [Balance] On_Off=On,Off (Default = On) Sets the balance to be on or off. Tare_container=Yes,No (Default = No) Specifies if the weigh paper or beaker mass will be subtracted from balance reading. [Beaker1] Not used if bomb experiment is out. Position=TableA,TableB,TableC,TableD,Ta Position of the beaker on the table. The default position starts with the first bleE,TableF available position. Bottle=Bottle,Bottle 2 Assigns what is in the beaker. This must be specified. Amount=Random,Volume,Mass Specifies the volume or mass in the beaker. Volume should be a number in mL for liquids; Mass is a number in grams for solids. Min= Specifies minimum amount (mL or g) for Random amounts. Max= Specifies maximum amount (mL or g) for Random amounts. [Beaker2] Not used if bomb experiment is out. Used only for reaction experiments. Position=TableA,TableB,TableC,TableD,Ta Position of the beaker on the table. The default position starts with the first bleE,TableF available position. Bottle=Bottle,Bottle 2 Assigns what is in the beaker. This must be specified. Amount=Random,Volume,Mass Specifies the volume or mass in the beaker. Volume should be a number in mL for liquids; Mass is a number in grams for solids. Min= Specifies minimum amount (mL or g) for Random amounts. Max= Specifies maximum amount (mL or g) for Random amounts. [Paper] Position=Paper,TableF,None Position of the weigh paper in the laboratory. (Default=None) Bottle=Bottle,Bottle 2 What is on the paper. This must be assigned to a solid. Amount=Random,Mass Specifies the mass on the paper in grams. If a metal has been selected, then this is ignored. Min= Specifies minimum amount for Random amounts. Max= Specifies maximum amount for Random amounts. Example Calorimetry Preset Experiment INI Variables Description [Title] Title=Heat of Reaction: HCl (aq) + NaOH Title of experiment. (s) [General] Timer=Off Stopwatch window is not open. [Calorimeter] Calorimeter=Dewar Selected the dewar as the calorimeter. Thermometer=On Thermometer is on and thermometer window is open. Temperature_K=298.15 Temperature of anything inside calorimeter is set to 25 C. A-48
  • 120.
    Graph_Window=On Graph window is open. Lid=On The lid to the calorimeter is on. Stirring=On Stirring is turned on. Position=Table The calorimeter is placed on the table. Water=.100 There is 100 mL of water in the calorimeter. [Bottle] Filename=Reaction2.ini Reaction postion 2 is used for reactants. Position=CounterA Position of bottle 1 is on the counter. Bottle2_Position=TableG Position of bottle 2 is on the Table in position G. [Beaker1] Position=TableB A beaker is placed on the table in location B. Bottle=Bottle The beaker is filled with bottle 1. Amount=0.100 The amount is 100 mL. [Balance] On_Off=On The balance is turned on. Tare_container=Yes The weigh paper is tared. [Paper] Position=TableF The weigh paper is on the balance. Bottle=Bottle 2 The solid from bottle 2 is on the weigh paper. Amount=Random A random amount is selected. Amount_Min=3.999 The minimum value. Amount_Max=4.000 The maximum value. Figure A1. Position labels for calorimetry INI variables. A-49
  • 121.
    Mechanics INI File Themechanics laboratory allows students the ability to perform realistic mechanical experiments in a controlled environment of their pleasing. Much of the experiments are controlled using the laboratory INI file however, there are presets that will be determined by their own preset INI files. These presets INI are described below. The variables contained in the laboratory INI file are explained below. Note that each variable has its own default and max/min values. The purpose for providing this information is to grant instructors the ability to change or adjust the mechanics simulation to suit their own needs. Mechanics.ini INI Variables Description [General] DisplaySigFig=3 The significant digits that will be displayed in the work area display boxes. AccelerationValues=0.01, 0.05, 0.1, 0.5, 1, The acceleration factor which time will be multiplied by to increase the speed 5, 10, 50, 100, 500 of the experiment. The time acceleration display will rotate through in this order. AccelerationDefault=1 The starting value for lab time acceleration. Must correspond with one of the defined acceleration values. LabbookSigFig=4 The number of significant digits to be stored in the labbook. PlanetAccelerationValues=pa1d, pa10d, The time acceleration values used in planetary simulations. d = day, y = year. pa30d, pa100d, pa1y, pa10y, pa100y pa1d_Label=1 Day The label that will be displayed for 1 Day increments. pa1d_sec=84600 The number of seconds per chosen acceleration value. pa10d_Label=10 Days The label that will be displayed for 10 Day increments. pa10d_sec=846000 The number of seconds per chosen acceleration value. pa30d_Label=30 Days The label that will be displayed for 30 Day increments. pa30d_sec=2592000 The number of seconds per chosen acceleration value. pa100d_Label=100 Days The label that will be displayed for 100 Day increments. pa100d_sec=8460000 The number of seconds per chosen acceleration value. pa1y_Label=1 Year The label that will be displayed for 1 Year increments. pa1y_sec=31557600 The number of seconds per chosen acceleration value. pa10y_Label=10 Years The label that will be displayed for 10 Year increments. pa10y_sec=315576000 The number of seconds per chosen acceleration value. pa100y_Label=100 Years The label that will be displayed for 100 Year increments. pa100y_sec=3155760000 The number of seconds per chosen acceleration value. Planet_Auto_Increment_Time=5 The number of seconds that pass between auto time increment. [Grid] Red=100 Color of grid lines. Green=100 Color of grid lines. Blue=100 Color of grid lines. Transparency=50 The transparency of the grid lines on the screen. Label_Red=25 Grid label colors. Label_Green=25 Grid label colors. A-50
  • 122.
    Label_Blue=25 Grid label colors. Label_Transparency=50 Transparency label colors. P_Red=200 Planet grid line color. P_Green=100 Planet grid line color. P_Blue=100 Planet grid line color. P_Transparency=15 Planet grid lines transparency. P_Label_Red=200 Label for planet grid line colors. P_Label_Green=100 Label for planet grid line colors. P_Label_Blue=100 Label for planet grid line colors. P_Label_Transparency=100 Planet transparency grid label color. Startx1=-10 The initial coordinates for the grid (Y-axis calculated from the x-axis). Startx2=10 The initial coordinates for the grid (Y-axis calculated from the x-axis). AutoScaleFactor=4 The multiplication factor for auto scaling the grid size. [Materials] materials=wood,plastic,metal,cement,rubber The materials available in the lab. wood_label=Wood The label shown for this material. plastic_label=Plastic The label shown for this material. metal_label=Metal The label shown for this material. rubber_label=Rubber The label shown for this material. [Ball] m=10 The mass of the ball. m_min=0.0001 The minimum mass of the ball. m_max=1000000 The maximum mass of the ball. r=0.5 The radius of the ball. r_min=0.001 The minimum radius of the ball. r_max=100 The maximum radius of the ball. v0=0.0 The initial velocity of the ball. Beta=0.0 The initial angle of velocity. A 0 radian angle is with respect to the positive x- axis, moving counterclockwise through the quadrants from 0-2Pi radians. material=metal The default material for the ball. sphere=solid The type of sphere the ball is. It can either be a solid sphere or a shell, with all the mass distribution on the shell. The options are either solid or thin. min_pixel_r=8 The minimum pixel radius the ball can be when at the minimum radius. AllowsideAV=1 The angular velocity graphic is on or off. This shows the ball rotating when the ball is moving on the ramp, but not in the point of perfect rolling without slipping yet. 1=on, 2=off. [MultipleBalls] mn=10 The mass of each ball in the multiple ball simulation. mn_min=0.001 The minimum mass of each ball. mn_max=1000000 The maximum mass of each ball. rn=0.5 The radius of each ball. rn_min=0.001 The minimum radius of each ball. rn_mx=1000 The maximum radius of each ball. [Forces] Fi=1000000 The default force if not specified in the individual experiment sections. Fi_min=0 The minimum magnitude of force (newtons). Fi_max=1000000 The maximum magnitude of force (newtons). Fi_rocket=100 The magnitude of the rocket force. Fi_plunger=3000 The magnitude of the plunger force. phi=0 The angle of applied force. A 0 radian angle is with respect to the positive x- axis, moving counterclockwise through the quadrants from 0-2Pi radians. A-51
  • 123.
    phi_min=0 The minimum angle of applied force. phi_max=6.28318531 The maximum angle of applied force. rocketTime=1 The number of seconds the rocket force is applied per click, or fire. plungerTime=0.05 The number of seconds the plunger force is applied. [Frictions] wood_wood=0.55 The coefficient of friction between the two materials. wood_plastic=0.33 The coefficient of friction between the two materials. wood_cement=0.62 The coefficient of friction between the two materials. wood_rubber=0.96 The coefficient of friction between the two materials. plastic_wood=0.33 The coefficient of friction between the two materials. plastic_plastic=0.15 The coefficient of friction between the two materials. plastic_metal=0.45 The coefficient of friction between the two materials. plastic_cement=0.25 The coefficient of friction between the two materials. plastic_rubber=0.85 The coefficient of friction between the two materials. metal_wood=0.38 The coefficient of friction between the two materials. metal_plastic=0.45 The coefficient of friction between the two materials. metal_metal=0.52 The coefficient of friction between the two materials. metal_cement=0.30 The coefficient of friction between the two materials. metal_rubber=0.90 The coefficient of friction between the two materials. cement_wood=0.62 The coefficient of friction between the two materials. cement_plastic=0.25 The coefficient of friction between the two materials. cement_metal=0.30 The coefficient of friction between the two materials. cement_cement=0.55 The coefficient of friction between the two materials. cement_rubber=0.89 The coefficient of friction between the two materials. rubber_wood=0.96 The coefficient of friction between the two materials. rubber_plastic=0.85 The coefficient of friction between the two materials. rubber_metal=0.90 The coefficient of friction between the two materials. rubber_cement=0.89 The coefficient of friction between the two materials. rubber_rubber=1.00 The coefficient of friction between the two materials. P=101325 The default pressure (Pa) at sea level. P_min=0 The minimum pressure allowed (Pa). This pressure would correspond to an altitude of below sea level, but we just leave the altitude at 0 for all low pressures. P_max=10132500 The maximum pressure allowed. Z=0 The altitude of the experiment (m) above sea level. Z_min=0 The minimum altitude of the experiments (m). Z_mx=44642 The maximum altitude of the experiments. [Gravity] gx=9.80665 The magnitude of gravity in the direction of the (+) x-axis (m/s^2). gx_min=-300 The minimum magnitude of x axis gravity. gx_max=300 The maximum magnitude of x axis gravity. gy=9.80665 The magnitude of gravity in the direction of the (-) y-axis. gy_min=-300 The minimum magnitude of y axis gravity. gy_max=300 The maximum magnitude of y axis gravity. gr=9.80665 The magnitude of gravity in the radial direction. gr_min=-300 The minimum magnitude of radial gravity. gr_max=300 The maximum magnitude of radial gravity. g_multiplier=0.101971621298 The multiplier to set the number of g’s per chosen gravity value. planetList=Sun,Mercury,Venus,Earth,Mars, The list of names to show in the parameters palette for gravities. A-52
  • 124.
    Jupiter,Saturn,Uranus,Neptune,Pluto gravityList= 274.13,3.59,8.87,9.80665,1.62, The list of corresponding gravities to the planetList. Must be in same order as 3.77,25.95,11.08,10.67,14.07,0.42 the planetList. [Ramp] theta=0.78539816339745 The default angle of the ramp (radians). theta_min=0 The minimum angle of the ramp. theta_mx=1.57079633 The maximum angle of the ramp. L=50 The length of the ramp (m). L_min=1 The minimum length of the ramp. L_max=10000 The maximum length of the ramp. Material=wood The material of the ramp. Choices in material section above. YAxisPlacement=1.3 The angle (radians) above which the object placement is controlled by the y location of the mouse. [Rod] theta=0.005 The starting angle of the rod from the positive y axis (radians). theta_min=0 The minimum angle of the rod. theta_mx=1.57079633 The maximum angle of the rod. r=1.5 The radius of the rod (m). r_min=0.1 The minimum radius of the rod. r_max=1000 The maximum radius of the rod. l=20 The length of the rod. l_min=1 The minimum length of the rod. l_max=100000 The maximum length of the rod. material=brickmortar The initial material of the rod. Options below. materials=wood, cement, glass, titanium, The options for material of the rod. aluminum, castiron, brickmortar wood_label=Wood The label for the wood material. wood_tensile=35200000 The tensile strength for wood material (Pa). wood_density=518 The density of the wood material (kg/m^3). cement_label= Cement The label for the material. cement _tensile=3500000 The tensile strength for material. cement _density=2320 The density of the material. glass_label= Glass The label for the material. glass _tensile=3600000000 The tensile strength for material. glass _density=2530 The density of the material. titanium_label= Titanium The label for the material. titanium _tensile=830000000 The tensile strength for material. titanium_density=4510 The density of the material. aluminum_label= Aluminum The label for the material. aluminum _tensile=180000000 The tensile strength for material. aluminum _density=2700 The density of the material. castiron_label= Cast Iron The label for the material. castrion _tensile=200000000 The tensile strength for material. castiron _density=6800 The density of the material. Brickmortar_label= Brick and Mortar The label for the material. Brickmortar _tensile=689000 The tensile strength for material. Brickmortar _density=1840 The density of the material. A-53
  • 125.
    [Sled] m=10 The mass of the sled (kg). m_min=0.001 The minimum mass of the sled. m_max=1000000 The maximum mass of the sled. Ls=2 The length of the sled (m). Ls_min=0.1 The minimum length of the sled. Ls_max=100 The maximum length of the sled. h=1 The height of the sled (m). h_min=0.1 The minimum height of the sled. h_max=100 The maximum height of the sled. w=0.5 The width of the sled (m). w_min=0.1 The minimum width of the sled. w_max=100 The maximum width of the sled. v0=0.0 The initial velocity of the sled (m/s). Beta=0.0 The initial angle of velocity (rad). material=metal The material of the sled. min_pixel_h=8 The minimum pixel height the sled can be. [UnitTime] s=1 The base unit is in seconds. min=60 The number of seconds in a minute. hr=3600 The number of seconds in an hour. day=86400 The number of seconds in a day. yr=31557600 The number of seconds in a year. [UnitTimeLabel] s=s The label shown for seconds is “s”. min=min The label shown for minute is “min”. hr=hr The label for hour. day=day The label for day. yr=yr The label for year. [UnitPosition] m=1 The base unit is in meters. cm=100 The number of centimeters in a meter. km=0.001 The number of kilometers in a meter. in=39.37007 The number of inches in a meter. ft=3.28083 The number of feet in a meter. yd=1.09361 The number of yards in a meter. mi=0.0006213711 The number of miles in a meter. AU=0.0000000000066845871226706 The number of astronomical units in a meter. Lyr=0.00000000000000010570008340 The number of light-years in a meter. [UnitPositionLabel] m=m The label for meters. cm=cm The label for centimeters. km=km The label for kilometers. in=in The label for inches. ft=ft The label for feet. yd=yd The label for yards. mi=mi The label for miles. AU=AU The label for astronomical units. Lyr=Lyr The label for light-years. [UnitMass] kg=1 The base unit is in kilograms A-54
  • 126.
    g=1000 The number of grams in a kilogram. Mg=.001 The number of megagrams in a kilogram. oz=35.274 The number of ounces in a kilogram. lbs=2.20462262 The number of pounds in a kilogram. T=.001102 The number of tons in a kilogram. slg=.068522 The number of slugs in a kilogram. [UnitMassLabel] kg=kg The label for kilogram. g=g The label for grams. Mg=Mg The label for megagrams. oz=oz The label for ounces. lbs=lbs The label for pounds. T=Tons The label for tons. slg=slugs The label for slugs. [UnitForce] N=1 The base unit is in newtons. dyn=100000 The number of dynes in a newton. PF=.22480 The number of pounds-force in a newton. TF=.0001124 The number of tons-force in a newton. [UnitForceLabel] N=N The label for newtons. dyn=dyn The label for dynes. PF=lbs-F The label for pounds-force. TF=Tons-F The label for tons-force. [UnitVelocity] m_s=1 The base unit is meters per second. Km_s=.001 The number of kilometers per second in a meter per second. Km_hr=3.60 The number of kilometers per hour in a meter per second. ft_s=3.28083 The number of feet per second in a meter per second. mi_s=.0006214 The number of miles per second in a meter per second. mi_hr=2.2369363 The number of miles per hour in a meter per second. AU_yr=4743.739 The number of astronomical units per year in a meter per second. [UnitVelocityLabel] m_s=m/s The label for meter per second. Km_s=km/s The label for kilometer per second. Km_hr=km/hr The label for kilometer per hour. ft_s=ft/s The label for feet per second. mi_s=mi/s The label for miles per second. mi_hr=mi/hr The label for miles per hour. AU_yr=AU/yr The label for astronomical units per year. [UnitAirPressure] atm=0.00000986923169314269 The number of atmosphere per pascal. Pa=1 The base unit is pascals. [UnitAirPressureLabel] atm=atm The label for atmospheres. Pa=Pa The label for pascals. [UnitTemperatureLabel] C=C The label for Celsius. A-55
  • 127.
    F=F The label for Fahrenheit. K=K The label for Kelvin. [UnitAngles] R=1 The base unit is radians. D=57.297 The number of degrees in a radian. [UnitAnglesLabel] R=rad The label for radians. D=Degrees The label for degrees. [ProjectileMotionBallExperiment] X0=0 The initial x coordinate of the object. X0_min=-1000000 The minimum x coordinate allowed. X0_max=1000000 The maximum x coordinate allowed. Y0=0 The initial y coordinate of the object. Y0_min=-1000000 The minimum y coordinate allowed. Y0_max=1000000 The maximum y coordinate allowed. V0=0.0 The initial velocity of the object (m/s). V0_min=0 The minimum velocity of the object. V0_max=300000000 The maximum velocity of the object. Beta=0.78539816 The initial angle of velocity of the object (rad). Counter-clockwise from + x axis. Beta_min=0 The minimum angle for velocity. Beta_max=6.28318531 The maximum angle for velocity. Fi=0 The initial force applied to object. Fi_min=0 The minimum force allowed. Fi_max=1000 The maximum force allowed. phi=0.0 The angle of applied force (rad). Counter-clockwise from + x axis. phi_min=0 The minimum angle of applied force. phi_max=6.28318531 The maximum angle of applied force. P=101325 The initial pressure of air (Pa). P_min=0 The minimum pressure of air. P_max=10132500 The maximum pressure of air. Z=0 The initial altitude of experiment (m). Z_min=0 The minimum altitude. Z_max=44642 The maximum altitude. gx=9.80665 The gravitational acceleration along the x axis (m/s^2). gx_min=0 The minimum gravitational acceleration. gx_max=300 The maximum gravitational acceleration. gy=9.80665 The gravitational acceleration along the y axis (m/s^2). gy_min=0 The minimum gravitational acceleration. gy_max=300 The maximum gravitational acceleration. gr=9.80665 The gravitational acceleration radially towards the center of the screen, the origin (m/s^2). gr_min=0 The minimum gravitational acceleration. gr_max=300 The maximum gravitational acceleration. A-56
  • 128.
    [RampMotionExperiment] X0=0 The initial x coordinate of the object. X0_min=-1000000 The minimum x coordinate allowed. X0_max=1000000 The maximum x coordinate allowed. Y0=0 The initial y coordinate of the object. Y0_min=-1000000 The minimum y coordinate allowed. Y0_max=1000000 The maximum y coordinate allowed. V0=0 The initial velocity of the object along the ramp (m/s^2). V0_min=-300000000 The minimum velocity of the object. V0_max=300000000 The maximum velocity of the object. theta=0.0 The default angle of the ramp (rad). theta_min=0 The minimum angle of the ramp. theta_max=6.28318531 The maximum angle of the ramp. Fi=0 The force applied to the object (N). Fi_min=0 The minimum force allowed. Fi_max=1000 The maximum force allowed. P=101325 The default pressure of air (Pa). P_min=0 The minimum pressure allowed. P_max=10132500 The maximum pressure allowed. Z=0 The default altitude-sea level (m). Z_min=0 The minimum altitude allowed. Z_max=44642 The maximum altitude allowed. gx=9.80665 The gravitational acceleration along the x axis (m/s^2). gx_min=0 The minimum gravitational acceleration. gx_max=300 The maximum gravitational acceleration. gy=9.80665 The gravitational acceleration along the y axis (m/s^2). gy_min=0 The minimum gravitational acceleration. gy_max=300 The maximum gravitational acceleration. gr=9.80665 The gravitational acceleration radially towards the center (m/s^2). gr_min=0 The minimum gravitational acceleration. gr_max=300 The maximum gravitational acceleration. d=1 The distance below the surface of the ramp the radial sink is located-projected perpendicular to the ramp surface (m) d_min=0 The minimum distance radial sink is located. d_max=10 The maximum distance the radial sink is located. uk=0.38 The default coefficient of friction. uk_min=0 The minimum coefficient of friction. uk_max=1 The maximum coefficient of friction. phi=0 The angle the ball is rotated with respect to zero point-since the ball is symmetrical this is not evident (rad). phi_min=0 The minimum angle allowed. phi_max=6.28318531 The maximum angle allowed. AVO = 0.0 The initial angular velocity of ball (rad/s). dAV0 = 0.0 The initial angular acceleration of the ball (rad/s^2). A-57
  • 129.
    ball_radial_factor=1.0 Coefficients in the equations of motion. Do not change. sled_radial_factor=1.0 Coefficients in the equations of motion. Do not change. [BucketBallsExperiment] MaxBalls=15 The Maximum number of balls allowed. X0=0 The initial x position of a ball (m). X0_min=-1000000 The minimum x coordinate allowed. Must be inside the walls. X0_max=1000000 The maximum x corrdinate allowe. Must be inside the walls. Y0=0 The initial y coordinate of the ball (m). Y0_min=-1000000 The minimum y coordinate allowed. Must be inside the walls. Y0_max=1000000 The maximum y coordinate allowed. Must be inside the walls. V0=0 The initial velocity of ball (m/s). V0_min=-300000000 The minimum velocity of ball. V0_max=300000000 The maximum velocity of ball. vmin=0.000001 The minimum velocity allowed for the ball. Beta=0 The initial angle of velocity. A 0 radian angle is with respect to the positive x- axis, moving counterclockwise through the quadrants from 0-2Pi radians. Beta_min=0 The minimum angle of velocity. Beta_max=6.28318531 The maximum angle of velocity. Width=20 The width of the table area bordered by the walls (m). Must be greater than zero. Width_min=1 The minimum width of the work area. Width_max=10000 The maximum width of the work area. Height=20 The height of the table area bordered by the walls (m). Must be greater than zero. Height_min=1 The minimum height of the work area. Height_max=10000 The maximum height of the work area. Fi=0 The initial force applied to ball (N). Fi_min=0 The minimum force allowed. Fi_max=50 The maximum force allowed. phi=0.0 The initial angle of applied force. A 0 radian angle is with respect to the positive x-axis, moving counterclockwise through the quadrants from 0-2Pi radians. phi_min=0 The minimum angle of applied force. phi_max=6.28318531 The maximum angle of applied force. surface_material=wood The material of the surface. Must be one listed in materials section. ball_material=metal The material of the balls. Must be one listed in the materials section. MaxBall1D=3 The maximum number of balls allowed for 1-d motion. Otherwise default 2-d. gx=9.80665 The gravitational acceleration along the x axis (m/s^2). gx_min=0 The minimum gravitational acceleration. gx_max=300 The maximum gravitational acceleration. gy=9.80665 The gravitational acceleration along the y axis (m/s^2). gy_min=0 The minimum gravitational acceleration. gy_max=300 The maximum gravitational acceleration. A-58
  • 130.
    g=9.80665 The gravitational acceleration into the screen (m/s^2). This is what is holding the ball on the surface. Graphic is not shown. g_min=0 The minimum value for gravitational acceleration into the screen. g_max=300 The maximum value for gravitational acceleration into the screen. uk=0.38 Default coefficient of friction. uk_min=0 The minimum value for coefficient of friction. uk_max=5 The maximum value for coefficient of friction. k=1 The default coefficient of elasticity. k_min=0 The minimum coefficient of elasticity. Totally inelastic. k_max=1 The maximum coefficient of elasticity. Totally elastic. b1_m=10 The mass for ball 1 (kg). b1_r=0.5 The radius for ball 1 (m). b1_x=0 The x coordinate for ball 1 (m). b1_y=0 The y coordinate for ball 1. b1_vx=0 The x velocity for ball 1 (m/s^2). b1_vy=0 The y velocity for ball 1. b1_F=0 Indicates if force is attached to ball 1. 1=yes. 0=no. Only one force can be applied to one of the balls at a time. b2_m=10 The mass for ball 2. b2_r=0.5 The radius for ball 2. b2_x=0 The x coordinate for ball 2. b2_y=0 The y coordinate for ball 2. b2_vx=0 The x velocity for ball 2. b2_vy=0 The y velocity for ball 2. b2_F=0 Indicates if force is attached to ball 2. 1=yes. 0=no. Only one force to one ball at time. b3_m=10 The mass for ball 3. b3_r=0.5 The radius for ball 3. b3_x=0 The x coordinate for ball 3. b3_y=0 The y coordinate for ball 3. b3_vx=0 The x velocity for ball 3. b3_vy=0 The y velocity for ball 3. b3_F=0 Indicates if force is attached to ball 3. 1=yes. 0=no. Only one force to one ball at time. b4_m=10 The mass for ball 4. b4_r=0.5 The radius for ball 4. b4_x=0 The x coordinate for ball 4. b4_y=0 The y coordinate for ball 4. b4_vx=0 The x velocity for ball 4. b4_vy=0 The y velocity for ball 4. b4_F=0 Indicates if force is attached to ball 4. 1=yes. 0=no. Only one force to one ball at time. b5_m=10 The mass for ball 5. b5_r=0.5 The radius for ball 5. b5_x=0 The x coordinate for ball 5. b5_y=0 The y coordinate for ball 5. b5_vx=0 The x velocity for ball 5. b5_vy=0 The y velocity for ball 5. b5_F=0 Indicates if force is attached to ball 5. 1=yes. 0=no. Only one force to one ball A-59
  • 131.
    at time. b6_m=10 The mass for ball 6. b6_r=0.5 The radius for ball 6. b6_x=0 The x coordinate for ball 6. b6_y=0 The y coordinate for ball 6. b6_vx=0 The x velocity for ball 6. b6_vy=0 The y velocity for ball 6. b6_F=0 Indicates if force is attached to ball 6. 1=yes. 0=no. Only one force to one ball at time. b7_m=10 The mass for ball 7. b7_r=0.5 The radius for ball 7. b7_x=0 The x coordinate for ball 7. b7_y=0 The y coordinate for ball 7. b7_vx=0 The x velocity for ball 7. b7_vy=0 The y velocity for ball 7. b7_F=0 Indicates if force is attached to ball 7. 1=yes. 0=no. Only one force to one ball at time. b8_m=10 The mass for ball 8. b8_r=0.5 The radius for ball 8. b8_x=0 The x coordinate for ball 8. b8_y=0 The y coordinate for ball 8. b8_vx=0 The x velocity for ball 8. b8_vy=0 The y velocity for ball 8. b8_F=0 Indicates if force is attached to ball 8. 1=yes. 0=no. Only one force to one ball at time. b9_m=10 The mass for ball 9. b9_r=0.5 The radius for ball 9. b9_x=0 The x coordinate for ball 9. b9_y=0 The y coordinate for ball 9. b9_vx=0 The x velocity for ball 9. b9_vy=0 The y velocity for ball 9. b9_F=0 Indicates if force is attached to ball 9. 1=yes. 0=no. Only one force to one ball at time. b10_m=10 The mass for ball 10. b10_r=0.5 The radius for ball 10. b10_x=0 The x coordinate for ball 10. b10_y=0 The y coordinate for ball 10. b10_vx=0 The x velocity for ball 10. b10_vy=0 The y velocity for ball 10. b10_F=0 Indicates if force is attached to ball 10. 1=yes. 0=no. Only one force to one ball at time. b11_m=10 The mass for ball 11. b11_r=0.5 The radius for ball 11. b11_x=0 The x coordinate for ball 11. b11_y=0 The y coordinate for ball 11. b11_vx=0 The x velocity for ball 11. b11_vy=0 The y velocity for ball 11. b11_F=0 Indicates if force is attached to ball 11. 1=yes. 0=no. Only one force to one ball at time. A-60
  • 132.
    b12_m=10 The mass for ball 12. b12_r=0.5 The radius for ball 12. b12_x=0 The x coordinate for ball 12. b12_y=0 The y coordinate for ball 12. b12_vx=0 The x velocity for ball 12. b12_vy=0 The y velocity for ball 12. b12_F=0 Indicates if force is attached to ball 12. 1=yes. 0=no. Only one force to one ball at time. b13_m=10 The mass for ball 13. b13_r=0.5 The radius for ball 13. b13_x=0 The x coordinate for ball 13. b13_y=0 The y coordinate for ball 13. b13_vx=0 The x velocity for ball 13. b13_vy=0 The y velocity for ball 13. b13_F=0 Indicates if force is attached to ball 13. 1=yes. 0=no. Only one force to one ball at time. b14_m=10 The mass for ball 14. b14_r=0.5 The radius for ball 14. b14_x=0 The x coordinate for ball 14. b14_y=0 The y coordinate for ball 14. b14_vx=0 The x velocity for ball 14. b14_vy=0 The y velocity for ball 14. b14_F=0 Indicates if force is attached to ball 14. 1=yes. 0=no. Only one force to one ball at time. b15_m=10 The mass for ball 15. b15_r=0.5 The radius for ball 15. b15_x=0 The x coordinate for ball 15. b15_y=0 The y coordinate for ball 15. b15_vx=0 The x velocity for ball 15. b15_vy=0 The y velocity for ball 15. b15_F=0 Indicates if force is attached to ball 15. 1=yes. 0=no. Only one force to one ball at time. [RodExperiment] DividePoints=20 The number of sections to divide the rod into for calculations. TestPoints = 10 The number of sections to test on the rod out of the total number of divided sections. g=9.80665 The value of the gravitational constant for rod experiment (m/s^2). g_min=0 The minimum value for the gravitational constant. g_max=300 The maximum value for the gravitational constant. [PlanetExperiment] sun_mass=1.98892e30 The mass of the sun (kg). sun_mass_min=1e25 The minimum mass of sun. sun_mass_max=1e45 The maximum mass of sun. sun_spin=0.04 The amount of spin for the sun graphic. time_min=0 The minimum date allowed in the planetary simulation. Year=0. time_max=4000 The maximum date allowed in the planetary simulation. Year=4000. CalculateAll=1 Calculate all of the data for each planet. 1=yes.0=no. Use 0 for slower computers to speed up computations. A-61
  • 133.
    a=1e10 The semi-major axis default (m). a_min=1e9 The minimum semi-major axis. a_max=1e14 The maximum semi-major axis. E=.1 The default eccentricity. E_min=0 The minimum eccentricity. E_max=1.0 The maximum eccentricity. mass=1e6 The default mass of planet (kg). mass_min=1e6 The minimum mass of planet. mass_max=1e45 The maximum mass of planet. inclination=0 The inclination of the orbit with respect to the Earth-Sun plane (degrees). inclination_min=0 The minimum inclination. inclination_max=180 The maximum inclination. X0=0 The initial starting position x coordinate (m). X0_min=-1e15 The minimum x coordinate. X0_max=1e15 The maximum x coordinate. Y0=0 The initial starting position y coordinate (m). Y0_min=-1e15 The minimum y coordinate. Y0_max=1e15 The maximum y coordinate. [PlanetMercury] mass=3.3022e23 The mass of Mercury (kg). a=5.791e10 The semi-major axis of Mercury (m). E=.20563 The eccentricity of the orbit of Mercury. Inclination=7 The inclination of the orbit of Mercury. X0=-0.27856 The initial x coordinate of Mercury-this is from the starting day of Jan 1, 2006 (AU). Y0=-0.36032 The initial y coordinate of Mercury-this is from the starting day of Jan 1, 2006 (AU). Y0_Hemi=- The check for initial position since a circle can have positive y values and negative y values for the same x. The program only places the planet initially according to the x value. = Above x axis. - = Below x axis. spin=0.01705140316 The rotational period based off of 1 being the spin of the Earth. moons= The moons associated with Mercury. None allowed. [PlanetVenus] The mass of Venus (kg). mass=4.869e24 The semi-major axis of Venus (m). a=10.821e10 The eccentricity of the orbit of Venus. E=.0067 The inclination of the orbit of Venus. Inclination=3.39 The initial x coordinate of Venus- this is from the starting day of Jan 1, 2006 (AU). X0=-0.03285 The initial y coordinate of Venus - this is from the starting day of Jan 1, 2006 (AU). Y0=0.71867 The check for initial position since a circle can have positive y values and negative y values. The program only places the planet initially according to the x value. = Above x axis. - = Below x axis. spin=0.004114913062 The rotational period based off of 1 being the spin of the Earth. moons= The moons associated with Venus. None allowed. [PlanetEarth] mass=5.9742e24 The mass of Earth (kg). A-62
  • 134.
    a=14.96e10 The semi-major axis of Earth (m). E=.0167 The eccentricity of the orbit of Earth. Inclination=0 The inclination of the orbit of Earth. X0=-0.17789 The x coordinate of Earth (AU). Y0=0.96713 The y coordinate of Earth. spin=1 The rotational period based off of 1 being the spin of the Earth. moons=Moon The moons associated with Earth. Options: Moon [PlanetMars] mass=6.4191e23 The mass of Mars. a=22.792e10 The semi-major axis of Mars. E=.0935 The eccentricity of the orbit of Mars. Inclination=1.85 The inclination of the orbit of Mars. X0=0.40626 The initial x coordinate of Mars. Y0=1.47623 The initial y coordinate of Mars. spin=1.00273948427 The rotational period based off of 1 being the spin of the Earth. moons=Deimos,Phobos The moons associated with Mars. Options: Deimos,Phobos [PlanetJupiter] mass=1.8988e27 The mass of Jupiter. a=77.857e10 The semi-major axis of Jupiter. E=.0489 The eccentricity of the orbit of Jupiter. Inclination=1.3 The inclination of the orbit of Jupiter. X0=-4.47847 The initial x coordinate of Jupiter. Y0=-3.08624 The initial y coordinate of Jupiter. Y0_Hemi=- The check for initial position since a circle can have positive y values and negative y values. The program only places the planet initially according to the x value. = Above x axis. - = Below x axis. spin=2.41815733794 The rotational period based off of 1 being the spin of the Earth. moons=Callisto,Europa,Ganymede,Io The moons associated with Jupiter. Options: Callisto,Europa,Ganymede,Io [PlanetSaturn] The mass of Saturn. mass=5.685e26 The semi-major axis of Saturn. a=143.353e10 The eccentricity of the orbit of Saturn. E=.0565 The inclination of the orbit of Saturn. Inclination=2.49 The initial x coordinate of Saturn. X0=-5.46407 The initial y coordinate of Saturn. Y0=7.2853 The check for initial position since a circle can have positive y values and negative y values. The program only places the planet initially according to the x value. = Above x axis. - = Below x axis. spin=2.25220528566 The rotational period based off of 1 being the spin of the Earth. moons=Enceladus,Iapetus,Mimas,Titan The moons associated with Saturn. Options:Enceladus,Iapetus,Mimas,Titan [PlanetUranus] mass=8.6625e25 The mass of Uranus. a=287.246e10 The semi-major axis of Uranus. E=.0457 The eccentricity of the orbit of Uranus. Inclination=.77 The inclination of the orbit of Uranus. X0=18.8727 The initial x coordinate of Uranus. Y0=-6.83659 The initial y coordinate of Uranus. Y0_Hemi=- The check for initial position since a circle can have positive y values and negative y values. The program only places the planet initially according to the x value. = Above x axis. - = Below x axis. spin=1.39211136956 The rotational period based off of 1 being the spin of the Earth. moons=Titania,Miranda,Oberon The moons associated with Uranus. Options:Titania,Miranda,Oberon A-63
  • 135.
    [PlanetNeptune] mass=1.0278e26 The mass of Neptune. a=449.506e10 The semi-major axis of Neptune. E=.0113 The eccentricity of the orbit of Neptune. Inclination=1.77 The inclination of the orbit of Neptune. X0=22.0093 The initial x coordinate of Neptune. Y0=-20.4713 The initial y coordinate of Neptune. Y0_Hemi=- The check for initial position since a circle can have positive y values and negative y values. The program only places the planet initially according to the x value. = Above x axis. - = Below x axis. spin=1.48975791434 The rotational period based off of 1 being the spin of the Earth. moons=Triton The moons associated with Neptune. Option: Triton [PlanetPluto] mass=1.314e22 The mass of Pluto. a=590.638e10 The semi-major axis of Pluto. E=.2488 The eccentricity of the orbit of Pluto. Inclination=17.15 The inclination of the orbit of Pluto. X0=-3.00077 The initial x coordinate of Pluto. Y0=-30.6266 The initial y coordinate of Pluto. Y0_Hemi=- The check for initial position since a circle can have positive y values and negative y values. The program only places the planet initially according to the x value. = Above x axis. - = Below x axis. spin=0.156568028809 The rotational period based off of 1 being the spin of the Earth. moons=Charon The moons associated with Pluto. Option: Charon [Planet] mass=6e24 The mass of the Planet. a=2 The semi-major axis of the Planet. E=.15 The eccentricity of the Planet. Inclination= The inclination of the orbit of the Planet. X0=-3.00077 The x coordinate of the Planet . moons= The moons associated the Planet. Option: none. [PlanetHalleysComet] mass=1.7e15 The mass of Halley’s Comet. a=268.379E+10 The semi-major axis Halley’s Comet. E=.9673 The eccentricity of the orbit of Halley’s Comet. Inclination=162.24 The inclination of the orbit of Halley’s Comet. X0=28.04863505 The x coordinate of Halley’s Comet. moons= The moons associated with Halley’s Comet. None allowed. [MoonMoon] Mass=7.3349e22 The mass of the Moon (kg). E=.0549 The eccentricity of the orbit of the Moon. Inclination=5.145 The inclination of the orbit of the Moon. R=1.74e6 The radius of the Moon (m) a=3.844e8 The semi-major axis of the orbit of the Moon. X0=-.17697 The initial x coordinate of the Moon (AU). Y0=.96490 The initial y coordinate of the Moon (AU). [MoonDeimos] Mass=5e11 The mass of Deimos (kg). E=0.0 The eccentricity of the orbit of Deimos. Inclination=1.8 The inclination of the orbit of Deimos. R=4e3 The radius of Deimos (m). A-64
  • 136.
    a=2.3495e7 The semi-major axis of the orbit of Deimos. X0=.40626 The initial x coordinate of Deimos (AU). Y0=1.47607 The initial y coordinate of the Deimos (AU). OrbitReset=.05 The number of years to elapse before the orbit resets to the original initial position due to the multi-body interactions. [MoonPhobos] Mass=1.05e16 The mass of Phobos (kg). E=.01 The eccentricity of Phobos. Inclination=1 The inclination of the orbit of Phobos. R=6e3 The radius of Phobos (m) a=9.378e6 The semi-major axis of the orbit of Phobos. X0=.40620 The initial x coordinate of Phobos (AU). Y0=1.47622 The initial y coordinate of Phobos (AU). OrbitReset=.05 The number of years to elapse before the orbit resets to the original initial position due to the multi-body interactions. [MoonCallisto] Mass=1.076e23 The mass of Callisto (kg). E=.007 The eccentricity of Callisto. Inclination=.51 The inclination of the orbit of Callisto. R=2.4e6 The radius of Callisto (m) a=1.883e9 The semi-major axis of the orbit of Callisto. X0=-4.49089 The initial x coordinate of Callisto (AU). Y0=-3.08874 The initial y coordinate of Callisto (AU). Y0_Hemi=- The check for initial position since a circle can have positive y values and negative y values. + = Above x axis. - = Below x axis. OrbitReset=10 The number of years to elapse before the orbit resets to the original initial position due to the multi-body interactions. [MoonEuropa] Mass=4.8e22 The mass of Europa (kg). E=.009 The eccentricity of Europa. Inclination=.47 The inclination of the orbit of Europa. R=1.569e6 The radius of Europa (m) a=6.709e8 The semi-major axis of the orbit of Europa. X0=-4.47986 The initial x coordinate of Europa (AU). Y0=-3.09054 The initial y coordinate of Europa (AU). Y0_Hemi=- The check for initial position since a circle can have positive y values and negative y values. + = Above x axis. - = Below x axis. OrbitReset=10 The number of years to elapse before the orbit resets to the original initial position due to the multi-body interactions. [MoonGanymede] Mass=1.482e23 The mass of Ganymede (kg). E=.0015 The eccentricity of Ganymede. Inclination=.21 The inclination of the orbit of Ganymede. R=2.631e6 The radius of Ganymede (m) a=1.07e9 The semi-major axis of the orbit of Ganymede. X0=-4.47229 The initial x coordinate of Ganymede (AU). Y0=-3.08984 The initial y coordinate of Ganymede (AU). Y0_Hemi=- The check for initial position since a circle can have positive y values and negative y values. + = Above x axis. - = Below x axis. OrbitReset=10 The number of years to elapse before the orbit resets to the original initial position due to the multi-body interactions. A-65
  • 137.
    [MoonIo] Mass=8.93e22 The mass of Io (kg). E=.004 The eccentricity of Io. Inclination=.04 The inclination of the orbit of Io. R=1.818e6 The radius of Io (m) a=4.216e8 The semi-major axis of the orbit of Io. X0=-4.47805 The initial x coordinate of Io (AU). Y0=-3.08902 The initial y coordinate of Io (AU). Y0_Hemi=- The check for initial position since a circle can have positive y values and negative y values. + = Above x axis. - = Below x axis. OrbitReset=10 The number of years to elapse before the orbit resets to the original initial position due to the multi-body interactions. [MoonEnceladus] Mass=8.4e19 The mass of Enceladus (kg). E=.00452 The eccentricity of Enceladus. Inclination=0 The inclination of the orbit of Enceladus. R=2.5e5 The radius of Enceladus (m) a=2.3804e8 The semi-major axis of the orbit of Enceladus. X0=-5.46372 The initial x coordinate of Enceladus (AU). Y0=7.28666 The initial y coordinate of Enceladus (AU). OrbitReset=10 The number of years to elapse before the orbit resets to the original initial position due to the multi-body interactions. [MoonIapetus] Mass=1.88e21 The mass of Iapetus (kg). E=.028 The eccentricity of Iapetus. Inclination=7.52 The inclination of the orbit of Iapetus. R=7.30e5 The radius of Iapetus (m) a=3.5608e9 The semi-major axis of the orbit of Iapetus. X0=-5.46279 The initial x coordinate of Iapetus (AU). Y0=7.30821 The initial y coordinate of Iapetus (AU). OrbitReset=10 The number of years to elapse before the orbit resets to the original initial position due to the multi-body interactions. [MoonMimas] Mass=3.8e19 The mass of Mimas (kg). E=.0202 The eccentricity of Mimas. Inclination=1.53 The inclination of the orbit of Mimas. R=1.96e5 The radius of Mimas (m) a=1.8554e8 The semi-major axis of the orbit of Mimas. X0=-5.46410 The initial x coordinate of Mimas (AU). Y0=7.28642 The initial y coordinate of Mimas (AU). OrbitReset=10 The number of years to elapse before the orbit resets to the original initial position due to the multi-body interactions. [MoonTitan] Mass=1.35e23 The mass of Titan (kg). E=.0292 The eccentricity of Titan. Inclination=.33 The inclination of the orbit of Titan. R=2.575e6 The radius of Titan (m) a=1.22186e9 The semi-major axis of the orbit of Titan. X0=-5.46105 The initial x coordinate of Titan (AU). Y0=7.27859 The initial y coordinate of Titan (AU). OrbitReset=10 The number of years to elapse before the orbit resets to the original initial position due to the multi-body interactions. A-66
  • 138.
    [MoonTitania] Mass=3.52e21 The mass of Titania (kg). E=.0022 The eccentricity of Titania. Inclination=.14 The inclination of the orbit of Titania. R=7.9e5 The radius of Titania (m) a=4.38e8 The semi-major axis of the orbit of Titania. X0=18.8755 The initial x coordinate of Titania (AU). Y0=-6.83724 The initial y coordinate of Titania (AU). Y0_Hemi=- The check for initial position since a circle can have positive y values and negative y values. + = Above x axis. - = Below x axis. OrbitReset=10 The number of years to elapse before the orbit resets to the original initial position due to the multi-body interactions. [MoonMiranda] Mass=6.33e19 The mass of Miranda (kg). E=.003 The eccentricity of Miranda. Inclination=4.22 The inclination of the orbit of Miranda. R=2.36e5 The radius of Miranda (m) a=1.3e8 The semi-major axis of the orbit of Miranda. X0=18.8729 The initial x coordinate of Miranda (AU). Y0=-6.83648 The initial y coordinate of Miranda (AU). Y0_Hemi=- The check for initial position since a circle can have positive y values and negative y values. + = Above x axis. - = Below x axis. OrbitReset=10 The number of years to elapse before the orbit resets to the original initial position due to the multi-body interactions. [MoonOberon] Mass=3.01e21 The mass of Oberon (kg). E=.0008 The eccentricity of Oberon. Inclination=.1 The inclination of the orbit of Oberon. R=7.63e5 The radius of Oberon (m) a=5.834e8 The semi-major axis of the orbit of Oberon. X0=18.8721 The initial x coordinate of Oberon (AU). Y0=-6.83700 The initial y coordinate of Oberon (AU). Y0_Hemi=- The check for initial position since a circle can have positive y values and negative y values. + = Above x axis. - = Below x axis. OrbitReset=10 The number of years to elapse before the orbit resets to the original initial position due to the multi-body interactions. [MoonTriton] Mass=2.14e22 The mass of Triton (kg). E=.000016 The eccentricity of Triton. Inclination=157.345 The inclination of the orbit of Triton. R=1.352e6 The radius of Triton (m) a=3.55e8 The semi-major axis of the orbit of Triton. X0=22.0071 The initial x coordinate of Triton (AU). Y0=-20.4712 The initial y coordinate of Triton (AU). Y0_Hemi=- The check for initial position since a circle can have positive y values and negative y values. + = Above x axis. - = Below x axis. OrbitReset=10 The number of years to elapse before the orbit resets to the original initial position due to the multi-body interactions. [MoonCharon] Mass=1.62e21 The mass of Charon (kg). E=.0003 The eccentricity of Charon. A-67
  • 139.
    Inclination=96.16 The inclination of the orbit of Charon. R=5.93e5 The radius of Charon (m) a=1.9571e8 The semi-major axis of the orbit of Charon. X0=-3.00089 The initial x coordinate of Charon (AU). Y0=-30.6267 The initial y coordinate of Charon (AU). Y0_Hemi=- The check for initial position since a circle can have positive y values and negative y values. + = Above x axis. - = Below x axis. OrbitReset=10 The number of years to elapse before the orbit resets to the original initial position due to the multi-body interactions. [FreeMotionUniformGravityBall] h=.01 The Runge Kutta step size for free motion uniform gravity experiments with ball. hmin=.00001 The minimum step size allowed. equationTimer_mSec=100 . TOL=.00001 The accuracy of the values being approximated in Runge Kutta. [FreeMotionUniformGravitySled] h=.01 The Runge Kutta step size for free motion uniform gravity experiments with sled. hmin=.00001 The minimum step size allowed. equationTimer_mSec=100 TOL=.00001 The accuracy of the values being approximated in Runge Kutta. [FreeMotionRadialGravityBall] h=.01 The Runge Kutta step size for free motion radial gravity experiments with ball. hmin=.00001 The minimum step size allowed. equationTimer_mSec=100 TOL=.00001 The accuracy of the values being approximated in Runge Kutta. [FreeMotionRadialGravitySled] h=.01 The Runge Kutta step size for free motion radial gravity experiments with sled. hmin=.00001 The minimum step size allowed. equationTimer_mSec=100 TOl=.00001 The accuracy of the values being approximated in Runge Kutta. [RampUniformGravityBall] h=.01 The Runge Kutta step size for ramp motion uniform gravity experiments with ball. hmin=.00001 The minimum step size allowed. equationTimer_mSec=100 TOL=.00001 The accuracy of the values being approximated in Runge Kutta. TOLMax=1 The maximum allowed TOL value before it just accepts the value. [RampUniformGravitySled] h=.01 The Runge Kutta step size for ramp motion uniform gravity experiments with sled. hmin=.00001 The minimum step size allowed. equationTimer_mSec=100 TOL=.00001 The accuracy of the values being approximated in Runge Kutta. TOLMax=.75 The maximum allowed TOL value before it just accepts the value. [RampRadialGravityBall] h=.01 The Runge Kutta step size for ramp motion radial gravity experiments with ball. hmin=.00001 The minimum step size allowed. A-68
  • 140.
    equationTimer_mSec=100 TOL=.00001 The accuracy of the values being approximated in Runge Kutta. TOLMax=1 The maximum allowed TOL value before it just accepts the value. [RampRadialGravitySled] h=.01 The Runge Kutta step size for ramp motion radial gravity experiments with sled. hmin=.00001 The minimum step size allowed. equationTimer_mSec=100 TOL=.007 The accuracy of the values being approximated in Runge Kutta. TOLMax=.1 The maximum allowed TOL value before it just accepts the value. [BucketBalls] h=.001 The step size for the Bucket of Balls experiment. hmin=.0000001 The minimum step size allowed. equationTimer_mSec=100 TOL=.00001 Not used. [FallingRod] h=.01 The Runge Kutta step size for the falling rod experiment. hmin=.00001 The minimum step size allowed. equationTimer_mSec=100 TOL=.00001 The accuracy of the values being approximated in Runge Kutta. [Planets] h=86400 The maximum step size for Runge Kutta to use in planetary motion. hmin=.000001 The minimum step sized allowed in Runge Kutta. equationTimer_mSec=75 TOL=1.0 The accuracy of the values being approximated in Runge Kutta. X0_Diff=.01 The accuracy of finding the initial position. [Administrator] Phi0=0 The initial angular velocity of the ball in ramp experiment. Phi0_min=0 The minimum initial angular velocity. Phi0_max=10 The maximum initial angular velocity. [Misc] Cp_ball=.5 The drag coefficient for a generic ball. Cp_sled=1 The drag coefficient for a generic block. alpha=.000155 The linear air resistance constant. row=1.2250 The default air density. Preset Experiments Located on the clipboard in the mechanics stockroom is a set of 15 preset experiments listed by title. If allowed by the instructor, students can select one of these experiments and, upon returning to the laboratory, the selected experiment will be automatically set up and running. A preset experiment can also be used for assignments so a student can accept an assignment with the experiment already set up for them. Preset experiments are intended to provide flexibility for the instructor so the mechanics simulation can be adapted to the level of the class or the individual teaching style of the instructor. Several experiments have already been defined and are installed with the software. This section describes how these files can be modified. A-69
  • 141.
    Each preset experimentis defined using an INI file. For the preset experiments on the clipboard, these files have the name Experimentn.ini, where n is a number between 1 and 15 and represents experiments 1 through 15 on the clipboard. These files are located in the Presets directory in the PhysicsM directory. For the preset experiments used in assignments, these files must be located in the Assignments/Mechanics directory and can have any name but must have the extension “.ini”. Information on how to use preset experiments in assignments is given in the “Mechanics Assignments” section. Note that in client installations, any modified preset experiments for the clipboard must be modified for each client installation. Given subsequently is a description of a preset experiment INI file and the variables that are used to define an experiment. Before reviewing the INI file information, here are some important points to keep in mind: (a) All of the variables described have default values, so variables may be left blank or not used at all. An experiment can be set up or defined to any degree desired by the instructor. (b) Some variables are mutually exclusive; that is, the use of one variable may mean another variable cannot be used. Some error checking exists for such situations, but the error checking is not comprehensive. The following two tables show the INI variables used in preset experiments. The first lists all the variables that can be used and their allowed values. Default values are given in red. The second is an example of a preset experiment for a balanced force experiment to show how the variables can be used. Complete Mechanics Preset Experiment INI Variable List [Title] title=Free Motion Radial Gravity – Ball The title for the lab. [General] tray= bucketballs,ramp,air,sliding, rolling, Sets which items are in the tray. (Case sensitive). Remember some are gUp, gDown, gRight, gLeft, gRadial, rocket, mutually exclusive. They must be placed in this order. plunger, mercury, venus, earth, mars, juptier, saturn, uranus, neptune, pluto, comet motion= ramp,air,sliding, rolling, gUp, Sets which items are in the motion experiment area. (Case sensitive). Items gDown, gRight, gLeft, gRadial, rocket, must be placed in order as they appear in the options. plunger, mercury, venus, earth, mars, juptier, saturn, uranus, neptune, pluto, comet startLoc=motion (or stock, lab) Starting location for the preset. gridx1=-12 The initial coordinates for the grid. X1 is for the negative x values. gridx2=12 x2 on the positive x values. gridy1=-7 Grid y coordinates will be ignored unless we are in free motion (they will always be scaled to match the x coordinates). y1 is the negative y values. gridy2=7 y2 is the positive y values. coordinate=polar (or Cartesian, The current coordinate system displayed. cartesianTotal, polarTotal) labbook=1 The labbook is open or closed. 1=open, 0=closed acceleration=1 (or 0.01, 0.05, 0.1, 0.5, 1, 5, The time acceleration factor to use. Must equal one of the options in the INI file 10, above. 50, 100, 500) A-70
  • 142.
    recordData=a1, b1, a2,b2, a3, b3, a4, b4, The list of cells from the data output table to record in the labbook. The rows a5, b5 are labeled a and b from top to bottom and the columns are numbered 1-5 from left to right. [Units] time=s (or min,hr, day, yr) The time units used. position=m (or cm, km, in, ft, yrd, mi, AU, The position units used. lya) mass=kg (or g, Mg, oz, lbs, T, slg) The mass units used. force=N (or dyn, PF, TF) The force units used. [planet] view=0 (or 1, 2, 3) The view to go to. Options 0 (solar system top), 1 (solar system parallel view), 2 (planet top), 3 (planet inside) size=0 (or 1) Sets the size of the planets. 1=big (enlarged), 0=small (to scale) planet=earth (or any planet) Selected Planet. trackMoon=moon Moon to track. Used ONLY if view = 2 or 3 AND it's planet is specified angle=0 ( between 0 – 360) Angle of view for inside view. date=0 Tells how many days from day 0 year 2006. It can be positive or negative. sun_mass=1.9819e30 Mass of the sun. [ball] m=100 The mass of the ball. r=1.16 The radius of the ball. vx=-5 The velocity in x-direction (ignored for ramp). vy=.2 The velocity in y-direction (ignored for ramp). v=-2 The total velocity - used only for when ball is placed DIRECTLY in motion area on ramp (ie not on tray) x=-1 The initial x coordinate. y=2 The initial y coordinate. s=10 The position from the bottom of the ramp (x and y coordinates are ignored). material=rubber The material of ball. Must match materials list in INI file. sphere=thin The type of sphere to use. Options: solid or thin. This only makes a difference for ramp motion for the rotational inertia. [sled] m=100 The mass of the sled. l=10 The length of the sled. h=25 The height of the sled. w=30 The width of the sled. vx=-5 The velocity of the sled in the x direction. vy=.2 The velocity of the sled in the y direction. v=-2 The velocity of the sled along the ramp. x=1 The initial x coordinante of the sled. y=2 The initial y coordinante of the sled. s=10 The initial position along the ramp from the bottom. material=rubber The material of the sled. Must be one of the options in INI file. [rod] theta=.00314 The initial angle of the rod. Angle from 0-1.57079633 r=10 The radius of the rod. l=20 The length of the rod. tensile=689000 The tensile strength of the rod. Units in pascals. density=1000 The density of the material of the rod. material=aluminum This will set tensile and density, if tensile and density variables are missing from the preset. Must match material in INI file. A-71
  • 143.
    [bucketballs] surface_material=metal The surface material of the table. Must match a material in the INI file. ball_material=plastic The material of the ball. Must match material in the INI file. k=1 The elasticity coefficient. Between 0-1. type=1D The type of experiment being performed. Options: 1D or 2D. # is a number between 1-15. Each ball will have the following information if you want to specify it in a preset. b#_m=10 The mass of ball #. b#_r=0.5 The radius of ball #. b#_x=0 The initial x coordinante of ball #. Ignored if not in motion area. b#_y=0 The initial y coordinante of ball #. Ignored if not in motion area. b#_vx=0 The initial velcosity in the x direction of ball #. b#_vy=0 The initial velocity in the y direction of ball #. b#_motion=1 This indicates if ball is in the motion area. 0=no 1=yes b#_F=1 This indicates if the force is attached to this ball. Can only be attached to one ball at a time. Ball must be in motion area. 0=no 1=attached b#_Selected=0 Sets if this ball is currently being tracked for display. 0=No. 1=Tracked. [ramp] theta = .33 The angle of the ramp from the x-axis. Options between 0 – 1.570796 rad. L=100 The length of the ramp. material=wood The material of the ramp. [air] P=101325 The pressure of the location of experiment (Pa). This sets the air resistance. Z=5 The altitude of location of experiment (m). [sliding] uk=.23 The coefficient of friction for sliding and rolling with slipping. [rolling] uk=.23 The coefficient of friction for pure rolling without slipping. [gUp] g=9.8 The gravitational acceleration in the up direction (m/s^2). [gDown] g=9.8 The gravitational acceleration in the down direction. [gLeft] g=9.8 The gravitational acceleration in the left direction. [gRight] g=9.8 The gravitational acceleration in the right direction. [gRadial] g=9.8 The gravitational acceleration in the radial direction. d=.5 The distance below the surface of the ramp the radial sink is located-projected perpendicular to the ramp surface (m) [rocket] Fi=1000 The magnitude of force. time=-1 The time of applied force. -1=continuous. Positive values set the number of seconds the rocket is applied. angle=.78 The angle of applied force. Overwrittien if there is a ramp chosen at a defined A-72
  • 144.
    angle. The forcewill be applied at that angle. The sled can only be hit at angles of 0, pi/2, pi, 3*pi/2. [plunger] Fi=10000 The magnitude of force. angle=.78 The angle of the applied force. Overwritten with sled or ramp. [mercury] hideMoon= Sets which moons to NOT display. Options: none. [venus] hideMoon= Sets which moons to NOT display. Options: none. [earth] hideMoon= Sets which moons to NOT display. Options: moon. [mars] hideMoon= Sets which moons to NOT display. Options: Deimos, Phobos. [jupiter] hideMoon=io,europa Sets which moons to NOT display. Options: Callisto, Europa, Ganymede, Io. [saturn] hideMoon= Sets which moons to NOT display. Options: Enceladus, Iapetus, Mimas, Titan. [uranus] hideMoon= Sets which moons to NOT display. Options: Titania, Miranda, Oberon. [neptune] hideMoon= Sets which moons to NOT display. Options: Triton. [pluto] hideMoon= Sets which moons to NOT display. Options: Charon. [comet] Example Mechanics Preset Experiment [Title] title=Balanced Forces The title for the experiment. [General] tray=rolling The items in the tray. motion=ramp, ball, gDown, rocket The items in the motion area. startLoc=motion The current viewing location. gridx1=10 The setup for the grid axis. gridx2=0 gridy1=-7 gridy2=7 coordinate=Polar The current coordinates. labbook=1 The labbook is opened. acceleration=1 The time acceleration value. recordData=a1, b1, a2, b2, a3 The data to record in the labbook. [Units] The current units. time=sec position=m mass=kg force=N [ball] m=100 The mass of the ball. r=1.5 The radius of the ball. vx=0 The initial x velocity of the ball. A-73
  • 145.
    vy=0 The initial y velocity of the ball. v=0 The initial total velocity of the ball. x=0 The initial x coordinate. y=0 The initial y coordinate. s=50 The initial position on the ramp from the bottom. material=wood The material of the ball. sphere=solid The type of ball. [ramp] theta = 1.570796 The angle of the ramp. l=100 The length of the ramp. material=cement The material of the ramp. [rolling] k=.38 The coefficient of friction. [gDown] g=9.80665 The gravitational acceleration down. [rocket] Fi=849.3 The magnitude of force. time=-1 The time of applied force. angle=3.141592654 The angle of applied force. Density INI File The density laboratory allows students the ability to perform realistic density and buoyancy experiments in a controlled environment of their pleasing. Much of the experiments are controlled using the laboratory INI file however, there are presets that will be determined by their own preset INI files. The presets INI are described bleow. The variables contained in the laboratory INI file are explained below. Note that each variable has its own default max/min values. The purpose of providing this information is to grant instructors the ability to change or adjust the density simulation to suit their own needs. Density.ini INI Variables Description [Balance] Required header line. BalDigits=3 The number of decimal places available on the balance. MaxBalance=4.0 The maximum mass that can be weighed on the balance in kg. Balance_Flicker_Max=.000001 The maximum amount that the balance flickers between readings. Balance_Flicker_Time=2.5 The time between each flicker in seconds. [Beaker] Required header line. Beaker_mass_%dev=5 The percent deviation in weight from the set beaker mass. MaxBeakerVol=250 The maximum amount of volume a beaker can hold in mL. Beaker_mass=.100 The set mass for each beaker in g. [Solids] Required header line. Object_mass_%dev=0.1 The percent deviation in weight from the set object mass. radius_min=.015 The minimum radius of the object in meters. A-74
  • 146.
    radius_max=.0172 The maximum radius of the object in meters. VSolidmindensity=0.1 The minimum density of a random virtual solid (g/mL). VSolidmaxdensity=25 The maximum density of a random virtual solid (g/mL). [Fluids] Required header line. VFluidmindensity=0.1 The minimum density of a random virtual fluid (g/mL). VFluidmaxdensity=25 The maximum density of a random virtual fluid (g/mL). VFluidminviscosity=0.000001 The minimum viscosity of a random virtual fluid. VFluidmaxviscosity=25 The maximum viscosity of a random virtual fluid. [Cylinder] Required header line. MaxCylVol=230 The maximum volume fill for the cylinder in mL. radius=.017841 The radius of the graduated cylinder in meters. FillVariationMax=4.0 The maximum variation in volume of the filled cylinder in mL. GlassError_%Dev=0.25 The percent deviation in glassware error. [Timer] Required header line. TimeDigits=2 Number of decimil places shown on the timer. Solids.ini INI Variables Description [Aluminum] Required header line. Solid=Aluminum The name of the solid. Density=2.643 The density of the solid (g/mL). Color=Aluminum The color of the solid. Explodes= What liquids the solid explodes in. [Brass] Required header line. Solid=Brass The name of the solid. Density=8.553 The density of the solid (g/mL). Color=Brass The color of the solid. Explodes= What liquids the solid explodes in. [Brick] Required header line. Solid=Brick The name of the solid. Density=1.922 The density of the solid (g/mL). Color=Brick The color of the solid. Explodes= What liquids the solid explodes in. [Bronze] Required header line. Solid=Bronze The name of the solid. Density=8.8 The density of the solid (g/mL). Color=Bronze The color of the solid. Explodes= What liquids the solid explodes in. [Carbon] Required header line. A-75
  • 147.
    Solid=Carbon The name of the solid. Density=2.163 The density of the solid (g/mL). Color=Carbon The color of the solid. Explodes= What liquids the solid explodes in. [Cement] Required header line. Solid=Cement The name of the solid. Density=1.509 The density of the solid (g/mL). Color=Cement The color of the solid. Explodes= What liquids the solid explodes in. [Cesium] Required header line. Solid=Cesium The name of the solid. Density=1.879 The density of the solid (g/mL). Color=Cesium The color of the solid. Explodes= Acetone, Alcohol, Ammonia, What liquids the solid explodes in. Bromine, Ethanol, Glycerol, Maple Syrup, Milk, Phenolphthalein, Salt Water, Soda, Water [Cherry Wood] Required header line. Solid=Cherry Wood The name of the solid. Density=.433 The density of the solid (g/mL). Color=Cherry Wood The color of the solid. Explodes= What liquids the solid explodes in. [Chocolate] Required header line. Solid=Chocolate The name of the solid. Density=1.3 The density of the solid (g/mL). Color=Chocolate The color of the solid. Explodes= What liquids the solid explodes in. [Copper] Required header line. Solid=Copper The name of the solid. Density=8.92 The density of the solid (g/mL). Color=Copper The color of the solid. Explodes= What liquids the solid explodes in. [Cork] Required header line. Solid=Cork The name of the solid. Density=.24 The density of the solid (g/mL). Color=Cork The color of the solid. Explodes= What liquids the solid explodes in. [Glass] Required header line. Solid=Glass The name of the solid. Density=2.579 The density of the solid. Color=Glass The color of the solid. Explodes= What liquids the solid explodes in. A-76
  • 148.
    [Gold] Required header line. Solid=Gold The name of the solid. Density=19.32 The density of the solid (g/mL). Color=gold The color of the solid. Explodes= What liquids the solid explodes in. [Granite] Required header line. Solid=Granite The name of the solid. Density=2.691 The density of the solid (g/mL). Color=Granite The color of the solid. Explodes= What liquids the solid explodes in. [Ice] Required header line. Solid=Ice The name of the solid. Density=.897 The density of the solid (g/mL). Color=Ice The color of the solid. Explodes= What liquids the solid explodes in. [Iron] Required header line. Solid=Iron The name of the solid. Density=7.207 The density of the solid (g/mL). Color=Iron The color of the solid. Explodes= What liquids the solid explodes in. [Ivory] Required header line. Solid=Ivory The name of the solid. Density=1.842 The density of the solid (g/mL). Color=Ivory The color of the solid. Explodes= What liquids the solid explodes in. [Lead] Required header line. Solid=Lead The name of the solid. Density=11.37 The density of the solid (g/mL). Color=Lead The color of the solid. Explodes= What liquids the solid explodes in. [Limestone] Required header line. Solid=Limestone The name of the solid. Density=2.467 The density of the solid (g/mL). Color=Limestone The color of the solid. Explodes= What liquids the solid explodes in. [Mahogany] Required header line. Solid=Mahogany The name of the solid. Density=.705 The density of the solid (g/mL). Color=Mahogany The color of the solid. Explodes= What liquids the solid explodes in. A-77
  • 149.
    [Nickel] Required header line. Solid=Nickel The name of the solid. Density=8.602 The density of the solid (g/mL). Color=Nickel The color of the solid. Explodes= What liquids the solid explodes in. [Pine Wood] Required header line. Solid=Pine Wood The name of the solid. Density=.65 The density of the solid (g/mL). Color=Pine Wood The color of the solid. Explodes= What liquids the solid explodes in. [Plastic] Required header line. Solid=Plastic The name of the solid. Density=1.00 The density of the solid (g/mL). Color=Plastic The color of the solid. Explodes= What liquids the solid explodes in. [Platinum] Required header line. Solid=Platinum The name of the solid. Density=21.090 The density of the solid (g/mL). Color=Platinum The color of the solid. Explodes= What liquids the solid explodes in. [Red Oak Wood] Required header line. Solid=Red Oak Wood The name of the solid. Density=.673 The density of the solid (g/mL). Color=Red Oak Wood The color of the solid. Explodes= What liquids the solid explodes in. [Rubber] Required header line. Solid=Rubber The name of the solid. Density=1.506 The density of the solid (g/mL). Color=Rubber The color of the solid. Explodes= What liquids the solid explodes in. [Sodium] Required header line. Solid=Sodium The name of the solid. Density=0.968 The density of the solid (g/mL). Color=Silicon The color of the solid. Explodes= Acetone, Alcohol, Ammonia, What liquids the solid explodes in. Bromine, Ethanol, Glycerol, Maple Syrup, Milk, Phenolphthalein, Salt Water, Soda, Water [Silver] Required header line. Solid=Silver The name of the solid. Density=10.490 The density of the solid (g/mL). A-78
  • 150.
    Color=silver The color of the solid. Explodes= What liquids the solid explodes in. [Steel] Required header line. Solid=Steel The name of the solid. Density=7.715 The density of the solid (g/mL). Color=Steel The color of the solid. Explodes= What liquids the solid explodes in. [Sulfur] Required header line. Solid=Sulfur The name of the solid. Density=2.002 The density of the solid (g/mL). Color=Sulfur The color of the solid. Explodes= What liquids the solid explodes in. [Tin] Required header line. Solid=Tin The name of the solid. Density=7.352 The density of the solid (g/mL). Color=Tin The color of the solid. Explodes= What liquids the solid explodes in. [Titanium] Required header line. Solid=Titanium The name of the solid. Density=4.507 The density of the solid (g/mL). Color=Titanium The color of the solid. Explodes= What liquids the solid explodes in. [Tungsten] Required header line. Solid=Tungsten The name of the solid. Density=19.250 The density of the solid (g/mL). Color=Tungsten The color of the solid. Explodes= What liquids the solid explodes in. [Walnut Wood] Required header line. Solid=Walnut Wood The name of the solid. Density=0.593 The density of the solid (g/mL). Color=Walnut Wood The color of the solid. Explodes= What liquids the solid explodes in. [Zinc] Required header line. Solid=Zinc The name of the solid. Density=7.140 The density of the solid (g/mL). Color=Zinc The color of the solid. Explodes= What liquids the solid explodes in. [Virtual Solid A] Required header line. Solid=Virtual Solid A The name of the solid. Density=.312 The density of the solid (g/mL). A-79
  • 151.
    Color=Virtual Yellow The color of the solid. Explodes= What liquids the solid explodes in. [Virtual Solid B] Required header line. Solid=Virtual Solid B The name of the solid. Density=5.362 The density of the solid (g/mL). Color=Virtual Red The color of the solid. Explodes= What liquids the solid explodes in. [Virtual Solid C] Required header line. Solid= Virtual Solid C The name of the solid. Density=14.895 The density of the solid (g/mL). Color=Virtual Blue The color of the solid. Explodes= What liquids the solid explodes in. [Virtual Solid D] Required header line. Solid=Virtual Solid D The name of the solid. Density=10 The density of the solid (g/mL). Color=Virtual Black The color of the solid. Explodes= What liquids the solid explodes in. Colors.ini INI Variables Description [Red] Required header line. color=Bromine The name for red in this program is Bromine. [Clear] Required header line color=clear The name for clear in this program is clear [Dark Yellow] Required header line color=CornSyrup The name for dark yellow in this program is CornSyrup. [Purple] Required header line color=GrapeSoda The name for purple in this program is GrapeSoda [Brown] Required header line Color=MapleSyrup The name for brown in this program is MapleSyrup. [Honey] Required header line Color=Honey The name for honey in this program is Honey. [Silver] Required header line Color=Mercury The name for silver in this program is Mercury. [White] Required header line Color=Milk The name for white in this program is Milk. A-80
  • 152.
    [Dark Brown] Required header line Color=MotorOil The name for dark brown in this program is MotorOil. [Yellow] Required header line Color=OliveOil The name for yellow in this program is OliveOil. [Black] Required header line Color=Tar The name for black in this program is tar. [ClearRed] Required header line Mix=yes This color is a mix of 2 already listed colors. Color=Bromine Color one from above in the mix. Color2=Clear Color two from above in the mix Color2Blend=20 Percent of the second color that makes up the mix. [DarkBrownRed] Required header line Mix=yes This color is a mix of 2 already listed colors. Color=Bromine Color one from above in the mix. Color2=MotorOil Color two from above in the mix Color2Blend=50 Percent of the second color that makes up the mix. [BrownRed] Required header line Mix=yes This color is a mix of 2 already listed colors. Color=Bromine Color one from above in the mix. Color2=MapleSyrup Color two from above in the mix Color2Blend=50 Percent of the second color that makes up the mix. [RedWhite] Required header line Mix=yes This color is a mix of 2 already listed colors. Color=Bromine Color one from above in the mix. Color2=Milk Color two from above in the mix Color2Blend=30 Percent of the second color that makes up the mix. [RedPurple] Required header line Mix=yes This color is a mix of 2 already listed colors. Color=Bromine Color one from above in the mix. Color2=GrapeSoda Color two from above in the mix Color2Blend=50 Percent of the second color that makes up the mix. [ClearDarkBrown] Required header line Mix=yes This color is a mix of 2 already listed colors. Color=MotorOil Color one from above in the mix. Color2=Clear Color two from above in the mix Color2Blend=20 Percent of the second color that makes up the mix. [YellowDarkBrown] Required header line Mix=yes This color is a mix of 2 already listed colors. Color=MotorOil Color one from above in the mix. A-81
  • 153.
    Color2=OliveOil Color two from above in the mix Color2Blend=30 Percent of the second color that makes up the mix. [ClearBrown] Required header line Mix=yes This color is a mix of 2 already listed colors. Color=MapleSyrup Color one from above in the mix. Color2=Clear Color two from above in the mix Color2Blend=20 Percent of the second color that makes up the mix. [ClearWhite] Required header line Mix=yes This color is a mix of 2 already listed colors. Color=Milk Color one from above in the mix. Color2=Clear Color two from above in the mix Color2Blend=20 Percent of the second color that makes up the mix. [ClearYellow] Required header line Mix=yes This color is a mix of 2 already listed colors. Color=OliveOil Color one from above in the mix. Color2=Clear Color two from above in the mix Color2Blend=20 Percent of the second color that makes up the mix. [ClearPurple] Required header line Mix=yes This color is a mix of 2 already listed colors. Color=GrapeSoda Color one from above in the mix. Color2=Clear Color two from above in the mix Color2Blend=20 Percent of the second color that makes up the mix. [PurpleWhite] Required header line Mix=yes This color is a mix of 2 already listed colors. Color=GrapeSoda Color one from above in the mix. Color2=Milk Color two from above in the mix Color2Blend=40 Percent of the second color that makes up the mix. [BrownPurple] Required header line Mix=yes This color is a mix of 2 already listed colors. Color=MapleSyrup Color one from above in the mix. Color2=GrapeSoda Color two from above in the mix Color2Blend=30 Percent of the second color that makes up the mix. [RedYellow] Required header line Mix=yes This color is a mix of 2 already listed colors. Color=Bromine Color one from above in the mix. Color2=OliveOil Color two from above in the mix Color2Blend=30 Percent of the second color that makes up the mix. [BrownWhite] Required header line Mix=Yes This color is a mix of 2 already listed colors. Color=MapleSyrup Color one from above in the mix. A-82
  • 154.
    color2=Milk Color two from above in the mix Color2Blend=35 Percent of the second color that makes up the mix. [YellowBrown] Required header line Mix=yes This color is a mix of 2 already listed colors. Color=CornSyrup Color one from above in the mix. Color2=MotorOil Color two from above in the mix Color2Blend=50 Percent of the second color that makes up the mix. Fluids.ini INI Variables Description [Acetone] Required header line. Solid=Acetone The name of the fluid. Density=0.78458 The density of the fluid (g/mL). Viscosity=.000306 The viscosity of the fluid. Miscible=Alcohol, Ammonia, Bromine, Car Oil, The fluids that the fluid in question is miscible with. Ethanol, Gasoline, Glycerol, Jet Fuel, Maple Syrup, Milk, Olive Oil, Phenolphthalein, Sea Water, Soda, Turpentine, Water Color=clear The color of the fluid. MixColor= clear, clear, clearred, The color of the mixed fluid in the same order as miscibility. cleardarkbrown, clear, clear, clear, clear, clearbrown, clearwhite, clearyellow, clear, clear, clearpurple, clear, clear [Alcohol] Required header line. Fluid= Alcohol The name of the fluid. Density=.78651 The density of the fluid (g/mL). Viscosity=.000544 The viscosity of the fluid. Miscible= Acetone, Ammonia, Bromine, Car The fluids that the fluid in question is miscible with. Oil, Ethanol, Gasoline, Glycerol, Jet Fuel, Maple Syrup, Milk, Olive Oil, Phenolphthalein, Sea Water, Soda, Turpentine, Water Color=clear The color of the fluid. MixColor= clear, clear, clearred, The color of the mixed fluid in the same order as miscibility. cleardarkbrown, clear, clear, clear, clear, clearbrown, clearwhite, clearyellow, clear, clear, clearpurple, clear, clear [Ammonia] Required header line. Fluid= Ammonia The name of the fluid. Density=.82335 The density of the fluid (g/mL). Viscosity=.00000982 The viscosity of the fluid. Bromine, Car Oil, Ethanol, Gasoline, Glycerol, The fluids that the fluid in question is miscible with. Jet Fuel, Maple Syrup, Milk, Olive Oil, Phenolphthalein, Sea Water, Soda, Turpentine, Water Color=clear The color of the fluid. MixColor= clear, clear, clearred, The color of the mixed fluid in the same order as miscibility. cleardarkbrown, clear,clear, clear, clear, A-83
  • 155.
    clearbrown, clearwhite, clearyellow,clear, clear, clearbrown, clear, clear [Bromine] Required header line. Fluid= Bromine The name of the fluid. Density=3.1028 The density of the fluid (g/mL). Viscosity=.00095 The viscosity of the fluid. Miscible= Acetone, Alcohol, Ammonia, Car Oil, The fluids that the fluid in question is miscible with. Ethanol, Gasoline, Glycerol, Jet Fuel, Maple Syrup, Milk, Olive Oil, Phenolphthalein, Sea Water, Soda, Turpentine, Water Color=Red The color of the fluid. MixColor=clearred, clearred, clearred, The color of the mixed fluid in the same order as miscibility. darkbrownred, clearred, clearred, clearred, clearred, brownred, redwhite, redyellow, clearred, clearred, redpurple, clearred, clearred [Car Oil] Required header line. Fluid= Car Oil The name of the fluid. Density=.8913 The density of the fluid (g/mL). Viscosity=.0318 The viscosity of the fluid. Miscible= Acetone, Alcohol, Ammonia, The fluids that the fluid in question is miscible with. Bromine, Ethanol, Gasoline, Glycerol, Jet Fuel, Olive Oil, Phenolphthalein, Turpentine Color=Dark Brown The color of the fluid. MixColor=cleardarkbrown, cleardarkbrown, The color of the mixed fluid in the same order as miscibility. cleardarkbrown, darkbrownred, cleardarkbrown, cleardarkbrown, cleardarkbrown, cleardarkbrown, yellowdarkbrown, cleardarkbrown, cleardarkbrown [Corn Syrup] Required header line. Fluid= Corn Syrup The name of the fluid. Density=1.38 The density of the fluid (g/mL). Viscosity=7 The viscosity of the fluid. Miscible= The fluids that the fluid in question is miscible with. Color=Dark Yellow The color of the fluid. MixColor= The color of the mixed fluid in the same order as miscibility. [Ethanol] Required header line. Fluid= Ethanol The name of the fluid. Density=.57026 The density of the fluid (g/mL). Viscosity=.00107 The viscosity of the fluid. Miscible= Acetone, Alcohol, Ammonia, The fluids that the fluid in question is miscible with. Bromine, Car Oil, Gasoline, Glycerol, Jet Fuel, Maple Syrup, Milk, Olive Oil, Phenolphthalein, Sea Water, Soda, Turpentine, Water Color= clear The color of the fluid. MixColor= clear, clear, clear, clearred, The color of the mixed fluid in the same order as miscibility. A-84
  • 156.
    cleardarkbrown, clear, clear,clear, clearbrown, clearwhite, clearyellow, clear, clear, clearpurple, clear, clear [Gasoline] Required header line. Fluid= Gasoline The name of the fluid. Density=.73722 The density of the fluid (g/mL). Viscosity=.000748 The viscosity of the fluid. Miscible= Acetone, Alcohol, Ammonia, The fluids that the fluid in question is miscible with. Bromine, Car Oil, Ethanol, Glycerol, Jet Fuel, Olive Oil, Phenolphthalein, Turpentine Color= clear The color of the fluid. MixColor= clear, clear, clear, clearred, The color of the mixed fluid in the same order as miscibility. cleardarkbrown, clear, clear, clear, clearyellow, clear, clear [Glycerol] Required header line. Fluid= Glycerol The name of the fluid. Density=1.25937 The density of the fluid (g/mL). Viscosity=.934 The viscosity of the fluid. Miscible= Acetone, Alcohol, Ammonia, The fluids that the fluid in question is miscible with. Bromine, Car Oil, Ethanol, Gasoline, Jet Fuel, Maple Syrup, Milk, Olive Oil, Phenolphthalein, Sea Water, Soda, Turpentine, Water Color=clear The color of the fluid. MixColor= clear, clear, clear, clearred, The color of the mixed fluid in the same order as miscibility. cleardarkbrown, clear, clear, clear, clearbrown, clearwhite, clearyellow, clear, clear, clearpurple, clear, clear [Honey] Required header line. Fluid= Honey The name of the fluid. Density=1.45 The density of the fluid (g/mL). Viscosity=14 The viscosity of the fluid. Miscible= The fluids that the fluid in question is miscible with. Color=Honey The color of the fluid. MixColor= The color of the mixed fluid in the same order as miscibility. [Jet Fuel] Required header line. Fluid= Jet Fuel The name of the fluid. Density=.81715 The density of the fluid (g/mL). Viscosity=.002214 The viscosity of the fluid. Miscible= Acetone, Alcohol, Ammonia, The fluids that the fluid in question is miscible with. Bromine, Car Oil, Ethanol, Gasoline, Glycerol, Olive Oil, Phenolphthalein, Turpentine Color= clear The color of the fluid. MixColor= clear, clear, clear, clearred, The color of the mixed fluid in the same order as miscibility. cleardarkbrown, clear, clear, clear, clearyellow, clear, clear [Maple Syrup] Required header line. A-85
  • 157.
    Fluid= Maple Syrup The name of the fluid. Density=.982 The density of the fluid (g/mL). Viscosity=3.2 The viscosity of the fluid. Miscible= Acetone, Alcohol, Ammonia, The fluids that the fluid in question is miscible with. Bromine, Ethanol, Glycerol, Milk, Phenolphthalein, Sea Water, Soda, Water Color=brown The color of the fluid. MixColor= clearbrown, clearbrown, The color of the mixed fluid in the same order as miscibility. clearbrown, brownred, clearbrown, clearbrown, brownwhite, clearbrown, clearbrown, brownpurple, clearbrown [Mercury] Required header line. Fluid= Mercury The name of the fluid. Density=13.57 The density of the fluid (g/mL). Viscosity=.00153 The viscosity of the fluid. Miscible= The fluids that the fluid in question is miscible with. Color=silver The color of the fluid. MixColor= The color of the mixed fluid in the same order as miscibility. [Milk] Required header line. Fluid= Milk The name of the fluid. Density=1.02 The density of the fluid (g/mL). Viscosity=.00256 The viscosity of the fluid. Miscible= Acetone, Alcohol, Ammonia, The fluids that the fluid in question is miscible with. Bromine, Ethanol, Glycerol, Maple Syrup, Phenolphthalein, Sea Water, Soda, Water Color=white The color of the fluid. MixColor= clearwhite, clearwhite, clearwhite, The color of the mixed fluid in the same order as miscibility. redwhite, clearwhite, clearwhite, brownwhite, clearwhite, clearwhite, purplewhite, clearwhite [Olive Oil] Required header line. Fluid= Olive Oil The name of the fluid. Density=.895 The density of the fluid (g/mL). Viscosity=.081 The viscosity of the fluid. Miscible= Acetone, Alcohol, Ammonia, The fluids that the fluid in question is miscible with. Bromine, Car Oil, Ethanol, Gasoline, Glycerol, Jet Fuel, Phenolphthalein, Turpentine Color=yellow The color of the fluid. MixColor= clearyellow, clearyellow, The color of the mixed fluid in the same order as miscibility. clearyellow, redyellow, yellowdarkbrown, clearyellow, clearyellow, clearyellow, clearyellow, clearyellow, clearyellow [Phenolphthalein] Required header line. Fluid= Phenolphthalein The name of the fluid. Density=.81215 The density of the fluid (g/mL). Viscosity=.000475 The viscosity of the fluid. Ammonia, Bromine, Car Oil, Ethanol, The fluids that the fluid in question is miscible with. Gasoline, Glycerol, Jet Fuel, Maple Syrup, A-86
  • 158.
    Milk, Olive Oil,Sea Water, Soda, Turpentine, Water Color= clear The color of the fluid. MixColor= clear, clear, clear, clearred, The color of the mixed fluid in the same order as miscibility. cleardarkbrown, clear, clear, clear, clear, clearbrown, clearwhite, clearyellow, clear, clearpurple, clear, clear [Sea Water] Required header line. Fluid=Sea Water The name of the fluid. Density=1.025 The density of the fluid (g/mL). Viscosity=.00165 The viscosity of the fluid. Miscible= Acetone, Alcohol, Ammonia, The fluids that the fluid in question is miscible with. Bromine, Ethanol, Glycerol, Maple Syrup, Milk, Phenolphthalein, Soda, Water Color= clear The color of the fluid. MixColor= clear,clear, clear, clearred, clear, The color of the mixed fluid in the same order as miscibility. clear, clearbrown, clearwhite, clear, clearpurple, clear [Soda] Required header line. Fluid= Soda The name of the fluid. Density=.94 The density of the fluid (g/mL). Viscosity=.00102 The viscosity of the fluid. Miscible= Acetone, Alcohol, Ammonia, The fluids that the fluid in question is miscible with. Bromine, Ethanol, Glycerol, Maple Syrup, Milk, Phenolphthalein, Sea Water, Water Color=Purple The color of the fluid. MixColor= clearpurple, clearpurple, The color of the mixed fluid in the same order as miscibility. clearpurple, redpurple, clearpurple, clearpurple, brownpurple, purplewhite, clearpurple, clearpurple, clearpurple [Tar] Required header line. Fluid= Tar The name of the fluid. Density=1.153 The density of the fluid (g/mL). Viscosity=100 The viscosity of the fluid. Miscible= The fluids that the fluid in question is miscible with. Color=black The color of the fluid. MixColor= The color of the mixed fluid in the same order as miscibility. [Turpentine] Required header line. Fluid= Turpentine The name of the fluid. Density=.86807 The density of the fluid (g/mL). Viscosity=0.001 The viscosity of the fluid. Miscible= Acetone, Alcohol, Ammonia, The fluids that the fluid in question is miscible with. Bromine, Car Oil, Ethanol, Gasoline, Glycerol, Jet Fuel, Olive Oil, Phenolphthalein Color= clear The color of the fluid. MixColor= clear, clear, clear, clearred, The color of the mixed fluid in the same order as miscibility. cleardarkbrown, clear, clear, clear, clear, A-87
  • 159.
    clearyellow, clear [Water] Required header line. Fluid= Water The name of the fluid. Density=.99997 The density of the fluid (g/mL). Viscosity=.001 The viscosity of the fluid. Miscible= Acetone, Alcohol, Ammonia, The fluids that the fluid in question is miscible with. Bromine, Ethanol, Glycerol, Maple Syrup, Milk, Phenolphthalein, Sea Water, Soda Color= clear The color of the fluid. MixColor= clear, clear, clear, clearred, clear, The color of the mixed fluid in the same order as miscibility. clear, clearbrown, clearwhite, clear, clear, clearpurple [Virtual Fluid A] Required header line. Fluid= Virtual Fluid A The name of the fluid. Density=0.1354 The density of the fluid (g/mL). Viscosity=2.54 The viscosity of the fluid. Miscible= The fluids that the fluid in question is miscible with. Color=Red The color of the fluid. MixColor= The color of the mixed fluid in the same order as miscibility. [Virtual Fluid B] Required header line. Fluid= Virtual Fluid B The name of the fluid. Density=0.2356 The density of the fluid (g/mL). Viscosity=5 The viscosity of the fluid. Miscible= The fluids that the fluid in question is miscible with. Color=purple The color of the fluid. MixColor= The color of the mixed fluid in the same order as miscibility. [Virtual Fluid C] Required header line. Fluid= Virtual Fluid C The name of the fluid. Density=2.23 The density of the fluid (g/mL). Viscosity=10 The viscosity of the fluid. Miscible= The fluids that the fluid in question is miscible with. Color=Dark Yellow The color of the fluid. MixColor= The color of the mixed fluid in the same order as miscibility. [Virtual Fluid D] Required header line. Fluid= Virtual Fluid D The name of the fluid. Density=8.456 The density of the fluid (g/mL). Viscosity=50 The viscosity of the fluid. Miscible= The fluids that the fluid in question is miscible with. Color=Black The color of the fluid. MixColor= The color of the mixed fluid in the same order as miscibility. A-88
  • 160.
    Preset Experiments Located onthe clipboard in the density laboratory is a set of 15 preset experiments listed by title. If allowed by the instructor, students can select one of these experiments and, upon returning to the laboratory, the selected experiment will be automatically set up and running. Preset experiments are intended to provide flexibility for the instructor so the density simulation can be adapted to the level of the class or the individual teaching style of the instructor. Several experiments have already been defined and are installed with the software. This section describes how these files can be modified. Each preset experiment is defined using an INI file. For the preset experiments on the clipboard, these files have the name Experimentn.ini, where n is a number between 1 and 15 and represents experiments 1 through 15 on the clipboard. These files are located in the Presets directory in the PhysicsD directory. Note that in client installations, any modified preset experiments for the clipboard must be modified for each client installation. Given subsequently is a description of a preset experiment INI file and the variables that are used to define an experiment. Before reviewing the INI file information, here are some important points to keep in mind: (a) All of the variables described have default values, so variables may be left blank or not used at all. An experiment can be set up or defined to any degree desired by the instructor. (b) Some variables are mutually exclusive; that is, the use of one variable may mean another variable cannot be used. Some error checking exists for such situations, but the error checking is not comprehensive. The following two tables show the INI variables used in preset experiments. The first lists all the variables that can be used and their allowed values. Default values are given in red. The second is an example of a preset experiment for a simple density experiment to show how the variables can be used. Complete Preset Experiment INI Variable List INI Variables Description [Title] Title=Test Preset Sets the title of the experiment as shown on the clipboard. Not used for preset electronic assignments. [Cylinder1] BallType=Real, virtual (Default = no ball) Defines whether the ball in cylinder 1 will be Real or Virtual - this is a required item for the ball to be used. BallKnown=no, yes (Default = yes) Sets whether the student will know what the ball is. BallRadius=.01 (Default=random size will Defines the radius of the ball in cylinder 1. It must be within the set max/min be created) values for ball radius. BallName=Aluminum Defines the name of the ball and will be shown if the ball is known, but even if the ball is unknown this is a required item. If the ball is Real, the name must match an already exiting ball in the solids.ini file. If the ball is Virtual, the name can be whatever you want BallDensity=.5 If the ball is virtual the ball density is required. This defines the density of the virtual ball in g/mL. BallColor=clear This defines the ball color of virtual balls. This value must match a color value in the solids.ini. Fluid1Type=Virtual, Real (Default = no This is a required field and defines whether or not the fluid is real or virtual. A-89
  • 161.
    fluid) Fluid1Known=yes, no Sets whether the student will know what the fluid is. (Default = yes) Fluid1Amount=half, full Defines the amount of fluid 1 in cylinder 1. A random value around full or half will be used. Fluid1Name=Corn Syrup Defies the name of the fluid that will be shown if the fluid is known. If the fluid is real it must be from the pre-existing fluids.ini file, but if it is virtual it can be whatever you want. Fliud1Density=1.1 Defines the density for virtual fluids in g/ml. Fluid1Viscosity=.003 (Default = a random Defines the viscosity for virtual fluids. value between the min/max will be selected) Fluid1Color=red Defines the color for virtual fluids, and the color must match a value color in the colors.ini file. Fluid2Type=Virtual, real (Default = no fluid) If fluid 1 if full, or there is no fluid 1 then fluid 2 is ignored. This defines whether fluid 2 will be real or virtual. Fluid2Known=yes, no Sets whether the student will know what the fluid is. Fluid2Name=Corn Syrup Defines the name of fluid 2 if it is real, real the name must match one from the fluids.ini file. Fluid2VName=Virtual Fluid If the fluid is virtual this defines the name of the virtual fluid. Fliud2Density=1.1 This defines the density of the virtual fluid in g/ml. Fluid2Viscosity=.003 (Default = a random Defines the viscosity for virtual fluids. value between the min/max will be selected) Fluid2Color=clear Defines the color for virtual fluids, and the color must match a value color in the colors.ini file. [Cylinder2] Uses all the same variables as outlined under [Cylinder1]. [Cylinder3] Uses all the same variables as outlined under [Cylinder1]. [Cylinder4] Uses all the same variables as outlined under [Cylinder1]. . [Cylinder5] Uses all the same variables as outlined under [Cylinder1]. [Balance] OnOff=on, off (Default=on) Sets whether or not the balance is on or not. tare=0.0 (default = 0.0) Defines value to set the tare value to. Object=ball, beaker (Default = no object) Defines what object is on the balance BallType=Real Defines whether the ball in cylinder 1 will be Real or Virtual - this is a required item for the ball to be used. BallKnown=no, yes (Default = yes) Sets whether the student will know what the ball is. BallRadius=.01 (Default=random size will Defines the radius of the ball in cylinder 1. It must be within the set max/min be created) values for ball radius. BallName=Aluminum Defines the name of the ball and will be shown if the ball is known, but even if the ball is unknown this is a required item. If the ball is Real, the name must match an already exiting ball in the solids.ini file. If the ball is Virtual, the name can be whatever you want BallDensity=.5 If the ball is virtual the ball density is required. This defines the density of the virtual ball in g/mL. BallColor=clear This defines the ball color of virtual balls. This value must match a color value in the solids.ini. [Beaker] The position of the beaker is set in the Balance section. If it is not put on the balance it is put on the table. A-90
  • 162.
    Fluid1Type=Virtual, Real (Default= no This is a required field and defines whether or not the fluid is real or virtual. fluid) Fluid1Known=yes, no Sets whether the student will know what the fluid is. (Default = yes) Fluid1Amount=half, full Defines the amount of fluid 1 in the beaker. A random value around full or half will be used. Fluid1Name=Corn Syrup Defies the name of the fluid that will be shown if the fluid is known. If the fluid is real it must be from the pre-existing fluids.ini file, but if it is virtual it can be whatever you want. Fliud1Density=1.1 Defines the density for virtual fluids in g/ml. Fluid1Viscosity=.003 (Default = a random Defines the viscosity for virtual fluids. value between the min/max will be selected) Fluid1Color=red Defines the color for virtual fluids, and the color must match a value color in the colors.ini file. Fluid2Type=Virtual, real (Default = no fluid) If fluid 1 if full, or there is no fluid 1 then fluid 2 is ignored. This defines whether fluid 2 will be real or virtual. Fluid2Known=yes, no Sets whether the student will know what the fluid is. Fluid2Name=Corn Syrup Defines the name of fluid 2 if it is real, real the name must match one from the fluids.ini file. Fluid2VName=Virtual Fluid If the fluid is virtual this defines the name of the virtual fluid. Fliud2Density=1.1 This defines the density of the virtual fluid in g/ml. Fluid2Viscosity=.003 (Default = a random Defines the viscosity for virtual fluids. value between the min/max will be selected) Fluid2Color=clear Defines the color for virtual fluids, and the color must match a value color in the colors.ini file. An Example Density Preset Experiment INI Variables Description [Title] Title=Ice in Alcohol or Water Defines the title of the experiment as shown on the clipboard. Not used for preset assignments. [Cylinder1] BallType=Real Defines the ball type as a real ball. BallKnown=yes Allows the student to see the type of ball. BallName=Ice Defines which real ball from the solid.ini file is used. Fluid1Type=Real Defines the fluid as a real fluid. Fluid1Known=yes Allows the student to see the type of fluid. Fluid1Amount=full The cylinder will be full to a random value near full. Fluid1Name=Alcohol Defines which real fluid from the fluid.ini file is used. [Cylinder2] BallType=Real Defines the ball type as a real ball. BallKnown=yes Allows the student to see the type of ball. BallName=Ice Defines which real ball from the solid.ini file is used. Fluid1Type=Real Defines the fluid as a real fluid. Fluid1Known=yes Allows the student to see the type of fluid. Fluid1Amount=full The cylinder will be full to a random value near full. Fluid1Name=Water Defines which real fluid from the fluid.ini file is used. A-91
  • 163.
    Circuits INI File Thecircuits laboratory gives students the ability to build simple or complex circuits using resistors, capacitors, inductors, and light bulbs and analyze these circuits using a Digital Multimeter (DMM) or oscilloscope. A significant fraction of the simulation is controlled by the Circuits.ini file where initial values for components are specified, variables affecting the Laplace transformation are defined, as well as many other variables. There is also an additional set of INI files and these define the preset experiments located on the clipboard and used in the circuits assignments. Described in each of the following sections are the INI variables contained in each of these INI files. The purpose for providing this information is to grant instructors the ability to change or adjust the circuits simulation to suit their own needs. Circuits.ini INI Variables Description [General] AccelerationValues=0.001, 0.005, 0.01, 0.05, These are the allowed acceleration values for displaying data on the 0.1, 0.5, 1, 5, 10 oscilloscope. AccelerationDefault=1 The default acceleration value the program will use. MaxComponents=20 The maximum number of components that can be used in a circuit. ShowErrors=no Solving a circuit using Laplace transforms is complex and occasionally the algorithm fails. This variable specifies whether these errors should be shown. [Meters] OscilloscopeRefresh_mSec=50 How often to update data on the oscilloscope. MultiMeterRefresh_RMS_mSec=250 How often to update RMS measurements on the DMM. MultiMeterRefresh_mSec=100 How often to update DC measurements on the DMM. MultiMeterOhmMax=2000000 The maximum resistance before an overload is displayed on the DMM. [RMS] MultiMeter_RMS_SamplesPerPeriod=30 How many data points to use per period to calculate the RMS values. MultiMeter_RMS_MaxPeriods=20 How many periods to use to calculate the RMS values. Power_RMS_SamplesPerPeriod=30 Same for power measurements here and below. Power_RMS_MaxPeriods=20 RMS_Threshold_Hz=3 The lowest frequency before RMS values are no longer calculated. [PowerSources] VoltagePeak=1.0 The initial default voltage amplitude for the function generator. VoltagePeakMax=1000.0 The maximum amplitude that can be selected. VoltagePeakMin=0.1 The minimum amplitude that can be selected. Frequency=60 The initial default frequency. FrequencyMax=1000000 The maximum frequency. FrequencyMin=.001 The minimum frequency. DC_Frequency=10000 DC experiments are really AC calculations. This is a dummy frequency to use. SquareWaveTerms=10 The powerseries terms to use for a square wave. SawWaveTerms=10 The powerseries terms to use for a saw tooth wave form. [Resistors] Resistance=100 The initial resistance to use for a resistor. A-92
  • 164.
    ResistanceLarge=1000 The initial resistance to use for a large resistor on the breadboard. ResistanceMin=1 The smallest resistance available. ResistanceMax=1000000 The largest resistance available. Tolerance=.0025 The initial tolerance or uncertainty in the assigned value for the resistance. 0.0025 means 0.25%. BurnOutCheck_mSec=500 How often to check to see if the power has exceeded the power rating. P_BurnOut_Watts=5.0 The default resistor power rating. p_BurnOut_Watts_Min=0.25 The minimum power rating. P_BurnOut_Watts_Max=100 The maximum power rating. BurnOutTime_Sec=5 The time in seconds the power rating must be exceeded before burning out. [Capacitors] Capacitance=1e-6 The initial capacitance to use for a capacitor. CapacitanceLarge=5e-2 The initial capacitance to use for a large capacitor on the breadboard. CapacitanceMin=1e-10 The smallest capacitance available. CapacitanceMax=10 The largest capacitance available. Tolerance=.0025 The initial tolerance or uncertainty in the assigned value for the capacitance. 0.0025 means 0.25%. [Inductors] Inductance=1e-3 The initial inductance to use for an inductor. InductanceLarge=1.0 The initial inductance to use for a large inductor on the breadboard. InductanceMin=1e-8 The smallest inductance available. InductanceMax=10 The largest inductance available. Tolerance=.0025 The initial tolerance or uncertainty in the assigned value for the inductance. 0.0025 means 0.25%. [Wires] ResistanceMin=.000001 The minimum randomly assigned resistance for a wire. ResistanceMax=.0001 The maximum randomly assigned resistance for a wire. [Bulbs] Watts=60 The initial wattage to use for a light bulb. WattsMin=10 The smallest wattage light bulb available. WattsMax=100 The largest wattage light bulb available. IlluminationCheck_mSec=100 How often to check for a change in illumination of the light bulb. BurnOutPowerPercentage=1.1 How far to exceed the specified wattage before the light bulb burns. MaxBrightnessWatts=110 The wattage for the brightest light bulb graphic. Voltage=84.78 The RMS voltage to convert the selected wattage into resistance. BurnOutTime_Sec=5 The time in seconds the power rating must be exceeded before burning out. Brightness_Exponential=.75 The brightness exponential to make the illumination curve non-linear. [Misc] MultiplicityTolerance=.001 When the percent difference between two roots is smaller than this value, then the roots are considered to have the same multiplicity. Preset Experiments Located on the clipboard in the circuits laboratory is a set of 15 preset experiments listed by title. If allowed by the instructor, students can select one of these experiments and, upon returning to the laboratory, the selected experiment will be automatically set up and running. Preset experiments are intended to provide flexibility for the instructor so the circuits simulation can be adapted to the level of the class or the individual teaching style of the instructor. Several A-93
  • 165.
    experiments have alreadybeen defined and are installed with the software. This section describes how these preset files can be created. Each preset experiment is defined using an INI file. For the preset experiments on the clipboard, these files have the name Experimentn.ini, where n is a number between 1 and 15 and represents experiments 1 through 15 on the clipboard. These files are located in the Presets directory in the PhysicsC directory. Note that in client installations, any modified preset experiments for the clipboard must be modified for each client installation. Unlike the other simulations, creating preset experiments is relatively easy in the circuits simulation. Instead of creating the preset files by hand, all that is needed is to create or setup the experiment in the circuit laboratory and then save the experiment as a preset. A preset is saved by right-clicking with the mouse on a hidden button located in the extreme upper left-hand corner of the laboratory. These preset files can be modified by hand if needed and component values can be changed to unknown as well. Once a preset file has been saved, the preset language is largely self-explanatory. Optics INI File The optics laboratory gives students the ability explore and understand the concepts of lenses, mirrors, prisms, and color inside an easy to use virtual laboratory. A significant fraction of the simulation is controlled by the Optics.ini file where initial values for components are specified, variables affecting the simulation are defined, as well as other variables. There is also an additional set of INI files and these define the preset experiments located on the clipboard and used in the optics assignments. Described in each of the following sections are the INI variables contained in each of these INI files. The purpose for providing this information is to grant instructors the ability to change or adjust the optics simulation to suit their own needs. Optics.ini INI Variables Description [General] MirrorLensHeight_cm=7.62 The lens height. HoleSpacing_cm=5.08 The spacing between holes on the optics table (set at 2 inches). MaxTheta = 1.0 The maximum angle in radians a lens or mirror can “see” the light x2. MaxMirrorLensCount=15 The maximum number of mirrors or lenses that can be on the table. MaxBounceCount=50 The maximum number of bounces off the mirrors. ImageLines=on This turns the sight lines for the eye and objects on or off. [Laser] Wavelength=632 This sets the initial wavelength for the laser. (in nm) WaveLengthMin=400 This sets the minimum wavelength for the laser. WaveLengthMax=700 This sets the maximum wavelength for the laser. [Light] Light_Red=250 This sets the initial RGB values for the light bulb. A setting of 255 for each color will make the line transparent. Light_Green=250 Light_Bue=250 A-94
  • 166.
    [Mirror] Radius=71 Sets the initial radius of curvature for the mirror. Anything over the maximum assumes a flat mirror. (in cm) RadiusMin=4 Sets the minimum radius for the mirror. RadiusMax=70 This sets the maximum radius for the mirror. [Lens] Radius1=20 Sets the initial radius of curvature for the lens for side 1. Anything over the maximum assumes a flat lens. (in cm). Radius1Min=4 Sets the minimum radius for the lens. Radius1Max=70 Sets the maximum radius for the lens. Radius2=-20 Sets the radius of curvature for side 2 of the lens. The negative sign makes it convex compared to side 1. IndexRefraction=1.5 Sets the index of refraction for the lens material. IndexRefractionMin=0.1 Sets the minimum index of refraction. IndexRefractionmax=10 Sets the maximum index of refraction. DoubleThickness=0 Sets the initial thickness of the lens at the outside edge between face 1 and face2. DoubleThicknessMin=0.0 Sets the minimum thickness of the lens (in cm). DoublethicknessMax=1.0 Sets the maximum thickness of the lens (in cm). [Eye] AngleIncrement=5 The angle increment when rotating the eye in degrees. LaserBeamRadius=20 The radius of the laser beam when hitting the eye in pixels. LaserBeamTransparency=100 The transparency of the laser beam on the eye. Height=7.62 The size of the eye aperture in cm. BlurFudge=0.25 The degree of blurring for a maximally blurred image (0 to 1). BallNormalFactor=.5 The size of the nominal ball graphic relative to its base size (0 to 1). CandleNormalFactor=.5 The size of the nominal candle graphic relative to its base size (0 to 1). GnomeNormalFactor=.5 The size of the nominal gnome graphic relative to its base size (0 to 1). LaserNormalFactor=.5 The size of the nominal laser graphic relative to its base size (0 to 1). LightNormalFactor=.5 The size of the nominal light graphic relative to its base size (0 to 1). MaxTheta=0.5236 The widest angle (in radians) before an image will not enter the eye. [Filter] Red=0 Sets the red filter to be on or off (1=on, 0=off). Green=0 Sets the green filter to be on or off (1=on, 0=off). Blue=0 Sets the blue filter to be on or off (1=on, 0=off). [Beach Ball] Height=17.0 Sets the height of the beach ball in cm. [Gnome] Height = 7.62 Sets the height of the gnome in cm. [Candle] Height = 5.08 Sets the height of the candle in cm. [Slits] Increment_cm=.1 Sets the distance the slit curtain will move for each click of an arrow. A-95
  • 167.
    Preset Experiments Located onthe clipboard in the optics laboratory is a set of 15 preset experiments listed by title. If allowed by the instructor, students can select one of these experiments and, upon returning to the laboratory, the selected experiment will be automatically set up and running. Preset experiments are intended to provide flexibility for the instructor so the optics simulation can be adapted to the level of the class or the individual teaching style of the instructor. Several experiments have already been defined and are installed with the software. This section describes how these files can be modified. Each preset experiment is defined using an INI file. For the preset experiments on the clipboard, these files have the name Experimentn.ini, where n is a number between 1 and 15 and represents experiments 1 through 15 on the clipboard. These files are located in the Presets directory in the PhysicsO directory. Note that in client installations, any modified preset experiments for the clipboard must be modified for each client installation. Unlike the other simulations, creating preset experiments is relatively easy in the optics simulation. Instead of creating the preset files by hand, all that is needed is to create or setup the experiment in the optics laboratory and then save the experiment as a preset. A preset is saved by right-clicking with the mouse on a hidden button located in the extreme upper left-hand corner of the laboratory. These preset files can be modified by hand if needed, and once a preset file has been saved, the preset language is largely self-explanatory. A-96
  • 168.
    Appendix B List ofOrganic Synthesis Assignments A list of products that can be assigned for organic synthesis experiments for each named reaction. Esterification 13. 2-Nitrobenzeneacetic acid 1. Methyl acetate 14. 2,4-Dinitrophenylacetic 2. Ethyl acetate acid 15. Formic acid 3. 3-Methylbutyl acetate 16. 3-Methyl butanoic acid 4. Methyl butanoate 17. Ethanal 5. Ethyl butanoate 18. 3-Methyl butanal 6. 3-Methylbutyl butanoate 19. 1-Chloro-3-methylbutane 7. Methyl phenylacetate 20. 2-Chloro-3-methylbutane 8. Ethyl-2-phenyl acetate 21. Diisopentyl ether 9. 3-Methylbutyl phenylacetate 22. Benzoic acid 10. Butanol 23. Bromo-phenyl-acetic acid 11. 2-Phenyl ethanol 12. 4-Nitrobenzeneacetic acid Alcohol Halogenation 1. Chlorocyclohexane B-1
  • 169.
    2. Chlorophenylmethane 16. Benzyl ethyl ether 3. 2-Chloro-2-methyl propane Alkyl Halide Solvolysis 1. Benzyl alcohol 4. 1-Chloro-3-methylbutane 2. 2-Methyl-2-propanol 5. 2-Chloro-3-methylbutane 3. exo-Bicyclo[2.2.1] 6. 3-Methyl butanoic acid heptane-2-ol 4. Tetrahydrofuran 7. 3-Methyl butanal 5. 1,4-Butanediol 8. Benzoic acid 6. 1-Chloromethyl-4-nitro- 9. Benzaldehyde benzene 7. 1-Chloromethyl-2-nitro- 10. Cyclohexanone benzene 8. 1-Chloromethyl-2,4- 11. Cyclohexene dinitro-benzene 9. 4-Nitro-benzyl alcohol 12. Diisopentyl ether 10. 2-Nitro-benzyl alcohol 13. Dibenzyl Ether 11. Benzyl ethyl ether 14. 1,1-Oxybis-cyclohexane 12. Benzyl methyl ether 15. Di-tert-butyl ether 13. 2-methyl-2-ethoxy- propane B-2
  • 170.
    14. 1-Methoxy butane 2. 1-Phenylethanol 15. 5-Ethoxybicyclo[2.2.1] 3. 1-Methyl-cyclohexanol heptane 16. Bicyclo[2.2.1]hept-2-ene 4. 2,3-Dimethyl-2-butanol 17. Benzoic acid 5. 1-Hexanol 18. Bicyclo[2.2.1] 6. 3,3-Dimethyl-1-butanol heptan-2-one 19. 4-Chloro-butanoic acid 7. 2-Phenyl ethanol 20. 4-Chloro-butyraldehyde 8. trans-2-methyl- cyclohexanol 21. 1,4-Dichlorobutane 9. Hexane-1,2-diol 22. Butanol 10. 3,3-Dimethyl-1,2-butane diol 23. 2-Benzyl-benzyl chloride 11. 1-Phenyl-ethane-1,2-diol 24. 4-Benzyl-benzyl chloride 12. cis-1-Methyl- cyclohexane-1,2-diol 25. Benzyldiisopropylamine 13. Ethyl 2-hexyl ether 26. Butyldiisopropylamine 14. 2-Ethoxy-2,3-dimethyl- butane 15. Ethyl-(1-phenyl-ethyl)- Alkene Hydration ether 1. 2-Hexanol B-3
  • 171.
    16. 1-Ethoxy-1-methyl- 30. Ethyl-(2-bromo-1-phenyl- cyclohexane ethyl)-ether 17. 2-Chloro-hexane 31. Pentanoic acid 18. 2-chloro-2,3-dimethyl 32. 2,2-Dimethylpropanoic butane acid 19. 1-Chloro-1-phenylethane 33. Benzoic acid 20. 1-Chloro-1-methyl- 34. 6-Oxo-heptanoic acid cyclohexane 21. 1,2-Dibromo-hexane 35. Formic acid 22. 1,2-Dibromo-3,3- 36. 1,2-Epoxyhexane dimethyl-butane 23. (1,2-Dibromoethyl)- 37. 3,3-Dimethyl-1,2-epoxy benzene butane 24. 1,2-Dibromo-1-methyl- 38. 1,2-Epoxyethylbenzene cyclohexane 25. 1-Bromo-2-hexanol 39. 1-Methyl-1,2- epoxycyclohexane 26. 1-Bromo-3,3-dimethyl-2- 40. 4-Nitro-styrene butanol 27. 2-Bromo-1-phenyl- 41. 2-Nitro-styrene ethanol 28. 2-Bromo-2-methyl- 42. 1,3-Diphenyl-1-butene cyclohexanol 29. 1-Bromo-2-ethoxy- hexane Hydroboration 1. 2-Methyl-1-butanol B-4
  • 172.
    2. 2-Methyl-3-pentanol 16. 2-Chloro-hexane 3. 4-Methyl-2-pentanol 17. 1-Chloro-1-methyl- cyclohexane 4. 1-Hexanol 18. 1,2-Dibromo-2-methyl- butane 5. trans-2-methyl- 19. 2,3-Dibromo-4-methyl- cyclohexanol pentane 6. 2-Methyl-2-butanol 20. 1,2-Dibromo-hexane 7. 2-Methyl-2-pentanol 21. trans-1,2-Dibromo-1- methyl-cyclohexane 8. 2-Hexanol 22. 1-Bromo-2-methyl- butan-2-ol 9. 1-Methyl-cyclohexanol 23. 1-Bromo-2-hexanol 10. 2-Ethoxy-2-methylbutane 24. trans-2-Bromo-2-methyl- cyclohexanol 11. 3-Ethoxy-2-methyl- 25. 1-Bromo-2-ethoxy-2- pentane methyl-butane 12. Ethyl 2-hexyl ether 26. 1-Bromo-2-ethoxy- hexane 13. 1-Ethoxy-1-methyl- 27. 2-Methyl-butane-1,2-diol cyclohexane 14. 2-Methyl-2-chlorobutane 28. syn-4-Methyl-pentane- 2,3-diol 15. 2-Chloro-2- 29. Hexane-1,2-diol methylpentane B-5
  • 173.
    30. cis-1-Methyl- 3. 1,4-Dibromo-2-butene cyclohexane-1,2-diol 31. 1,2-Epoxy-2-methyl- 4. trans-2,3-Dibromo-butane butane 32. 2,3-Epoxy-4-methyl- 5. (1R)-trans-1,2-Dibromo- pentane cyclohexane 33. 1,2-Epoxyhexane 6. 2-Hexanol 34. 1-Methyl-1,2- 7. 3-Buten-1-ol epoxycyclohexane 35. 2-Butanone 8. 2-Butanol 36. 2-Methyl-propionic acid 9. 1-Cyclohexanol 37. Acetic acid 10. 1-Hexanol 38. Pentanoic acid 11. Ethyl 2-hexyl ether 39. 6-Oxo-heptanoic acid 12. 3-Ethoxy-1-butene 40. Formic acid 13. 1-Ethoxy-2-butene 41. 2-Methyl-2-pentene 14. 2-Ethoxy-butane 15. Ethoxy-cyclohexane Alkene Bromination 1. 1,2-Dibromo-hexane 16. 2-Chloro-hexane 2. 3,4-Dibromo-1-butene B-6
  • 174.
    17. 3-Chloro-1-butene 31. cis-Cyclohexane-1,2-diol 18. 1-Chloro-2-butene 32. 1,2-Epoxyhexane 19. 2-Chloro-butane 33. 3,4-Epoxy-but-1-ene 20. Chlorocyclohexane 34. 2,3-Epoxy-butane 21. 1-Bromo-2-hexanol 35. 1,2-Epoxy-cyclohexane 22. anti-3-Bromo-butan-2-ol 36. Pentanoic acid 23. trans-2-Bromo- 37. 2-Propenoic acid cyclohexanol 24. 1-Bromo-2-ethoxy- 38. Acetic acid hexane 25. 4-Bromo-3-ethoxy-but-1- 39. Hexanedioic acid ene 26. anti-2-Bromo-3-ethoxy- 40. Formic acid butane 27. trans-1-Bromo-2-ethoxy- cyclohexane Alkene Dihydroxylation 1. 2-Methyl-butane-1,2-diol 28. Hexane-1,2-diol 2. Hexane-1,2-diol 29. But-3-ene-1,2-diol 3. cis-Octahydro- 30. syn-Butane-2,3-diol naphthalene-4a,8a-diol 4. cis-Cyclohexane-1,2-diol B-7
  • 175.
    5. 2-Methyl-2-butanol 19. 1,2-Dibromo-2-methyl- butane 6. 2-Hexanol 20. 1,2-Dibromo-hexane 7. Bicyclo[4.4.0]decane-1-ol 21. 4a,8a-Dibromo- decahydro-naphthalene 8. 1-Cyclohexanol 22. (1R)-trans-1,2-Dibromo- cyclohexane 9. 2-Methyl-1-butanol 23. 1-Bromo-2-methyl- butan-2-ol 10. 1-Hexanol 24. 1-Bromo-2-hexanol 11. 2-Ethoxy-2-methylbutane 25. 9-Bromo-10-hydroxy- trans-decalin 12. Ethyl 2-hexyl ether 26. trans-2-Bromo- cyclohexanol 13. trans-9-Ethoxydecalin 27. 1-Bromo-2-ethoxy-2- methyl-butane 14. Ethoxy-cyclohexane 28. 1-Bromo-2-ethoxy- hexane 15. 2-Methyl-2-chlorobutane 29. trans-1-Bromo-2-ethoxy- cyclohexane 16. 2-Chloro-hexane 30. 1,2-Epoxy-2-methyl- butane 17. 4a-Chloro-decahydro- 31. 1,2-Epoxyhexane naphthalene 18. Chlorocyclohexane 32. 4a,8a-Epoxy-decahydro- napthalene B-8
  • 176.
    33. 1,2-Epoxy-cyclohexane 9. Ethoxy-cyclohexane 34. 2-Butanone 10. 3-Ethoxy-cyclohexene 35. Pentanoic acid 11. 2-Chloro-butane 36. Hexanedioic acid 12. Chlorocyclohexane 37. Cyclodecane-1,6-dione 13. 4-Chloro-1,2-dimethyl- cyclohexene 38. Formic acid 14. 3-Chloro-cyclohexene 15. trans-2,3-Dibromo-butane Epoxidation 1. 2,3-Epoxy-butane 16. (1R)-trans-1,2-Dibromo- cyclohexane 2. 1,2-Epoxy-cyclohexane 17. 4,5-Dibromo-4,5- dimethyl-cyclohexene 3. 1,2-Dimethyl-1,2-epoxy- cyclohex-4-ene 18. 2,3-Dibromo- cyclohexanol 4. 2,3-Epoxy-cyclohexanol 19. anti-3-Bromo-butan-2-ol 5. 2-Butanol 20. trans-2-Bromo- cyclohexanol 6. 1-Cyclohexanol 21. 2-Bromo-cyclohexane- 1,3-diol 7. 3,4-Dimethyl-cyclohex-3- enol 22. 3-Bromo-cyclohexane- 1,2-diol 8. 2-Ethoxy-butane B-9
  • 177.
    23. anti-2-Bromo-3-ethoxy- 4. Bicyclo[2.2.1]hept-5-ene- butane 2-carboxylic acid methyl ester 24. trans-1-Bromo-2-ethoxy- 5. Bicyclo[2.2.1]hepta-2,5- cyclohexane diene-2,3-dicarboxylic acid dimethyl ester 25. syn-Butane-2,3-diol 6. 1,4,4a,8a-Tetrahydro-1,4- methano-naphthalene-5,8- dione 26. cis-Cyclohexane-1,2-diol 7. 4-Oxo-cyclohex-2-ene carboxylic acid methyl ester 27. cis-4,5-Dimethyl- 8. 4-Hydroxy-phthalic acid cyclohex-4-ene-1,2-diol dimethyl ester 28. Cyclohexane-1,2,3-triol 9. Naphthalene-1,4,6-triol 29. Acetic acid 10. 3a,4,7,7a-Tetrahydro-4,7- methano-indene 30. Hexanedioic acid 11. 5-Vinylbicyclo[2.2.1] hept-2-ene 31. Oct-4-ene-2,7-dione 12. Bicyclo[4.3.0]nona-3,7- diene 32. 2-Cyclohexen-1-one 13. Cyclohex-3-enecarboxylic acid ethyl ester 33. Cyclohexa-1,3-diene 14. Cyclohexa-1,4-diene-1,2- dicarboxylic acid diethyl ester 15. Cyclohex-1,4-diene-1,2- Diels Alder dicarboxylic acid 1. Cyclohex-3-enecarboxylic acid methyl ester 16. Cyclohex-3-enecarboxylic acid 2. Cyclohexa-1,4-diene-1,2- dicarboxylic acid 17. 2,3-Epoxy-2,3,4a,5,8,8a- dimethyl ester hexahydro-[1,4] 3. 4a,5,8,8a-Tetrahydro- naphthoquinone [1,4]naphthoquinone B-10
  • 178.
    18. 5,6-Epoxy-3a,4,5,6,7,7a- 32. Cyclopent-2-enyl ethyl hexahydro-4,7-methano- ether indene 19. 1,2-Epoxy-1,2,3a,4,7,7a- 33. 3-Chloro-1-butene hexahydro-4,7-methano- indene 20. 2-Bicyclo[2.2.1]hept-5- 34. 1-Chloro-2-butene en-2-yl-oxirane 21. 6-vinyl-3-oxa-tricyclo 35. 3-Chloro-cyclopentene [3.2.1.02,4]octane 22. 2,2a,3,5a,6,6a-hexahydro- 36. 3,4-Dibromo-1-butene 1aH-1-oxa-cyclopropa [f]indene 23. 7-Oxa-bicyclo[4.1.0]hept- 37. 1,4-Dibromo-2-butene 3-ene-3,4-dicarboxylic acid dimethyl ester 24. 3,4-Epoxy-cyclohexane 38. trans-3,4-Dibrom- carboxylic acid methyl cyclopentene ester 25. 1,2,3,4,4a,8a-hexahydro- 39. 3,5-Dibromo- 1,4-methano-2,3-epoxy- cyclopentene naphthalene-5,8-dione 26. 3-Oxa-tricyclo[3.2.1.02,4] 40. 2,3-Dibromo-propanoic oct-6-ene-6,7-dicarboxylic acid methyl ester acid dimethyl ester 27. 3-Oxa-tricyclo[3.2.1.02,4] 41. trans-5-Bromo-cyclopent- octane-6-carboxylic acid 2-enol methyl ester 28. 3-Buten-1-ol 42. 3-Bromo-2-hydroxy- propionic acid methyl ester 29. 2-Cyclopenten-1-ol 43. 4-Bromo-3-ethoxy- but-1-ene 30. 3-Ethoxy-1-butene 44. Buta-3-ene-1,2-diol 31. 1-Ethoxy-2-butene 45. cis-Cyclopent-3-ene- 1,2-diol B-11
  • 179.
    46. 2,3-Dihydroxy-propionic 60. Hydroquinone acid methyl ester 47. 3,4-Epoxy-but-1-ene 61. But-2-ynedioic acid 48. 3,4-Epoxy-cyclopentene 62. But-2-ynedioic acid diethyl ester 49. Oxirane-2-carboxylic acid 63. 2-Propenoic acid, ethyl methyl ester ester 50. 2-Propenoic acid Aldol 1. 3-Hydroxybutanal 51. Pent-2-ene-1,5-dioic acid 2. 2-Ethyl-3-hydroxy- 52. Formic acid hexanal 3. 3-Hydroxy-3-phenyl- 53. 4-Methoxy-but-3-en-2- propanal one 4. 2-Ethyl-hex-2-enal 54. Methoxy-trimethyl-silane 5. 5-Hydroxy-2,2,4- 55. Trimethylsilanol trimethyl-hexan-3-one 6. 3-Hydroxy-2-methyl-3- 56. Ethoxy-trimethyl-silane phenyl-propionic acid 2,6-dimethyl-phenyl ester 7. 1-hydroxy-2,4,4- 57. 4-Hydroxy-but-3-en-2-one trimethyl-1-phenyl- pentan-3-one 58. 4-Ethoxy-but-3-en-2-one 8. 5-Hydroxy-2,2,4- trimethyl-octan-3-one 59. 1-Hydroxy-4-methoxy- 9. anti-3-Hydroxy-2-methyl- but-3-en-2-one 3-phenyl-propionic acid ethyl ester B-12
  • 180.
    10. 3-Hydroxy-2-methyl-3- 24. Propanoic acid, 1,1- phenyl-propionic acid dimethylethyl ester methyl ester 11. anti-3-Hydroxy-2-methyl- 25. 1,1-Diethoxy-ethane 3-phenyl-propionic acid 12. anti-3-hydroxy-2-methyl- 26. 1,1-Diethoxy-butane hexanoic acid-2,6- dimethyl-phenyl ester 13. But-2-enal 27. Benzaldehyde diethylacetal 14. 3-Phenyl-propenal 28. Ethanol 15. 2,2,4-Trimethyl-hex-4-en- 29. Butanol 3-one 16. 2,4,4-Trimethyl-1-phenyl- 30. Benzyl alcohol pent-1-en-3-one 17. 2-Methyl-3-phenyl- 31. 2,2-Dimethyl-pentan-3-ol acrylic acid ethyl ester 18. 2-Methyl-3-phenyl- 32. Acetic acid acrylic acid methyl ester 19. 2-Methyl-3-oxo-pentanoic 33. Butanoic acid acid methyl ester 20. 2-Methyl-3-phenyl- 34. Benzoic acid acrylic acid 21. Formic acid methyl ester 35. Bromo-acetaldehyde 22. Formic acid propyl ester 36. 2-Bromo-butanal 23. Formic acid phenyl ester 37. 4-Bromo-2,2-dimethyl- pentan-3-one B-13
  • 181.
    38. Propionic acid-2,6- 6. Cyclohexyl-phenyl- dimethyl-4-bromo-phenyl methanol ester 39. 2-Bromo-propionic acid 7. Propionic acid 2,6-dimethyl-phenyl ester 40. 3-Nitro-benzaldehyde 8. Benzoic acid 41. Propionic acid-2,6- 9. Cyclohexane dimethyl-4-nitro-phenyl carboxylic acid ester 42. 3-Hydroxy-3-(4-nitro- 10. Ethanol phenyl)-propanal 11. Propan-2-ol 43. 3-(4-Nitro-phenyl)- propenal 12. Benzyl alcohol 44. Propionic acid 13. 1-Cyclohexanol 45. 2,6-Dimethyl-phenol 14. Phenol 46. Propionic acid ethyl ester 15. 2,2-Diethoxy-propane Grignard Addition 1. 2-Methyl-2-butanol 16. Benzaldehyde diethylacetal 2. 2-cyclohexyl-propan-2-ol 17. Ethyl bromide 3. 2-Phenyl-2-propanol 18. Bromobenzene 4. 1-Phenyl-1-propanol 19. Bromocyclohexane 5. Diphenyl-methanol B-14
  • 182.
    20. 1-Bromo-propan-2-one 6. Benzoic acid 21. nitro-Benzene 7. Benzaldehyde diethylacetal 22. 1,3-Dinitrobenzene 8. Benzyl alcohol 23. 3-Nitro-benzaldehyde 9. Formic acid phenyl ester 24. Formic acid phenyl ester Friedel-Crafts 1. 3-Isopropyl-benzaldehyde 25. 4-Methyl-pent-3-en-2-one 2. 3-Benzoyl-benzaldehyde 26. 4-Hydroxy-4-phenyl- butan-2-one 3. 3-Acetyl-benzaldehyde 27. 4-Phenyl-but-3-en-2-one 4. 1-isopropyl-2-methyl- 28. Methyl acetate benzene 5. 1-Isopropyl-4-methyl- benzene Benzene Nitration 1. 1-Methyl-4-nitro-benzene 6. 4-Acetyltoluene 2. 1-Methyl-2-nitro-benzene 7. 2-Acetyltoluene 3. 1-Methyl-2,4-dinitro- 8. 2-Methyl-benzophenone benzene 4. 3-Nitro-benzaldehyde 9. 4-Methyl-benzophenone 5. Bromomethyl-benzene 10. Ethyl acetate B-15
  • 183.
    11. Methyl acetate 25. 1-Methyl-2-nitro-benzene 12. Benzoic acid ethyl ester 26. 1-Methyl-2,4-dinitro- benzene 13. Benzoic acid methyl ester 27. 3-Nitro-benzaldehyde 14. Bromoacetic acid ethyl 28. 3-Nitro-benzoic acid ester 15. Acetic acid 29. Bromomethyl-benzene 16. Benzoic acid 30. Formic acid phenyl ester 17. Bromoacetic acid 31. 2-Ethoxy-propane 18. 2,2-Diethoxy-propane 32. 2-Propanone 19. Benzaldehyde diethylacetal Acid Chloride 1. Acetyl chloride 20. Propan-2-ol 2. Benzoyl chloride 21. Benzyl alcohol 3. Heptanoyl chloride 22. N,N-Diisopropyl- acetamide 4. Ethyl acetate 23. N,N-Diisopropyl- benzamide 5. Benzoic acid ethyl ester 24. 1-Methyl-4-nitro-benzene 6. Ethyl heptanoate B-16
  • 184.
    7. Ethanol 11. 3-Oxo-butyric acid 8. Benzyl alcohol 12. 3-Oxo-butyric acid ethyl ester 9. 1-Heptanol 13. 3-Nitro-benzaldehyde 10. 3-Nitro-benzoic acid 14. Bicyclohexyliden-2-one 15. 2-(Hydroxy-phenyl- Carbonyl Reduction methyl)-cyclohexanone 1. Benzyl alcohol 16. 2-Benzylidene- cyclohexanone 2. 1-Cyclohexanol 17. 2-Acetyl-3-phenyl-acrylic acid 3. 3-Hydroxy-butyric acid methyl ester 18. 4-Phenyl-but-3-en-2-one 4. Benzaldehyde diethylacetal 19. 2-Acetyl-3-phenyl-acrylic acid methyl ester 5. 1,1-Diethoxy- cyclohexane 20. 2-Acetyl-3-phenyl-acrylic acid ethyl ester 6. 2-Bromo-cyclohexanone 21. 2-Cyclohexylidene- acetoacetic acid 7. 2-Bromo-3-oxo-butyric acid methyl ester 22. 1-Cyclohexylidene- propan-2-one 8. Benzoic acid 23. 2-Cyclohexylidene-3-oxo- butyric acid methyl ester 9. Formic acid phenyl ester 24. 2-Cyclohexylidene-3-oxo- butyric acid ethyl ester 10. Oxepan-2-one B-17
  • 185.
    Claisen Condensation 15. Propionic acid 1. 2-Oxo-cyclohexane carboxylic acid methyl ester 16. Heptanedioic acid 2. 3-Oxo-butyric acid methyl ester 17. Bromo-acetic acid methyl 3. 3-Oxo-pentanoic acid ester methyl ester 18. 2-Bromo-propanoic acid 4. 2-Methyl-3-oxo-butyric methyl ester acid methyl ester 19. 2-Bromo-heptanedioic 5. 2-Methyl-3-oxo-pentanoic acid dimethyl ester acid methyl ester 6. 3-Oxo-butyric acid ethyl Alcohol Oxidation ester 1. Benzoic acid 7. 2-Methyl-3-oxo-pentanoic acid ethyl ester 2. Benzaldehyde 8. 2-Oxo-cyclohexane carboxylic acid ethyl ester 3. Acetophenone 9. 3-Oxo-pentanoic acid ethyl ester 4. 3-Methyl-cyclohex-2- enone 10. 2-Methyl-3-oxo-butyric acid ethyl ester 5. Chlorophenylmethane 11. Ethyl acetate 6. 1-Chloro-1-phenylethane 12. Ethyl propionate 7. 3-Chloro-1-methyl- cyclohexene 13. Heptanedioic acid diethyl ester 8. Dibenzyl Ether 14. Acetic acid 9. Benzyl ethyl ether B-18
  • 186.
    10. bis-(1-Phenyl-ethyl)-ether 11. Ethyl-(1-phenyl-ethyl)- ether 12. Benzyl-(1-phenyl-ethyl)- ether 13. 1-Methyl-cyclohexane- 1,2,3-triol 14. 2-Hydroxy-2-methyl- hexanedioic acid 15. 1-Methyl-2,3- epoxycyclohexanol B-19
  • 187.
    Appendix C List ofOrganic Qualitative Analysis Unknowns A list of organic qualitative analysis unknowns that can be assigned arranged by unknown class. Alkenes 13. 1,2,3,4,5,6,7,8-Octahydro- 1. 1-Hexene naphthalene 14. 4,5-Dimethyl-cyclohexene 2. 1-Methyl-cyclohexene 15. Cyclohexa-1,3-diene 3. 4-Methyl-2-pentene 16. Cyclopenta-1,3-diene 4. 2-Methyl-1-butene 17. 4-Vinyl-cyclohexene 5. Styrene 18. 1,2-Dimethyl-cyclohexa- 6. 2-Methyl-2-pentene 1,4-diene 19. Bicylo[2.2.1]hept-2-ene 7. 1,3-Diphenyl-1-butene 20. 4-Nitro-styrene 8. Benzene 21. 2-Nitro-styrene 9. 1-isopropyl-2-methyl- benzene 22. nitro-Benzene 10. 1-Isopropyl-4-methyl- benzene 23. Cyclohex-2-enol 11. Indene 24. 2-Buten-1-ol 12. Cyclohexene 25. cis-Cyclopent-3-ene-1,2- diol C-1
  • 188.
    26. cis-4,5-Dimethyl- 40. 1,2-Dimethyl-1,2-epoxy- cyclohex-4-ene-1,2-diol cyclohex-4-ene 27. But-2-enal 41. 1-Ethoxy-2-butene 28. 3-Phenyl-propenal 42. N-Allylaniline 29. 2-Ethyl-hex-2-enal 43. Acrylamide 30. 4-Methyl-pent-3-en-2-one 44. Cinnamamide 31. 2,5-Cyclohexadiene-1,4- 45. 1-Bromo-but-3-en-2-ol dione 32. 3-Methyl-cyclohex-2- 46. 4-Bromo-3-ethoxy-but-1- enone ene 33. 2-Propenoic acid, methyl ester Alcohols 1. Benzyl alcohol 34. 2-Propenoic acid, ethyl ester 2. 3-Methyl-1-butanol 35. Cyclohex-3-enecarboxylic acid methyl ester 3. 2-Methyl-2-propanol 36. 2-Propenoic acid 4. 2-Methyl-butane-1,2-diol 37. 3-Chloro-cyclohexene 5. Methanol 38. 3-Chloro-1-butene 6. Ethanol 39. 1,4-Dibromo-2-butene 7. Butanol C-2
  • 189.
    8. 1-Hexanol 22. 1-Cyclohexanol 9. 1-Heptanol 23. trans-2-methyl- cyclohexanol 10. 2-Methyl-1-butanol 24. 2,3-Dimethyl-2-butanol 11. 2-Phenyl ethanol 25. 2-Phenyl-2-propanol 12. 4-tert-Butylbenzyl alcohol 26. 2-Methyl-2-pentanol 13. 2-Butanol 27. 2-Methyl-2-butanol 14. 2-Hexanol 28. 1,4-Butanediol 15. 1-Phenylethanol 29. Hexane-1,2-diol 16. Diphenyl-methanol 30. syn-Butane-2,3-diol 17. 1-Phenyl-1-propanol 31. syn-4-Methyl-pentane-2,3- diol 18. Propan-2-ol 32. cis-Cyclohexane-1,2-diol 19. 2,2-Dimethyl-pentan-3-ol 33. cis-1-Methyl-cyclohexane- 1,2-diol 20. 2-Methyl-3-pentanol 34. Phenol 21. 4-Methyl-2-pentanol 35. Benzene-1,3-diol C-3
  • 190.
    36. Cyclohexane-1,2,3-triol 50. 1-hydroxy-2,4,4-trimethyl- 1-phenyl-pentan-3-one 37. 2-Nitro-benzyl alcohol 51. 4-Chloro-1-butanol 38. 4-Nitro-benzyl alcohol 52. 1-Bromo-2-hexanol 39. 2,6-Dimethyl-4-nitro- 53. 1-Bromo-3,3-dimethyl-2- phenol butanol 40. Cyclohex-2-enol 54. 9-Bromo-10-hydroxy- trans-decalin 41. 2-Buten-1-ol 55. 2-Bromo-cyclohexane-1,3- diol 42. cis-Cyclopent-3-ene-1,2- 56. 2,3-Dibromo-cyclohexanol diol 43. cis-4,5-Dimethyl- 57. 3-Hydroxy-butyric acid cyclohex-4-ene-1,2-diol methyl ester 44. 3-Hydroxybutanal 58. 3-Hydroxy-2-methyl-3- phenyl-propionic acid 2,6- dimethyl-phenyl ester 45. 4-Hydroxy-4-phenyl- 59. 1-Bromo-but-3-en-2-ol butan-2-one 46. 2-Ethyl-3-hydroxy- 60. 3-Bromo-2-hydroxy- butyraldehyde propionic acid methyl ester 47. 4-Hydroxy-4-methyl- pentan-2-one Aldehydes 1. Butyraldehyde 48. 5-Hydroxy-2,2,4- trimethyl-octan-3-one 2. Benzaldehyde 49. 2-(Hydroxy-phenyl- methyl)-butyraldehyde 3. 3-Phenyl-propenal C-4
  • 191.
    4. 3-Methyl butanal 18. 4-Acetamidobenzaldehyde 5. 3-Isopropyl-benzaldehyde Ketones 6. 4-Nitrobenzaldehyde 1. 1-Phenyl-ethanone 7. 3-Nitro-benzaldehyde 2. Cyclohexanone 8. But-2-enal 3. 2-Propanone 9. 2-Ethyl-hex-2-enal 4. 2-Butanone 10. 3-Acetyl-benzaldehyde 5. 2,2-Dimethyl-pentan-3-one 11. 3-Hydroxybutanal 6. 4-Acetyltoluene 12. 3-Hydroxy-3-phenyl- 7. 2-Acetyltoluene propanal 13. 2-Ethyl-3-hydroxy- 8. 4-Methyl-benzophenone butyraldehyde 14. 2-(Hydroxy-phenyl- 9. Cyclodecane-1,6-dione methyl)-butyraldehyde 15. Bromo-acetaldehyde 10. Bicyclo[2.2.1]heptan-2-one 16. 4-Chloro-butyraldehyde 11. 4-Methyl-pent-3-en-2-one 17. 4-Chloro-benzaldehyde 12. 2-Cyclohexen-1-one C-5
  • 192.
    13. 3-Methyl-cyclohex-2- 3. Formic acid enone 14. 2,5-Cyclohexadiene-1,4- 4. Acetic acid dione 15. 3-Acetyl-benzaldehyde 5. Propionic acid 16. 4-Hydroxy-4-phenyl- 6. Butanoic acid butan-2-one 17. 4-Hydroxy-4-methyl- 7. Pentanoic acid pentan-2-one 18. 1-hydroxy-2,4,4-trimethyl- 8. 2-Methyl-propionic acid 1-phenyl-pentan-3-one 19. 5-Hydroxy-2,2,4- 9. 3-Methyl butanoic acid trimethyl-octan-3-one 20. 2-Bromo-cyclohexanone 10. 2,2-Dimethylpropanoic acid 21. 3-Oxo-butyric acid 11. 2-Phenylacetic acid 22. 2-Oxo-propionic acid 12. Cyclohexanecarboxylic acid 23. 3-Oxo-butyric acid methyl 13. Ethane-1,2-dioic acid ester 24. 2-Oxo-cyclohexane 14. Propanedioic acid carboxylic acid methyl ester 15. Hexanedioic acid Acids 1. Benzoic acid 16. Heptanedioic acid 2. Heptanoic acid C-6
  • 193.
    17. 3-Nitro-benzoic acid 4. Methyl acetate 18. 4-Nitro-benzoic acid 5. Ethyl acetate 19. 2-Nitrobenzeneacetic acid 6. Propionic acid ethyl ester 20. 2,4-Dinitrophenylacetic 7. Propanoic acid, 1,1- acid dimethylethyl ester 21. 2-Propenoic acid 8. Methyl butanoate 22. Bicyclo[2.2.1]hept-5-ene- 9. Ethyl butanoate 2-carboxylic acid 23. 3-Oxo-butyric acid 10. 3-Methylbutyl butanoate 24. 2-Oxo-propionic acid 11. Benzoic acid methyl ester 25. 2-Bromo-butanoic acid 12. Benzoic acid ethyl ester 26. m-Chlorobenzoic acid 13. Methyl phenylacetate 27. N-Acetylanthranilic acid 14. 3-Methylbutyl phenylacetate 15. Ethyl heptanoate Esters 1. Ethyl-2-phenyl acetate 16. Acetic acid 1-phenyl-ethyl ester 2. 3-Methylbutyl acetate 17. Formic acid methyl ester 3. Methyl propionate C-7
  • 194.
    18. Formic acid propyl ester 32. 3-Oxo-butyric acid methyl ester 19. Formic acid phenyl ester 33. 3-Oxo-butyric acid ethyl ester 20. Propionic acid 2,6- 34. 2-Oxo-cyclohexane dimethyl-phenyl ester carboxylic acid methyl ester 21. Dihydro-furan-2-one 35. Methyl 2-chloropropionate 22. Oxepan-2-one 36. 3-Hydroxy-butyric acid methyl ester 23. 1,7-Dimethyl- 37. 3-Bromo-2-hydroxy- heptanedioate propionic acid methyl ester 24. Heptanedioic acid diethyl 38. 3-Hydroxy-2-methyl-3- ester phenyl-propionic acid 2,6- dimethyl-phenyl ester 25. 3-Nitro-benzoic acid ethyl ester Amines 1. Benzylamine 26. Propionic acid-2,6- dimethyl-4-nitro-phenyl 2. Diisopropyl amine ester 27. 2-Bromo-heptanedioic acid dimethyl ester 3. Triethyl amine 28. 2-Propenoic acid, methyl 4. Methyl amine ester 29. 2-Propenoic acid, ethyl 5. Propyl amine ester 30. Cyclohex-3-enecarboxylic 6. n-Heptylamine acid methyl ester 31. But-2-ynedioic acid ethyl 7. n-Octylamine ester methyl ester C-8
  • 195.
    8. Isopropylamine 22. Quinoline 9. sec-Butylamine 23. N-Allylaniline 10. Aniline Amides 11. Diethylamine 1. N,N-Diisopropyl- acetamide 12. N-Methylpropylamine 2. Acetanilide 13. N-Ethylisopropylamine 3. Formamide 14. N-Methylaniline 4. Butyramide 15. N-Methyldibutylamine 5. Cyclohexanecarboxamide 16. Butyldiisopropylamine 6. N-Ethylacetamide 17. Benzyldiisopropylamine 7. 2,2-Dimethyl- propionamide 18. Triisopropylamine 8. N,N-Dimethylacetamide 19. N,N-Dimethylaniline 9. Formanilide 20. Cyclobutylamine 10. N,N-Diphenylformamide 21. 1-Phenylpiperidine 11. 1-Acetylpiperidine C-9
  • 196.
    12. Cinnamamide 10. 2-Chloro-hexane 13. 2-Bromopropionamide 11. 2-Chloro-butane 14. 4-Acetamidobenzaldehyde 12. 2-Chloro-3-methylbutane 15. 2-Bromo-N- 13. 2-Chloro-4-methyl pentane phenylpropionamide 16. N-Acetylanthranilic acid 14. 3-Chloro-2-methyl pentane 15. exo-2-Chloro- Halides bicyclo[2.2.1]heptane 1. Chlorophenylmethane 16. Bromocyclohexane 2. 2-Chloro-2-methyl propane 17. 2-Chloro-2-methylpentane 3. Chlorocyclohexane 18. 4a-Chloro-decahydro- naphthalene 4. 1-Chloro-3-methyl butane 19. 1,2-Dibromo-hexane 5. 1,4-Dibromo-2-butene 20. 1,2-Dibromo-2-methyl- butane 6. Chlorobutane 21. 1,2-Dibromo-1-methyl- cyclohexane 7. 1-tert-Butyl-4- chloromethyl-benzene 22. 4a,8a-Dibromo-decahydro- naphthalene 8. Ethyl bromide 23. 1-Chloromethyl-2-nitro- benzene 9. Bromomethyl-benzene C-10
  • 197.
    24. Benzene Chloride 38. Methyl 2-chloropropionate 25. Bromobenzene 39. 2-Bromo-heptanedioic acid dimethyl ester 26. 3-Chloro-1-butene 40. 2-Bromopropionamide 27. 3-Chloro-cyclohexene 41. 2-Bromo-N-phenyl propionamide 28. 4-Chloro-1-butanol 42. 1-Bromo-but-3-en-2-ol 29. 1-Bromo-2-hexanol 43. 4-Bromo-3-ethoxy- but-1-ene 30. 1-Bromo-3,3-dimethyl-2- 44. 3-Bromo-2-hydroxy- butanol propionic acid methyl ester 31. 9-Bromo-10-hydroxy- 45. 2-Bromo-cyclohexane-1,3- trans-decalin diol 32. Bromo-acetaldehyde 46. 2,3-Dibromo-cyclohexanol 33. 4-Chloro-benzaldehyde Ethers 1. 1,2-Epoxy-cyclohexane 34. 4-Chloro-butyraldehyde 2. Diethyl ether 35. 2-Bromo-cyclohexanone 3. 2-Methoxypropane 36. 2-Bromo-butanoic acid 4. 1-Ethoxy-butane 37. m-Chlorobenzoic acid 5. Di-tert-butyl ether C-11
  • 198.
    6. Diisopentyl ether 20. 4a,8a-Epoxy-decahydro- napthalene 7. Ethyl 2-hexyl ether 21. 1,1-Diethoxy-ethane 8. 2-Methoxy-2-methyl- 22. 2,2-Diethoxy-propane propane 9. Dibenzyl Ether 23. Benzaldehyde diethylacetal 10. Benzyl methyl ether 24. 1-Ethoxy-2-butene 11. Ethyl phenyl ether 25. 3,4-Epoxy-but-1-ene 12. Benzyl ethyl ether 26. 1,2-Dimethyl-1,2-epoxy- cyclohex-4-ene 13. Tetrahydrofuran 27. 4-Bromo-3-ethoxy-but-1- ene 14. 2,3-Epoxy-butane Natural Products 1. Citric Acid 15. 1,2-Epoxyhexane 2. Glycine 16. 1,2-Epoxyethylbenzene 3. Fumaric Acid 17. 3,3-Dimethyl-1,2- epoxybutane 4. Alpha-ketogluteric Acid 18. 1,2-Epoxy-2-methyl- butane 5. Dopamine 19. 1-Methyl-1,2- epoxycyclohexane 6. D-Glucose C-12
  • 199.
    7. Sucrose 8. Vanillin 9. Capsaicin 10. Cocaine 11. Cholesterol C-13
  • 200.
    Appendix D Quantum Equations Theexperiments in the quantum simulation are based on actual experimental measurements, as is the case for the emission and adsorption experiments or on equations that are derived from fundamental principles. Given in this section is a description of some of these equations that an instructor may wish to pass on to the students in the class. It is beyond the scope of this user’s guide to detail how these equations were derived. Most of the supporting information for these equations can be found in a good undergraduate physics text. In the case of the Millikan Oil Drop Experiment, the equations used in the simulation were developed from Millikan’s original paper. Photoelectric Effect. In the photoelectric experiment, the kinetic energy of the electron ejected from a metal due to an incident photon is calculated using the equation, E kinetic = h , where h is Planck’s constant, is the frequency of the photon, and is the work function for the metal. Values of the work function used for all the available metals are given in the Metal Table found in the QuantumDB directory. In this experiment, no multiple photon events are allowed to occur. Blackbody Radiation. In the quantum simulation, each available metal can be heated up to its melting point, where it is then allowed to melt. Before the metal melts, each metal is treated as a perfect blackbody emitter and follows Planck’s blackbody radiation formula. The equation that is used in the simulation is given in terms of the intensity (not the energy density, which is 8 hc 1 normally the case) and is I ( ) = N 5 hc k BT where I( ) is the intensity of the T e 1 radiation as a function of wavelength, ; N is a normalizing factor set to 0.2 to keep the intensity within the bounds of 0 to 1; and the other variables take on their normal values. Thompson Experiment. In the Thompson Experiment, the charge-to-mass ratio, q/me, for an electron can be calculated by measuring the deflection of a beam of electrons on a phosphor screen caused by an applied electric field and then measuring the magnitude of a perpendicular magnetic field required to bring the deflected beam back to the center of the phosphor screen. The setup and geometry of the experiment has an incident beam of electrons with a given kinetic energy (velocity), which passes through an electric field of strength E and a perpendicular magnetic field of strength B. Initially, B is set to 0 (zero), and the incident beam is deflected on the phosphor screen by applying a voltage across the electric plates. The deflection and voltage must be measured. The deflected beam is then brought back to the zero (or middle) of the phosphor screen by applying the magnetic field. From these measurements and using values specified in the INI variables, the charge-to-mass ratio for an electron, q/me, can be calculated. The derivation of the following equations is straightforward, but involves more detail than is necessary here. The charge-to-mass ratio, q/me, is calculated using the equation D-1
  • 201.
    q 2Ez = 2 2 , where me B l q = the charge on the electron in coulombs, me = the mass of the electron in kg, E = is the magnitude of the electric field calculated using E = V/d, V = voltage applied to the electric plates in volts, d = the spacing between the electric plates in m and is specified as an INI variable in Lab.ini (default setting = 0.050 m), z = the deflection of the electron beam as the beam exits the electric and magnetic fields, B = the applied magnetic field in T, and l = the length of the electric and magnetic fields. (This is also specified as an INI variable in Lab.ini. The default setting is 0.050 m.) The deflection of the electron beam as the beam exits the electric and magnetic field, z, cannot be measured directly, but must be calculated using the measured deflection on the phosphor screen, x. The equation that calculates z from x is straightforward to derive and reduces to x z= , where 1 + 2b l z = the deflection of the electron beam as the beam exits the electric and magnetic fields, x = the deflection of the electron beam as measured at the phosphor screen, b = the distance from the electric and magnetic field to the phosphor screen and is specified as an INI variable in Lab.ini (default setting = 0.762 m), l = the length of the electric and magnetic fields. (This is also specified as an INI variable in Lab.ini. The default setting is 0.050 m.) Millikan Oil Drop Experiment. In the Millikan Oil Drop Experiment, the charge of an electron is measured using the following process: (1) A random number of electrons (between 0 and 5) are deposited on very fine oil mist droplets using an electron gun. (2) The mass of an individual droplet is calculated by measuring the terminal velocity of the drop. (3) The drop is then suspended (or stopped from falling) by adjusting the voltage across the electric plates. (4) From the mass of the drop and the voltage required to suspend the drop, the charge on the drop can be calculated. The following equations are required for this calculation. To calculate the radius of the oil droplet from the terminal velocity, the first approximation of the radius, is 9 air vt r= , 2 g ( oil air ) D-2
  • 202.
    which can thenbe used to calculate a more accurate value using the equation 1/ 2 9 air vt 1 r= , 2 g ( oil air ) 1+ b pr where r on the right side of the equation is the radius acquired from the first approximation and the new r is used for the second iteration and so on until the answer converges. The variables are defined as follows: vt = terminal velocity; -2 g = 9.81 m s , acceleration due to gravity; oil = density of oil = 821 kg m-3 (set as an INI variable in Video.ini); air = density of air = 1.22 kg m-3 (set as an INI variable in Video.ini); air= viscosity of air = 1.4607 10-5 kg m-1 s-1 (set as an INI variable in Video.ini); -8 b = correction for small drop size = 8.1184 10 m atm; p = atmospheric pressure in atm = 1 (set as an INI variable in Video.ini). From this, the mass of the droplet can be calculated from the equation 4 m= r 3 oil . 3 If a voltage is applied such that the drop is stationary, then the force due to gravity is balanced by the force due to the electric field, or qE = mg . Rearranging and using E = V/dplates yields d plates m g d plates m g q= or Q(n) C = , where V V q= total charge on the drop, Q(n) = number of electrons on the drop (an integer), C= the fundamental charge of an electron, E= electric field = V/dplates, V= voltage across the plates, and dplates = the distance between the voltage plates = 0.010 m (set as an INI variable in Video.ini). To do a more refined calculation of q, or to calculate it for a nonzero velocity for an applied field, the equation D-3
  • 203.
    3 1/ 2 3/2 4 d plates 1 9 1 q= 3 V g( ) 2 air 1+ b pr (v t v field ) vt oil air can be used, where the only new variable not described previously, vfield, is the velocity of the drop in the applied electric field. D-4
  • 204.
    Appendix E Answers toPreset Unknowns Inorganic Qualitative Analysis Unknowns Unknown Cation Unknown Cation Unknown Cation 1 Na+ 43 Ba2+, Ca2+ 85 Zn2+ 2 K+ 44 Sr2+ 86 Sb3+ 3 Na+, K+ 45 Ba2+, Mg2+ 87 Sn4+ 4 Water 46 Ca2+ 88 Al3+ 5 Water 47 Sr2+, Ca2+ 89 Ag+, Mg2+, Cu2+ 6 Na+ 48 Mg2+ 90 Ag+, Mg2+, Cr3+ 7 K+ 49 Sr2+, Mg2+ 91 Ag+, Mg2+, Co2+ 8 Na+, K+ 50 Water 92 Ag+, Ca2+, Cu2+ 9 Pb2+ 51 Ca2+, Mg2+ 93 Ag+, Ca2+, Cr3+ 10 Hg22+ 52 Ba2+, Sr2+, Ca2+, Mg2+ 94 Ag+, Ca2+, Co2+ 11 Ag+ 53 Sr2+, Ca2+, Mg2+ 95 Ag+, Sr2+, Cu2+ 12 Water 54 Ba2+, Ca2+, Mg2+ 96 Ag+, Sr2+, Cr3+ 13 Ag+, Hg22+, Pb2+ 55 Ba2+, Sr2+, Mg2+ 97 Ag+, Sr2+, Co2+ 14 Hg22+, Pb2+ 56 Ba2+, Sr2+, Ca2+ 98 Ag+, Ba2+, Cu2+ 15 Ag+, Pb2+ 57 Co2+, Cu2+ 99 Ag+, Ba2+, Cr3+ 16 Ag+, Hg22+ 58 Co2+, Ni2+ 100 Ag+, Ba2+, Co2+ 17 Water 59 Cu2+, Ni2+ 101 Hg22+, Ba2+, Co2+ 18 Ag+, Hg22+, Pb2+ 60 Co2+, Cu2+, Ni2+ 102 Hg22+, Ba2+, Cr3+ 19 Ag+, Hg22+ 61 Water 103 Hg22+, Ba2+, Cu2+ 20 Ag+, Pb2+ 62 Ni2+ 104 Hg22+, Sr2+, Co2+ 21 Hg22+, Pb2+ 63 Cu2+ 105 Hg22+, Sr2+, Cr3+ 22 Ag+ 64 Co2+ 106 Hg22+, Sr2+, Cu2+ 23 Pb2+ 65 Water 107 Hg22+, Ca2+, Co2+ 24 Hg22+ 66 Co2+ 108 Hg22+, Ca2+, Cr3+ 25 Co2+, Cr3+ 67 Cu2+ 109 Hg22+, Ca2+, Cu2+ 26 Co2+, Cu2+ 68 Ni2+ 110 Hg22+, Mg2+, Co2+ 27 Cr3+, Cu2+ 69 Co2+, Cu2+, Ni2+ 111 Hg22+, Mg2+, Cr3+ 28 Water 70 Cu2+, Ni2+ 112 Hg22+, Mg2+, Cu2+ 29 Co2+, Cr3+, Cu2+ 71 Co2+, Ni2+ 113 Pb2+, Mg2+, Cu2+ 30 Cr3+ 72 Co2+, Cu2+ 114 Pb2+, Mg2+, Cr3+ 31 Cu2+ 73 Al3+, Sb3+ 115 Pb2+, Mg2+, Co2+ 32 Co2+ 74 Al3+, Sn4+ 116 Pb2+, Ca2+, Cu2+ 33 Co2+, Cr3+, Cu2+ 75 Al3+, Zn2+ 117 Pb2+, Ca2+, Cr3+ 34 Water 76 Sb3+, Sn4+ 118 Pb2+, Ca2+, Co2+ 35 Co2+ 77 Sb3+, Zn2+ 119 Pb2+, Sr2+, Cu2+ 36 Cu2+ 78 Sn4+, Zn2+ 120 Pb2+, Sr2+, Cr3+ 37 Cr3+ 79 Water 121 Pb2+, Sr2+, Co2+ 38 Cr3+, Cu2+ 80 Al3+, Sb3+, Sn4+ 122 Pb2+, Ba2+, Cu2+ 39 Co2+, Cr3+ 81 Al3+, Sb3+, Zn2+ 123 Pb2+, Ba2+, Cr3+ 40 Co2+, Cu2+ 82 Al3+, Sn4+, Zn2+ 124 Pb2+, Ba2+, Co2+ 41 Ba2+, Sr2+ 83 Sb3+, Sn4+, Zn2+ 42 Ba2+ 84 Al3+, Sb3+, Sn4+, Zn2+ E-1
  • 205.
    Organic Qualitative AnalysisUnknowns Alkenes 48. 3-Nitro-benzoic acid 1. 1,4-Dibromo-2-butene 49. 4-Nitro-benzoic acid 2. 1-Ethoxy-2-butene 50. 2,4-Dinitrophenylacetic acid 3. 2-Buten-1-ol 51. 2-Methyl-propionic acid 4. 2-Methyl-2-pentene 52. Ethanedioc acid 5. 3-Chloro-1-butene 6. 4-Methyl-pent-3-en-2-one Alcohols 7. Ethyl acrylate 53. Benzyl alcohol 8. Methyl acrylate 54. 3-Methyl-1-butanol 9. 2-Propenoic acid 55. 2-Methyl-2-propanol 10. Acrylamide 56. 2-Methyl-butane-1,2-diol 11. N-Vinylaniline 57. 1-Butanol 12. 2,5-Cyclohexadiene-1,4-dione 58. 1-Heptanol 13. But-2-enal 59. 1-Hexanol 14. 3-Phenyl-propenal 60. 2-Methyl-1-butanol 15. Cinnamamide 61. 2-Phenyl ethanol 16. Cyclohexene 62. 4-tert-Butylbenzyl alcohol 17. Cyclopenta-1,3-diene 63. 2-Nitro-benzyl alcohol 18. 4,5-Dimethyl-cyclohexene 64. 4-Nitro-benzyl alcohol 19. 1-Hexene 65. 2-Butanol 20. 2-Methyl-1-butene 66. 1-Hexanol 21. 3-Methyl-cyclohex-2-enone 67. 1-Phenylethanol 22. 1-Methyl-cyclohexene 68. Diphenyl-methanol 23. 4-Methyl-2-pentene 69. 1-Phenyl-1-propanol 24. nitro-Benzene 70. 2,2-Dimethyl-pentan-3-ol 25. 2-Nitro-styrene 71. 2-Methyl-3-pentanol 26. 4-Nitro-styrene 72. 4-Methyl-2-pentanol 27. Styrene 73. Cyclohexanol 74. 2,3-Dimethyl-2-butanol Acids 75. 2-Phenyl-2-propanol 28. Benzoic acid 76. 2-Methyl-2-pentanol 29. Heptanedioic acid 77. 2-Methyl-2-butanol 30. Heptanoic acid 78. 2-Chloro-4-methyl pentane 31. Cyclohexanecarboxylic acid 79. 3-Chloro-2-methyl pentane 32. Acetic acid 80. Bromobenzene 33. Hexanedioic acid 81. Bromomethyl-benzene 34. Butanoic acid 35. 2,2-Dimethylpropanoic acid Amides 36. Formic acid 82. N-Ethylacetamide 37. 3-Methyl butanoic acid 83. Formamide 38. Propanedioic acid 84. Butyramide 39. Pentanoic acid 85. N,N-Dimethylacetamide 40. 2-Phenylacetic acid 86. Cyclohexanecarboxamide 41. Propionic acid 87. Formanilide 42. 3-Oxo-butyric acid 88. 1-Acetylpiperidine 43. 2-Propenoic acid 89. N,N-Diphenylformamide 44. 2-Oxo-propionic acid 90. 2-Bromopropionamide 45. 2-Nitrobenzeneacetic acid 91. Cinnamamide 46. m-Chlorobenzoic acid 92. Acetanilide 47. 2-Bromo-butanoic acid Amines 93. Benzylamine E-2
  • 206.
    94. n-Heptylamine 140. Ethyl phenyl ether 95. Diisopropyl amine 141. Benzyl ethyl ether 96. Triethyl amine 142. Ethyl 2-hexyl ether 97. Methyl amine 143. Di-tert-butyl ether 98. Propyl amine 144. 1-Ethoxy-2-butene 99. Aniline 145. 2-Methoxy-2-methyl-propane 100. sec-Butylamine 146. 1,1-Diethoxy-ethane 101. N-Methylaniline 147. 2,2-Diethoxy-propane 102. N-Methyldibutylamine 148. Dibenzyl Ether 103. N-Methylpropylamine 149. 1-Ethoxy-butane 104. Cyclobutylamine 150. 2-Methoxypropane 105. n-Octylamine 151. Diisopentyl ether 106. Triisopropylamine 107. N,N-Dimethylaniline Halides 108. Quinoline 152. Benzyl chloride 109. Isopropylamine 153. 2-Chloro-2-methyl propane 154. Chlorocyclohexane Esters 155. 1-Chloro-3-methyl butane 110. Ethyl-2-phenyl acetate 156. Benzene Chloride 111. 3-Methylbutyl acetate 157. 4-Chloro-1-butanol 112. Methyl propionate 158. 2-Chloro-norbornane 113. Methyl acrylate 159. 3-Chloro-cyclohexene 114. 1,7-Dimethyl-heptanedioate 160. 3-Chloro-1-butene 115. Methyl acetylacetate 161. 3-Bromo-cyclohexane-1,2-diol 116. 2-Oxo-cyclohexane carboxylic acid 162. 4-Chloro-benzaldehyde methyl ester 163. 4-Chloro-butyraldehyde 117. Ethyl heptanoate 164. Bromo-acetaldehyde 118. Ethyl-2-phenyl acetate 165. 2-Bromo-cyclohexanone 119. Propyl formate 166. m-Chlorobenzoic acid 120. Ethyl acrylate 167. 2-Nitrobenzyl chloride 121. Methyl 2-chloropropionate 168. 4-tert-Butyl-benzyl chloride 122. 3-Hydroxy-butyric acid methyl ester 169. 1-Bromo-3,3-dimethyl-2-butanol 123. 2-Bromo-heptanedioic acid dimethyl 170. 1-Bromo-2-hexanol ester 171. 1,4-Dibromo-2-butene 124. Cyclohex-3-enecarboxylic acid methyl 172. 2-Bromo-butanoic acid ester 173. Bromocyclohexane 125. Ethyl acetoacetate 174. Ethyl bromide 126. Ethyl butanoate 175. 1,2-Dibromo-hexane 127. Ethyl benzoate 176. 2-Chloro-butane 128. Ethyl 3-nitrobenzoate 177. 2-Chloro-hexane 129. Methyl formate 178. 2-Chloro-3-methylbutane 130. Phenylformate 179. 2-Chloro-2-methylpentane 131. 3-Methylbutyl butanoate 180. Hexane-1,2-diol 132. 3-Methylbutyl phenylacetate 181. syn-Butane-2,3-diol 133. Methyl butanoate 182. Benzene-1,3-diol 134. Methyl phenylacetate 183. 2,6-Dimethyl-4-nitro-phenol 135. Heptanedioic acid diethyl ester 184. Cyclohex-2-enol 136. Propanoic acid, 1,1-dimethylethyl ester 185. 2-Buten-1-ol 137. Propionic acid 2,6-dimethyl-phenyl 186. 3-Hydroxybutanal ester 187. 4-Hydroxy-4-phenyl-butan-2-one 188. 4-Chloro-1-butanol Ethers 189. 1-Bromo-2-hexanol 138. Diethyl ether 190. 1-Bromo-but-3-en-2-ol 139. Tetrahydrofuran 191. 3-Hydroxy-butyric acid methyl ester E-3
  • 207.
    240. Triethyl amine Ketones 241. Aniline 192. Acetophenone 242. N,N-Dimethylaniline 193. Cyclohexanone 243. Methyl propionate 194. 2-Propanone 244. Ethyl heptanoate 195. 2-Butanone 245. Ethyl acetoacetate 196. 2,2-Dimethyl-pentan-3-one 246. Ethyl benzoate 197. 4-Acetyltoluene 247. Diethyl ether 198. 2-Acetyltoluene 248. Tetrahydrofuran 199. 4-Methyl-benzophenone 249. Dibenzyl Ether 250. 3-Chloro-cyclohexene Aldehydes 251. 1-Bromo-2-hexanol 200. Butyraldehyde hydrate 252. Bromocyclohexane 201. Benzaldehyde 253. Ethyl bromide 202. 3-Phenyl-propenal 254. 2-Chloro-3-methylbutane 203. 3-Methyl butanal 255. syn-Butane-2,3-diol 204. 3-Isopropyl-benzaldehyde 256. Cyclohex-2-enol 205. 4-Nitrobenzaldehyde 257. Acetophenone 206. But-2-enal 258. Cyclohexanone 207. 3-Hydroxybutanal 259. 2-Butanone 208. 3-Hydroxy-3-phenyl-propanal 260. Benzaldehyde 209. Bromo-acetaldehyde 261. 3-Methyl butanal 210. 4-Chloro-butyraldehyde 262. But-2-enal 211. 4-Chloro-benzaldehyde 212. 4-Acetamidobenzaldehyde General Unknown 213. 1-Ethoxy-2-butene 214. 2-Methyl-2-pentene 215. 2-Propenoic acid 216. But-2-enal 217. Cyclohexene 218. Cyclopenta-1,3-diene 219. 1-Hexene 220. 1-Methyl-cyclohexene 221. nitro-Benzene 222. Styrene 223. Benzoic acid 224. Cyclohexanecarboxylic acid 225. Acetic acid 226. Butanoic acid 227. Propanedioic acid 228. 2-Phenylacetic acid 229. m-Chlorobenzoic acid 230. Ethanedioc acid 231. 1-Butanol 232. 1-Hexanol 233. 1-Phenylethanol 234. 4-Methyl-2-pentanol 235. 2-Chloro-4-methyl pentane 236. Bromobenzene 237. N,N-Dimethylacetamide 238. N,N-Diphenylformamide 239. Benzylamine E-4
  • 208.
    Titration Unknowns Preset #2 10. 64.62 wt% 3. 0.2968 M 13. 0.0137 M 1. 0.1611 M 11. 64.65 wt% 4. 0.2910 M 14. 0.0138 M 2. 0.1552 M 12. 65.02 wt% 5. 0.2879 M 15. 0.0139 M 3. 0.1518 M 13. 66.16 wt% 6. 0.2870 M 4. 0.1501 M 14. 68.96 wt% 7. 0.2880 M 5. 0.1497 M 15. 74.88 wt% 8. 0.2907 M 6. 0.1503 M 9. 0.2948 M 7. 0.1516 M Preset #8 10. 0.3004 M 8. 0.1535 M 1. 0.3209 M 11. 0.3073 M 9. 0.1559 M 2. 0.3064 M 12. 0.3156 M 10. 0.1587 M 3. 0.2968 M 13. 0.3253 M 11. 0.1619 M 4. 0.2910 M 14. 0.3364 M 12. 0.1654 M 5. 0.2879 M 15. 0.3491 M 13. 0.1692 M 6. 0.2870 M 14. 0.1732 M 7. 0.2880 M Preset #13 15. 0.1774 M 8. 0.2907 M 1. 79.12 wt% 9. 0.2948 M 2. 78.50 wt% Preset #4 10. 0.3004 M 3. 77.96 wt% 1. 0.2566 M 11. 0.3073 M 4. 77.47 wt% 2. 0.2457 M 12. 0.3156 M 5. 77.03 wt% 3. 0.2389 M 13. 0.3253 M 6. 76.63 wt% 4. 0.2349 M 14. 0.3364 M 7. 76.28 wt% 5. 0.2330 M 15. 0.3491 M 8. 75.96 wt% 6. 0.2328 M 9. 75.72 wt% 7. 0.2340 M Preset #10 10. 75.62 wt% 8. 0.2364 M 1. 74.84 wt% 11. 75.92 wt% 9. 0.2399 M 2. 74.23 wt% 12. 77.29 wt% 10. 0.2442 M 3. 73.70 wt% 13. 81.48 wt% 11. 0.2495 M 4. 73.24 wt% 14. 91.86 wt% 12. 0.2556 M 5. 72.83 wt% 15. 87.51 wt% 13. 0.2625 M 6. 72.46 wt% 14. 0.2703 M 7. 72.13 wt% Preset #15 15. 0.2788 M 8. 71.84 wt% 1. 0.0133 M 9. 71.62 wt% 2. 0.0132 M Preset #6 10. 71.51 wt% 3. 0.0131 M 1. 67.52 wt% 11. 71.68 wt% 4. 0.0131 M 2. 66.94 wt% 12. 72.62 wt% 5. 0.0131 M 3. 66.45 wt% 13. 75.45 wt% 6. 0.0131 M 4. 66.05 wt% 14. 82.47 wt% 7. 0.0132 M 5. 65.70 wt% 15. 97.25 wt% 8. 0.0132 M 6. 65.40 wt% 9. 0.0133 M 7. 65.13 wt% Preset #11 10. 0.0134 M 8. 64.91 wt% 1. 0.3209 M 11. 0.0135 M 9. 64.73 wt% 2. 0.3064 M 12. 0.0136 M E-5