Embed presentation
Download to read offline


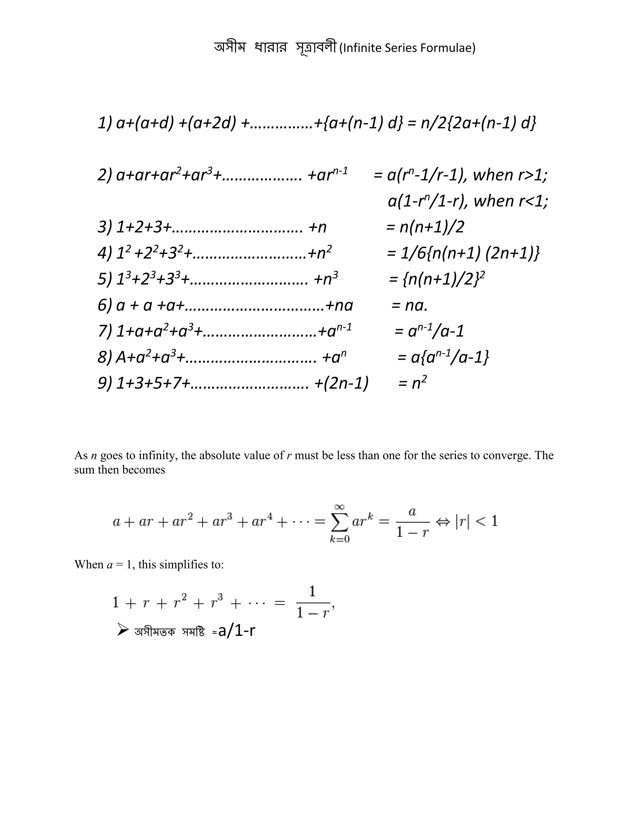
The document provides various infinite series formulae, detailing the sums of arithmetic and geometric series as well as the sums of natural numbers, squares, and cubes. Key formulas include the sum of an arithmetic series, the geometric series for different values of r, and formulas for specific power series. It emphasizes conditions for convergence, specifically that the absolute value of r must be less than one.
