Immersive Recommendation
Deep User and Content Modeling for Personalization
Longqi Yang, Ph.D. student
Connected Experiences Lab, Small Data Lab
Cornell Tech
Collaborators
Faculty
Interns
Industry
Collaborators
Ph.D. students
PostDocs
What we will be talking about today
Recommendation Systems: Past, Present and Future
Immersive Recommendation.
OpenRec.
Recommendation Systems Research
The Matrix
From item-based filtering to Netflix Challenge
…
… … … … …
…
…
…
Item-based filtering
(WWW 2001)
?4
1 1
4 5
Sarwar, Badrul, et al. "Item-based collaborative
filtering recommendation algorithms."
Proceedings of the 10th international conference
on World Wide Web. ACM, 2001.
1
5
1
…
… … … … …
…
…
…
Item-based filtering
(WWW 2001)
?4 1
1 1 5
4 5 4
Sarwar, Badrul, et al. "Item-based collaborative
filtering recommendation algorithms."
Proceedings of the 10th international conference
on World Wide Web. ACM, 2001.
…
… … … … …
…
…
…
Item-based filtering
(WWW 2001)
?4 1
1 1 5
4 5 4
0.9 0.1
Sarwar, Badrul, et al. "Item-based collaborative
filtering recommendation algorithms."
Proceedings of the 10th international conference
on World Wide Web. ACM, 2001.
…
… … … … …
…
…
…
Item-based filtering
(WWW 2001)
?4 1
1 1 5
4 5 4
0.9 0.1
Sarwar, Badrul, et al. "Item-based collaborative
filtering recommendation algorithms."
Proceedings of the 10th international conference
on World Wide Web. ACM, 2001.
…
… … … … …
…
…
…
Item-based filtering
(WWW 2001)
3.74 1
1 1 5
4 5 4
0.9 0.1
Sarwar, Badrul, et al. "Item-based collaborative
filtering recommendation algorithms."
Proceedings of the 10th international conference
on World Wide Web. ACM, 2001.
Early Adoption by Amazon.com
Netflix Challenge (Prize)
We’re quite curious, really. To the tune of one million dollars…
… To help customers find movies, we’ve developed our world-class movie
recommendation system: Cinematch. Its job is to predict whether someone will enjoy a
movie based on how much they liked or disliked other movies …
… We provide you with a lot of anonymous rating data, and a prediction accuracy bar that
is 10% better than what Cinematch can do on the same training data set… If you develop a
system that we judge most beats that bar on the qualifying test set we provide, you get
serious money and the bragging rights …
Netflix Challenge (Prize)
Cinematch score - RMSE = 0.9525
2007 Progress Prize - RMSE = 0.8723 8.42%
2008 Progress Prize - RMSE = 0.8627 9.27%
2009 Grand Prize - RMSE = 0.8567 10.06%
(AT&T Research)
Rating-based
recommendations
Beyond Matrix
Implicit feedback
Deep Content Modeling
Beyond “black-box items”
Beyond Accuracy
Diversity and Fairness
Rich Context and Modality
Learning preference from auxiliary channels
Beyond Matrix
Implicit feedback
Deep Content Modeling
Beyond “black-box items”
Beyond Accuracy
Diversity and Fairness
Rich Context and Modality
Learning preference from auxiliary channels
Click-through
Upvote/Like
View/Watch/Visit
Listen/Play
Implicit Feedback
Main Challenge of Implicit Feedback
Only “positive signal” is observed
Does “rating estimation” still work?
…
… … … … …
…
…
…
?1
1 1
1 1
1
1
1
Main Challenge of Implicit Feedback
…
… … … … …
…
…
…
11
1 1
1 1
1
1
1
Main Challenge of Implicit Feedback
…
… … … … …
…
…
…
11
1 1
1 1
1
1
1
No matter
what this
item is!
Main Challenge of Implicit Feedback
Feature Learning Framework for Implicit Feedback
[0.1 -0.2 0.35 … 0.15]𝒖 𝟏 = 𝒗 𝟏 = [-0.05 0.5 0.1 … -0.3]
𝒖 𝟐
𝒖 𝑵
…
𝒗 𝟐
𝒗 𝑴
…
Optimization
One Example – Bayesian Personalized Ranking (BPR)
𝒖𝒊, 𝒗 𝒑, 𝒗 𝒏For all
m𝑎𝑥 ln 𝜎 𝒖𝒊 ∙ 𝒗 𝒑 − 𝒖𝒊 ∙ 𝒗 𝒏
Rendle, Steffen, et al. "BPR: Bayesian personalized ranking from
implicit feedback." Proceedings of the twenty-fifth conference on
uncertainty in artificial intelligence. AUAI Press, 2009.
user i
An item that the user “click”
An item that the user does not “click”
Algorithms (Incomprehensive List)
• Weighted Regularized Matrix Factorization (WRMF)
• Probabilistic Matrix Factorization (PMF)
“Shallow” Models:
• Weighted Approximately Ranked Pairwise Loss (WARP)
“Deep” Models:
Hsieh, Cheng-Kang, et al. "Collaborative metric learning." Proceedings of the 26th International
Conference on World Wide Web. International World Wide Web Conferences Steering Committee, 2017.• Collaborative Metric Learning (CML)
He, Xiangnan, et al. "Neural collaborative filtering." Proceedings of the 26th International Conference
on World Wide Web. International World Wide Web Conferences Steering Committee, 2017.• Neural Collaborative Filtering
Mnih, Andriy, and Ruslan R. Salakhutdinov. "Probabilistic matrix factorization." Advances in
neural information processing systems. 2008.
• Wide and Deep Learning for Recommender Systems
Hu, Yifan, Yehuda Koren, and Chris Volinsky. "Collaborative filtering for implicit feedback
datasets." Data Mining, 2008. ICDM'08. Eighth IEEE International Conference on. Ieee, 2008.
Cheng, Heng-Tze, et al. "Wide & deep learning for recommender systems." Proceedings of the 1st
Workshop on Deep Learning for Recommender Systems. ACM, 2016.
Weston, Jason, Samy Bengio, and Nicolas Usunier. "Wsabie: Scaling up to large vocabulary image
annotation." IJCAI. Vol. 11. 2011.
Beyond Matrix
Implicit feedback
Deep Content Modeling
Beyond “black-box items”
Beyond Accuracy
Diversity and Fairness
Rich Context and Modality
Learning preference from auxiliary channels
Pure Collaborative Filtering is cool (and maybe accurate), but real world
recommendations are far more complex than “likes”
Understanding the contents really matters! - Articles
Is it appropriate to recommend
these two articles together?
Pure Collaborative Filtering is cool (and maybe accurate), but real world
recommendations are far more complex than “likes”
Understanding the contents really matters! - Food
Random
(Most healthy)
Trattner, Christoph, and David Elsweiler.
"Investigating the healthiness of internet-
sourced recipes: implications for meal
planning and recommender systems."
Proceedings of the 26th International
Conference on World Wide Web. International
World Wide Web Conferences Steering
Committee, 2017
Pure Collaborative Filtering is cool (and maybe accurate), but real world
recommendations are far more complex than “likes”
Understanding the contents really matters! - Food
“Users in general tend to interact most often with the least
healthy recipes. Recommender algorithms tend to score
popular items highly and thus on average promote unhealthy
items.”
Trattner, Christoph, and David Elsweiler.
"Investigating the healthiness of internet-
sourced recipes: implications for meal
planning and recommender systems."
Proceedings of the 26th International
Conference on World Wide Web. International
World Wide Web Conferences Steering
Committee, 2017
Pure Collaborative Filtering is cool (and maybe accurate), but real world
recommendations are far more complex than “likes”
Understanding the contents really matters! – Cold Start
A new fashion cloth
A new online course
A new job post
Recommendations
without user feedback
Deep Content Modeling for Recommendations
(C/R/Res/Adversarial/Rei
nforcement) NN
User Item Interaction
Optimization
Beyond Matrix
Implicit feedback
Deep Content Modeling
Beyond “black-box items”
Beyond Accuracy
Diversity and Fairness
Rich Context and Modality
Learning preference from auxiliary channels
Are ratings/clicks/views enough for recommendations?
Context matters! – Music Recommendation
Schedl, Markus, et al. "Music recommender systems."
Recommender Systems Handbook. Springer US, 2015. 453-492.
Schedl, Markus, Peter Knees, and Fabien Gouyon. "New Paths in
Music Recommender Systems Research." Proceedings of the
Eleventh ACM Conference on Recommender Systems. ACM, 2017.
time location weather
Environmental Context
Individual Context
emotion activity social context
Schedl, Markus, Georg Breitschopf, and Bogdan Ionescu.
"Mobile Music Genius: Reggae at the Beach, Metal on a
Friday Night?." Proceedings of International Conference on
Multimedia Retrieval. ACM, 2014.
Recommendations are not always “a list”: Rich modality
Sun, Yu, et al. "Contextual intent tracking for personal assistants."
Proceedings of the 22nd ACM SIGKDD International Conference on
Knowledge Discovery and Data Mining. ACM, 2016.
Kang, Jie, et al. "Understanding How People Use Natural
Language to Ask for Recommendations." Proceedings of the
Eleventh ACM Conference on Recommender Systems. ACM, 2017.
Rich Context and Modality
(C/R/Res/Adversarial/Rei
nforcement) NN
User Item Interaction
Optimization
(C/R/Res/Adversarial/Rei
nforcement) NN
(C/R/Res/Adversarial/Rei
nforcement) NN
Beyond Matrix
Implicit feedback
Deep Content Modeling
Beyond “black-box items”
Beyond Accuracy
Diversity and Fairness
Rich Context and Modality
Learning preference from auxiliary channels
Accuracy
Popularity & Similarity
Diversity – Filtering bubble and echo chamber
Fairness – Long tail and Minority
# views
(attention)
popular unpopular
Fairness – Long tail and Minority
Recommender system
better
worse
Yao, Sirui, and Bert Huang. "Beyond Parity: Fairness
Objectives for Collaborative Filtering." arXiv preprint
arXiv:1705.08804 (2017).
Incorporating diversity and fairness into recommendations
(C/R/Res/Adversarial/Rei
nforcement) NN
User Item Interaction
Optimization
(C/R/Res/Adversarial/Rei
nforcement) NN
(C/R/Res/Adversarial/Rei
nforcement) NN
Penalize homogeneous and
unfair recommendations
Immersive Recommendation
Immersive Recommendation
Deep understanding of users’ diverse digital traces
Deep modeling of heterogeneous contents
+
=
News Events Food Art Spoken word
Immersive Recommendation
Deep understanding of users’ diverse digital traces
Deep modeling of heterogeneous contents
+
=
News Events Food Art Spoken word
Yum-me
Bringing healthiness into the recommendation of food
Yang, Longqi, et al. "Yum-Me: A Personalized Nutrient-Based Meal Recommender
System." ACM Transactions on Information Systems (TOIS) 36.1 (2017): 7.
*Number of Americans Living with Diet-and Inactivity-Related Diseases
Obesity
HBP
Diabetes
113M
50M
15M
Critical Issue of Food
The problem is not awareness, but adherence
How can we (efficiently) find meals that are healthy but also
cater to people’s tastes? - Bringing the notion of healthiness into
recommendations!
Yum-me: An interactive healthy meal recommendation system
Take a look at the food below and tap all
that look delicious to you.
http:// http://
Compare the food pair below and tap on
whichever looks delicious to you.
Press on Yuck if neither of
them fits to your taste
2iters + 13iters
2iters + 13iters
2iters + 13iters
Browser
Mobile
Wearable
Personal Dietary Profile
(Food Preferences)
… …
Healthy meal recommendations based
on dietary restrictions
Re-ranking
Personalized healthy meal recommendations
…...
…...
Phase I Phase II
Take a look at the food
below and tap all that
look delicious to you.
Compare the food pair below
and tap on whichever looks
delicious to you.
Press on Yuck if neither of
them fits to your taste
Take a look at the food
below and tap all that
look delicious to you.
Compare the food pair below
and tap on whichever looks
delicious to you.
Press on Yuck if neither of
them fits to your taste
http://
Choose the closest diet type to you.
⌾No restrictions ⌾ Vegetarian⌾ Vegan
⌾ Kosher ⌾ Halal
Identify your health goals.
⌾Reduce ⌾ Maintain ⌾ Increase
⌾Reduce ⌾ Maintain ⌾ Increase
⌾Reduce ⌾ Maintain ⌾ Increase
Calories
Protein
Fat
+
Survey
Choose the closest diet
type to you.
Identify your health goals.
⌾Reduce
⌾ Maintain
Calories
⌾No restrictions
⌾ Vegetarian
⌾ Vegan
⌾ Kosher
⌾ Halal
+
+
Choose the closest diet
type to you.
⌾No restrictions
⌾ Vegetarian
⌾ Vegan
⌾ Kosher
⌾ Halal
Yum-me: An interactive healthy meal recommendation system
Take a look at the food below and tap all
that look delicious to you.
http:// http://
Compare the food pair below and tap on
whichever looks delicious to you.
Press on Yuck if neither of
them fits to your taste
2iters + 13iters
2iters + 13iters
2iters + 13iters
Browser
Mobile
Wearable
Personal Dietary Profile
(Food Preferences)
… …
Healthy meal recommendations based
on dietary restrictions
Re-ranking
Personalized healthy meal recommendations
…...
…...
Phase I Phase II
Take a look at the food
below and tap all that
look delicious to you.
Compare the food pair below
and tap on whichever looks
delicious to you.
Press on Yuck if neither of
them fits to your taste
Take a look at the food
below and tap all that
look delicious to you.
Compare the food pair below
and tap on whichever looks
delicious to you.
Press on Yuck if neither of
them fits to your taste
http://
Choose the closest diet type to you.
⌾No restrictions ⌾ Vegetarian⌾ Vegan
⌾ Kosher ⌾ Halal
Identify your health goals.
⌾Reduce ⌾ Maintain ⌾ Increase
⌾Reduce ⌾ Maintain ⌾ Increase
⌾Reduce ⌾ Maintain ⌾ Increase
Calories
Protein
Fat
+
Survey
Choose the closest diet
type to you.
Identify your health goals.
⌾Reduce
⌾ Maintain
Calories
⌾No restrictions
⌾ Vegetarian
⌾ Vegan
⌾ Kosher
⌾ Halal
+
+
Choose the closest diet
type to you.
⌾No restrictions
⌾ Vegetarian
⌾ Vegan
⌾ Kosher
⌾ Halal
Interactive Learning Process
propagate
Interactive Learning Process
selection
Similarity between Food Items
0.9151
0.6471
0.9652
1.3484 1.3410
1.3484 1.1476
Siamese Network
Similarity between Food Items
(a) No restrictions (b) Vegetarian
Yum-me: An interactive healthy meal recommendation system
Take a look at the food below and tap all
that look delicious to you.
http:// http://
Compare the food pair below and tap on
whichever looks delicious to you.
Press on Yuck if neither of
them fits to your taste
2iters + 13iters
2iters + 13iters
2iters + 13iters
Browser
Mobile
Wearable
Personal Dietary Profile
(Food Preferences)
… …
Healthy meal recommendations based
on dietary restrictions
Re-ranking
Personalized healthy meal recommendations
…...
…...
Phase I Phase II
Take a look at the food
below and tap all that
look delicious to you.
Compare the food pair below
and tap on whichever looks
delicious to you.
Press on Yuck if neither of
them fits to your taste
Take a look at the food
below and tap all that
look delicious to you.
Compare the food pair below
and tap on whichever looks
delicious to you.
Press on Yuck if neither of
them fits to your taste
http://
Choose the closest diet type to you.
⌾No restrictions ⌾ Vegetarian⌾ Vegan
⌾ Kosher ⌾ Halal
Identify your health goals.
⌾Reduce ⌾ Maintain ⌾ Increase
⌾Reduce ⌾ Maintain ⌾ Increase
⌾Reduce ⌾ Maintain ⌾ Increase
Calories
Protein
Fat
+
Survey
Choose the closest diet
type to you.
Identify your health goals.
⌾Reduce
⌾ Maintain
Calories
⌾No restrictions
⌾ Vegetarian
⌾ Vegan
⌾ Kosher
⌾ Halal
+
+
Choose the closest diet
type to you.
⌾No restrictions
⌾ Vegetarian
⌾ Vegan
⌾ Kosher
⌾ Halal
Re-ranking
healthy unhealthy
Re-ranked by an user’s preference
Top N recommendations
User study
Step 1. Users identify their
diet types and health goals.
Step 2. Users use visual
interace to express their
fine-grained food
preferences.
Step 3. Users identify each of
recommended meals as either
Yummy or No way. (The order
of the items is randomized)
Top 500 healthy items that
meet users’ diet types and
health goals.
Select top 10 items
ranked by user’s
fine-grained dietary
preference.
Randomly select 10
food items from 500
healthy meal pool.
…... …...
…...…...
Acceptance Rate
51% 72.5%
Traditional Approach Yum-me
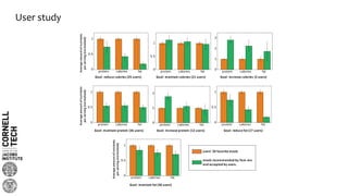
User study
Goal: reduce calories (25 users) Goal: maintain calories (21 users)
Goal: maintain protein (36 users) Goal: increase protein (12 users) Goal: reduce fat (17 users)
Goal: increase calories (2 users)
Goal: maintain fat (30 users)
users’ 20 favorite meals
meals recommended by Yum-me
and accepted by users.
Averageamountofnutrients
perserving(normalized)
Averageamountofnutrients
perserving(normalized)
Averageamountofnutrients
perserving(normalized)
Creative Content Recommendation
Bringing unstructured command traces into the recommendation of art
Yang, Longqi, et al. "Personalizing Software and Web Services by
Integrating Unstructured Application Usage Traces." Proceedings of the
26th International Conference on World Wide Web Companion. International
World Wide Web Conferences Steering Committee, 2017.
Cold-start creative content recommendation
Day to day work activities
(Commands performed in
professional design software)
…
FC
FC
FC
FC
Two-step recommendation algorithm
utilization-to-vector (util2vec)
action action action action action
Representation Learning Paradigm
utilization-to-vector (util2vec) - sliding window
sliding window
utilization-to-vector (util2vec) - sliding window
sliding window
utilization-to-vector (util2vec) - inside each window
prediction target
2n+1 actions (n=4)
predictor
inputs
utilization-to-vector (util2vec) - inside each window
prediction target
2n+1 actions (n=4)
predictor
inputs
Concatenation/Average
Softmax
Predictor
utilization-to-vector (util2vec) - predictor
Evaluation
OpenRec
An open source and modular framework for extensible
recommendation algorithms
Recap
(C/R/Res/Adversarial/Rei
nforcement) NN
User Item Interaction
Optimization
(C/R/Res/Adversarial/Rei
nforcement) NN
(C/R/Res/Adversarial/Rei
nforcement) NN
Real World Systems can only be more complex
User Item Interaction
Optimization
…
…
… …
…
…
User Item Interaction
User Item Interaction
A Traditional (Monolithic) View of Recommender Systems
…
RS 1 RS 2 RS 3 RS n
OpenRec: Experimentation and innovation through Extension
rating
item text item textitem image
rating
user text
item image
item text
rating
rating
user
text
user
demogr
item
text
item
image
integrator
module
extractor
module
interaction
module
R1 R2
R4R3
OpenRec: Architecture
Module
Extractor IntegratorInteraction
BPR WARP
PMF CML
NeuMF …
LF
ResNet MLP
LSTM
FoodDist
Concatenation
Average
Weighted sum
……
Recommender
News recommender
system with users’ click
history, Twitter posts
and news topic modeling.
Music recommender system
with users’ listen history,
lyrics and audio analysis
…
Utility
Sampler
Pairwise
sampler
Triplet
sampler
…
Evaluator
…
AUC
Recall@K
OpenRec: Examples
input buff input holders user extractors item extractors interactions optimizerVisualCML
Modules
VBPR input buff input holders user extractors item extractors interactions optimizer
reusable modules reusable functions build from scratch
CML
Interactionmodule
…
input buff input holders user extractors item extractors interactions optimizerVanillaBPR
Modules
reusable modules build from scratch
LatentFactor BPR
Extractor module Interactionmodule
… …
Stay tuned, Late Fall: https://github.com/ylongqi/OpenRec
OpenRec
Thank you!
Longqi Yang
Ph.D. Student, Computer Science, Cornell Tech, Cornell University
Email: ylongqi@cs.cornell.edu
Web: bit.ly/longqi
Twitter: @ylongqi
Connected Experiences Lab: http://cx.jacobs.cornell.edu/
Small Data Lab: http://smalldata.io/

Immersive Recommendation Workshop, NYC Media Lab'17

  • 1.
    Immersive Recommendation Deep Userand Content Modeling for Personalization Longqi Yang, Ph.D. student Connected Experiences Lab, Small Data Lab Cornell Tech
  • 2.
  • 3.
    What we willbe talking about today Recommendation Systems: Past, Present and Future Immersive Recommendation. OpenRec.
  • 4.
  • 5.
    The Matrix From item-basedfiltering to Netflix Challenge
  • 6.
    … … … …… … … … … Item-based filtering (WWW 2001) ?4 1 1 4 5 Sarwar, Badrul, et al. "Item-based collaborative filtering recommendation algorithms." Proceedings of the 10th international conference on World Wide Web. ACM, 2001. 1 5 1
  • 7.
    … … … …… … … … … Item-based filtering (WWW 2001) ?4 1 1 1 5 4 5 4 Sarwar, Badrul, et al. "Item-based collaborative filtering recommendation algorithms." Proceedings of the 10th international conference on World Wide Web. ACM, 2001.
  • 8.
    … … … …… … … … … Item-based filtering (WWW 2001) ?4 1 1 1 5 4 5 4 0.9 0.1 Sarwar, Badrul, et al. "Item-based collaborative filtering recommendation algorithms." Proceedings of the 10th international conference on World Wide Web. ACM, 2001.
  • 9.
    … … … …… … … … … Item-based filtering (WWW 2001) ?4 1 1 1 5 4 5 4 0.9 0.1 Sarwar, Badrul, et al. "Item-based collaborative filtering recommendation algorithms." Proceedings of the 10th international conference on World Wide Web. ACM, 2001.
  • 10.
    … … … …… … … … … Item-based filtering (WWW 2001) 3.74 1 1 1 5 4 5 4 0.9 0.1 Sarwar, Badrul, et al. "Item-based collaborative filtering recommendation algorithms." Proceedings of the 10th international conference on World Wide Web. ACM, 2001.
  • 11.
  • 12.
    Netflix Challenge (Prize) We’requite curious, really. To the tune of one million dollars… … To help customers find movies, we’ve developed our world-class movie recommendation system: Cinematch. Its job is to predict whether someone will enjoy a movie based on how much they liked or disliked other movies … … We provide you with a lot of anonymous rating data, and a prediction accuracy bar that is 10% better than what Cinematch can do on the same training data set… If you develop a system that we judge most beats that bar on the qualifying test set we provide, you get serious money and the bragging rights …
  • 13.
    Netflix Challenge (Prize) Cinematchscore - RMSE = 0.9525 2007 Progress Prize - RMSE = 0.8723 8.42% 2008 Progress Prize - RMSE = 0.8627 9.27% 2009 Grand Prize - RMSE = 0.8567 10.06% (AT&T Research)
  • 14.
  • 15.
    Beyond Matrix Implicit feedback DeepContent Modeling Beyond “black-box items” Beyond Accuracy Diversity and Fairness Rich Context and Modality Learning preference from auxiliary channels
  • 16.
    Beyond Matrix Implicit feedback DeepContent Modeling Beyond “black-box items” Beyond Accuracy Diversity and Fairness Rich Context and Modality Learning preference from auxiliary channels
  • 17.
  • 18.
    Main Challenge ofImplicit Feedback Only “positive signal” is observed Does “rating estimation” still work?
  • 19.
    … … … …… … … … … ?1 1 1 1 1 1 1 1 Main Challenge of Implicit Feedback
  • 20.
    … … … …… … … … … 11 1 1 1 1 1 1 1 Main Challenge of Implicit Feedback
  • 21.
    … … … …… … … … … 11 1 1 1 1 1 1 1 No matter what this item is! Main Challenge of Implicit Feedback
  • 22.
    Feature Learning Frameworkfor Implicit Feedback [0.1 -0.2 0.35 … 0.15]𝒖 𝟏 = 𝒗 𝟏 = [-0.05 0.5 0.1 … -0.3] 𝒖 𝟐 𝒖 𝑵 … 𝒗 𝟐 𝒗 𝑴 … Optimization
  • 23.
    One Example –Bayesian Personalized Ranking (BPR) 𝒖𝒊, 𝒗 𝒑, 𝒗 𝒏For all m𝑎𝑥 ln 𝜎 𝒖𝒊 ∙ 𝒗 𝒑 − 𝒖𝒊 ∙ 𝒗 𝒏 Rendle, Steffen, et al. "BPR: Bayesian personalized ranking from implicit feedback." Proceedings of the twenty-fifth conference on uncertainty in artificial intelligence. AUAI Press, 2009. user i An item that the user “click” An item that the user does not “click”
  • 24.
    Algorithms (Incomprehensive List) •Weighted Regularized Matrix Factorization (WRMF) • Probabilistic Matrix Factorization (PMF) “Shallow” Models: • Weighted Approximately Ranked Pairwise Loss (WARP) “Deep” Models: Hsieh, Cheng-Kang, et al. "Collaborative metric learning." Proceedings of the 26th International Conference on World Wide Web. International World Wide Web Conferences Steering Committee, 2017.• Collaborative Metric Learning (CML) He, Xiangnan, et al. "Neural collaborative filtering." Proceedings of the 26th International Conference on World Wide Web. International World Wide Web Conferences Steering Committee, 2017.• Neural Collaborative Filtering Mnih, Andriy, and Ruslan R. Salakhutdinov. "Probabilistic matrix factorization." Advances in neural information processing systems. 2008. • Wide and Deep Learning for Recommender Systems Hu, Yifan, Yehuda Koren, and Chris Volinsky. "Collaborative filtering for implicit feedback datasets." Data Mining, 2008. ICDM'08. Eighth IEEE International Conference on. Ieee, 2008. Cheng, Heng-Tze, et al. "Wide & deep learning for recommender systems." Proceedings of the 1st Workshop on Deep Learning for Recommender Systems. ACM, 2016. Weston, Jason, Samy Bengio, and Nicolas Usunier. "Wsabie: Scaling up to large vocabulary image annotation." IJCAI. Vol. 11. 2011.
  • 25.
    Beyond Matrix Implicit feedback DeepContent Modeling Beyond “black-box items” Beyond Accuracy Diversity and Fairness Rich Context and Modality Learning preference from auxiliary channels
  • 26.
    Pure Collaborative Filteringis cool (and maybe accurate), but real world recommendations are far more complex than “likes” Understanding the contents really matters! - Articles Is it appropriate to recommend these two articles together?
  • 27.
    Pure Collaborative Filteringis cool (and maybe accurate), but real world recommendations are far more complex than “likes” Understanding the contents really matters! - Food Random (Most healthy) Trattner, Christoph, and David Elsweiler. "Investigating the healthiness of internet- sourced recipes: implications for meal planning and recommender systems." Proceedings of the 26th International Conference on World Wide Web. International World Wide Web Conferences Steering Committee, 2017
  • 28.
    Pure Collaborative Filteringis cool (and maybe accurate), but real world recommendations are far more complex than “likes” Understanding the contents really matters! - Food “Users in general tend to interact most often with the least healthy recipes. Recommender algorithms tend to score popular items highly and thus on average promote unhealthy items.” Trattner, Christoph, and David Elsweiler. "Investigating the healthiness of internet- sourced recipes: implications for meal planning and recommender systems." Proceedings of the 26th International Conference on World Wide Web. International World Wide Web Conferences Steering Committee, 2017
  • 29.
    Pure Collaborative Filteringis cool (and maybe accurate), but real world recommendations are far more complex than “likes” Understanding the contents really matters! – Cold Start A new fashion cloth A new online course A new job post Recommendations without user feedback
  • 30.
    Deep Content Modelingfor Recommendations (C/R/Res/Adversarial/Rei nforcement) NN User Item Interaction Optimization
  • 31.
    Beyond Matrix Implicit feedback DeepContent Modeling Beyond “black-box items” Beyond Accuracy Diversity and Fairness Rich Context and Modality Learning preference from auxiliary channels
  • 32.
    Are ratings/clicks/views enoughfor recommendations? Context matters! – Music Recommendation Schedl, Markus, et al. "Music recommender systems." Recommender Systems Handbook. Springer US, 2015. 453-492. Schedl, Markus, Peter Knees, and Fabien Gouyon. "New Paths in Music Recommender Systems Research." Proceedings of the Eleventh ACM Conference on Recommender Systems. ACM, 2017. time location weather Environmental Context Individual Context emotion activity social context Schedl, Markus, Georg Breitschopf, and Bogdan Ionescu. "Mobile Music Genius: Reggae at the Beach, Metal on a Friday Night?." Proceedings of International Conference on Multimedia Retrieval. ACM, 2014.
  • 33.
    Recommendations are notalways “a list”: Rich modality Sun, Yu, et al. "Contextual intent tracking for personal assistants." Proceedings of the 22nd ACM SIGKDD International Conference on Knowledge Discovery and Data Mining. ACM, 2016. Kang, Jie, et al. "Understanding How People Use Natural Language to Ask for Recommendations." Proceedings of the Eleventh ACM Conference on Recommender Systems. ACM, 2017.
  • 34.
    Rich Context andModality (C/R/Res/Adversarial/Rei nforcement) NN User Item Interaction Optimization (C/R/Res/Adversarial/Rei nforcement) NN (C/R/Res/Adversarial/Rei nforcement) NN
  • 35.
    Beyond Matrix Implicit feedback DeepContent Modeling Beyond “black-box items” Beyond Accuracy Diversity and Fairness Rich Context and Modality Learning preference from auxiliary channels
  • 36.
  • 37.
    Diversity – Filteringbubble and echo chamber
  • 38.
    Fairness – Longtail and Minority # views (attention) popular unpopular
  • 39.
    Fairness – Longtail and Minority Recommender system better worse Yao, Sirui, and Bert Huang. "Beyond Parity: Fairness Objectives for Collaborative Filtering." arXiv preprint arXiv:1705.08804 (2017).
  • 40.
    Incorporating diversity andfairness into recommendations (C/R/Res/Adversarial/Rei nforcement) NN User Item Interaction Optimization (C/R/Res/Adversarial/Rei nforcement) NN (C/R/Res/Adversarial/Rei nforcement) NN Penalize homogeneous and unfair recommendations
  • 41.
  • 42.
    Immersive Recommendation Deep understandingof users’ diverse digital traces Deep modeling of heterogeneous contents + = News Events Food Art Spoken word
  • 43.
    Immersive Recommendation Deep understandingof users’ diverse digital traces Deep modeling of heterogeneous contents + = News Events Food Art Spoken word
  • 44.
    Yum-me Bringing healthiness intothe recommendation of food Yang, Longqi, et al. "Yum-Me: A Personalized Nutrient-Based Meal Recommender System." ACM Transactions on Information Systems (TOIS) 36.1 (2017): 7.
  • 45.
    *Number of AmericansLiving with Diet-and Inactivity-Related Diseases Obesity HBP Diabetes 113M 50M 15M Critical Issue of Food
  • 46.
    The problem isnot awareness, but adherence How can we (efficiently) find meals that are healthy but also cater to people’s tastes? - Bringing the notion of healthiness into recommendations!
  • 47.
    Yum-me: An interactivehealthy meal recommendation system Take a look at the food below and tap all that look delicious to you. http:// http:// Compare the food pair below and tap on whichever looks delicious to you. Press on Yuck if neither of them fits to your taste 2iters + 13iters 2iters + 13iters 2iters + 13iters Browser Mobile Wearable Personal Dietary Profile (Food Preferences) … … Healthy meal recommendations based on dietary restrictions Re-ranking Personalized healthy meal recommendations …... …... Phase I Phase II Take a look at the food below and tap all that look delicious to you. Compare the food pair below and tap on whichever looks delicious to you. Press on Yuck if neither of them fits to your taste Take a look at the food below and tap all that look delicious to you. Compare the food pair below and tap on whichever looks delicious to you. Press on Yuck if neither of them fits to your taste http:// Choose the closest diet type to you. ⌾No restrictions ⌾ Vegetarian⌾ Vegan ⌾ Kosher ⌾ Halal Identify your health goals. ⌾Reduce ⌾ Maintain ⌾ Increase ⌾Reduce ⌾ Maintain ⌾ Increase ⌾Reduce ⌾ Maintain ⌾ Increase Calories Protein Fat + Survey Choose the closest diet type to you. Identify your health goals. ⌾Reduce ⌾ Maintain Calories ⌾No restrictions ⌾ Vegetarian ⌾ Vegan ⌾ Kosher ⌾ Halal + + Choose the closest diet type to you. ⌾No restrictions ⌾ Vegetarian ⌾ Vegan ⌾ Kosher ⌾ Halal
  • 48.
    Yum-me: An interactivehealthy meal recommendation system Take a look at the food below and tap all that look delicious to you. http:// http:// Compare the food pair below and tap on whichever looks delicious to you. Press on Yuck if neither of them fits to your taste 2iters + 13iters 2iters + 13iters 2iters + 13iters Browser Mobile Wearable Personal Dietary Profile (Food Preferences) … … Healthy meal recommendations based on dietary restrictions Re-ranking Personalized healthy meal recommendations …... …... Phase I Phase II Take a look at the food below and tap all that look delicious to you. Compare the food pair below and tap on whichever looks delicious to you. Press on Yuck if neither of them fits to your taste Take a look at the food below and tap all that look delicious to you. Compare the food pair below and tap on whichever looks delicious to you. Press on Yuck if neither of them fits to your taste http:// Choose the closest diet type to you. ⌾No restrictions ⌾ Vegetarian⌾ Vegan ⌾ Kosher ⌾ Halal Identify your health goals. ⌾Reduce ⌾ Maintain ⌾ Increase ⌾Reduce ⌾ Maintain ⌾ Increase ⌾Reduce ⌾ Maintain ⌾ Increase Calories Protein Fat + Survey Choose the closest diet type to you. Identify your health goals. ⌾Reduce ⌾ Maintain Calories ⌾No restrictions ⌾ Vegetarian ⌾ Vegan ⌾ Kosher ⌾ Halal + + Choose the closest diet type to you. ⌾No restrictions ⌾ Vegetarian ⌾ Vegan ⌾ Kosher ⌾ Halal
  • 49.
  • 50.
  • 51.
    Similarity between FoodItems 0.9151 0.6471 0.9652 1.3484 1.3410 1.3484 1.1476 Siamese Network
  • 52.
    Similarity between FoodItems (a) No restrictions (b) Vegetarian
  • 53.
    Yum-me: An interactivehealthy meal recommendation system Take a look at the food below and tap all that look delicious to you. http:// http:// Compare the food pair below and tap on whichever looks delicious to you. Press on Yuck if neither of them fits to your taste 2iters + 13iters 2iters + 13iters 2iters + 13iters Browser Mobile Wearable Personal Dietary Profile (Food Preferences) … … Healthy meal recommendations based on dietary restrictions Re-ranking Personalized healthy meal recommendations …... …... Phase I Phase II Take a look at the food below and tap all that look delicious to you. Compare the food pair below and tap on whichever looks delicious to you. Press on Yuck if neither of them fits to your taste Take a look at the food below and tap all that look delicious to you. Compare the food pair below and tap on whichever looks delicious to you. Press on Yuck if neither of them fits to your taste http:// Choose the closest diet type to you. ⌾No restrictions ⌾ Vegetarian⌾ Vegan ⌾ Kosher ⌾ Halal Identify your health goals. ⌾Reduce ⌾ Maintain ⌾ Increase ⌾Reduce ⌾ Maintain ⌾ Increase ⌾Reduce ⌾ Maintain ⌾ Increase Calories Protein Fat + Survey Choose the closest diet type to you. Identify your health goals. ⌾Reduce ⌾ Maintain Calories ⌾No restrictions ⌾ Vegetarian ⌾ Vegan ⌾ Kosher ⌾ Halal + + Choose the closest diet type to you. ⌾No restrictions ⌾ Vegetarian ⌾ Vegan ⌾ Kosher ⌾ Halal
  • 54.
    Re-ranking healthy unhealthy Re-ranked byan user’s preference Top N recommendations
  • 55.
    User study Step 1.Users identify their diet types and health goals. Step 2. Users use visual interace to express their fine-grained food preferences. Step 3. Users identify each of recommended meals as either Yummy or No way. (The order of the items is randomized) Top 500 healthy items that meet users’ diet types and health goals. Select top 10 items ranked by user’s fine-grained dietary preference. Randomly select 10 food items from 500 healthy meal pool. …... …... …...…...
  • 56.
  • 57.
    User study Goal: reducecalories (25 users) Goal: maintain calories (21 users) Goal: maintain protein (36 users) Goal: increase protein (12 users) Goal: reduce fat (17 users) Goal: increase calories (2 users) Goal: maintain fat (30 users) users’ 20 favorite meals meals recommended by Yum-me and accepted by users. Averageamountofnutrients perserving(normalized) Averageamountofnutrients perserving(normalized) Averageamountofnutrients perserving(normalized)
  • 58.
    Creative Content Recommendation Bringingunstructured command traces into the recommendation of art Yang, Longqi, et al. "Personalizing Software and Web Services by Integrating Unstructured Application Usage Traces." Proceedings of the 26th International Conference on World Wide Web Companion. International World Wide Web Conferences Steering Committee, 2017.
  • 59.
    Cold-start creative contentrecommendation Day to day work activities (Commands performed in professional design software)
  • 60.
  • 61.
    utilization-to-vector (util2vec) action actionaction action action Representation Learning Paradigm
  • 62.
    utilization-to-vector (util2vec) -sliding window sliding window
  • 63.
    utilization-to-vector (util2vec) -sliding window sliding window
  • 64.
    utilization-to-vector (util2vec) -inside each window prediction target 2n+1 actions (n=4) predictor inputs
  • 65.
    utilization-to-vector (util2vec) -inside each window prediction target 2n+1 actions (n=4) predictor inputs
  • 66.
  • 67.
  • 68.
    OpenRec An open sourceand modular framework for extensible recommendation algorithms
  • 69.
    Recap (C/R/Res/Adversarial/Rei nforcement) NN User ItemInteraction Optimization (C/R/Res/Adversarial/Rei nforcement) NN (C/R/Res/Adversarial/Rei nforcement) NN
  • 70.
    Real World Systemscan only be more complex User Item Interaction Optimization … … … … … … User Item Interaction User Item Interaction
  • 71.
    A Traditional (Monolithic)View of Recommender Systems … RS 1 RS 2 RS 3 RS n
  • 72.
    OpenRec: Experimentation andinnovation through Extension rating item text item textitem image rating user text item image item text rating rating user text user demogr item text item image integrator module extractor module interaction module R1 R2 R4R3
  • 73.
    OpenRec: Architecture Module Extractor IntegratorInteraction BPRWARP PMF CML NeuMF … LF ResNet MLP LSTM FoodDist Concatenation Average Weighted sum …… Recommender News recommender system with users’ click history, Twitter posts and news topic modeling. Music recommender system with users’ listen history, lyrics and audio analysis … Utility Sampler Pairwise sampler Triplet sampler … Evaluator … AUC Recall@K
  • 74.
    OpenRec: Examples input buffinput holders user extractors item extractors interactions optimizerVisualCML Modules VBPR input buff input holders user extractors item extractors interactions optimizer reusable modules reusable functions build from scratch CML Interactionmodule … input buff input holders user extractors item extractors interactions optimizerVanillaBPR Modules reusable modules build from scratch LatentFactor BPR Extractor module Interactionmodule … …
  • 75.
    Stay tuned, LateFall: https://github.com/ylongqi/OpenRec OpenRec
  • 76.
    Thank you! Longqi Yang Ph.D.Student, Computer Science, Cornell Tech, Cornell University Email: ylongqi@cs.cornell.edu Web: bit.ly/longqi Twitter: @ylongqi Connected Experiences Lab: http://cx.jacobs.cornell.edu/ Small Data Lab: http://smalldata.io/