Embed presentation
Download to read offline










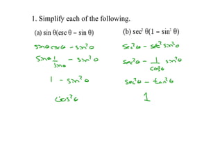
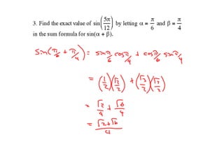
This document appears to be a quiz containing math problems involving identities. It includes 9 multiple choice or short answer questions about simplifying expressions and proving double angle identities. There are also two image attachments included.









