1
2
IDEAL GAS
LAWS
Learning Outcomes:
At the end of the lesson, the learners should
be able to:
a. explain the fundamental gas laws and how
they relate to one another;
b. apply gas laws to real-world situations,
such as determining the volume, pressure
or temperature of gas; and
c. solve problems related to gas laws 4
What is Boyle’s Law?
 states that, at constant temperature
and amount of gas, the pressure of a
given amount of gas is inversely
proportional to its volume
5
6
 This means that if the pressure on a gas
sample is increased without changing the
temperature, the volume of the gas will
decrease proportionally or that if the
pressure on the gas is doubled, the volume
will be halved . It can be expressed
mathematically as:
In terms of a proportion: 𝑉 ∝ 1/𝑃 (at
constant amount and temperature)
In terms of an equation: V = k/P (at
constant amount and temperature)
PV = k or P1V1 = P2V2
7
The inverse relationship between P
and V can be seen from a plot of P
versus V at constant temperature
called an isotherm. Let’s take a
look on this sample problem
below.
8
Sample Problem:
A gas sample exerts a pressure of 5.0 kPa when it
occupies a 15.0-L vessel at 25 °C. What pressure
would the gas exert at 250C if same gas sample is
transferred to a 10.0-L vessel?
Given: P1 = 5.0 kPa P2 = ?
V1 = 15.0 L V2 = 10.0 L
9
Solution: P1V1 = P2V2
𝑃2 = 𝑃1𝑉1 𝑉2
𝑃2 = 5.0 𝑘𝑃𝑎 (15.0 𝐿) 10.0 𝐿 = 7.5 kPa
10
What is Charles’s Law?
 states that, at constant pressure, the
volume of a fixed quantity of a gas is
directly proportional to the absolute
temperature
11
 This means that provided the
pressure on the gas remains constant,
the volume will increase proportionally
to the absolute temperature. The direct
relationship between volume and
absolute temperature at constant
pressure is described in a plot called an
isobar. The law is mathematically
expressed: 12
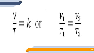
 in terms of a proportion: 𝑉 ∝ 𝑇 (at
constant amount and pressure)
 in terms of an equation: V = kT (at
constant amount and pressure)
13
14
Sample Problem: A gas sample is
observed to occupy 18.0 L under a
pressure of 1 standard atmosphere at
30.0°C. What will be the volume of the
gas if it is heated to 70.0°C under the
same pressure?
15
Given:
P1 = 1 atm P2 = 1 atm (constant)
V1 = 18.0 L V2 = ?
T1 = 30.0 + 273 = 303 K T2 = 70.0 +
273 = 343 K
16
17
What is Avogadro’s Law?
 states that, two gases occupying equal volumes
under the same temperature and pressure contain
the same number of moles (or the same number
of molecules).
 a statement that under the same conditions of
temperature and pressure, equal volumes of
different gases contain an equal number of
molecules
18
 At standard temperature (0°C or 273 K)
and pressure (1 atm or 101.3 kPa), one
mole of any ideal gas will occupy 22.4 L
and contain 6.02x1023 molecules. The
law is mathematically expressed as:
19
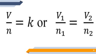
 in terms of a proportion: 𝑉 ∝ 𝑛 (at
constant temperature and pressure)
 in terms of an equation: V = kn (at
constant temperature and pressure)
20
21
Sample Problem: One (1.0) mole of a
gas occupies a volume of 22.4 L gas at
0°C and 1 atm. What would be the
volume occupied by 9.50 mol of the
gas at the same temperature and
pressure?
22
Given:
n1 = 1 mol n2 = 9.50 mol
V1 = 22.4 L V2 = ?
23
24
How will you relate gas
laws to real fife situation?
25
BOYLE’S LAW
 Applications of Boyle’s Law are
observed in the use of chest respirator,
sphygmomanometer, automobile
engine, pressurized spray cans, and
syringe.
26
CHARLE’S LAW
 include leavening and rising of bread during
baking, car combustion engines, capacity of the
human lungs is reduced in colder weather, balloon
inflated inside a cool building expands when
carried to a warmer area like the outdoors, and
many other examples. Charles’s law explains that
gases expand when heated, contract when cooled.
27
AVOGADRO’S LAW
 include yeast or leavening agents cause the production
of carbon dioxide gas and ethanol. The CO2 forms
bubbles which appear as holes in the dough. As
leavening process continues, the number of particles of
CO2 increases, hence causing an increase in the
number or volume of bubbles and in the size of the
dough. Other examples are inflation of a balloon, and
when we breathe 28
Activity 1: In and Out (By group)
Directions: Perform the activity below then
answer the succeeding questions.
Materials:
1 small water balloon
1 large plastic syringe without needle (approximately 60
mL)
Scissors (be careful in handling sharp objects) 29
THANK YOU FOR
LISTENING!

IDEAL-GAS-LAW.pptx

  • 1.
  • 2.
  • 3.
  • 4.
    Learning Outcomes: At theend of the lesson, the learners should be able to: a. explain the fundamental gas laws and how they relate to one another; b. apply gas laws to real-world situations, such as determining the volume, pressure or temperature of gas; and c. solve problems related to gas laws 4
  • 5.
    What is Boyle’sLaw?  states that, at constant temperature and amount of gas, the pressure of a given amount of gas is inversely proportional to its volume 5
  • 6.
    6  This meansthat if the pressure on a gas sample is increased without changing the temperature, the volume of the gas will decrease proportionally or that if the pressure on the gas is doubled, the volume will be halved . It can be expressed mathematically as:
  • 7.
    In terms ofa proportion: 𝑉 ∝ 1/𝑃 (at constant amount and temperature) In terms of an equation: V = k/P (at constant amount and temperature) PV = k or P1V1 = P2V2 7
  • 8.
    The inverse relationshipbetween P and V can be seen from a plot of P versus V at constant temperature called an isotherm. Let’s take a look on this sample problem below. 8
  • 9.
    Sample Problem: A gassample exerts a pressure of 5.0 kPa when it occupies a 15.0-L vessel at 25 °C. What pressure would the gas exert at 250C if same gas sample is transferred to a 10.0-L vessel? Given: P1 = 5.0 kPa P2 = ? V1 = 15.0 L V2 = 10.0 L 9
  • 10.
    Solution: P1V1 =P2V2 𝑃2 = 𝑃1𝑉1 𝑉2 𝑃2 = 5.0 𝑘𝑃𝑎 (15.0 𝐿) 10.0 𝐿 = 7.5 kPa 10
  • 11.
    What is Charles’sLaw?  states that, at constant pressure, the volume of a fixed quantity of a gas is directly proportional to the absolute temperature 11
  • 12.
     This meansthat provided the pressure on the gas remains constant, the volume will increase proportionally to the absolute temperature. The direct relationship between volume and absolute temperature at constant pressure is described in a plot called an isobar. The law is mathematically expressed: 12
  • 13.
     in termsof a proportion: 𝑉 ∝ 𝑇 (at constant amount and pressure)  in terms of an equation: V = kT (at constant amount and pressure) 13
  • 14.
  • 15.
    Sample Problem: Agas sample is observed to occupy 18.0 L under a pressure of 1 standard atmosphere at 30.0°C. What will be the volume of the gas if it is heated to 70.0°C under the same pressure? 15
  • 16.
    Given: P1 = 1atm P2 = 1 atm (constant) V1 = 18.0 L V2 = ? T1 = 30.0 + 273 = 303 K T2 = 70.0 + 273 = 343 K 16
  • 17.
  • 18.
    What is Avogadro’sLaw?  states that, two gases occupying equal volumes under the same temperature and pressure contain the same number of moles (or the same number of molecules).  a statement that under the same conditions of temperature and pressure, equal volumes of different gases contain an equal number of molecules 18
  • 19.
     At standardtemperature (0°C or 273 K) and pressure (1 atm or 101.3 kPa), one mole of any ideal gas will occupy 22.4 L and contain 6.02x1023 molecules. The law is mathematically expressed as: 19
  • 20.
     in termsof a proportion: 𝑉 ∝ 𝑛 (at constant temperature and pressure)  in terms of an equation: V = kn (at constant temperature and pressure) 20
  • 21.
  • 22.
    Sample Problem: One(1.0) mole of a gas occupies a volume of 22.4 L gas at 0°C and 1 atm. What would be the volume occupied by 9.50 mol of the gas at the same temperature and pressure? 22
  • 23.
    Given: n1 = 1mol n2 = 9.50 mol V1 = 22.4 L V2 = ? 23
  • 24.
  • 25.
    How will yourelate gas laws to real fife situation? 25
  • 26.
    BOYLE’S LAW  Applicationsof Boyle’s Law are observed in the use of chest respirator, sphygmomanometer, automobile engine, pressurized spray cans, and syringe. 26
  • 27.
    CHARLE’S LAW  includeleavening and rising of bread during baking, car combustion engines, capacity of the human lungs is reduced in colder weather, balloon inflated inside a cool building expands when carried to a warmer area like the outdoors, and many other examples. Charles’s law explains that gases expand when heated, contract when cooled. 27
  • 28.
    AVOGADRO’S LAW  includeyeast or leavening agents cause the production of carbon dioxide gas and ethanol. The CO2 forms bubbles which appear as holes in the dough. As leavening process continues, the number of particles of CO2 increases, hence causing an increase in the number or volume of bubbles and in the size of the dough. Other examples are inflation of a balloon, and when we breathe 28
  • 29.
    Activity 1: Inand Out (By group) Directions: Perform the activity below then answer the succeeding questions. Materials: 1 small water balloon 1 large plastic syringe without needle (approximately 60 mL) Scissors (be careful in handling sharp objects) 29
  • 30.