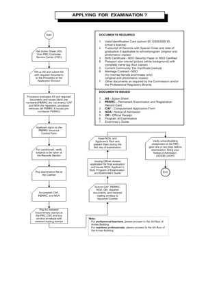
How To Apply For The Examination
        STEP 1
        Secure Application Form from the PRC Customer Service Center (CSC) and accomplish the same.
•       Download Application Form for Teachers
o       Elementary
o       Secondary

        STEP 2
        Submit the Application Form for processing and evaluation at any of the Processing Windows together with the
        following:
    •    Original and photocopies of Transcript of Records with Special Order and Date of Graduation with SCANNED
         PICTURES AND WITH REMARKS “FOR BOARD EXAMINATION PURPOSES ONLY”. (Graduates of
         government schools and institutions/programs accredited by recognized accredited agencies under the FAAP are
         exempted from SO [B]). Graduates of New Schools/Degree Programs must submit School Recognition and/or
         Permit to Operate.
    •    Original and photocopy of NSO-issued Birth Certificate (if NSO copy is not clear, bring copy from the Local Civil
         Registrar).
    •    Original and photocopies of NSO-issued Marriage Contract (for married female only; if NSO copy is not clear, bring
         copy from Local Civil Registrar).
    •    Four (4) passport size colored pictures in white background with complete name tag.
    •    Current Community Tax Certificate (Cedula)
    •    Other specific requirements as required by the Commission or the Professional Regulatory Board.


    NOTE: Secure the following from the processor upon approval of your application:
    • Permanent Examination and Registration Record card (PERRC) Download sample PERRC
    • Notice of Admission (NOA)

    STEP 3
    Pay examination fee at any Cashier Window. Get Official Receipt.
    • Baccalaureate Degree - P900.00
    • Non-Baccalaureate Degree - P600.00
    • Removal - P450.00

    STEP 4
    Pay for metered documentary stamps and mailing envelope with metered documentary stamps at the CSC.
    STEP 5
    Accomplish the PERRC and NOA. Indicate the Application Number, Official Receipt number, date, and amount on the
      Notice of Admission.
    STEP 6
    Proceed to any of the Issuance Windows (Window 9, 10, 11, 12) for final review of qualifications and documents and
      issuance of NOA, Program of Examination, Examinee's Kit and Self-Instruction Sheet. Download Examinees' Self
      Instruction Sheet
    STEP 7
    Keep the Notice of Admission and Official Receipt. Bring these with you on the first day of the examination. For further
      information, read the General Instructions at the back page of the NOA, Program of Examination, Examinee's Kit and
      Self-Instruction Sheet.
    STEP 8
    Bring your NOA when you verify with the PRC your school/building assignment which will be posted at the PRC
      premises two (2) or three (3) working days before the examination date. The room assignment will also be posted at
      this webpage.
          Important Notice
    •          No application shall be accepted after the deadline.
    •          Please do not apply if you are not qualified; your payment will be forfeited.


        Click here to download the Application Flow Chart
Examination Day Preparations
    What to Bring on Examination Day
•   Notice of Admission
•   Application Stub
•   PRC Official Receipt
•   Two or more pencils (No. 2)
•   Ballpens with BLACK INK ONLY
•   One (1) piece Metered-Stamp Window Envelope
•   One (1) piece Long Brown Envelope
•   One (1) piece Long Transparent (non -colored) Plastic Envelope (to keep above items)

    What to Wear on Examination Day
•   MALE - school uniform/white polo shirt or T-shirt (tucked-in)
•   FEMALE – school uniform/white blouse or T-shirt
•   For Marine Deck and Engineer Officers – prescribed Merchant Marine uniform with appropriate shoulder board
    General Instructions To Examinees

•   Report to the Test Center before 6:30am on the first day of examination to verify your room and seat number.

•   Late examinees will not be admitted.

•   Attend to your personal needs before the start of examination in every subject. No examinee will be allowed to go out
    of the examination room while the examination is in progress.

•   Always put your answer sheet on top of the armchair while taking the examination.

•   Stop answering the test questions at the end of the time alloted for the subject. Arrange your test papers as follows:

1. Notice of Admission;
2. Answer Sheet; and
3. Test Questionnaire

•   Do not leave the room until

1. your answer sheet and test question set are received by the room watchers,
2. you have signed, indicated the time and set (A or B) on the Examinees Record of Attendance, and
3. the lower portion of your Notice of Admission (Certification on the Receipt of Test Papers) is signed by the Room
   Watchers and returned to you.
   Identification Sheet, Answer Sheet

                          Handling of Examinee Identification Sheet/Answer Sheets
•   Check if the Serial Number of Examinee Identification Sheet/Answer Sheets are the same for all the sheets. If there
    is any discrepancy, return the set to your Room Watchers for replacement. The Serial Number is NOT the
    examination number. It has nothing to do with your examination.
•   Check if there are defects or unnecessary marks on your Examinee Identification Sheet/Answer Sheets.
•   Check if the number of Answer Sheets corresponds to the number of examination subjects.
•   Do not fold or mutilate, take extra care and keep clean your Examinee Identification Sheet/Answer Sheets.
•   Before detaching an answer sheet, check if the brown envelope is yours and the set inside belongs to you.


    How to Mark Your Examinee Identification Sheet/Answer Sheets
•   Use standard No. 2 pencil only
•   Do not use too much pressure
•   Mark like this     not like these
•   Make the mark dark and straight
•   Strictly no erasures allowed
How to Accomplish Examinee Identification Sheet




    Brown Envelope
    Print your name on the top left corner and your seat number on the top right corner.


    Handling of Test Question Sets
•  Indicate your seat number at the right top corner of page 1
•  Check if the number of pages of Test Question Set is complete and no misprint. If there is any problem, return the
   set to your Room Watchers for replacement.
• Mark A or B on the answer sheet to indicate the set of Test Question assigned to you.
• You can use your Test Question Set as your Scratch .
• Keep the Test Question Set stapled until the end of examination.
   Prohibited Acts Inside the Examination Room
• Accepting or receiving anything, including food from any person while the examination is in progress.
• Giving money, food, or any favor and other consideration to the Room Watchers and other examination personnel.
• Loitering, talking, or discussing your answers inside the room or along the corridor while the examination is in
   progress.
• Putting any of the following markings on your answer sheets: name, seat number, unnecessary words or phrases,
   strokes, dots or any other marks not called for in the test questions.
   Penalties:
1. Placing of name in the space provided for the subject of the examination shall be, aside from the cancellation of the
   examination papers, suspension from taking the examination for one (1) year;
2. Multiple markings shall be cancellation of the examinees examination and suspension from taking the examination
   for two (2) years.

•   Taking out the examination room test questions used or pages thereof, copying, and/or divulging or making known
    the nature or content of any examination question or answer to any individual or entity.
•   Copying or referring to any solution, answer or work of another examinee or allowing anyone to copy or refer to your
    work, helping or asking help from any person or communication with anyone by means of words, signs, gestures,
    codes and other similar acts which enable you to exchange, impart or acquire relevant information.
•   Bringing inside the examination rooms the following: books, notes, review materials and other printed materials
    containing principles or excerpts thereof, coded data/information/ formula which are relevant to or connected with the
    examination subject, PROGRAMMABLE CALCULATORS, CELLULAR PHONES, beeper, portable personal
    computers or other similar gadgets/devices. The act shall be considered cheating and/or act of dishonesty and shall
    be a ground for the cancellation of your examinations (PRC Resolution No. 463 dated November 27, 1996).

    Maintain discipline at all times, any misconduct or irregularity on your part or any violation of the examination rules
    and regulations and instructions will be sufficient cause for the cancellation of your examination papers and your
    debarment from taking any future licensure examination.
    Do not bring bags of any kind in the examination room. Keep allowed items and valuables inside your plastic
    envelope. PRC will not be answerable for lost items.

    http://www.prc.gov.ph/licensure/?id=24
How to apply for the LET

How to apply for the LET

  • 1.
    How To ApplyFor The Examination STEP 1 Secure Application Form from the PRC Customer Service Center (CSC) and accomplish the same. • Download Application Form for Teachers o Elementary o Secondary STEP 2 Submit the Application Form for processing and evaluation at any of the Processing Windows together with the following: • Original and photocopies of Transcript of Records with Special Order and Date of Graduation with SCANNED PICTURES AND WITH REMARKS “FOR BOARD EXAMINATION PURPOSES ONLY”. (Graduates of government schools and institutions/programs accredited by recognized accredited agencies under the FAAP are exempted from SO [B]). Graduates of New Schools/Degree Programs must submit School Recognition and/or Permit to Operate. • Original and photocopy of NSO-issued Birth Certificate (if NSO copy is not clear, bring copy from the Local Civil Registrar). • Original and photocopies of NSO-issued Marriage Contract (for married female only; if NSO copy is not clear, bring copy from Local Civil Registrar). • Four (4) passport size colored pictures in white background with complete name tag. • Current Community Tax Certificate (Cedula) • Other specific requirements as required by the Commission or the Professional Regulatory Board. NOTE: Secure the following from the processor upon approval of your application: • Permanent Examination and Registration Record card (PERRC) Download sample PERRC • Notice of Admission (NOA) STEP 3 Pay examination fee at any Cashier Window. Get Official Receipt. • Baccalaureate Degree - P900.00 • Non-Baccalaureate Degree - P600.00 • Removal - P450.00 STEP 4 Pay for metered documentary stamps and mailing envelope with metered documentary stamps at the CSC. STEP 5 Accomplish the PERRC and NOA. Indicate the Application Number, Official Receipt number, date, and amount on the Notice of Admission. STEP 6 Proceed to any of the Issuance Windows (Window 9, 10, 11, 12) for final review of qualifications and documents and issuance of NOA, Program of Examination, Examinee's Kit and Self-Instruction Sheet. Download Examinees' Self Instruction Sheet STEP 7 Keep the Notice of Admission and Official Receipt. Bring these with you on the first day of the examination. For further information, read the General Instructions at the back page of the NOA, Program of Examination, Examinee's Kit and Self-Instruction Sheet. STEP 8 Bring your NOA when you verify with the PRC your school/building assignment which will be posted at the PRC premises two (2) or three (3) working days before the examination date. The room assignment will also be posted at this webpage. Important Notice • No application shall be accepted after the deadline. • Please do not apply if you are not qualified; your payment will be forfeited. Click here to download the Application Flow Chart
  • 3.
    Examination Day Preparations What to Bring on Examination Day • Notice of Admission • Application Stub • PRC Official Receipt • Two or more pencils (No. 2) • Ballpens with BLACK INK ONLY • One (1) piece Metered-Stamp Window Envelope • One (1) piece Long Brown Envelope • One (1) piece Long Transparent (non -colored) Plastic Envelope (to keep above items) What to Wear on Examination Day • MALE - school uniform/white polo shirt or T-shirt (tucked-in) • FEMALE – school uniform/white blouse or T-shirt • For Marine Deck and Engineer Officers – prescribed Merchant Marine uniform with appropriate shoulder board General Instructions To Examinees • Report to the Test Center before 6:30am on the first day of examination to verify your room and seat number. • Late examinees will not be admitted. • Attend to your personal needs before the start of examination in every subject. No examinee will be allowed to go out of the examination room while the examination is in progress. • Always put your answer sheet on top of the armchair while taking the examination. • Stop answering the test questions at the end of the time alloted for the subject. Arrange your test papers as follows: 1. Notice of Admission; 2. Answer Sheet; and 3. Test Questionnaire • Do not leave the room until 1. your answer sheet and test question set are received by the room watchers, 2. you have signed, indicated the time and set (A or B) on the Examinees Record of Attendance, and 3. the lower portion of your Notice of Admission (Certification on the Receipt of Test Papers) is signed by the Room Watchers and returned to you. Identification Sheet, Answer Sheet Handling of Examinee Identification Sheet/Answer Sheets • Check if the Serial Number of Examinee Identification Sheet/Answer Sheets are the same for all the sheets. If there is any discrepancy, return the set to your Room Watchers for replacement. The Serial Number is NOT the examination number. It has nothing to do with your examination. • Check if there are defects or unnecessary marks on your Examinee Identification Sheet/Answer Sheets. • Check if the number of Answer Sheets corresponds to the number of examination subjects. • Do not fold or mutilate, take extra care and keep clean your Examinee Identification Sheet/Answer Sheets. • Before detaching an answer sheet, check if the brown envelope is yours and the set inside belongs to you. How to Mark Your Examinee Identification Sheet/Answer Sheets • Use standard No. 2 pencil only • Do not use too much pressure • Mark like this not like these • Make the mark dark and straight • Strictly no erasures allowed
  • 4.
    How to AccomplishExaminee Identification Sheet Brown Envelope Print your name on the top left corner and your seat number on the top right corner. Handling of Test Question Sets • Indicate your seat number at the right top corner of page 1 • Check if the number of pages of Test Question Set is complete and no misprint. If there is any problem, return the set to your Room Watchers for replacement. • Mark A or B on the answer sheet to indicate the set of Test Question assigned to you. • You can use your Test Question Set as your Scratch . • Keep the Test Question Set stapled until the end of examination. Prohibited Acts Inside the Examination Room • Accepting or receiving anything, including food from any person while the examination is in progress. • Giving money, food, or any favor and other consideration to the Room Watchers and other examination personnel. • Loitering, talking, or discussing your answers inside the room or along the corridor while the examination is in progress. • Putting any of the following markings on your answer sheets: name, seat number, unnecessary words or phrases, strokes, dots or any other marks not called for in the test questions. Penalties: 1. Placing of name in the space provided for the subject of the examination shall be, aside from the cancellation of the examination papers, suspension from taking the examination for one (1) year; 2. Multiple markings shall be cancellation of the examinees examination and suspension from taking the examination for two (2) years. • Taking out the examination room test questions used or pages thereof, copying, and/or divulging or making known the nature or content of any examination question or answer to any individual or entity. • Copying or referring to any solution, answer or work of another examinee or allowing anyone to copy or refer to your work, helping or asking help from any person or communication with anyone by means of words, signs, gestures, codes and other similar acts which enable you to exchange, impart or acquire relevant information. • Bringing inside the examination rooms the following: books, notes, review materials and other printed materials containing principles or excerpts thereof, coded data/information/ formula which are relevant to or connected with the examination subject, PROGRAMMABLE CALCULATORS, CELLULAR PHONES, beeper, portable personal computers or other similar gadgets/devices. The act shall be considered cheating and/or act of dishonesty and shall be a ground for the cancellation of your examinations (PRC Resolution No. 463 dated November 27, 1996). Maintain discipline at all times, any misconduct or irregularity on your part or any violation of the examination rules and regulations and instructions will be sufficient cause for the cancellation of your examination papers and your debarment from taking any future licensure examination. Do not bring bags of any kind in the examination room. Keep allowed items and valuables inside your plastic envelope. PRC will not be answerable for lost items. http://www.prc.gov.ph/licensure/?id=24