More Related Content
DOCX
Bab 2 student (force vectors) PPT
PDF
PDF
PDF
DOC
PDF
PDF
More from ekozoriz
PDF
DOC
Chapter 18 back of the chapter answers PDF
PDF
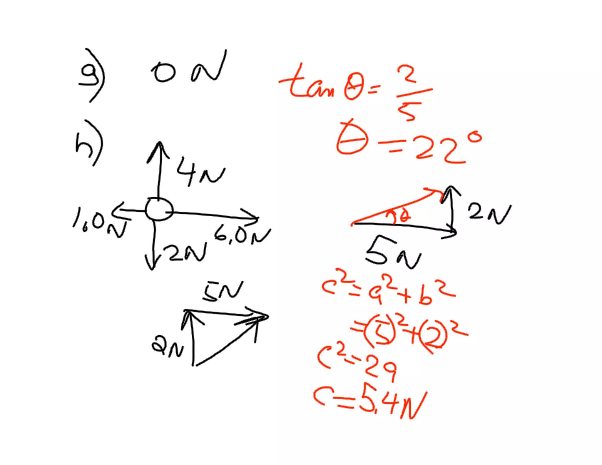
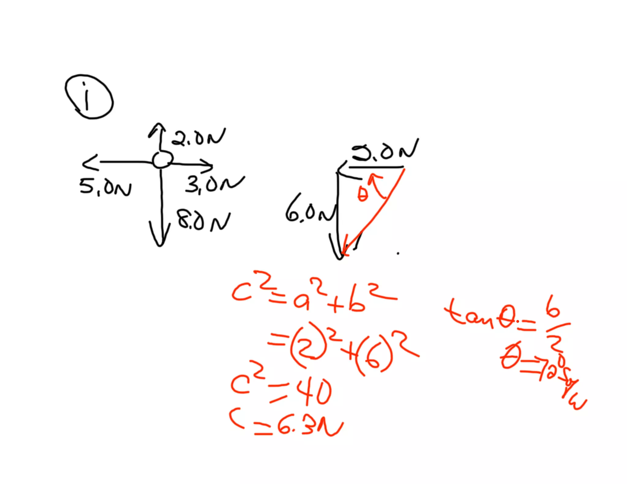
Ch.17 equilibriumproblems PDF
PDF
PPT
PDF
PDF
PDF
PDF
PDF
PDF
Ch.16 end of chapter problems PDF
PDF
PPT
PDF
PDF
PDF
PDF
Ch.8 study guides answers Recently uploaded
PDF
Nutrients & Role in Horticulture.pdf, Dr. Sharad Bisen Horticulture PPTX
Role of the Uninstall Hook in Odoo 18 Module Cleanup PDF
Orchard Floor Managment.pdf Orchard Floor Management PDF
DHA OPTOMETRY MCQ Question /HAAD/MOH.pdf PPTX
Cost of Capital - Cost of Equity, Cost of debenture, Cost of Preference share... PPTX
ICH Harmonization A Global Pathway to Unified Drug Regulation.pptx PDF
Basics of Systematic Literature Search - Nasra Gathoni PDF
The Tale of Melon City poem ppt by Sahasra PDF
The Tale of Melon City poem ppt by Sahasra PDF
The Tale of Melon City poem ppt by Sahasra PPTX
Rectal Surgery in Senior Citiizens .pptx PPTX
How to Automate Quality Checks in Odoo 18 Quality App PPTX
CROP RESIDUE MANAGEMANT AND ITS EFFECT ON SOIL HEALTH PPTX
Campfens "The Data Qualify Challenge: Publishers, institutions, and funders r... PDF
1ST APPLICATION FOR ANNULMENT (4)8787666.pdf PPTX
What is the Post load hook in Odoo 18 DOCX
Mobile applications Devlopment ReTest year 2025-2026 PDF
Blue / Green: Troop Leading Procedure (TLP) Overview.pdf PDF
The Drift Principle: When Information Accelerates Faster Than Minds Can Compress PDF
Projecte de la porta de la classe de primer A: Mar i cel.