Embed presentation
Download to read offline















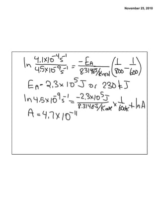
This document is a list of dates, as it contains the date "November 25, 2010" repeated 15 times without any other text or context provided. It does not convey any clear events, ideas, or information beyond establishing the dates listed are all the same.














