Embed presentation
Download to read offline








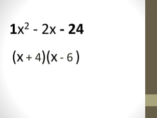
This document discusses factorizing the quadratic expression 1x^2 - 2x - 24. It shows the steps of multiplying the expression by 1, finding the factors of -24, and determining that the factors that combine to give -24 are (x-6)(x+4), following the sign of the larger number. The expression is therefore factorized as (x-6)(x+4).






