KISII UNIVERSITY
SCHOOL OF EDUCATION AND HUMAN RESOURCE DEVELOPMENT
DEPARTMENT OF CURRICULUM INSTRUCTION AND MEDIA
EDCI 211: PRINCIPLES ND THEORY OF CURRICULUM DEVELOPMENT
LECTURERS: 1) P. KWAMBAI (0721569169) 2) S. OTISO (0725404246) SESSION:
SEP-DEC 2023 PREREQUISITE: NONE LECTURE HOURS: 30 CF: 2.0
PURPOSE OF COURSE:
To equip the learners with requisite knowledge, skills and attitudes necessary to enable
them select, plan, design, develop, construct, innovate, implement and evaluate
curriculum. It will also enable them explore strategies and dynamics of curriculum. The
course will also expose the leaners to the knowledge of teacher education curriculum.
Expected Outcomes (ELOs)/Course Objectives
By the end of semester, the learner should be able to:
1. Explain broadly the meaning of curriculum
2. Discuss basic principles of curriculum construction, design, planning,
implementation and innovation
3. Explain models of curriculum development and curriculum evaluation
4. Discuss the steps in Curriculum development process
5. Explain the strategies of curriculum change
6. Discuss Teacher Education curriculum in Kenya
Course Description:
The course will focus on the broad definition of curriculum; Basic principles of Curriculum
construction, design, planning, implementation innovations; models of curriculum
development and curriculum evaluation. Dynamics of curriculum change and strategies.
Teacher Education Curriculum
Course Description/course plan
WEEK/Major
Topic
Sub-Topics Methodology
1
INTRODUCTION
➢ The concept of education
➢ Functions and Aims of Education
➢ Current Goals and aims of Education
➢ Conceptions of Curriculum
➢ KIE conception of the curriculum
-Lecture
-discussion/ presentation
-Research work
-E-learning
2& 3
CURRICULUM
PLANNING &
DESIGN
➢ Curriculum planning
➢ Curriculum Design
➢ Principles of curriculum design:
• Scope
• Sequence
• Continuity
• integration and Articulation
• Flexibility and Balance)
➢ Patterns of curriculum design
• Subject-centered designs
➢ Traditional subject Design
➢ Broad fields/fused design
➢ The core curriculum
• Learner centered designs
➢ Activity designs
➢ The social and life designs
-Lecture
-discussion/ presentation
-Research work
-E-learning
4 &5
MODELS OF
CURRICULUM
DEVELOPMENT
➢ The Tyler Model (1949)
• Criticisms of Tyler model
➢ The Taba Model (1962)
• Criticisms of the Taba Model
➢ The Hunkins Decision- Making Model
➢ Curriculum conceptualization
and
➢ Legitimization
➢ Curriculum diagnosis
➢ Content selection
➢ Experience selection
➢ Implementation
➢ Evaluation &
➢ Maintenance
• Criticism of Hunkins Model
-Lecture
-discussion/ presentation
-Research work
-E-learning
6 & 7
STEPS IN THE
CURRICULUM
DEVELOPMENT
PROCESS
➢ Situational analysis/Needs
assessment
➢ Formulation of Objectives
➢ Setting up the curriculum project
➢ Program building
➢ Piloting the new program in selected
schools
➢ Improving the new programme
➢ Implementation of the new
programme in Schools
➢ Evaluation
-Lecture
-discussion/ presentation
-Research work
-E-learning
➢ Curriculum Maintenance
8
CURRICULUM
CHANGE
➢ Meaning of Curriculum Change
➢ Causes of Curriculum change
➢ Curriculum change process
➢ Strategies and models of Curriculum
change
➢ Agencies of Curriculum change
➢ Implications of Curriculum change
➢ Curriculum evaluation
-Lecture
-class discussion/
presentation
-Research work
-E-learning
9 & 10
CURRICULUM
DEVELOPMENT
IN KENYA
➢ Functions of the KICD
➢ Operational structure of the KICD
➢ Curriculum development, research
and evaluation panels
➢ The curriculum development
process at KICD
➢ Related agencies in Curriculum
Development
-Lecture
-discussion/ presentation
-Research work
-E-learning
11 & 12
TEACHER
EDUCATION
➢ Meaning and scope of Teacher
Education
➢ Variants of Teacher Education
programmes
➢ Current programmes
➢ Issues in Teacher Education and
Teaching Profession
Lecture
-discussion/ presentation
-Research work
-E-learning
13 & 14 FINAL EXAMINATIONS
MODE OF PRESENTATION:
The following instructional methods will be used in teaching this unit:
Interactive Lecture method
❖ Discussion
❖ Class discussions/presentations
❖ Research work
❖ E-learning
INSTRUCTIONAL MATERIALS:
1. Laptop/Computer
2. Projector
3. Smart board
4. LMS/Zoom
COURSE ASSESSMENT:
The course will be assessed as follows:
✓ CAT 30%
✓ End of semester examination 70%
All students are cautioned against any kind of plagiarism, cheating, facilitating dishonesty
and falsifying information. This may call for disciplinary action.
REFERRENCES:
Core Reading Materials
Anderson, B.E. (1985). Principles and Procedures of Curriculum Improvement. New York:
The Roll Press Co.
Bogonko, S. N. (1992). Reflections on Education in East Africa. Nairobi: Oxford University
Press.
Oketch, J. G. & Asiachi, J.A. (1992). Curriculum Development for Schools. Nairobi: East
African Publishing Co.
Shiundu, J. O. & Omulando, S. J. (1992). Curriculum Theory and Practice in Kenya.
Nairobi: Oxford University Press.
Syomwene, A., Nyandusi, C. M., & Yungungu, (……) A. M. Core Principles in curriculum.
Utafiti Foundation
Recommended Reference Materials for Further Reading:
Ruth N. Otunga, Isaac I. Odero & Peter L. Barasa (2011). A Handbook for Curriculum
and Instruction: Moi University Press.
Bishop, G. (1985). Curriculum Development: A Textbook for Students. London: Macmillan
Publishers.
Kelly, A. V. (2009). The Curriculum: Theory and Practice, (6th Ed.). London: Harper and
Row Ltd.
Tanner, D. (1982). Curriculum Development: Theory and Practice (3rd Ed.). Englewood
Cliffs, New Jersey: Prentice Hall.
Oluoch, G. P. (1992). Essentials of Curriculum Development. Nairobi: Elimu Publishers.
Raju, B. M. (1973). Education in Kenya: Problems and Perspectives, UNESCO Project.
London: Heinnemann
EDCI 211: PRINCIPLES AND THEORY OF CURRICURUM DEVELOPMENT
INTRODUCTION
The concept of curriculum
❖ Curriculum is a century-old of professional study.
❖ To many, not in education, curriculum is associated with a document such as
text book, syllabus, teachers guide or learning package.
❖ For professionals, curriculum may refer to a set of plans, intentions, activities
or outcomes that are delivered in a variety of ways and in different settings.
❖ Curriculum leaders are concerned with the value or purpose of the curriculum.
❖ Any curriculum development is pegged on the purpose of curriculum.
❖ Throughout the world, education is being redefined by many forces especially
by globalization and the new technologies that can deliver learning direct to the
individual.
Narrow view of curriculum looks at curriculum in the following ways:
i. The curriculum should consist of permanent studies (the rules of grammar,
reading, rhetoric, logic and mathematics)
ii. The curriculum must consist essentially of disciplined study in five great areas
(Philosophy, literature, Grammar, mathematics and history) (Bestor 1956, pp 48-
49)
iii. The curriculum should consist entirely of knowledge which comes from
disciplines, (Phenix, 1962 p. 64)
iv. The curriculum is a systematic group of courses or sequence of subjects required
for graduation or certification in a major field of study (Oliver 2008, p.18)
Broader view of curriculum includes the various kinds of curricular such as planned,
unplanned (the hidden curriculum), technical and practical learning. According to Bobbit
(1924) curriculum may be defined into two ways
i. It is a range of experiences, both direct and indirect concerned in
unfolding the abilities of the individual or
ii. It is a series of consciously directed training that the schools use for
completing and perfecting the individual.
Curriculum can be defined as prescriptive, descriptive or both:
Prescriptive definitions provide us with what ought to happen and then more often than
not take the form of a plan, an intended program or some kind of expert opinion about
what needs to take place in the course of study (Ellis, 2004) while descriptive curriculum
is seen not merely in terms of how things ought to be but how things are in real classrooms
(Ellis, 2004)
Curriculum is the plans made for guiding learning in the schools, usually represented in
retrieval documents of several levels of generality and the actualization of those plans in
the classroom, as experienced by the learners and as recorded by an observer, those
experiences take place in a learning environment that also influences what is learned
Various definitions of curriculum
Curriculum is a word that is derived from Latin word currere which means to run the
course; and with time this word curriculum came to mean traversing the course of study.
Hollis Caswell and Doak Campell (1935) say “curriculum is composed of all the
experiences children have under the guidance of the school.”
R. Doll (1970) says that curriculum is considered to be all of the experiences that learners
have under the auspices of the school.
Tyler (1957) defines curriculum as all the experiences that individual learners have in a
programme of education whose purpose is to achieve broad goals and related specific
objectives which is planned in terms of a framework of theory and research or past or
present professional practice.
Taba (1962) looks at curriculum as all of the learning of students which is planned and
directed by the school to attain its educational goals.
Saylor and Alexander (1974) define curriculum as a plan for learning.
Johnson, (1970/1971) defines curriculum as a plan for providing sets of learning
opportunities to achieve broad goals and related specific objectives for an identifiable
population served by a single school center.
McNeil (1985) says curriculum is usually thought of as a course of study or plan for what
is to be taught in an educational institution.
The concern about the performance of education programmes has pushed the definition
of curriculum toward an emphasis on ends or results that curriculum is concerned not with
what students will do in the learning situation but with what they will learn as a
consequence of what they do. In this way, curriculum is concerned with results
Conceptual descriptions of curriculum
Curriculum as a concept- It’s an amorphous idea that is difficult to work with i.e. it is a
concept or theoretical abstraction which need to be broken down to comprehensive
components.
Curriculum as content- this is synonymous with knowledge and subject matter, skills
and attitudes that are developed in learners by the school through selected, planned and
structured subject areas and learning activities. It is guided by objectives/ outcomes.
Curriculum as a plan –as a plan for learning or as planned learning experiences. Its
central pillar is the formulation of aims goals and objectives. Here, authority is given to
the curriculum developer to determine the desirable learning outcomes.
Curriculum as experience – Here, curriculum comprise the sum total of the experiences
a pupil undergoes. The experiences here could be planned and unplanned, intended and
unintended, desired and undesired.
Curriculum as a process- curriculum is seen a social process comprised of the
interactions of students, teachers, knowledge and milieu (context).
Structure and principles in curriculum development
Major principles in the field of curriculum evolved more from practice than from any logic
or enlighten. As a result of this, the theory of curriculum has remained famous and has
followed practices in all school environments.
The factors that set the stage for defining curriculum parameters in the educational
processes are:
1) The learner,
2) The society and
3) Organized subject-matter (Dewey, 1902)
Sources of data in curriculum planning
➢ The study of society
➢ Studies of learners and
➢ Studies of subject matter content (Taba 1945).
➢ The 4th planning base for curriculum which came later (mid 1950s and early 1960s)
was the study of learning itself.
Guiding Principles of Curriculum Development
The curriculum is usually concerned with such questions as:
What should we teach?
What should be the content of education?
How should we organize it?
How should we teach it?
To answer these questions, we should consider the principles of curriculum development
Curriculum refers to both organized and informal activities of school life. The place and
importance of the curriculum in the educative process needs no reemphasis. The
following are the basic principles of curriculum construction.
Principle of Totality of Experiences: It includes the totality of experiences that the
learner receives through the curricular, co-curricular and extra-curricular activities.
Principle of Child-Centredness- Take care of age; mental ability/individual differences;
interests; include practical work, etc.
Principle of Conservation and Creativity: Include those subjects and experiences
which help in the conservation of cultural heritage. However, there should be provision
for their modification in light of the changing needs and situations. Also, subjects should
be included in the curriculum to enable the learner to exercise his/her constructive and
creative powers.
Principle of Integration: The curriculum should promote unified studies which have
direct connection with life.
Principle of Flexibility: In order to serve the varying needs and concerns of individuals
and society, curriculum should allow desirable changes and modifications of its contents
from time to time in order to keep it up to date.
The Principle of Utility: Only that which is useful to the individual and society should be
included in the curriculum.
Principle of Character Formation: It should train learners to develop desirable traits
and qualities of character through appropriate rules, regulations and routines.
Principle of Mental Discipline: It should develop the various mental faculties or powers
of the learner for their efficiency and precision.
The Principle of Social Fulfillment: The curriculum should be connected with the social
life of the people i.e., constructed according to the social context of the children. This will
help in training for citizenship.
Principle of Relating to Community Life: It should grow out of community life. This
means due importance should be given to social function and productive work which is
the backbone of organized human life.
Principle of Training for Leisure: The curriculum should be designed so as to train the
students not only for work but also for leisure. Attempts should be made to include a
variety of co-curricular and extra- curricular activities - eg drama, music, clubs, sports and
games. Such a curriculum will help the learners to be emotionally stable.
Principle of Correlation: Curriculum should not ignore the natural affinity that exists
among the subjects. It should also combine and correlate between theory and practice of
knowledge
The principle of consultation/joint venture
It should involve various experts like educational psychologists, educational
technologists, curriculum specialists, evaluation specialists, teachers, subject matter
experts etc.
The principle of availability of time and other resources
They should be aware of the conditions of the schools, including availability of time and
relevant resources.
Types of Curriculum
Based on the definition of curriculum, there are 5 different forms of curriculum planning.
1. The ideological curriculum-This is the ideal curriculum as construed by scholars
and teachers. This is a curriculum of ideas intended to reflect funded knowledge.
2. The formal curriculum- this is the curriculum which is officially approved by state
and local school boards. This is the sanctioned curriculum that represents society’s
interests. It is structured, supervised, examined/evaluated etc.
3. The perceived curriculum-This is the curriculum of the mind i.e. what teachers,
parents and others think the curriculum to be.
4. The operational curriculum- this is the observed curriculum of what actually goes
on hour after hour in the classroom.
5. The Experiential curriculum- This is what the learners actually experience.
Currently, the above types can be classified as:
i) The recommended curriculum
ii) The written curriculum
iii) The supported curriculum
iv) The taught curriculum
v) The tested curriculum
vi) The learned curriculum
vii) The hidden curriculum
The first five types listed above comprise the intentional curriculum. This entails the set
of learning experiences that the school system consciously intends contrary to the hidden
curriculum for its learners/students.
Self-Assessment Exercise:
➢ Make notes on the types of curriculum (Reference: Curriculum leadership
2ndedition
➢ Distinguish between written and recommended curriculum
➢ How is the taught curriculum established?
Components of the curriculum
These components include the following:
I. Curriculum policies- Education reforms should be institutionalized and this calls for a
change in the culture of the schools and schooling. The best way to institutionalize
curriculum is to formulate sound curricular policies.
Curricular policies refer to a set of rules, criteria and guidelines intended to control
curriculum development and implementation e.g. minimum subjects or units a student
should take, core courses, electives, pass mark, subject combination etc.
II. Curricular Goals – They are the general long term educational outcomes that the
school system expects to achieve through its curriculum.
Goals are stated much more generally than objectives e.g.
Goal- Learn to communicate ideas through writing and speaking.
Objective- Write a letter with appropriate business-letter form on how to improve company
business
Goals are long-term outcomes e.g. primary school goals of education, secondary goals
of education etc. The school system hopes that after 12 years of formal schooling, its
students will have achieved the goals the goals that the system has set.
Educational goals are long-term outcomes that the school system expects to accomplish
through the entire educational process over which it has control.
iii. Field of study
iv. Programmes of study
v. Courses of study
vi. Units of study
vii. Lessons
SAE:
❖ Distinguish between educational goals and curricular goals
❖ How do curricular policies and curricular goals interrelate?
The Hidden Curriculum
The concept of hidden curriculum expresses the idea that schools do more than simply
transmit knowledge. There are differences between written and hidden curriculum in that
teachers teach and students learn implicit concepts and patterns.
Hidden curriculum is also called unstudied curriculum, or implicit curriculum.
Hidden curriculum can be defined as those aspects of schooling other than the intentional
curriculum, which seem to produce changes in school values, perceptions and behaviors.
Although the term hidden curriculum is often used with negative connotations, those
learnings can be both desirable and undesirable from the viewpoint of one aspiring to
optimal human development.
Hidden curriculum might be seen as those aspects of the learned curriculum that lie
outside the boundaries of the schools’ intentional efforts
Relationships of types of curricular
SAE:
❖ Describe the instances in a school system that students learn from the hidden
curriculum
❖ Why is the knowledge of hidden curriculum important to curriculum leaders
(teachers)
Curriculum Development Process
What is curriculum development?
1. Curriculum development is defined as the planning of learning opportunities intended
to bring about changes in pupils’ behaviours and the assessment of the extent to which
these changes have taken place (Ondiek, 1986:16).
- This definition suggests that programmes of study are provided for learners and the
purpose is to effect some desired changes in them. It’s not clear whether this involves
curriculum improvement or revision of an existing curriculum.
- The same definition does not specify whether in the process of planning learning
opportunities for learners, changes are made to the existing curriculum or a new one
is developed.
- A critical question that should be interrogated is:
i. What about the undesirable and unintended changes that results from the
process of schooling?
ii. What about the unintended outcomes that are observed in the learners.
2. Another definition of curriculum development by (Marsh and Willis 1999) is: Curriculum
development is a collective and intentional process or activity directed at beneficial
curriculum change.
Supported curriculum
Taught curriculum
Tested curriculum
Written curriculum
Intentional curriculum
Recommended curriculum
Learned curriculum
Hidden curriculum
- this defined emphasizes some change to an existing curriculum with an aim of
improving it.
Rationale for curriculum Development
i. To improve the existing curriculum through revision or alteration of the existing
curriculum.
ii. Production of new programs of study especially when there is total absence of
curriculum to address issues that have emerged and current problems.
For curriculum development process to go on systematically, key question should be
carefully considered /addressed such as:
i. What activities should be carried out and at what stages should be followed when
coming up with a new curriculum or refining an existing one?
ii. Who does what activities during the process?
iii. What factors and forces influence curriculum.?
Curriculum Planning
Curriculum planning deals with a no of reality-oriented statements concerned with
questions such as:
i. What should be taught?
ii. How should it be taught?
iii. To what segment of population? And
iv. What should be the relationship between the various components of the
curriculum?
Curriculum planning is the process of that outlines policies, objectives and programmes
for an instruction. It’s one in aspect of educational planning that involves two main
processes thus:
i. Setting the objectives to be achieved and
ii. Establishing an efficient procedure for attaining the objectives.
What is curriculum planning?
i. Curriculum planning can be defined as the specification and sequencing of major
decision to be made in the future with regard to the curriculum (Glatthorn Boschee
& Whitehead (2006)
ii. Curriculum planning can also be defined as decision making process about the
content and the organization of learning for which the school is responsible (Marsh,
2004)
iii. Curriculum planning is informed by policy. From this perspective, curriculum
planning can be defined as a policy driven process that generates visions,
targets and activities with regard to curriculum.
- Curriculum development therefore can be said to be a decision making process in
which curriculum planners must make choices on what objectives, content, methods
to be followed and subjects to be offered in school. Based on this premise curriculum
development is the process for making programmatic decisions and for revising the
products of those decisions on the basis of continuous and subsequent evaluation
(Olivia ,2009)
SAE: Distinguish between the terms curriculum development and curriculum planning
CURRICULUM DESIGN
What is curriculum design?
i. This refers to the structure or organization of the curriculum. It’s the organization
of experiences in order to facilitate effective instruction.
ii. It’s the arrangement of the elements of a curriculum into a substantive entity.
iii. The way in which the component parts or elements of the curriculum have been
arranged in order to facilitate instruction.
➢ Curriculum design therefore involves the structure pattern or organization of the
component parts of a curriculum for purpose of instruction
➢ Curriculum designers address the following four essential questions which are integral
to the process of curriculum design:
i. What should be the end point of curriculum
ii. What subject matter should be included for students to learn?
iii. What instructional strategies, resources and activities will be utilized to deliver
the curriculum?
iv. What methods and tools will be used to judge the success or other wise of the
curriculum?
➢ These 4 questions translate into 4 key aspects of the curriculum which include:
i. Aims, goals and objectives
ii. Selection of learning experiences
iii. Organization of learning experiences
iv. Evaluation
➢ Curriculum design therefore is concerned with the nature and arrangements of these
basic curriculum elements.
i. Aims Goals and Objectives
➢ Planning is not possible without knowing the destination of the plan.
➢ Objectives strongly control the process of planning and all other curricular activities
including implementation and evaluation.
➢ The aims (general purposes) of education should be translated into more specific
objectives, the behavioural changes expected to occur in the learners as a result of
experiencing the curriculum.
➢ The objectives should be clear and consistent with the general aims of education or
the school. Such objectives should appear at all levels of the curriculum such as the
syllabus and units, scheme of work and the actual classroom instruction or lesson
plan. Objectives become more specific as the curriculum comes to the learners.
ii. Learning experiences
➢ This term refers to the interaction between the learner and the external conditions
in the environment to which he/she can react.
➢ These external conditions include the context, the teacher, fellow learners,
resource materials, teaching methods and aids, learning environment, resource
persons etc.
➢ In the school situation, the variety of learning experiences comprise the following
dimensions of the school curriculum:
i. Formal dimension – it involves the subject of study e.g. Geography, History
etc. the syllabus will show the objectives and the content to be covered, the
methodology, evaluation procedures and the learning resources. The teacher
and other resources are part of all these.
ii. The Non-formal dimension- it involves the activities which do not usually
appear in the written syllabus and yet occupy a good part of the students’ time
and contribute significantly to the achievements of educational aims. Examples
include games, sports, athletics, clubs and societies, field excursions etc. they
are also referred to as extra-curricular or co-curricular activities. They are out
of class activities and undertake them in a free and relaxed atmosphere.
iii. The Informal dimension- It’s also referred to as the hidden curriculum. They
are non-academic but educationally significant consequences of schooling.
They are unplanned, spontaneous experiences at school which influence the
learner’s behavior positively or negatively
-They could either be the by-products of the formal and non-formal
programmes or the entire school environment comprising the programmes,
personnel, fellow students, guests and the physical environment of the school
-This informal learning is not planned through the formal school programme
and yet it is important for the individual, family, community and the wider society
iv. Evaluation– this is the process of determining the extent to which curricular
objectives are being or have been achieved.
-It helps in making decisions relating to building changing and improving the curriculum.
It goes on throughout the curriculum development process.
Patterns of Curriculum Design
➢ This is the organization of learning experiences for effective presentation and learning.
The manner in which the various elements of the curriculum are organized determines
the curriculum design pattern.
➢ There are 3 main categories of curriculum design patterns:
1. Subject centred designs
2. Learner centred designs
3. Problem centred-designs
1. SUBJECT–CENTRED DESIGNS
➢ This is when the curriculum is defined in terms of subject matter such as science
curriculum, History curriculum or in terms of the class levels such as the primary
school curriculum or sec school curriculum.
➢ These designs use the subject structure. The other elements of this kind of curriculum
are objectives and learning experiences which have little impact on their organization.
E.g., of subject centred designs are:
i. the traditional subject design
ii. the broad field design/ the integrated design
iii. The core curriculum /the compulsory design.
i. The Traditional Subject Design
➢ This is oldest and most widely used from our organization among educators and the
lay public.
➢ It organizes the curriculum in different and specific subjects each of which represents
a specialized and homogeneous body of knowledge.
➢ Emphasis is based on separate academic areas and this the context and skills to be
mastered are divided into distinct areas called subjects/courses with their own logical
order and sequence as decided by the subject specialists.
➢ This design emphasizes the use of pedagogical skills such as explanation, discussion,
lecture, recitation, questioning, writing exercises and reports etc.
➢ It’s examination-oriented and thus they emphasis on content coverage.
Advantages of Subject Design Curriculum
i. Textbooks and the other teaching learning resources are commonly organized
to fit the established subject categories.
ii. It is possible to determine in advance what all children will learn in various
subjects and levels.
iii. People become familiar and more comfortable with this design and seem to
view it as part of the system and education as a whole.
iv. It is well understood by teachers especially those who teach in secondary
schools because they have specialized in the learning of some subjects.
v. It encourages competition students among which is an important in developing
intellectual powers.
vi. It encourages competition and satisfaction among teachers as it lays emphasis
on content coverage.
vii. It develops full intellectual powers of the individual learners.
viii. It is the most systematic and effective organization for acquainting learners with
the essentials off cultural heritage.
Note: Curricular theorists in support of this design appreciate change in
knowledge/subject matter in the curriculum and that obsolete knowledge can be dropped.
The best subject matter to them is that which keep the learners to test out information, to
answer questions, to inquire, to reconstruct their own knowledge and use it.
Disadvantages of the Traditional Subject Design
i. It brings about high fragmentation of knowledge and with the current explosion
in knowledge, more subjects are created and added to the curriculum as new
areas of study.
ii. The information/knowledge learned through this design is not transferred for
use in everyday life situations contrary to the assumption.
iii. The inter relationships between and among subjects is not provided for in this
design.
iv. This design is mostly exam-oriented and tests memorization rather than
understanding
v. Too stiff competition demotivates slow learners and may encourage unethical
practices such as cheating in exams.
vi. The design creates bias towards certain valued subjects.
vii. It creates subjects that cannot be successfully taught using the available
resources.
➢ Note: To overcome these limitations various modifications of this design have
been developed. These include integrated or broad fields design and
core/compulsory curriculum design.
ii. The Integrated Broad-Fields Design
➢ This design involves a combination of different but related subjects into one
subject. Subjects are logically related/fused into a single broad field to overcome
fragmentation and compartmentalization.
➢ It is about the creation of connection and relationships between subjects, topics,
themes and skills.
➢ This design attempts to use an integration of traditional subjects to help students
develop broad understanding in all areas. E.g. social studies in Kenya primary
school is the combination of civics, History and Government, Geography and other
subjects that deal with man and his social relationships in a given physical
environment. In secondary school in Kenya there is the integration of English
language and literature and the integration between the language skills: listening,
speaking, reading and writing.
Advantages of the Integrated/ Broad-Fields Design
i. It integrates separate subjects into a single course and enables the learners to
see relationships between and among subjects as well as the various elements
in the curriculum.
ii. It can produce all round learners if well used.
iii. It’s economical in as far as utilization of resources is concerned.
iv. Teachers feel competent and comfortable as it bears similarity to
college/university courses.
v. It provides a systematic and effective organization for acquainting learners with
the essentials of cultural heritage.
Disadvantages of the Integrated/ Broad-Fields Design
i. It can lack depth and cultivates shallowness or superficiality.
ii. It does not cater for the learners’ needs, interests and capabilities.
iii. It does not provide relationship with other broad-fields and therefore
concentrate on a particular broad field.
iv. It stresses on content coverage and acquisition of knowledge and offers too
little in terms of goals in the affective domain.
v. It stresses memorization and recitation at the expense of application of the
acquired knowledge.
vi. It disadvantages those teachers who are trained to specialize in specific
subjects. E.g., JSS teachers in Kenya who have specialities is specific subjects
iii. The Core/Compulsory Curriculum Design
➢ This was established as a reaction against the fragmentation and piecemeal learning
accumulated from separate subjects.
➢ The reason behind this design is the realization that some content is indispensable for
all students and thus this content should be the core.
➢ The term core is commonly used in curriculum studies to mean that part of the school
curriculum which is essential and thus a common requirement for all students.
➢ In selecting core subjects, the curriculum developers pay keen attention to the national
philosophy and national goals of education e.g., in secondary school in Kenya
mathematics, English Kiswahili are compulsory. At the university level there are
compulsory courses in all faculties/schools.
The Advantages of Core/Compulsory Curriculum
i. It combines subject matter with the realities and challenges of life.
ii. It serves the needs of the society by emphasizing on a core of social values.
It’s more socially rather than cognitively oriented.
iii. It caters for learners needs by giving them the opportunity to make choices
through electives.
iv. It provides for equity in education (through the compulsory as opposed to the
elective subjects)
The Disadvantages of Core/Compulsory Curriculum
i. It poses organizational problems in schools (e.g., timetabling) because of the
many subjects.
ii. It requires teachers of many specialities.
iii. It’s expensive to implement with regard to teaching-learning resources.
iv. It does not cater for learner differences (all are expected to take the core
subjects)
2. THE LEARNER-CENTRED DESIGN
➢ These kinds of designs are not content free but they mainly emphasize on the learners
needs and interests.
➢ They are also referred to as child centred designs.
➢ These designs draw a lot of principles on of human growth and development and from
learning theories.
➢ The child/learner is the centre of the curriculum process and their active participation
in the learning process remains the main focus.
➢ The advocates of this designs argue that the child is the beginning point the determiner
and the shaper of the curriculum while the child develops in and is influenced by a
social environment
➢ John Devey and the progressivist movement in education are the main promoters of
these designs. They believe that children learn better by doing.
➢ The proponents of learner-centred design view the school in extremely democratic
terms and perceive the individual human being as a naturally good and sacred entity.
➢ The traditional teacher domination by the teacher is greatly minimized in these designs
which allow for the learners’ freedom, active involvement and creativity all of which
are important for human growth.
➢ The rationale for this design was also that people learn only what they experience i.e
learning that is related to active purposes and is rooted in experience translates itself
into behaviour change.
➢ The main argument for learner-centred curriculum is that value of a curriculum must
lie in its possibility to provide satisfaction and pleasure, sustain interest and be found
relevant and valuable to the child.
➢ Cultural values still hinder this kind of practice especially in traditional societies in
which the relationship of child to adult is that of subordination.
➢ Curriculum centred on the interests of the child can make learning piecemeal and a
arbitrary thus limiting the child to his/her own world.
The Strength of Learner Centred Designs
i. They focus on the learners needs, interests and experiences in curriculum
planning and implementation processes.
ii. The learner is an active participant in the learning process
iii. They make knowledge relevant to the learning process
iv. Teachers and learners participate in the development of the curriculum and the
materials to be used.
v. Learners are exposed to problem solving skills hence making learning more
meaningful.
vi. Learner motivational is intrinsic and does not have to be externally induced
because learning activities are based on students’ needs and interest.
vii. These designs favour individualized instruction.
The Shortcoming of Learner-Centre Curriculum Designs
i. It can be costly to implement in terms of learning resources.
ii. They are time consuming
iii. It places a lot of demand on the teacher who has the role of identifying learners’
needs and interests which form the basis of learning.
iv. They are in contradictions with the view of a curriculum that is primarily content
driven
v. These designs oppose a pre-planned curriculum.
vi. They lack a definite horizontal structure in that no curriculum organizing
principles exist since it depends on individual learners.
3. PROBLEM-CENTERED DESIGNS
➢ It focuses on diverse problems in life for both the individual and the society.
➢ They are organized to reinforce cultural tradition and to address the societal and
community needs that are currently unmet.
➢ These designs are characterized by the following:
i. Content is organized in ways that allow to clearly view problem areas in
their lives
ii. They utilize past and current experiences of learners as a means of
enabling them to analyze the basic life situations.
iii. The designs allow preplanning of the curriculum
iv. The nature of the problems to be studied determines the structure of these
curriculum designs, objectives, content selection, teaching and learning
resources and evaluation procedures.
v. Content selection is also based on the learners’ needs, interest and abilities.
vi. These designs unlike the others, emphasize on both content and the learner
making it unique.
In Kenya, persistent life/societal issues have continued to influence curriculum. These
include ethnicity, insecurity, political instability, HIV/AIDS, drug and substance abuse,
droughts and famine, technology, corruption, population explosion, development plans
and educational policies, the constitution and environmental conservation among others.
➢ Life skills education (LSE) is an example of problem-centred orientation. LSE was a
introduced following the post-election violence in the years 2007/2008
➢ Some of the emerging issues that affect the youth as discussed in LSE include.
➢ Self-awareness skills
➢ Interpersonal r/ships
➢ Decision making skills
➢ Communication
➢ Family and societal values
➢ Stress mgt
➢ Drugs & substance abuse
➢ Sexuality
➢ Gender differences abuse
➢ Making career choices.
The Strengths of Problem-Centred Designs
i. The curriculum can be preplanned through the curriculum planners and
teachers will sometimes have to adjust in order to cater for the concerns and
situation of learners.
ii. Learners are able to develop the ability to select appropriate solutions to life
issues with the help of the teacher i.e., it creates a model where the learner is
engaged in a self-directed search for solutions.
iii. These designs focus on problem solving procedures for learning.
iv. They utilize the past and current experiences of the learners as a means of
getting them to analyze the basic areas of living.
v. They present subject matter in an integrated approach by cutting across the
separate subjects and centering on related categories of social life situations.
vi. They prepare learners adequately for everyday life
vii. Learning is real because it is linked to real life.
The Criticism Against these Designs
i. Teachers have not been trained adequately to handle content in terms of
persistent life situations.
ii. They need to analyze problems, determine what information is needed to solve
them and design solutions which is an involving task.
iii. Determining the scope and sequence of essential areas of living is difficult.
iv. They do not adequately expose students to their cultural heritage.
v. They tend to indoctrinate the youth into the existing conditions and thus
perpetuate the social status quo.
vi. Most teaching/learning resources do not directly match with these designs.
vii. They do not allow specialization.
viii. They lack the support of parents who may not be familiar with them.
ix. It is not easy to achieve curriculum balance in these designs since the
curriculum is mainly based on areas of living.
Purposes of Curriculum Design
i. It assists the curriculum designers to focus attention on goals.
ii. Curriculum design reduces stress and frustration in providing education to the
potential students. When properly planned teaching becomes easy to manage
in terms time, resources, methods etc.
iii. It ensures uniformity in the school programmes for the public school curriculum
for a centralized system like in Kenyan.
iv. It also helps the designers to reflect on the specially challenged learners so
that important decisions are taken on how best they can be provided in the
education system.
v. It allows the designers to compare their work with that of their counter parts in
the region and beyond i.e., facilitates benchmarking of curriculum offerings
which is very important in the current global era.
vi. Curriculum design also provides crucial background data for future curriculum
planning.
Central Issues in Curriculum Design/ Key Characteristics of Curriculum Design/
Principles of Curriculum Design.
➢ Curriculum design to be used for instructional purposes should be a coherent whole
at each class level and across the classes.
➢ There should be good horizontal and vertical relationship within classes and across
all class levels.
➢ For this to be realized the following key characteristics should be taken into
consideration:
i. Scope
ii. Sequence
iii. Continuity
iv. Integration
v. Flexibility and
vi. Balance.
Topic: Curriculum Development Process
What is curriculum development?
1. Curriculum development is defined as the planning of learning opportunities intended
to bring about changes in pupils’ behaviours and the assessment of the extent to which
these changes have taken place (Ondiek, 1986:16).
- This definition suggests that programmes of study are provided for learners and the
purpose is to effect some desired changes in them. It’s not clear whether this involves
curriculum improvement or revision of an existing curriculum.
- The same definition does not specify whether in the process of planning learning
opportunities for learners, changes are made to the existing curriculum or a new one
is developed.
- A critical question that should be interrogated is:
iii. What about the undesirable and unintended changes that results from the
process of schooling?
iv. What about the unintended outcomes that are observed in the learners
2. Another definition of curriculum development by (Marsh and Willis 1999) is: Curriculum
development is a collective and intentional process or activity directed at beneficial
curriculum change.
- this defined emphasizes some change to an existing curriculum with an aim of
improving it.
Rationale for curriculum Development
iii. To improve the existing curriculum through revision or alteration of the existing
curriculum.
iv. Production of new programs of study especially when there is total absence of
curriculum to address issues that have emerged and current problems.
For curriculum development process to go on systematically, key question should be
carefully considered /addressed such as:
iv. What activities should be carried out and at what stages should be followed when
coming up with a new curriculum or refining an existing one?
v. Who does what activities during the process?
vi. What factors and forces influence curriculum.?
Steps in Curriculum Development Process
- Curriculum development involves various activities and several stages that have been
outlined and explained by different scholars and agencies e.g.
i. The Malaysian Curriculum Development Centre (CDC) uses a cyclical model which
consists of six broad stages:
a) Identification of needs
b) planning
c) development
d) try out
e) implementation
f) evaluation
ii. Shiundu & Omulando (1992) list 9 stages of curriculum development
i. situation analysis (needs assessment)
ii. Formulation of objectives.
iii. setting up the curriculum project
iv. Programme building.
v. Piloting the new programme in selected schools.
vi. improving the new prog
vii. implementation
viii. evaluation and
ix. maintenance
iii. KICD identifies 10 stages of curriculum development process thus:
i. Policy decision /formed request stage.
ii. needs assessment
iii. Conceptualization and policy formulation.
iv. Formulation of curriculum design
v. development of syllabuses
vi. Development and selection of teaching and learning materials
v. Teacher preparation
vi. Piloting
vii. Curriculum implementation
viii. Curriculum monitoring and evaluation
NB: this model is used in developing curricular for all levels of education, except university
level.
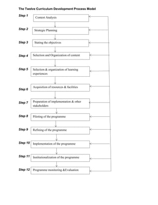
Twelve-Steps Curriculum Process Model
i. Context analysis
ii. Strategic Planning
iii. Stating the objectives
iv. Selection and Organization of content
v. Selection & organization of learning experiences
vi. Acquisition of resources & facilities
vii. Preparation of implementation & other stakeholders
viii. Piloting of the programme
ix. Refining of the programme
x. Implementation of the programme
xi. Institutionalization of the programme
xii. Programme monitoring &Evaluation
Step one – Context Analyses
✓ curriculum planners asses the prevailing circumstances and needs. This is
accomplished through research to assess the societal and learners’ needs that the
new programme should address.
✓ Context here covers the social cultural economic political and technological
environment as well as the institutional dynamics influencing the curriculum
✓ This step is also referred to as situational analysis.
✓ It involves finding out the context in which curriculum development process is to
take place by way of taking analysis of learners’ needs, interests, context, physical
environment, teacher and community.
✓ Context analysis can be undertakings by considering both the school and social
factors.
✓ School factors include:
i. The learners (their needs and interests)
ii. Teachers (their attitudes, knowledge and skills)
iii. Educational goals
iv. Availability of the required resources and facilities in the schools
v. The existing curriculum (its strengths and weakness)
vi. The curriculum leaders (their attitude, knowledge and skills)
vii. Dynamics in knowledge
✓ Societal factors include:
i. The society’s norms
ii. Philosophies of life
iii. aspirations
iv. Societal challenges and emerging issues
v. Political and economic situation
During context analysis curriculum planners collect and analyse data on the prevailing
circumstances and needs in order to make decisions on the new programme objectives
content, learning experiences and methods of evaluation.
Step Two Strategic Planning
➢ Strategic planning involves a set of decisions and actions that result in the planning
and development of school programmes to achieve the desired results.
➢ The focus here is on the viability and feasibility of the programme, programme timing,
budget and costs.
➢ The programme cost include labour, consultancy, communication costs, training
costs, resources, facilities administrative costs, piloting costs and monitoring and
evaluation costs. The source of the funds should be established e.g., government,
parents, communities, donors etc.
Step Three –Stating the Objectives
➢ It’s important to specify the expected outcomes because education is a goal-oriented
process.
Why state programme objectives?
i. To make maximum use of structural time
ii. They provide direction on the choice of expected content, learning experiences
and methods of evaluation.
iii. They assist curriculum planners in developing purposeful instructional
programmes
iv. They justify the need for providing education and thus solicit support for it.
v. They provide a basis for evaluation determining the extent to which an
educational or instructional programme is useful.
➢ The objectives derived should be in three domains: the cognitive or intellectual, the
psychomotor and the affective. The objectives formulated for the curriculum should be
SMART.
➢ The objectives are informed by the learners’ and societal needs, national aims of
education in the country and theories of learning among others.
Step Four – Selection and Organization of Content
➢ The two main questions here are:
i. What is to be taught? and
ii. How should it be classified, arranged or sequenced for learners’
understanding?
➢ Any curriculum developed should take into account classification and systematization
of the already selected content. This will essentially best facilitate the subsequent
decision about teaching and learning.
Step Five – Selection and Organization of Learning Experiences
➢ The guiding question in this step after the selection and organization of content should
be: How should we teach what is to be taught?”
➢ Learning experience encompass both the teaching methods and learning activities.
They are the strategies used in content delivery.
➢ The prevailing context and desired outcomes should guide the teacher in modifying,
revising and innovating the content and learning experiences provided in a pre-
planned curriculum.
Step six: Acquisition of Resources and facilities
➢ Effective resources and facilities are those specific to the content and learning
experiences selected.
➢ Resources is defined as people, equipment and materials that can be drawn on to
accomplish something
➢ Facilities on the other hand are the infrastructure required in the accomplishment of
projects and in daily running of institution. The curriculum development and
implementation process cannot succeed without the required resource and facilitates.
➢ The quality and appropriateness of instructional materials is critical in curriculum
implementation process. Deficiencies in resources can sink even the best instructional
design delivered by the best planner.
➢ The resources and facilities should be acquired in advance before the onset of the
implementation process in order to avoid cases of delay and lack. Relevant resources
and facilities should be provided in sufficient quantities and there should be clear plans
on their maintenance.
➢ The human resources include the teachers and curriculum leaders while physical
resources and facilities include books, teacher guides, classrooms, desks chairs, labs
w/shops, libs etc.
Step 7: Preparation of Implements and Other Stakeholders
➢ Curriculum implementers are the personnel charged with the task of putting the
curriculum into practice in the schools. They include teachers, leaders and supervisors
with teachers as the main curriculum implementers. Other stakeholders include
learners, parents, communities and agencies that support schools in the
implementation process. Adequate preparation of stakeholders is perquisite for
success in the implementation process.
➢ Preparation involves communication about the new curriculum, training the
implementers and sensitization efforts for attitude change and commitment. This
preparation serves to reduce resistance from the implementation and other
stakeholders. Preparation also serves to provide necessary knowledge and skills and
have positive attitudes to the new curriculum which they are expected to use and adopt
in schools. This can be done through in-service, workshops, conferences and
seminars.
Step 8: Piloting of the Programme
➢ Piloting involves trying out of the new programme in a few schools.
➢ It involves assessing and evaluating a new programme with (sample of) the target
programme that will use the curriculum. The aim of piloting is to identify any
weaknesses before implementation.
➢ Through piloting the curriculum validity is established because it’s a kind of formative
evaluation to determine the extent to which programme will or will not achieve the
intended objectives.
➢ For effectiveness, the schools used in piloting should comprehensively represent all
types of schools and educational concepts. In Kenya it should cater for national, extra
country, county and sub-county schools, private and public schools, singe sex and
mixed schools, urban and rural schools, day boarding schools, schools in various
geographical contexts special schools and mainstream schools and schools with
various religious affiliations.
Step 9: Refining of the Programme
➢ Refining is the process through which the curriculum Planners make improvements or
amendments in the programme
➢ The feedback obtained from piloting is used to refine the programme and to also make
decisions is to whether to adopt the programme as it is; to adopt after revision or to
repeat it altogether.
Step 10: Implementation of Programme
➢ Implementation involves the process oof putting the new programme into use in all
schools.
➢ The success of the programme depends on attitudes of implementers, availability of
resources and facilities, competence of implementers, compatibility of the new
programme to the existing set ups and administrative support.
➢ Key activities undertaken during curriculum implementation include:
i. Presenting the new programme in the schools.
ii. Availing and utilizing the resources and facilities.
iii. Actual programme delivery
iv. Supervision
v. Monitoring and evaluation
Step 11: Institutionalization of the Programme
➢ This is the process through which the programme becomes fully adopted and owned
by the users.
➢ It also involves maintenance of the curriculum to determine the operational impact
time as well as to support and sustain the curriculum in use.
Step 12: Programme Monitoring and Evaluation
➢ Monitoring is the systematic and routine collection of information about the programme
for improvement it involves checking the progress of the programme against the intend
plan.
➢ The data acquired through’ monitoring is used for evaluation.
➢ Through monitoring curriculum, workers get to know how a curriculum is working with
reference to itself or students and if its meeting goals or stated outcomes.
➢ Evaluation vs the progress of determining the extent to which the prog intended
objectives have been achieved. It provides data on the prog merit.
➢ Evaluation is carried out in two ways: formative and summative evaluation
➢ Formative evaluation is carried out in every step of the curriculum development
process to determine the success of the steps while summative evaluation is carried
out after the programme has been implemented and institutionalized in schools to
determine the success of the entire programme.
➢ NB:
i. Curriculum development is never ending process because planners must
always aspire for continuous improvement. Therefore, on-going evaluation is
necessary to identify strong and weak points and to develop or remediate them
an on-going basis.
ii. The whole process of curriculum development is characterized by continuous
feedback for curriculum improvement.
iii. The process of curriculum development may not be strictly linear as described.
The steps are not discrete i.e., the steps interact and inform each other through
the interaction of the elements of curriculum.
The Twelve Curriculum Development Process Model
Step 1
Step 2
Step 3
Step 4
Step 5
Step 6
Step 7
Step 8
Step 9
Step 10
Step 11
Step 12
Contest Analysis
Strategic Planning
Stating the objectives
Selection and Organization of content
Selection & organization of learning
experiences
Acquisition of resources & facilities
Preparation of implementation & other
stakeholders
Piloting of the programme
Refining of the programme
Implementation of the programme
Institutionalization of the programme
Programme monitoring &Evaluation
The Interaction among the Elements/Components of Curriculum
➢ These elements include:
i. Curriculum aims, Goals and objectives
ii. Curriculum content/Subject matter
iii. Curriculum/Learning experiences and
iv. Curriculum evaluation.
➢ These four elements are in constant interaction throughout the process of curriculum
development.
➢ There is a back and forth interrelationship in the four elements in which each element
influences and is influenced by others.
➢ The elements interact in the wider context that surrounds and influences the school
such as the social, economic, political, cultural and technological context in the
society.
➢ The micro context is the school environment that includes the prevailing institutional
dynamics.
Context context
Context context
Participants in Curriculum Development Process
➢ Curriculum development process is accomplished through the participation of various
persons and agencies: the stakeholders.
➢ Stakeholders are persons, institutions and organizations that are interested in the
school curriculum
➢ These stakeholders get involved in many ways in the planning, development,
implementation and evaluation activities because the curriculum affects them either
directly or indirectly.
➢ Ideally all stakeholders and those who are affected by the curriculum should
participate in the process of curriculum development.
➢ Among these stakeholders include: teachers, curriculum experts, learners, parents,
politicians, professionals, opinion leaders, religious leaders and educational experts.
➢ The agencies that take part in curriculum process in Kenya include KICD, ESQAC,
KNEC, KCSE, KNUT, KUPPET, TSC, Religious Organization e.g. NCCK, teacher
centres public and private among others.
Curriculum Aim, Goals and
Objectives
Curriculum Evaluation
Curriculum/ Learning
Experiences
Curriculum Content
content
➢ KICD uses the panel system (course and subject panels) to develop curriculum and
curriculum support materials.
➢ The course panel are in charge of each level of education e.g. primary, secondary and
tertiary education.
The Functions of the Course Panel Include:
i. To keep under constant review the existing curriculum of the relevant level
of education or training and to make recommendations to the academic
board.
ii. To coordinate and guide the activities of subject panels in their respective
areas of specialization and
iii. To liaise with other institutions and agencies outside the MoE engaged in
training of human resource for industrial and commercial purposes.
➢ The subject panels are in charge of each subject that is taught in Kenyan school
syllabus. This is made up of subject specialists.
➢ The functions of the subject panels include:
i. To initiate and guide appropriate curriculum development projects, research
and evaluation activities in the relevant subject or educational area.
ii. To keep under constant review the existing syllabus in a subject or
educational area and make necessary recommendation to the course
panels.
iii. To keep under constant review are exams conducted in the country in the
relevant subject or educational area and make recommendations to the
course panels and
iv. To evaluate and recommend curriculum support materials for use in the
schools, colleges and other post school institution in the relevant subject or
education area.
Self-Assessment Exercise:
i. Discuss the various steps/stages of curriculum development project and show how they
are related.
ii. Discuss four elements of curriculum and show how they are interrelated
iii. Identify and explain five main participants of curriculum development process in Kenya
iv. Curriculum is a product of several factors. Discuss five factors that influence curriculum
in Kenya
v. KICD utilizes the panel system approach to develop curriculum and curriculum support
materials. Based on this discuss the functions of course and subject panels of KICD
Curriculum change
Curriculum change is big term that makes up the whole concepts such innovation,
development and adoption. This includes changes that may be planned or unplanned
(unintentional, spontaneous or accidental). It may involve changes at the classrooms or
school level or reforms of the whole each system in a country
What is curriculum change?
➢ Curriculum change is an interwoven, involving, dynamic and never-ending process
concerned with any alteration in the curriculum design, goals, content, learning
activities, scope and sequences
➢ Curriculum change can also be defined as a deliberate attempt to improve practice
in relation to certain desired objectives.
These changes may be in a certain aspect of the curriculum or complete shakeup of
the curriculum.
There are four core changes in curriculum
i) Some form of regrouping/new grouping (restructuring) of the curriculum itself.
ii) The use of new curriculum materials
iii) Changes in learning practices (i.e., adoption of new activities, skills or behaviours).
iv) Changes in beliefs or understandings of how the curriculum affects learning.
Causes of curriculum change
The main aim of curriculum change is to improve the quality of education by addressing
the current needs of the learners and the society at large.
The following are some of the aspects that provide on impetus of curriculum change:
i) Emerging issues in the society such as terrorism, ethnicity, corruption, HIV/AIDS,
environmental protection, drug and substance abuse.
ii) Technological advancements e.g. e-learning, e-citizen, e-commerce and
computer literacy in general.
iii) Changes in knowledge (Epistemological changes) e.g., learner-centred
education, individualized instruction, special needs education (SNE) and inclusive
education are the current demands made on education. New education theories
from psychology can cause change in curriculum e.g. Jean Piaget’s research
findings on cognitive development of human beings which have had implications
for the curriculum in the context of learners readiness to learn given subject matter,
the sequential hierarchies in subject matter arrangements & the pedagogies used
in instruction.
iv) Global trends such as Sustainable Development Goals (SDGs), Millennium
Development Goals, (MDGs), Education for All (EFA), Universal Primary
Education (UPE) have shaped education changes globally.
v) Changes in national education philosophy. This is stipulated in development
plans, education commission and sessional papers. Examples in Kenya include
Kenya Vision 2030, educational commissions (e.g. Ominde Commission,
Odhiambo Commission Koech Commission) and sessional papers (e.g. sessional
No. 1 of 2005)
vi) Political changes-In Kenya whenever there is change in the government
structure, curriculum revisions are affected in the History & Government syllabus
for secondary school and the social studies syllabus for primary schools. In the
year 2012 there was the creation of the post of a PM in the government structure.
A new constitution was also enacted in the year 2010 and all these developments
have been included in the curriculum of these subjects.
vii) Physical changes-Among others is environmental changes in the world globally
which has led to development of courses and programmes in environmental
science in many institutions of higher learning in Kenya because of the demands
on environmental t conservation.
viii) Employment agencies-They dictate the courses to be offered in various
programmes for relevancy.
Curriculum Change Agents
Change agent refers to an individual (or group/organization) that influences clients’
innovation decisions in a direction deemed desirable by a change agency. All
stakeholders of change are change agents. Change agents in Kenya include the following
i. The presidency through presidential directives
ii. The government through the cabinet
iii. Ministry of Education
iv. Curriculum development Centre e.g., the Kenya Institute Curriculum
Development (KICD) in Kenya
v. Examination centers e.g., Kenya National Examinations Council (KNEC) in
Kenya
vi. Trade unions e.g., Kenya National Union of Teachers (KNUT), Kenya Union
of Post Primary Education Teachers (KUPPET) in Kenya among others
vii. Institutions of higher learning e.g., universities & colleges
viii. Non-Governmental Organizations (NGOs) & donors
ix. Teachers
x. Religious organizations (e.g., NCCK) and other pressure groups in the
society
xi. Publishing firms (e.g., JKF, Longhorn, EAP etc.)
xii. Employing agencies e.g., the Teachers Service Commission (TSC) in
Kenya
xiii. Parents’ Association
xiv. School Boards of Management & committees
Key Roles of Change Agents:
i. Developing need for change
ii. Establishing information-exchange relationship
iii. Diagnosing clients’ problems
iv. Creating intent to change in the client
v. Translating intent into action
vi. Stabilizing adoption and preventing discontinuances and last but not least
vii. Achieving a terminal relationship
Forms, Strategies and Types of Change
Change can be characterized in many forms, strategies and types. One of the ways is by
considering the following forms of change:
i) Substitution- this is where one element replaces another previously in use e.g. a
new course book for use in society
ii) Alteration- this is a change in the existing structures rather than complete
replacement of the whole curriculum e.g., new content and materials. This
happens when some new content is introduced/withdrawn from a course.
iii) Addition-this is by way of introduction of new components without changing old
components/elements/patterns e.g., a new topic subject or course of study
iv) Restructuring-this is done through rearrangements of the curriculum in order to
implement the desired changes e.g., changes in sequencing of content.
v) Perturbation–these are changes that can disrupt a program but can be adjusted
by the leaders such as time schedules
vi) Value oriented changes– this includes shifts in the fundamental philosophies or
curriculum orientations. It can involve changes in an education system e.g. in
Kenya where there is change of education system from 7.4.2.3. to 8.4.4 to 2.6.6.3
Curriculum changes can be categorized into minor, medium and major changes. Minor
changes may include addition of a material, topic and learning activities. Medium changes
comprise alterations that do not affect the general structure of the curriculum though they
are conspicuously noticeable such as a new subject, integration of subjects and new
teaching and evaluation methods. Major changes include changes in design and structure
of the curriculum such as changes in the educational system, new educational policies
that may include FPE policy in Kenya and overhauls in the syllabus for schools.
Furthermore, Change can be understood by identifying three strategies namely:
i) Empirical rational strategies: these strategies emphasize the importance
of understanding the need for change and having the competence to
implement the same. These strategies are informed by research on
identification of needs and interests of learners as well as society.
ii) Normative re-educative strategies: these changes based on rationality
and intelligence of humans. They work on the premise that curriculum
adopters can willingly and cooperatively support the change if they are
made to understand the change.
a. Power-coercive strategies: this is where those in power impose
change to the rest. They believe that the curriculum adopter is
powerless individuals who require guidance and direction by those
in power and authority.
Changes can also be categorized into:
i) Planned changes-here those involved have equal power and function in a
prescribed function. This kind of change is organized and intended
ii) Coercion change-here one group determines the goals and other parties
are excluded from participating. There I unequal sharing of power among
the parties and those with more power and authority leverage it to impose
the change to the rest.
iii) Interaction change-this comprises mutual goal setting and fairly equal
power distribution among the groups. The change is not well organized. The
ideas about change spring from the stakeholders and information about
change occurs through interactions among the groups.
Change Resistance Management
This refers to the state of refusal or opposition to change. Once change has been planned
and developed the next course of action is implementation of the change. There is bound
to be resistance while effecting the curriculum change regardless of the careful and all-
inclusive planning.
Resistance may take different forms such as:
4. Total passivity on the part of the teacher by relying on other parties and hoping
that the innovative spirit will disappear soon.
5. Accentuating the negative and emphasizing the impracticality of the new
curriculum and its adverse effects
6. Avoidance/passive aggressive behaviour all the way to total defiance, hostility and
sabotage.
7. Some of the teachers may question the legitimacy of the change arguing in favour
of the previous curriculum
8. Schools may resist due to their fundamental nature and teachers are behind a lot
of resistance in schools
Causes of Resistance Management
i) The fear of the unknown-it commonly occurs the stakeholders are not sensitized
when implementing the changes in curriculum. This fear is more pronounced when
coercion has been used
ii) Lack of clear understanding of what the change involves-it is crucial that stakeholders
understand the changes to be introduced, why it is changing and how it is changing.
Clear and effective communication on these issues will help to solve.
iii)Negative attitude towards innovation-when adopters begins with negative opinions
about an innovation, that attitude will be hard to change. Effective communication
minimizes uncertainty about the change. It helps to inform, motivate or convince the
stakeholders. This can be done through the mass media and interpersonal channels
iv) Failure to involve stakeholders of planning stages- this may result to lack of
ownership and commitments to the innovation
v) Lack of knowledge and skills-resistance to innovation comes when people lack
the skills needed in carrying out a new programme. This can be managed through
training of the concerned people. The training could be in-service and preservice
vi) Lack of resources and facilities-relevant resources are required for the
implementation process. These resources include funds, time, teachers, classrooms,
books, teacher guides, teaching aids, laboratories, libraries etc.
vii) Poor timing-this may occur when employees are required to undertake too much
change over a short period or innovations are introduced when not required. Programme
innovations should be introduced whenever stakeholders perceive the need for change
and not when people are satisfied about the programme.
viii) Lack of motivation by the implementers-employee motivation is key in
performance. Implementers should be rewarded in their efforts to adopt and implement
an innovation. This can be by way of increased remunerations, promotions, professional
development and recognitions. The relative advantage of the innovation to the individual
is made clear without which the change can be construed as a waste and energy. Minor,
medium and peace meal changes are recommended
ix) Complexity of the innovations-complex innovations are resisted compared to
the simple ones. Many people tend to resist major changes that overhaul the existing
curriculum
x) Lack of administrative support-strong leadership is recommended in the change
process. This leadership may be from the government and school management. The
leaders can support the implementation activities by provision of resources, incentives,
training and general encouragement to the teachers
xi) Insecurity-this occurs when individuals have general feelings of inadequacy. This
can be characterized by lack of trust of the management or key decision makers. Other
times the fear of losing their jobs grips the implementers
xii) Lack of continuous monitoring and evaluation-through regular revision and
reconsideration as informed by continuous monitoring and evaluation, resistance to the
innovation will be minimized. In the event of resistance, the root causes should be
addressed and not the symptoms. This is through finding out:
➢ Why the people are resisting? And not
➢ How is the resistance manifesting itself?
The concerns of the implementers can be addressed and provided with assurance and
support. Continuous feedback mechanisms should be established and this will facilitate
continuous improvement.
Xiii) Compatibility of the innovation to the existing school setup-the new programme
should be congruent with the norms and expectations held by the personnel in the system.
Quite a number of people will resist change if it threatens their cherished traditions and
institutions. Any change that might cause increased additional workload may not be taken
down well.
Change Resistance Management
This refers to the state of refusal or opposition to change. Once change has been planned
and developed the next course of action is implementation of the change. There is bound
to be resistance while effecting the curriculum change regardless of the careful and all-
inclusive planning.
Resistance may take different forms such as:
9. Total passivity on the part of the teacher by relying on other parties and hoping
that the innovative spirit will disappear soon.
10.Accentuating the negative and emphasizing the impracticality of the new
curriculum and its adverse effects
11.Avoidance/passive aggressive behaviour all the way to total defiance, hostility and
sabotage.
12.Some of the teachers may question the legitimacy of the change arguing in favour
of the previous curriculum
13.Schools may resist due to their fundamental nature and teachers are behind a lot
of resistance in schools
Causes of Resistance Management
i. The fear of the unknown-it commonly occurs the stakeholders are not sensitized when
implementing the changes in curriculum. This fear is more pronounced when coercion
has been used
ii, Lack of clear understanding of what the change involves-it is crucial that stakeholders
understand the changes to be introduced, why it is changing and how it is changing. Clear
and effective communication on these issues will help to solve.
iii. Negative attitude towards innovation-when adopters begins with negative opinions
about an innovation, that attitude will be hard to change. Effective communication
minimizes uncertainty about the change. It helps to inform, motivate or convince the
stakeholders. This can be done through the mass media and interpersonal channels
iv. Failure to involve stakeholders of planning stages- this may result to lack of
ownership and commitments to the innovation
v. Lack of knowledge and skills-resistance to innovation comes when people lack the
skills needed in carrying out a new programme. This can be managed through training of
the concerned people. The training could be in-service and preservice
vi. Lack of resources and facilities-relevant resources are required for the
implementation process. These resources include funds, time, teachers, classrooms,
books, teacher guides, teaching aids, laboratories, libraries etc.
vii. Poor timing-this may occur when employees are required to undertake too much
change over a short period or innovations are introduced when not required. Programme
innovations should be introduced whenever stakeholders perceive the need for change
and not when people are satisfied about the programme.
viii. Lack of motivation by the implementers-employee motivation is key in
performance. Implementers should be rewarded in their efforts to adopt and implement
an innovation. This can be by way of increased remunerations, promotions, professional
development and recognitions. The relative advantage of the innovation to the individual
is made clear without which the change can be construed as a waste and energy. Minor,
medium and peace meal changes are recommended
xiii) Complexity of the innovations-complex innovations are resisted compared to
the simple ones. Many people tend to resist major changes that overhaul the existing
curriculum
ix. Lack of administrative support-strong leadership is recommended in the change
process. This leadership may be from the government and school management. The
leaders can support the implementation activities by provision of resources, incentives,
training and general encouragement to the teachers
x. Insecurity-this occurs when individuals have general feelings of inadequacy. This can
be characterized by lack of trust of the management or key decision makers. Other times
the fear of losing their jobs grips the implementers
xi. Lack of continuous monitoring and evaluation-through regular revision and
reconsideration as informed by continuous monitoring and evaluation, resistance to the
innovation will be minimized. In the event of resistance, the root causes should be
addressed and not the symptoms. This is through finding out:
➢ Why the people are resisting? And not
➢ How is the resistance manifesting itself?
The concerns of the implementers can be addressed and provided with assurance and
support. Continuous feedback mechanisms should be established and this will facilitate
continuous improvement.
xii. Compatibility of the innovation to the existing school setup-the new programme
should be congruent with the norms and expectations held by the personnel in the system.
Quite a number of people will resist change if it threatens their cherished traditions and
institutions. Any change that might cause increased additional workload may not be taken
down well.
Effective Actions of Curriculum Changes and Innovations
It is worth noting that curriculum change and management is a complex process. Below
are twelve effective actions in the planning and implementation of curriculum changes
and innovations as used in Kenya and other parts of the world.
i) Strong leadership
ii) Strategic planning
iii) Comprehensive context analysis
iv) Acquisition, proper utilization and maintenance of resources and facilities
v) Communication about the change or innovation
vi) Teacher involvement and preparation
vii) Piloting of innovation
viii) Motivation of implementers
ix) Major changes and innovation can be implemented in phases
x) Depoliticization of change in education
xi) Strengthening government support
xii) Strengthening research and the study on global trends
Self-Assessment Exercise
i) Explain the significance of curriculum change in relation to education/curriculum
ii) Discuss the conditions necessary for effective curriculum change process
iii) Examine causes of resistance to curriculum change and propose possible ways to
minimize the resistance.
iv) Critically analyze curriculum innovations in Kenya in regard to 8-4-4 to 2-6-6-3
system of education
Curriculum Evaluation
▪ Evaluation determines the value of some action/program the degree to which it helps
students meet standards and its importance.
▪ Evaluation critiques documents, plans and actions
▪ Evaluation involves judgments as to merit and worth
▪ Etymologically the word evaluation emanates from the root value. It therefore means
that evaluation comprise placing values on the teaching-learning actions (process, the
content, the teacher and the learner)
▪ Evaluation can therefore be defined as the process of collecting data to determine the
worth or success of a programme as per the intended outcomes
The Nature and Purpose of Evaluation
Evaluators gather and interpret data to determine whether to accept, change or eliminate
aspects of the curriculum e.g., particular text books
Curriculum evaluation is necessary at a various point throughout the programme
development and implementation not just at the end of the programme. Curriculum
evaluation should be an on-going process, during and after the design dissemination and
implementation places with a view to making timely adjustments and determining success
Evaluation identifies the curriculum strengths and weaknesses before and after
implementation. At the beginning of the curriculum development evaluation should be
done to evaluate the programme worth and merit. Throughout the process, educators
should evaluate the worth and merit of the curriculum content and experiences
Evaluation enables educators to compare different programmes in terms of effectiveness.
That is why stakeholders want to know how their students measure up against other
students at the local, national and international levels
The curriculum organizes subject matter in terms of scope and sequence; therefore,
curriculum evaluation should make judgements regarding the worth of the subject matter
being countered and organized as well as the political and social climates within which
the curriculum will exist. At implementation stage curriculum evaluation focuses on
whether the curriculum is producing the desired result or not. Evaluation should remain
connected to the totality of the curriculum activities
The main purpose of evaluation is to make a value determination of the relevant
educational undertaking and thus to gauge to what extent the goals and outcomes have
been achieved.
Evaluation plays the following role in education:
i. To provide basis for decision-making and policy formulation
ii. To assess students’ achievements
iii. To assess curricular
iv. To accredit schools
v. To monitor expenditure of public funds and
vi. To improve educational materials and programmes.
In a nutshell evaluation establishes the extent of the attainment of the intended outcomes
of a programme.
There are four major educational areas most frequently evaluated:
a) Students
b) Curricular programmes
b) Curricular materials (often evaluated with programmes)
c) Staff
Types of evaluation
The following are ways of categorizing evaluation:
i) Criterion-reference and norm-referenced evaluation
Criterion referenced looks at the standard for accepted performance which is set before
the assessment while norm-referenced evaluation involves setting the standards after.
Norm-referenced evaluation measures a student’s achievement in comparison to other
students of the same level. Norm-referenced tests are designed to produce a distribution
of different scores that allow the school to judge higher and lower performers. Such an
evaluation compels a student to compete with others.
Criterion-referenced evaluation is one in which the specific criteria for success is set out
in advance and are assessed on the extent to which they have achieved them with no
comparison with other schools such evaluation does not require inter-student competition
but instead is based on a set of standards of mastery.
ii) Formative and Summative evaluation
Formative- refers to on-going evaluation. It takes the form of continuous assessments
through quizzes, tests, assignment etc. It involves the activities undertaken to improve an
intended programme in order to optimize students’ learning. Provides feedback to
teachers and students on their current performance, achievements, strengths and
weaknesses in such a form that it is clear what the students or the teacher can do to
improve, enhance or extend learning and achievement.
Common ways of conducting formative evaluation include:
❖ Observation of school work.
❖ Appraising work samples, homework and portfolios.
❖ Interviewing learners.
❖ Quizzes and informal testing.
Summative evaluation is terminal; done at the end of an academic programme or after
the student has been taught for decision making such as promotion of learners to the next
level. It involves gathering information at the conclusion of a series of units or lessons.
iii) Diagnostic evaluation
Diagnostic tests are designed to allow teachers to explore a student’s existing knowledge
and skills in detail and to select any gaps in prior learning.
Diagnostic evaluation is used to determine the beginning status or condition of something.
Diagnostic evaluation can be used to judge the worth of the curriculum before the
programme activities begin.
Diagnostic evaluation can also involve an analysis of the entry behavior of the learners at
the beginning of a course or in a new level or grade.
Diagnosis evaluation provides a picture of the prevailing conditions before any activity is
carried out so that the effect of an intervention can be determined.
There are 5 key questions that teachers aim at answering through diagnostic tests:
a) What can a student already do without help?
b) What skills and strategies have the student developed?
c) What can a student do if given little prompting?
d) What gaps exist in the student’s prior learning?
e) What does the student need to be taught next in order to make progress?
Key Players in Evaluation
Curriculum evaluation is a cooperative activity involving many stakeholders such as
teachers, administrators, national evaluators, students and parents. It may also involve
other members of the society. Decision by these people address the entire curriculum
and all those responsible for delivering it
Who is involved in curriculum evaluation?
1) National evaluators e.g., QASO, KICD, TSC
2) Professional bodies e.g., KESSHA, KEPSHA,
3) Pre-university education systems which consider particular expectations of
learning and assessment
4) Institutional, faculty and departmental assessment regulations
5) Institutional leadership
6) External examiners
7) Learners/students themselves (by way of raising complaints)
8) The world outside the schools about what graduates should be
9) The media
10)Policy makers and politicians
11)Parents, employers, tax payers, the society and other frontline stakeholders in
matters education
12)Teachers
13)Religious bodies
14)Pressure groups
15)Trade unions
For successful curriculum evaluation, the following guidelines are necessary:
a) Evaluation should be pegged on the set curriculum goals
b) Evaluation should be a continuous and frequent exercise
c) A variety of techniques should be utilized in evaluating the curriculum
d) The evaluating tools should be standardized by way of ensuring they are valid and
reliable
e) Results obtained from various instruments should be compared before arriving at
conclusions
f) Evaluation should be systematic
g) It’s necessary to employ both formative and summative evaluations
h) Evaluation should involve all the key curriculum stakeholders
i) Evaluation should be comprehensive (holistic)
j) The focus of the evaluation should be the improvement of curriculum
What affects the quality of curriculum evaluation?
➢ Lack of adequate teacher involvement
➢ Lack of staff evaluation
➢ Lack of validity and reliability on tools of evaluation
➢ Insufficient expertise
➢ Lack of feedback sharing with stakeholders
➢ Inadequate follow-ups
➢ Insufficient formative evaluation
➢ Infrequent evaluation of the curriculum and tendency to ignore unintended effects
of the curriculum
Student’s Activity (Self-Assessment Exercise):
i. Discuss models of curriculum evaluation giving their merits and demerits
ii. With illustrations, discuss types of curriculum evaluation
iii. Is evaluation of learning evaluation of curriculum? If yes provide evaluation of
learning.
iv. Explain the importance of feedback provided by the evaluation
v. Distinguish between evaluation and measurement
vi. Identify and explain the specific roles of the key players in curriculum evaluation in
Kenya
vii. Discuss how you would conduct evaluation of secondary curriculum/education in
your country
Teacher Education
Teacher education is quite important in a far as implementation of the curriculum is
concerned. Therefore, this is to say that effective implementation of the curriculum
innovations and changes depend on the quality of teacher education.
What is teacher education?
Teacher education (TE) can be defined as a set of phonemics deliberately intend to help
candidates acquire knowledge skills dispositions and norms of the occupation of teaching
(Tisher & Wideen: 241).
Teacher also is defined as such institutionalized educational procedures that are aimed
at the purposeful organized preparation or further education of teachers who are engaged
directly/indirectly in educational activity as their life work (Shiundu & Omulando,
1992:227).
Teacher education are the policies and procedures designed to equip prospective
teachers with knowledge, attitudes, values and skills they require to perform their tasks
in the classroom, school and wider community (Mwaka et al. 2014:1)
Teacher education refers to the policies and procedures adapted in equipping prospective
teachers with professional skills knowledge, attitudes, values and experiences in
readiness to practice as well as the procedures that enhance lifelong education and
training of practicing teachers (Syomwene et al. 2017:177)
There has been transformation in the design and administration of teacher education
programmes and most teachers in educational institution in Kenya are trained.
The Ministry of Education (MOE, highlights the specific objectives for TE programmes
which include:
i) To develop communicative skills among teachers
ii) To develop teachers’ professional attitude and values
iii) To equip teachers with knowledge and skills to enable them to perform
professional duties.
iv) To enable teachers, identify and develop educational training needs.
v) To enable teachers to adapt to the changing environment and society.
The Teaching Profession
Profession is described as a number of individuals in the same occupation voluntarily
organized to earn a living by openly servicing a moral ideal in a morally permissible way,
beyond what law, market and morality permissible way, beyond what law market and
morality would otherwise require.
A teacher as a professional is expected to have attained the standards of education and
training that prepare him/her with the particular knowledge and skills necessary to perform
the role of the teaching profession.
In carrying out his/her duties professionally in teacher is expected to display:
i. Professional values and virtues
ii. Professional competence and responsibility
iii. Honesty and integrity in the discharge of their duties & responsibilities
iv. Responsibility to the school communities, family, teaching profession and
society
v. Ethics of instruction
vi. Assuring quality and ethics
vii. The recognition of the role of teachers’ unions.
Type of Teachers Education Program
There are two main types: pre-service and in-service education programmes
Preservice Teacher Education
This is a fully institutionalized scheme of training in which participant teacher trainees
attached on institution on full time basics with a curriculum consisting of three main
elements
i. Subject area content
ii. Profession preparation course and
iii. Practice teaching courses
The subject area content delves into the subject areas that the teacher trainees specialize
in.
The professional preparation courses include principles and methodologies of teaching,
foundations of education, philosophy of education, policies and management principles
in education, sociology of education curriculum development, educational psychology,
communication skills and educational technology
Practice teaching courses are contacted in two forms namely micro-teaching and
teaching practice
Micro-teaching exposes the teacher trainee to a real classroom situation through a micro-
class made up of fellow classmates when in small groups of students (about 10 students).
The students are guided on: preparation/planning for teaching, appropriate teaching
approaches, actual classroom communication/ presentation classroom management,
feedback to the learner motivation of leaners, assessment of learning progress,
preparation and use of teaching aids and organization of classroom environment and
teaching document
Teaching practice is conducted in a real school situation. The practice lasts one term (12-
14weeks). Each teacher is expected to be assessed at least thrice by the teacher trainers
Advantages of Preservice Teachers
a) Trainees are exposed to new ideas and perspectives
b) They increase the trainees’ career status and credibility
c) Ensure the development of networks and personal contacts with trainees from
different organizations and regions
Disadvantages
i. Since some trainees never intended to be teachers, usually they have a problem in
translating theory into practice
ii. Lack of needs assessment in preservice training programmes many leads to offering
training packages with little relevance and
iii. Lack of maturation and poor remuneration for graduates
Types of Preservice Teaching Education
i. Concurrent programmes–They present the subject area content, professional
courses and practice teaching over the period of study e.g. ECDE, PTE, DTE, B.
ED Programmes
ii. Consecutive progress–They are used to covert graduates in related and relevant
areas into professional teachers e.g., PGDE programmes. They take a short period
of one year/slightly more than a year. The teacher trainees are offered the
professional courses and practice teaching units during the training period.
In-Service Teaching Education
They are offered to professionally practicing teachers with the intention of updating
knowledge, acquiring new skills/innovations in teaching trainees and /or being introduced
to new curricula in teaching
The program can either be full/part time in the professional life of the teacher. These
programmes are offered at TTCs and universities under the module of evening or school-
based programmes
Merits of In-Service Teacher Education
i. Aid teachers to continually update themselves in new/emerging issues in the
development of knowledge/skills their subject areas.
ii. The trainees bring a wealth of work experience to the classroom
Levels of Teacher Education:
1) ECDE Teacher education
2) Primary teacher education programmes
3) Secondary teacher education
4) Technical teacher education
5) Higher education Teacher education
Evaluation of Teacher Education
They comprise both formative and summative evaluation. The student teachers are
offered both CATs and end of term/semester tests. The students are also assessed
severally during the TP exercise as part of formative and summative evaluation
At the end of the training, the graduates are awarded certificates by the training institution
that allows them to join the teaching profession in Kenya and other parts of the world.
Challenges Facing Teachers Education and the Teaching Profession in Kenya
Among these challenges are:
1) The curriculum tends to be obsolete. There is need to review the curriculum
constantly to address emerging professional, learner and societal needs
2) Inadequate facilities and resources
3) Large class sizes
4) Integration of technology in the instruction process is either lacking or minimal
5) Use of teacher–centered methods teaching as opposed to learner–centered
methods
6) Unemployment of trained teachers
7) Shortage of teacher educators
8) Demotivation of the teacher educators due to increased work load and poor
remunerations
9) Some graduates admitted to teaching profession do not have the call to the
teaching profession
10) Poor schemes of service of the practicing teachers
Student Assessment Exercise
i. What do you understand by the term teacher education?
ii. Discuss the types of teacher education programmes offered in Kenya
iii. Discuss the significance of teacher education
iv. Establish the challenges affecting teacher education in Kenya and suggest
possible solutions

EDCI 211 NOTES- SEP-DEC 2023.pdf summary

  • 1.
    KISII UNIVERSITY SCHOOL OFEDUCATION AND HUMAN RESOURCE DEVELOPMENT DEPARTMENT OF CURRICULUM INSTRUCTION AND MEDIA EDCI 211: PRINCIPLES ND THEORY OF CURRICULUM DEVELOPMENT LECTURERS: 1) P. KWAMBAI (0721569169) 2) S. OTISO (0725404246) SESSION: SEP-DEC 2023 PREREQUISITE: NONE LECTURE HOURS: 30 CF: 2.0 PURPOSE OF COURSE: To equip the learners with requisite knowledge, skills and attitudes necessary to enable them select, plan, design, develop, construct, innovate, implement and evaluate curriculum. It will also enable them explore strategies and dynamics of curriculum. The course will also expose the leaners to the knowledge of teacher education curriculum. Expected Outcomes (ELOs)/Course Objectives By the end of semester, the learner should be able to: 1. Explain broadly the meaning of curriculum 2. Discuss basic principles of curriculum construction, design, planning, implementation and innovation 3. Explain models of curriculum development and curriculum evaluation 4. Discuss the steps in Curriculum development process 5. Explain the strategies of curriculum change 6. Discuss Teacher Education curriculum in Kenya Course Description: The course will focus on the broad definition of curriculum; Basic principles of Curriculum construction, design, planning, implementation innovations; models of curriculum development and curriculum evaluation. Dynamics of curriculum change and strategies. Teacher Education Curriculum Course Description/course plan WEEK/Major Topic Sub-Topics Methodology 1 INTRODUCTION ➢ The concept of education ➢ Functions and Aims of Education ➢ Current Goals and aims of Education ➢ Conceptions of Curriculum ➢ KIE conception of the curriculum -Lecture -discussion/ presentation -Research work -E-learning
  • 2.
    2& 3 CURRICULUM PLANNING & DESIGN ➢Curriculum planning ➢ Curriculum Design ➢ Principles of curriculum design: • Scope • Sequence • Continuity • integration and Articulation • Flexibility and Balance) ➢ Patterns of curriculum design • Subject-centered designs ➢ Traditional subject Design ➢ Broad fields/fused design ➢ The core curriculum • Learner centered designs ➢ Activity designs ➢ The social and life designs -Lecture -discussion/ presentation -Research work -E-learning 4 &5 MODELS OF CURRICULUM DEVELOPMENT ➢ The Tyler Model (1949) • Criticisms of Tyler model ➢ The Taba Model (1962) • Criticisms of the Taba Model ➢ The Hunkins Decision- Making Model ➢ Curriculum conceptualization and ➢ Legitimization ➢ Curriculum diagnosis ➢ Content selection ➢ Experience selection ➢ Implementation ➢ Evaluation & ➢ Maintenance • Criticism of Hunkins Model -Lecture -discussion/ presentation -Research work -E-learning 6 & 7 STEPS IN THE CURRICULUM DEVELOPMENT PROCESS ➢ Situational analysis/Needs assessment ➢ Formulation of Objectives ➢ Setting up the curriculum project ➢ Program building ➢ Piloting the new program in selected schools ➢ Improving the new programme ➢ Implementation of the new programme in Schools ➢ Evaluation -Lecture -discussion/ presentation -Research work -E-learning
  • 3.
    ➢ Curriculum Maintenance 8 CURRICULUM CHANGE ➢Meaning of Curriculum Change ➢ Causes of Curriculum change ➢ Curriculum change process ➢ Strategies and models of Curriculum change ➢ Agencies of Curriculum change ➢ Implications of Curriculum change ➢ Curriculum evaluation -Lecture -class discussion/ presentation -Research work -E-learning 9 & 10 CURRICULUM DEVELOPMENT IN KENYA ➢ Functions of the KICD ➢ Operational structure of the KICD ➢ Curriculum development, research and evaluation panels ➢ The curriculum development process at KICD ➢ Related agencies in Curriculum Development -Lecture -discussion/ presentation -Research work -E-learning 11 & 12 TEACHER EDUCATION ➢ Meaning and scope of Teacher Education ➢ Variants of Teacher Education programmes ➢ Current programmes ➢ Issues in Teacher Education and Teaching Profession Lecture -discussion/ presentation -Research work -E-learning 13 & 14 FINAL EXAMINATIONS MODE OF PRESENTATION: The following instructional methods will be used in teaching this unit: Interactive Lecture method ❖ Discussion ❖ Class discussions/presentations ❖ Research work ❖ E-learning INSTRUCTIONAL MATERIALS: 1. Laptop/Computer 2. Projector 3. Smart board 4. LMS/Zoom COURSE ASSESSMENT:
  • 4.
    The course willbe assessed as follows: ✓ CAT 30% ✓ End of semester examination 70% All students are cautioned against any kind of plagiarism, cheating, facilitating dishonesty and falsifying information. This may call for disciplinary action. REFERRENCES: Core Reading Materials Anderson, B.E. (1985). Principles and Procedures of Curriculum Improvement. New York: The Roll Press Co. Bogonko, S. N. (1992). Reflections on Education in East Africa. Nairobi: Oxford University Press. Oketch, J. G. & Asiachi, J.A. (1992). Curriculum Development for Schools. Nairobi: East African Publishing Co. Shiundu, J. O. & Omulando, S. J. (1992). Curriculum Theory and Practice in Kenya. Nairobi: Oxford University Press. Syomwene, A., Nyandusi, C. M., & Yungungu, (……) A. M. Core Principles in curriculum. Utafiti Foundation Recommended Reference Materials for Further Reading: Ruth N. Otunga, Isaac I. Odero & Peter L. Barasa (2011). A Handbook for Curriculum and Instruction: Moi University Press. Bishop, G. (1985). Curriculum Development: A Textbook for Students. London: Macmillan Publishers. Kelly, A. V. (2009). The Curriculum: Theory and Practice, (6th Ed.). London: Harper and Row Ltd. Tanner, D. (1982). Curriculum Development: Theory and Practice (3rd Ed.). Englewood Cliffs, New Jersey: Prentice Hall. Oluoch, G. P. (1992). Essentials of Curriculum Development. Nairobi: Elimu Publishers. Raju, B. M. (1973). Education in Kenya: Problems and Perspectives, UNESCO Project. London: Heinnemann EDCI 211: PRINCIPLES AND THEORY OF CURRICURUM DEVELOPMENT INTRODUCTION The concept of curriculum ❖ Curriculum is a century-old of professional study. ❖ To many, not in education, curriculum is associated with a document such as text book, syllabus, teachers guide or learning package. ❖ For professionals, curriculum may refer to a set of plans, intentions, activities or outcomes that are delivered in a variety of ways and in different settings.
  • 5.
    ❖ Curriculum leadersare concerned with the value or purpose of the curriculum. ❖ Any curriculum development is pegged on the purpose of curriculum. ❖ Throughout the world, education is being redefined by many forces especially by globalization and the new technologies that can deliver learning direct to the individual. Narrow view of curriculum looks at curriculum in the following ways: i. The curriculum should consist of permanent studies (the rules of grammar, reading, rhetoric, logic and mathematics) ii. The curriculum must consist essentially of disciplined study in five great areas (Philosophy, literature, Grammar, mathematics and history) (Bestor 1956, pp 48- 49) iii. The curriculum should consist entirely of knowledge which comes from disciplines, (Phenix, 1962 p. 64) iv. The curriculum is a systematic group of courses or sequence of subjects required for graduation or certification in a major field of study (Oliver 2008, p.18) Broader view of curriculum includes the various kinds of curricular such as planned, unplanned (the hidden curriculum), technical and practical learning. According to Bobbit (1924) curriculum may be defined into two ways i. It is a range of experiences, both direct and indirect concerned in unfolding the abilities of the individual or ii. It is a series of consciously directed training that the schools use for completing and perfecting the individual. Curriculum can be defined as prescriptive, descriptive or both: Prescriptive definitions provide us with what ought to happen and then more often than not take the form of a plan, an intended program or some kind of expert opinion about what needs to take place in the course of study (Ellis, 2004) while descriptive curriculum is seen not merely in terms of how things ought to be but how things are in real classrooms (Ellis, 2004) Curriculum is the plans made for guiding learning in the schools, usually represented in retrieval documents of several levels of generality and the actualization of those plans in the classroom, as experienced by the learners and as recorded by an observer, those experiences take place in a learning environment that also influences what is learned Various definitions of curriculum Curriculum is a word that is derived from Latin word currere which means to run the course; and with time this word curriculum came to mean traversing the course of study. Hollis Caswell and Doak Campell (1935) say “curriculum is composed of all the experiences children have under the guidance of the school.”
  • 6.
    R. Doll (1970)says that curriculum is considered to be all of the experiences that learners have under the auspices of the school. Tyler (1957) defines curriculum as all the experiences that individual learners have in a programme of education whose purpose is to achieve broad goals and related specific objectives which is planned in terms of a framework of theory and research or past or present professional practice. Taba (1962) looks at curriculum as all of the learning of students which is planned and directed by the school to attain its educational goals. Saylor and Alexander (1974) define curriculum as a plan for learning. Johnson, (1970/1971) defines curriculum as a plan for providing sets of learning opportunities to achieve broad goals and related specific objectives for an identifiable population served by a single school center. McNeil (1985) says curriculum is usually thought of as a course of study or plan for what is to be taught in an educational institution. The concern about the performance of education programmes has pushed the definition of curriculum toward an emphasis on ends or results that curriculum is concerned not with what students will do in the learning situation but with what they will learn as a consequence of what they do. In this way, curriculum is concerned with results Conceptual descriptions of curriculum Curriculum as a concept- It’s an amorphous idea that is difficult to work with i.e. it is a concept or theoretical abstraction which need to be broken down to comprehensive components. Curriculum as content- this is synonymous with knowledge and subject matter, skills and attitudes that are developed in learners by the school through selected, planned and structured subject areas and learning activities. It is guided by objectives/ outcomes. Curriculum as a plan –as a plan for learning or as planned learning experiences. Its central pillar is the formulation of aims goals and objectives. Here, authority is given to the curriculum developer to determine the desirable learning outcomes. Curriculum as experience – Here, curriculum comprise the sum total of the experiences a pupil undergoes. The experiences here could be planned and unplanned, intended and unintended, desired and undesired. Curriculum as a process- curriculum is seen a social process comprised of the interactions of students, teachers, knowledge and milieu (context). Structure and principles in curriculum development
  • 7.
    Major principles inthe field of curriculum evolved more from practice than from any logic or enlighten. As a result of this, the theory of curriculum has remained famous and has followed practices in all school environments. The factors that set the stage for defining curriculum parameters in the educational processes are: 1) The learner, 2) The society and 3) Organized subject-matter (Dewey, 1902) Sources of data in curriculum planning ➢ The study of society ➢ Studies of learners and ➢ Studies of subject matter content (Taba 1945). ➢ The 4th planning base for curriculum which came later (mid 1950s and early 1960s) was the study of learning itself. Guiding Principles of Curriculum Development The curriculum is usually concerned with such questions as: What should we teach? What should be the content of education? How should we organize it? How should we teach it? To answer these questions, we should consider the principles of curriculum development Curriculum refers to both organized and informal activities of school life. The place and importance of the curriculum in the educative process needs no reemphasis. The following are the basic principles of curriculum construction. Principle of Totality of Experiences: It includes the totality of experiences that the learner receives through the curricular, co-curricular and extra-curricular activities. Principle of Child-Centredness- Take care of age; mental ability/individual differences; interests; include practical work, etc. Principle of Conservation and Creativity: Include those subjects and experiences which help in the conservation of cultural heritage. However, there should be provision for their modification in light of the changing needs and situations. Also, subjects should be included in the curriculum to enable the learner to exercise his/her constructive and creative powers.
  • 8.
    Principle of Integration:The curriculum should promote unified studies which have direct connection with life. Principle of Flexibility: In order to serve the varying needs and concerns of individuals and society, curriculum should allow desirable changes and modifications of its contents from time to time in order to keep it up to date. The Principle of Utility: Only that which is useful to the individual and society should be included in the curriculum. Principle of Character Formation: It should train learners to develop desirable traits and qualities of character through appropriate rules, regulations and routines. Principle of Mental Discipline: It should develop the various mental faculties or powers of the learner for their efficiency and precision. The Principle of Social Fulfillment: The curriculum should be connected with the social life of the people i.e., constructed according to the social context of the children. This will help in training for citizenship. Principle of Relating to Community Life: It should grow out of community life. This means due importance should be given to social function and productive work which is the backbone of organized human life. Principle of Training for Leisure: The curriculum should be designed so as to train the students not only for work but also for leisure. Attempts should be made to include a variety of co-curricular and extra- curricular activities - eg drama, music, clubs, sports and games. Such a curriculum will help the learners to be emotionally stable. Principle of Correlation: Curriculum should not ignore the natural affinity that exists among the subjects. It should also combine and correlate between theory and practice of knowledge The principle of consultation/joint venture It should involve various experts like educational psychologists, educational technologists, curriculum specialists, evaluation specialists, teachers, subject matter experts etc. The principle of availability of time and other resources They should be aware of the conditions of the schools, including availability of time and relevant resources. Types of Curriculum Based on the definition of curriculum, there are 5 different forms of curriculum planning. 1. The ideological curriculum-This is the ideal curriculum as construed by scholars and teachers. This is a curriculum of ideas intended to reflect funded knowledge.
  • 9.
    2. The formalcurriculum- this is the curriculum which is officially approved by state and local school boards. This is the sanctioned curriculum that represents society’s interests. It is structured, supervised, examined/evaluated etc. 3. The perceived curriculum-This is the curriculum of the mind i.e. what teachers, parents and others think the curriculum to be. 4. The operational curriculum- this is the observed curriculum of what actually goes on hour after hour in the classroom. 5. The Experiential curriculum- This is what the learners actually experience. Currently, the above types can be classified as: i) The recommended curriculum ii) The written curriculum iii) The supported curriculum iv) The taught curriculum v) The tested curriculum vi) The learned curriculum vii) The hidden curriculum The first five types listed above comprise the intentional curriculum. This entails the set of learning experiences that the school system consciously intends contrary to the hidden curriculum for its learners/students. Self-Assessment Exercise: ➢ Make notes on the types of curriculum (Reference: Curriculum leadership 2ndedition ➢ Distinguish between written and recommended curriculum ➢ How is the taught curriculum established? Components of the curriculum These components include the following: I. Curriculum policies- Education reforms should be institutionalized and this calls for a change in the culture of the schools and schooling. The best way to institutionalize curriculum is to formulate sound curricular policies. Curricular policies refer to a set of rules, criteria and guidelines intended to control curriculum development and implementation e.g. minimum subjects or units a student should take, core courses, electives, pass mark, subject combination etc. II. Curricular Goals – They are the general long term educational outcomes that the school system expects to achieve through its curriculum. Goals are stated much more generally than objectives e.g. Goal- Learn to communicate ideas through writing and speaking.
  • 10.
    Objective- Write aletter with appropriate business-letter form on how to improve company business Goals are long-term outcomes e.g. primary school goals of education, secondary goals of education etc. The school system hopes that after 12 years of formal schooling, its students will have achieved the goals the goals that the system has set. Educational goals are long-term outcomes that the school system expects to accomplish through the entire educational process over which it has control. iii. Field of study iv. Programmes of study v. Courses of study vi. Units of study vii. Lessons SAE: ❖ Distinguish between educational goals and curricular goals ❖ How do curricular policies and curricular goals interrelate? The Hidden Curriculum The concept of hidden curriculum expresses the idea that schools do more than simply transmit knowledge. There are differences between written and hidden curriculum in that teachers teach and students learn implicit concepts and patterns. Hidden curriculum is also called unstudied curriculum, or implicit curriculum. Hidden curriculum can be defined as those aspects of schooling other than the intentional curriculum, which seem to produce changes in school values, perceptions and behaviors. Although the term hidden curriculum is often used with negative connotations, those learnings can be both desirable and undesirable from the viewpoint of one aspiring to optimal human development. Hidden curriculum might be seen as those aspects of the learned curriculum that lie outside the boundaries of the schools’ intentional efforts
  • 11.
    Relationships of typesof curricular SAE: ❖ Describe the instances in a school system that students learn from the hidden curriculum ❖ Why is the knowledge of hidden curriculum important to curriculum leaders (teachers) Curriculum Development Process What is curriculum development? 1. Curriculum development is defined as the planning of learning opportunities intended to bring about changes in pupils’ behaviours and the assessment of the extent to which these changes have taken place (Ondiek, 1986:16). - This definition suggests that programmes of study are provided for learners and the purpose is to effect some desired changes in them. It’s not clear whether this involves curriculum improvement or revision of an existing curriculum. - The same definition does not specify whether in the process of planning learning opportunities for learners, changes are made to the existing curriculum or a new one is developed. - A critical question that should be interrogated is: i. What about the undesirable and unintended changes that results from the process of schooling? ii. What about the unintended outcomes that are observed in the learners. 2. Another definition of curriculum development by (Marsh and Willis 1999) is: Curriculum development is a collective and intentional process or activity directed at beneficial curriculum change. Supported curriculum Taught curriculum Tested curriculum Written curriculum Intentional curriculum Recommended curriculum Learned curriculum Hidden curriculum
  • 12.
    - this definedemphasizes some change to an existing curriculum with an aim of improving it. Rationale for curriculum Development i. To improve the existing curriculum through revision or alteration of the existing curriculum. ii. Production of new programs of study especially when there is total absence of curriculum to address issues that have emerged and current problems. For curriculum development process to go on systematically, key question should be carefully considered /addressed such as: i. What activities should be carried out and at what stages should be followed when coming up with a new curriculum or refining an existing one? ii. Who does what activities during the process? iii. What factors and forces influence curriculum.? Curriculum Planning Curriculum planning deals with a no of reality-oriented statements concerned with questions such as: i. What should be taught? ii. How should it be taught? iii. To what segment of population? And iv. What should be the relationship between the various components of the curriculum? Curriculum planning is the process of that outlines policies, objectives and programmes for an instruction. It’s one in aspect of educational planning that involves two main processes thus: i. Setting the objectives to be achieved and ii. Establishing an efficient procedure for attaining the objectives. What is curriculum planning? i. Curriculum planning can be defined as the specification and sequencing of major decision to be made in the future with regard to the curriculum (Glatthorn Boschee & Whitehead (2006) ii. Curriculum planning can also be defined as decision making process about the content and the organization of learning for which the school is responsible (Marsh, 2004) iii. Curriculum planning is informed by policy. From this perspective, curriculum planning can be defined as a policy driven process that generates visions, targets and activities with regard to curriculum.
  • 13.
    - Curriculum developmenttherefore can be said to be a decision making process in which curriculum planners must make choices on what objectives, content, methods to be followed and subjects to be offered in school. Based on this premise curriculum development is the process for making programmatic decisions and for revising the products of those decisions on the basis of continuous and subsequent evaluation (Olivia ,2009) SAE: Distinguish between the terms curriculum development and curriculum planning CURRICULUM DESIGN What is curriculum design? i. This refers to the structure or organization of the curriculum. It’s the organization of experiences in order to facilitate effective instruction. ii. It’s the arrangement of the elements of a curriculum into a substantive entity. iii. The way in which the component parts or elements of the curriculum have been arranged in order to facilitate instruction. ➢ Curriculum design therefore involves the structure pattern or organization of the component parts of a curriculum for purpose of instruction ➢ Curriculum designers address the following four essential questions which are integral to the process of curriculum design: i. What should be the end point of curriculum ii. What subject matter should be included for students to learn? iii. What instructional strategies, resources and activities will be utilized to deliver the curriculum? iv. What methods and tools will be used to judge the success or other wise of the curriculum? ➢ These 4 questions translate into 4 key aspects of the curriculum which include: i. Aims, goals and objectives ii. Selection of learning experiences iii. Organization of learning experiences iv. Evaluation ➢ Curriculum design therefore is concerned with the nature and arrangements of these basic curriculum elements. i. Aims Goals and Objectives ➢ Planning is not possible without knowing the destination of the plan. ➢ Objectives strongly control the process of planning and all other curricular activities including implementation and evaluation. ➢ The aims (general purposes) of education should be translated into more specific objectives, the behavioural changes expected to occur in the learners as a result of experiencing the curriculum.
  • 14.
    ➢ The objectivesshould be clear and consistent with the general aims of education or the school. Such objectives should appear at all levels of the curriculum such as the syllabus and units, scheme of work and the actual classroom instruction or lesson plan. Objectives become more specific as the curriculum comes to the learners. ii. Learning experiences ➢ This term refers to the interaction between the learner and the external conditions in the environment to which he/she can react. ➢ These external conditions include the context, the teacher, fellow learners, resource materials, teaching methods and aids, learning environment, resource persons etc. ➢ In the school situation, the variety of learning experiences comprise the following dimensions of the school curriculum: i. Formal dimension – it involves the subject of study e.g. Geography, History etc. the syllabus will show the objectives and the content to be covered, the methodology, evaluation procedures and the learning resources. The teacher and other resources are part of all these. ii. The Non-formal dimension- it involves the activities which do not usually appear in the written syllabus and yet occupy a good part of the students’ time and contribute significantly to the achievements of educational aims. Examples include games, sports, athletics, clubs and societies, field excursions etc. they are also referred to as extra-curricular or co-curricular activities. They are out of class activities and undertake them in a free and relaxed atmosphere. iii. The Informal dimension- It’s also referred to as the hidden curriculum. They are non-academic but educationally significant consequences of schooling. They are unplanned, spontaneous experiences at school which influence the learner’s behavior positively or negatively -They could either be the by-products of the formal and non-formal programmes or the entire school environment comprising the programmes, personnel, fellow students, guests and the physical environment of the school -This informal learning is not planned through the formal school programme and yet it is important for the individual, family, community and the wider society iv. Evaluation– this is the process of determining the extent to which curricular objectives are being or have been achieved. -It helps in making decisions relating to building changing and improving the curriculum. It goes on throughout the curriculum development process. Patterns of Curriculum Design ➢ This is the organization of learning experiences for effective presentation and learning. The manner in which the various elements of the curriculum are organized determines the curriculum design pattern. ➢ There are 3 main categories of curriculum design patterns: 1. Subject centred designs
  • 15.
    2. Learner centreddesigns 3. Problem centred-designs 1. SUBJECT–CENTRED DESIGNS ➢ This is when the curriculum is defined in terms of subject matter such as science curriculum, History curriculum or in terms of the class levels such as the primary school curriculum or sec school curriculum. ➢ These designs use the subject structure. The other elements of this kind of curriculum are objectives and learning experiences which have little impact on their organization. E.g., of subject centred designs are: i. the traditional subject design ii. the broad field design/ the integrated design iii. The core curriculum /the compulsory design. i. The Traditional Subject Design ➢ This is oldest and most widely used from our organization among educators and the lay public. ➢ It organizes the curriculum in different and specific subjects each of which represents a specialized and homogeneous body of knowledge. ➢ Emphasis is based on separate academic areas and this the context and skills to be mastered are divided into distinct areas called subjects/courses with their own logical order and sequence as decided by the subject specialists. ➢ This design emphasizes the use of pedagogical skills such as explanation, discussion, lecture, recitation, questioning, writing exercises and reports etc. ➢ It’s examination-oriented and thus they emphasis on content coverage. Advantages of Subject Design Curriculum i. Textbooks and the other teaching learning resources are commonly organized to fit the established subject categories. ii. It is possible to determine in advance what all children will learn in various subjects and levels. iii. People become familiar and more comfortable with this design and seem to view it as part of the system and education as a whole. iv. It is well understood by teachers especially those who teach in secondary schools because they have specialized in the learning of some subjects. v. It encourages competition students among which is an important in developing intellectual powers. vi. It encourages competition and satisfaction among teachers as it lays emphasis on content coverage. vii. It develops full intellectual powers of the individual learners. viii. It is the most systematic and effective organization for acquainting learners with the essentials off cultural heritage. Note: Curricular theorists in support of this design appreciate change in knowledge/subject matter in the curriculum and that obsolete knowledge can be dropped.
  • 16.
    The best subjectmatter to them is that which keep the learners to test out information, to answer questions, to inquire, to reconstruct their own knowledge and use it. Disadvantages of the Traditional Subject Design i. It brings about high fragmentation of knowledge and with the current explosion in knowledge, more subjects are created and added to the curriculum as new areas of study. ii. The information/knowledge learned through this design is not transferred for use in everyday life situations contrary to the assumption. iii. The inter relationships between and among subjects is not provided for in this design. iv. This design is mostly exam-oriented and tests memorization rather than understanding v. Too stiff competition demotivates slow learners and may encourage unethical practices such as cheating in exams. vi. The design creates bias towards certain valued subjects. vii. It creates subjects that cannot be successfully taught using the available resources. ➢ Note: To overcome these limitations various modifications of this design have been developed. These include integrated or broad fields design and core/compulsory curriculum design. ii. The Integrated Broad-Fields Design ➢ This design involves a combination of different but related subjects into one subject. Subjects are logically related/fused into a single broad field to overcome fragmentation and compartmentalization. ➢ It is about the creation of connection and relationships between subjects, topics, themes and skills. ➢ This design attempts to use an integration of traditional subjects to help students develop broad understanding in all areas. E.g. social studies in Kenya primary school is the combination of civics, History and Government, Geography and other subjects that deal with man and his social relationships in a given physical environment. In secondary school in Kenya there is the integration of English language and literature and the integration between the language skills: listening, speaking, reading and writing. Advantages of the Integrated/ Broad-Fields Design i. It integrates separate subjects into a single course and enables the learners to see relationships between and among subjects as well as the various elements in the curriculum. ii. It can produce all round learners if well used. iii. It’s economical in as far as utilization of resources is concerned. iv. Teachers feel competent and comfortable as it bears similarity to college/university courses.
  • 17.
    v. It providesa systematic and effective organization for acquainting learners with the essentials of cultural heritage. Disadvantages of the Integrated/ Broad-Fields Design i. It can lack depth and cultivates shallowness or superficiality. ii. It does not cater for the learners’ needs, interests and capabilities. iii. It does not provide relationship with other broad-fields and therefore concentrate on a particular broad field. iv. It stresses on content coverage and acquisition of knowledge and offers too little in terms of goals in the affective domain. v. It stresses memorization and recitation at the expense of application of the acquired knowledge. vi. It disadvantages those teachers who are trained to specialize in specific subjects. E.g., JSS teachers in Kenya who have specialities is specific subjects iii. The Core/Compulsory Curriculum Design ➢ This was established as a reaction against the fragmentation and piecemeal learning accumulated from separate subjects. ➢ The reason behind this design is the realization that some content is indispensable for all students and thus this content should be the core. ➢ The term core is commonly used in curriculum studies to mean that part of the school curriculum which is essential and thus a common requirement for all students. ➢ In selecting core subjects, the curriculum developers pay keen attention to the national philosophy and national goals of education e.g., in secondary school in Kenya mathematics, English Kiswahili are compulsory. At the university level there are compulsory courses in all faculties/schools. The Advantages of Core/Compulsory Curriculum i. It combines subject matter with the realities and challenges of life. ii. It serves the needs of the society by emphasizing on a core of social values. It’s more socially rather than cognitively oriented. iii. It caters for learners needs by giving them the opportunity to make choices through electives. iv. It provides for equity in education (through the compulsory as opposed to the elective subjects) The Disadvantages of Core/Compulsory Curriculum i. It poses organizational problems in schools (e.g., timetabling) because of the many subjects. ii. It requires teachers of many specialities. iii. It’s expensive to implement with regard to teaching-learning resources. iv. It does not cater for learner differences (all are expected to take the core subjects)
  • 18.
    2. THE LEARNER-CENTREDDESIGN ➢ These kinds of designs are not content free but they mainly emphasize on the learners needs and interests. ➢ They are also referred to as child centred designs. ➢ These designs draw a lot of principles on of human growth and development and from learning theories. ➢ The child/learner is the centre of the curriculum process and their active participation in the learning process remains the main focus. ➢ The advocates of this designs argue that the child is the beginning point the determiner and the shaper of the curriculum while the child develops in and is influenced by a social environment ➢ John Devey and the progressivist movement in education are the main promoters of these designs. They believe that children learn better by doing. ➢ The proponents of learner-centred design view the school in extremely democratic terms and perceive the individual human being as a naturally good and sacred entity. ➢ The traditional teacher domination by the teacher is greatly minimized in these designs which allow for the learners’ freedom, active involvement and creativity all of which are important for human growth. ➢ The rationale for this design was also that people learn only what they experience i.e learning that is related to active purposes and is rooted in experience translates itself into behaviour change. ➢ The main argument for learner-centred curriculum is that value of a curriculum must lie in its possibility to provide satisfaction and pleasure, sustain interest and be found relevant and valuable to the child. ➢ Cultural values still hinder this kind of practice especially in traditional societies in which the relationship of child to adult is that of subordination. ➢ Curriculum centred on the interests of the child can make learning piecemeal and a arbitrary thus limiting the child to his/her own world. The Strength of Learner Centred Designs i. They focus on the learners needs, interests and experiences in curriculum planning and implementation processes. ii. The learner is an active participant in the learning process iii. They make knowledge relevant to the learning process iv. Teachers and learners participate in the development of the curriculum and the materials to be used. v. Learners are exposed to problem solving skills hence making learning more meaningful. vi. Learner motivational is intrinsic and does not have to be externally induced because learning activities are based on students’ needs and interest. vii. These designs favour individualized instruction.
  • 19.
    The Shortcoming ofLearner-Centre Curriculum Designs i. It can be costly to implement in terms of learning resources. ii. They are time consuming iii. It places a lot of demand on the teacher who has the role of identifying learners’ needs and interests which form the basis of learning. iv. They are in contradictions with the view of a curriculum that is primarily content driven v. These designs oppose a pre-planned curriculum. vi. They lack a definite horizontal structure in that no curriculum organizing principles exist since it depends on individual learners. 3. PROBLEM-CENTERED DESIGNS ➢ It focuses on diverse problems in life for both the individual and the society. ➢ They are organized to reinforce cultural tradition and to address the societal and community needs that are currently unmet. ➢ These designs are characterized by the following: i. Content is organized in ways that allow to clearly view problem areas in their lives ii. They utilize past and current experiences of learners as a means of enabling them to analyze the basic life situations. iii. The designs allow preplanning of the curriculum iv. The nature of the problems to be studied determines the structure of these curriculum designs, objectives, content selection, teaching and learning resources and evaluation procedures. v. Content selection is also based on the learners’ needs, interest and abilities. vi. These designs unlike the others, emphasize on both content and the learner making it unique. In Kenya, persistent life/societal issues have continued to influence curriculum. These include ethnicity, insecurity, political instability, HIV/AIDS, drug and substance abuse, droughts and famine, technology, corruption, population explosion, development plans and educational policies, the constitution and environmental conservation among others. ➢ Life skills education (LSE) is an example of problem-centred orientation. LSE was a introduced following the post-election violence in the years 2007/2008 ➢ Some of the emerging issues that affect the youth as discussed in LSE include. ➢ Self-awareness skills ➢ Interpersonal r/ships ➢ Decision making skills ➢ Communication ➢ Family and societal values ➢ Stress mgt ➢ Drugs & substance abuse ➢ Sexuality ➢ Gender differences abuse
  • 20.
    ➢ Making careerchoices. The Strengths of Problem-Centred Designs i. The curriculum can be preplanned through the curriculum planners and teachers will sometimes have to adjust in order to cater for the concerns and situation of learners. ii. Learners are able to develop the ability to select appropriate solutions to life issues with the help of the teacher i.e., it creates a model where the learner is engaged in a self-directed search for solutions. iii. These designs focus on problem solving procedures for learning. iv. They utilize the past and current experiences of the learners as a means of getting them to analyze the basic areas of living. v. They present subject matter in an integrated approach by cutting across the separate subjects and centering on related categories of social life situations. vi. They prepare learners adequately for everyday life vii. Learning is real because it is linked to real life. The Criticism Against these Designs i. Teachers have not been trained adequately to handle content in terms of persistent life situations. ii. They need to analyze problems, determine what information is needed to solve them and design solutions which is an involving task. iii. Determining the scope and sequence of essential areas of living is difficult. iv. They do not adequately expose students to their cultural heritage. v. They tend to indoctrinate the youth into the existing conditions and thus perpetuate the social status quo. vi. Most teaching/learning resources do not directly match with these designs. vii. They do not allow specialization. viii. They lack the support of parents who may not be familiar with them. ix. It is not easy to achieve curriculum balance in these designs since the curriculum is mainly based on areas of living. Purposes of Curriculum Design i. It assists the curriculum designers to focus attention on goals. ii. Curriculum design reduces stress and frustration in providing education to the potential students. When properly planned teaching becomes easy to manage in terms time, resources, methods etc. iii. It ensures uniformity in the school programmes for the public school curriculum for a centralized system like in Kenyan. iv. It also helps the designers to reflect on the specially challenged learners so that important decisions are taken on how best they can be provided in the education system.
  • 21.
    v. It allowsthe designers to compare their work with that of their counter parts in the region and beyond i.e., facilitates benchmarking of curriculum offerings which is very important in the current global era. vi. Curriculum design also provides crucial background data for future curriculum planning. Central Issues in Curriculum Design/ Key Characteristics of Curriculum Design/ Principles of Curriculum Design. ➢ Curriculum design to be used for instructional purposes should be a coherent whole at each class level and across the classes. ➢ There should be good horizontal and vertical relationship within classes and across all class levels. ➢ For this to be realized the following key characteristics should be taken into consideration: i. Scope ii. Sequence iii. Continuity iv. Integration v. Flexibility and vi. Balance. Topic: Curriculum Development Process What is curriculum development? 1. Curriculum development is defined as the planning of learning opportunities intended to bring about changes in pupils’ behaviours and the assessment of the extent to which these changes have taken place (Ondiek, 1986:16). - This definition suggests that programmes of study are provided for learners and the purpose is to effect some desired changes in them. It’s not clear whether this involves curriculum improvement or revision of an existing curriculum. - The same definition does not specify whether in the process of planning learning opportunities for learners, changes are made to the existing curriculum or a new one is developed. - A critical question that should be interrogated is: iii. What about the undesirable and unintended changes that results from the process of schooling? iv. What about the unintended outcomes that are observed in the learners 2. Another definition of curriculum development by (Marsh and Willis 1999) is: Curriculum development is a collective and intentional process or activity directed at beneficial curriculum change.
  • 22.
    - this definedemphasizes some change to an existing curriculum with an aim of improving it. Rationale for curriculum Development iii. To improve the existing curriculum through revision or alteration of the existing curriculum. iv. Production of new programs of study especially when there is total absence of curriculum to address issues that have emerged and current problems. For curriculum development process to go on systematically, key question should be carefully considered /addressed such as: iv. What activities should be carried out and at what stages should be followed when coming up with a new curriculum or refining an existing one? v. Who does what activities during the process? vi. What factors and forces influence curriculum.? Steps in Curriculum Development Process - Curriculum development involves various activities and several stages that have been outlined and explained by different scholars and agencies e.g. i. The Malaysian Curriculum Development Centre (CDC) uses a cyclical model which consists of six broad stages: a) Identification of needs b) planning c) development d) try out e) implementation f) evaluation ii. Shiundu & Omulando (1992) list 9 stages of curriculum development i. situation analysis (needs assessment) ii. Formulation of objectives. iii. setting up the curriculum project iv. Programme building. v. Piloting the new programme in selected schools. vi. improving the new prog vii. implementation viii. evaluation and ix. maintenance iii. KICD identifies 10 stages of curriculum development process thus: i. Policy decision /formed request stage. ii. needs assessment iii. Conceptualization and policy formulation.
  • 23.
    iv. Formulation ofcurriculum design v. development of syllabuses vi. Development and selection of teaching and learning materials v. Teacher preparation vi. Piloting vii. Curriculum implementation viii. Curriculum monitoring and evaluation NB: this model is used in developing curricular for all levels of education, except university level. Twelve-Steps Curriculum Process Model i. Context analysis ii. Strategic Planning iii. Stating the objectives iv. Selection and Organization of content v. Selection & organization of learning experiences vi. Acquisition of resources & facilities vii. Preparation of implementation & other stakeholders viii. Piloting of the programme ix. Refining of the programme x. Implementation of the programme xi. Institutionalization of the programme xii. Programme monitoring &Evaluation Step one – Context Analyses ✓ curriculum planners asses the prevailing circumstances and needs. This is accomplished through research to assess the societal and learners’ needs that the new programme should address. ✓ Context here covers the social cultural economic political and technological environment as well as the institutional dynamics influencing the curriculum ✓ This step is also referred to as situational analysis. ✓ It involves finding out the context in which curriculum development process is to take place by way of taking analysis of learners’ needs, interests, context, physical environment, teacher and community. ✓ Context analysis can be undertakings by considering both the school and social factors. ✓ School factors include: i. The learners (their needs and interests) ii. Teachers (their attitudes, knowledge and skills) iii. Educational goals iv. Availability of the required resources and facilities in the schools v. The existing curriculum (its strengths and weakness)
  • 24.
    vi. The curriculumleaders (their attitude, knowledge and skills) vii. Dynamics in knowledge ✓ Societal factors include: i. The society’s norms ii. Philosophies of life iii. aspirations iv. Societal challenges and emerging issues v. Political and economic situation During context analysis curriculum planners collect and analyse data on the prevailing circumstances and needs in order to make decisions on the new programme objectives content, learning experiences and methods of evaluation. Step Two Strategic Planning ➢ Strategic planning involves a set of decisions and actions that result in the planning and development of school programmes to achieve the desired results. ➢ The focus here is on the viability and feasibility of the programme, programme timing, budget and costs. ➢ The programme cost include labour, consultancy, communication costs, training costs, resources, facilities administrative costs, piloting costs and monitoring and evaluation costs. The source of the funds should be established e.g., government, parents, communities, donors etc. Step Three –Stating the Objectives ➢ It’s important to specify the expected outcomes because education is a goal-oriented process. Why state programme objectives? i. To make maximum use of structural time ii. They provide direction on the choice of expected content, learning experiences and methods of evaluation. iii. They assist curriculum planners in developing purposeful instructional programmes iv. They justify the need for providing education and thus solicit support for it. v. They provide a basis for evaluation determining the extent to which an educational or instructional programme is useful. ➢ The objectives derived should be in three domains: the cognitive or intellectual, the psychomotor and the affective. The objectives formulated for the curriculum should be SMART. ➢ The objectives are informed by the learners’ and societal needs, national aims of education in the country and theories of learning among others. Step Four – Selection and Organization of Content ➢ The two main questions here are:
  • 25.
    i. What isto be taught? and ii. How should it be classified, arranged or sequenced for learners’ understanding? ➢ Any curriculum developed should take into account classification and systematization of the already selected content. This will essentially best facilitate the subsequent decision about teaching and learning. Step Five – Selection and Organization of Learning Experiences ➢ The guiding question in this step after the selection and organization of content should be: How should we teach what is to be taught?” ➢ Learning experience encompass both the teaching methods and learning activities. They are the strategies used in content delivery. ➢ The prevailing context and desired outcomes should guide the teacher in modifying, revising and innovating the content and learning experiences provided in a pre- planned curriculum. Step six: Acquisition of Resources and facilities ➢ Effective resources and facilities are those specific to the content and learning experiences selected. ➢ Resources is defined as people, equipment and materials that can be drawn on to accomplish something ➢ Facilities on the other hand are the infrastructure required in the accomplishment of projects and in daily running of institution. The curriculum development and implementation process cannot succeed without the required resource and facilitates. ➢ The quality and appropriateness of instructional materials is critical in curriculum implementation process. Deficiencies in resources can sink even the best instructional design delivered by the best planner. ➢ The resources and facilities should be acquired in advance before the onset of the implementation process in order to avoid cases of delay and lack. Relevant resources and facilities should be provided in sufficient quantities and there should be clear plans on their maintenance. ➢ The human resources include the teachers and curriculum leaders while physical resources and facilities include books, teacher guides, classrooms, desks chairs, labs w/shops, libs etc. Step 7: Preparation of Implements and Other Stakeholders ➢ Curriculum implementers are the personnel charged with the task of putting the curriculum into practice in the schools. They include teachers, leaders and supervisors with teachers as the main curriculum implementers. Other stakeholders include learners, parents, communities and agencies that support schools in the implementation process. Adequate preparation of stakeholders is perquisite for success in the implementation process. ➢ Preparation involves communication about the new curriculum, training the implementers and sensitization efforts for attitude change and commitment. This
  • 26.
    preparation serves toreduce resistance from the implementation and other stakeholders. Preparation also serves to provide necessary knowledge and skills and have positive attitudes to the new curriculum which they are expected to use and adopt in schools. This can be done through in-service, workshops, conferences and seminars. Step 8: Piloting of the Programme ➢ Piloting involves trying out of the new programme in a few schools. ➢ It involves assessing and evaluating a new programme with (sample of) the target programme that will use the curriculum. The aim of piloting is to identify any weaknesses before implementation. ➢ Through piloting the curriculum validity is established because it’s a kind of formative evaluation to determine the extent to which programme will or will not achieve the intended objectives. ➢ For effectiveness, the schools used in piloting should comprehensively represent all types of schools and educational concepts. In Kenya it should cater for national, extra country, county and sub-county schools, private and public schools, singe sex and mixed schools, urban and rural schools, day boarding schools, schools in various geographical contexts special schools and mainstream schools and schools with various religious affiliations. Step 9: Refining of the Programme ➢ Refining is the process through which the curriculum Planners make improvements or amendments in the programme ➢ The feedback obtained from piloting is used to refine the programme and to also make decisions is to whether to adopt the programme as it is; to adopt after revision or to repeat it altogether. Step 10: Implementation of Programme ➢ Implementation involves the process oof putting the new programme into use in all schools. ➢ The success of the programme depends on attitudes of implementers, availability of resources and facilities, competence of implementers, compatibility of the new programme to the existing set ups and administrative support. ➢ Key activities undertaken during curriculum implementation include: i. Presenting the new programme in the schools. ii. Availing and utilizing the resources and facilities. iii. Actual programme delivery iv. Supervision v. Monitoring and evaluation Step 11: Institutionalization of the Programme
  • 27.
    ➢ This isthe process through which the programme becomes fully adopted and owned by the users. ➢ It also involves maintenance of the curriculum to determine the operational impact time as well as to support and sustain the curriculum in use. Step 12: Programme Monitoring and Evaluation ➢ Monitoring is the systematic and routine collection of information about the programme for improvement it involves checking the progress of the programme against the intend plan. ➢ The data acquired through’ monitoring is used for evaluation. ➢ Through monitoring curriculum, workers get to know how a curriculum is working with reference to itself or students and if its meeting goals or stated outcomes. ➢ Evaluation vs the progress of determining the extent to which the prog intended objectives have been achieved. It provides data on the prog merit. ➢ Evaluation is carried out in two ways: formative and summative evaluation ➢ Formative evaluation is carried out in every step of the curriculum development process to determine the success of the steps while summative evaluation is carried out after the programme has been implemented and institutionalized in schools to determine the success of the entire programme. ➢ NB: i. Curriculum development is never ending process because planners must always aspire for continuous improvement. Therefore, on-going evaluation is necessary to identify strong and weak points and to develop or remediate them an on-going basis. ii. The whole process of curriculum development is characterized by continuous feedback for curriculum improvement. iii. The process of curriculum development may not be strictly linear as described. The steps are not discrete i.e., the steps interact and inform each other through the interaction of the elements of curriculum.
  • 28.
    The Twelve CurriculumDevelopment Process Model Step 1 Step 2 Step 3 Step 4 Step 5 Step 6 Step 7 Step 8 Step 9 Step 10 Step 11 Step 12 Contest Analysis Strategic Planning Stating the objectives Selection and Organization of content Selection & organization of learning experiences Acquisition of resources & facilities Preparation of implementation & other stakeholders Piloting of the programme Refining of the programme Implementation of the programme Institutionalization of the programme Programme monitoring &Evaluation
  • 29.
    The Interaction amongthe Elements/Components of Curriculum ➢ These elements include: i. Curriculum aims, Goals and objectives ii. Curriculum content/Subject matter iii. Curriculum/Learning experiences and iv. Curriculum evaluation. ➢ These four elements are in constant interaction throughout the process of curriculum development. ➢ There is a back and forth interrelationship in the four elements in which each element influences and is influenced by others. ➢ The elements interact in the wider context that surrounds and influences the school such as the social, economic, political, cultural and technological context in the society. ➢ The micro context is the school environment that includes the prevailing institutional dynamics. Context context Context context Participants in Curriculum Development Process ➢ Curriculum development process is accomplished through the participation of various persons and agencies: the stakeholders. ➢ Stakeholders are persons, institutions and organizations that are interested in the school curriculum ➢ These stakeholders get involved in many ways in the planning, development, implementation and evaluation activities because the curriculum affects them either directly or indirectly. ➢ Ideally all stakeholders and those who are affected by the curriculum should participate in the process of curriculum development. ➢ Among these stakeholders include: teachers, curriculum experts, learners, parents, politicians, professionals, opinion leaders, religious leaders and educational experts. ➢ The agencies that take part in curriculum process in Kenya include KICD, ESQAC, KNEC, KCSE, KNUT, KUPPET, TSC, Religious Organization e.g. NCCK, teacher centres public and private among others. Curriculum Aim, Goals and Objectives Curriculum Evaluation Curriculum/ Learning Experiences Curriculum Content content
  • 30.
    ➢ KICD usesthe panel system (course and subject panels) to develop curriculum and curriculum support materials. ➢ The course panel are in charge of each level of education e.g. primary, secondary and tertiary education. The Functions of the Course Panel Include: i. To keep under constant review the existing curriculum of the relevant level of education or training and to make recommendations to the academic board. ii. To coordinate and guide the activities of subject panels in their respective areas of specialization and iii. To liaise with other institutions and agencies outside the MoE engaged in training of human resource for industrial and commercial purposes. ➢ The subject panels are in charge of each subject that is taught in Kenyan school syllabus. This is made up of subject specialists. ➢ The functions of the subject panels include: i. To initiate and guide appropriate curriculum development projects, research and evaluation activities in the relevant subject or educational area. ii. To keep under constant review the existing syllabus in a subject or educational area and make necessary recommendation to the course panels. iii. To keep under constant review are exams conducted in the country in the relevant subject or educational area and make recommendations to the course panels and iv. To evaluate and recommend curriculum support materials for use in the schools, colleges and other post school institution in the relevant subject or education area. Self-Assessment Exercise: i. Discuss the various steps/stages of curriculum development project and show how they are related. ii. Discuss four elements of curriculum and show how they are interrelated iii. Identify and explain five main participants of curriculum development process in Kenya iv. Curriculum is a product of several factors. Discuss five factors that influence curriculum in Kenya v. KICD utilizes the panel system approach to develop curriculum and curriculum support materials. Based on this discuss the functions of course and subject panels of KICD
  • 31.
    Curriculum change Curriculum changeis big term that makes up the whole concepts such innovation, development and adoption. This includes changes that may be planned or unplanned (unintentional, spontaneous or accidental). It may involve changes at the classrooms or school level or reforms of the whole each system in a country What is curriculum change? ➢ Curriculum change is an interwoven, involving, dynamic and never-ending process concerned with any alteration in the curriculum design, goals, content, learning activities, scope and sequences ➢ Curriculum change can also be defined as a deliberate attempt to improve practice in relation to certain desired objectives. These changes may be in a certain aspect of the curriculum or complete shakeup of the curriculum. There are four core changes in curriculum i) Some form of regrouping/new grouping (restructuring) of the curriculum itself. ii) The use of new curriculum materials iii) Changes in learning practices (i.e., adoption of new activities, skills or behaviours). iv) Changes in beliefs or understandings of how the curriculum affects learning. Causes of curriculum change The main aim of curriculum change is to improve the quality of education by addressing the current needs of the learners and the society at large. The following are some of the aspects that provide on impetus of curriculum change: i) Emerging issues in the society such as terrorism, ethnicity, corruption, HIV/AIDS, environmental protection, drug and substance abuse. ii) Technological advancements e.g. e-learning, e-citizen, e-commerce and computer literacy in general. iii) Changes in knowledge (Epistemological changes) e.g., learner-centred education, individualized instruction, special needs education (SNE) and inclusive education are the current demands made on education. New education theories from psychology can cause change in curriculum e.g. Jean Piaget’s research findings on cognitive development of human beings which have had implications for the curriculum in the context of learners readiness to learn given subject matter, the sequential hierarchies in subject matter arrangements & the pedagogies used in instruction. iv) Global trends such as Sustainable Development Goals (SDGs), Millennium Development Goals, (MDGs), Education for All (EFA), Universal Primary Education (UPE) have shaped education changes globally.
  • 32.
    v) Changes innational education philosophy. This is stipulated in development plans, education commission and sessional papers. Examples in Kenya include Kenya Vision 2030, educational commissions (e.g. Ominde Commission, Odhiambo Commission Koech Commission) and sessional papers (e.g. sessional No. 1 of 2005) vi) Political changes-In Kenya whenever there is change in the government structure, curriculum revisions are affected in the History & Government syllabus for secondary school and the social studies syllabus for primary schools. In the year 2012 there was the creation of the post of a PM in the government structure. A new constitution was also enacted in the year 2010 and all these developments have been included in the curriculum of these subjects. vii) Physical changes-Among others is environmental changes in the world globally which has led to development of courses and programmes in environmental science in many institutions of higher learning in Kenya because of the demands on environmental t conservation. viii) Employment agencies-They dictate the courses to be offered in various programmes for relevancy. Curriculum Change Agents Change agent refers to an individual (or group/organization) that influences clients’ innovation decisions in a direction deemed desirable by a change agency. All stakeholders of change are change agents. Change agents in Kenya include the following i. The presidency through presidential directives ii. The government through the cabinet iii. Ministry of Education iv. Curriculum development Centre e.g., the Kenya Institute Curriculum Development (KICD) in Kenya v. Examination centers e.g., Kenya National Examinations Council (KNEC) in Kenya vi. Trade unions e.g., Kenya National Union of Teachers (KNUT), Kenya Union of Post Primary Education Teachers (KUPPET) in Kenya among others vii. Institutions of higher learning e.g., universities & colleges viii. Non-Governmental Organizations (NGOs) & donors ix. Teachers x. Religious organizations (e.g., NCCK) and other pressure groups in the society xi. Publishing firms (e.g., JKF, Longhorn, EAP etc.) xii. Employing agencies e.g., the Teachers Service Commission (TSC) in Kenya xiii. Parents’ Association xiv. School Boards of Management & committees
  • 33.
    Key Roles ofChange Agents: i. Developing need for change ii. Establishing information-exchange relationship iii. Diagnosing clients’ problems iv. Creating intent to change in the client v. Translating intent into action vi. Stabilizing adoption and preventing discontinuances and last but not least vii. Achieving a terminal relationship Forms, Strategies and Types of Change Change can be characterized in many forms, strategies and types. One of the ways is by considering the following forms of change: i) Substitution- this is where one element replaces another previously in use e.g. a new course book for use in society ii) Alteration- this is a change in the existing structures rather than complete replacement of the whole curriculum e.g., new content and materials. This happens when some new content is introduced/withdrawn from a course. iii) Addition-this is by way of introduction of new components without changing old components/elements/patterns e.g., a new topic subject or course of study iv) Restructuring-this is done through rearrangements of the curriculum in order to implement the desired changes e.g., changes in sequencing of content. v) Perturbation–these are changes that can disrupt a program but can be adjusted by the leaders such as time schedules vi) Value oriented changes– this includes shifts in the fundamental philosophies or curriculum orientations. It can involve changes in an education system e.g. in Kenya where there is change of education system from 7.4.2.3. to 8.4.4 to 2.6.6.3 Curriculum changes can be categorized into minor, medium and major changes. Minor changes may include addition of a material, topic and learning activities. Medium changes comprise alterations that do not affect the general structure of the curriculum though they are conspicuously noticeable such as a new subject, integration of subjects and new teaching and evaluation methods. Major changes include changes in design and structure of the curriculum such as changes in the educational system, new educational policies that may include FPE policy in Kenya and overhauls in the syllabus for schools. Furthermore, Change can be understood by identifying three strategies namely: i) Empirical rational strategies: these strategies emphasize the importance of understanding the need for change and having the competence to implement the same. These strategies are informed by research on identification of needs and interests of learners as well as society. ii) Normative re-educative strategies: these changes based on rationality and intelligence of humans. They work on the premise that curriculum
  • 34.
    adopters can willinglyand cooperatively support the change if they are made to understand the change. a. Power-coercive strategies: this is where those in power impose change to the rest. They believe that the curriculum adopter is powerless individuals who require guidance and direction by those in power and authority. Changes can also be categorized into: i) Planned changes-here those involved have equal power and function in a prescribed function. This kind of change is organized and intended ii) Coercion change-here one group determines the goals and other parties are excluded from participating. There I unequal sharing of power among the parties and those with more power and authority leverage it to impose the change to the rest. iii) Interaction change-this comprises mutual goal setting and fairly equal power distribution among the groups. The change is not well organized. The ideas about change spring from the stakeholders and information about change occurs through interactions among the groups. Change Resistance Management This refers to the state of refusal or opposition to change. Once change has been planned and developed the next course of action is implementation of the change. There is bound to be resistance while effecting the curriculum change regardless of the careful and all- inclusive planning. Resistance may take different forms such as: 4. Total passivity on the part of the teacher by relying on other parties and hoping that the innovative spirit will disappear soon. 5. Accentuating the negative and emphasizing the impracticality of the new curriculum and its adverse effects 6. Avoidance/passive aggressive behaviour all the way to total defiance, hostility and sabotage. 7. Some of the teachers may question the legitimacy of the change arguing in favour of the previous curriculum 8. Schools may resist due to their fundamental nature and teachers are behind a lot of resistance in schools Causes of Resistance Management i) The fear of the unknown-it commonly occurs the stakeholders are not sensitized when implementing the changes in curriculum. This fear is more pronounced when coercion has been used
  • 35.
    ii) Lack ofclear understanding of what the change involves-it is crucial that stakeholders understand the changes to be introduced, why it is changing and how it is changing. Clear and effective communication on these issues will help to solve. iii)Negative attitude towards innovation-when adopters begins with negative opinions about an innovation, that attitude will be hard to change. Effective communication minimizes uncertainty about the change. It helps to inform, motivate or convince the stakeholders. This can be done through the mass media and interpersonal channels iv) Failure to involve stakeholders of planning stages- this may result to lack of ownership and commitments to the innovation v) Lack of knowledge and skills-resistance to innovation comes when people lack the skills needed in carrying out a new programme. This can be managed through training of the concerned people. The training could be in-service and preservice vi) Lack of resources and facilities-relevant resources are required for the implementation process. These resources include funds, time, teachers, classrooms, books, teacher guides, teaching aids, laboratories, libraries etc. vii) Poor timing-this may occur when employees are required to undertake too much change over a short period or innovations are introduced when not required. Programme innovations should be introduced whenever stakeholders perceive the need for change and not when people are satisfied about the programme. viii) Lack of motivation by the implementers-employee motivation is key in performance. Implementers should be rewarded in their efforts to adopt and implement an innovation. This can be by way of increased remunerations, promotions, professional development and recognitions. The relative advantage of the innovation to the individual is made clear without which the change can be construed as a waste and energy. Minor, medium and peace meal changes are recommended ix) Complexity of the innovations-complex innovations are resisted compared to the simple ones. Many people tend to resist major changes that overhaul the existing curriculum x) Lack of administrative support-strong leadership is recommended in the change process. This leadership may be from the government and school management. The leaders can support the implementation activities by provision of resources, incentives, training and general encouragement to the teachers xi) Insecurity-this occurs when individuals have general feelings of inadequacy. This can be characterized by lack of trust of the management or key decision makers. Other times the fear of losing their jobs grips the implementers xii) Lack of continuous monitoring and evaluation-through regular revision and reconsideration as informed by continuous monitoring and evaluation, resistance to the innovation will be minimized. In the event of resistance, the root causes should be addressed and not the symptoms. This is through finding out: ➢ Why the people are resisting? And not ➢ How is the resistance manifesting itself? The concerns of the implementers can be addressed and provided with assurance and support. Continuous feedback mechanisms should be established and this will facilitate continuous improvement.
  • 36.
    Xiii) Compatibility ofthe innovation to the existing school setup-the new programme should be congruent with the norms and expectations held by the personnel in the system. Quite a number of people will resist change if it threatens their cherished traditions and institutions. Any change that might cause increased additional workload may not be taken down well. Change Resistance Management This refers to the state of refusal or opposition to change. Once change has been planned and developed the next course of action is implementation of the change. There is bound to be resistance while effecting the curriculum change regardless of the careful and all- inclusive planning. Resistance may take different forms such as: 9. Total passivity on the part of the teacher by relying on other parties and hoping that the innovative spirit will disappear soon. 10.Accentuating the negative and emphasizing the impracticality of the new curriculum and its adverse effects 11.Avoidance/passive aggressive behaviour all the way to total defiance, hostility and sabotage. 12.Some of the teachers may question the legitimacy of the change arguing in favour of the previous curriculum 13.Schools may resist due to their fundamental nature and teachers are behind a lot of resistance in schools Causes of Resistance Management i. The fear of the unknown-it commonly occurs the stakeholders are not sensitized when implementing the changes in curriculum. This fear is more pronounced when coercion has been used ii, Lack of clear understanding of what the change involves-it is crucial that stakeholders understand the changes to be introduced, why it is changing and how it is changing. Clear and effective communication on these issues will help to solve. iii. Negative attitude towards innovation-when adopters begins with negative opinions about an innovation, that attitude will be hard to change. Effective communication minimizes uncertainty about the change. It helps to inform, motivate or convince the stakeholders. This can be done through the mass media and interpersonal channels iv. Failure to involve stakeholders of planning stages- this may result to lack of ownership and commitments to the innovation v. Lack of knowledge and skills-resistance to innovation comes when people lack the skills needed in carrying out a new programme. This can be managed through training of the concerned people. The training could be in-service and preservice
  • 37.
    vi. Lack ofresources and facilities-relevant resources are required for the implementation process. These resources include funds, time, teachers, classrooms, books, teacher guides, teaching aids, laboratories, libraries etc. vii. Poor timing-this may occur when employees are required to undertake too much change over a short period or innovations are introduced when not required. Programme innovations should be introduced whenever stakeholders perceive the need for change and not when people are satisfied about the programme. viii. Lack of motivation by the implementers-employee motivation is key in performance. Implementers should be rewarded in their efforts to adopt and implement an innovation. This can be by way of increased remunerations, promotions, professional development and recognitions. The relative advantage of the innovation to the individual is made clear without which the change can be construed as a waste and energy. Minor, medium and peace meal changes are recommended xiii) Complexity of the innovations-complex innovations are resisted compared to the simple ones. Many people tend to resist major changes that overhaul the existing curriculum ix. Lack of administrative support-strong leadership is recommended in the change process. This leadership may be from the government and school management. The leaders can support the implementation activities by provision of resources, incentives, training and general encouragement to the teachers x. Insecurity-this occurs when individuals have general feelings of inadequacy. This can be characterized by lack of trust of the management or key decision makers. Other times the fear of losing their jobs grips the implementers xi. Lack of continuous monitoring and evaluation-through regular revision and reconsideration as informed by continuous monitoring and evaluation, resistance to the innovation will be minimized. In the event of resistance, the root causes should be addressed and not the symptoms. This is through finding out: ➢ Why the people are resisting? And not ➢ How is the resistance manifesting itself? The concerns of the implementers can be addressed and provided with assurance and support. Continuous feedback mechanisms should be established and this will facilitate continuous improvement. xii. Compatibility of the innovation to the existing school setup-the new programme should be congruent with the norms and expectations held by the personnel in the system. Quite a number of people will resist change if it threatens their cherished traditions and institutions. Any change that might cause increased additional workload may not be taken down well.
  • 38.
    Effective Actions ofCurriculum Changes and Innovations It is worth noting that curriculum change and management is a complex process. Below are twelve effective actions in the planning and implementation of curriculum changes and innovations as used in Kenya and other parts of the world. i) Strong leadership ii) Strategic planning iii) Comprehensive context analysis iv) Acquisition, proper utilization and maintenance of resources and facilities v) Communication about the change or innovation vi) Teacher involvement and preparation vii) Piloting of innovation viii) Motivation of implementers ix) Major changes and innovation can be implemented in phases x) Depoliticization of change in education xi) Strengthening government support xii) Strengthening research and the study on global trends Self-Assessment Exercise i) Explain the significance of curriculum change in relation to education/curriculum ii) Discuss the conditions necessary for effective curriculum change process iii) Examine causes of resistance to curriculum change and propose possible ways to minimize the resistance. iv) Critically analyze curriculum innovations in Kenya in regard to 8-4-4 to 2-6-6-3 system of education Curriculum Evaluation ▪ Evaluation determines the value of some action/program the degree to which it helps students meet standards and its importance. ▪ Evaluation critiques documents, plans and actions ▪ Evaluation involves judgments as to merit and worth ▪ Etymologically the word evaluation emanates from the root value. It therefore means that evaluation comprise placing values on the teaching-learning actions (process, the content, the teacher and the learner) ▪ Evaluation can therefore be defined as the process of collecting data to determine the worth or success of a programme as per the intended outcomes The Nature and Purpose of Evaluation Evaluators gather and interpret data to determine whether to accept, change or eliminate aspects of the curriculum e.g., particular text books
  • 39.
    Curriculum evaluation isnecessary at a various point throughout the programme development and implementation not just at the end of the programme. Curriculum evaluation should be an on-going process, during and after the design dissemination and implementation places with a view to making timely adjustments and determining success Evaluation identifies the curriculum strengths and weaknesses before and after implementation. At the beginning of the curriculum development evaluation should be done to evaluate the programme worth and merit. Throughout the process, educators should evaluate the worth and merit of the curriculum content and experiences Evaluation enables educators to compare different programmes in terms of effectiveness. That is why stakeholders want to know how their students measure up against other students at the local, national and international levels The curriculum organizes subject matter in terms of scope and sequence; therefore, curriculum evaluation should make judgements regarding the worth of the subject matter being countered and organized as well as the political and social climates within which the curriculum will exist. At implementation stage curriculum evaluation focuses on whether the curriculum is producing the desired result or not. Evaluation should remain connected to the totality of the curriculum activities The main purpose of evaluation is to make a value determination of the relevant educational undertaking and thus to gauge to what extent the goals and outcomes have been achieved. Evaluation plays the following role in education: i. To provide basis for decision-making and policy formulation ii. To assess students’ achievements iii. To assess curricular iv. To accredit schools v. To monitor expenditure of public funds and vi. To improve educational materials and programmes. In a nutshell evaluation establishes the extent of the attainment of the intended outcomes of a programme. There are four major educational areas most frequently evaluated: a) Students b) Curricular programmes b) Curricular materials (often evaluated with programmes) c) Staff
  • 40.
    Types of evaluation Thefollowing are ways of categorizing evaluation: i) Criterion-reference and norm-referenced evaluation Criterion referenced looks at the standard for accepted performance which is set before the assessment while norm-referenced evaluation involves setting the standards after. Norm-referenced evaluation measures a student’s achievement in comparison to other students of the same level. Norm-referenced tests are designed to produce a distribution of different scores that allow the school to judge higher and lower performers. Such an evaluation compels a student to compete with others. Criterion-referenced evaluation is one in which the specific criteria for success is set out in advance and are assessed on the extent to which they have achieved them with no comparison with other schools such evaluation does not require inter-student competition but instead is based on a set of standards of mastery. ii) Formative and Summative evaluation Formative- refers to on-going evaluation. It takes the form of continuous assessments through quizzes, tests, assignment etc. It involves the activities undertaken to improve an intended programme in order to optimize students’ learning. Provides feedback to teachers and students on their current performance, achievements, strengths and weaknesses in such a form that it is clear what the students or the teacher can do to improve, enhance or extend learning and achievement. Common ways of conducting formative evaluation include: ❖ Observation of school work. ❖ Appraising work samples, homework and portfolios. ❖ Interviewing learners. ❖ Quizzes and informal testing. Summative evaluation is terminal; done at the end of an academic programme or after the student has been taught for decision making such as promotion of learners to the next level. It involves gathering information at the conclusion of a series of units or lessons. iii) Diagnostic evaluation Diagnostic tests are designed to allow teachers to explore a student’s existing knowledge and skills in detail and to select any gaps in prior learning. Diagnostic evaluation is used to determine the beginning status or condition of something. Diagnostic evaluation can be used to judge the worth of the curriculum before the programme activities begin.
  • 41.
    Diagnostic evaluation canalso involve an analysis of the entry behavior of the learners at the beginning of a course or in a new level or grade. Diagnosis evaluation provides a picture of the prevailing conditions before any activity is carried out so that the effect of an intervention can be determined. There are 5 key questions that teachers aim at answering through diagnostic tests: a) What can a student already do without help? b) What skills and strategies have the student developed? c) What can a student do if given little prompting? d) What gaps exist in the student’s prior learning? e) What does the student need to be taught next in order to make progress? Key Players in Evaluation Curriculum evaluation is a cooperative activity involving many stakeholders such as teachers, administrators, national evaluators, students and parents. It may also involve other members of the society. Decision by these people address the entire curriculum and all those responsible for delivering it Who is involved in curriculum evaluation? 1) National evaluators e.g., QASO, KICD, TSC 2) Professional bodies e.g., KESSHA, KEPSHA, 3) Pre-university education systems which consider particular expectations of learning and assessment 4) Institutional, faculty and departmental assessment regulations 5) Institutional leadership 6) External examiners 7) Learners/students themselves (by way of raising complaints) 8) The world outside the schools about what graduates should be 9) The media 10)Policy makers and politicians 11)Parents, employers, tax payers, the society and other frontline stakeholders in matters education 12)Teachers 13)Religious bodies 14)Pressure groups 15)Trade unions For successful curriculum evaluation, the following guidelines are necessary: a) Evaluation should be pegged on the set curriculum goals b) Evaluation should be a continuous and frequent exercise c) A variety of techniques should be utilized in evaluating the curriculum
  • 42.
    d) The evaluatingtools should be standardized by way of ensuring they are valid and reliable e) Results obtained from various instruments should be compared before arriving at conclusions f) Evaluation should be systematic g) It’s necessary to employ both formative and summative evaluations h) Evaluation should involve all the key curriculum stakeholders i) Evaluation should be comprehensive (holistic) j) The focus of the evaluation should be the improvement of curriculum What affects the quality of curriculum evaluation? ➢ Lack of adequate teacher involvement ➢ Lack of staff evaluation ➢ Lack of validity and reliability on tools of evaluation ➢ Insufficient expertise ➢ Lack of feedback sharing with stakeholders ➢ Inadequate follow-ups ➢ Insufficient formative evaluation ➢ Infrequent evaluation of the curriculum and tendency to ignore unintended effects of the curriculum Student’s Activity (Self-Assessment Exercise): i. Discuss models of curriculum evaluation giving their merits and demerits ii. With illustrations, discuss types of curriculum evaluation iii. Is evaluation of learning evaluation of curriculum? If yes provide evaluation of learning. iv. Explain the importance of feedback provided by the evaluation v. Distinguish between evaluation and measurement vi. Identify and explain the specific roles of the key players in curriculum evaluation in Kenya vii. Discuss how you would conduct evaluation of secondary curriculum/education in your country Teacher Education Teacher education is quite important in a far as implementation of the curriculum is concerned. Therefore, this is to say that effective implementation of the curriculum innovations and changes depend on the quality of teacher education. What is teacher education? Teacher education (TE) can be defined as a set of phonemics deliberately intend to help candidates acquire knowledge skills dispositions and norms of the occupation of teaching (Tisher & Wideen: 241).
  • 43.
    Teacher also isdefined as such institutionalized educational procedures that are aimed at the purposeful organized preparation or further education of teachers who are engaged directly/indirectly in educational activity as their life work (Shiundu & Omulando, 1992:227). Teacher education are the policies and procedures designed to equip prospective teachers with knowledge, attitudes, values and skills they require to perform their tasks in the classroom, school and wider community (Mwaka et al. 2014:1) Teacher education refers to the policies and procedures adapted in equipping prospective teachers with professional skills knowledge, attitudes, values and experiences in readiness to practice as well as the procedures that enhance lifelong education and training of practicing teachers (Syomwene et al. 2017:177) There has been transformation in the design and administration of teacher education programmes and most teachers in educational institution in Kenya are trained. The Ministry of Education (MOE, highlights the specific objectives for TE programmes which include: i) To develop communicative skills among teachers ii) To develop teachers’ professional attitude and values iii) To equip teachers with knowledge and skills to enable them to perform professional duties. iv) To enable teachers, identify and develop educational training needs. v) To enable teachers to adapt to the changing environment and society. The Teaching Profession Profession is described as a number of individuals in the same occupation voluntarily organized to earn a living by openly servicing a moral ideal in a morally permissible way, beyond what law, market and morality permissible way, beyond what law market and morality would otherwise require. A teacher as a professional is expected to have attained the standards of education and training that prepare him/her with the particular knowledge and skills necessary to perform the role of the teaching profession. In carrying out his/her duties professionally in teacher is expected to display: i. Professional values and virtues ii. Professional competence and responsibility iii. Honesty and integrity in the discharge of their duties & responsibilities
  • 44.
    iv. Responsibility tothe school communities, family, teaching profession and society v. Ethics of instruction vi. Assuring quality and ethics vii. The recognition of the role of teachers’ unions. Type of Teachers Education Program There are two main types: pre-service and in-service education programmes Preservice Teacher Education This is a fully institutionalized scheme of training in which participant teacher trainees attached on institution on full time basics with a curriculum consisting of three main elements i. Subject area content ii. Profession preparation course and iii. Practice teaching courses The subject area content delves into the subject areas that the teacher trainees specialize in. The professional preparation courses include principles and methodologies of teaching, foundations of education, philosophy of education, policies and management principles in education, sociology of education curriculum development, educational psychology, communication skills and educational technology Practice teaching courses are contacted in two forms namely micro-teaching and teaching practice Micro-teaching exposes the teacher trainee to a real classroom situation through a micro- class made up of fellow classmates when in small groups of students (about 10 students). The students are guided on: preparation/planning for teaching, appropriate teaching approaches, actual classroom communication/ presentation classroom management, feedback to the learner motivation of leaners, assessment of learning progress, preparation and use of teaching aids and organization of classroom environment and teaching document Teaching practice is conducted in a real school situation. The practice lasts one term (12- 14weeks). Each teacher is expected to be assessed at least thrice by the teacher trainers Advantages of Preservice Teachers a) Trainees are exposed to new ideas and perspectives b) They increase the trainees’ career status and credibility c) Ensure the development of networks and personal contacts with trainees from different organizations and regions
  • 45.
    Disadvantages i. Since sometrainees never intended to be teachers, usually they have a problem in translating theory into practice ii. Lack of needs assessment in preservice training programmes many leads to offering training packages with little relevance and iii. Lack of maturation and poor remuneration for graduates Types of Preservice Teaching Education i. Concurrent programmes–They present the subject area content, professional courses and practice teaching over the period of study e.g. ECDE, PTE, DTE, B. ED Programmes ii. Consecutive progress–They are used to covert graduates in related and relevant areas into professional teachers e.g., PGDE programmes. They take a short period of one year/slightly more than a year. The teacher trainees are offered the professional courses and practice teaching units during the training period. In-Service Teaching Education They are offered to professionally practicing teachers with the intention of updating knowledge, acquiring new skills/innovations in teaching trainees and /or being introduced to new curricula in teaching The program can either be full/part time in the professional life of the teacher. These programmes are offered at TTCs and universities under the module of evening or school- based programmes Merits of In-Service Teacher Education i. Aid teachers to continually update themselves in new/emerging issues in the development of knowledge/skills their subject areas. ii. The trainees bring a wealth of work experience to the classroom Levels of Teacher Education: 1) ECDE Teacher education 2) Primary teacher education programmes 3) Secondary teacher education 4) Technical teacher education 5) Higher education Teacher education Evaluation of Teacher Education They comprise both formative and summative evaluation. The student teachers are offered both CATs and end of term/semester tests. The students are also assessed severally during the TP exercise as part of formative and summative evaluation
  • 46.
    At the endof the training, the graduates are awarded certificates by the training institution that allows them to join the teaching profession in Kenya and other parts of the world. Challenges Facing Teachers Education and the Teaching Profession in Kenya Among these challenges are: 1) The curriculum tends to be obsolete. There is need to review the curriculum constantly to address emerging professional, learner and societal needs 2) Inadequate facilities and resources 3) Large class sizes 4) Integration of technology in the instruction process is either lacking or minimal 5) Use of teacher–centered methods teaching as opposed to learner–centered methods 6) Unemployment of trained teachers 7) Shortage of teacher educators 8) Demotivation of the teacher educators due to increased work load and poor remunerations 9) Some graduates admitted to teaching profession do not have the call to the teaching profession 10) Poor schemes of service of the practicing teachers Student Assessment Exercise i. What do you understand by the term teacher education? ii. Discuss the types of teacher education programmes offered in Kenya iii. Discuss the significance of teacher education iv. Establish the challenges affecting teacher education in Kenya and suggest possible solutions