Disease Modifying
                Treatments:
Mediocrity and then some?

                    Dr Trevor Pickersgill
                 Consultant Neurologist
            University Hospital of Wales
               Royal Glamorgan Hospital
          Hon Lecturer, Cardiff University
“Disease?”
 Advice

 Explanation

 Expertise

 Support

 Signposting

 Now  ‘rationers’
 ‘prescribers’
“Modifying”
Theoretical model: treat early and
aggressively
Disability




                Treatment
               at diagnosis          Intervention
                                     at diagnosis



                              Time
     Disease
      Onset
Patients with a sustained (6 months) Expanded Disability Status Scale increase during the
                                      first 3 years of treatment.




          La Mantia L et al. J Neurol Neurosurg Psychiatry
          doi:10.1136/jnnp-2012-303291


©2012 by BMJ Publishing Group Ltd
“Treatment?”




        K Harding et al ENS 2012
‘mild’ drugs?
The Pipeline
BIOGEN




  Teva/Serono
Really…..?
Pts with >1 exacerbation
Pts with 2yr progression
The IFNB Multiple Sclerosis Study
Group. 1993 Neurology. 43: 655-
661
Jacobs LD et al. 1996 Annals of
Neurology. 39: 285-294
The PRISMS Study Group. 1998
Lancet. 352: 1498-1504
Jacobs LD et al. 2000 New
England Journal of Med
Medicine. 343: 898-904
European Study Group on
Interferon-1b in Secondary
Progressive MS. 1998 Lancet.
352: 1491-1497
Comi G et al. 2001 Lancet. 357:
1576-1582
The New Dawn:
monoclonals
 Alemtuzumab
 Natalizumab
 Daclizumab
 Ocrelizumab
 Rituximab
Immune attack on the central nervous system and the
  mechanism of action of anti-VLA4 and anti-CD52.




               Gold R , Hohlfeld R Pract Neurol 2006;6:248-251
                ©2006 by BMJ Publishing Grop Ltd
Natalizumab/Tysabri
 Monthly   IVI
 £13K

 ‘twice’ as effective injectable DMT
 Reserved for ‘HARRMS’ (NICE)

 I.e. 2+attacks in 1 yr with active MRI
  (significant increase in lesions or Gd+)
 25+ UHW.

 PML......
MOA of Natalizumab
                                                             1. Leukocyte migration
                                                                from blood to tissue




                                                                        2. Leukocyte priming
                                                                           and activation


3. Modulation of
leukocyte apoptosis




                 Cannella B et al. Ann Neurol. 1995;37:424-435.
                 TYSABRI SmPC; Yednock TA et al. Nature.
                 1992;356:63-66
TYSABRI Efficacy Summary
ITT Population



             68%                        reduction in relapse rate vs placebo
                                        over 2 years (p < 0.001)




             54%
                                        reduction in the risk of EDSS
                                        progression, sustained for 24 weeks, as
                                        assessed over 2 years (p < 0.001)



                                        of patients free from all of the following


             28%
                                        measures of disease activity: relapses, Gd+
                                        lesions, T1 weighted hypointense and T2
                                        weighted hyperintense lesions and disability
                                        progression at 2 years 2


                 TYSABRI SmPC; Polman CH, et al. NEJM 2006; 354(9):
                      899-910; 2. TY00-004, Data on file. Biogen Idec Ltd
Annualized Relapse Rate
                                    1.0                                 0.81
 Annualized Relapse Rate (95% CI)




                                    0.9   0.73                                                     0.67
                                                                               P<0.001
                                    0.8          P<0.001
                                                                                                          P<0.001
                                    0.7
                                    0.6
                                                                                          66%
                                    0.5                    68%                         reduction                     70%
                                                        reduction                                                 reduction
                                    0.4                                         0.26
                                    0.3          0.23                                                      0.20

                                    0.2
                                    0.1
                                    0.0
                                          Years 0-2                     Year 0-1                   Year 1-2
                                                        Placebo n=315          Natalizumab n=627
Polman CH, et al. N Engl J Med. 2006;354:899-910; Polman C, et al. Presented at the 57th Annual Meeting of the
American Academy of Neurology; April 12, 2005; Miami, FL
Kaplan–Meier Plots of the Time to Sustained Progression of Disability among Patients Receiving
                           Natalizumab, as Compared with Placebo.




                  Polman CH et al. N Engl J Med 2006;354:899-910.
Another magic bullet?
 Alemtuzumab
 Anti  CD52
 Cell lysis
 Lymphocyte depleter
 Annual infusions x2
 Cheap.....
 .....but withdrawn
 autoimmunity
Haematological Effects of
          CAMPATH-1H
Lymphocytes (x109/l)




                                                                          Lymphocytes (x109/l)
           2.5
                                                                                                 4

                   2                                                                                        Normal
                                                                                                 3          Range
           1.5

                                                                                                 2
                   1


           0.5                                                                                   1


                   0                                                                             0
                       0     4       8       12     16      20      24
                                                                                                     1          10     100      1000

                        Time post Campath Infusion (Hours)                                               Days post CAMPATH-1H
                       95% reduction within 1hr. Unaffected by steroids




                                          Moreau, T., A. Coles, et al. (1996).
                                          Brain 119 (Pt 1): 225-37
Lymphocyte recovery after Alemtuzumab




          Cossburn et al Neurology 2012(in press)
Campath rash
Cumulative number of relapses over time
                                                              Risk
                                                            Reduction




                                                    87%                 72%




                                                          P <0.0001



               Annualized Relapse Rate (95% C.I.)
Interferon-beta 1a   Alemtuzumab Low-      Alemtuzumab High-
 0.35 (0.27, 0.44)          Dose                  Dose
                       0.11 (0.07, 0.16)     0.05 (0.03, 0.09)
                                                          Coles et al. AAN 2007.
Relapse-free
                                        100
         Patients without Relapse (%)
                                         95
                                         90
                                         85
                                         80
                                                                                                       78%
                                         75
                                         70
                                         65
                                         60         55% Risk Reduction
                                                    p<0.0001                                           59%
                                         55
                                         50
                                              0        3    6       9    12   15  18       21    24
                                                                  Follow-up Month
No. of Observations
SC IFNB-1a                                    187     175   156    137   127   118   116   109   101
Anti CD52 mAb                                 376     366   358    340   321   313   306   299   287


                                                                                                             CARE-MS I
Mean EDSS Score Over Time
                         Alemtuzumab
                               v. IFNB1a




                            -0.57 (-0.30, -0.83)
                            -0.72 (-0.46, -0.98)
                                P<0.0001
Error bars = S.E.
The downside......
   30% thyroid

   3% ITP

   Goodpasture’s

   Lymphoma
Others
   Rituximab                  Daclizumab
       1 small trial              IL2recA chain CD25


   Ocrelizumab
       ‘ritux-max’ CD20
       Phase 2 n=220
       6 montly infusion
       MRI
The Oral Explosion....
BG12/
Fingolimod      Cladribine        DMF




                              Laquinimod

Teriflunomide
 “Aubagio”
                Ponesimod    ??
CLADRIBINE
 The  ‘winner’ of the race to market
 CLARITY NEJM 2010

 N=1326

 Placebo v high v low dose

 0.33 v 0.15 relapse rate

 10 tumours (5 fibroids!)

 Withdrawn from market worldwide
Efficacy Outcome Measures Relating to Relapse and Progression of Disability during
             the 96-Week Study Period (Intention-to-Treat Population).




                     Giovannoni G et al. N Engl J Med 2010;362:416-426.
FINGOLIMOD
   S1P receptor modulator
   TRANSFORMS v Avonex
   FREEDOMS v placebo
   EDSS 0-5.5 ARR=1
   N=1200 82% completion
   -54% RR
   MRI and disability
   Oral once daily
FINGOLIMOD
   First dose in hospital
   Cardiac SEs
   First dose brady
   1/2 deg HB
   Opthalmological - mac oedema
   Skin - 11 cancers (4 pl)
   £20,000
Gilenya prevents lymphocyte exit
from lymph nodes



                                                                                          Gilenya causes:
                                                                                           Internalisation of
                                                                                            the S1P1 receptor
                                                                                           Inhibition of
                                                                                             lymphocyte exit
                                                                                             along the S1P
                                                                                             gradient

Gilenya induces reversible retention of circulating lymphocytes in lymph nodes, reducing
            peripheral lymphocyte counts and their recirculation to the CNS

CNS, central nervous system; S1P, sphingosine 1-phosphate
Model based on Brinkmann V et al. J Biol Chem 2002; Matloubian M et al. Nature 2004; Brinkmann V. Br J Pharmacol 2009
Annualized Relapse Rate at 12 Months and the Time to the First Relapse.




          Cohen JA et al. N Engl J Med 2010;362:402-415.
Fingolimod significantly reduced annualized
  relapse rates versus IFNβ-1a IM and placebo

                                 TRANSFORMS 1-year results11
                                 TRANSFORMS 1-year results                                                                         FREEDOMS 2-year results22
                                                                                                                                   FREEDOMS 2-year results

                                      p < 0.001 for fingolimod versus IFNβ-1a IM                                                   p < 0.001 for fingolimod versus placebo
                                0.4
                                                                                                                             0.4
                                                                                                                                         0.40
     Annualized relapse rate




                                0.3




                                                                                                   Annualized relapse rate
                                              0.33             0.17 or 52%                                                   0.3                            0.22 or 54%
                                                                reduction                                                                                    reduction
                                0.2
                                                                                                                             0.2

                                                                                                                                                              0.18
                                0.1                                0.16
                                                                                                                             0.1


                                  0
                                                                                                                              0
                                           IFNβ-1a IM       Fingolimod 0.5 mg                                                         Placebo        Fingolimod 0.5 mg
                                            (n = 431)           (n = 429)                                                            (n = 418)           (n = 425)
                               Annualized Relapse Rate estimate and p value are calculated using negative binomial regression model adjusted
                               for treatment group, country, number of relapses in previous 2 years and baseline EDSS score.
EDSS, Expanded Disability Status Scale; IM, intramuscular 1. Table 2 page 8 FDA Advisory Committee presentation (10 June 2010).
2. Cohen JA et al. N Engl J Med 2010;362:402–15.
 Data refers to study group broader than the CHMP licensed indication. Fingolimod is indicated in patients with highly active and rapidly evolving severe
 RRMS. A consistent treatment effect was demonstrated in the licensed highly active subgroups.”
TERIFLUNOMIDE
   Selective and reversible inhibitior DHODH dihydro-orotate
    dehydrogensae
   Mitoch enzyme
   Inhibits proliferation B/T cells
   Approved FDA 2012
   2 phase 3 trials
   TEMSO
   N=1088
   ARR 31%
   SAD 30% (27-31%)
Annualized Relapse Rate and
    Sustained Disability
        Progression.




TEMSO
O'Connor P et al. N Engl J Med
2011;365:1293-1303.
TOWER
   2nd phase 3 trial terif
                                 Alopecia 13%
   1+relapse 1yr 2+ 2yrs
                                 TENERE: no superiority
                                  Rebif
   48wks n=1169
                                 TOPIC - CIS
   70% completed study
   ARR -22.3% -36.3%
                                 Effective, well tolerated,
   Free relapses 55.4% v
                                  more long term safety data
    37.7%
                                  needed
   SAD 22/21% v 15.8%           2M pt-yrs in RA
BG12
 Anti   inflamm antioxidative stress
     ?cytoprotective
 DEFINE     v pl /CONFIRM v pl v GLA
     Fox NEJM 2012
 50% RR
 SAD 33%

 Decreased brain atrophy
 BG-12/DMF
 Risk relapse 2yrs 43%
 New/enlarging T2 75%
 N=2307 120 v 240 v pl v GLA (n=360)
 At least 1 relapse 12m
 -83% Gd+
 Flushing/GI SEs
Clinical Outcomes at 2
  Years in the Intention-to-
      Treat Population.




Fox RJ et al. N Engl J Med
2012;367:1087-1097.
LAQUNIMOD
 ALLEGRO   23% RR 36% SAD
 BRAVO

 More
     pronounced effect on disability than
 RR??
Clinical Outcomes and MRI Measures
    of Efficacy According to Study
                Group.




   ALLEGRO

   Comi G et al. N Engl J Med
   2012;366:1000-1009.
Treatment Map

CIS       RRMS          HARRMS


              NEW
         ABCR ORALS


                         NAT
                         Monoclonals
                 FING
                          ALEM
Acknowledgements
 Slideshare - Prof G Giovannoni
 Helen Durham Centre:

 Dr Katharine Harding

 Dr Mark Cossburn

 Prof Neil Robertson

 Dr Sebastian Luppe

 Dr Claire Hurst

Dmt g pday_oct12

  • 1.
    Disease Modifying Treatments: Mediocrity and then some? Dr Trevor Pickersgill Consultant Neurologist University Hospital of Wales Royal Glamorgan Hospital Hon Lecturer, Cardiff University
  • 2.
    “Disease?”  Advice  Explanation Expertise  Support  Signposting  Now ‘rationers’  ‘prescribers’
  • 4.
  • 5.
    Theoretical model: treatearly and aggressively Disability Treatment at diagnosis Intervention at diagnosis Time Disease Onset
  • 7.
    Patients with asustained (6 months) Expanded Disability Status Scale increase during the first 3 years of treatment. La Mantia L et al. J Neurol Neurosurg Psychiatry doi:10.1136/jnnp-2012-303291 ©2012 by BMJ Publishing Group Ltd
  • 8.
    “Treatment?” K Harding et al ENS 2012
  • 10.
  • 11.
  • 12.
  • 13.
  • 18.
    Pts with >1exacerbation
  • 19.
    Pts with 2yrprogression
  • 21.
    The IFNB MultipleSclerosis Study Group. 1993 Neurology. 43: 655- 661 Jacobs LD et al. 1996 Annals of Neurology. 39: 285-294 The PRISMS Study Group. 1998 Lancet. 352: 1498-1504 Jacobs LD et al. 2000 New England Journal of Med Medicine. 343: 898-904 European Study Group on Interferon-1b in Secondary Progressive MS. 1998 Lancet. 352: 1491-1497 Comi G et al. 2001 Lancet. 357: 1576-1582
  • 23.
    The New Dawn: monoclonals Alemtuzumab  Natalizumab  Daclizumab  Ocrelizumab  Rituximab
  • 26.
    Immune attack onthe central nervous system and the mechanism of action of anti-VLA4 and anti-CD52. Gold R , Hohlfeld R Pract Neurol 2006;6:248-251 ©2006 by BMJ Publishing Grop Ltd
  • 27.
    Natalizumab/Tysabri  Monthly IVI  £13K  ‘twice’ as effective injectable DMT  Reserved for ‘HARRMS’ (NICE)  I.e. 2+attacks in 1 yr with active MRI (significant increase in lesions or Gd+)  25+ UHW.  PML......
  • 28.
    MOA of Natalizumab 1. Leukocyte migration from blood to tissue 2. Leukocyte priming and activation 3. Modulation of leukocyte apoptosis Cannella B et al. Ann Neurol. 1995;37:424-435. TYSABRI SmPC; Yednock TA et al. Nature. 1992;356:63-66
  • 29.
    TYSABRI Efficacy Summary ITTPopulation 68% reduction in relapse rate vs placebo over 2 years (p < 0.001) 54% reduction in the risk of EDSS progression, sustained for 24 weeks, as assessed over 2 years (p < 0.001) of patients free from all of the following 28% measures of disease activity: relapses, Gd+ lesions, T1 weighted hypointense and T2 weighted hyperintense lesions and disability progression at 2 years 2 TYSABRI SmPC; Polman CH, et al. NEJM 2006; 354(9): 899-910; 2. TY00-004, Data on file. Biogen Idec Ltd
  • 30.
    Annualized Relapse Rate 1.0 0.81 Annualized Relapse Rate (95% CI) 0.9 0.73 0.67 P<0.001 0.8 P<0.001 P<0.001 0.7 0.6 66% 0.5 68% reduction 70% reduction reduction 0.4 0.26 0.3 0.23 0.20 0.2 0.1 0.0 Years 0-2 Year 0-1 Year 1-2 Placebo n=315 Natalizumab n=627 Polman CH, et al. N Engl J Med. 2006;354:899-910; Polman C, et al. Presented at the 57th Annual Meeting of the American Academy of Neurology; April 12, 2005; Miami, FL
  • 32.
    Kaplan–Meier Plots ofthe Time to Sustained Progression of Disability among Patients Receiving Natalizumab, as Compared with Placebo. Polman CH et al. N Engl J Med 2006;354:899-910.
  • 33.
    Another magic bullet? Alemtuzumab  Anti CD52  Cell lysis  Lymphocyte depleter  Annual infusions x2  Cheap.....  .....but withdrawn  autoimmunity
  • 34.
    Haematological Effects of CAMPATH-1H Lymphocytes (x109/l) Lymphocytes (x109/l) 2.5 4 2 Normal 3 Range 1.5 2 1 0.5 1 0 0 0 4 8 12 16 20 24 1 10 100 1000 Time post Campath Infusion (Hours) Days post CAMPATH-1H 95% reduction within 1hr. Unaffected by steroids Moreau, T., A. Coles, et al. (1996). Brain 119 (Pt 1): 225-37
  • 35.
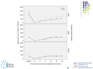
    Lymphocyte recovery afterAlemtuzumab Cossburn et al Neurology 2012(in press)
  • 38.
  • 41.
    Cumulative number ofrelapses over time Risk Reduction 87% 72% P <0.0001 Annualized Relapse Rate (95% C.I.) Interferon-beta 1a Alemtuzumab Low- Alemtuzumab High- 0.35 (0.27, 0.44) Dose Dose 0.11 (0.07, 0.16) 0.05 (0.03, 0.09) Coles et al. AAN 2007.
  • 42.
    Relapse-free 100 Patients without Relapse (%) 95 90 85 80 78% 75 70 65 60 55% Risk Reduction p<0.0001 59% 55 50 0 3 6 9 12 15 18 21 24 Follow-up Month No. of Observations SC IFNB-1a 187 175 156 137 127 118 116 109 101 Anti CD52 mAb 376 366 358 340 321 313 306 299 287 CARE-MS I
  • 43.
    Mean EDSS ScoreOver Time Alemtuzumab v. IFNB1a -0.57 (-0.30, -0.83) -0.72 (-0.46, -0.98) P<0.0001 Error bars = S.E.
  • 44.
    The downside......  30% thyroid  3% ITP  Goodpasture’s  Lymphoma
  • 45.
    Others  Rituximab  Daclizumab  1 small trial  IL2recA chain CD25  Ocrelizumab  ‘ritux-max’ CD20  Phase 2 n=220  6 montly infusion  MRI
  • 46.
  • 47.
    BG12/ Fingolimod Cladribine DMF Laquinimod Teriflunomide “Aubagio” Ponesimod ??
  • 48.
    CLADRIBINE  The ‘winner’ of the race to market  CLARITY NEJM 2010  N=1326  Placebo v high v low dose  0.33 v 0.15 relapse rate  10 tumours (5 fibroids!)  Withdrawn from market worldwide
  • 49.
    Efficacy Outcome MeasuresRelating to Relapse and Progression of Disability during the 96-Week Study Period (Intention-to-Treat Population). Giovannoni G et al. N Engl J Med 2010;362:416-426.
  • 50.
    FINGOLIMOD  S1P receptor modulator  TRANSFORMS v Avonex  FREEDOMS v placebo  EDSS 0-5.5 ARR=1  N=1200 82% completion  -54% RR  MRI and disability  Oral once daily
  • 51.
    FINGOLIMOD  First dose in hospital  Cardiac SEs  First dose brady  1/2 deg HB  Opthalmological - mac oedema  Skin - 11 cancers (4 pl)  £20,000
  • 52.
    Gilenya prevents lymphocyteexit from lymph nodes Gilenya causes:  Internalisation of the S1P1 receptor  Inhibition of lymphocyte exit along the S1P gradient Gilenya induces reversible retention of circulating lymphocytes in lymph nodes, reducing peripheral lymphocyte counts and their recirculation to the CNS CNS, central nervous system; S1P, sphingosine 1-phosphate Model based on Brinkmann V et al. J Biol Chem 2002; Matloubian M et al. Nature 2004; Brinkmann V. Br J Pharmacol 2009
  • 53.
    Annualized Relapse Rateat 12 Months and the Time to the First Relapse. Cohen JA et al. N Engl J Med 2010;362:402-415.
  • 54.
    Fingolimod significantly reducedannualized relapse rates versus IFNβ-1a IM and placebo TRANSFORMS 1-year results11 TRANSFORMS 1-year results FREEDOMS 2-year results22 FREEDOMS 2-year results p < 0.001 for fingolimod versus IFNβ-1a IM p < 0.001 for fingolimod versus placebo 0.4 0.4 0.40 Annualized relapse rate 0.3 Annualized relapse rate 0.33 0.17 or 52% 0.3 0.22 or 54% reduction reduction 0.2 0.2 0.18 0.1 0.16 0.1 0 0 IFNβ-1a IM Fingolimod 0.5 mg Placebo Fingolimod 0.5 mg (n = 431) (n = 429) (n = 418) (n = 425) Annualized Relapse Rate estimate and p value are calculated using negative binomial regression model adjusted for treatment group, country, number of relapses in previous 2 years and baseline EDSS score. EDSS, Expanded Disability Status Scale; IM, intramuscular 1. Table 2 page 8 FDA Advisory Committee presentation (10 June 2010). 2. Cohen JA et al. N Engl J Med 2010;362:402–15. Data refers to study group broader than the CHMP licensed indication. Fingolimod is indicated in patients with highly active and rapidly evolving severe RRMS. A consistent treatment effect was demonstrated in the licensed highly active subgroups.”
  • 55.
    TERIFLUNOMIDE  Selective and reversible inhibitior DHODH dihydro-orotate dehydrogensae  Mitoch enzyme  Inhibits proliferation B/T cells  Approved FDA 2012  2 phase 3 trials  TEMSO  N=1088  ARR 31%  SAD 30% (27-31%)
  • 56.
    Annualized Relapse Rateand Sustained Disability Progression. TEMSO O'Connor P et al. N Engl J Med 2011;365:1293-1303.
  • 57.
    TOWER  2nd phase 3 trial terif  Alopecia 13%  1+relapse 1yr 2+ 2yrs  TENERE: no superiority Rebif  48wks n=1169  TOPIC - CIS  70% completed study  ARR -22.3% -36.3%  Effective, well tolerated,  Free relapses 55.4% v more long term safety data 37.7% needed  SAD 22/21% v 15.8%  2M pt-yrs in RA
  • 60.
    BG12  Anti inflamm antioxidative stress  ?cytoprotective  DEFINE v pl /CONFIRM v pl v GLA  Fox NEJM 2012  50% RR  SAD 33%  Decreased brain atrophy
  • 61.
     BG-12/DMF  Riskrelapse 2yrs 43%  New/enlarging T2 75%  N=2307 120 v 240 v pl v GLA (n=360)  At least 1 relapse 12m  -83% Gd+  Flushing/GI SEs
  • 62.
    Clinical Outcomes at2 Years in the Intention-to- Treat Population. Fox RJ et al. N Engl J Med 2012;367:1087-1097.
  • 63.
    LAQUNIMOD  ALLEGRO 23% RR 36% SAD  BRAVO  More pronounced effect on disability than RR??
  • 64.
    Clinical Outcomes andMRI Measures of Efficacy According to Study Group. ALLEGRO Comi G et al. N Engl J Med 2012;366:1000-1009.
  • 68.
    Treatment Map CIS RRMS HARRMS NEW ABCR ORALS NAT Monoclonals FING ALEM
  • 69.
    Acknowledgements  Slideshare -Prof G Giovannoni  Helen Durham Centre:  Dr Katharine Harding  Dr Mark Cossburn  Prof Neil Robertson  Dr Sebastian Luppe  Dr Claire Hurst

Editor's Notes

  • #6 The current theoretical model regarding effects of treatment postulates that the early intervention at the time of diagnosis is likely to result in slower accumulation of disability, compared to disability accumulation in patients who receive treatment later in the course of disease or in patients who do not receive treatment at all.
  • #8 Patients with a sustained (6   months) Expanded Disability Status Scale increase during the first 3   years of treatment. In the Forest plot, each trial is represented by a square, with the centre denoting the RR for that trial and the extremities of the horizontal bars denoting 95% CI. Square size is directly proportional to the weight of the trial within the group of trials. The diamond gives the overall RR for all trials: its centre denotes the RR and extremities the 95% CI. Trials are ordered chronologically. Risk ratios were estimated by the Mantel–Haenszel approach using a random effects model. *Data extracted from Kappos 2001.23 n=number of patients with outcome; N=number of randomised patients.
  • #17 References: 1. Jacobs LD, Cookfair DL, Rudick RA, et al. Intramuscular interferon beta-1a for disease progression in relapsing multiple sclerosis. The Multiple Sclerosis Collaborative Research Group (MSCRG). Ann Neurol 1996;39:285–94. (reprint available)
  • #27 Immune attack on the central nervous system and the mechanism of action of anti-VLA4 and anti-CD52. Effector T cells (Teff) are activated in the peripheral immune system via antigen presenting cells (APC). In healthy subjects these Teff are controlled by regulatory T cells (Treg). The superagonistic anti-CD28 antibody directly stimulates polyclonal Treg cells to exert immune control via cell mediated or humoral mechanisms. Probably these Treg also control autoimmune mechanisms in the central nervous system (CNS) at several levels: both T helper cells (TH1) and macrophages (M) receive regulatory signals. Via CD52 signalling, (activated) Teff cells receive pro-apoptotic signals and disintegrate with the typical morphology of apoptosis. When Teff escape immune regulation, they are able to traverse the blood brain barrier (BBB). This is a multistep process that requires cell adhesion; anti-VLA4 controls the critical step and greatly reduces cellular diapedesis.
  • #29 von Andrian UH, Engelhardt B.  4 integrins as therapeutic targets in autoimmune disease. N Engl J Med. 2003;348:68-72. TYSABRI (natalizumab) Prescribing Information, 2004. Yednock TA, Cannon C, Fritz LC, Sanchez-Madrid F, Steinman L, Karin N. Prevention of experimental autoimmune encephalomyelitis by antibodies against  4 ß1 integrin. Nature . 1992;356:63-66.
  • #33 Figure 2. Kaplan–Meier Plots of the Time to Sustained Progression of Disability among Patients Receiving Natalizumab, as Compared with Placebo. Natalizumab reduced the risk of sustained progression of disability by 42 percent over two years (hazard ratio, 0.58; 95 percent confidence interval, 0.43 to 0.77). The cumulative probability of progression was 17 percent in the natalizumab group and 29 percent in the placebo group.
  • #35 The acute haematological effects of C1H infusion of C1H over 4 hours reduction inlymphocytes is rapid neutrophils go up effect of steroids
  • #43 Alemtuzumab reduced the relapse rate by 55%, meeting one of the co-primary endpoints.
  • #50 Figure 1. Efficacy Outcome Measures Relating to Relapse and Progression of Disability during the 96-Week Study Period (Intention-to-Treat Population). Shown are the annualized rates of relapse (Panel A), Kaplan–Meier curves of the time to the first relapse (Panel B), the cumulative number of relapses over time (Panel C), and Kaplan–Meier curves of the time to 3-month sustained progression of disability, according to scores on the Expanded Disability Status Scale (EDSS) (Panel D). In Panel A, the T bars represent 95% confidence intervals. P values that are shown in Panels B and D are for hazard ratios and 95% confidence intervals during the 96-week period, as estimated with the use of a Cox proportional-hazards model with fixed effects for study group and region.
  • #53 Downregulation of S1P receptors is an aspect of the normal immune process which is why the effects of Gilenya preserve normal lymphocyte function 1 Gilenya restricts immune cell entry into the CNS by retaining T and B lymphocytes in secondary lymphoid tissues 2 The majority of circulating lymphocytes are thus retained in lymph nodes, reducing peripheral lymphocyte counts and the recirculation of lymphocytes to the CNS 1. Chun J and Hartung HP. Clin Neuropharmacol 2010 2. Kappos L, Antel J, Comi G, et al. Oral fingolimod (FTY720) for relapsing multiple sclerosis. N Engl J Med. 2006;355:1124-1140.
  • #54 Figure 2. Annualized Relapse Rate at 12 Months and the Time to the First Relapse. Panel A shows the annualized rate of relapse from baseline to 12 months, with adjustment for study group, country, number of relapses in the previous 2 years, and baseline disability score. Panel B shows Kaplan–Meier estimates of the time to the first relapse, indicating the proportion of relapse-free patients (P&lt;0.001 for both comparisons with interferon).
  • #57 Figure 2. Annualized Relapse Rate and Sustained Disability Progression. The adjusted annualized relapse rate (Panel A) was derived from an analysis of the number of relapses with the use of a Poisson regression model adjusted for treatment and score on the Expanded Disability Status Scale at baseline and geographic region, with the log of time during treatment serving as an offset variable. The relative reductions versus placebo were calculated according to numbers before rounding. I bars represent 95% confidence intervals. Panel B shows progression of disability that was sustained for at least 12 weeks.
  • #63 Figure 1. Clinical Outcomes at 2 Years in the Intention-to-Treat Population. Annualized relapse rates (Panel A) were calculated with the use of a negative binomial regression model, with adjustment for baseline score (less than or equal to 2.0 vs. &gt;2.0) on the Expanded Disability Status Scale (EDDS, which ranges from 0 to 10, with higher scores indicating a greater degree of disability), baseline age (&lt;40 years vs. greater than or equal to 40 years), region (regions were defined on the basis of not only geography but also the type of health care system and access to health care in each country), and number of relapses in the 12 months before study entry. Relapses were confirmed by an independent neurologic evaluation committee. The I bars indicate 95% confidence intervals. Hazard ratios for time to disability progression (Panel B) were calculated with the use of a Cox proportional-hazards model, with adjustment for baseline EDSS score, baseline age (&lt;40 years vs. greater than or equal to 40 years), and region. The estimated proportions of patients with disability progression at 2 years are Kaplan–Meier estimates.
  • #65 Figure 1. Clinical Outcomes and MRI Measures of Efficacy According to Study Group. Panel A shows the number of confirmed relapses. Panel B shows the Kaplan–Meier plot for the risk of disability progression that was confirmed after 3 months, as measured by scores on the Expanded Disability Status Scale. Panel C shows the adjusted mean number of gadolinium-enhancing lesions at baseline, at 12 months, and at 24 months and the cumulative number at 24 months. T bars indicate standard errors.