Courses In
                    Electrical
                   Engineering

                                      Volume II

         ELECTRICAL, DIGITAL AND INDUSTRIAL CIRCUITS

                   EXAM QUESTIONS WITH SOLUTIONS
                                   (2012 academic year)


                                           By

                                  Jean-Paul NGOUNE

                  DIPET I (Electrotechnics), DIPET II (Electrotechnics)
                               M.Sc. (Electrical Engineering)
             Teacher in the Electrical Department, GTHS KUMBO, Cameroon.




Exam questions with solutions_2012_Jean-Paul NGOUNE                        1
Foreword


This is a compilation of some exam questions that I gave to my students during this
academic year. They are accompanied by solutions proposed by me. I will be delight
if this book can be of any use for you. I will also be very happy to receive any critic or
suggestion from you. I dedicate this book to my students of Class 6, Electrical
Technology, GTHS Kumbo, 2012 batch. They are a bit stubborn, but I like to teach
them. May you be blessed as you are using this book.


NGOUNE Jean-Paul.
17 May 2012.




Exam questions with solutions_2012_Jean-Paul NGOUNE                                     2
Acknowledgement


Most of the questions treated in this book are “Probatoire Technique” past questions
proposed by the Cameroon General Certificate of Education Board (GCEB) and the
“Office du Baccalaureat du Cameroun” (OBC).




Exam questions with solutions_2012_Jean-Paul NGOUNE                               3
Contents




Item                                                  Page

Foreword                                              2

Acknowledgment                                        3

Contents                                              4

First sequence exam with solution                     5

Second sequence exam with solution                    13

Third sequence exam with solution                     30

About the author                                      46




Exam questions with solutions_2012_Jean-Paul NGOUNE          4
Courses In
                    Electrical
                   Engineering

                                      Volume II

                            DIGITAL ELECTRONICS

                FIRST SEQUENCE EXAM WITH SOLUTION



                                           By

                                  Jean-Paul NGOUNE

                  DIPET I (Electrotechnics), DIPET II (Electrotechnics)
                               M.Sc. (Electrical Engineering)
             Teacher in the Electrical Department, GTHS KUMBO, Cameroon.




Exam questions with solutions_2012_Jean-Paul NGOUNE                        5
REPUBLIC OF CAMEROON                                              FIRST SEQUENCE EXAM
Peace – Work – Fatherland
                                                                  Class: F36
       ……………
GTHS KUMBO/ ELECT DPT                                             Option: Electrotechnology
                                                                  Duration: 2H30
                                                                  Coefficient: 4
                                   DIGITAL CIRCUITS
                        No document is allowed except the one given to
                        the candidates by the examiners


    I       TECHNOLOGY
    1.1 Give the meaning of the following abbreviations: TTL, CMOS, SSI, LSI,VLSI.
    1.2 Give the rated voltage used to supply TTL integrated circuits.
    1.3 Give the rated voltage used to supply CMOS integrated circuits.
    1.4 Give the difference between digital representation and analogue representation.
    1.5 Give two examples of digital apparatus and two examples of analogue apparatus.
    1.6 Define the following notions used in the field of integrated circuits:
         a. Noise immunity;
         b. Celerity;
         c. Integration scale.


    II      DIGITAL CIRCUITS


    Exercise 1: Numeration systems and codes.
    The information stored in a register of a ROM is given as follows: X = F8DA.
         1. What is the meaning of ROM?
         2. What is the numeration system used to codify that information?
         3. Convert X into binary.
         4. Convert X into octal.
         5. Convert X into decimal.
         6. X is made up of how many bits?
         7. Knowing that one byte = 8 bits, Give the length of the memory word X in terms
            of bytes.




    Exam questions with solutions_2012_Jean-Paul NGOUNE                                   6
Exercise 2: Logic gates.
The following figure is a digital circuit having four inputs A, B, C, D and one output X.


A




                                                                 X



B
C
D
    1. Determine the expression of the output X.
    2. Draw the truth table of the digital circuit.
    3. Draw the logic circuit above using exclusively 2 input AND gates, 2 input OR
       gates and 2 input NAND gates.
    4. Knowing that the IC 4081 is a quad 2-input AND gate, the IC 4011 is a quad 2-
       input NAND gate and the IC 4071 is a quad 2-input OR gate, determine the
       number of IC 4081,IC 4011 and IC 4071 that should be used to realise the
       digital circuit above.


Exercise 3: Realisation of gate circuits.
Realise the logic circuit corresponding to each of the following expressions:
        X   A.B(C    D)

       Y     A B CD E           BC D

       Z     A B     PQ    CD




                                                      Proposed by Mr. NGOUNE Jean-Paul,
                                                      PLET Electrotechnics, GTHS KUMBO.


Exam questions with solutions_2012_Jean-Paul NGOUNE                                     7
PROPOSITION OF SOLUTION


I      TECHNOLOGY
1.1 Meaning of the abbreviations:
TTL: Transistor Transistor Logic.
CMOS: Complementary Metal Oxide Semiconductor.
SSI: Small Scale Integration.
LSI: Large Scale Integration.
VLSI: Very Large Scale Integration.
MSI: Medium Scale Integration.


1.2 Rated voltage for the supply of TTL integrated circuit: 5V+/-0.25V.
1.3 Rated voltage used for the supply of CMOS IC: 5V, 15V, 18V.
1.4 Difference between analogue representation and digital representation:
            Analogue representation          Digital representation
            Infinitely divisible             Discrete (Step by step)
            Prone to errors of precision     Absolute precision


1.5 Examples of digital apparatus: electronic watch, computer, mobile phone, digital
camera…
    Examples of analogue apparatus: radio, oscilloscope, some model of TV,
analogue multimeter.
1.6 Definitions:
Noise immunity: It is the ability of an integrated circuit not to be disturbed in his
functioning by an external signal (electromagnetic signal). A noise can be defined as
a signal that disturbs the useful signal of being well treated by an electronic device.


Celerity: It is the speed at which electrical information are being treated by an
integrated circuit.
Integration scale: it is a range that informs on the amount of transistors used in the
manufacture of an integrated circuit. There are many integration scales (SSI, MSI,
LSI, VLSI, ULSI).



Exam questions with solutions_2012_Jean-Paul NGOUNE                                       8
II      DIGITAL CIRCUITS


Exercise 1: Numeration systems and codes.
The information stored in a ROM is given as follows: X = F8DA.
     1. ROM stands for Read Only Memory. It is a type of memory in which data,
        once they are written, can only be read.
     2. The numeration system used to codify that information is the hexadecimal
        numeration system.
     3. Conversion of X into binary: X = 1111100011011010 2.
     4. Conversion of X into octal: X = 1743328.
     5. Conversion of X into decimal: X = 6370610.
     6. X is made up of 16 bits.
     7. X = 2Bytes.


Exercise 2: Logic gates.
Let us consider the following digital circuit:
A




                                                          X



B
C
D
     1. Expression of the output X:
X     AC    AC B    B C      D


     2. Truth table of the digital circuit:




Exam questions with solutions_2012_Jean-Paul NGOUNE                            9
A        B          C     D        X
                            0        0          0     0        0
                            0        0          0     1        1
                            0        0          1     0        1
                            0        0          1     1        1
                            0        1          0     0        1
                            0        1          0     1        1
                            0        1          1     0        1
                            0        1          1     1        1
                            1        0          0     0        0
                            1        0          0     1        1
                            1        0          1     0        1
                            1        0          1     1        1
                            1        1          0     0        1
                            1        1          0     1        1
                            1        1          1     0        1
                            1        1          1     1        1


   3. Let us draw the circuit using exclusively: 2 input AND gates, 2 input OR gates
       and 2 input NAND gates:
Using gate universality principle, we can convert the logic gates used in the designing
of the logic circuit into those required.
                      A         /A    =     A             /A




                                            A
                 A
                 B                    =     B
                 C                                                 A+B+C
                                            C




                                            A
                 A
                 B                    =     B
                 C                                                 ABC
                                            C




Exam questions with solutions_2012_Jean-Paul NGOUNE                                 10
Then the logic circuit can be redrawn as follows:

A




                                                                                      X

B

C

D



    4. Number of integrated circuit of each type to be used:
       Number of AND gates in the circuit: 3; therefore 1 IC 4081is sufficient (one IC
        contains 4 gates).
       Number of NAND gates in the circuit: 2; therefore 1 IC 4011 is sufficient (one
        IC contains 4 gates).
       Number of OR gates in the circuit: 4; therefore 1 IC 4071 is sufficient (one IC
        contains 4 gates).
So, with 1 IC 4081, 1 IC 4011 and 1 IC 4070 the logic circuit can be designed.


Exercise 3: Realisation of gate circuits:
Let us realise the logic circuits corresponding to each of the following equations:
        X   A.B(C   D)
        Y    A B CD E         BC D

        Z    A B    PQ       CD




Exam questions with solutions_2012_Jean-Paul NGOUNE                                   11
A B C D




                                                      X




A B C D E




                                                          Y




A B C D P Q




                                                          Z




Exam questions with solutions_2012_Jean-Paul NGOUNE       12
Courses In
                    Electrical
                   Engineering

                                      Volume II

         ELECTRICAL, DIGITAL AND INDUSTRIAL CIRCUITS

              SECOND SEQUENCE EXAM WITH SOLUTION



                                           By

                                  Jean-Paul NGOUNE

                  DIPET I (Electrotechnics), DIPET II (Electrotechnics)
                               M.Sc. (Electrical Engineering)
             Teacher in the Electrical Department, GTHS KUMBO, Cameroon.




Exam questions with solutions_2012_Jean-Paul NGOUNE                        13
REPUBLIC OF CAMEROON                                                     SECOND SEQUENCE EXAM
Peace – Work – Fatherland
                                                                         Class: F36
       ……………
GTHS KUMBO/ ELECT DPT                                                    Option: Electrotechnology
                                                                         Duration: 04H
                                                                         Coefficient: 4
                                                                         Written paper

                  ELECTRICAL, DIGITAL AND INDUSTRIAL CIRCUITS

                        No document is allowed except the one given to
                              the candidates by the examiners.

    SECTION ONE : TECHNOLOGY
    1.1 Give the value of a resistance having the following colour code: red-orange-
       yellow-gold.
    1.2 Give the meaning of the following abbreviations: TTL, CMOS, JFET, LSI, USB,
       and EPROM.
    1.3 Give two protective means against overheat of semiconductors.
    1.4 Name the parameters that characterize the operating point of a bipolar transistor.
    1.5 Give two parameters that determine the choice of a Zener diode.
    1.6 Define the following terms used in the field of integrated circuits: a) Noise
       immunity, b) Celerity, c) Integration scale.
    1.7 Give the difference between a diode and a thyristor.
    1.8 Give the symbol and one application area of each of the following electronic
       components: a) Transistor, b) Junction diode, c) Zener diode.
    1.9 Describe the functioning principle of a thyristor.


    SECTION TWO: ANALOG CIRCUITS
    Exercise 1: Alternating current (1).
    The circuit of figure 1 bellow is supplied by an ac voltage u.
       i     R1

                                         R1 = 220Ω ; R2 = 1kΩ ; C = 4.5µF ; f = 50Hz
      u(t)                    u'(t)         u (t )   120 2 sin 100 t .
                   R2
                          C
                                         1. Determine the total impedance of the circuit.


                                  Figure1



    Exam questions with solutions_2012_Jean-Paul NGOUNE                                         14
2. Show that the expression of the current i flowing in the circuit is given by
        i     I 2 sin 100                  and determine the value of I and        .
   3. Show                that       the   expression     of     the   voltage      u’(t)   is   given    by
        u ' (t )        U ' 2 sin 100 t         and determine the value of U’.
Exercise 2: Alternating current (2)
The circuit of figure 2 bellow is connected to a voltage v(t )                   220 2 sin 100 t volts.

                             i1            R1                          L


    i
                             i2            C                               R2


                                                       Figure2
Given thatR1 = 100Ω; R2 = 150Ω; L = 0.24 H and C = 16µF.
   1. Determine the following complex impedances:
   a. Z1 for the branch (R1 + L)
   b. Z2 for the branch (C + R2)
   2. Calculate the complex values of i1, i2 and i.
   3. Draw the phasor diagram of the currenti1, i2 and i.
Exercise 3: DC circuit
Consider the following circuit in figure 3.
                        A        K

                                                    E1 = 12V, E2 = 6V, Ro= 20Ω, R1 = 10Ω, R2 = 4Ω
                                                    and R = 5Ω.
                                                       1. Determine the characteristics of the Norton
                   R1                E2                   equivalent generator seen from terminals A
  RO                                            R
                                                          and B when K is opened.
                                 R2
                    E1                                 2. Deduce           the   corresponding     Thevenin,s
                                                          equivalent model.
                                                       3. Calculate the value of current I in the load R
                                                          and the voltage drop across it when K is
                        B
                                                          closed.
                   Figure3




Exam questions with solutions_2012_Jean-Paul NGOUNE                                                       15
Exercise 4: Bipolar transistor
The two transistors of figure 4 bellow are in silicon such that V BE1 = VBE2 = 0.7V,
β1=100, β2=200. The operating point is such that UEM = 5V for UAM = 20V.R1=1kΩ,
R2=1kΩ, R3=10kΩ
                                           A
                                                    1. Calculate     the    current   i1    flowing
                                                         through the resistance R1.

                                   R3
                                                    2. Determine the voltage across the
                                   10k
                                            UAM
              T1                                         resistance R3 and the current I3
               B1                                        flowing through this resistance.
                                                    3. Neglecting IB2 with respect to I1,
                                                         calculate the base current IB1of the
                    R         B2   T2

        E                                                transistor T1.
UEM
                                                    4. Calculate IC2, hence, deduce IB2
         R1
         1k
                                   R2                    and verify that IB2 is negligible with
                                   1k

                                                         respect to I1
                                                    5. Calculate the voltage across R and
                                           M             the   current     crossing   it.   Hence,
                        Figure4
                                                         determine the resistance R.


SECTION THREE: DIGITAL CIRCUITS
Exercise 5: Multiplicator circuit.


The figure 5 below shows the block diagram of an electronic circuit which accepts
two binary numbers of two bits X1X0 and Y1Y0, and gives at the output the binary
number Z3Z2Z1Z0 which is equal to the arithmetic product of the two input numbers.
For the inputs, X0 and Y0 are the least significant bits (LSB) while for the outputs, Z3
is the most significant bit (MSB).


                         X1                                          Z3

                         X0              Multiplicator               Z2
                                           circuit
                                                                     Z1
                         Y1
                                                                     Z0
                         Y0                                                   Figure5




Exam questions with solutions_2012_Jean-Paul NGOUNE                                          16
1. What do you understand by the statements “Least significant bit” and “Most
        significant bit”?
   2. Establish the truth table of the system.
   3. Write the expression of each output Z3, Z2, Z1 and Z0 as function of X1, X0
        Y1 andY0.
   4. With the aid of Karnaugh map, simplify the output equations obtained above.
   5. Draw the logic diagram of the electronic multiplicator circuit using the simplified
        output equations.

Exercise 6: Parity detector
We desire to realize a 3-bit parity detector of bits B1, B2 and B3. The operation is as
follows:
   -   If 0 or 2 bits are at high logic level, the output is at the high level.
   -   If 1 or 3 bits are at high logic, the output is at the low level.
   1. Draw the corresponding truth table.
   2. Give the expression of the output S in terms of B1, B2 and B3.
   3. Write the expression of S using the operator exclusive OR only.
   4. Draw the logic diagram of S.


Exercise 7: Numeration system
Let us consider the following numbers:
A = 1101011012        B=6248        C=1A716
   1. Convert A into octal and hexadecimal.
   2. Convert B and C into binary.
   3. Calculate:
X(2)=A(2)+ B(2);             Y(16)=A(16)+ C(16)            W(8)=A(8 ) – B(8)




                                              SUBJECT MASTER: NGOUNE Jean-Paul,
                                                   PLET Electrotechnics, GTHS KUMBO.




Exam questions with solutions_2012_Jean-Paul NGOUNE                                   17
PROPOSITION OF SOLUTION


SECTION ONE: TECHNOLOGY
1.1 Value of a resistor having the following colour code: Red – Orange – Yellow –
    Gold. R = 23 x 104Ω+/- 5% = 230kΩ
1.2 Meaning of the abbreviations:
      TTL = Transistor Transistor Logic;
      CMOS = Complementary Metal Oxide Semiconductor;
      JFET = Junction Field Effect Transistor;
      LSI = Large Scale Integration;
      USB = Universal Serial Bus;
      EPROM = Erasable Programmable Read Only Memory.
1.3 Two protective means against overheat of semiconductors:
      Use of heat sink (radiator)
      Use of fan (ventilation)
1.4 Parameters characterising the operating point of a bipolar junction transistor:
      IBQ = Base current at the quiescent point;
      VBEQ = VBE at the quiescent point;
      ICQ = Collector current at the quiescent point;
      VCEQ = VCE at the quiescent point.
1.5 Parameters of choice of a Zener diode:
      Zener voltage;
      Reverse current;
                      VZ
      Coefficient       .
                      IZ
1.6 Definition of terms:
      Noise immunity: Degree of protection of an IC against noise. A noise is an
       undesirable signal that disturbs the functioning of an IC.
      Celerity: Speed of propagation of signal through a circuit. Speed at which an
       electronic circuit treats information.
      Integration scale: Number of components (transistors) integrated per surface
       unit of a chip. There are many integration scales: SSI, MSI, LSI, VLSI, VLSI.




Exam questions with solutions_2012_Jean-Paul NGOUNE                                    18
1.7 Difference between diode an thyristor: A diode is a non controlled unidirectional
         rectifier component, a thyristor is a controlled unidirectional rectifier component.
1.8 Symbol an application of electronic components:
                           Component            Symbol        Application area
                              Bipolar                        Amplifier, Chopper
                           transistor

                            Junction                            Rectification
                              diode                            (Non controlled)

                              Zener
                              diode                              Stabilisation



1.9 Functioning principle of a thyristor: When a positive voltage is applied across a
         thyristor (VAK > 0), a sufficient gate current (IG > Igm) permits to trigger it on. The
         current keeps on passing through it even if the gate current is removed
         (hysteresis effect). To trigger off a thyristor, a negative voltage should be applied
         across it.


SECTION TWO: ANALOGUE CIRCUITS


Exercise 1: Alternating current (1)
Let us consider the following circuit:
     i     R1




 u(t)                             u'(t)      R1 = 220Ω ; R2 = 1kΩ ; C = 4.5µF
                 R2
                              C              f = 50Hz
                                             u (t ) 120 2 sin 100 t



1. Total impedance of the circuit:
ZT        R1    R2 Z C ;

                        1                     1
With Z C          j                 j                    j 707.714 .
                      C 2 f             4.5 10 6 314
Hence,


Exam questions with solutions_2012_Jean-Paul NGOUNE                                          19
R2 Z C               1000          j 707.714                707714        90
ZT         R1                 220                                    220
                 R2 Z C                1000       j 707.714                1225.095       35.28
ZT         220     577.68          54.72       553.65     j 471.58
ZT          727.26         40.42
      2. Let us show that the expression of the current i flowing in the circuit is given
            by: i (t )     I 2 sin 100 t           .
       U             120 0
I                                            0.165 40.42          0.165 2 sin 100 t      40.42
       ZT        727.26  40.42
With I = 0.165 A and                   40.42 .

      3. Let us show that the voltage u’(t) is given by u ' (t )                    U ' 2 sin 100 t   .
The circuit can be redrawn as follows:
                                                           R1

                                      u(t)                                      u'(t)
                                                                           Z0




With Z 0          R2 Z C     577.68        54.72

           U
U'               Z 0 (Voltage divider).
           ZT
               120 0
U'                                   577.68       54.72         95.318     14.30
           727.26  40.42
u ' (t )    95.318 2 sin 100 t 14.30
Where U’ = 95.318V and                          14.30 .


Exercise 2: Alternating current (2)
Let us consider the following circuit:

                             i1            R1                              L


       i
                             i2            C                                   R2




Exam questions with solutions_2012_Jean-Paul NGOUNE                                                       20
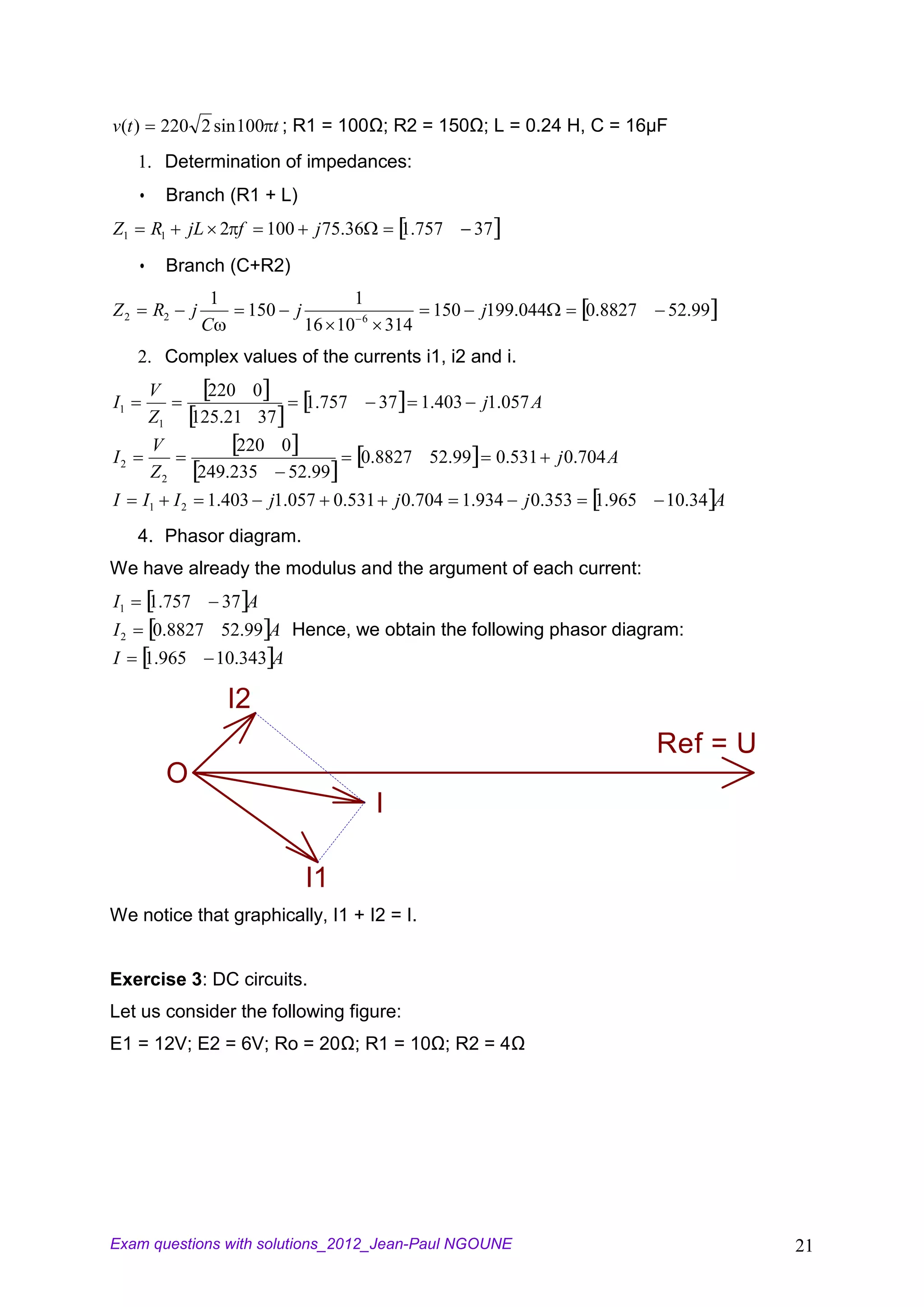
v(t )        220 2 sin 100 t ; R1 = 100Ω; R2 = 150Ω; L = 0.24 H, C = 16µF
     1. Determination of impedances:
             Branch (R1 + L)
Z1       R1        jL 2 f          100        j 75.36        1.757     37
             Branch (C+R2)
                        1                         1
Z2       R2        j          150        j                      150    j199.044          0.8827   52.99
                       C                     16 10 6 314
     2. Complex values of the currents i1, i2 and i.
         V           220 0
I1                                           1.757      37     1.403   j1.057 A
         Z1        125.21 37
         V                  220 0
I2                                                   0.8827 52.99           0.531   j 0.704 A
         Z2            249.235   52.99
I       I1    I2        1.403      j1.057 0.531             j 0.704 1.934      j 0.353    1.965   10.34 A
     4. Phasor diagram.
We have already the modulus and the argument of each current:
I1       1.757              37 A
I2       0.8827 52.99 A Hence, we obtain the following phasor diagram:
I       1.965            10.343 A

                            I2
                                                                                                  Ref = U
              O
                                                        I

                                             I1
We notice that graphically, I1 + I2 = I.


Exercise 3: DC circuits.
Let us consider the following figure:
E1 = 12V; E2 = 6V; Ro = 20Ω; R1 = 10Ω; R2 = 4Ω




Exam questions with solutions_2012_Jean-Paul NGOUNE                                                         21
A        K




                                               R1                E2
                                  RO                                            R

                                                             R2
                                                E1




                                                    B
     1. Norton equivalent generator seen from terminals A and B when K is open:
The circuit obtained when K is open can be redrawn as follows:
                                                                            A




                                                     R1
                                                                       E2
                                     R0


                                                                      R2
                                                        E1




                                                                            B



RN     R0 R1 R2
1      1    1     1     1     1      1    8
RN     R1   R2    R0   10     4      20   20
      20
RN       2 .5
       8
      E1 E2 12         6
IN                          2 .7 A
      R1 R2 10         4
     2. Thevenin’s equivalent model:
                                                                                    RTH
                                               A                                          A

                                  RN
            In                                                              Eth


                                               B                                          B


Exam questions with solutions_2012_Jean-Paul NGOUNE                                           22
ETH     RN I N     2.5 2.7        6.75V
     RN      RTH      2.5
     3. Value of the current flowing in the resistor R when K is closed:
Using the Thevenin’s model obtained above, we have:

                                                      R TH              A


                                                                            R
                                               E th



                                                                        B
       ETH            6.75
I                                 0 .9 A
     RTH     R       2 .5 5
VR    R I          5 0 .9     4.5V


Exercise 4: Bipolar transistor.
Let us consider the following figure:
                                                                            A


                                                                  R3        UAM
                                                                  10k
                                                T1

                                                 B1




                                                      R      B2   T2

                                           E
                               UEM
                                           R1
                                           1k
                                                                  R2
                                                                  1k




                                                                            M

VBE1 = VBE2 = 0.7V; β1 = 100; β2 = 200. At the operating point, UEM = 5V; UAM = 20V.
R1 = 1kΩ; R2 = 1kΩ; R3 = 10kΩ.
1. Current I1 flowing in R1.
      U EM         5
I1                          5mA
       R1        1000


Exam questions with solutions_2012_Jean-Paul NGOUNE                                23
2. Voltage across R3 and current through it.
U EM         VBE1            R3 I 3 U AM                0
       R3 I 3         U AM       U EM               VBE1         20    5 0.7       14.3V
           14.3          14.3
I3                                        1.43mA
            R3          10000


3. IB2<< I1; calculation of IB1.
                       I1      I E1             1       1 I B1
IB2<< I1                               I1               5 10 3
                       I B1                                    49.504 A
                                      1     1            101


4. Determination of IC2.
                                                    6                        6
IC 2        I3        I B1     1.43 10                      49.504 10            1.3804mA
                                                    3
             IC 2       1.3804 10
I B2                                                        6.902 A
                  2         200

 I1            5 10 3
                                 6
                                            724.42 , so IB2 is negligible with respect to I1.
I B2         6.902 10


       5. Voltage across R and value of R.
U EM         VR VBE 2                R2 I E 2 ; But I E 2             IC 2
                                                                                            3
VR         U EM         VBE 2         R2 I E 2          5 0.7 1000 1.3804 10                    2.9196V
           VR             2.9196
R                                           6
                                                        0.403M
           I B2        6.902 10


SECTION THREE: DIGITAL CIRCUITS
Exercise 5: Multiplicator circuit.
       1.
             The least significant bit (LSB) of a binary number is the less weighted bit of
              that number (situated at the extreme right of the number).
             The most significant bit of a binary number is the most weighted bit of that
              binary number (situated at the extreme left of the number).


       2. Truth table of the system.



Exam questions with solutions_2012_Jean-Paul NGOUNE                                                       24
X1          X0         Y1         Y0            Z3        Z2        Z1        Z0
                     0            0         0          0            0          0         0        0
                     0            0         0          1            0          0         0        0
                     0            0         1          0            0          0         0        0
                     0            0         1          1            0          0         0        0
                     0            1         0          0            0          0         0        0
                     0            1         0          1            0          0         0        1
                     0            1         1          0            0          0         1        0
                     0            1         1          1            0          0         1        1
                     1            0         0          0            0          0         0        0
                     1            0         0          1            0          0         1        0
                     1            0         1          0            0          1         0        0
                     1            0         1          1            0          1         1        0
                     1            1         0          0            0          0         0        0
                     1            1         0          1            0          0         1        1
                     1            1         1          0            0          1         1        0
                     1            1         1          1            1          0         0        1


     3. Expression of each output in function of X1, X0, Y1, Y0.
Z3    X 1 X 0Y1Y0
Z2    X 1 X 0Y Y0        X 1 X 0Y1Y0   X 1 X 0Y1Y0
Z1    X 1 X 0Y1Y0        X 1 X 0Y1Y0   X 1 X 0 Y1Y0   X 1 X 0Y1Y0    X 1 X 0 Y1Y0   X 1 X 0Y1Y0
Z0    X 1 X 0 Y1Y0       X 1 X 0Y1Y0   X 1 X 0 Y1Y0   X 1 X 0Y1Y0
     4. Simplification of equations using K-maps.
Z3 is unchanged:
Z3    X 1 X 0Y1Y0




Exam questions with solutions_2012_Jean-Paul NGOUNE                                                    25
Z2
       Y1Y0
X1X0             00       01      11           10
       00
       01
       11                                      1
       10                         1            1


       Z2       X 1Y1Y0   X 1 X 0Y1

 Z1
       Y1Y0
X1X0             00       01      11           10
       00
       01                         1            1
       11                 1                    1
       10                 1       1


       Z1      X 1Y1Y0    X 1 X 0Y0       X 1 X 0Y1   X 0Y1Y0

 Z0
       Y1Y0
X1X0             00       01      11           10
       00
       01                     1       1
       11                     1       1
       10


       Z0       X 0Y0


              6. Logic diagram of the multiplicator circuit:




       Exam questions with solutions_2012_Jean-Paul NGOUNE      26
X1 X0 Y1 Y0




                                                          Z3




                                                                     Z2




                                                          Z0




              X1 X0 Y1 Y0




                                                                          Z1




Exercise 6: Parity detector.
   1. Truth table of the parity detector. Following the description of the functioning of
       the circuit, the following truth table can be drawn:




Exam questions with solutions_2012_Jean-Paul NGOUNE                                   27
B1        B2   B3   S
                                              0         0    0    1
                                              0         0    1    0
                                              0         1    0    0
                                              0         1    1    1
                                              1         0    0    0
                                              1         0    1    1
                                              1         1    0    1
                                              1         1    1    0


    2. Expression of the output S in terms of B1, B2 and B3:
S   B1.B2 .B3         B1B2 B3      B1 B2 B3   B1B2 B3


    3. Expression of S using the operator Exclusive OR only.
From the expression above, we have:
S   B1 B2 .B3         B2 B3     B1 B2 .B3     B2 B3
S   B1 B2        B3        B1 B2     B3
S   B1      B2        B3


    4. Logic diagram of S.

    B1       B2             B3




                                                                  1
                                                                      3
                                                                  2       S




Exam questions with solutions_2012_Jean-Paul NGOUNE                           28
Exercise 7: Numeration system:


A = 1101011012        B=6248         C=1A716
1. Conversion of A into octal and hexadecimal.
A = 655(8); A = 1AD(16).
2. Conversion of B and C into binary.
B = 110010100(2); C = 110100111(2).
3. Calculations.
X(2) = 1101000001(2); Y(16) = 354(16) ; W (8) = 31(8).


                                             END


                                  ACKNOWLEDGEMENT


All the exercises solved in this document are past “Probatoire Technique”
examination questions proposed by the Cameroon General Certificate of Education
Board (CGCEB).




Exam questions with solutions_2012_Jean-Paul NGOUNE                         29
Courses In
                    Electrical
                   Engineering

                                      Volume II

         ELECTRICAL, DIGITAL AND INDUSTRIAL CIRCUITS

               THIRD SEQUENCE EXAM WITH SOLUTION



                                           By

                                  Jean-Paul NGOUNE

                  DIPET I (Electrotechnics), DIPET II (Electrotechnics)
                               M.sc. (Electrical Engineering)
             Teacher in the Electrical Department, GTHS KUMBO, Cameroon.




Exam questions with solutions_2012_Jean-Paul NGOUNE                        30
REPUBLIC OF CAMEROON                                              THIRD SEQUENCE EXAM
Peace – Work – Fatherland
                                                                  Class: F36
       ……………
GTHS KUMBO/ ELECT DPT                                             Option: Electrotechnology
                                                                  Duration: 04H
                                                                  Coefficient: 4
                                                                  Written paper

              ELECTRICAL, DIGITAL AND INDUSTRIAL CIRCUITS

                        No document is allowed except the one given to
                              the candidates by the examiners.

    SECTION ONE : TECHNOLOGY

    1.1 Define: Combinatory logic circuit; sequential logic circuit, decoder, multiplexer,
       flip-flop.
    1.2 Give the meaning of the following abbreviation: PMOS, ECL, USB, ALU, TTL.
    1.3 What are the properties of a linear operational amplifier?
    1.4 What are the modes of functioning of an OPMP?
    1.5 The following symbol is that of the LM741 which is one of the most commonly
       used OPAMP. Give the name of terminals 1, 2, 3,4,5,6 and 7.
                                            7
                                            1




                                       3
                                                          6
                                       2
                                            4
                                            5




    1.6 Consider the following table. Indicate by putting a cross in the appropriate cell,
       the nature of the each component (Active or passive component).
                    Resistor      Transistor     Inductor       Capacitor          Diode
    Active
    component
    Passive
    component


    1.7 What is the difference between a multiplexer and a demultiplexer?
    1.8 Give two protective means against overheat of semiconductors.



    Exam questions with solutions_2012_Jean-Paul NGOUNE                                      31
SECTION TWO: ANALOGUE CIRCUITS
Exercise 1: Alternating current.
Consider the circuit of figure 1 bellow.
               A
                                    e1 = 220V, e2 = j110V, ZL = j103Ω, ZC = -j500Ω,
       L                            Z = 103Ω.
                           C
                                       1. Determine the characteristics of the Norton’s
                 Z
                                           equivalent generator seen from terminals A
                                           and B.
e1                             e2
                                       2. Determine characteristics of the Thevenin’s
               B                           equivalent generator seen from terminals A
           Figure 1.                       and B.
     3. Using Norton’s equivalent generator, determine the complex value of the
        current i flowing in the load Z. Deduce its effective value.
     4. Using Thevenin’s equivalent generator, determine the complex value of the
        current i flowing in the load Z. Deduce its complex value.


Exercise 2: DC current.
The circuit of the figure 2 bellow is a voltage stabilizer.        The voltage U1 varies

                                                I2                 from 10V to 16 V.
                                                                   The Zener diode is ideal
U1                                                            U2
                                           IB                      with PZmax = 15mW;
                        RP
                                                       R
                                           Iz                      Uz = 12V. For the bipolar

                                Uz                                 transistor, take β = 100,
                                                                   VBE = 0.7V. Let
                                                                   R = 300Ω
                          Figure 2.
     1. Determine the maximal current IZmax of the Zener diode.
     2. For U1 = 16V, determine the values of U2 and RP so that the current in the
        diode must be maximal.
     3. Using the value of RP obtained in question 2 above, determine the maximal
        value of U1 for which the Zener diode is blocked (Iz = 0).
     4. Using the value of RP obtained above, determine the current I2 and the
        voltage U2 in the following cases: a) U1 = 10V; b) U1 = 14V.



Exam questions with solutions_2012_Jean-Paul NGOUNE                                     32
Exercise 3: Bipolar transistor amplifier.
Consider the transistor amplifier circuit presented on the figure 3 below.

                                                                                          For the transistor:
                                     R2       RC
                                                                                             = 99; r = 2kΩ           ,
                                                       C2
                                                                                          ICQ = 4.95mA, VBEQ = 0.7V.
                       C1
                                                                         v2               Take: Vcc = 12V,
                                                                                    VCC
             RG
                                                                    RU
                                                                                          R1 = 2kΩ, RC = 2kΩ,
                   v1
                                     R1                                                   RU = 2kΩ,
                                              RE
                                                            CE
e                                                                                         RE = 180Ω

                                              M

     A. Static study:                                              Figure 3.
Determine:
     1. The currents flowing through the base (IB) and the emitter (IE) of the transistor.
     2. The voltage VBM between the base and the ground M.
     3. The current IP flowing in the resistor R1.
     4. The value of the resistance R2.
     B. Dynamic study:
     1. Give the name and the role of capacitors C1, C2 and C3.
     2. Draw a.c. equivalent circuit of the amplifier.
     3. Determine the input resistance and the output resistance of the amplifier.
     4. Calculate the voltage amplification factor.


Exercise 4: Operational amplifier.
The OPAMPs of figure 4 bellow are ideal.
                                                                                   We have R = 10Ω, R1 = 4Ω,
         R                                                       +Vcc
                                                                                   R2 = 20Ω, E =100mV and
    Ve                           1        V                                        Vcc = 12V
                                                                  2
                            R2                                   -Vcc         Vs
                                                                                     1. Give the operating
                  R1                               E
                                                                                          modes of the
                                                                                          OPAMPs 1 and 2.


                             Figure 4.
2. The voltage Ve is a sinusoidal expressed as: Ve                        20 cos100 t (mV).


Exam questions with solutions_2012_Jean-Paul NGOUNE                                                             33
a. Determine the expression of the of the output voltage V of the
               OPAMP1.
          b. Represent in terms of time the voltages Ve and V.
3. Draw the waveform of the voltage Vs at the output of OPAMP2 knowing that E is a
DC source.


SECTION THREE: DIGITAL CIRCUITS.
   1. Solve the following operations using 2’s complement:
   a) 11100002 – 1101112; b) 1001111012 – 110111102; c) 100000002 – 11111112.
   2. The figure 5 bellow represents the circuit of a full adder, where A1 and B1 are
       the in put variables. R1 is the carry while So and Ro are the sum and the
       reminder respectively.
   2.1 Complete the truth table bellow.
 A1       B1      R1      So       Ro
  0       0        0
  0       0        1
  0       1        0                            A1
                                                                                   So
  0       1        1                            B1               Full Adder
                                                                                   Ro
  1       0        0
                                                R1
  1       0        1
  1       1        0                                              Figure 5.

  1       1        1


   2.2 Simplify the expressions of So and Ro using Boolean algebra method.
   2.3 Draw the logigram of this full adder using logic gates.
   3. At the input of a decoder, one can place 64 different combinations. Determine:
   a) The number of ways at the input of this decoder,
   b) The number of ways at the output of this decoder.


                                            SUBJECT MASTER: NGOUNE Jean-Paul,
                                                PLET Electrotechnics, GTHS KUMBO.




Exam questions with solutions_2012_Jean-Paul NGOUNE                               34
ACKNOWLEDGEMENT


All the exercises solved in this document are past “Probatoire Technique”
examination questions proposed by the Cameroon General Certificate of Education
Board (CGCEB) and the “Office du Baccalaureat du Cameroun” (OBC).


SECTION ONE: TECHNOLOGY
1.1 Definition of terms:
      Combinatory logic circuit: It is a logic circuit whose outputs depend only on the
       combination of its inputs logic states.
      Sequential logic circuit: It is a logic circuit whose outputs depend on previous
       inputs as well as present ones. Thus a sequential logic circuit has a memory.
      Decoder: It is a combinatory circuit which functions in such a way that for a
       given input address, only one of its outputs is activated.
      Multiplexer: It is a combinatory logic circuit which permits to direct towards
       single output information coming from many inputs.
      Flip-flop: It is a sequential logic circuit which is able to memorise one bit of
       information (elementary memory).
1.2 Meaning of abbreviations:
      PMOS: P-type channel metal oxide semiconductor.
      ECL: Emitter coupled logic.
      USB: Universal serial bus.
      ALU: Arithmetic logic unit.
      TTL: Transistor transistor logic.
1.3 Properties of a linear operational amplifier:
      Infinite voltage gain.
      Infinite input impedance.
      Zero output resistance.
      Zero offsets (voltage and current).
      Zero bias current.
      Infinite common mode rejection ratio (CMRR).
1.4 The modes of functioning of an OPAMP are :
      Linear mode,


Exam questions with solutions_2012_Jean-Paul NGOUNE                                  35
       Saturation mode.
1.5 Names of the terminals of the OPAMP LM741.

                                                     1. Offset null
                 7
                 1
                                                     2. Inverting input
     3
                                6                    3. Non-inverting input
     2                                               4. Negative supply
                                                     5. Offset null
                 4
                 5




                                                     6. Output
                                                     7. Positive supply.



1.6 Nature of the components
                            Resistor        Transistor      Inductor          Capacitor   Diode
Active
component
Passive
component


1.7 Difference between multiplexer and demultiplexer.
A multiplexer directs towards one output information coming from many inputs
meanwhile a demultiplexer directs towards many outputs (one amongst those
outputs) information coming from one input. Thus, the demultiplexer is the reverse or
dual circuit of the multiplexer.
1.8 Two protective means against overheat of semiconductors:
                Use of fan
                Use of radiator or heat sink


SECTION TWO: ANALOGUE CIRCUITS.
Exercise 1: Alternating current.
Let us consider the following network.
                    A

             L
                                C
                                         e1 = 220V, e2 = j110V, ZL = j103Ω, ZC = -j500Ω,
                        Z
                                         Z = 103Ω.

e1                                  e2

                    B



Exam questions with solutions_2012_Jean-Paul NGOUNE                                               36
1. Norton equivalent generator seen from terminals A and B.
The circuit above can be transformed as follows:
                                     A
                                                                                                                        A



I1                       ZL              Z         I2                     ZC                 Ieq         ZEQ




                                                                                                                        B
                                     B
              e1       220
       I1                            j 0.22 A
              ZL      j1000
              e2         j110
       I2                              0.22 A
With          ZC          j 500
       I eq   I1    I2        0.22 1         j A        IN
                              Z L ZC              j1000          j 500
       Z eq    Z L ZC                                                          j1000             ZN
                              Z L ZC                j1000      j 500

Hence the Norton generator can be represented as follows
                                                                                             A



                                             IN                          ZN




                                                                                             B
2. Thevenin’s equivalent generator seen from terminals A and B.
The circuit can be redrawn as follows:
                                                                                  A

                                                                                       Eth
                                                        L
                                                                     C




                                              e1              e2




                                                                                  B

       e1.Z C e2.Z L           220            j 500          j110 j1000         j 500        220 j 220
ET                                                                                                       220   j 220V
          Zc Z L                               j 500         j1000                           j 500
ZT     ZN          j1000



Exam questions with solutions_2012_Jean-Paul NGOUNE                                                                 37
Hence the Thevenin’s equivalent generator can be drawn as follows.
                                                                 A



                                  Z th




                                 E th

                                                                 B
    3. Determination of the current flowing in the impedance Z, using Norton’s
         equivalent generator.
                                             IN    A

                                                                     I

                                 IN                    ZN
                                                                     Z



                                                   B

Using current divider theorem, we can write:
         I N .Z N     0.22 1 j    j1000      j1000 0.22 1        j               j 1
    I                                                                    0.22          0.22 A   0.22 180
         ZN Z             j1000 1000            1000 1 j                        1 j


The effective value of the current can therefore be deduced: I = 0.22A.
    4. Determination of the current flowing in the load Z using Thevenin’s equivalent
         generator.
                                                             A


                                                             I
                                      Z th

                                                             Z


                                  E th

                                                             B



        ET           220 j 220    220 1 j
I                                                 0.22 A    0.22 180 A
    ZT       Z      j1000 1000   1000 1 j
The effective value of the current can therefore be deduced: I = 0.22A.



Exam questions with solutions_2012_Jean-Paul NGOUNE                                               38
Exercise 2: DC current.
Let us consider the following circuit.
                                                                          I2

U1                                                                                     U2
                                      RP                       IB
                                                                                   R
                                                               Iz
                                                Uz



                1. Maximal current IZmax of the Zener diode.
                                                                      3
                                              PZ max      15 10
PZùax        I Z max U Z           I Z max                                     0.00125 A 1.25mA .
                                              U Z max       12
                2. U1=16V. Let us determine U2 and RP so that the diode current will be
                       maximal.
U2      UZ      VBE      12 0.7              11.3V
        U1 U Z
RP
          I RP

But I RP         IB     I Z max . On the other hand we have:

                                               I2            U2
I2      IE             1 IB         IB                                . By replacing in the initial equation, we
                                                    1    R        1
have:
              U1 U Z                        U1 U Z                    16 12
RP                                                                                          2460
                   U2                            U2                       3       11.3
        I Z max                          I Z max             1.5 10
                 R    1                          R                              300 100
                3. Maximal value of U1 for which IZ = 0.( Then IRP =IB)
                                    U2                           11.3
U1      RP I B U Z            RP              UZ        2460                       12 12.92V
                                    R                          100 300
                4. For U1 = 10V, we have U1<Uz, then IRP = 0, and UZ = 10. Hence,
U2      10 0.7          9.3V
                           U2        9 .3
             The I 2                           0.031 31mA
                           R         300
             For U1 = 14V. Then; Uz = 12V and U2=11.3V
        U2      11.3
I2                         37.7 mA
        R       300



Exam questions with solutions_2012_Jean-Paul NGOUNE                                                          39
Exercise 3: Bipolar transistor amplifier.
Let us consider the following transistor amplifier circuit.

                                                                                          For the transistor:
                                           R2            RC
                                                                                             = 99; r = 2kΩ           ,
                                                                C2
                                                                                          ICQ = 4.95mA, VBEQ = 0.7V.
                            C1
                                                                               v2         Take: Vcc = 12V,
                                                                                    VCC
                 RG
                                                                          RU
                                                                                          R1 = 2kΩ, RC = 2kΩ,
                        v1
                                           R1                                             RU = 2kΩ,
                                                         RE
                                                                     CE
e                                                                                         RE = 180Ω

                                                         M

                  A. Static study.
      1. Determination of base and emitter current.
          I CQ     4.95 10 3
IB                           5 10 5 50 A
                       99
IE        I CQ    I B 50 A 4.95mA 5mA

      2. Voltage VBM between the base and the ground.
                                                          3
VBM        VBE        RE I E      0.7 180 5 10                 1.6V .
      3. Determination of the current flowing in the resistor R1.
          VBM          1 .6
IP                                0.8mA
           R1         2000
      4. Determination of the value of the resistance R2.
                                                              VCC VBE RE I E
VCC       R2 I B       IP        VBE   RE I E       R2
                                                                  IB IP
                                       3
     12 0.7 180 5 10                             12 1.6
                                                                12.235k
       5 10 5 0.8 10 3                          0.85 10 3


                  B. Dynamic study.
      1. Name of the capacitors C1, C2 and C3.
           C1 and C2 are coupling capacitors.
           CE is a bypass capacitor.




Exam questions with solutions_2012_Jean-Paul NGOUNE                                                             40
2. ac equivalent circuit of the amplifier.
                        i1                             ib                                  iC                   i2
                                                B                                                C

                                                                                                           v2
          RG            v1
                                                                                                      RC             RU
                                       R1            R2                 r          BiB

e


                                                                               E


     3. Input and output resistances
                                  v1
v1       R1 // R2 // r i1               R1 // R2 // r              Ri   0.924k
                                  i1
For the output resistance, the input source e should be rendered inactive (replaced
by a short circuit). Then we have,
Rout      RC     2k

     4. Voltage amplification factor.
                              v2            RC // Ru      iB            RC // Ru
By definition, Av
                              v1               riB                          r
The negative sign shows that the input and the output voltages are in opposition of
phase.


Exercise 4: Operational amplifier.
The OPAMPs of figure 4 bellow are ideal.
           R                                                                +Vcc

    Ve                             1             V                                        We have R = 10Ω, R1 = 4Ω,
                                                                             2
                             R2                                             -Vcc     Vs
                                                                                          R2 = 20Ω, E =100mV and
                   R1                                          E
                                                                                          Vcc = 12V




     1. The OPAMP1 operates in linear mode (because of its negative feedback); The
           OPAMP2 operates as a comparator (Saturation mode).


Exam questions with solutions_2012_Jean-Paul NGOUNE                                                                  41
2.
                a. Expression of the output voltage V.
Using the voltage divider theorem, we can write (The voltage Ve is directly applied
across R1since there is no drop across R).
                V                      R1        R2             R2
Ve    R1                        V                     Ve   1       Ve
           R1       R2                      R1                  R1

                b. Representation of Ve and V in terms of time.
      4 20
V          Ve             6Ve       6 20 cos100 t          120 cos100 t
        4
                V
                Ve
                120

                100

                80

                60

                40

                20

                      0
                                                                                                  t
                                T/4     T/2       3T/4      T    5T/4   6T/4   7T/4   2T   9T/4




                -120

     3. Waveform of the voltage Vs.
The OPAMP2 functions as a comparator. So we have:
If V<E then Vs = -Vcc
If V>E then Vs = +Vcc, with E = 100mV.




Exam questions with solutions_2012_Jean-Paul NGOUNE                                                   42
12V
                                                                         Vs
          V(mV)
         Ve(mV)
            120

            100

            80

            60

            40

            20

                  0
                                                                                t
                      T/4   T/2   3T/4   T   5T/4     6T/4   7T/4   2T   9T/4




           -120


           -12V



SECTION THREE: DIGITAL CIRCUITS
   1. Let us solve the following operations using 2’s complement.
   a) 11100002 - 1101112
11100002 - 1101112 = 11100002 +2’s compl(1101112)
1’scompl(0110111) = 1001000 ( an implied zero has been added in front of the
number so that the two numbers should have the same number of digits)
2’s compl(110111) = 1001000 + 1 = 1001001
Hence,
11100002 - 1101112 = 1110000 + 1001001 = 10111001
The first 1 is rejected. Hence the result of the operation is 111001.


Using the same principle, we obtain the following results for the other operations.
   b) 1001111012 - 110111102 = 10111112
   c) 100000002 -11111112 = 12




Exam questions with solutions_2012_Jean-Paul NGOUNE                                   43
2. Full adder.
        2.1 Truth table.


    A            B            Ci        S        Co
    0            0            0         0         0
    0            0            1         1         0
    0            1            0         1         0
    0            1            1         0         1
    1            0            0         1         0
    1            0            1         0         1
    1            1            0         0         1
    1            1            1         1         1


        2.2 Simplification of So and Ro using Boolean algebra method.
S        A.BCi       ABCi          AB.Ci    ABCi

        A BCi        BCi           A B.Ci   BCi
        AB         Cin        AB       Ci

Let X = B                Ci

S        AX      AX
         A     X
         A     B      Ci

    S     A      B       Ci


Co        A.BCi          ABCi        ABCi       ABCi
             The expression will not change if one of the elements of the sum of products is
duplicated (After the Boolean additive identity according to which A + A = A, A being
a Boolean variable). So we will duplicate the product ABCi three times in order to
simplify the expression easily.
Co        A.BCi          ABCi        ABCi       ABCi   ABCi    ABCi

          BCi A          A        ACi B     B     AB Ci   Ci
          BCi        ACi       AB
Co       BCi         ACi       AB


Exam questions with solutions_2012_Jean-Paul NGOUNE                                      44
2.3 Logigram of the full adder using logic gates.


A    B         Ci
              Ri




                                            S




                                            Ro




     3. At the input of a decoder, we can place 64 different combinations
     a) Number of ways at the input of the decoder.
We know that, with n ways or inputs, we can have up to 2n different input
combinations.
64       2n         n   6
     b) Number of ways at the output of the decoder.
The number of outputs is equal to the number of inputs combinations, since each
input combination should permit to select only one output. Hence the number of ways
at the output of the decoder is 64.




Exam questions with solutions_2012_Jean-Paul NGOUNE                             45
ABOUT THE AUTHOR


                             NGOUNE Jean-Paul was born in Foreké-Dschang,
                             Republic of Cameroon in 1984. He is a holder of a
                             Master Degree in electrical engineering, obtained in
                             2010 in the Doctorate School of the University of Douala
                             (UFD-PSI). He is also a holder of a DIPET II and a
                             DIPET I respectively obtained in 2009 and 2007 in the
                             Advanced Teacher Training College for Technical
                             Education (ENSET de Douala).
                             He is currently a permanent teacher of Electrical
                             Engineering at the Government Technical High School
                             of Kumbo, North-West region, Cameroon. His domain of
                             research    concerns     the   improvement   of   energy
                             conversion techniques for an efficient generation of
                             electrical energy from renewable sources (especially
                             wind and solar energy, small and medium scale
                             hydropower) and digital designing using FPDs.
                             The author is looking for a Ph.D program in his domain
                             of research (he has not yet found it). Any suggestion for
                             this issue will be warmly welcome.


                             NGOUNE Jean-Paul, M.Sc., PLET.
                             P.O. Box: 102 NSO, Kumbo, Cameroon.
                             Phone: (+237) 7506 2458.
                             Email : jngoune@yahoo.fr
                             Web site: www.scribd.com/jngoune




Exam questions with solutions_2012_Jean-Paul NGOUNE                                 46

Digi ana total 2012

  • 1.
    Courses In Electrical Engineering Volume II ELECTRICAL, DIGITAL AND INDUSTRIAL CIRCUITS EXAM QUESTIONS WITH SOLUTIONS (2012 academic year) By Jean-Paul NGOUNE DIPET I (Electrotechnics), DIPET II (Electrotechnics) M.Sc. (Electrical Engineering) Teacher in the Electrical Department, GTHS KUMBO, Cameroon. Exam questions with solutions_2012_Jean-Paul NGOUNE 1
  • 2.
    Foreword This is acompilation of some exam questions that I gave to my students during this academic year. They are accompanied by solutions proposed by me. I will be delight if this book can be of any use for you. I will also be very happy to receive any critic or suggestion from you. I dedicate this book to my students of Class 6, Electrical Technology, GTHS Kumbo, 2012 batch. They are a bit stubborn, but I like to teach them. May you be blessed as you are using this book. NGOUNE Jean-Paul. 17 May 2012. Exam questions with solutions_2012_Jean-Paul NGOUNE 2
  • 3.
    Acknowledgement Most of thequestions treated in this book are “Probatoire Technique” past questions proposed by the Cameroon General Certificate of Education Board (GCEB) and the “Office du Baccalaureat du Cameroun” (OBC). Exam questions with solutions_2012_Jean-Paul NGOUNE 3
  • 4.
    Contents Item Page Foreword 2 Acknowledgment 3 Contents 4 First sequence exam with solution 5 Second sequence exam with solution 13 Third sequence exam with solution 30 About the author 46 Exam questions with solutions_2012_Jean-Paul NGOUNE 4
  • 5.
    Courses In Electrical Engineering Volume II DIGITAL ELECTRONICS FIRST SEQUENCE EXAM WITH SOLUTION By Jean-Paul NGOUNE DIPET I (Electrotechnics), DIPET II (Electrotechnics) M.Sc. (Electrical Engineering) Teacher in the Electrical Department, GTHS KUMBO, Cameroon. Exam questions with solutions_2012_Jean-Paul NGOUNE 5
  • 6.
    REPUBLIC OF CAMEROON FIRST SEQUENCE EXAM Peace – Work – Fatherland Class: F36 …………… GTHS KUMBO/ ELECT DPT Option: Electrotechnology Duration: 2H30 Coefficient: 4 DIGITAL CIRCUITS No document is allowed except the one given to the candidates by the examiners I TECHNOLOGY 1.1 Give the meaning of the following abbreviations: TTL, CMOS, SSI, LSI,VLSI. 1.2 Give the rated voltage used to supply TTL integrated circuits. 1.3 Give the rated voltage used to supply CMOS integrated circuits. 1.4 Give the difference between digital representation and analogue representation. 1.5 Give two examples of digital apparatus and two examples of analogue apparatus. 1.6 Define the following notions used in the field of integrated circuits: a. Noise immunity; b. Celerity; c. Integration scale. II DIGITAL CIRCUITS Exercise 1: Numeration systems and codes. The information stored in a register of a ROM is given as follows: X = F8DA. 1. What is the meaning of ROM? 2. What is the numeration system used to codify that information? 3. Convert X into binary. 4. Convert X into octal. 5. Convert X into decimal. 6. X is made up of how many bits? 7. Knowing that one byte = 8 bits, Give the length of the memory word X in terms of bytes. Exam questions with solutions_2012_Jean-Paul NGOUNE 6
  • 7.
    Exercise 2: Logicgates. The following figure is a digital circuit having four inputs A, B, C, D and one output X. A X B C D 1. Determine the expression of the output X. 2. Draw the truth table of the digital circuit. 3. Draw the logic circuit above using exclusively 2 input AND gates, 2 input OR gates and 2 input NAND gates. 4. Knowing that the IC 4081 is a quad 2-input AND gate, the IC 4011 is a quad 2- input NAND gate and the IC 4071 is a quad 2-input OR gate, determine the number of IC 4081,IC 4011 and IC 4071 that should be used to realise the digital circuit above. Exercise 3: Realisation of gate circuits. Realise the logic circuit corresponding to each of the following expressions: X A.B(C D) Y A B CD E BC D Z A B PQ CD Proposed by Mr. NGOUNE Jean-Paul, PLET Electrotechnics, GTHS KUMBO. Exam questions with solutions_2012_Jean-Paul NGOUNE 7
  • 8.
    PROPOSITION OF SOLUTION I TECHNOLOGY 1.1 Meaning of the abbreviations: TTL: Transistor Transistor Logic. CMOS: Complementary Metal Oxide Semiconductor. SSI: Small Scale Integration. LSI: Large Scale Integration. VLSI: Very Large Scale Integration. MSI: Medium Scale Integration. 1.2 Rated voltage for the supply of TTL integrated circuit: 5V+/-0.25V. 1.3 Rated voltage used for the supply of CMOS IC: 5V, 15V, 18V. 1.4 Difference between analogue representation and digital representation: Analogue representation Digital representation Infinitely divisible Discrete (Step by step) Prone to errors of precision Absolute precision 1.5 Examples of digital apparatus: electronic watch, computer, mobile phone, digital camera… Examples of analogue apparatus: radio, oscilloscope, some model of TV, analogue multimeter. 1.6 Definitions: Noise immunity: It is the ability of an integrated circuit not to be disturbed in his functioning by an external signal (electromagnetic signal). A noise can be defined as a signal that disturbs the useful signal of being well treated by an electronic device. Celerity: It is the speed at which electrical information are being treated by an integrated circuit. Integration scale: it is a range that informs on the amount of transistors used in the manufacture of an integrated circuit. There are many integration scales (SSI, MSI, LSI, VLSI, ULSI). Exam questions with solutions_2012_Jean-Paul NGOUNE 8
  • 9.
    II DIGITAL CIRCUITS Exercise 1: Numeration systems and codes. The information stored in a ROM is given as follows: X = F8DA. 1. ROM stands for Read Only Memory. It is a type of memory in which data, once they are written, can only be read. 2. The numeration system used to codify that information is the hexadecimal numeration system. 3. Conversion of X into binary: X = 1111100011011010 2. 4. Conversion of X into octal: X = 1743328. 5. Conversion of X into decimal: X = 6370610. 6. X is made up of 16 bits. 7. X = 2Bytes. Exercise 2: Logic gates. Let us consider the following digital circuit: A X B C D 1. Expression of the output X: X AC AC B B C D 2. Truth table of the digital circuit: Exam questions with solutions_2012_Jean-Paul NGOUNE 9
  • 10.
    A B C D X 0 0 0 0 0 0 0 0 1 1 0 0 1 0 1 0 0 1 1 1 0 1 0 0 1 0 1 0 1 1 0 1 1 0 1 0 1 1 1 1 1 0 0 0 0 1 0 0 1 1 1 0 1 0 1 1 0 1 1 1 1 1 0 0 1 1 1 0 1 1 1 1 1 0 1 1 1 1 1 1 3. Let us draw the circuit using exclusively: 2 input AND gates, 2 input OR gates and 2 input NAND gates: Using gate universality principle, we can convert the logic gates used in the designing of the logic circuit into those required. A /A = A /A A A B = B C A+B+C C A A B = B C ABC C Exam questions with solutions_2012_Jean-Paul NGOUNE 10
  • 11.
    Then the logiccircuit can be redrawn as follows: A X B C D 4. Number of integrated circuit of each type to be used:  Number of AND gates in the circuit: 3; therefore 1 IC 4081is sufficient (one IC contains 4 gates).  Number of NAND gates in the circuit: 2; therefore 1 IC 4011 is sufficient (one IC contains 4 gates).  Number of OR gates in the circuit: 4; therefore 1 IC 4071 is sufficient (one IC contains 4 gates). So, with 1 IC 4081, 1 IC 4011 and 1 IC 4070 the logic circuit can be designed. Exercise 3: Realisation of gate circuits: Let us realise the logic circuits corresponding to each of the following equations: X A.B(C D) Y A B CD E BC D Z A B PQ CD Exam questions with solutions_2012_Jean-Paul NGOUNE 11
  • 12.
    A B CD X A B C D E Y A B C D P Q Z Exam questions with solutions_2012_Jean-Paul NGOUNE 12
  • 13.
    Courses In Electrical Engineering Volume II ELECTRICAL, DIGITAL AND INDUSTRIAL CIRCUITS SECOND SEQUENCE EXAM WITH SOLUTION By Jean-Paul NGOUNE DIPET I (Electrotechnics), DIPET II (Electrotechnics) M.Sc. (Electrical Engineering) Teacher in the Electrical Department, GTHS KUMBO, Cameroon. Exam questions with solutions_2012_Jean-Paul NGOUNE 13
  • 14.
    REPUBLIC OF CAMEROON SECOND SEQUENCE EXAM Peace – Work – Fatherland Class: F36 …………… GTHS KUMBO/ ELECT DPT Option: Electrotechnology Duration: 04H Coefficient: 4 Written paper ELECTRICAL, DIGITAL AND INDUSTRIAL CIRCUITS No document is allowed except the one given to the candidates by the examiners. SECTION ONE : TECHNOLOGY 1.1 Give the value of a resistance having the following colour code: red-orange- yellow-gold. 1.2 Give the meaning of the following abbreviations: TTL, CMOS, JFET, LSI, USB, and EPROM. 1.3 Give two protective means against overheat of semiconductors. 1.4 Name the parameters that characterize the operating point of a bipolar transistor. 1.5 Give two parameters that determine the choice of a Zener diode. 1.6 Define the following terms used in the field of integrated circuits: a) Noise immunity, b) Celerity, c) Integration scale. 1.7 Give the difference between a diode and a thyristor. 1.8 Give the symbol and one application area of each of the following electronic components: a) Transistor, b) Junction diode, c) Zener diode. 1.9 Describe the functioning principle of a thyristor. SECTION TWO: ANALOG CIRCUITS Exercise 1: Alternating current (1). The circuit of figure 1 bellow is supplied by an ac voltage u. i R1 R1 = 220Ω ; R2 = 1kΩ ; C = 4.5µF ; f = 50Hz u(t) u'(t) u (t ) 120 2 sin 100 t . R2 C 1. Determine the total impedance of the circuit. Figure1 Exam questions with solutions_2012_Jean-Paul NGOUNE 14
  • 15.
    2. Show thatthe expression of the current i flowing in the circuit is given by i I 2 sin 100 and determine the value of I and . 3. Show that the expression of the voltage u’(t) is given by u ' (t ) U ' 2 sin 100 t and determine the value of U’. Exercise 2: Alternating current (2) The circuit of figure 2 bellow is connected to a voltage v(t ) 220 2 sin 100 t volts. i1 R1 L i i2 C R2 Figure2 Given thatR1 = 100Ω; R2 = 150Ω; L = 0.24 H and C = 16µF. 1. Determine the following complex impedances: a. Z1 for the branch (R1 + L) b. Z2 for the branch (C + R2) 2. Calculate the complex values of i1, i2 and i. 3. Draw the phasor diagram of the currenti1, i2 and i. Exercise 3: DC circuit Consider the following circuit in figure 3. A K E1 = 12V, E2 = 6V, Ro= 20Ω, R1 = 10Ω, R2 = 4Ω and R = 5Ω. 1. Determine the characteristics of the Norton R1 E2 equivalent generator seen from terminals A RO R and B when K is opened. R2 E1 2. Deduce the corresponding Thevenin,s equivalent model. 3. Calculate the value of current I in the load R and the voltage drop across it when K is B closed. Figure3 Exam questions with solutions_2012_Jean-Paul NGOUNE 15
  • 16.
    Exercise 4: Bipolartransistor The two transistors of figure 4 bellow are in silicon such that V BE1 = VBE2 = 0.7V, β1=100, β2=200. The operating point is such that UEM = 5V for UAM = 20V.R1=1kΩ, R2=1kΩ, R3=10kΩ A 1. Calculate the current i1 flowing through the resistance R1. R3 2. Determine the voltage across the 10k UAM T1 resistance R3 and the current I3 B1 flowing through this resistance. 3. Neglecting IB2 with respect to I1, calculate the base current IB1of the R B2 T2 E transistor T1. UEM 4. Calculate IC2, hence, deduce IB2 R1 1k R2 and verify that IB2 is negligible with 1k respect to I1 5. Calculate the voltage across R and M the current crossing it. Hence, Figure4 determine the resistance R. SECTION THREE: DIGITAL CIRCUITS Exercise 5: Multiplicator circuit. The figure 5 below shows the block diagram of an electronic circuit which accepts two binary numbers of two bits X1X0 and Y1Y0, and gives at the output the binary number Z3Z2Z1Z0 which is equal to the arithmetic product of the two input numbers. For the inputs, X0 and Y0 are the least significant bits (LSB) while for the outputs, Z3 is the most significant bit (MSB). X1 Z3 X0 Multiplicator Z2 circuit Z1 Y1 Z0 Y0 Figure5 Exam questions with solutions_2012_Jean-Paul NGOUNE 16
  • 17.
    1. What doyou understand by the statements “Least significant bit” and “Most significant bit”? 2. Establish the truth table of the system. 3. Write the expression of each output Z3, Z2, Z1 and Z0 as function of X1, X0 Y1 andY0. 4. With the aid of Karnaugh map, simplify the output equations obtained above. 5. Draw the logic diagram of the electronic multiplicator circuit using the simplified output equations. Exercise 6: Parity detector We desire to realize a 3-bit parity detector of bits B1, B2 and B3. The operation is as follows: - If 0 or 2 bits are at high logic level, the output is at the high level. - If 1 or 3 bits are at high logic, the output is at the low level. 1. Draw the corresponding truth table. 2. Give the expression of the output S in terms of B1, B2 and B3. 3. Write the expression of S using the operator exclusive OR only. 4. Draw the logic diagram of S. Exercise 7: Numeration system Let us consider the following numbers: A = 1101011012 B=6248 C=1A716 1. Convert A into octal and hexadecimal. 2. Convert B and C into binary. 3. Calculate: X(2)=A(2)+ B(2); Y(16)=A(16)+ C(16) W(8)=A(8 ) – B(8) SUBJECT MASTER: NGOUNE Jean-Paul, PLET Electrotechnics, GTHS KUMBO. Exam questions with solutions_2012_Jean-Paul NGOUNE 17
  • 18.
    PROPOSITION OF SOLUTION SECTIONONE: TECHNOLOGY 1.1 Value of a resistor having the following colour code: Red – Orange – Yellow – Gold. R = 23 x 104Ω+/- 5% = 230kΩ 1.2 Meaning of the abbreviations:  TTL = Transistor Transistor Logic;  CMOS = Complementary Metal Oxide Semiconductor;  JFET = Junction Field Effect Transistor;  LSI = Large Scale Integration;  USB = Universal Serial Bus;  EPROM = Erasable Programmable Read Only Memory. 1.3 Two protective means against overheat of semiconductors:  Use of heat sink (radiator)  Use of fan (ventilation) 1.4 Parameters characterising the operating point of a bipolar junction transistor:  IBQ = Base current at the quiescent point;  VBEQ = VBE at the quiescent point;  ICQ = Collector current at the quiescent point;  VCEQ = VCE at the quiescent point. 1.5 Parameters of choice of a Zener diode:  Zener voltage;  Reverse current; VZ  Coefficient . IZ 1.6 Definition of terms:  Noise immunity: Degree of protection of an IC against noise. A noise is an undesirable signal that disturbs the functioning of an IC.  Celerity: Speed of propagation of signal through a circuit. Speed at which an electronic circuit treats information.  Integration scale: Number of components (transistors) integrated per surface unit of a chip. There are many integration scales: SSI, MSI, LSI, VLSI, VLSI. Exam questions with solutions_2012_Jean-Paul NGOUNE 18
  • 19.
    1.7 Difference betweendiode an thyristor: A diode is a non controlled unidirectional rectifier component, a thyristor is a controlled unidirectional rectifier component. 1.8 Symbol an application of electronic components: Component Symbol Application area Bipolar Amplifier, Chopper transistor Junction Rectification diode (Non controlled) Zener diode Stabilisation 1.9 Functioning principle of a thyristor: When a positive voltage is applied across a thyristor (VAK > 0), a sufficient gate current (IG > Igm) permits to trigger it on. The current keeps on passing through it even if the gate current is removed (hysteresis effect). To trigger off a thyristor, a negative voltage should be applied across it. SECTION TWO: ANALOGUE CIRCUITS Exercise 1: Alternating current (1) Let us consider the following circuit: i R1 u(t) u'(t) R1 = 220Ω ; R2 = 1kΩ ; C = 4.5µF R2 C f = 50Hz u (t ) 120 2 sin 100 t 1. Total impedance of the circuit: ZT R1 R2 Z C ; 1 1 With Z C j j j 707.714 . C 2 f 4.5 10 6 314 Hence, Exam questions with solutions_2012_Jean-Paul NGOUNE 19
  • 20.
    R2 Z C 1000 j 707.714 707714 90 ZT R1 220 220 R2 Z C 1000 j 707.714 1225.095 35.28 ZT 220 577.68 54.72 553.65 j 471.58 ZT 727.26 40.42 2. Let us show that the expression of the current i flowing in the circuit is given by: i (t ) I 2 sin 100 t . U 120 0 I 0.165 40.42 0.165 2 sin 100 t 40.42 ZT 727.26 40.42 With I = 0.165 A and 40.42 . 3. Let us show that the voltage u’(t) is given by u ' (t ) U ' 2 sin 100 t . The circuit can be redrawn as follows: R1 u(t) u'(t) Z0 With Z 0 R2 Z C 577.68 54.72 U U' Z 0 (Voltage divider). ZT 120 0 U' 577.68 54.72 95.318 14.30 727.26 40.42 u ' (t ) 95.318 2 sin 100 t 14.30 Where U’ = 95.318V and 14.30 . Exercise 2: Alternating current (2) Let us consider the following circuit: i1 R1 L i i2 C R2 Exam questions with solutions_2012_Jean-Paul NGOUNE 20
  • 21.
    v(t ) 220 2 sin 100 t ; R1 = 100Ω; R2 = 150Ω; L = 0.24 H, C = 16µF 1. Determination of impedances:  Branch (R1 + L) Z1 R1 jL 2 f 100 j 75.36 1.757 37  Branch (C+R2) 1 1 Z2 R2 j 150 j 150 j199.044 0.8827 52.99 C 16 10 6 314 2. Complex values of the currents i1, i2 and i. V 220 0 I1 1.757 37 1.403 j1.057 A Z1 125.21 37 V 220 0 I2 0.8827 52.99 0.531 j 0.704 A Z2 249.235 52.99 I I1 I2 1.403 j1.057 0.531 j 0.704 1.934 j 0.353 1.965 10.34 A 4. Phasor diagram. We have already the modulus and the argument of each current: I1 1.757 37 A I2 0.8827 52.99 A Hence, we obtain the following phasor diagram: I 1.965 10.343 A I2 Ref = U O I I1 We notice that graphically, I1 + I2 = I. Exercise 3: DC circuits. Let us consider the following figure: E1 = 12V; E2 = 6V; Ro = 20Ω; R1 = 10Ω; R2 = 4Ω Exam questions with solutions_2012_Jean-Paul NGOUNE 21
  • 22.
    A K R1 E2 RO R R2 E1 B 1. Norton equivalent generator seen from terminals A and B when K is open: The circuit obtained when K is open can be redrawn as follows: A R1 E2 R0 R2 E1 B RN R0 R1 R2 1 1 1 1 1 1 1 8 RN R1 R2 R0 10 4 20 20 20 RN 2 .5 8 E1 E2 12 6 IN 2 .7 A R1 R2 10 4 2. Thevenin’s equivalent model: RTH A A RN In Eth B B Exam questions with solutions_2012_Jean-Paul NGOUNE 22
  • 23.
    ETH RN I N 2.5 2.7 6.75V RN RTH 2.5 3. Value of the current flowing in the resistor R when K is closed: Using the Thevenin’s model obtained above, we have: R TH A R E th B ETH 6.75 I 0 .9 A RTH R 2 .5 5 VR R I 5 0 .9 4.5V Exercise 4: Bipolar transistor. Let us consider the following figure: A R3 UAM 10k T1 B1 R B2 T2 E UEM R1 1k R2 1k M VBE1 = VBE2 = 0.7V; β1 = 100; β2 = 200. At the operating point, UEM = 5V; UAM = 20V. R1 = 1kΩ; R2 = 1kΩ; R3 = 10kΩ. 1. Current I1 flowing in R1. U EM 5 I1 5mA R1 1000 Exam questions with solutions_2012_Jean-Paul NGOUNE 23
  • 24.
    2. Voltage acrossR3 and current through it. U EM VBE1 R3 I 3 U AM 0 R3 I 3 U AM U EM VBE1 20 5 0.7 14.3V 14.3 14.3 I3 1.43mA R3 10000 3. IB2<< I1; calculation of IB1. I1 I E1 1 1 I B1 IB2<< I1 I1 5 10 3 I B1 49.504 A 1 1 101 4. Determination of IC2. 6 6 IC 2 I3 I B1 1.43 10 49.504 10 1.3804mA 3 IC 2 1.3804 10 I B2 6.902 A 2 200 I1 5 10 3 6 724.42 , so IB2 is negligible with respect to I1. I B2 6.902 10 5. Voltage across R and value of R. U EM VR VBE 2 R2 I E 2 ; But I E 2 IC 2 3 VR U EM VBE 2 R2 I E 2 5 0.7 1000 1.3804 10 2.9196V VR 2.9196 R 6 0.403M I B2 6.902 10 SECTION THREE: DIGITAL CIRCUITS Exercise 5: Multiplicator circuit. 1.  The least significant bit (LSB) of a binary number is the less weighted bit of that number (situated at the extreme right of the number).  The most significant bit of a binary number is the most weighted bit of that binary number (situated at the extreme left of the number). 2. Truth table of the system. Exam questions with solutions_2012_Jean-Paul NGOUNE 24
  • 25.
    X1 X0 Y1 Y0 Z3 Z2 Z1 Z0 0 0 0 0 0 0 0 0 0 0 0 1 0 0 0 0 0 0 1 0 0 0 0 0 0 0 1 1 0 0 0 0 0 1 0 0 0 0 0 0 0 1 0 1 0 0 0 1 0 1 1 0 0 0 1 0 0 1 1 1 0 0 1 1 1 0 0 0 0 0 0 0 1 0 0 1 0 0 1 0 1 0 1 0 0 1 0 0 1 0 1 1 0 1 1 0 1 1 0 0 0 0 0 0 1 1 0 1 0 0 1 1 1 1 1 0 0 1 1 0 1 1 1 1 1 0 0 1 3. Expression of each output in function of X1, X0, Y1, Y0. Z3 X 1 X 0Y1Y0 Z2 X 1 X 0Y Y0 X 1 X 0Y1Y0 X 1 X 0Y1Y0 Z1 X 1 X 0Y1Y0 X 1 X 0Y1Y0 X 1 X 0 Y1Y0 X 1 X 0Y1Y0 X 1 X 0 Y1Y0 X 1 X 0Y1Y0 Z0 X 1 X 0 Y1Y0 X 1 X 0Y1Y0 X 1 X 0 Y1Y0 X 1 X 0Y1Y0 4. Simplification of equations using K-maps. Z3 is unchanged: Z3 X 1 X 0Y1Y0 Exam questions with solutions_2012_Jean-Paul NGOUNE 25
  • 26.
    Z2 Y1Y0 X1X0 00 01 11 10 00 01 11 1 10 1 1 Z2 X 1Y1Y0 X 1 X 0Y1 Z1 Y1Y0 X1X0 00 01 11 10 00 01 1 1 11 1 1 10 1 1 Z1 X 1Y1Y0 X 1 X 0Y0 X 1 X 0Y1 X 0Y1Y0 Z0 Y1Y0 X1X0 00 01 11 10 00 01 1 1 11 1 1 10 Z0 X 0Y0 6. Logic diagram of the multiplicator circuit: Exam questions with solutions_2012_Jean-Paul NGOUNE 26
  • 27.
    X1 X0 Y1Y0 Z3 Z2 Z0 X1 X0 Y1 Y0 Z1 Exercise 6: Parity detector. 1. Truth table of the parity detector. Following the description of the functioning of the circuit, the following truth table can be drawn: Exam questions with solutions_2012_Jean-Paul NGOUNE 27
  • 28.
    B1 B2 B3 S 0 0 0 1 0 0 1 0 0 1 0 0 0 1 1 1 1 0 0 0 1 0 1 1 1 1 0 1 1 1 1 0 2. Expression of the output S in terms of B1, B2 and B3: S B1.B2 .B3 B1B2 B3 B1 B2 B3 B1B2 B3 3. Expression of S using the operator Exclusive OR only. From the expression above, we have: S B1 B2 .B3 B2 B3 B1 B2 .B3 B2 B3 S B1 B2 B3 B1 B2 B3 S B1 B2 B3 4. Logic diagram of S. B1 B2 B3 1 3 2 S Exam questions with solutions_2012_Jean-Paul NGOUNE 28
  • 29.
    Exercise 7: Numerationsystem: A = 1101011012 B=6248 C=1A716 1. Conversion of A into octal and hexadecimal. A = 655(8); A = 1AD(16). 2. Conversion of B and C into binary. B = 110010100(2); C = 110100111(2). 3. Calculations. X(2) = 1101000001(2); Y(16) = 354(16) ; W (8) = 31(8). END ACKNOWLEDGEMENT All the exercises solved in this document are past “Probatoire Technique” examination questions proposed by the Cameroon General Certificate of Education Board (CGCEB). Exam questions with solutions_2012_Jean-Paul NGOUNE 29
  • 30.
    Courses In Electrical Engineering Volume II ELECTRICAL, DIGITAL AND INDUSTRIAL CIRCUITS THIRD SEQUENCE EXAM WITH SOLUTION By Jean-Paul NGOUNE DIPET I (Electrotechnics), DIPET II (Electrotechnics) M.sc. (Electrical Engineering) Teacher in the Electrical Department, GTHS KUMBO, Cameroon. Exam questions with solutions_2012_Jean-Paul NGOUNE 30
  • 31.
    REPUBLIC OF CAMEROON THIRD SEQUENCE EXAM Peace – Work – Fatherland Class: F36 …………… GTHS KUMBO/ ELECT DPT Option: Electrotechnology Duration: 04H Coefficient: 4 Written paper ELECTRICAL, DIGITAL AND INDUSTRIAL CIRCUITS No document is allowed except the one given to the candidates by the examiners. SECTION ONE : TECHNOLOGY 1.1 Define: Combinatory logic circuit; sequential logic circuit, decoder, multiplexer, flip-flop. 1.2 Give the meaning of the following abbreviation: PMOS, ECL, USB, ALU, TTL. 1.3 What are the properties of a linear operational amplifier? 1.4 What are the modes of functioning of an OPMP? 1.5 The following symbol is that of the LM741 which is one of the most commonly used OPAMP. Give the name of terminals 1, 2, 3,4,5,6 and 7. 7 1 3 6 2 4 5 1.6 Consider the following table. Indicate by putting a cross in the appropriate cell, the nature of the each component (Active or passive component). Resistor Transistor Inductor Capacitor Diode Active component Passive component 1.7 What is the difference between a multiplexer and a demultiplexer? 1.8 Give two protective means against overheat of semiconductors. Exam questions with solutions_2012_Jean-Paul NGOUNE 31
  • 32.
    SECTION TWO: ANALOGUECIRCUITS Exercise 1: Alternating current. Consider the circuit of figure 1 bellow. A e1 = 220V, e2 = j110V, ZL = j103Ω, ZC = -j500Ω, L Z = 103Ω. C 1. Determine the characteristics of the Norton’s Z equivalent generator seen from terminals A and B. e1 e2 2. Determine characteristics of the Thevenin’s B equivalent generator seen from terminals A Figure 1. and B. 3. Using Norton’s equivalent generator, determine the complex value of the current i flowing in the load Z. Deduce its effective value. 4. Using Thevenin’s equivalent generator, determine the complex value of the current i flowing in the load Z. Deduce its complex value. Exercise 2: DC current. The circuit of the figure 2 bellow is a voltage stabilizer. The voltage U1 varies I2 from 10V to 16 V. The Zener diode is ideal U1 U2 IB with PZmax = 15mW; RP R Iz Uz = 12V. For the bipolar Uz transistor, take β = 100, VBE = 0.7V. Let R = 300Ω Figure 2. 1. Determine the maximal current IZmax of the Zener diode. 2. For U1 = 16V, determine the values of U2 and RP so that the current in the diode must be maximal. 3. Using the value of RP obtained in question 2 above, determine the maximal value of U1 for which the Zener diode is blocked (Iz = 0). 4. Using the value of RP obtained above, determine the current I2 and the voltage U2 in the following cases: a) U1 = 10V; b) U1 = 14V. Exam questions with solutions_2012_Jean-Paul NGOUNE 32
  • 33.
    Exercise 3: Bipolartransistor amplifier. Consider the transistor amplifier circuit presented on the figure 3 below. For the transistor: R2 RC = 99; r = 2kΩ , C2 ICQ = 4.95mA, VBEQ = 0.7V. C1 v2 Take: Vcc = 12V, VCC RG RU R1 = 2kΩ, RC = 2kΩ, v1 R1 RU = 2kΩ, RE CE e RE = 180Ω M A. Static study: Figure 3. Determine: 1. The currents flowing through the base (IB) and the emitter (IE) of the transistor. 2. The voltage VBM between the base and the ground M. 3. The current IP flowing in the resistor R1. 4. The value of the resistance R2. B. Dynamic study: 1. Give the name and the role of capacitors C1, C2 and C3. 2. Draw a.c. equivalent circuit of the amplifier. 3. Determine the input resistance and the output resistance of the amplifier. 4. Calculate the voltage amplification factor. Exercise 4: Operational amplifier. The OPAMPs of figure 4 bellow are ideal. We have R = 10Ω, R1 = 4Ω, R +Vcc R2 = 20Ω, E =100mV and Ve 1 V Vcc = 12V 2 R2 -Vcc Vs 1. Give the operating R1 E modes of the OPAMPs 1 and 2. Figure 4. 2. The voltage Ve is a sinusoidal expressed as: Ve 20 cos100 t (mV). Exam questions with solutions_2012_Jean-Paul NGOUNE 33
  • 34.
    a. Determine theexpression of the of the output voltage V of the OPAMP1. b. Represent in terms of time the voltages Ve and V. 3. Draw the waveform of the voltage Vs at the output of OPAMP2 knowing that E is a DC source. SECTION THREE: DIGITAL CIRCUITS. 1. Solve the following operations using 2’s complement: a) 11100002 – 1101112; b) 1001111012 – 110111102; c) 100000002 – 11111112. 2. The figure 5 bellow represents the circuit of a full adder, where A1 and B1 are the in put variables. R1 is the carry while So and Ro are the sum and the reminder respectively. 2.1 Complete the truth table bellow. A1 B1 R1 So Ro 0 0 0 0 0 1 0 1 0 A1 So 0 1 1 B1 Full Adder Ro 1 0 0 R1 1 0 1 1 1 0 Figure 5. 1 1 1 2.2 Simplify the expressions of So and Ro using Boolean algebra method. 2.3 Draw the logigram of this full adder using logic gates. 3. At the input of a decoder, one can place 64 different combinations. Determine: a) The number of ways at the input of this decoder, b) The number of ways at the output of this decoder. SUBJECT MASTER: NGOUNE Jean-Paul, PLET Electrotechnics, GTHS KUMBO. Exam questions with solutions_2012_Jean-Paul NGOUNE 34
  • 35.
    ACKNOWLEDGEMENT All the exercisessolved in this document are past “Probatoire Technique” examination questions proposed by the Cameroon General Certificate of Education Board (CGCEB) and the “Office du Baccalaureat du Cameroun” (OBC). SECTION ONE: TECHNOLOGY 1.1 Definition of terms:  Combinatory logic circuit: It is a logic circuit whose outputs depend only on the combination of its inputs logic states.  Sequential logic circuit: It is a logic circuit whose outputs depend on previous inputs as well as present ones. Thus a sequential logic circuit has a memory.  Decoder: It is a combinatory circuit which functions in such a way that for a given input address, only one of its outputs is activated.  Multiplexer: It is a combinatory logic circuit which permits to direct towards single output information coming from many inputs.  Flip-flop: It is a sequential logic circuit which is able to memorise one bit of information (elementary memory). 1.2 Meaning of abbreviations:  PMOS: P-type channel metal oxide semiconductor.  ECL: Emitter coupled logic.  USB: Universal serial bus.  ALU: Arithmetic logic unit.  TTL: Transistor transistor logic. 1.3 Properties of a linear operational amplifier:  Infinite voltage gain.  Infinite input impedance.  Zero output resistance.  Zero offsets (voltage and current).  Zero bias current.  Infinite common mode rejection ratio (CMRR). 1.4 The modes of functioning of an OPAMP are :  Linear mode, Exam questions with solutions_2012_Jean-Paul NGOUNE 35
  • 36.
    Saturation mode. 1.5 Names of the terminals of the OPAMP LM741. 1. Offset null 7 1 2. Inverting input 3 6 3. Non-inverting input 2 4. Negative supply 5. Offset null 4 5 6. Output 7. Positive supply. 1.6 Nature of the components Resistor Transistor Inductor Capacitor Diode Active component Passive component 1.7 Difference between multiplexer and demultiplexer. A multiplexer directs towards one output information coming from many inputs meanwhile a demultiplexer directs towards many outputs (one amongst those outputs) information coming from one input. Thus, the demultiplexer is the reverse or dual circuit of the multiplexer. 1.8 Two protective means against overheat of semiconductors:  Use of fan  Use of radiator or heat sink SECTION TWO: ANALOGUE CIRCUITS. Exercise 1: Alternating current. Let us consider the following network. A L C e1 = 220V, e2 = j110V, ZL = j103Ω, ZC = -j500Ω, Z Z = 103Ω. e1 e2 B Exam questions with solutions_2012_Jean-Paul NGOUNE 36
  • 37.
    1. Norton equivalentgenerator seen from terminals A and B. The circuit above can be transformed as follows: A A I1 ZL Z I2 ZC Ieq ZEQ B B e1 220 I1 j 0.22 A ZL j1000 e2 j110 I2 0.22 A With ZC j 500 I eq I1 I2 0.22 1 j A IN Z L ZC j1000 j 500 Z eq Z L ZC j1000 ZN Z L ZC j1000 j 500 Hence the Norton generator can be represented as follows A IN ZN B 2. Thevenin’s equivalent generator seen from terminals A and B. The circuit can be redrawn as follows: A Eth L C e1 e2 B e1.Z C e2.Z L 220 j 500 j110 j1000 j 500 220 j 220 ET 220 j 220V Zc Z L j 500 j1000 j 500 ZT ZN j1000 Exam questions with solutions_2012_Jean-Paul NGOUNE 37
  • 38.
    Hence the Thevenin’sequivalent generator can be drawn as follows. A Z th E th B 3. Determination of the current flowing in the impedance Z, using Norton’s equivalent generator. IN A I IN ZN Z B Using current divider theorem, we can write: I N .Z N 0.22 1 j j1000 j1000 0.22 1 j j 1 I 0.22 0.22 A 0.22 180 ZN Z j1000 1000 1000 1 j 1 j The effective value of the current can therefore be deduced: I = 0.22A. 4. Determination of the current flowing in the load Z using Thevenin’s equivalent generator. A I Z th Z E th B ET 220 j 220 220 1 j I 0.22 A 0.22 180 A ZT Z j1000 1000 1000 1 j The effective value of the current can therefore be deduced: I = 0.22A. Exam questions with solutions_2012_Jean-Paul NGOUNE 38
  • 39.
    Exercise 2: DCcurrent. Let us consider the following circuit. I2 U1 U2 RP IB R Iz Uz 1. Maximal current IZmax of the Zener diode. 3 PZ max 15 10 PZùax I Z max U Z I Z max 0.00125 A 1.25mA . U Z max 12 2. U1=16V. Let us determine U2 and RP so that the diode current will be maximal. U2 UZ VBE 12 0.7 11.3V U1 U Z RP I RP But I RP IB I Z max . On the other hand we have: I2 U2 I2 IE 1 IB IB . By replacing in the initial equation, we 1 R 1 have: U1 U Z U1 U Z 16 12 RP 2460 U2 U2 3 11.3 I Z max I Z max 1.5 10 R 1 R 300 100 3. Maximal value of U1 for which IZ = 0.( Then IRP =IB) U2 11.3 U1 RP I B U Z RP UZ 2460 12 12.92V R 100 300 4. For U1 = 10V, we have U1<Uz, then IRP = 0, and UZ = 10. Hence, U2 10 0.7 9.3V U2 9 .3 The I 2 0.031 31mA R 300 For U1 = 14V. Then; Uz = 12V and U2=11.3V U2 11.3 I2 37.7 mA R 300 Exam questions with solutions_2012_Jean-Paul NGOUNE 39
  • 40.
    Exercise 3: Bipolartransistor amplifier. Let us consider the following transistor amplifier circuit. For the transistor: R2 RC = 99; r = 2kΩ , C2 ICQ = 4.95mA, VBEQ = 0.7V. C1 v2 Take: Vcc = 12V, VCC RG RU R1 = 2kΩ, RC = 2kΩ, v1 R1 RU = 2kΩ, RE CE e RE = 180Ω M A. Static study. 1. Determination of base and emitter current. I CQ 4.95 10 3 IB 5 10 5 50 A 99 IE I CQ I B 50 A 4.95mA 5mA 2. Voltage VBM between the base and the ground. 3 VBM VBE RE I E 0.7 180 5 10 1.6V . 3. Determination of the current flowing in the resistor R1. VBM 1 .6 IP 0.8mA R1 2000 4. Determination of the value of the resistance R2. VCC VBE RE I E VCC R2 I B IP VBE RE I E R2 IB IP 3 12 0.7 180 5 10 12 1.6 12.235k 5 10 5 0.8 10 3 0.85 10 3 B. Dynamic study. 1. Name of the capacitors C1, C2 and C3.  C1 and C2 are coupling capacitors.  CE is a bypass capacitor. Exam questions with solutions_2012_Jean-Paul NGOUNE 40
  • 41.
    2. ac equivalentcircuit of the amplifier. i1 ib iC i2 B C v2 RG v1 RC RU R1 R2 r BiB e E 3. Input and output resistances v1 v1 R1 // R2 // r i1 R1 // R2 // r Ri 0.924k i1 For the output resistance, the input source e should be rendered inactive (replaced by a short circuit). Then we have, Rout RC 2k 4. Voltage amplification factor. v2 RC // Ru iB RC // Ru By definition, Av v1 riB r The negative sign shows that the input and the output voltages are in opposition of phase. Exercise 4: Operational amplifier. The OPAMPs of figure 4 bellow are ideal. R +Vcc Ve 1 V We have R = 10Ω, R1 = 4Ω, 2 R2 -Vcc Vs R2 = 20Ω, E =100mV and R1 E Vcc = 12V 1. The OPAMP1 operates in linear mode (because of its negative feedback); The OPAMP2 operates as a comparator (Saturation mode). Exam questions with solutions_2012_Jean-Paul NGOUNE 41
  • 42.
    2. a. Expression of the output voltage V. Using the voltage divider theorem, we can write (The voltage Ve is directly applied across R1since there is no drop across R). V R1 R2 R2 Ve R1 V Ve 1 Ve R1 R2 R1 R1 b. Representation of Ve and V in terms of time. 4 20 V Ve 6Ve 6 20 cos100 t 120 cos100 t 4 V Ve 120 100 80 60 40 20 0 t T/4 T/2 3T/4 T 5T/4 6T/4 7T/4 2T 9T/4 -120 3. Waveform of the voltage Vs. The OPAMP2 functions as a comparator. So we have: If V<E then Vs = -Vcc If V>E then Vs = +Vcc, with E = 100mV. Exam questions with solutions_2012_Jean-Paul NGOUNE 42
  • 43.
    12V Vs V(mV) Ve(mV) 120 100 80 60 40 20 0 t T/4 T/2 3T/4 T 5T/4 6T/4 7T/4 2T 9T/4 -120 -12V SECTION THREE: DIGITAL CIRCUITS 1. Let us solve the following operations using 2’s complement. a) 11100002 - 1101112 11100002 - 1101112 = 11100002 +2’s compl(1101112) 1’scompl(0110111) = 1001000 ( an implied zero has been added in front of the number so that the two numbers should have the same number of digits) 2’s compl(110111) = 1001000 + 1 = 1001001 Hence, 11100002 - 1101112 = 1110000 + 1001001 = 10111001 The first 1 is rejected. Hence the result of the operation is 111001. Using the same principle, we obtain the following results for the other operations. b) 1001111012 - 110111102 = 10111112 c) 100000002 -11111112 = 12 Exam questions with solutions_2012_Jean-Paul NGOUNE 43
  • 44.
    2. Full adder. 2.1 Truth table. A B Ci S Co 0 0 0 0 0 0 0 1 1 0 0 1 0 1 0 0 1 1 0 1 1 0 0 1 0 1 0 1 0 1 1 1 0 0 1 1 1 1 1 1 2.2 Simplification of So and Ro using Boolean algebra method. S A.BCi ABCi AB.Ci ABCi A BCi BCi A B.Ci BCi AB Cin AB Ci Let X = B Ci S AX AX A X A B Ci S A B Ci Co A.BCi ABCi ABCi ABCi The expression will not change if one of the elements of the sum of products is duplicated (After the Boolean additive identity according to which A + A = A, A being a Boolean variable). So we will duplicate the product ABCi three times in order to simplify the expression easily. Co A.BCi ABCi ABCi ABCi ABCi ABCi BCi A A ACi B B AB Ci Ci BCi ACi AB Co BCi ACi AB Exam questions with solutions_2012_Jean-Paul NGOUNE 44
  • 45.
    2.3 Logigram ofthe full adder using logic gates. A B Ci Ri S Ro 3. At the input of a decoder, we can place 64 different combinations a) Number of ways at the input of the decoder. We know that, with n ways or inputs, we can have up to 2n different input combinations. 64 2n n 6 b) Number of ways at the output of the decoder. The number of outputs is equal to the number of inputs combinations, since each input combination should permit to select only one output. Hence the number of ways at the output of the decoder is 64. Exam questions with solutions_2012_Jean-Paul NGOUNE 45
  • 46.
    ABOUT THE AUTHOR NGOUNE Jean-Paul was born in Foreké-Dschang, Republic of Cameroon in 1984. He is a holder of a Master Degree in electrical engineering, obtained in 2010 in the Doctorate School of the University of Douala (UFD-PSI). He is also a holder of a DIPET II and a DIPET I respectively obtained in 2009 and 2007 in the Advanced Teacher Training College for Technical Education (ENSET de Douala). He is currently a permanent teacher of Electrical Engineering at the Government Technical High School of Kumbo, North-West region, Cameroon. His domain of research concerns the improvement of energy conversion techniques for an efficient generation of electrical energy from renewable sources (especially wind and solar energy, small and medium scale hydropower) and digital designing using FPDs. The author is looking for a Ph.D program in his domain of research (he has not yet found it). Any suggestion for this issue will be warmly welcome. NGOUNE Jean-Paul, M.Sc., PLET. P.O. Box: 102 NSO, Kumbo, Cameroon. Phone: (+237) 7506 2458. Email : jngoune@yahoo.fr Web site: www.scribd.com/jngoune Exam questions with solutions_2012_Jean-Paul NGOUNE 46