2
3
• •
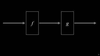
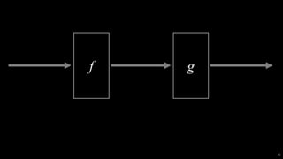
f : X → Y
int main() {
return 42;
}
a
b
c
1
2
3
X Y
f
4
a
b
c
1
2
3
X Y
f : X → Y
ㄱ
ㄴ
ㄷ
Z
g : Y → Z
f g
5
a
b
c
X
ㄱ
ㄴ
ㄷ
Z
g ∘ f : X → Z
g ∘ f
6
…
int y = f(x);
int z = g(y);
…
7
f g
8
g ∘ f
9
10
ANYTHING
11
12
13
14
15
17
A = 3
B = 4
C = A + B
A = 4
B = 5
print C
18
19
C = A + B
+
A
C
B
20
21
22
© Behringer
23
© Manu Cornet
24
25
1
•
•
•
26
10-3•
•
•
27
10-6•
•
• 컨텍스트 스위치
28
10-9•
•
•
29
•
•
•
•
•
•
•
•
30
너무 느림!!
OUTPUT foo(INPUT a);
31
•
•
•
•
•
•
•
•
32
너무 느림!!
© Peter Thomas
33
34
35
36
•
•
•
•
•
•
•
37
function foo(a, callback);
38
foo(a, function(err, result) {
if (err) {
// handle error
} else {
// use result
}
);
39
// 흔한 콜백 지옥
function compositeTask(t0, callback) {
task1(t0, function(err, t1) {
if (err) {
callback(err);
}
task2(t1, function(err, t2) {
if (err) {
callback(err);
}
task3(t2, function(err, t3) {
if (err) {
callback(err);
}
callback(null, t3);
});
});
});
}
40
41
OUTPUT foo(INPUT a);
Future<OUTPUT> foo(INPUT a);
42
Stream<OUTPUT> foo(INPUT a);
43
INPUT => Future<OUTPUT>
INPUT => OUTPUT
44
INPUT => Stream<OUTPUT>
45
46
•
•
•
•
•
•
47
48
https://www.dartlang.org/performance/
49
하나 다수
동기 T Iterable<T>
비동기 Future<T> Stream<T>
50
File file = new File("foo.txt");
print(file.readAsStringSync());
File file = new File("foo.txt");
Future future = file.readAsString();
future.then((content) => process(content))
.catchError((e) => handleError(e));
File file = new File("foo.txt");
Future future = file.readAsString();
future.then(expensiveA)
.then(expensiveB)
.then(expensiveC)
.catchError((e) => handleError(e));
하나 다수
동기 T Iterable<T>
비동기 Future<T> Stream<T>
54
55
Iterable (pull) Stream (push)
getDataFromLocalMemory()
.skip(10)
.take(5)
.map((s) => s + "foo")
.forEach(print)
getDataFromNetwork()
.skip(10)
.take(5)
.map((s) => s + "foo")
.forEach(print)
56
+3
+4
Stream<int> add(Stream<int> input)
{
return input.map((x) => x+3)
.map((y) => y+4);
}
57
query1
query2
Future<int> query1(int input);
Future<int> query2(int input);
Stream<int> query(Stream<int> input)
{
return input.asyncMap(query1)
.asyncMap(query2);
}
58
stdin Stream<List<Int>
HttpServer Stream<HttpRequest>
HttpRequest Stream<List<int>>
HttpClientResponse Stream<List<int>>
RawServerSocket Stream<RawSocket>
RawSocket Stream<RawSocketEvent>
WebSocket Stream<List<int>> 또는
Stream<String>
59
60
61
http://www.reactive-streams.org/
62
63
64
65
67

dart:async로 맛보는 Functional Reactive Programming

Editor's Notes

  • #3 전문연구요원
  • #4 가장 첫 순서인 “다시 만난 세계”에서는 프로그래밍 언어를 처음 배우던 때로 돌아가서 프로그래머들이 잊고 있었던 세계를 다시 만나 보려고 합니다. 우리가 만약 지금처럼 절차적으로 프로그래밍하는 것에 완전히 길들여져 있지 않았더라면, 처음 그 갈림길에서 다른 길을 갔더라면 어땠을 지 생각해 보겠습니다.
  • #8 대충 이렇게 표현하고, 프로세서는 프로그램을 한줄씩 따라가며 함수를 호출하고 결과 값을 얻어낼 것입니다. 컨트롤이 한줄씩 명령을 실행하기 때문에 이런 방식을 명령형Imperative 또는 절차적Procedural 이라고 합니다.
  • #9 그런데 이렇게 표현하면 어떨까요? 그 합성함수를 조금 다른 방식으로 그려 본 것입니다. F 와 g 는 각자 아주 간단한 계산을 하는 블록입니다. 데이터는 계속 흐르고, f와 g는 독립적으로 각자 주어진 일을 수행합니다. 그런 의미에서 이 그림은 선언적Declarative입니다.
  • #10 작은 단위의 두 블록을 합쳐서 하나의 큰 블록이 있다고 볼 수도 있겠죠.
  • #12 생각해 보면 우리가 생각할 수 있는 거의 모든 것을 이 그림으로 표현할 수 있습니다. 데이터가 흐르는 작은 단위로 소프트웨어를 구성하고 그것을 조합해서 큰 소프트웨어 전체에 데이터가 흐를 수 있게 하면 좋을 것 같다는 생각이 듭니다.
  • #13 아무리 봐도 데이터의 흐름이 컨트롤의 흐름보다 좋아 보이지만, 70년대와 80년대를 지나면서 데이터 플로우는 대세를 잃게 됩니다.
  • #14 가장 직접적인 원인이라면 컴퓨터의 시초가 된 튜링머신과 그로부터 탄생한 모든 컴퓨터들이 모두 이 방식이었다는 데에 있겠지만, 무엇보다 가장 큰 원인은 어느 한 회사였습니다. 그 회사의 상표가..
  • #15 이렇게 생겼는데, 이 회사에서 프로세서를 너무 잘 만들었고, 그 프로세서에서 매우 효율적으로 돌아가는, 컨트롤 플로우에 기반한 프로그래밍 언어와 소프트웨어가 주류가 되기 시작했습니다. 컴퓨터 한 대로는 어쩔 수 없으니 고성능을 위해선 여러 대로 분산해서 써야 하게 되었습니다. 이제 컨트롤 플로우 방식을 선택해야 했던 요인들이 없어졌으니, 다시 데이터플로우에 눈길을 돌릴 때가 된 것입니다.
  • #18 리액티브 프로그래밍은 데이터 플로우 방식의 프로그램을 구현할 수 있는 하나의 패러다임입니다.
  • #20 그런데 같은 동작을 엑셀에서 했다면 어떨까요? 3, 4를 입력하고 C를 저렇게 정했다면 A, B의 값을 바꾸면 C의 값도 자동으로 변하겠죠. 이것이 바로 Reactive Programming 의 가장 특징적인 개념입니다.
  • #21 엑셀에서처럼, Reactive 하게 C = A + B 라고 했다는 말은 사실 다음과 같은 데이터 흐름을 정의한 것과 같습니다. 보셨듯이, 절차적procedural, 명령형imperative이지 않고 선언적declarative이며, 컨트롤의 흐름에 관계 없이 데이터의 흐름에 기반해 있습니다. 프로그램이 이렇게 선언적으로 짜여 있다면 C = A + B 라고 하고 A, B의 값이 바뀌면 자동으로 C의 값도 변화하는 셈이죠.
  • #22 즉, 리액티브한 시스템을 위해서는 독립적인 여러 개의 계산 단위와 데이터들이 그들 사이로 흐르는 방식이 필요하고, 그렇게 되어야 분산 시스템을 제대로 만들 수 있습니다. 찾아보면 이런 방식이 우리 주변에 정말 많이 있습니다.
  • #23 가장 유사한 것으로는 논리회로가 있습니다. 그림은 ‘전가산기’라고 부르는 덧셈을 하는 회로이죠. 이런 회로가 아주 복잡해지면 CPU가 되고 메모리가 되기도 하구요, 이런 하드웨어를 만들기 위해서 사용되는 Verilog 같은 언어들은 데이터플로우 패러다임으로 분류됩니다.
  • #24 밴드에서 연주하는 음악도 각각의 악기가 보내는 전기적인 신호가 각종 이펙터와 믹서를 거쳐서 출력 결과를 내놓는 것이었구요.
  • #25 좀더 크게 보면 우리가 회사와 세상에서 하는 모든 일들은 각자 살아가는 사람들이 서로 메시지를 주고 받으면서 제가 지금 하고 있는 일도 여러분들께 메시지를 전달하고 있는 것이죠. 이러한 새로운 패러다임을 컴퓨터로 구현하기 위해서는 어떻게 해야 할까요? 다른 패러다임들이 무엇이 있는지부터 찾아봅시다.
  • #32 우리가 아는 함수는 입력을 주면 출력을 리턴합니다. 그런데 문제가 있어요. 이 함수는 동기적으로 호출되기 때문에, 입력이 들어가고 출력이 나올 때까지 이 함수를 실행한 스레드는 당연하게도 다른 일을 못한다는 것입니다. 우리가 객체지향 프로그래밍 패턴이라고 배웠던 것들 중에 대부분이 이것을 당연하게 생각하고 있는데,
  • #34 그것의 결정체라고 할 수 있는 엔터프라이즈 자바 어플리케이션의 콜스택을 한번 봅시다. 진짜 하려고 했던 일은 노란색 네모가 가리키는 것 뿐인데, 나머지가 저렇게 많은 화면을 차지하고 있습니다. 더 문제는 스레드는 수백개 이상으로 만들기 부적절한 비싼 자원인데, 이걸 각각의 사용자가 한 스레드씩 잡아먹고 있다는 점이죠. 수만명 규모 이상의 부하를 처리하기 위해서는 그래서 비동기 방식이 필수적입니다.
  • #36  만약 블로킹 호출이 아닌 이벤트기반 프로그래밍이라면 아래와 같은 형태가 가능합니다. 그림은 이 정도이지만 실제로는 1000배 이상의 차이가 날 것입니다.
  • #37 완전히 이벤트드리븐 방식이 되면 이렇게 싱글스레드만으로도 엄청난 성능을 낼 수 있게 됩니다. 쿼드코어 컴퓨터라면 스레드 4개를 사용해서 성능을 더욱 높일 수 있겠죠. 그런데 이 중 하나라도 블로킹하는 아이가 있으면 어떻게 될까요? 스케일이 다른 네모가 등장하면서 다른 네모들이 끼어들 자리가 없게 되겠죠.
  • #38 Event Driven 방식을 위해 가장 먼저 필요한 것은 운영체제 차원에서의 지원입니다. 여기에선 윈도우 진영이 제일 빨랐습니다. 초기 온라인 게임서버들이 윈도우 위주이고 여기 계신 서버개발자분들 중 다수가 IOCP의 전문가이신 것도 이것과 관련이 있죠. … 그런데 이 NodeJS와 VertX는 치명적인 뻘짓을 하고 맙니다.
  • #39 비동기 방식을 위해 콜백을 인자로 넣어 버린 것이죠.
  • #40 NodeJS의 콜백 함수들은 대개 이런 식으로 생겼습니다. 비동기 호출을 하고,
  • #41 콜백 방식으로 비동기 작업을 3번 정도만 하려고 해도, 이런 식으로 함수 안에 함수 안에 함수 넣기를 반복하게 됩니다. 몇 단계씩이나 들어가는데다 에러처리와 로직이 뒤엉키면서 관리할 수 없는 구조가 되어버립니다. NodeJS API들이 다 이런 식으로 되어 있어서 프로그램을 짜다 보면 어느새 이렇게 콜백 지옥에 빠져 있고, 코드를 잘 정리한다거나 컴파일러 변환을 한다거나 하는 식의 몇 가지 해결방법이 고안되어 있긴 합니다만 근본적인 해결책은 아니죠.
  • #42 우리는 이렇게 되어 있었던 함수에 콜백을 추가할 것이 아니라,
  • #43 대신 M 이란 아이를 사용할 수 있습니다.
  • #44 대신 M 이란 아이를 사용할 수 있습니다.
  • #45 이 M에서 바로 함수형 리액티브 프로그램이 시작됩니다.
  • #50 이에 반해 구글에서 새로 만들고 있는 Dart는 언어 차원에서 Future와 비동기 스트림을 지원합니다. 정말 현명한 선택이 아닐 수 없죠.
  • #61 즉, 리액티브한 시스템을 위해서는 독립적인 여러 개의 계산 단위와 데이터들이 그들 사이로 흐르는 방식이 필요하고, 그렇게 되어야 분산 시스템을 제대로 만들 수 있습니다. 찾아보면 이런 방식이 우리 주변에 정말 많이 있습니다.
  • #64 자바스크립트 생태계에선 , 우선 아까 말했듯이 NodeJS는 망하긴 했지만, 클라이언트사이드에서 쏟아져나오고 있는 많은 MVVM 프레임웍들이 리액티브 프로그래밍의 개념을 구현하고 있습니다. Q Promise라는 퓨처 모나드와, Javascript Promise라는 표준이 발표되어 있으며, Rx의 자바스크립트 포팅도 물론 있습니다.