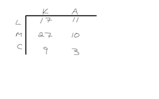
Data collected from all classes on gender, political affiliation, and opinion of the penny, then organized into a contingency table.