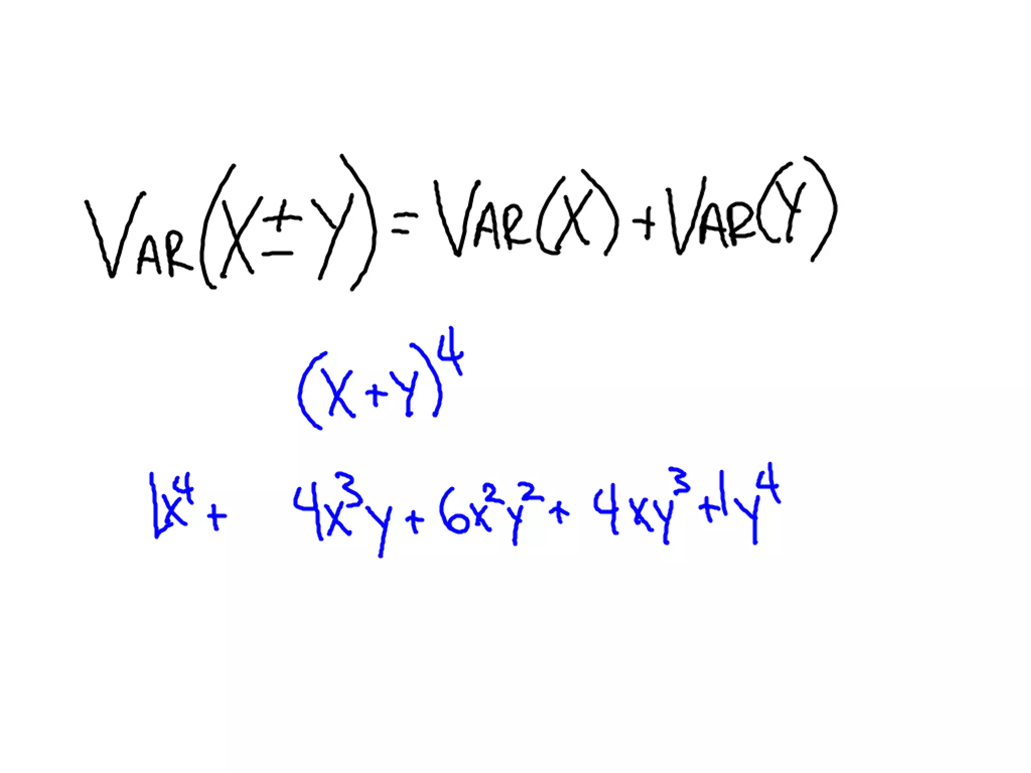
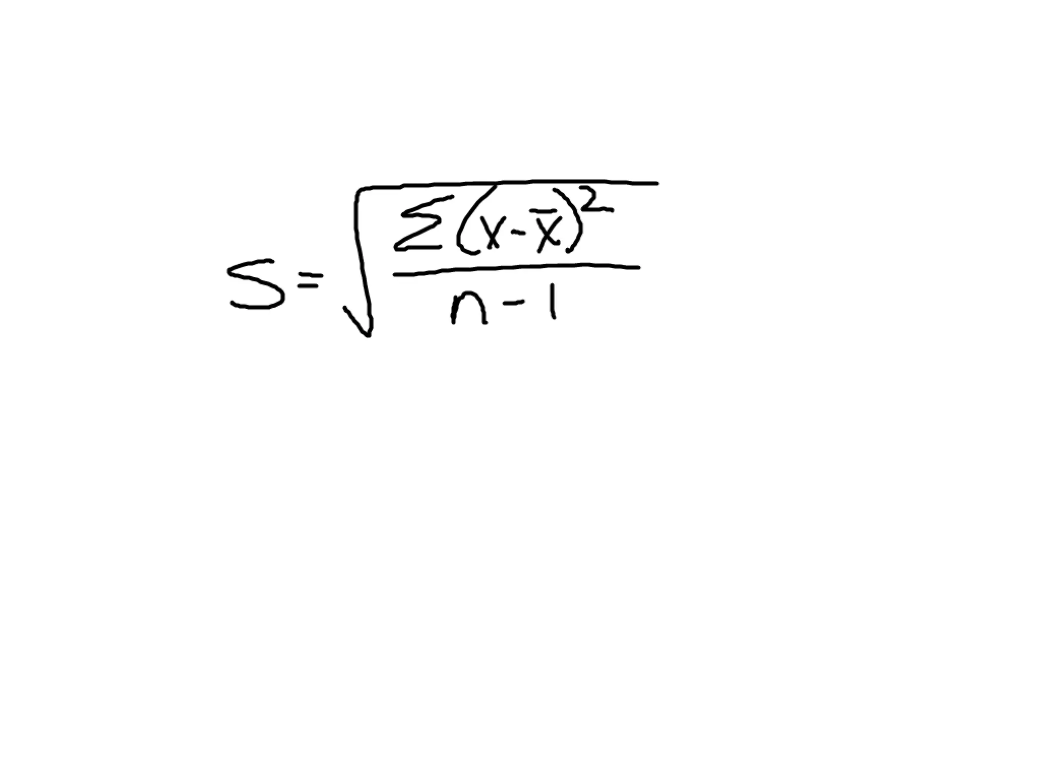
10-11 Expected Value & Variances Add
10-11 Expected Value & Variances Add
10-11 Expected Value & Variances Add
10-11 Expected Value & Variances Add
10-11 Expected Value & Variances Add
10-11 Expected Value & Variances Add
10-11 Expected Value & Variances Add
10-11 Expected Value & Variances Add
10-11 Expected Value & Variances Add