“The author makes no claim to the content's originality”
Class XI
Mathematics
Chapter- 2
Relations and Functions
Lecture - 6
Dr. Pranav Sharma
Maths Learning Centre. Jalandhar.
Maths Learning Centre, Jalandhar Maths Learning Centre, Jalandhar Maths Learning Centre, Jalandhar
Maths Learning Centre, Jalandhar Maths Learning Centre, Jalandhar Maths Learning Centre, Jalandhar
Maths Learning Centre, Jalandhar Maths Learning Centre, Jalandhar Maths Learning Centre, Jalandhar
Maths Learning Centre, Jalandhar Maths Learning Centre, Jalandhar Maths Learning Centre, Jalandhar
Maths Learning Centre, Jalandhar Maths Learning Centre, Jalandhar Maths Learning Centre, Jalandhar
Maths Learning Centre, Jalandhar Maths Learning Centre, Jalandhar Maths Learning Centre, Jalandhar
Maths Learning Centre, Jalandhar Maths Learning Centre, Jalandhar Maths Learning Centre, Jalandhar
youtube.com/@MathematicsOnlineLectures
REAL FUNCTIONS
A function 𝐟: 𝐗 → 𝐘 is called a real function, if 𝐱 ⊆ 𝐑 and 𝐲 ⊆ 𝐑.
If 𝐟(𝐱) = 𝟑𝐱𝟑
− 𝟓𝐱𝟐
+ 𝟏𝟎, find 𝐟(𝐱 − 𝟏) .
We have, 𝐟(𝐱) = 𝟑𝐱𝟑
− 𝟓𝐱𝟐
+ 𝟏𝟎.
𝐟(𝐱 − 𝟏) = 𝟑(𝐱 − 𝟏)𝟑
− 𝟓(𝐱 − 𝟏)𝟐
+ 𝟏
= 𝟑{𝐱𝟑
− 𝟏 − 𝟑𝐱(𝐱 − 𝟏)} − 𝟓(𝐱𝟐
− 𝟐𝐱 + 𝟏) + 𝟏𝟎
= 𝟑(𝐱𝟑
− 𝟑𝐱𝟐
+ 𝟑𝐱 − 𝟏) − 𝟓(𝐱𝟐
− 𝟐𝐱 + 𝟏) + 𝟏𝟎 = 𝟑𝐱𝟑
− 𝟏𝟒𝐱𝟐
+ 𝟏𝟗𝐱 + 𝟐.
If 𝐟(𝐱) = 𝐱 +
𝟏
𝐱
, show that {𝐟(𝐱)}𝟑
= 𝐟(𝐱𝟑
) + 𝟑𝐟 (
𝟏
𝐱
).
{𝐟(𝐱)}𝟑
= 𝐱𝟑
+
𝟏
𝐱𝟑
+ 𝟑 × 𝐱 ×
𝟏
𝐱
× (𝐱 +
𝟏
𝐱
) = (𝐱𝟑
+
𝟏
𝐱𝟑
) + 𝟑 (
𝟏
𝐱
+ 𝐱) = 𝐟(𝐱𝟑
) + 𝟑𝐟 (
𝟏
𝐱
)
Hence, {𝐟(𝐱)}𝟑
= 𝐟(𝐱𝟑
) + 𝟑𝐟 (
𝟏
𝐱
) .
Maths Learning Centre, Jalandhar Maths Learning Centre, Jalandhar Maths Learning Centre, Jalandhar
Maths Learning Centre, Jalandhar Maths Learning Centre, Jalandhar Maths Learning Centre, Jalandhar
Maths Learning Centre, Jalandhar Maths Learning Centre, Jalandhar Maths Learning Centre, Jalandhar
Maths Learning Centre, Jalandhar Maths Learning Centre, Jalandhar Maths Learning Centre, Jalandhar
Maths Learning Centre, Jalandhar Maths Learning Centre, Jalandhar Maths Learning Centre, Jalandhar
Maths Learning Centre, Jalandhar Maths Learning Centre, Jalandhar Maths Learning Centre, Jalandhar
Maths Learning Centre, Jalandhar Maths Learning Centre, Jalandhar Maths Learning Centre, Jalandhar
https://youtu.be/fFEfRr2hpvw
youtube.com/@MathematicsOnlineLectures
If 𝐟(𝐱) =
𝐱−𝟏
𝐱+𝟏
′𝐱 ≠ −𝟏 then show that 𝐟{𝐟(𝐱)} =
−𝟏
𝐱
, where 𝐱 ≠ 𝟎.
𝐟{𝐟(𝐱)} = 𝐟 (
𝐱 − 𝟏
𝐱 + 𝟏
) =
{
𝐱 − 𝟏
𝐱 + 𝟏
− 𝟏}
{
𝐱 − 𝟏
𝐱 + 𝟏
+ 𝟏}
=
{(𝐱 − 𝟏) − (𝐱 + 𝟏)}
(𝐱 + 𝟏)
×
(𝐱 + 𝟏)
{(𝐱 − 𝟏) + (𝐱 + 𝟏)}
=
−𝟐
𝟐𝐱
=
−𝟏
𝐱
.
If 𝐲 = 𝐟(𝐱) =
𝐚𝐱−𝐛
𝐛𝐱−𝐚
and 𝐚𝟐
≠ 𝐛𝟐
then prove that 𝐱 = 𝐟(𝐲).
𝐟(𝐲) = 𝐟{𝐟(𝐱)} = 𝐟 (
𝐚𝐱−𝐛
𝐚𝐱−𝐚
) =
{𝐚(
𝐚𝐱−𝐛
𝐛𝐱−𝐚
)−𝐛}
{𝐛(
𝐚𝐱−𝐛
𝐛𝐱−𝐚
)−𝐚}
=
{(𝐚𝟐𝐱−𝐚𝐛)−(𝐛𝟐𝐱−𝐚𝐛)}
(𝐛𝐱−𝐚)
×
(𝐛𝐱−𝐚)
{(𝐚𝐛𝐱−𝐛𝟐)−(𝐚𝐛𝐱−𝐚𝟐)}
=
(𝐚𝟐𝐱−𝐛𝟐𝐱)
(𝐚𝟐−𝐛𝟐)
=
(𝐚𝟐−𝐛𝟐)𝐱
(𝐚𝟐−𝐛𝟐)
= 𝐱.
Maths Learning Centre, Jalandhar Maths Learning Centre, Jalandhar Maths Learning Centre, Jalandhar
Maths Learning Centre, Jalandhar Maths Learning Centre, Jalandhar Maths Learning Centre, Jalandhar
Maths Learning Centre, Jalandhar Maths Learning Centre, Jalandhar Maths Learning Centre, Jalandhar
Maths Learning Centre, Jalandhar Maths Learning Centre, Jalandhar Maths Learning Centre, Jalandhar
Maths Learning Centre, Jalandhar Maths Learning Centre, Jalandhar Maths Learning Centre, Jalandhar
Maths Learning Centre, Jalandhar Maths Learning Centre, Jalandhar Maths Learning Centre, Jalandhar
Maths Learning Centre, Jalandhar Maths Learning Centre, Jalandhar Maths Learning Centre, Jalandhar
https://youtu.be/fFEfRr2hpvw
youtube.com/@MathematicsOnlineLectures
If 𝐟(𝐱) =
𝐱−𝟏
𝐱+𝟏
then prove that 𝐟(𝟐𝐱) =
𝟑𝐟(𝐱)+𝟏
𝐟(𝐱)+𝟑
.
𝟑𝐟(𝐱)+𝟏
𝐟(𝐱)+𝟑
=
𝟑(
𝐱−𝟏
𝐱+𝟏
)+𝟏
(𝐱−𝟏)
(𝐱+𝟏)
+𝟑
=
(𝟑𝐱−𝟑)+(𝐱+𝟏)
(𝐱+𝟏)
×
(𝐱+𝟏)
(𝐱−𝟏)+(𝟑𝐱+𝟑)
=
𝟐𝐱−𝟏
𝟐𝐱+𝟏
= 𝐟(𝟐𝐱).
Let the functions 𝐟 and 𝐠 be defined by
𝐟(𝐱) = (𝐱 − 𝟑) and 𝐠(𝐱) = {
𝐱𝟐−𝟗
𝐱+𝟑
, 𝐰𝐡𝐞𝐧 𝐱 ≠ −𝟑
𝐤, 𝐰𝐡𝐞𝐧 𝐱 = −𝟑.
Find the value of 𝐤 such that 𝐟(𝐱) = 𝐠(𝐱) for all 𝐱 ∈ 𝐑.
We have, 𝐟(𝐱) = 𝐠(𝐱) for all 𝐱 ∈ 𝐑. 𝐟(−𝟑) = 𝐠(−𝟑) ⇒ (−𝟑 − 𝟑) = 𝐤 ⇒ 𝐤 = −𝟔.
Maths Learning Centre, Jalandhar Maths Learning Centre, Jalandhar Maths Learning Centre, Jalandhar
Maths Learning Centre, Jalandhar Maths Learning Centre, Jalandhar Maths Learning Centre, Jalandhar
Maths Learning Centre, Jalandhar Maths Learning Centre, Jalandhar Maths Learning Centre, Jalandhar
Maths Learning Centre, Jalandhar Maths Learning Centre, Jalandhar Maths Learning Centre, Jalandhar
Maths Learning Centre, Jalandhar Maths Learning Centre, Jalandhar Maths Learning Centre, Jalandhar
Maths Learning Centre, Jalandhar Maths Learning Centre, Jalandhar Maths Learning Centre, Jalandhar
Maths Learning Centre, Jalandhar Maths Learning Centre, Jalandhar Maths Learning Centre, Jalandhar
https://youtu.be/fFEfRr2hpvw
youtube.com/@MathematicsOnlineLectures
If 𝐟(𝐱) =
𝟏
(𝟏−𝐱)
then show that 𝐟[𝐟{𝐟(𝐱)}] = 𝐱.
𝐟{𝐟(𝐱)} =
𝟏
{𝟏−
𝟏
(𝟏−𝐱)
}
=
𝟏−𝐱
−𝐱
=
𝐱−𝟏
𝐱
⇒ 𝐟[𝐟{𝐟(𝐱)}] =
{
𝟏
(𝟏−𝐱)
−𝟏}
𝟏
(𝟏−𝐱)
=
𝐱
(𝟏−𝐱)
×
(𝟏−𝐱)
𝟏
= 𝐱.
If 𝐟(𝐱) =
𝟐𝐱
(𝟏+𝐱𝟐)
then show that 𝐟( 𝐭𝐚𝐧 𝛉) = 𝐬𝐢𝐧 𝟐𝛉.
𝐟( 𝐭𝐚𝐧 𝛉) =
𝟐 𝐭𝐚𝐧 𝛉
(𝟏 + 𝐭𝐚𝐧𝟐𝛉)
=
𝟐 𝐭𝐚𝐧 𝛉
𝐬𝐞𝐜𝟐𝛉
=
𝟐 𝐬𝐢𝐧 𝛉
𝐜𝐨𝐬 𝛉
× 𝐜𝐨𝐬𝟐
𝛉 = 𝟐 𝐬𝐢𝐧 𝛉 ⋅ 𝐜𝐨𝐬 𝛉 = 𝐬𝐢𝐧 𝟐𝛉.
If 𝐲 = 𝐟(𝐱) =
𝟑𝐱+𝟏
𝟓𝐱−𝟑
, prove that 𝐱 = 𝐟(𝐲) .
𝐟(𝐲) =
𝟑𝐲 + 𝟏
𝟓𝐲 − 𝟑
=
𝟑 (
𝟑𝐱 + 𝟏
𝟓𝐱 − 𝟑
) + 𝟏
𝟓 (
𝟑𝐱 + 𝟏
𝟓𝐱 − 𝟑
) − 𝟑
=
𝟗𝐱 + 𝟑 + 𝟓𝐱 − 𝟑
𝟏𝟓𝐱 + 𝟓 − 𝟏𝟓𝐱 + 𝟗
=
𝟏𝟒𝐱
𝟏𝟒
= 𝐱.
Maths Learning Centre, Jalandhar Maths Learning Centre, Jalandhar Maths Learning Centre, Jalandhar
Maths Learning Centre, Jalandhar Maths Learning Centre, Jalandhar Maths Learning Centre, Jalandhar
Maths Learning Centre, Jalandhar Maths Learning Centre, Jalandhar Maths Learning Centre, Jalandhar
Maths Learning Centre, Jalandhar Maths Learning Centre, Jalandhar Maths Learning Centre, Jalandhar
Maths Learning Centre, Jalandhar Maths Learning Centre, Jalandhar Maths Learning Centre, Jalandhar
Maths Learning Centre, Jalandhar Maths Learning Centre, Jalandhar Maths Learning Centre, Jalandhar
Maths Learning Centre, Jalandhar Maths Learning Centre, Jalandhar Maths Learning Centre, Jalandhar
https://youtu.be/fFEfRr2hpvw
youtube.com/@MathematicsOnlineLectures
Operations On Functions
(i) Sum Of Two Real Functions
Let 𝐟 : 𝐃𝟏 → 𝐑 and 𝐠: 𝐃𝟐 → 𝐑, where 𝐃𝟏 ⊆ 𝐑 and 𝐃𝟐 ⊆ 𝐑. Then,
(𝐟 + 𝐠): (𝐃𝟏 ∩ 𝐃𝟐) → 𝐑: (𝐟 + 𝐠)(𝐱) = 𝐟(𝐱) + 𝐠(𝐱) for all 𝐱 ∈ (𝐃𝟏 ∩ 𝐃𝟐) .
(ii) Difference Of Two Real Functions
Let 𝐟 : 𝐃𝟏 → 𝐑 and 𝐠: 𝐃𝟐 → 𝐑, where 𝐃𝟏 ⊆ 𝐑 and 𝐃𝟐 ⊆ 𝐑. Then,
(𝐟 − 𝐠): (𝐃𝟏 ∩ 𝐃𝟐) → 𝐑: (𝐟 − 𝐠)(𝐱) = 𝐟(𝐱) − 𝐠(𝐱) for all 𝐱 ∈ (𝐃𝟏 ∩ 𝐃𝟐) .
(iii) Multiplication Of Two Real Functions
Let 𝐟 : 𝐃𝟏 → 𝐑 and 𝐠: 𝐃𝟐 → 𝐑, where 𝐃𝟏 ⊆ 𝐑 and 𝐃𝟐 ⊆ 𝐑. Then,
(𝒇𝒈): (𝐃𝟏 ∩ 𝐃𝟐) → 𝐑: (𝒇𝒈) (𝐱) = 𝐟(𝐱) ⋅ 𝐠(𝐱) for all 𝐱 ∈ (𝐃𝟏 ∩ 𝐃𝟐).
Maths Learning Centre, Jalandhar Maths Learning Centre, Jalandhar Maths Learning Centre, Jalandhar
Maths Learning Centre, Jalandhar Maths Learning Centre, Jalandhar Maths Learning Centre, Jalandhar
Maths Learning Centre, Jalandhar Maths Learning Centre, Jalandhar Maths Learning Centre, Jalandhar
Maths Learning Centre, Jalandhar Maths Learning Centre, Jalandhar Maths Learning Centre, Jalandhar
Maths Learning Centre, Jalandhar Maths Learning Centre, Jalandhar Maths Learning Centre, Jalandhar
Maths Learning Centre, Jalandhar Maths Learning Centre, Jalandhar Maths Learning Centre, Jalandhar
Maths Learning Centre, Jalandhar Maths Learning Centre, Jalandhar Maths Learning Centre, Jalandhar
https://youtu.be/fFEfRr2hpvw
youtube.com/@MathematicsOnlineLectures
(iv) Quotient Of Two Real Functions
Let 𝐟 : 𝐃𝟏 → 𝐑 and 𝐠: 𝐃𝟐 → 𝐑, where 𝐃𝟏 ⊆ 𝐑 and 𝐃𝟐 ⊆ 𝐑.
Let 𝐃 = (𝐃𝟏 ∩ 𝐃𝟐) − {𝐱: 𝐠(𝐱) = 𝟎}. Then,
(
𝐟
𝐠
) : 𝐃 → 𝐑: (
𝐟
𝐠
) (𝐱) =
𝐟(𝐱)
𝐠(𝐱)
for all 𝐱 ∈ 𝐃.
(V) Reciprocal of a Function
Let 𝐟 : 𝐃𝟏 → 𝐑 and let 𝐃 = 𝐃𝟏 − {𝐱: 𝐟(𝐱) = 𝟎}.Then,
𝟏
𝐟
: 𝐃 → 𝐑: (
𝟏
𝐟
) (𝐱) =
𝟏
𝐟(𝐱)
for all 𝐱 ∈ 𝐃.
(vi) Scalar Multiple of a Function
Let 𝐟 : 𝐃 → 𝐑 and let 𝛂 be a scalar (a real number). Then,
(𝛂𝐟): 𝐃 → 𝐑: (𝛂𝐟)(𝐱) = 𝛂 ⋅ 𝐟(𝐱) for all 𝐱 ∈ 𝐃.
Maths Learning Centre, Jalandhar Maths Learning Centre, Jalandhar Maths Learning Centre, Jalandhar
Maths Learning Centre, Jalandhar Maths Learning Centre, Jalandhar Maths Learning Centre, Jalandhar
Maths Learning Centre, Jalandhar Maths Learning Centre, Jalandhar Maths Learning Centre, Jalandhar
Maths Learning Centre, Jalandhar Maths Learning Centre, Jalandhar Maths Learning Centre, Jalandhar
Maths Learning Centre, Jalandhar Maths Learning Centre, Jalandhar Maths Learning Centre, Jalandhar
Maths Learning Centre, Jalandhar Maths Learning Centre, Jalandhar Maths Learning Centre, Jalandhar
Maths Learning Centre, Jalandhar Maths Learning Centre, Jalandhar Maths Learning Centre, Jalandhar
https://youtu.be/fFEfRr2hpvw
youtube.com/@MathematicsOnlineLectures
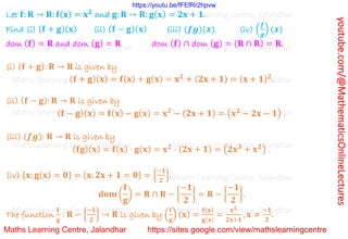
Let 𝐟: 𝐑 → 𝐑: 𝐟(𝐱) = 𝐱𝟐
and 𝐠: 𝐑 → 𝐑: 𝐠(𝐱) = 𝟐𝐱 + 𝟏.
Find (i) (𝐟 + 𝐠)(𝐱) (ii) (𝐟 − 𝐠)(𝐱) (iii) (𝒇𝒈)(𝒙) (iv) (
𝒇
𝒈
) (𝒙)
dom (𝐟) = 𝐑 and dom (𝐠) = 𝐑 dom (𝐟) ∩ dom (𝐠) = (𝐑 ∩ 𝐑) = 𝐑.
(i) (𝐟 + 𝐠): 𝐑 → 𝐑 is given by
(𝐟 + 𝐠)(𝐱) = 𝐟(𝐱) + 𝐠(𝐱) = 𝐱𝟐
+ (𝟐𝐱 + 𝟏) = (𝐱 + 𝟏)𝟐
.
(ii) (𝐟 − 𝐠): 𝐑 → 𝐑 is given by
(𝐟 − 𝐠)(𝐱) = 𝐟(𝐱) − 𝐠(𝐱) = 𝐱𝟐
− (𝟐𝐱 + 𝟏) = (𝐱𝟐
− 𝟐𝐱 − 𝟏) .
(iii) (𝒇𝒈): 𝐑 → 𝐑 is given by
(𝐟𝐠)(𝐱) = 𝐟(𝐱) ⋅ 𝐠(𝐱) = 𝐱𝟐
⋅ (𝟐𝐱 + 𝟏) = (𝟐𝐱𝟑
+ 𝐱𝟐
) .
(iv) {𝐱: 𝐠(𝐱) = 𝟎} = {𝐱: 𝟐𝐱 + 𝟏 = 𝟎} = {
−𝟏
𝟐
}.
𝐝𝐨𝐦 (
𝐟
𝐠
) = 𝐑 ∩ 𝐑 − {
−𝟏
𝟐
} = 𝐑 − {
−𝟏
𝟐
}.
The function
𝐟
𝐠
: 𝐑 − {
−𝟏
𝟐
} → 𝐑 is given by (
𝐟
𝐠
) (𝐱) =
𝐟(𝐱)
𝐠(𝐱)
=
𝐱𝟐
𝟐𝐱+𝟏
, 𝐱 ≠
−𝟏
𝟐
.
Maths Learning Centre, Jalandhar Maths Learning Centre, Jalandhar Maths Learning Centre, Jalandhar
Maths Learning Centre, Jalandhar Maths Learning Centre, Jalandhar Maths Learning Centre, Jalandhar
Maths Learning Centre, Jalandhar Maths Learning Centre, Jalandhar Maths Learning Centre, Jalandhar
Maths Learning Centre, Jalandhar Maths Learning Centre, Jalandhar Maths Learning Centre, Jalandhar
Maths Learning Centre, Jalandhar Maths Learning Centre, Jalandhar Maths Learning Centre, Jalandhar
Maths Learning Centre, Jalandhar Maths Learning Centre, Jalandhar Maths Learning Centre, Jalandhar
Maths Learning Centre, Jalandhar Maths Learning Centre, Jalandhar Maths Learning Centre, Jalandhar
https://youtu.be/fFEfRr2hpvw
youtube.com/@MathematicsOnlineLectures
Let 𝐟(𝐱) = √𝐱 and 𝐠(𝐱) = 𝐱 be two functions defined over the set of nonnegative real
numbers. Find: (i) (𝐟 + 𝐠)(𝐱) (ii) (𝐟 − 𝐠)(𝐱) (iii) (𝐟𝐠)(𝐱) (iv)
𝐟
𝐠
(𝐱)
𝐟 : [𝟎, ∞) → 𝐑: 𝐟(𝐱) = √𝐱 𝐠: [𝟎, ∞) → 𝐑: 𝐠(𝐱) = 𝐱.
dom (𝐟) = [𝟎, ∞) dom (𝐠) = [𝟎, ∞).
dom (𝐟) ∩ dom (𝐠) = [𝟎, ∞) ∩ [𝟎, ∞) = [𝟎, ∞).
(i) (𝐟 + 𝐠): [𝟎, ∞) → 𝐑 is given by (𝒇 + 𝒈)(𝒙) = 𝒇(𝒙) + 𝒈(𝒙) = (√𝒙 + 𝒙) .
(ii) (𝐟 − 𝐠): [𝟎, ∞) → 𝐑 is given by (𝒇 − 𝒈)(𝒙) = 𝒇(𝒙) − 𝒈(𝒙) = (√𝒙 − 𝒙) .
(iii) (𝒇𝒈): [𝟎, ∞) → 𝐑 is given by (𝒇𝒈)(𝒙) = 𝒇(𝒙) ⋅ 𝒈(𝒙) = (√𝒙 × 𝒙) = 𝒙𝟑/𝟐
.
(iv) {𝐱: 𝐠(𝐱) = 𝟎} = {𝟎}.
𝒅𝒐𝒎 (
𝒇
𝒈
) = 𝒅𝒐𝒎(𝒇) ∩ 𝒅𝒐𝒎 (𝒈) − {𝒙: 𝒈(𝒙) = 𝟎} = [𝟎, ∞) − {𝟎} = (𝟎, ∞)
So,
𝒇
𝒈
∶ (𝟎, ∞) → 𝑹 is given by (
𝐟
𝐠
) (𝐱) =
𝐟(𝐱)
𝐠(𝐱)
=
√𝐱
𝐱
=
𝟏
√𝐱
, 𝐱 ≠ 𝟎.
Maths Learning Centre, Jalandhar Maths Learning Centre, Jalandhar Maths Learning Centre, Jalandhar
Maths Learning Centre, Jalandhar Maths Learning Centre, Jalandhar Maths Learning Centre, Jalandhar
Maths Learning Centre, Jalandhar Maths Learning Centre, Jalandhar Maths Learning Centre, Jalandhar
Maths Learning Centre, Jalandhar Maths Learning Centre, Jalandhar Maths Learning Centre, Jalandhar
Maths Learning Centre, Jalandhar Maths Learning Centre, Jalandhar Maths Learning Centre, Jalandhar
Maths Learning Centre, Jalandhar Maths Learning Centre, Jalandhar Maths Learning Centre, Jalandhar
Maths Learning Centre, Jalandhar Maths Learning Centre, Jalandhar Maths Learning Centre, Jalandhar
https://youtu.be/fFEfRr2hpvw
youtube.com/@MathematicsOnlineLectures
Let 𝐟 and 𝐠 be real functions defined by 𝐟(𝐱) = √𝐱 − 𝟏 and 𝐠(𝐱) = √𝐱 + 𝟏.
Find (i) (𝐟 + 𝐠)(𝐱) (ii) (𝐟 − 𝐠)(𝐱) (iii) (𝒇𝒈)(𝒙) (iv) (
𝐟
𝐠
) (𝐱) .
𝐟(𝐱) = √𝐱 − 𝟏 is defined for all real values of 𝐱 for which 𝐱 − 𝟏 ≥ 𝟎, dom (𝐟) = [𝟏, ∞).
𝐠(𝐱) = √𝐱 + 𝟏 is defined for all real values of 𝐱 for which 𝐱 + 𝟏 ≥ 𝟎, dom (𝐠) = [−𝟏, ∞)
dom (𝐟) ∩ dom (𝐠) = [𝟏, ∞) ∩ [−𝟏, ∞) = [𝟏, ∞).
(i) (𝐟 + 𝐠): [𝟏, ∞) → 𝐑 is given by (𝒇 + 𝒈)(𝒙) = 𝒇(𝒙) + 𝒈(𝒙) = (√𝒙 − 𝟏 +
√𝒙 + 𝟏) .
(ii) (𝐟 − 𝐠): [𝟏, ∞) → 𝐑 is given by (𝒇 − 𝒈)(𝒙) = 𝒇(𝒙) − 𝒈(𝒙) = (√𝒙 − 𝟏 −
√𝒙 + 𝟏) .
(iii) (𝒇𝒈): [𝟏, ∞) → 𝐑 is given by (𝐟𝐠)(𝐱) = 𝐟(𝐱) ⋅ 𝐠(𝐱) = √𝐱 − 𝟏 × √𝐱 + 𝟏 = √𝐱𝟐 − 𝟏.
(iv) {𝐱: 𝐠(𝐱) = 𝟎} = {𝐱: √𝐱 + 𝟏 = 𝟎} = {𝐱: 𝐱 + 𝟏 = 𝟎} = {−𝟏}.
dom (𝐟) ∩ dom (𝐠) − {𝐱: 𝐠(𝐱) = 𝟎} = [𝟏, ∞) ∩ [−𝟏, ∞)−{𝟏} = [𝟏, ∞)
𝐟
𝐠
→ [𝟏, ∞) → 𝐑 is given by (
𝐟
𝐠
) (𝐱) =
𝐟(𝐱)
𝐠(𝐱)
=
√𝐱−𝟏
√𝐱+𝟏
.
Maths Learning Centre, Jalandhar Maths Learning Centre, Jalandhar Maths Learning Centre, Jalandhar
Maths Learning Centre, Jalandhar Maths Learning Centre, Jalandhar Maths Learning Centre, Jalandhar
Maths Learning Centre, Jalandhar Maths Learning Centre, Jalandhar Maths Learning Centre, Jalandhar
Maths Learning Centre, Jalandhar Maths Learning Centre, Jalandhar Maths Learning Centre, Jalandhar
Maths Learning Centre, Jalandhar Maths Learning Centre, Jalandhar Maths Learning Centre, Jalandhar
Maths Learning Centre, Jalandhar Maths Learning Centre, Jalandhar Maths Learning Centre, Jalandhar
Maths Learning Centre, Jalandhar Maths Learning Centre, Jalandhar Maths Learning Centre, Jalandhar
https://youtu.be/fFEfRr2hpvw
youtube.com/@MathematicsOnlineLectures
Let 𝐑+
be the set of all positive real numbers. Let 𝐟 : 𝐑+
→ 𝐑: 𝐟(𝐱) = 𝐥𝐨𝐠𝐞𝐱.
Find (i) range (f) (ii) {𝐱: 𝐱 ∈ 𝐑+
and 𝐟(𝐱) = −𝟐}.
(iii) Find out whether 𝐟(𝐱𝐲) = 𝐟(𝐱) + 𝐟(𝐲) for all 𝐱, 𝐲 ∈ 𝐑+
(i) For every 𝐱 ∈ 𝐑+
, we have 𝐥𝐨𝐠𝐞𝐱 = 𝐑. So, range (𝐟) = 𝐑.
(ii) 𝐟(𝐱) = −𝟐 ⇒ 𝐥𝐨𝐠𝐞𝐱 = −𝟐 ⇒ 𝐱 = 𝐞−𝟐
. So, {𝐱: 𝐱 ∈ 𝐑+
and 𝐟(𝐱) = −𝟐} = {𝐞−𝟐}.
(iii) 𝐟(𝐱𝐲) = 𝐥𝐨𝐠𝐞(𝐱𝐲) = 𝐥𝐨𝐠𝐞𝐱 + 𝐥𝐨𝐠𝐞𝐲 = 𝐟(𝐱) + 𝐟(𝐲) .
Let 𝐟 : 𝐑 → 𝐑: 𝐟(𝐱) = 𝟐𝐱
. Find (i) range (f) (ii) {𝐱: 𝐟(𝐱) = 𝟏}.
(iii) Find out whether 𝐟(𝐱 + 𝐲) = 𝐟(𝐱) ⋅ 𝐟(𝐲) for all 𝐱, 𝐲 ∈ 𝐑.
(i) 𝐟(𝐱) = 𝟐𝐱
> 𝟎 for every 𝐱 ∈ 𝐑. If 𝐱 ∈ 𝐑+
, there exists 𝐥𝐨𝐠𝟐𝐱 such that
𝐟(𝐥𝐨𝐠𝟐𝐱) = 𝟐𝐥𝐨𝐠𝟐𝐱
= 𝐱. range (𝐟) = 𝐑+
.
(ii) 𝐟(𝐱) = 𝟏 ⇒ 𝟐𝐱
= 𝟏 = 𝟐𝟎
⇒ 𝐱 = 𝟎. So, {𝐱 ∶ 𝐟(𝐱) = 𝟏} = {𝟎}.
(iii) 𝐟(𝐱 + 𝐲) = 𝟐𝐱+𝐲
= 𝟐𝐱
× 𝟐𝐲
= 𝐟(𝐱) ⋅ 𝐟(𝐲) .
Maths Learning Centre, Jalandhar Maths Learning Centre, Jalandhar Maths Learning Centre, Jalandhar
Maths Learning Centre, Jalandhar Maths Learning Centre, Jalandhar Maths Learning Centre, Jalandhar
Maths Learning Centre, Jalandhar Maths Learning Centre, Jalandhar Maths Learning Centre, Jalandhar
Maths Learning Centre, Jalandhar Maths Learning Centre, Jalandhar Maths Learning Centre, Jalandhar
Maths Learning Centre, Jalandhar Maths Learning Centre, Jalandhar Maths Learning Centre, Jalandhar
Maths Learning Centre, Jalandhar Maths Learning Centre, Jalandhar Maths Learning Centre, Jalandhar
Maths Learning Centre, Jalandhar Maths Learning Centre, Jalandhar Maths Learning Centre, Jalandhar
https://youtu.be/fFEfRr2hpvw

Class 11_Chapter 2_Relations and Functions (Real Functions) Lecture 6.pdf

  • 1.
    “The author makesno claim to the content's originality” Class XI Mathematics Chapter- 2 Relations and Functions Lecture - 6 Dr. Pranav Sharma Maths Learning Centre. Jalandhar. Maths Learning Centre, Jalandhar Maths Learning Centre, Jalandhar Maths Learning Centre, Jalandhar Maths Learning Centre, Jalandhar Maths Learning Centre, Jalandhar Maths Learning Centre, Jalandhar Maths Learning Centre, Jalandhar Maths Learning Centre, Jalandhar Maths Learning Centre, Jalandhar Maths Learning Centre, Jalandhar Maths Learning Centre, Jalandhar Maths Learning Centre, Jalandhar Maths Learning Centre, Jalandhar Maths Learning Centre, Jalandhar Maths Learning Centre, Jalandhar Maths Learning Centre, Jalandhar Maths Learning Centre, Jalandhar Maths Learning Centre, Jalandhar Maths Learning Centre, Jalandhar Maths Learning Centre, Jalandhar Maths Learning Centre, Jalandhar
  • 2.
    youtube.com/@MathematicsOnlineLectures REAL FUNCTIONS A function𝐟: 𝐗 → 𝐘 is called a real function, if 𝐱 ⊆ 𝐑 and 𝐲 ⊆ 𝐑. If 𝐟(𝐱) = 𝟑𝐱𝟑 − 𝟓𝐱𝟐 + 𝟏𝟎, find 𝐟(𝐱 − 𝟏) . We have, 𝐟(𝐱) = 𝟑𝐱𝟑 − 𝟓𝐱𝟐 + 𝟏𝟎. 𝐟(𝐱 − 𝟏) = 𝟑(𝐱 − 𝟏)𝟑 − 𝟓(𝐱 − 𝟏)𝟐 + 𝟏 = 𝟑{𝐱𝟑 − 𝟏 − 𝟑𝐱(𝐱 − 𝟏)} − 𝟓(𝐱𝟐 − 𝟐𝐱 + 𝟏) + 𝟏𝟎 = 𝟑(𝐱𝟑 − 𝟑𝐱𝟐 + 𝟑𝐱 − 𝟏) − 𝟓(𝐱𝟐 − 𝟐𝐱 + 𝟏) + 𝟏𝟎 = 𝟑𝐱𝟑 − 𝟏𝟒𝐱𝟐 + 𝟏𝟗𝐱 + 𝟐. If 𝐟(𝐱) = 𝐱 + 𝟏 𝐱 , show that {𝐟(𝐱)}𝟑 = 𝐟(𝐱𝟑 ) + 𝟑𝐟 ( 𝟏 𝐱 ). {𝐟(𝐱)}𝟑 = 𝐱𝟑 + 𝟏 𝐱𝟑 + 𝟑 × 𝐱 × 𝟏 𝐱 × (𝐱 + 𝟏 𝐱 ) = (𝐱𝟑 + 𝟏 𝐱𝟑 ) + 𝟑 ( 𝟏 𝐱 + 𝐱) = 𝐟(𝐱𝟑 ) + 𝟑𝐟 ( 𝟏 𝐱 ) Hence, {𝐟(𝐱)}𝟑 = 𝐟(𝐱𝟑 ) + 𝟑𝐟 ( 𝟏 𝐱 ) . Maths Learning Centre, Jalandhar Maths Learning Centre, Jalandhar Maths Learning Centre, Jalandhar Maths Learning Centre, Jalandhar Maths Learning Centre, Jalandhar Maths Learning Centre, Jalandhar Maths Learning Centre, Jalandhar Maths Learning Centre, Jalandhar Maths Learning Centre, Jalandhar Maths Learning Centre, Jalandhar Maths Learning Centre, Jalandhar Maths Learning Centre, Jalandhar Maths Learning Centre, Jalandhar Maths Learning Centre, Jalandhar Maths Learning Centre, Jalandhar Maths Learning Centre, Jalandhar Maths Learning Centre, Jalandhar Maths Learning Centre, Jalandhar Maths Learning Centre, Jalandhar Maths Learning Centre, Jalandhar Maths Learning Centre, Jalandhar https://youtu.be/fFEfRr2hpvw
  • 3.
    youtube.com/@MathematicsOnlineLectures If 𝐟(𝐱) = 𝐱−𝟏 𝐱+𝟏 ′𝐱≠ −𝟏 then show that 𝐟{𝐟(𝐱)} = −𝟏 𝐱 , where 𝐱 ≠ 𝟎. 𝐟{𝐟(𝐱)} = 𝐟 ( 𝐱 − 𝟏 𝐱 + 𝟏 ) = { 𝐱 − 𝟏 𝐱 + 𝟏 − 𝟏} { 𝐱 − 𝟏 𝐱 + 𝟏 + 𝟏} = {(𝐱 − 𝟏) − (𝐱 + 𝟏)} (𝐱 + 𝟏) × (𝐱 + 𝟏) {(𝐱 − 𝟏) + (𝐱 + 𝟏)} = −𝟐 𝟐𝐱 = −𝟏 𝐱 . If 𝐲 = 𝐟(𝐱) = 𝐚𝐱−𝐛 𝐛𝐱−𝐚 and 𝐚𝟐 ≠ 𝐛𝟐 then prove that 𝐱 = 𝐟(𝐲). 𝐟(𝐲) = 𝐟{𝐟(𝐱)} = 𝐟 ( 𝐚𝐱−𝐛 𝐚𝐱−𝐚 ) = {𝐚( 𝐚𝐱−𝐛 𝐛𝐱−𝐚 )−𝐛} {𝐛( 𝐚𝐱−𝐛 𝐛𝐱−𝐚 )−𝐚} = {(𝐚𝟐𝐱−𝐚𝐛)−(𝐛𝟐𝐱−𝐚𝐛)} (𝐛𝐱−𝐚) × (𝐛𝐱−𝐚) {(𝐚𝐛𝐱−𝐛𝟐)−(𝐚𝐛𝐱−𝐚𝟐)} = (𝐚𝟐𝐱−𝐛𝟐𝐱) (𝐚𝟐−𝐛𝟐) = (𝐚𝟐−𝐛𝟐)𝐱 (𝐚𝟐−𝐛𝟐) = 𝐱. Maths Learning Centre, Jalandhar Maths Learning Centre, Jalandhar Maths Learning Centre, Jalandhar Maths Learning Centre, Jalandhar Maths Learning Centre, Jalandhar Maths Learning Centre, Jalandhar Maths Learning Centre, Jalandhar Maths Learning Centre, Jalandhar Maths Learning Centre, Jalandhar Maths Learning Centre, Jalandhar Maths Learning Centre, Jalandhar Maths Learning Centre, Jalandhar Maths Learning Centre, Jalandhar Maths Learning Centre, Jalandhar Maths Learning Centre, Jalandhar Maths Learning Centre, Jalandhar Maths Learning Centre, Jalandhar Maths Learning Centre, Jalandhar Maths Learning Centre, Jalandhar Maths Learning Centre, Jalandhar Maths Learning Centre, Jalandhar https://youtu.be/fFEfRr2hpvw
  • 4.
    youtube.com/@MathematicsOnlineLectures If 𝐟(𝐱) = 𝐱−𝟏 𝐱+𝟏 thenprove that 𝐟(𝟐𝐱) = 𝟑𝐟(𝐱)+𝟏 𝐟(𝐱)+𝟑 . 𝟑𝐟(𝐱)+𝟏 𝐟(𝐱)+𝟑 = 𝟑( 𝐱−𝟏 𝐱+𝟏 )+𝟏 (𝐱−𝟏) (𝐱+𝟏) +𝟑 = (𝟑𝐱−𝟑)+(𝐱+𝟏) (𝐱+𝟏) × (𝐱+𝟏) (𝐱−𝟏)+(𝟑𝐱+𝟑) = 𝟐𝐱−𝟏 𝟐𝐱+𝟏 = 𝐟(𝟐𝐱). Let the functions 𝐟 and 𝐠 be defined by 𝐟(𝐱) = (𝐱 − 𝟑) and 𝐠(𝐱) = { 𝐱𝟐−𝟗 𝐱+𝟑 , 𝐰𝐡𝐞𝐧 𝐱 ≠ −𝟑 𝐤, 𝐰𝐡𝐞𝐧 𝐱 = −𝟑. Find the value of 𝐤 such that 𝐟(𝐱) = 𝐠(𝐱) for all 𝐱 ∈ 𝐑. We have, 𝐟(𝐱) = 𝐠(𝐱) for all 𝐱 ∈ 𝐑. 𝐟(−𝟑) = 𝐠(−𝟑) ⇒ (−𝟑 − 𝟑) = 𝐤 ⇒ 𝐤 = −𝟔. Maths Learning Centre, Jalandhar Maths Learning Centre, Jalandhar Maths Learning Centre, Jalandhar Maths Learning Centre, Jalandhar Maths Learning Centre, Jalandhar Maths Learning Centre, Jalandhar Maths Learning Centre, Jalandhar Maths Learning Centre, Jalandhar Maths Learning Centre, Jalandhar Maths Learning Centre, Jalandhar Maths Learning Centre, Jalandhar Maths Learning Centre, Jalandhar Maths Learning Centre, Jalandhar Maths Learning Centre, Jalandhar Maths Learning Centre, Jalandhar Maths Learning Centre, Jalandhar Maths Learning Centre, Jalandhar Maths Learning Centre, Jalandhar Maths Learning Centre, Jalandhar Maths Learning Centre, Jalandhar Maths Learning Centre, Jalandhar https://youtu.be/fFEfRr2hpvw
  • 5.
    youtube.com/@MathematicsOnlineLectures If 𝐟(𝐱) = 𝟏 (𝟏−𝐱) thenshow that 𝐟[𝐟{𝐟(𝐱)}] = 𝐱. 𝐟{𝐟(𝐱)} = 𝟏 {𝟏− 𝟏 (𝟏−𝐱) } = 𝟏−𝐱 −𝐱 = 𝐱−𝟏 𝐱 ⇒ 𝐟[𝐟{𝐟(𝐱)}] = { 𝟏 (𝟏−𝐱) −𝟏} 𝟏 (𝟏−𝐱) = 𝐱 (𝟏−𝐱) × (𝟏−𝐱) 𝟏 = 𝐱. If 𝐟(𝐱) = 𝟐𝐱 (𝟏+𝐱𝟐) then show that 𝐟( 𝐭𝐚𝐧 𝛉) = 𝐬𝐢𝐧 𝟐𝛉. 𝐟( 𝐭𝐚𝐧 𝛉) = 𝟐 𝐭𝐚𝐧 𝛉 (𝟏 + 𝐭𝐚𝐧𝟐𝛉) = 𝟐 𝐭𝐚𝐧 𝛉 𝐬𝐞𝐜𝟐𝛉 = 𝟐 𝐬𝐢𝐧 𝛉 𝐜𝐨𝐬 𝛉 × 𝐜𝐨𝐬𝟐 𝛉 = 𝟐 𝐬𝐢𝐧 𝛉 ⋅ 𝐜𝐨𝐬 𝛉 = 𝐬𝐢𝐧 𝟐𝛉. If 𝐲 = 𝐟(𝐱) = 𝟑𝐱+𝟏 𝟓𝐱−𝟑 , prove that 𝐱 = 𝐟(𝐲) . 𝐟(𝐲) = 𝟑𝐲 + 𝟏 𝟓𝐲 − 𝟑 = 𝟑 ( 𝟑𝐱 + 𝟏 𝟓𝐱 − 𝟑 ) + 𝟏 𝟓 ( 𝟑𝐱 + 𝟏 𝟓𝐱 − 𝟑 ) − 𝟑 = 𝟗𝐱 + 𝟑 + 𝟓𝐱 − 𝟑 𝟏𝟓𝐱 + 𝟓 − 𝟏𝟓𝐱 + 𝟗 = 𝟏𝟒𝐱 𝟏𝟒 = 𝐱. Maths Learning Centre, Jalandhar Maths Learning Centre, Jalandhar Maths Learning Centre, Jalandhar Maths Learning Centre, Jalandhar Maths Learning Centre, Jalandhar Maths Learning Centre, Jalandhar Maths Learning Centre, Jalandhar Maths Learning Centre, Jalandhar Maths Learning Centre, Jalandhar Maths Learning Centre, Jalandhar Maths Learning Centre, Jalandhar Maths Learning Centre, Jalandhar Maths Learning Centre, Jalandhar Maths Learning Centre, Jalandhar Maths Learning Centre, Jalandhar Maths Learning Centre, Jalandhar Maths Learning Centre, Jalandhar Maths Learning Centre, Jalandhar Maths Learning Centre, Jalandhar Maths Learning Centre, Jalandhar Maths Learning Centre, Jalandhar https://youtu.be/fFEfRr2hpvw
  • 6.
    youtube.com/@MathematicsOnlineLectures Operations On Functions (i)Sum Of Two Real Functions Let 𝐟 : 𝐃𝟏 → 𝐑 and 𝐠: 𝐃𝟐 → 𝐑, where 𝐃𝟏 ⊆ 𝐑 and 𝐃𝟐 ⊆ 𝐑. Then, (𝐟 + 𝐠): (𝐃𝟏 ∩ 𝐃𝟐) → 𝐑: (𝐟 + 𝐠)(𝐱) = 𝐟(𝐱) + 𝐠(𝐱) for all 𝐱 ∈ (𝐃𝟏 ∩ 𝐃𝟐) . (ii) Difference Of Two Real Functions Let 𝐟 : 𝐃𝟏 → 𝐑 and 𝐠: 𝐃𝟐 → 𝐑, where 𝐃𝟏 ⊆ 𝐑 and 𝐃𝟐 ⊆ 𝐑. Then, (𝐟 − 𝐠): (𝐃𝟏 ∩ 𝐃𝟐) → 𝐑: (𝐟 − 𝐠)(𝐱) = 𝐟(𝐱) − 𝐠(𝐱) for all 𝐱 ∈ (𝐃𝟏 ∩ 𝐃𝟐) . (iii) Multiplication Of Two Real Functions Let 𝐟 : 𝐃𝟏 → 𝐑 and 𝐠: 𝐃𝟐 → 𝐑, where 𝐃𝟏 ⊆ 𝐑 and 𝐃𝟐 ⊆ 𝐑. Then, (𝒇𝒈): (𝐃𝟏 ∩ 𝐃𝟐) → 𝐑: (𝒇𝒈) (𝐱) = 𝐟(𝐱) ⋅ 𝐠(𝐱) for all 𝐱 ∈ (𝐃𝟏 ∩ 𝐃𝟐). Maths Learning Centre, Jalandhar Maths Learning Centre, Jalandhar Maths Learning Centre, Jalandhar Maths Learning Centre, Jalandhar Maths Learning Centre, Jalandhar Maths Learning Centre, Jalandhar Maths Learning Centre, Jalandhar Maths Learning Centre, Jalandhar Maths Learning Centre, Jalandhar Maths Learning Centre, Jalandhar Maths Learning Centre, Jalandhar Maths Learning Centre, Jalandhar Maths Learning Centre, Jalandhar Maths Learning Centre, Jalandhar Maths Learning Centre, Jalandhar Maths Learning Centre, Jalandhar Maths Learning Centre, Jalandhar Maths Learning Centre, Jalandhar Maths Learning Centre, Jalandhar Maths Learning Centre, Jalandhar Maths Learning Centre, Jalandhar https://youtu.be/fFEfRr2hpvw
  • 7.
    youtube.com/@MathematicsOnlineLectures (iv) Quotient OfTwo Real Functions Let 𝐟 : 𝐃𝟏 → 𝐑 and 𝐠: 𝐃𝟐 → 𝐑, where 𝐃𝟏 ⊆ 𝐑 and 𝐃𝟐 ⊆ 𝐑. Let 𝐃 = (𝐃𝟏 ∩ 𝐃𝟐) − {𝐱: 𝐠(𝐱) = 𝟎}. Then, ( 𝐟 𝐠 ) : 𝐃 → 𝐑: ( 𝐟 𝐠 ) (𝐱) = 𝐟(𝐱) 𝐠(𝐱) for all 𝐱 ∈ 𝐃. (V) Reciprocal of a Function Let 𝐟 : 𝐃𝟏 → 𝐑 and let 𝐃 = 𝐃𝟏 − {𝐱: 𝐟(𝐱) = 𝟎}.Then, 𝟏 𝐟 : 𝐃 → 𝐑: ( 𝟏 𝐟 ) (𝐱) = 𝟏 𝐟(𝐱) for all 𝐱 ∈ 𝐃. (vi) Scalar Multiple of a Function Let 𝐟 : 𝐃 → 𝐑 and let 𝛂 be a scalar (a real number). Then, (𝛂𝐟): 𝐃 → 𝐑: (𝛂𝐟)(𝐱) = 𝛂 ⋅ 𝐟(𝐱) for all 𝐱 ∈ 𝐃. Maths Learning Centre, Jalandhar Maths Learning Centre, Jalandhar Maths Learning Centre, Jalandhar Maths Learning Centre, Jalandhar Maths Learning Centre, Jalandhar Maths Learning Centre, Jalandhar Maths Learning Centre, Jalandhar Maths Learning Centre, Jalandhar Maths Learning Centre, Jalandhar Maths Learning Centre, Jalandhar Maths Learning Centre, Jalandhar Maths Learning Centre, Jalandhar Maths Learning Centre, Jalandhar Maths Learning Centre, Jalandhar Maths Learning Centre, Jalandhar Maths Learning Centre, Jalandhar Maths Learning Centre, Jalandhar Maths Learning Centre, Jalandhar Maths Learning Centre, Jalandhar Maths Learning Centre, Jalandhar Maths Learning Centre, Jalandhar https://youtu.be/fFEfRr2hpvw
  • 8.
    youtube.com/@MathematicsOnlineLectures Let 𝐟: 𝐑→ 𝐑: 𝐟(𝐱) = 𝐱𝟐 and 𝐠: 𝐑 → 𝐑: 𝐠(𝐱) = 𝟐𝐱 + 𝟏. Find (i) (𝐟 + 𝐠)(𝐱) (ii) (𝐟 − 𝐠)(𝐱) (iii) (𝒇𝒈)(𝒙) (iv) ( 𝒇 𝒈 ) (𝒙) dom (𝐟) = 𝐑 and dom (𝐠) = 𝐑 dom (𝐟) ∩ dom (𝐠) = (𝐑 ∩ 𝐑) = 𝐑. (i) (𝐟 + 𝐠): 𝐑 → 𝐑 is given by (𝐟 + 𝐠)(𝐱) = 𝐟(𝐱) + 𝐠(𝐱) = 𝐱𝟐 + (𝟐𝐱 + 𝟏) = (𝐱 + 𝟏)𝟐 . (ii) (𝐟 − 𝐠): 𝐑 → 𝐑 is given by (𝐟 − 𝐠)(𝐱) = 𝐟(𝐱) − 𝐠(𝐱) = 𝐱𝟐 − (𝟐𝐱 + 𝟏) = (𝐱𝟐 − 𝟐𝐱 − 𝟏) . (iii) (𝒇𝒈): 𝐑 → 𝐑 is given by (𝐟𝐠)(𝐱) = 𝐟(𝐱) ⋅ 𝐠(𝐱) = 𝐱𝟐 ⋅ (𝟐𝐱 + 𝟏) = (𝟐𝐱𝟑 + 𝐱𝟐 ) . (iv) {𝐱: 𝐠(𝐱) = 𝟎} = {𝐱: 𝟐𝐱 + 𝟏 = 𝟎} = { −𝟏 𝟐 }. 𝐝𝐨𝐦 ( 𝐟 𝐠 ) = 𝐑 ∩ 𝐑 − { −𝟏 𝟐 } = 𝐑 − { −𝟏 𝟐 }. The function 𝐟 𝐠 : 𝐑 − { −𝟏 𝟐 } → 𝐑 is given by ( 𝐟 𝐠 ) (𝐱) = 𝐟(𝐱) 𝐠(𝐱) = 𝐱𝟐 𝟐𝐱+𝟏 , 𝐱 ≠ −𝟏 𝟐 . Maths Learning Centre, Jalandhar Maths Learning Centre, Jalandhar Maths Learning Centre, Jalandhar Maths Learning Centre, Jalandhar Maths Learning Centre, Jalandhar Maths Learning Centre, Jalandhar Maths Learning Centre, Jalandhar Maths Learning Centre, Jalandhar Maths Learning Centre, Jalandhar Maths Learning Centre, Jalandhar Maths Learning Centre, Jalandhar Maths Learning Centre, Jalandhar Maths Learning Centre, Jalandhar Maths Learning Centre, Jalandhar Maths Learning Centre, Jalandhar Maths Learning Centre, Jalandhar Maths Learning Centre, Jalandhar Maths Learning Centre, Jalandhar Maths Learning Centre, Jalandhar Maths Learning Centre, Jalandhar Maths Learning Centre, Jalandhar https://youtu.be/fFEfRr2hpvw
  • 9.
    youtube.com/@MathematicsOnlineLectures Let 𝐟(𝐱) =√𝐱 and 𝐠(𝐱) = 𝐱 be two functions defined over the set of nonnegative real numbers. Find: (i) (𝐟 + 𝐠)(𝐱) (ii) (𝐟 − 𝐠)(𝐱) (iii) (𝐟𝐠)(𝐱) (iv) 𝐟 𝐠 (𝐱) 𝐟 : [𝟎, ∞) → 𝐑: 𝐟(𝐱) = √𝐱 𝐠: [𝟎, ∞) → 𝐑: 𝐠(𝐱) = 𝐱. dom (𝐟) = [𝟎, ∞) dom (𝐠) = [𝟎, ∞). dom (𝐟) ∩ dom (𝐠) = [𝟎, ∞) ∩ [𝟎, ∞) = [𝟎, ∞). (i) (𝐟 + 𝐠): [𝟎, ∞) → 𝐑 is given by (𝒇 + 𝒈)(𝒙) = 𝒇(𝒙) + 𝒈(𝒙) = (√𝒙 + 𝒙) . (ii) (𝐟 − 𝐠): [𝟎, ∞) → 𝐑 is given by (𝒇 − 𝒈)(𝒙) = 𝒇(𝒙) − 𝒈(𝒙) = (√𝒙 − 𝒙) . (iii) (𝒇𝒈): [𝟎, ∞) → 𝐑 is given by (𝒇𝒈)(𝒙) = 𝒇(𝒙) ⋅ 𝒈(𝒙) = (√𝒙 × 𝒙) = 𝒙𝟑/𝟐 . (iv) {𝐱: 𝐠(𝐱) = 𝟎} = {𝟎}. 𝒅𝒐𝒎 ( 𝒇 𝒈 ) = 𝒅𝒐𝒎(𝒇) ∩ 𝒅𝒐𝒎 (𝒈) − {𝒙: 𝒈(𝒙) = 𝟎} = [𝟎, ∞) − {𝟎} = (𝟎, ∞) So, 𝒇 𝒈 ∶ (𝟎, ∞) → 𝑹 is given by ( 𝐟 𝐠 ) (𝐱) = 𝐟(𝐱) 𝐠(𝐱) = √𝐱 𝐱 = 𝟏 √𝐱 , 𝐱 ≠ 𝟎. Maths Learning Centre, Jalandhar Maths Learning Centre, Jalandhar Maths Learning Centre, Jalandhar Maths Learning Centre, Jalandhar Maths Learning Centre, Jalandhar Maths Learning Centre, Jalandhar Maths Learning Centre, Jalandhar Maths Learning Centre, Jalandhar Maths Learning Centre, Jalandhar Maths Learning Centre, Jalandhar Maths Learning Centre, Jalandhar Maths Learning Centre, Jalandhar Maths Learning Centre, Jalandhar Maths Learning Centre, Jalandhar Maths Learning Centre, Jalandhar Maths Learning Centre, Jalandhar Maths Learning Centre, Jalandhar Maths Learning Centre, Jalandhar Maths Learning Centre, Jalandhar Maths Learning Centre, Jalandhar Maths Learning Centre, Jalandhar https://youtu.be/fFEfRr2hpvw
  • 10.
    youtube.com/@MathematicsOnlineLectures Let 𝐟 and𝐠 be real functions defined by 𝐟(𝐱) = √𝐱 − 𝟏 and 𝐠(𝐱) = √𝐱 + 𝟏. Find (i) (𝐟 + 𝐠)(𝐱) (ii) (𝐟 − 𝐠)(𝐱) (iii) (𝒇𝒈)(𝒙) (iv) ( 𝐟 𝐠 ) (𝐱) . 𝐟(𝐱) = √𝐱 − 𝟏 is defined for all real values of 𝐱 for which 𝐱 − 𝟏 ≥ 𝟎, dom (𝐟) = [𝟏, ∞). 𝐠(𝐱) = √𝐱 + 𝟏 is defined for all real values of 𝐱 for which 𝐱 + 𝟏 ≥ 𝟎, dom (𝐠) = [−𝟏, ∞) dom (𝐟) ∩ dom (𝐠) = [𝟏, ∞) ∩ [−𝟏, ∞) = [𝟏, ∞). (i) (𝐟 + 𝐠): [𝟏, ∞) → 𝐑 is given by (𝒇 + 𝒈)(𝒙) = 𝒇(𝒙) + 𝒈(𝒙) = (√𝒙 − 𝟏 + √𝒙 + 𝟏) . (ii) (𝐟 − 𝐠): [𝟏, ∞) → 𝐑 is given by (𝒇 − 𝒈)(𝒙) = 𝒇(𝒙) − 𝒈(𝒙) = (√𝒙 − 𝟏 − √𝒙 + 𝟏) . (iii) (𝒇𝒈): [𝟏, ∞) → 𝐑 is given by (𝐟𝐠)(𝐱) = 𝐟(𝐱) ⋅ 𝐠(𝐱) = √𝐱 − 𝟏 × √𝐱 + 𝟏 = √𝐱𝟐 − 𝟏. (iv) {𝐱: 𝐠(𝐱) = 𝟎} = {𝐱: √𝐱 + 𝟏 = 𝟎} = {𝐱: 𝐱 + 𝟏 = 𝟎} = {−𝟏}. dom (𝐟) ∩ dom (𝐠) − {𝐱: 𝐠(𝐱) = 𝟎} = [𝟏, ∞) ∩ [−𝟏, ∞)−{𝟏} = [𝟏, ∞) 𝐟 𝐠 → [𝟏, ∞) → 𝐑 is given by ( 𝐟 𝐠 ) (𝐱) = 𝐟(𝐱) 𝐠(𝐱) = √𝐱−𝟏 √𝐱+𝟏 . Maths Learning Centre, Jalandhar Maths Learning Centre, Jalandhar Maths Learning Centre, Jalandhar Maths Learning Centre, Jalandhar Maths Learning Centre, Jalandhar Maths Learning Centre, Jalandhar Maths Learning Centre, Jalandhar Maths Learning Centre, Jalandhar Maths Learning Centre, Jalandhar Maths Learning Centre, Jalandhar Maths Learning Centre, Jalandhar Maths Learning Centre, Jalandhar Maths Learning Centre, Jalandhar Maths Learning Centre, Jalandhar Maths Learning Centre, Jalandhar Maths Learning Centre, Jalandhar Maths Learning Centre, Jalandhar Maths Learning Centre, Jalandhar Maths Learning Centre, Jalandhar Maths Learning Centre, Jalandhar Maths Learning Centre, Jalandhar https://youtu.be/fFEfRr2hpvw
  • 11.
    youtube.com/@MathematicsOnlineLectures Let 𝐑+ be theset of all positive real numbers. Let 𝐟 : 𝐑+ → 𝐑: 𝐟(𝐱) = 𝐥𝐨𝐠𝐞𝐱. Find (i) range (f) (ii) {𝐱: 𝐱 ∈ 𝐑+ and 𝐟(𝐱) = −𝟐}. (iii) Find out whether 𝐟(𝐱𝐲) = 𝐟(𝐱) + 𝐟(𝐲) for all 𝐱, 𝐲 ∈ 𝐑+ (i) For every 𝐱 ∈ 𝐑+ , we have 𝐥𝐨𝐠𝐞𝐱 = 𝐑. So, range (𝐟) = 𝐑. (ii) 𝐟(𝐱) = −𝟐 ⇒ 𝐥𝐨𝐠𝐞𝐱 = −𝟐 ⇒ 𝐱 = 𝐞−𝟐 . So, {𝐱: 𝐱 ∈ 𝐑+ and 𝐟(𝐱) = −𝟐} = {𝐞−𝟐}. (iii) 𝐟(𝐱𝐲) = 𝐥𝐨𝐠𝐞(𝐱𝐲) = 𝐥𝐨𝐠𝐞𝐱 + 𝐥𝐨𝐠𝐞𝐲 = 𝐟(𝐱) + 𝐟(𝐲) . Let 𝐟 : 𝐑 → 𝐑: 𝐟(𝐱) = 𝟐𝐱 . Find (i) range (f) (ii) {𝐱: 𝐟(𝐱) = 𝟏}. (iii) Find out whether 𝐟(𝐱 + 𝐲) = 𝐟(𝐱) ⋅ 𝐟(𝐲) for all 𝐱, 𝐲 ∈ 𝐑. (i) 𝐟(𝐱) = 𝟐𝐱 > 𝟎 for every 𝐱 ∈ 𝐑. If 𝐱 ∈ 𝐑+ , there exists 𝐥𝐨𝐠𝟐𝐱 such that 𝐟(𝐥𝐨𝐠𝟐𝐱) = 𝟐𝐥𝐨𝐠𝟐𝐱 = 𝐱. range (𝐟) = 𝐑+ . (ii) 𝐟(𝐱) = 𝟏 ⇒ 𝟐𝐱 = 𝟏 = 𝟐𝟎 ⇒ 𝐱 = 𝟎. So, {𝐱 ∶ 𝐟(𝐱) = 𝟏} = {𝟎}. (iii) 𝐟(𝐱 + 𝐲) = 𝟐𝐱+𝐲 = 𝟐𝐱 × 𝟐𝐲 = 𝐟(𝐱) ⋅ 𝐟(𝐲) . Maths Learning Centre, Jalandhar Maths Learning Centre, Jalandhar Maths Learning Centre, Jalandhar Maths Learning Centre, Jalandhar Maths Learning Centre, Jalandhar Maths Learning Centre, Jalandhar Maths Learning Centre, Jalandhar Maths Learning Centre, Jalandhar Maths Learning Centre, Jalandhar Maths Learning Centre, Jalandhar Maths Learning Centre, Jalandhar Maths Learning Centre, Jalandhar Maths Learning Centre, Jalandhar Maths Learning Centre, Jalandhar Maths Learning Centre, Jalandhar Maths Learning Centre, Jalandhar Maths Learning Centre, Jalandhar Maths Learning Centre, Jalandhar Maths Learning Centre, Jalandhar Maths Learning Centre, Jalandhar Maths Learning Centre, Jalandhar https://youtu.be/fFEfRr2hpvw