KINH TEÁ PHAÙT TRIEÅN (Development Economics)
KINH TEÁ PHAÙT TRIEÅN (DEVELOMENT ECONOMICS) Chöông1: Nhöõng vaán ñeà chung veà taêng tröôûng vaø phaùt trieån kinh teá. Chöông 2: Caùc lyù thuyeát taêng tröôûng & phaùt trieån kinh teá Chöông3:Caùc nguoàn löïc phaùt trieån. Chöông4: Noâng nghieäp trong quaù trình phaùt trieån. Chöông5: Coâng nghieäp trong quaù trình phaùt trieån. Chöông6: Ngoaïi thöông vaø phaùt trieån.
KINH TEÁ PHAÙT TRIEÅN (DEVELOMENT ECONOMICS) Chuyeân ñeà:  Ngheøo ñoùi vaø phaùt trieån Naêng löïc caïnh tranh quoác gia Toaøn caàu hoùa Baøi taäp nhoùm:  Lôùp chia thaønh 12 nhoùm, chuaån bò baøi thuyeát trình theo chuû ñeà giaùo vieân yeâu caàu
CHUÛ ÑEÀ BAØI TAÄP NHOÙM 1-Töø khuûng hoaûng TC_TT Chaâu AÙ ñeán khuûng hoaûng TC MYÕ 2-Moâ hình phaùt trieån cuûa Nhaät  3-Moâ hình phaùt trieån cuûa Singapore 4-Moâ hình phaùt trieån cuûa Thaùi Lan 5-Moâ hình phaùt trieån cuûa Myõ 6-Voán FDI cuûa Vieät Nam 7-Thò tröôøng chöùng khoaùn cuûa Vieät Nam 8-Quan heä giöõa taêng tröôûng KT, baûo veä moâi tröôøng vaø coâng baèng xaõ hoäi 9-Quaù trình taêng tröôûng KT ôû Vieät Nam töø 1986-nay 10-Tích cöïc vaø tieâu cöïc cuûa coâng nghieäp hoaù 11-Ngoaïi thöông cuûa Vieät Nam 12-Noâng nghieäp Vieät Nam
CAÙCH ÑAÙNH GIAÙ Baøi thi cuoái khoùa chieám 70% toång soá ñieåm Baøi taäp nhoùm chieám 30% toång soá ñieåm Sinh vieân tình nguyeän giaûi baøi taäp neáu ñuùng töø 70% trôû leân seõ ñöôïc coäng 1 ñieåm vaøo baøi thi cuoái khoùa
CHÖÔNG 1 1.1 TAÊNG TRÖÔÛNG & PHAÙT TRIEÅN KINH TEÁ 1.2.CAÙC CHÆ TIEÂU 1.3.PHAÂN LOAÏI CAÙC NÖÔÙC 1.4 NHÖÕNG TRÔÛ NGAÏI  TRONG QUAÙ TRÌNH PT 1.5 VAI TROØ CUÛA NHAØ NÖÔÙC
1.1.1 Khaùi nieäm :Taêng tröôûng kinh teá (economic growth) la ømoät khaùi nieäm mang tính ñònh löôïng ; ñöôïc bieåu hieän baèng moät trong hai caùch: -  Caùch 1 : Söï gia taêng thöïc teá cuûa toång saûn phaåm quoác daân GNP (Gross National Product) ; toång saûn phaåm quoác noäi GDP ( Gross domestic product) hay saûn phaåm quoác daân roøng  NNP (Net National Product) trong moät thôøi kyø nhaát ñònh. -  Caùch 2 : Söï gia taêng thöïc teá theo ñaàu ngöôøi cuûa GNP ; GDP hay NNP trong moät thôøi kyø nhaát ñònh.
 
118 288 545 640 720 1024 1100
 
GNP = GDP +A-B A: thu nhaäp yeáu toá nhaän ñöôïc töø nöôùc ngoøai B: thu nhaäp yeáu toá traû cho nöôùc ngoøai A bao goàm nhöõng khoûan chuû yeáu: + thu töø xuaát khaåu + lôïi nhuaän chuyeån veà nöôùc cuûa caùc ñôn vò KT cuûa ñaát nöôùc hoïat ñoäng ôû nöôùc ngoøai + thu nhaäp chuyeån veà nöôùc cuûa chuyeân gia, ngöôøi lao ñoäng cuûa ñaát nöôùc nhöng soáng laøm vieäc ôû nöôùc ngoøai
GNP = GDP +A-B B bao goàm nhöõng khoûan chuû yeáu: - chi cho nhaäp khaåu - lôïi nhuaän cuûa caùc ñôn vò KT cuûa nöôùc ngoøai chuyeån veà nöôùc hoï  - thu nhaäp cuûa chuyeân gia, ngöôøi lao ñoäng nöôùc ngoøai chuyeån veà nöôùc hoï A>B: GNP>GDP A<B: GNP<GDP A=B: GNP = GDP
gia taêng thöïc teá? khi ñaùnh giaù taêng tröôûng phaûi so saùnh caùc chæ tieâu theo giaù coá ñònh chöù khoâng theo giaù hieän haønh ñeå loaïi tröø söï bieán ñoäng cuûa giaù caû
PHAÙT TRIEÅN KINH TEÁ ( ECONOMIC DEVELOPMENT ) BAO GOÀM: Taêng tröôûng kinh teá Tieán boä veà chính trò, vaên hoùa, xaõ hoäi, moâi tröôøng. Thay ñoåi cô caáu kinh teá. Coâng daân cuûa quoác gia phaûi tham gia vaøo vaø ñöôïc höôûng thaønh quaû cuûa söï taêng tröôûng. Gæai phoùng con ngöôøi khoûi söï leä  thuoäc vaøo 1 caù nhaân hay 1 toå chöùc
Caøng phaùt trieån thì: CÔ CAÁU KINH TEÁ Tyû troïng coâng nghieäp, dòch vuï trong GNP ngaøy caøng taêng Tyû troïng noâng nghieäp trong GNP ngaøy caøng giaûm CÔ CAÁU LAO ÑOÄNG tyû leä lao ñoäng coâng nghieäp, lao ñoäng dòch vuï trong toång lao ñoäng xaõ hoäi ngaøy caøng taêng Tyû leä lao ñoäng noâng nghieäp trong toång lao ñoäng xaõ hoäi ngaøy caøng giaûm
Cơ cấu caùc ngaønh kinh tế VN
Phaùt trieån KT beàn vöõng (sustainable development): Laø söï phaùt trieån thoûa maõn nhu caàu cuûa theá heä hieän taïi nhöng khoâng aûnh höôûng ñeán vieäc thoûa maõn nhu caàu cuûa theá heä töông lai  Phaùt trieån beàn vöõng phaûi ñaûm baûo caân baèng giöõa taêng tröôûng KT, coâng baèng xaõ hoäi vaø baûo veä moâi tröôøng
Söï daøy ñaëc cuûa caùc khí thaûi CO2, CH4, CFC, NOx..töông töï nhö moät taám thuûy tinh haáp thuï böùc xaï aùnh naéng maët trôøi ñi vaøo nhöng ngaên caûn böùc xaï nhieät ra khoûi laøm nhieät ñoä taêng leân, taàng ozon bò phaù huûy. Laø moät trong nhöõng nguyeân nhaân laøm traùi ñaát noùng leân
CFC (chlorofluorocarbons) ñöôïc ñöa vaøo söû duïng nhöõng naêm 30 do ñaëc tính beàn vöõng, khoâng deã chaùy, khoâng ñoäc, khoâng aên moøn.. ñöôïc söû duïng trong vieäc laøm laïnh nhieân lieäu ñaåy bình phun, saûn xuaát boït, chaát dung moâi Töø nhöõng naêm 20, theá kyû 20, ngöôøi ta thöôøng xuyeân ño ñaïc taàng ozon:sau nhöõng naêm 70, taàn gozon moõng ñi 1986 cô quan khí töông TG vaø Chöông trình moâi tröôøng LHQ xaùc nhaän taàng ozon bò thuûng 1998 loå thuûng 27,24 trieäu km2 Cuïc khí töông Nhaät Baûn loå thuûng Nam cöïc 29,1 trieäu km2
Traùi ñaát noùng leân Hieän töôïng: Theá kyû 20 laø theá kyû noùng nhaát trong 600 naêm qua: nhieät ñoä 1998 cao hôn nhòeät ñoä trung bình cuûa 118 naêm qua 100 naêm qua traùi ñaát noùng hôn nöûa ñoä C, 13 naêm noùng nhaát ñeàu töø naêm 1980 trôû laïi Nhieät ñoä beà maët ñaïi döông vuøng nhieät ñôùi taêng
Taùc haïi cuûa taàng ozon bò phaù huûy AÛnh höôûng söùc khoûe: ung thö da, toån haïi heä thoáng mieãm dòch, ñuïc nhaõn caàu, giaûm taùc duïng caùc chöông trình tieâm chuûng AÛnh höôûng ñeán heä sinh thaùi: tieâu dieät taûo ñôn baøo   giaûm tröõ löôïng thuûy saûn; laøm giaûm khaû naêng quang hoïc   muøa maøng thaát baùt Nhieät ñoä taêng leân, thay ñoåi löôïng gioù, thay ñoåi löôïng möa & phaân boå löôïng möa theo thôøi gian khoâng gian   möa nhieàu hôn &baát thöôøng hôn   luït taêng taàn suaát vaø möùc ñoä phaù hoaïi cuûa caùc côn baõo
Taùc haïi cuûa taàng ozon bò phaù huûy Gaây neân hieän töông Elnino   haïn haùn nôi naøy, luït loäi nôi khaùc Baêng tan   nöôùc bieån daâng cao   nhaän chìm nhöõng quoác gia thaáp neàn Laøm gia taêng hieän töôïng sa maïc hoùa Dòch beänh coân truøng phaùt trieån Tieät chuûng caùc gioáng loaøi
Đầu tư làm tăng GDP nhưng có một bộ phận không làm tăng giá trị thực: Công trình đầu tư được tính vào GDP song làm xong không sử dụng (điển hình là một số chợ, nhà văn hóa, nhà máy đường...). hay sử dụng chưa hết công suất Đây là phần được tính vào GDP nhưng không hữu ích do chủ trương đầu tư sai.
Đaàu tö laøm taêng GDP nhöng coù moät boä phaän khoâng laøm taêng giaù trò thöïc: Công trình xây dựng ẩu, làm xong phải sửa chữa tốn kém, có trường hợp phá đi làm lại hoặc thi công kéo dài gây thêm tốn kém không ít. Cầu Văn Thánh ở TP.HCM, phần lớn công trình kéo dài thời gian xây dựng, tăng thêm kinh phí Khối lượng công việc làm thêm, chi phí thêm được tính vào GDP nhưng không làm tăng giá trị hữu ích.
Trong vốn đầu tư thực hiện, có một phần bị đục khoét do tham nhũng, nhưng phần này vẫn tính vào GDP qua chứng từ thanh toán. Tình trạng tham nhũng trong đầu tư là nghiêm trọng.
Ngoài ra các hoạt động đầu tư, kinh doanh đóng góp giá trị gia tăng vào GDP, nhưng lại đồng thời gây ra hệ quả xấu, đặc biệt là phá hoại và làm ô nhiễm môi trường, buộc xã hội phải chi phí tốn kém để khắc phục. Tăng trưởng kinh tế được đánh giá bằng GDP không tính tới tác hại đối với môi trường là bắt tương lai trả giá cho thành tích trước mắt.   &quot;GDP xanh&quot;.
1.1.2 SÖÏ CAÀN THIEÁT PHAÛI TAÊNG TRÖÔÛNG NHANH Taêng tröôûng nhanh laø ñieàu kieän caàn ñeå xoùa ñoùi giaûm ngheøo Taêng tröôûng nhanh ñeå cuûng coá quyeàn löïc cuûa chính phuû. Taêng tröôøng nhanh taïo theá thuaän lôïi treân baøn ñaøm phaùn quoác teá. Taêng tröôûng nhanh goùp phaàn cuûng coá  quoác phoøng Taêng tröôûng nhanh ñeå traùnh söï tuït haäu
1.1.3 ÑIEÀU KIEÄN ÑEÅ TAÊNG TRÖÔÛNG NHANH OÅn ñònh kinh teá vó moâ Coi troïng voán con ngöôøi ÖÙng duïng khoa hoïc coâng ngheä Taïo ñieàu kieän cho thò tröôøng hoaït ñoäng 5)Môû cöûa neàn kinh teá 6)Thoáng nhaát yù chí 7)Phaûi coù nhöõng nhaø kyõ trò (technocrat )
1.1.4 MUÏC TIEÂU CUÛA PHAÙT TRIEÅN KINH TEÁ Naâng cao möùc soáng Ñem laïi cho moãi coâng daân loøng töï tin, töï troïng vaøo baûn thaân; töï haøo veà ñaát nöôùc vaø daân toäc Môû roäng söï löïa choïn
Möùc soáng thaáp Thieáu töï tin, töï troïng töï haøo Haïn cheá söï  löïa choïn Ñaàu tö thaáp Caàu lao  ñoäng thaáp Cung lao ñoäng cao Daân soá taêng Naêng  suaát thaáp Thaát  nghieäp Thu nhaäp thaáp Ñeû nhieàu Tích luõy thaáp Cam chòu leä thuoäc Khoâng töï quyeát ñònh Kyõ naêng  yeáu Söùc khoûe keùm 1.1.5
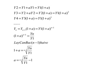
1.2.1 CAÙC CHÆ TIEÂU THEÅ HIEÄN SÖÏ TAÊNG TRÖÔÛNG *  Toác ñoä taêng tröôûng lieân hoaøn GDP Toác ñoä taêng tröôûng ñònh goác: * Toác ñoä taêng tröôûng bình quaân haøng naêm a cuûa thôøi kyø coù n naêm: Yn: GDP naêm thöù n; Y1: GDP naêm thöù 1
 
1.2.2 CAÙC CHÆ TIEÂU THAY ÑOÅI CÔ CAÁU Tyû troïng CN/GDP, DV/GDP ngaøy caøng taêng; NN/GDP ngaøy caøng giaûm Tyû leä lao ñoäng CN/lñ XH; lao ñoäng DV/lñ XH ngaøy caøng taêng; lao ñoängNN/lñ XH ngaøy caøng giaûm Tyû leä daân thaønh thò/daân soá ngaøy caøng taêng Tyû leä tích luyõ S/Y, tyû leä ñaàu tö I/Y ngaøy caøng taêng Tyû troïng xuaát khaåu roøng (X-M) trong GDP ngaøy caøng taêng.
1.2.3.CAÙC CHÆ TIEÂU TIEÁN BOÄ VAÊN HOÙA, XAÕ HOÄI 1-  Toác ñoä taêng daân soá [(toång soá sinh +nhaäp cö)-(toång soá cheát +di cö)] ------------------------------------------------------ daân soá trung bình 2- Soá con trung bình cuûa 1 phuï nöõ trong ñoä tuoåi coù khaû naêng sinh ñeû (15-49 tuoåi) 3- Soá ngöôøi daân/ baùc só, y taù, caùn boä y teá 4-Tuoåi thoï trung bình 5- Tyû leä bieát chöõ cuûa ngöôøi > 15 tuoåi 6- Tyû leä töû vong cuûa treû sô sinh hay < 5 tuoåi ………
1.2.4 CAÙC CHÆ TIEÂU VEÀ MOÂI TRÖÔØNG 1- Ñoä che phuû röøng Dieän tích röøng / dieän tích laõnh thoå 2- Soá m3 nöôùc saïch/ngöôøi/naêm … .
Chæ soá phaùt trieån con ngöôøi HDI ( human development index) laø chæ tieâu toång hôïp cuûa 3 chæ tieâu :   __ Thu nhaäp bình quaân ñaàu ngöôøi ( ñöôïc ñaùnh giaù theo phöông phaùp PPP)     __ Tuoåi thoï trung bình   __ Trình ñoä vaên hoùa: xaùc ñònh treân cô sôû tyû leä ngöôøi bieát ñoïc, bieát vieát vaø tyû leä ñaêng kyù hoïc bình quaân ôû caùc caáp lôùp (hay soá naêm ñi hoïc bình quaân) Chæ soá HDI coù giaù trò töø 0 ñeán 1, nöôùc naøo coù giaù trò HDI lôùn hôn coù nghóa laø coù söï phaùt trieån con ngöôøi cao hôn. Chæ soá HDI ñöôïc tính toaùn theo coâng thöùc sau:   Il: chæ soá tuoåi thoï Ie: chæ soá trình ñoä vaên hoùa Ii: chæ soá  thu nhaäp/ngöôøi
e1: chæ soá bieát chöõ e2: chæ soá ñaêng kyù hoïc ôû caùc caáp lôùp   e1i: tyû leä bieát chöõ cuûa nöôùc i e1max: tyû leä bieát chöõ cao nhaát TG e1 min: tyû leä bieát chöõ thaáp nhaát TG e2i: tyû leä ñaêng kyù hoïc cuûa nöôùc i e2max: tyû leä ñaêng kyù hoïc cao nhaát TG e2min: tyû leä ñaêng kyù hoïc thaáp nhaát TG
Ii: thu nhaäp trung bình cuûa nöôùc i Imax: thu nhaäp trung bình cao nhaát TG Imin: thu nhaäp trung bình thaáp nhaát TG Ili: tuoåi thoï trung bình cuûa nöôùc i Ilmax: tuoåi thoï trung bìnhcao nhaát TG Ilmin: tuoåi thoï trung bình thaáp nhaát TG
Chæ soá phaùt trieån con ngöôøi HDI cuûa Coâte D’ivoire Nöôùc naøy coù HDI laø 0,428< 0,5 neân laø nöôùc keùm phaùt trieån
Kinh tế Việt Nam qua 20 năm đổi mới 2005 Tốc độ tăng GDP 7,5%/năm(96-2005) 8,4% Tốc độ tăng trưởng Nông nghiệp 5,5%/năm Tốc độ tăng trưởng công nghiệp 15%/năm Tốc độ tăng trưởng dịch vụ 7,5%/năm Tỷ trọng NN/GDP 46,3% (1988) 20,9% Tỷ trọng CN/GDP 21,6% (1988) 41% Tỷ trọng dịch vụ/GDP 33,1% (1988) 38,1% Thu nhập/người 200$ (1990) 640$ HDI 0,498(1990); 0,688 (2002) 0,701
1.3 PHAÂN LOAÏI  CAÙC NÖÔÙC Caùc nöôùc CN haøng ñaàu TG (G8) 3) Caùc nöôùc  ñang PT 2) Caùc nöôùc phaùt trieån khaùc NiCs ( Ñoâng AÙ, Myõ Latinh) LICs (Nam AÙ,  Taây Phi) MICs Ñoâng Nam AÙ, Tr/ Ñoâng
Ñaëc ñieåm cuûa caùc nöôùc phaùt trieån/ (keùm PT) Thu nhaäp cao / thaáp Khoa hoïc kyõ thuaät tieán tieán/ laïc haäu Cô caáu KT chuû yeáu laø CN, DV/NN Theå cheá chính trò, xaõ hoäi, phaùp luaät hoøan chænh/keùm Daân trí cao/thaáp    daân chuû cao /thaáp
1.4 NHÖÕNG TRÔÛ NGAÏI TRONG QUAÙ TRÌNH PHAÙT TRIEÅN Baát oån chính trò Chieán tranh xaâm löôïc hay noäi chieán Sai laàm trong ñöôøng loái chính saùch, trong vieäc thöïc hieän chính saùch Haønh chính quan lieâu Toác ñoä taêng daân soá cao Caïnh tranh quoác teá gay gaét.
1.5 VAI TROØ CUÛA NHAØ NÖÔÙC TRONG QUAÙ TRÌNH PHAÙT TRIEÅN Giöõ gìn ñoäc laäp daân toäc. Ñònh höôùng chieán löôïc phaùt trieån Löïa choïn qui moâ böôùc ñi cuûa coâng cuoäc caûi caùch Toå chöùc, phoái hôïp ñieàu hoøa caùc hoaït ñoäng Xaây döïng, hoaøn thieän heä thoáng luaät phaùp Cung caáp haøng hoùa coângcoäng:CSHT,VH,Y teá Caân ñoái ngaân saùch Taïo ra vaø hoaøn thieän thò tröôøng Phaân phoái laïi thu nhaäp quoác daân, thöïc hieän coâng baèng xaõ hoäi Söûa chöõa nhöõng khuyeát ñieåm cuûa thò tröôøng

Chuong 1 ktpt

  • 1.
    KINH TEÁ PHAÙTTRIEÅN (Development Economics)
  • 2.
    KINH TEÁ PHAÙTTRIEÅN (DEVELOMENT ECONOMICS) Chöông1: Nhöõng vaán ñeà chung veà taêng tröôûng vaø phaùt trieån kinh teá. Chöông 2: Caùc lyù thuyeát taêng tröôûng & phaùt trieån kinh teá Chöông3:Caùc nguoàn löïc phaùt trieån. Chöông4: Noâng nghieäp trong quaù trình phaùt trieån. Chöông5: Coâng nghieäp trong quaù trình phaùt trieån. Chöông6: Ngoaïi thöông vaø phaùt trieån.
  • 3.
    KINH TEÁ PHAÙTTRIEÅN (DEVELOMENT ECONOMICS) Chuyeân ñeà: Ngheøo ñoùi vaø phaùt trieån Naêng löïc caïnh tranh quoác gia Toaøn caàu hoùa Baøi taäp nhoùm: Lôùp chia thaønh 12 nhoùm, chuaån bò baøi thuyeát trình theo chuû ñeà giaùo vieân yeâu caàu
  • 4.
    CHUÛ ÑEÀ BAØITAÄP NHOÙM 1-Töø khuûng hoaûng TC_TT Chaâu AÙ ñeán khuûng hoaûng TC MYÕ 2-Moâ hình phaùt trieån cuûa Nhaät 3-Moâ hình phaùt trieån cuûa Singapore 4-Moâ hình phaùt trieån cuûa Thaùi Lan 5-Moâ hình phaùt trieån cuûa Myõ 6-Voán FDI cuûa Vieät Nam 7-Thò tröôøng chöùng khoaùn cuûa Vieät Nam 8-Quan heä giöõa taêng tröôûng KT, baûo veä moâi tröôøng vaø coâng baèng xaõ hoäi 9-Quaù trình taêng tröôûng KT ôû Vieät Nam töø 1986-nay 10-Tích cöïc vaø tieâu cöïc cuûa coâng nghieäp hoaù 11-Ngoaïi thöông cuûa Vieät Nam 12-Noâng nghieäp Vieät Nam
  • 5.
    CAÙCH ÑAÙNH GIAÙBaøi thi cuoái khoùa chieám 70% toång soá ñieåm Baøi taäp nhoùm chieám 30% toång soá ñieåm Sinh vieân tình nguyeän giaûi baøi taäp neáu ñuùng töø 70% trôû leân seõ ñöôïc coäng 1 ñieåm vaøo baøi thi cuoái khoùa
  • 6.
    CHÖÔNG 1 1.1TAÊNG TRÖÔÛNG & PHAÙT TRIEÅN KINH TEÁ 1.2.CAÙC CHÆ TIEÂU 1.3.PHAÂN LOAÏI CAÙC NÖÔÙC 1.4 NHÖÕNG TRÔÛ NGAÏI TRONG QUAÙ TRÌNH PT 1.5 VAI TROØ CUÛA NHAØ NÖÔÙC
  • 7.
    1.1.1 Khaùi nieäm:Taêng tröôûng kinh teá (economic growth) la ømoät khaùi nieäm mang tính ñònh löôïng ; ñöôïc bieåu hieän baèng moät trong hai caùch: - Caùch 1 : Söï gia taêng thöïc teá cuûa toång saûn phaåm quoác daân GNP (Gross National Product) ; toång saûn phaåm quoác noäi GDP ( Gross domestic product) hay saûn phaåm quoác daân roøng NNP (Net National Product) trong moät thôøi kyø nhaát ñònh. - Caùch 2 : Söï gia taêng thöïc teá theo ñaàu ngöôøi cuûa GNP ; GDP hay NNP trong moät thôøi kyø nhaát ñònh.
  • 8.
  • 9.
    118 288 545640 720 1024 1100
  • 10.
  • 11.
    GNP = GDP+A-B A: thu nhaäp yeáu toá nhaän ñöôïc töø nöôùc ngoøai B: thu nhaäp yeáu toá traû cho nöôùc ngoøai A bao goàm nhöõng khoûan chuû yeáu: + thu töø xuaát khaåu + lôïi nhuaän chuyeån veà nöôùc cuûa caùc ñôn vò KT cuûa ñaát nöôùc hoïat ñoäng ôû nöôùc ngoøai + thu nhaäp chuyeån veà nöôùc cuûa chuyeân gia, ngöôøi lao ñoäng cuûa ñaát nöôùc nhöng soáng laøm vieäc ôû nöôùc ngoøai
  • 12.
    GNP = GDP+A-B B bao goàm nhöõng khoûan chuû yeáu: - chi cho nhaäp khaåu - lôïi nhuaän cuûa caùc ñôn vò KT cuûa nöôùc ngoøai chuyeån veà nöôùc hoï - thu nhaäp cuûa chuyeân gia, ngöôøi lao ñoäng nöôùc ngoøai chuyeån veà nöôùc hoï A>B: GNP>GDP A<B: GNP<GDP A=B: GNP = GDP
  • 13.
    gia taêng thöïcteá? khi ñaùnh giaù taêng tröôûng phaûi so saùnh caùc chæ tieâu theo giaù coá ñònh chöù khoâng theo giaù hieän haønh ñeå loaïi tröø söï bieán ñoäng cuûa giaù caû
  • 14.
    PHAÙT TRIEÅN KINHTEÁ ( ECONOMIC DEVELOPMENT ) BAO GOÀM: Taêng tröôûng kinh teá Tieán boä veà chính trò, vaên hoùa, xaõ hoäi, moâi tröôøng. Thay ñoåi cô caáu kinh teá. Coâng daân cuûa quoác gia phaûi tham gia vaøo vaø ñöôïc höôûng thaønh quaû cuûa söï taêng tröôûng. Gæai phoùng con ngöôøi khoûi söï leä thuoäc vaøo 1 caù nhaân hay 1 toå chöùc
  • 15.
    Caøng phaùt trieånthì: CÔ CAÁU KINH TEÁ Tyû troïng coâng nghieäp, dòch vuï trong GNP ngaøy caøng taêng Tyû troïng noâng nghieäp trong GNP ngaøy caøng giaûm CÔ CAÁU LAO ÑOÄNG tyû leä lao ñoäng coâng nghieäp, lao ñoäng dòch vuï trong toång lao ñoäng xaõ hoäi ngaøy caøng taêng Tyû leä lao ñoäng noâng nghieäp trong toång lao ñoäng xaõ hoäi ngaøy caøng giaûm
  • 16.
    Cơ cấu caùcngaønh kinh tế VN
  • 17.
    Phaùt trieån KTbeàn vöõng (sustainable development): Laø söï phaùt trieån thoûa maõn nhu caàu cuûa theá heä hieän taïi nhöng khoâng aûnh höôûng ñeán vieäc thoûa maõn nhu caàu cuûa theá heä töông lai Phaùt trieån beàn vöõng phaûi ñaûm baûo caân baèng giöõa taêng tröôûng KT, coâng baèng xaõ hoäi vaø baûo veä moâi tröôøng
  • 18.
    Söï daøy ñaëccuûa caùc khí thaûi CO2, CH4, CFC, NOx..töông töï nhö moät taám thuûy tinh haáp thuï böùc xaï aùnh naéng maët trôøi ñi vaøo nhöng ngaên caûn böùc xaï nhieät ra khoûi laøm nhieät ñoä taêng leân, taàng ozon bò phaù huûy. Laø moät trong nhöõng nguyeân nhaân laøm traùi ñaát noùng leân
  • 19.
    CFC (chlorofluorocarbons) ñöôïcñöa vaøo söû duïng nhöõng naêm 30 do ñaëc tính beàn vöõng, khoâng deã chaùy, khoâng ñoäc, khoâng aên moøn.. ñöôïc söû duïng trong vieäc laøm laïnh nhieân lieäu ñaåy bình phun, saûn xuaát boït, chaát dung moâi Töø nhöõng naêm 20, theá kyû 20, ngöôøi ta thöôøng xuyeân ño ñaïc taàng ozon:sau nhöõng naêm 70, taàn gozon moõng ñi 1986 cô quan khí töông TG vaø Chöông trình moâi tröôøng LHQ xaùc nhaän taàng ozon bò thuûng 1998 loå thuûng 27,24 trieäu km2 Cuïc khí töông Nhaät Baûn loå thuûng Nam cöïc 29,1 trieäu km2
  • 20.
    Traùi ñaát noùngleân Hieän töôïng: Theá kyû 20 laø theá kyû noùng nhaát trong 600 naêm qua: nhieät ñoä 1998 cao hôn nhòeät ñoä trung bình cuûa 118 naêm qua 100 naêm qua traùi ñaát noùng hôn nöûa ñoä C, 13 naêm noùng nhaát ñeàu töø naêm 1980 trôû laïi Nhieät ñoä beà maët ñaïi döông vuøng nhieät ñôùi taêng
  • 21.
    Taùc haïi cuûataàng ozon bò phaù huûy AÛnh höôûng söùc khoûe: ung thö da, toån haïi heä thoáng mieãm dòch, ñuïc nhaõn caàu, giaûm taùc duïng caùc chöông trình tieâm chuûng AÛnh höôûng ñeán heä sinh thaùi: tieâu dieät taûo ñôn baøo  giaûm tröõ löôïng thuûy saûn; laøm giaûm khaû naêng quang hoïc  muøa maøng thaát baùt Nhieät ñoä taêng leân, thay ñoåi löôïng gioù, thay ñoåi löôïng möa & phaân boå löôïng möa theo thôøi gian khoâng gian  möa nhieàu hôn &baát thöôøng hôn  luït taêng taàn suaát vaø möùc ñoä phaù hoaïi cuûa caùc côn baõo
  • 22.
    Taùc haïi cuûataàng ozon bò phaù huûy Gaây neân hieän töông Elnino  haïn haùn nôi naøy, luït loäi nôi khaùc Baêng tan  nöôùc bieån daâng cao  nhaän chìm nhöõng quoác gia thaáp neàn Laøm gia taêng hieän töôïng sa maïc hoùa Dòch beänh coân truøng phaùt trieån Tieät chuûng caùc gioáng loaøi
  • 23.
    Đầu tư làmtăng GDP nhưng có một bộ phận không làm tăng giá trị thực: Công trình đầu tư được tính vào GDP song làm xong không sử dụng (điển hình là một số chợ, nhà văn hóa, nhà máy đường...). hay sử dụng chưa hết công suất Đây là phần được tính vào GDP nhưng không hữu ích do chủ trương đầu tư sai.
  • 24.
    Đaàu tö laømtaêng GDP nhöng coù moät boä phaän khoâng laøm taêng giaù trò thöïc: Công trình xây dựng ẩu, làm xong phải sửa chữa tốn kém, có trường hợp phá đi làm lại hoặc thi công kéo dài gây thêm tốn kém không ít. Cầu Văn Thánh ở TP.HCM, phần lớn công trình kéo dài thời gian xây dựng, tăng thêm kinh phí Khối lượng công việc làm thêm, chi phí thêm được tính vào GDP nhưng không làm tăng giá trị hữu ích.
  • 25.
    Trong vốn đầutư thực hiện, có một phần bị đục khoét do tham nhũng, nhưng phần này vẫn tính vào GDP qua chứng từ thanh toán. Tình trạng tham nhũng trong đầu tư là nghiêm trọng.
  • 26.
    Ngoài ra cáchoạt động đầu tư, kinh doanh đóng góp giá trị gia tăng vào GDP, nhưng lại đồng thời gây ra hệ quả xấu, đặc biệt là phá hoại và làm ô nhiễm môi trường, buộc xã hội phải chi phí tốn kém để khắc phục. Tăng trưởng kinh tế được đánh giá bằng GDP không tính tới tác hại đối với môi trường là bắt tương lai trả giá cho thành tích trước mắt.  &quot;GDP xanh&quot;.
  • 27.
    1.1.2 SÖÏ CAÀNTHIEÁT PHAÛI TAÊNG TRÖÔÛNG NHANH Taêng tröôûng nhanh laø ñieàu kieän caàn ñeå xoùa ñoùi giaûm ngheøo Taêng tröôûng nhanh ñeå cuûng coá quyeàn löïc cuûa chính phuû. Taêng tröôøng nhanh taïo theá thuaän lôïi treân baøn ñaøm phaùn quoác teá. Taêng tröôûng nhanh goùp phaàn cuûng coá quoác phoøng Taêng tröôûng nhanh ñeå traùnh söï tuït haäu
  • 28.
    1.1.3 ÑIEÀU KIEÄNÑEÅ TAÊNG TRÖÔÛNG NHANH OÅn ñònh kinh teá vó moâ Coi troïng voán con ngöôøi ÖÙng duïng khoa hoïc coâng ngheä Taïo ñieàu kieän cho thò tröôøng hoaït ñoäng 5)Môû cöûa neàn kinh teá 6)Thoáng nhaát yù chí 7)Phaûi coù nhöõng nhaø kyõ trò (technocrat )
  • 29.
    1.1.4 MUÏC TIEÂUCUÛA PHAÙT TRIEÅN KINH TEÁ Naâng cao möùc soáng Ñem laïi cho moãi coâng daân loøng töï tin, töï troïng vaøo baûn thaân; töï haøo veà ñaát nöôùc vaø daân toäc Môû roäng söï löïa choïn
  • 30.
    Möùc soáng thaápThieáu töï tin, töï troïng töï haøo Haïn cheá söï löïa choïn Ñaàu tö thaáp Caàu lao ñoäng thaáp Cung lao ñoäng cao Daân soá taêng Naêng suaát thaáp Thaát nghieäp Thu nhaäp thaáp Ñeû nhieàu Tích luõy thaáp Cam chòu leä thuoäc Khoâng töï quyeát ñònh Kyõ naêng yeáu Söùc khoûe keùm 1.1.5
  • 31.
    1.2.1 CAÙC CHÆTIEÂU THEÅ HIEÄN SÖÏ TAÊNG TRÖÔÛNG * Toác ñoä taêng tröôûng lieân hoaøn GDP Toác ñoä taêng tröôûng ñònh goác: * Toác ñoä taêng tröôûng bình quaân haøng naêm a cuûa thôøi kyø coù n naêm: Yn: GDP naêm thöù n; Y1: GDP naêm thöù 1
  • 32.
  • 33.
    1.2.2 CAÙC CHÆTIEÂU THAY ÑOÅI CÔ CAÁU Tyû troïng CN/GDP, DV/GDP ngaøy caøng taêng; NN/GDP ngaøy caøng giaûm Tyû leä lao ñoäng CN/lñ XH; lao ñoäng DV/lñ XH ngaøy caøng taêng; lao ñoängNN/lñ XH ngaøy caøng giaûm Tyû leä daân thaønh thò/daân soá ngaøy caøng taêng Tyû leä tích luyõ S/Y, tyû leä ñaàu tö I/Y ngaøy caøng taêng Tyû troïng xuaát khaåu roøng (X-M) trong GDP ngaøy caøng taêng.
  • 34.
    1.2.3.CAÙC CHÆ TIEÂUTIEÁN BOÄ VAÊN HOÙA, XAÕ HOÄI 1- Toác ñoä taêng daân soá [(toång soá sinh +nhaäp cö)-(toång soá cheát +di cö)] ------------------------------------------------------ daân soá trung bình 2- Soá con trung bình cuûa 1 phuï nöõ trong ñoä tuoåi coù khaû naêng sinh ñeû (15-49 tuoåi) 3- Soá ngöôøi daân/ baùc só, y taù, caùn boä y teá 4-Tuoåi thoï trung bình 5- Tyû leä bieát chöõ cuûa ngöôøi > 15 tuoåi 6- Tyû leä töû vong cuûa treû sô sinh hay < 5 tuoåi ………
  • 35.
    1.2.4 CAÙC CHÆTIEÂU VEÀ MOÂI TRÖÔØNG 1- Ñoä che phuû röøng Dieän tích röøng / dieän tích laõnh thoå 2- Soá m3 nöôùc saïch/ngöôøi/naêm … .
  • 36.
    Chæ soá phaùttrieån con ngöôøi HDI ( human development index) laø chæ tieâu toång hôïp cuûa 3 chæ tieâu : __ Thu nhaäp bình quaân ñaàu ngöôøi ( ñöôïc ñaùnh giaù theo phöông phaùp PPP) __ Tuoåi thoï trung bình __ Trình ñoä vaên hoùa: xaùc ñònh treân cô sôû tyû leä ngöôøi bieát ñoïc, bieát vieát vaø tyû leä ñaêng kyù hoïc bình quaân ôû caùc caáp lôùp (hay soá naêm ñi hoïc bình quaân) Chæ soá HDI coù giaù trò töø 0 ñeán 1, nöôùc naøo coù giaù trò HDI lôùn hôn coù nghóa laø coù söï phaùt trieån con ngöôøi cao hôn. Chæ soá HDI ñöôïc tính toaùn theo coâng thöùc sau: Il: chæ soá tuoåi thoï Ie: chæ soá trình ñoä vaên hoùa Ii: chæ soá thu nhaäp/ngöôøi
  • 37.
    e1: chæ soábieát chöõ e2: chæ soá ñaêng kyù hoïc ôû caùc caáp lôùp e1i: tyû leä bieát chöõ cuûa nöôùc i e1max: tyû leä bieát chöõ cao nhaát TG e1 min: tyû leä bieát chöõ thaáp nhaát TG e2i: tyû leä ñaêng kyù hoïc cuûa nöôùc i e2max: tyû leä ñaêng kyù hoïc cao nhaát TG e2min: tyû leä ñaêng kyù hoïc thaáp nhaát TG
  • 38.
    Ii: thu nhaäptrung bình cuûa nöôùc i Imax: thu nhaäp trung bình cao nhaát TG Imin: thu nhaäp trung bình thaáp nhaát TG Ili: tuoåi thoï trung bình cuûa nöôùc i Ilmax: tuoåi thoï trung bìnhcao nhaát TG Ilmin: tuoåi thoï trung bình thaáp nhaát TG
  • 39.
    Chæ soá phaùttrieån con ngöôøi HDI cuûa Coâte D’ivoire Nöôùc naøy coù HDI laø 0,428< 0,5 neân laø nöôùc keùm phaùt trieån
  • 40.
    Kinh tế ViệtNam qua 20 năm đổi mới 2005 Tốc độ tăng GDP 7,5%/năm(96-2005) 8,4% Tốc độ tăng trưởng Nông nghiệp 5,5%/năm Tốc độ tăng trưởng công nghiệp 15%/năm Tốc độ tăng trưởng dịch vụ 7,5%/năm Tỷ trọng NN/GDP 46,3% (1988) 20,9% Tỷ trọng CN/GDP 21,6% (1988) 41% Tỷ trọng dịch vụ/GDP 33,1% (1988) 38,1% Thu nhập/người 200$ (1990) 640$ HDI 0,498(1990); 0,688 (2002) 0,701
  • 41.
    1.3 PHAÂN LOAÏI CAÙC NÖÔÙC Caùc nöôùc CN haøng ñaàu TG (G8) 3) Caùc nöôùc ñang PT 2) Caùc nöôùc phaùt trieån khaùc NiCs ( Ñoâng AÙ, Myõ Latinh) LICs (Nam AÙ, Taây Phi) MICs Ñoâng Nam AÙ, Tr/ Ñoâng
  • 42.
    Ñaëc ñieåm cuûacaùc nöôùc phaùt trieån/ (keùm PT) Thu nhaäp cao / thaáp Khoa hoïc kyõ thuaät tieán tieán/ laïc haäu Cô caáu KT chuû yeáu laø CN, DV/NN Theå cheá chính trò, xaõ hoäi, phaùp luaät hoøan chænh/keùm Daân trí cao/thaáp  daân chuû cao /thaáp
  • 43.
    1.4 NHÖÕNG TRÔÛNGAÏI TRONG QUAÙ TRÌNH PHAÙT TRIEÅN Baát oån chính trò Chieán tranh xaâm löôïc hay noäi chieán Sai laàm trong ñöôøng loái chính saùch, trong vieäc thöïc hieän chính saùch Haønh chính quan lieâu Toác ñoä taêng daân soá cao Caïnh tranh quoác teá gay gaét.
  • 44.
    1.5 VAI TROØCUÛA NHAØ NÖÔÙC TRONG QUAÙ TRÌNH PHAÙT TRIEÅN Giöõ gìn ñoäc laäp daân toäc. Ñònh höôùng chieán löôïc phaùt trieån Löïa choïn qui moâ böôùc ñi cuûa coâng cuoäc caûi caùch Toå chöùc, phoái hôïp ñieàu hoøa caùc hoaït ñoäng Xaây döïng, hoaøn thieän heä thoáng luaät phaùp Cung caáp haøng hoùa coângcoäng:CSHT,VH,Y teá Caân ñoái ngaân saùch Taïo ra vaø hoaøn thieän thò tröôøng Phaân phoái laïi thu nhaäp quoác daân, thöïc hieän coâng baèng xaõ hoäi Söûa chöõa nhöõng khuyeát ñieåm cuûa thò tröôøng