Embed presentation
Download as PDF, PPTX
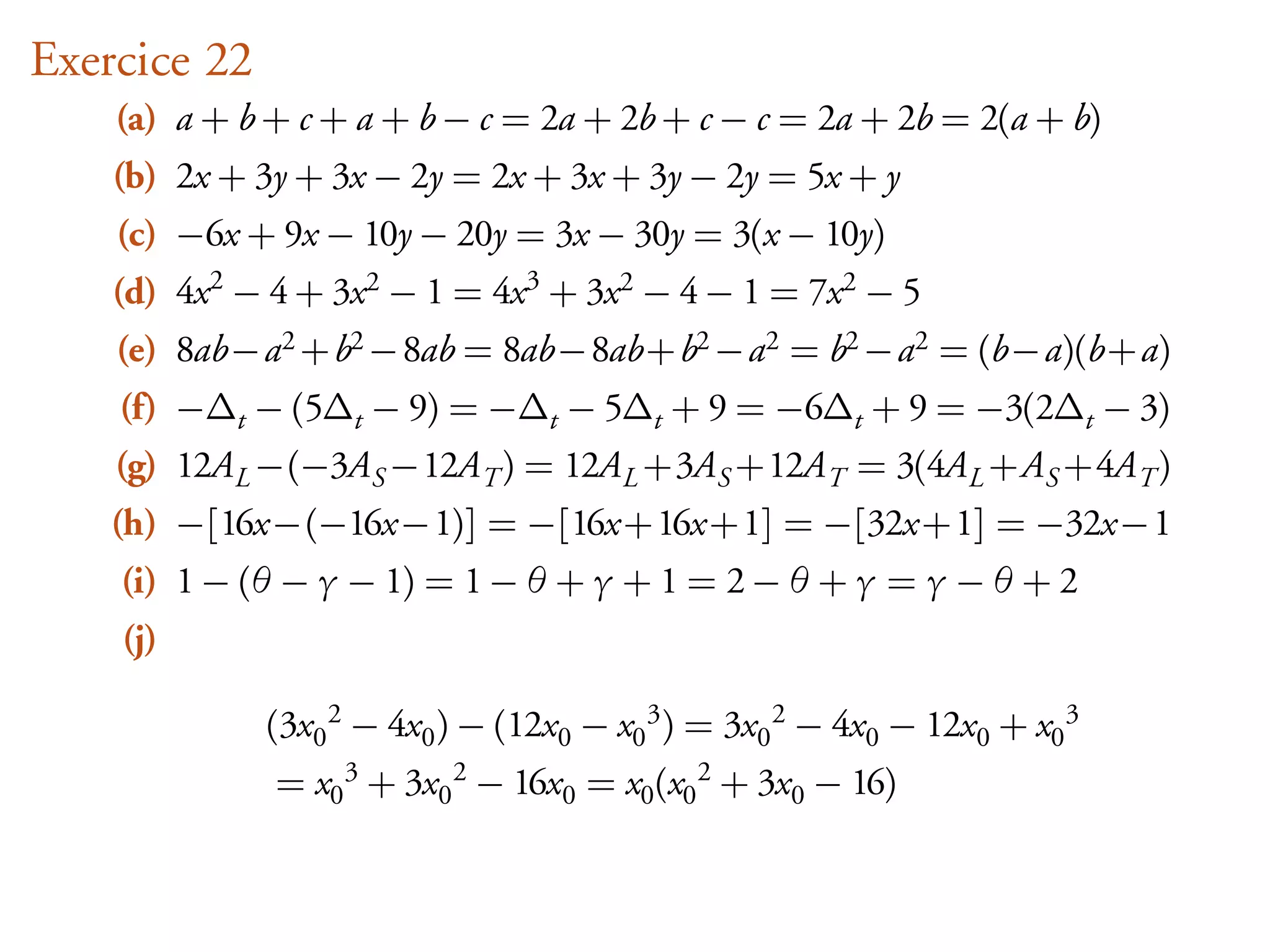
![Exercice 22
(a) a + b + c + a + b − c = 2a + 2b + c − c = 2a + 2b = 2(a + b)
(b) 2x + 3y + 3x − 2y = 2x + 3x + 3y − 2y = 5x + y
(c) −6x + 9x − 10y − 20y = 3x − 30y = 3(x − 10y)
(d) 4x 2 − 4 + 3x 2 − 1 = 4x 3 + 3x 2 − 4 − 1 = 7x 2 − 5
(e) 8ab − a2 + b2 − 8ab = 8ab − 8ab + b2 − a2 = b2 − a2 = (b − a)(b + a)
(f) −∆t − (5∆t − 9) = −∆t − 5∆t + 9 = −6∆t + 9 = −3(2∆t − 3)
(g) 12AL −(−3AS −12AT ) = 12AL +3AS +12AT = 3(4AL +AS +4AT )
(h) −[16x −(−16x −1)] = −[16x +16x +1] = −[32x +1] = −32x −1
(i) 1 − (θ − γ − 1) = 1 − θ + γ + 1 = 2 − θ + γ = γ − θ + 2
(j)
(3x 0 2 − 4x 0 ) − (12x 0 − x0 3 ) = 3x 0 2 − 4x 0 − 12x 0 + x0 3
= x0 3 + 3x 0 2 − 16x 0 = x0 (x0 2 + 3x 0 − 16)](https://image.slidesharecdn.com/ch0222-120915154300-phpapp01/75/Ch02-22-1-2048.jpg)
(a) Simplifies the expression 2a + 2b by factorizing it into 2(a + b). (b) Combines like terms in the expression 2x + 3y + 3x - 2y to get 5x + y. (c) Factors the expression 3x - 30y into 3(x - 10y). (d) Combines like terms in the expression 4x^2 - 4 + 3x^2 - 1 and factors it into 7x^2 - 5. (e) Combines like terms in the expression 8ab - a^2 + b^2 - 8ab and factors it into (b - a)(b + a
![Exercice 22
(a) a + b + c + a + b − c = 2a + 2b + c − c = 2a + 2b = 2(a + b)
(b) 2x + 3y + 3x − 2y = 2x + 3x + 3y − 2y = 5x + y
(c) −6x + 9x − 10y − 20y = 3x − 30y = 3(x − 10y)
(d) 4x 2 − 4 + 3x 2 − 1 = 4x 3 + 3x 2 − 4 − 1 = 7x 2 − 5
(e) 8ab − a2 + b2 − 8ab = 8ab − 8ab + b2 − a2 = b2 − a2 = (b − a)(b + a)
(f) −∆t − (5∆t − 9) = −∆t − 5∆t + 9 = −6∆t + 9 = −3(2∆t − 3)
(g) 12AL −(−3AS −12AT ) = 12AL +3AS +12AT = 3(4AL +AS +4AT )
(h) −[16x −(−16x −1)] = −[16x +16x +1] = −[32x +1] = −32x −1
(i) 1 − (θ − γ − 1) = 1 − θ + γ + 1 = 2 − θ + γ = γ − θ + 2
(j)
(3x 0 2 − 4x 0 ) − (12x 0 − x0 3 ) = 3x 0 2 − 4x 0 − 12x 0 + x0 3
= x0 3 + 3x 0 2 − 16x 0 = x0 (x0 2 + 3x 0 − 16)](https://image.slidesharecdn.com/ch0222-120915154300-phpapp01/75/Ch02-22-1-2048.jpg)