Embed presentation
Download to read offline








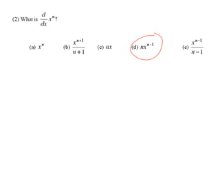
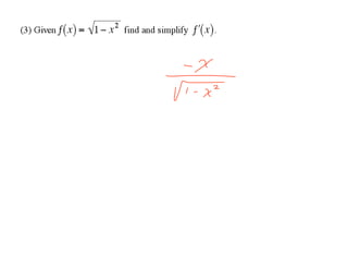
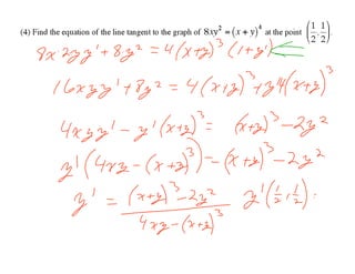
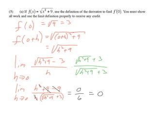
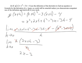
Derivatives are an important concept in calculus and are used to determine the rate of change of a function. To understand derivatives, students must learn the basic rules of differentiation as well as how to take derivatives of simple functions such as polynomials, trigonometric functions, exponentials and logarithms. Mastering derivatives is essential for success in calculus and many other fields that require calculating instantaneous rates of change.






