ENVE292 – Engineering Economics Fall 2005
ASSIGNMENT #1 SOLUTIONS
Due: September 29, 2005
Text: 2.11, 2.13, 2.18, 2.25, 2.30, 3.18, 3.19, 3.20
2.11 Greg will invest $20 000 today in five-year investment certificates that pay 8% nominal
interest, compounded quarterly. How much money will this be in five years?
Cash Flow Diagram:
4 compounding periods per year
i = 8% p.a. compounded
l
?F =
$20 000
20 compounding periods require a modification of the nominal (quarterly) interest rate to an
effective (annual) interest rate.
08243.0
1
4
08.0
1
11
4
=
−⎟
⎠
⎞
⎜
⎝
⎛
+=
−⎟
⎠
⎞
⎜
⎝
⎛
+=
m
e
m
r
i
The effective interest rate for quarterly compounding of a nominal rate of 8% is 8.243% per year.
Transfer factor to use is Compound Amount Factor. Here, we use N = 5 because we have
converted the interest rate to the equivalent annual interest rate including quarterly compounding.
5
08243.0
?
20000
=
=
=
=
N
i
F
P [ ]
[ ]
65.29718
08243.0120000
,,/
5
=
+=
= NiPFPF
Therefore Greg will have $29 719 at the end of 5 years from an initial investment of $20 000
(earning $9 719 in interest)
1
ENVE292 – Engineering Economics Fall 2005
2.13 You have a bank deposit now worth $5000. How long will it take for your deposit to be
worth more than $8000 if:
a) The account pays 5% actual interest every half year (6 months) and is compounded?
b) The account pays 5% nominal interest, compounded semi-annually?
Cash Flow Diagram
$8000+
i = 5% (nominal/effective)
Semi-annual compounding
(unknown number of periods)
$5000
The future value of ~$8000 will be at N (semi-annually) periods.
a)
To determine the number of compounding periods required, first, we need to understand the
interest rate that is given.
The account pays 5% actual interest every half year. Therefore every six months, the balance of
the account accumulates 5% interest. Assuming it is compounding semi-annually as well, the
compounding periods and the interest rates match.
8000
5000
periodsannualsemi
annually-semi05.0
=
=
−=
=
F
P
N
ie
[ ]
[ ]
( ) ( )
( )
( )
periodsannual-semi10
63.9
05.1log
6.1log
05.1log6.1log
05.16.1
05.0150008000
%,5,/
=
=
=
=
=
+=
=
N
N
NPFPF
N
N
As there are two periods per year, the number of years to achieve $8000 is 5 (10 compounding
periods) years.
2
ENVE292 – Engineering Economics Fall 2005
b) The account pays 5% nominal interest and is compounded semi-annually. This is different to
that of Part A. The annual effective interest rate is:
050625.0
1
2
05.0
1
11
2
=
−⎟
⎠
⎞
⎜
⎝
⎛
+=
−⎟
⎠
⎞
⎜
⎝
⎛
+=
m
e
m
r
i
8000
5000
periodsannual
050625.0
=
=
=
=
F
P
N
ie
[ ]
[ ]
( ) ( )
( )
( )
periodsannual10
517.9
050625.1log
6.1log
050625.1log6.1log
050625.16.1
050625.0150008000
%,0625.5,/
=
=
=
=
=
+=
=
N
N
NPFPF
N
N
As there is only one period per year, the number of years to achieve $8000 is 10 years (20
compounding periods).
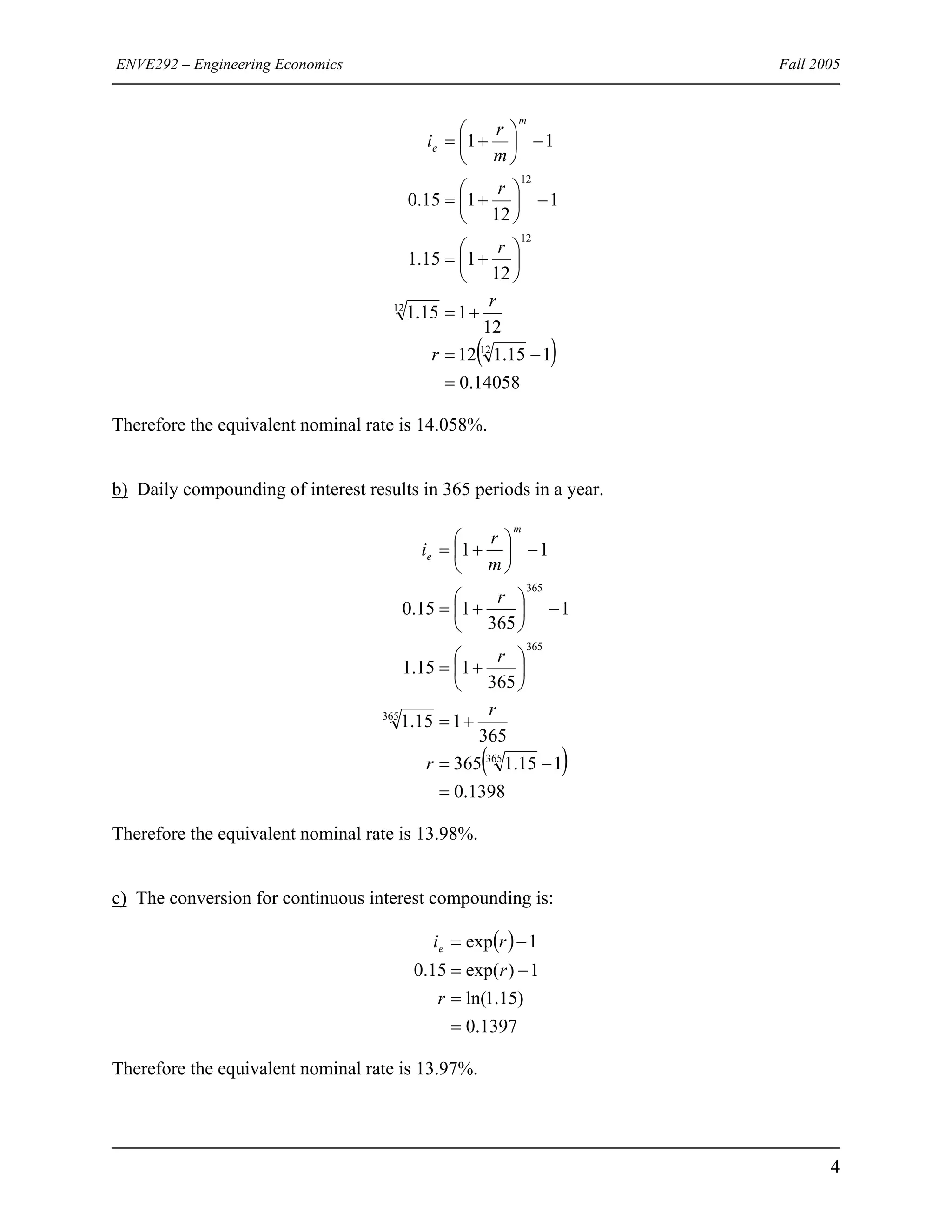
2.18 For a 15% effective annual interest rate, what is the nominal rate if:
a) Interest is compounded monthly?
b) Interest is compounded daily?
c) Interest is compounded continuously?
The general formula to convert from nominal to effective interest rates is (discrete
compounding):
11 −⎟
⎠
⎞
⎜
⎝
⎛
+=
m
e
m
r
i
a)
Monthly compounding of interest results in 12 periods in a year.
3
ENVE292 – Engineering Economics Fall 2005
( )
14058.0
115.112
12
115.1
12
115.1
1
12
115.0
11
12
12
12
12
=
−=
+=
⎟
⎠
⎞
⎜
⎝
⎛
+=
−⎟
⎠
⎞
⎜
⎝
⎛
+=
−⎟
⎠
⎞
⎜
⎝
⎛
+=
r
r
r
r
m
r
i
m
e
Therefore the equivalent nominal rate is 14.058%.
b) Daily compounding of interest results in 365 periods in a year.
( )
1398.0
115.1365
365
115.1
365
115.1
1
365
115.0
11
365
365
365
365
=
−=
+=
⎟
⎠
⎞
⎜
⎝
⎛
+=
−⎟
⎠
⎞
⎜
⎝
⎛
+=
−⎟
⎠
⎞
⎜
⎝
⎛
+=
r
r
r
r
m
r
i
m
e
Therefore the equivalent nominal rate is 13.98%.
c) The conversion for continuous interest compounding is:
( )
1397.0
)15.1ln(
1)exp(15.0
1exp
=
=
−=
−=
r
r
rie
Therefore the equivalent nominal rate is 13.97%.
4
ENVE292 – Engineering Economics Fall 2005
2.25 The Bank of Kitchener is offering a new savings account that pays a nominal 7.99%
interest, compounded continuously. Will your money earn more in this account than a
daily interest account that pays 8%?
Calculate the annual effective interest rate from the nominal continuous rate of 7.99% over one
year.
%32.8
083178.0
1)0799.0exp(
1)exp(
=
=
−=
−= rie
From here, an annual effective interest rate of 8.32% results.
To compare with the nominal interest rate of 8% compounded daily, we need to convert this also
to the effective annual interest rate:
%327.8
08327.0
1
365
08.0
1
11
365
=
=
−⎟
⎠
⎞
⎜
⎝
⎛
+=
−⎟
⎠
⎞
⎜
⎝
⎛
+=
m
e
m
r
i
Based on the results, discrete daily interest rate of 8% will yield higher performance compared to
a continuous interest rate of 7.99%.
It is important to analyze the effect of comparing a daily interest rate of 8% with a continuous
interest rate at 8% also.
%3287.8
083287.0
1)08.0exp(
1)exp(
=
=
−=
−= rie
We can see a slightly higher annual effective interest rate is the result of continuous
compounding. However, the difference is very small. Therefore continuous compounding, in
this case, is similar but not equal to that of discrete daily compounding. A slight advantage
exists with continuous compounding over discrete daily compounding.
5
ENVE292 – Engineering Economics Fall 2005
2.30 You have $50 000 to invest in the stock market and have sought the advice of Adam, an
experienced collegue who is willing to advise you for a fee. Adam has told you that he
has found a one-year investment for you that provides 15% interest compounded
monthly.
a) What is the effective annual interest rate, based on a 15% nominal annual rate and
monthly compounding?
b) Adam says he will make the investment for you for a modest fee of 2% of the
investments value one year from now. If you invest $50 000 today, how much will you
have at the end of one year? (Before Adam’s fee)
c) What is the effective annual interest rate of this investment including Adam’s fee?
Part A
To determine the effective annual interest rate we require the use of the conversion formula:
%08.16
16075.0
1
12
15.0
1
11
12
=
=
−⎟
⎠
⎞
⎜
⎝
⎛
+=
−⎟
⎠
⎞
⎜
⎝
⎛
+=
m
e
m
r
i
Therefore the effective annual interest rate is estimated at 16.08%.
Part B
If $50 000 was invested today at the aforementioned scenario, then we would like to know the
value after one year (before Adam’s fee).
Cash Flow Diagram:
1 year
One compounding
period
ie = 16.08% per year
F1
$50 000
[ ]
[ ]
58037.43OR58040
1608.0150000
1%,08.16,
1
1
=
+=
=
P
FPF
6
ENVE292 – Engineering Economics Fall 2005
Part C
To determine the effective annual interest rate including Adam’s fee, we can do the following:
Firstly, the fee Adam imposes is 2% of F1 ($58 040) = $1160.80
Secondly, we subtract this fee from F1 yielding the net value at the end of year 1.
20.56879
80.1160580401
=
−=NET
F
Now we can represent this in a revised (net) cash flow diagram.
1 year
One compounding
period
ie = ?% per year
$56879.20
$50 000
[ ]
[ ]
%76.13
1376.0
15000020.56879
1,,/
1
=
=
+=
=
e
e
i
i
iPFPF
Therefore, with the fee Adam has charged, the effective annual interest rate of this investment is
approximately 13.76%.
7
ENVE292 – Engineering Economics Fall 2005
3.18 Yoko has just bought a new computer ($2000), a printer ($350) and a scanner ($210).
She wants to take the monthly payment option. There is a monthly interest of 3% on
her purchase.
a) If Yoko pays $100 per month, how long does it take to complete her payment?
b) If Yoko wants to finish paying in 24 months, how much will her monthly payments be?
Total initial investment of (assume values include taxes):
2560
2103502000
=
++=P
Part A
Cash flow diagram
A = $100
ip = 3% per month
N
$2560
The interest rate is given as 3% per month. From this, we can assume this is the effective period
interest rate (ip).
[ ]
( )
( )
( )
( )
103.1
03.1
30208.1
103.01
03.0103.0
2560100
11
1
%,3,/
−
=
⎥
⎦
⎤
⎢
⎣
⎡
−+
+
=
⎥
⎦
⎤
⎢
⎣
⎡
−+
+
=
=
N
N
N
N
N
N
i
ii
PA
NPAPA
To solve, must equate LEFT and RIGHT sides.
If N = 10 months then, 908.3
103.1
03.1
10
10
=
−
If N = 20 months then, 241.2
103.1
03.1
20
20
=
−
8
ENVE292 – Engineering Economics Fall 2005
If N = 40 months then, 442.1
103.1
03.1
40
40
=
−
If N = 50 months then, 295.1
103.1
03.1
50
50
=
−
If N = 48 months then, 319.1
103.1
03.1
48
48
=
−
Therefore, at 50 months (4+ years), the computer and accessories may be paid off via monthly
payments of $100.
OR
Solving algebraically…
( )
( )
( )
( )
43.49
03.1log
130208.1
30208.1
log
130208.1
30208.1
03.1
30208.1130208.103.1
30208.103.130208.103.1
103.130208.103.1
30208.1
103.1
03.1
=
⎟
⎠
⎞
⎜
⎝
⎛
−
=
−
=
=−
−=
−=
=
−
N
N
N
N
NN
Nn
N
N
Therefore, at 50 months (4 years and 2 months), the computer and accessories may be paid off
via monthly payments of $100.
Part B
Cash Flow Diagram
A
i = 3% per month
24 months
$2510
9
ENVE292 – Engineering Economics Fall 2005
[ ]
( )
( )
( )
( )
17.151
103.01
03.0103.0
2560
11
1
24%,3,/
24
24
=
⎥
⎦
⎤
⎢
⎣
⎡
−+
+
=
⎥
⎦
⎤
⎢
⎣
⎡
−+
+
=
=
A
A
i
ii
PA
PAPA
N
N
If she would like to pay off her computer and accessories in 2 years (24 months) then monthly
payments of $151.17 is required.
3.19 Rinku has just finished her first year of university. She wants to go to Europe when
she graduates in three years. By having a part-time job through the school year and a
summer job during the summer, she plans to make regular weekly deposits into a
savings account at 18% interest compounded monthly.
a) If Rinku deposits $15 per week, how much will she have in three years? How about
$20 per week?
b) Find out exactly how much Rinku needs to deposit every week is she wants to save
$5000 in 3 years.
It has been assumed the part-time job was not done in Rinku’s first year in University. Therefore
only years 2, 3, and 4 will be considered.
The textbook solves this question through the assumption of 4 weeks per month and 12 months
per year. Unfortunately, this results in only 48 weeks being analyzed, 4 short of the typical 52
week year. Therefore, it is important to transfer all cash flows from monthly to weekly
annuities.
Part A
Regular weekly deposits of $A will be done. A total of 156 weekly installments of $A will be
completed over three years.
Cash Flow Diagram
i = 18% p.a. compounded monthly
F
156 weeks
A
10
ENVE292 – Engineering Economics Fall 2005
First, we calculate an effective annual interest rate with monthly compounding:
%56.19
195618.0
1
12
18.0
1
11
12
=
=
−⎟
⎠
⎞
⎜
⎝
⎛
+=
−⎟
⎠
⎞
⎜
⎝
⎛
+=
m
e
m
r
i
As we are working with weekly installments, we must convert this into a weekly effective
interest rate (ip). Notice the exponent n is 52 indicating we would like to achieve an period
interest rate for 52 equal periods (i.e. weekly) from the effective annual rate.:
( )
( )
%34417.0
0034417.0
11195618.0
11
52
=
=
−+=
−+=
p
p
n
pe
i
i
ii
Now we use 0.34417% in the following as the weekly interest rate for the calculations.
If weekly deposits of $15:
[ ]
( )
( )
61.3090
0034417.0
10034417.01
15
11
%,,/
156
=
⎥
⎦
⎤
⎢
⎣
⎡ −+
=
⎥
⎦
⎤
⎢
⎣
⎡ −+
=
=
i
i
A
NiAFAF
N
If weekly deposits of $20
[ ]
( )
( )
82.4120
0034417.0
10034417.01
20
11
%,,/
156
=
⎥
⎦
⎤
⎢
⎣
⎡ −+
=
⎥
⎦
⎤
⎢
⎣
⎡ −+
=
=
i
i
A
NiAFAF
N
Part B
To achieve $5000 at the end of 36 months (or 156 weeks), we must deposit weekly deposits of
$B
11
ENVE292 – Engineering Economics Fall 2005
[ ]
( )
( )
27.24
10034417.01
0034417.0
5000
11
%,,/
156
=
⎥
⎦
⎤
⎢
⎣
⎡
−+
=
⎥
⎦
⎤
⎢
⎣
⎡
−+
=
=
B
i
i
F
NiFAFB
N
Therefore, weekly deposits of approximately $24.27 is required to achieve sufficient funds to
travel to Europe in three years.
3.20 Seema is looking at an investment in upgrading an inspection line at her plant. The
initial cost would be $140 000 with a salvage value of $37 000 after 5 years. Use the
Capital Recovery Formula to determine how much money must be saved each year to
justify the investment at a rate of 14%.
Here, we assume the interest rate is compounded annually.
The Capital Recovery Formula is:
( )[ ] SiNiPASPA +−= ,,/
To illustrate this equation is the cash flow diagram:
i = 14% p.a. compounded
annually
N N
AS
P
In this case, the following values are assigned to the parameters
12
ENVE292 – Engineering Economics Fall 2005
%14
5
37000
140000
=
=
=
=
i
N
S
P
( )[ ]
( ) ( )
( )
( ) ( )
( )
( )
( )[ ] ( )
21.35182
14.0370002913.037000140000
14.037000
114.1
14.114.0
37000140000
11
1
,,/
5
5
=
+−=
+⎥
⎦
⎤
⎢
⎣
⎡
−
−=
+⎥
⎦
⎤
⎢
⎣
⎡
−+
+
−=
+−=
Si
i
ii
SP
SiNiPASPA
N
N
So what does this mean? The company will invest in equipment that will, in a five years, hold a
residual (salvage) value. The difference between the purchase price (P = $140000) and salvage
value (S = $37000) is the “depreciation” or lost value of the equipment (here it is $103000).
The capital recovery formula is simply a way of representing the lost value of the equipment
over the analysis period and spreading this loss over (for this case) 5 years. Essentially, the
company must save $35182.21 per year to justify the purchase of this machine.
If the actual annual savings is greater than $35182.21, then it is a bonus to the company.
However, if the annual savings is less than that value, it was not worth purchasing this equipment
in the first place.
13

Assignmen (1)

  • 1.
    ENVE292 – EngineeringEconomics Fall 2005 ASSIGNMENT #1 SOLUTIONS Due: September 29, 2005 Text: 2.11, 2.13, 2.18, 2.25, 2.30, 3.18, 3.19, 3.20 2.11 Greg will invest $20 000 today in five-year investment certificates that pay 8% nominal interest, compounded quarterly. How much money will this be in five years? Cash Flow Diagram: 4 compounding periods per year i = 8% p.a. compounded l ?F = $20 000 20 compounding periods require a modification of the nominal (quarterly) interest rate to an effective (annual) interest rate. 08243.0 1 4 08.0 1 11 4 = −⎟ ⎠ ⎞ ⎜ ⎝ ⎛ += −⎟ ⎠ ⎞ ⎜ ⎝ ⎛ += m e m r i The effective interest rate for quarterly compounding of a nominal rate of 8% is 8.243% per year. Transfer factor to use is Compound Amount Factor. Here, we use N = 5 because we have converted the interest rate to the equivalent annual interest rate including quarterly compounding. 5 08243.0 ? 20000 = = = = N i F P [ ] [ ] 65.29718 08243.0120000 ,,/ 5 = += = NiPFPF Therefore Greg will have $29 719 at the end of 5 years from an initial investment of $20 000 (earning $9 719 in interest) 1
  • 2.
    ENVE292 – EngineeringEconomics Fall 2005 2.13 You have a bank deposit now worth $5000. How long will it take for your deposit to be worth more than $8000 if: a) The account pays 5% actual interest every half year (6 months) and is compounded? b) The account pays 5% nominal interest, compounded semi-annually? Cash Flow Diagram $8000+ i = 5% (nominal/effective) Semi-annual compounding (unknown number of periods) $5000 The future value of ~$8000 will be at N (semi-annually) periods. a) To determine the number of compounding periods required, first, we need to understand the interest rate that is given. The account pays 5% actual interest every half year. Therefore every six months, the balance of the account accumulates 5% interest. Assuming it is compounding semi-annually as well, the compounding periods and the interest rates match. 8000 5000 periodsannualsemi annually-semi05.0 = = −= = F P N ie [ ] [ ] ( ) ( ) ( ) ( ) periodsannual-semi10 63.9 05.1log 6.1log 05.1log6.1log 05.16.1 05.0150008000 %,5,/ = = = = = += = N N NPFPF N N As there are two periods per year, the number of years to achieve $8000 is 5 (10 compounding periods) years. 2
  • 3.
    ENVE292 – EngineeringEconomics Fall 2005 b) The account pays 5% nominal interest and is compounded semi-annually. This is different to that of Part A. The annual effective interest rate is: 050625.0 1 2 05.0 1 11 2 = −⎟ ⎠ ⎞ ⎜ ⎝ ⎛ += −⎟ ⎠ ⎞ ⎜ ⎝ ⎛ += m e m r i 8000 5000 periodsannual 050625.0 = = = = F P N ie [ ] [ ] ( ) ( ) ( ) ( ) periodsannual10 517.9 050625.1log 6.1log 050625.1log6.1log 050625.16.1 050625.0150008000 %,0625.5,/ = = = = = += = N N NPFPF N N As there is only one period per year, the number of years to achieve $8000 is 10 years (20 compounding periods). 2.18 For a 15% effective annual interest rate, what is the nominal rate if: a) Interest is compounded monthly? b) Interest is compounded daily? c) Interest is compounded continuously? The general formula to convert from nominal to effective interest rates is (discrete compounding): 11 −⎟ ⎠ ⎞ ⎜ ⎝ ⎛ += m e m r i a) Monthly compounding of interest results in 12 periods in a year. 3
  • 4.
    ENVE292 – EngineeringEconomics Fall 2005 ( ) 14058.0 115.112 12 115.1 12 115.1 1 12 115.0 11 12 12 12 12 = −= += ⎟ ⎠ ⎞ ⎜ ⎝ ⎛ += −⎟ ⎠ ⎞ ⎜ ⎝ ⎛ += −⎟ ⎠ ⎞ ⎜ ⎝ ⎛ += r r r r m r i m e Therefore the equivalent nominal rate is 14.058%. b) Daily compounding of interest results in 365 periods in a year. ( ) 1398.0 115.1365 365 115.1 365 115.1 1 365 115.0 11 365 365 365 365 = −= += ⎟ ⎠ ⎞ ⎜ ⎝ ⎛ += −⎟ ⎠ ⎞ ⎜ ⎝ ⎛ += −⎟ ⎠ ⎞ ⎜ ⎝ ⎛ += r r r r m r i m e Therefore the equivalent nominal rate is 13.98%. c) The conversion for continuous interest compounding is: ( ) 1397.0 )15.1ln( 1)exp(15.0 1exp = = −= −= r r rie Therefore the equivalent nominal rate is 13.97%. 4
  • 5.
    ENVE292 – EngineeringEconomics Fall 2005 2.25 The Bank of Kitchener is offering a new savings account that pays a nominal 7.99% interest, compounded continuously. Will your money earn more in this account than a daily interest account that pays 8%? Calculate the annual effective interest rate from the nominal continuous rate of 7.99% over one year. %32.8 083178.0 1)0799.0exp( 1)exp( = = −= −= rie From here, an annual effective interest rate of 8.32% results. To compare with the nominal interest rate of 8% compounded daily, we need to convert this also to the effective annual interest rate: %327.8 08327.0 1 365 08.0 1 11 365 = = −⎟ ⎠ ⎞ ⎜ ⎝ ⎛ += −⎟ ⎠ ⎞ ⎜ ⎝ ⎛ += m e m r i Based on the results, discrete daily interest rate of 8% will yield higher performance compared to a continuous interest rate of 7.99%. It is important to analyze the effect of comparing a daily interest rate of 8% with a continuous interest rate at 8% also. %3287.8 083287.0 1)08.0exp( 1)exp( = = −= −= rie We can see a slightly higher annual effective interest rate is the result of continuous compounding. However, the difference is very small. Therefore continuous compounding, in this case, is similar but not equal to that of discrete daily compounding. A slight advantage exists with continuous compounding over discrete daily compounding. 5
  • 6.
    ENVE292 – EngineeringEconomics Fall 2005 2.30 You have $50 000 to invest in the stock market and have sought the advice of Adam, an experienced collegue who is willing to advise you for a fee. Adam has told you that he has found a one-year investment for you that provides 15% interest compounded monthly. a) What is the effective annual interest rate, based on a 15% nominal annual rate and monthly compounding? b) Adam says he will make the investment for you for a modest fee of 2% of the investments value one year from now. If you invest $50 000 today, how much will you have at the end of one year? (Before Adam’s fee) c) What is the effective annual interest rate of this investment including Adam’s fee? Part A To determine the effective annual interest rate we require the use of the conversion formula: %08.16 16075.0 1 12 15.0 1 11 12 = = −⎟ ⎠ ⎞ ⎜ ⎝ ⎛ += −⎟ ⎠ ⎞ ⎜ ⎝ ⎛ += m e m r i Therefore the effective annual interest rate is estimated at 16.08%. Part B If $50 000 was invested today at the aforementioned scenario, then we would like to know the value after one year (before Adam’s fee). Cash Flow Diagram: 1 year One compounding period ie = 16.08% per year F1 $50 000 [ ] [ ] 58037.43OR58040 1608.0150000 1%,08.16, 1 1 = += = P FPF 6
  • 7.
    ENVE292 – EngineeringEconomics Fall 2005 Part C To determine the effective annual interest rate including Adam’s fee, we can do the following: Firstly, the fee Adam imposes is 2% of F1 ($58 040) = $1160.80 Secondly, we subtract this fee from F1 yielding the net value at the end of year 1. 20.56879 80.1160580401 = −=NET F Now we can represent this in a revised (net) cash flow diagram. 1 year One compounding period ie = ?% per year $56879.20 $50 000 [ ] [ ] %76.13 1376.0 15000020.56879 1,,/ 1 = = += = e e i i iPFPF Therefore, with the fee Adam has charged, the effective annual interest rate of this investment is approximately 13.76%. 7
  • 8.
    ENVE292 – EngineeringEconomics Fall 2005 3.18 Yoko has just bought a new computer ($2000), a printer ($350) and a scanner ($210). She wants to take the monthly payment option. There is a monthly interest of 3% on her purchase. a) If Yoko pays $100 per month, how long does it take to complete her payment? b) If Yoko wants to finish paying in 24 months, how much will her monthly payments be? Total initial investment of (assume values include taxes): 2560 2103502000 = ++=P Part A Cash flow diagram A = $100 ip = 3% per month N $2560 The interest rate is given as 3% per month. From this, we can assume this is the effective period interest rate (ip). [ ] ( ) ( ) ( ) ( ) 103.1 03.1 30208.1 103.01 03.0103.0 2560100 11 1 %,3,/ − = ⎥ ⎦ ⎤ ⎢ ⎣ ⎡ −+ + = ⎥ ⎦ ⎤ ⎢ ⎣ ⎡ −+ + = = N N N N N N i ii PA NPAPA To solve, must equate LEFT and RIGHT sides. If N = 10 months then, 908.3 103.1 03.1 10 10 = − If N = 20 months then, 241.2 103.1 03.1 20 20 = − 8
  • 9.
    ENVE292 – EngineeringEconomics Fall 2005 If N = 40 months then, 442.1 103.1 03.1 40 40 = − If N = 50 months then, 295.1 103.1 03.1 50 50 = − If N = 48 months then, 319.1 103.1 03.1 48 48 = − Therefore, at 50 months (4+ years), the computer and accessories may be paid off via monthly payments of $100. OR Solving algebraically… ( ) ( ) ( ) ( ) 43.49 03.1log 130208.1 30208.1 log 130208.1 30208.1 03.1 30208.1130208.103.1 30208.103.130208.103.1 103.130208.103.1 30208.1 103.1 03.1 = ⎟ ⎠ ⎞ ⎜ ⎝ ⎛ − = − = =− −= −= = − N N N N NN Nn N N Therefore, at 50 months (4 years and 2 months), the computer and accessories may be paid off via monthly payments of $100. Part B Cash Flow Diagram A i = 3% per month 24 months $2510 9
  • 10.
    ENVE292 – EngineeringEconomics Fall 2005 [ ] ( ) ( ) ( ) ( ) 17.151 103.01 03.0103.0 2560 11 1 24%,3,/ 24 24 = ⎥ ⎦ ⎤ ⎢ ⎣ ⎡ −+ + = ⎥ ⎦ ⎤ ⎢ ⎣ ⎡ −+ + = = A A i ii PA PAPA N N If she would like to pay off her computer and accessories in 2 years (24 months) then monthly payments of $151.17 is required. 3.19 Rinku has just finished her first year of university. She wants to go to Europe when she graduates in three years. By having a part-time job through the school year and a summer job during the summer, she plans to make regular weekly deposits into a savings account at 18% interest compounded monthly. a) If Rinku deposits $15 per week, how much will she have in three years? How about $20 per week? b) Find out exactly how much Rinku needs to deposit every week is she wants to save $5000 in 3 years. It has been assumed the part-time job was not done in Rinku’s first year in University. Therefore only years 2, 3, and 4 will be considered. The textbook solves this question through the assumption of 4 weeks per month and 12 months per year. Unfortunately, this results in only 48 weeks being analyzed, 4 short of the typical 52 week year. Therefore, it is important to transfer all cash flows from monthly to weekly annuities. Part A Regular weekly deposits of $A will be done. A total of 156 weekly installments of $A will be completed over three years. Cash Flow Diagram i = 18% p.a. compounded monthly F 156 weeks A 10
  • 11.
    ENVE292 – EngineeringEconomics Fall 2005 First, we calculate an effective annual interest rate with monthly compounding: %56.19 195618.0 1 12 18.0 1 11 12 = = −⎟ ⎠ ⎞ ⎜ ⎝ ⎛ += −⎟ ⎠ ⎞ ⎜ ⎝ ⎛ += m e m r i As we are working with weekly installments, we must convert this into a weekly effective interest rate (ip). Notice the exponent n is 52 indicating we would like to achieve an period interest rate for 52 equal periods (i.e. weekly) from the effective annual rate.: ( ) ( ) %34417.0 0034417.0 11195618.0 11 52 = = −+= −+= p p n pe i i ii Now we use 0.34417% in the following as the weekly interest rate for the calculations. If weekly deposits of $15: [ ] ( ) ( ) 61.3090 0034417.0 10034417.01 15 11 %,,/ 156 = ⎥ ⎦ ⎤ ⎢ ⎣ ⎡ −+ = ⎥ ⎦ ⎤ ⎢ ⎣ ⎡ −+ = = i i A NiAFAF N If weekly deposits of $20 [ ] ( ) ( ) 82.4120 0034417.0 10034417.01 20 11 %,,/ 156 = ⎥ ⎦ ⎤ ⎢ ⎣ ⎡ −+ = ⎥ ⎦ ⎤ ⎢ ⎣ ⎡ −+ = = i i A NiAFAF N Part B To achieve $5000 at the end of 36 months (or 156 weeks), we must deposit weekly deposits of $B 11
  • 12.
    ENVE292 – EngineeringEconomics Fall 2005 [ ] ( ) ( ) 27.24 10034417.01 0034417.0 5000 11 %,,/ 156 = ⎥ ⎦ ⎤ ⎢ ⎣ ⎡ −+ = ⎥ ⎦ ⎤ ⎢ ⎣ ⎡ −+ = = B i i F NiFAFB N Therefore, weekly deposits of approximately $24.27 is required to achieve sufficient funds to travel to Europe in three years. 3.20 Seema is looking at an investment in upgrading an inspection line at her plant. The initial cost would be $140 000 with a salvage value of $37 000 after 5 years. Use the Capital Recovery Formula to determine how much money must be saved each year to justify the investment at a rate of 14%. Here, we assume the interest rate is compounded annually. The Capital Recovery Formula is: ( )[ ] SiNiPASPA +−= ,,/ To illustrate this equation is the cash flow diagram: i = 14% p.a. compounded annually N N AS P In this case, the following values are assigned to the parameters 12
  • 13.
    ENVE292 – EngineeringEconomics Fall 2005 %14 5 37000 140000 = = = = i N S P ( )[ ] ( ) ( ) ( ) ( ) ( ) ( ) ( ) ( )[ ] ( ) 21.35182 14.0370002913.037000140000 14.037000 114.1 14.114.0 37000140000 11 1 ,,/ 5 5 = +−= +⎥ ⎦ ⎤ ⎢ ⎣ ⎡ − −= +⎥ ⎦ ⎤ ⎢ ⎣ ⎡ −+ + −= +−= Si i ii SP SiNiPASPA N N So what does this mean? The company will invest in equipment that will, in a five years, hold a residual (salvage) value. The difference between the purchase price (P = $140000) and salvage value (S = $37000) is the “depreciation” or lost value of the equipment (here it is $103000). The capital recovery formula is simply a way of representing the lost value of the equipment over the analysis period and spreading this loss over (for this case) 5 years. Essentially, the company must save $35182.21 per year to justify the purchase of this machine. If the actual annual savings is greater than $35182.21, then it is a bonus to the company. However, if the annual savings is less than that value, it was not worth purchasing this equipment in the first place. 13