Stock market plays a very vital role in developing economy like India and also
attracting the rural people in recent years. Investors usually perceive that all capital market
investment avenues are risky. Based on objectives and risk bearing capacities, investors go
for different investment alternatives. Among the various investment possibilities, mutual fund
seems to be viable for all kind of investors as it is considered to be a safer mode of
investment. This study is an attempt to understand the performance of share market and to
analyse the correlation of performance of mutual funds with market indices like Sensex and
Nifty. As a part of this study, data is collected regarding performance of mutual funds and
stock market for the financial year 2009 - 10, 2010 - 11 and 2011 - 12. Two mutual fund
(growth) and two index funds are taken as sampling.

       The first few pages talk about the introduction of the subject and also of the industry.
This is followed by literature review followed by the objectives of the study and research
methodology. Then comes real part of the study in which the researcher have written all what
had analyzed through the questionnaire filled by investors and brokers. The last part consists
of findings, recommendations, limitations, conclusion and bibliography.


The objectives of the study which the researcher undertook are to study the return on
investment in share market. One of the another objective is to know how far the mutual fund
schemes are able to win the confidence of the investors, for this the researcher have made
structure questionnaire and interpretation for the same has been done and also in order to
make it more effective the researcher have used bar charts.


       From this study the researcher have found that investment in mutual funds provides
better returns on investment




                                                                                             1
LITERATURE REVIEW:

       It is bound to adapt the rich books, journals, periodicals, reports, etc. to measure with
quantity of collections. Lots of books, national and international level magazines, websites
are referred for the study. The previous research studies are also be used as a guideline in
preparing and designing the research work.

The project also includes the various schemes and history of mutual fund in India and world.

       Dr. K Ravichandran in his Research Article titled “A study on Investors preference
towards various Derivatives market, published in the Journal of Contemporary Research in
Management a Quarterly journal, Vol3, Sept.-2012. The objective of the study was to know
the various investment avenues and the investors risk preference towards it and to find out the
preference level of investors on various capital market instruments. The research article
found few things like; 44% of investors are between age group of 31 – 40, and they are
influenced by their friend and relatives. It is concluded with the point that, though the stock
market is subjected to high risk, by using derivatives the loss can be minimized to an extent.




                                                                                                 2
INTRODUCTION:

       We have seen many of the investors across the world becoming billionaire within a
short span of time by investing in share market, at the same time some investors lost amount
in the same market also. In the year 1992, 2001 and 2008 reports reveals, few investors lost
their wealth and some of them committed suicide because of share market scandals. The
famous investor Mr.Warren Buffet became the richest person because of his wise investment
strategies, however it is not an alternative way to make money as it has huge amount of risk.
An Investor has various investment options like debentures, shares, bank deposits, real estate
etc. but choice of option is very essential. Mutual funds give higher returns because of
professional management of fund. When we look at the risk and return pattern of investment,
mutual funds have yielded good return over the past years compared to direct capital market.

       The investment in stock market is increasing at a faster rate in the recent years
because of FIIs, FDIs, Stock market awareness etc. Investment in Debentures, Bank Deposits
are not so attractive because of less amount of interest, as in real terms the value of money
decreases over a period of time. The other option is to invest money in stock market, but a
common man is not much aware of market and he is not much competent enough to
understand the functions of stock market and also it is an expansive proposal. The question to
be answered is: what investment alternative should a small investor adopt? So obviously,
mutual funds come to the rescue.

       A mutual fund is a very simple concept which is combination of savings of investors.
Mutual Funds are highly cost efficient and very easy to invest in. Considering the state of
mind of the general investor, the research figures out to know how mutual fund is better than
stock market, identify the most popular MF among individual investors and analyse how far
the mutual fund schemes are able to win the confidence of the investors.




                                                                                               3
Introduction to Equity Capital and Mutual Fund

          Issue of shares is the most important
method of raising capital. Finance raised by the
issue of shares serves as a financial floor to the
company‟s capital structure. Shares indicate the
ownership or equity interest in the assets of the
company. Shares are of different nominal or face
values and of different kinds to attract different
kinds of investors. The maximum amount of
capital to be raised by the issue of shares is mentioned in the memorandum of association.

          During 1990-91 and 1991-92, equity accounts for 35 to 39 percent of the total capital
raised respectively. This proportion was reversed in 1992-93, the first year of free pricing,
when the share of equity increased to 62 percent. However, in 1995-96 there is a rise in the
importance of debt largely due to the high interest rates in the economy and negative returns
form the secondary market.

Mutual Funds

          The first mutual funds were established in Europe. One researcher credits a Dutch
merchant with creating the first mutual fund in 1774. The first mutual fund outside the
Netherlands was the Foreign & Colonial Government Trust, which was established in
London in 1868. It is now the Foreign & Colonial Investment Trust and trades on the London
stock exchange.

          Mutual funds were introduced into the United States in the 1890s. They became
popular during the 1920s. These early funds were generally of the closed-end type with a
fixed number of shares which often traded at prices above the value of the portfolio.

          The first open-end mutual fund with redeemable shares was established on March 21,
1924. This fund, the Massachusetts Investors Trust, is now part of the MFS family of funds.
However, closed-end funds remained more popular than open-end funds throughout the
1920s. By 1929, open-end funds accounted for only 5% of the industry's $27 billion in total
assets.

          After the stock market crash of 1929, Congress passed a series of acts regulating the
securities markets in general and mutual funds in particular. The Securities Act of

                                                                                             4
1933 requires that all investments sold to the public, including mutual funds, be registered
with the Securities and Exchange Commission and that they provide prospective investors
with a prospectus that discloses essential facts about the investment.

         When confidence in the stock market returned in the 1950s, the mutual fund industry
began to grow again. By 1970, there were approximately 360 funds with $48 billion in
assets. The introduction of money market funds in the high interest rate environment of the
late 1970s boosted industry growth dramatically. The first retail index fund, First Index
Investment Trust, was formed in 1976 by The Vanguard Group, headed by John Bogle; it is
now called the Vanguard 500 Index Fund and is one of the world's largest mutual funds, with
more than $100 billion in assets as of January 31, 2011.

         In 2003, the mutual fund industry was involved in a scandal involving unequal
treatment of fund shareholders. Some fund management companies allowed favoured
investors to engage in late trading, which is illegal, or market timing, which is a practice
prohibited by fund policy. The scandal was initially discovered by then-New York State
Attorney General Eliot Spitzer and resulted in significantly increased regulation of the
industry.

         At the end of 2010, there were over 15,000 mutual funds of all types in the United
States with combined assets of $13.1 trillion, according to the Investment Company
Institute (ICI), a national trade association of investment companies in the United States. The
ICI reports that worldwide mutual fund assets were $24.7 trillion on the same date.

         Mutual funds play an important role in U.S. household finances. At the end of 2010,
they accounted for 23% of household financial assets. Their role in retirement planning is
particularly significant. Roughly half of assets in 401(k) plans and individual retirement
accounts were invested in mutual funds.

         The mutual fund industry in India started in 1963 with the formation of Unit Trust of
India, at the initiative of the Government of India and Reserve Bank. Unit Trust of India
(UTI) was established on 1963 by an Act of Parliament. It was set up by the Reserve Bank of
India and functioned under the Regulatory and administrative control of the Reserve Bank of
India.

         In 1978 Industrial Development Bank of India (IDBI) took over the regulatory and
administrative control in place of RBI. The first scheme launched by UTI was Unit Scheme
1964.

                                                                                             5
Concept of Equity Capital and Mutual Fund
        The term equity literally means the stock or ownership of a company. They are also
known as ordinary shares. The rate of dividend on equity shares varies according to the
amount of profit available and the intention of board of directors. In the event of winding up
of the company, equity shares can be refunded only after all other claims, including those of
preference shares for the refund of their capital, have been met.


        Equity capital is represented by funds that are raised by a business, in exchange for a
share of ownership in the company. Equity financing allows a business to obtain funds
without incurring debt, or without having to repay a specific amount of money at a particular
time.


        A Mutual Fund is a trust that pools the money of many investors to invest in a variety
of different securities. Investment may be in stocks, bonds, money market securities or some
combination of these. Those securities are professionally managed on behalf of shareholders,
and each investor holds a pro rata share of a portfolio, entitled to any profits when the
securities are sold, but subject to any losses in value as well.


        A Mutual Fund is a group of investors operating through a fund manager to purchase
a diverse portfolio of stock or bonds. For the individual investor, mutual funds provides the
benefit of having someone else manage your investments, take care of record keeping for
your account, and diversify your rupees over many different securities that may not be
available or affordable to you otherwise. Today, minimum investment requirements on many
funds are low enough that even the smallest investor can get started in mutual funds.




                                                                                             6
Reasons to invest in Mutual Funds

Why should one choose to invest in a mutual fund?
       Mutual Funds are considered to be safer mode of
investment; these are investment companies that pool money
from investors at large and offer to sell and buy back its shares /
units on a continuous basis and thus rose to invest in various
securities in different companies. If you are considering
investment in stock market and are scared of unpredictable market volatility, you can
definitely consider investing in mutual funds because of professional management. Some of
the reasons that go strongly in favour of mutual funds are like it lowers risk factors.

For the retail investor who does not have the time and experience to analyse and invest in
stocks and bonds, mutual funds offer a feasible investment alternative. This is because:


   1. Normally investment in mutual fund is financially viable for all the investors, as it
       provides the benefit of economical access to expensive stocks,
   2. Mutual funds diversify the risk by investing in a basket of assets.
   3. An expert team of specialized fund managers managing the fund, each scheme has a
       separate professional fund manager.
   4. As mutual fund is an institutional investor, which may have enough bargaining power
       in markets, and has access to decisive corporate information which individual
       investors don‟t access.


Is investment in Mutual Fund Risk – Free?
       Usually the risk depends on Fund Manager and Asset Allocation. Mutual fund
investments are not totally risk free. In fact, investing in mutual funds contains the same risk
as investing in the markets, the only difference being that is due to professional management
of funds the controllable risks are substantially reduced.




                                                                                              7
Mutual funds vs. other investments
        Investment in mutual fund is always safe because of its unique advantages with it.
When an investor invests in bank deposits, debt market, usually risk will be very less but
return is around 10%, whereas investment in share market, Forex market carries higher
amount of risk having higher return. But mutual fund will give usually moderate return with
moderate risk. Probability of losing amount in mutual fund will be less as the risk is
diversified with investment in different securities and fund is managed by professional
experts. Exhibit-1 shows the comparative returns of mutual fund with other investment
alternatives.




Mutual Fund Investments and the Sensex

        There are plenty of schemes available in the market like equity fund, income fund and
liquid fund. In each of these categories we have infrastructure fund, tax savings fund, bond
fund, fixed term plan and many more. One of the important funds is Growth fund where the
asset allocation of this fund is made in equity shares listed in stock market and Index fund
will be invested in share of Indices. The correlation of these two funds should be obviously
positive as direction moves towards the same way.




                                                                                           8
TYPES OF MUTUAL FUNDS

       The Investment Company Act of 1940 established three types of registered
management investment companies in the United States: open-end funds, unit investment
trusts (UITs); and closed-end funds. Exchange-traded funds (ETFs) are open-end funds or
unit investment trusts that trade on an exchange; they have gained in popularity recently.
While the term "mutual fund" may refer to all three types of registered investment
companies, it is more commonly used to refer exclusively to the open-end type.


Open-end funds
       Open-end mutual funds must be willing to buy back their shares from their investors
at the end of every business day at the net asset value computed that day. Most open-end
funds also sell shares to the public every business day; these shares are also priced at net asset
value. A professional investment manager oversees the portfolio, buying and selling
securities as appropriate. The total investment in the fund will vary based on share purchases,
share redemptions and fluctuation in market valuation. There is no legal limit on the number
of shares that can be issued.



Closed-end funds
       Closed-end funds generally issue shares to the public only once, when they are
created through an initial public offering. Their shares are then listed for trading on a stock
exchange. Investors who no longer wish to invest in the fund cannot sell their shares back to
the fund (as they can with an open-end fund). Instead, they must sell their shares to another
investor in the market; the price they receive may be significantly different from net asset
value. It may be at a "premium" to net asset value (meaning that it is higher than net asset
value) or, more commonly, at a "discount" to net asset value (meaning that it is lower than
net asset value). A professional investment manager oversees the portfolio, buying and
selling securities as appropriate.


Unit investment trusts
       Unit investment trusts or UITs issue shares to the public only once, when they are
created. Investors can redeem shares directly with the fund (as with an open-end fund) or they
may also be able to sell their shares in the market. Unit investment trusts do not have a

                                                                                                9
professional investment manager. Their portfolio of securities is established at the creation of
the UIT and does not change. UITs generally have a limited life span, established at creation.



Exchange-traded funds
       A relatively recent innovation, the exchange-traded fund or ETF is often structured as
an open-end investment company, though ETFs may also be structured as unit investment
trusts, partnerships, investments trust, grantor trusts or bonds (as an exchange-traded note).
ETFs combine characteristics of both closed-end funds and open-end funds. Like closed-end
funds, ETFs are traded throughout the day on a stock exchange at a price determined by the
market. However, as with open-end funds, investors normally receive a price that is close to
net asset value. To keep the market price close to net asset value, ETFs issue and redeem
large blocks of their shares with institutional investors.

Investments and classification
       Mutual funds are classified by their principal investments. The four largest categories
of funds are money market funds, bond or fixed income funds, stock or equity funds and
hybrid funds. Within these categories, funds may be sub classified by investment objective,
investment approach or specific focus. The SEC requires that mutual fund names not be
inconsistent with a fund's investments. For example, the "ABC New Jersey Tax-Exempt
Bond Fund" would generally have to invest, under normal circumstances, at least 80% of its
assets in bonds that are exempt from federal income tax, from the alternative minimum tax
and from taxes in the state of New Jersey.

Bond, stock and hybrid funds may be classified as either index (passively-managed) funds or
actively-managed funds.


Money market funds
       Money market funds invest in money market instruments, which are fixed income
securities with a very short time to maturity and high credit quality. Investors often use
money market funds as a substitute for bank savings accounts, though money market funds
are not government insured, unlike bank savings accounts.

       Money market funds strive to maintain a $1.00 per share net asset value, meaning that
investors earn interest income from the fund but do not experience capital gains or losses. If a
fund fails to maintain that $1.00 per share because its securities have declined in value, it is

                                                                                             10
said to "break the buck". Only two money market funds have ever broken the buck:
Community Banker's U.S. Government Money Market Fund in 1994 and the Reserve
Primary Fund in 2008.



Bond funds
       Bond funds invest in fixed income securities. Bond funds can be sub classified
according to the specific types of bonds owned (such as high-yield or junk bonds,
investment-grade corporate bonds, government bonds or municipal bonds) or by the maturity
of the bonds held (short-, intermediate- or long-term). Bond funds may invest in primarily
U.S. securities (domestic or U.S. funds), in both U.S. and foreign securities (global or world
funds), or primarily foreign securities (international funds).



Stock or equity funds
       Stock or equity funds invest in common stocks. Stock funds may invest in primarily
U.S. securities (domestic or U.S. funds), in both U.S. and foreign securities (global or world
funds), or primarily foreign securities (international funds). They may focus on a specific
industry or sector.

A stock fund may be sub classified along two dimensions:

(1) Market capitalization and

(2) Investment style (i.e., growth vs. blend/core vs. value).

The two dimensions are often displayed in a grid known as a "style box."

       Market capitalization or market cap indicates the size of the companies in which a
fund invests, based on the value of the company's stock. Each company's market
capitalization equals the number of shares outstanding times the market price of the stock.
Market capitalizations are typically divided into the following categories:

   Micro cap
   Small cap
   Mid cap
   Large cap



                                                                                           11
While the specific definitions of each category vary with market conditions, large cap
stocks generally have market capitalizations of at least $10 billion, small cap stocks have
market capitalizations below $2 billion, and micro-cap stocks have market capitalizations
below $300 million. Funds are also classified in these categories based on the market caps of
the stocks that it holds.

        Stock funds are also sub classified according to their investment style: growth, value
or blend (or core). Growth funds seek to invest in stocks of fast-growing companies. Value
funds seek to invest in stocks that appear cheaply priced. Blend funds are not biased toward
either growth or value.



Hybrid funds
        Hybrid funds invest in both bonds and stocks or in convertible securities. Balanced
funds, asset allocation funds, target date or target risk funds and lifecycle or lifestyle funds
are all types of hybrid funds.

        Hybrid funds may be structured as funds of funds, meaning that they invest by buying
shares in other mutual funds that invest in securities. Most fund of funds invest in affiliated
funds (meaning mutual funds managed by the same fund sponsor), although some invest in
unaffiliated funds (meaning those managed by other fund sponsors) or in a combination of
the two.



Index (passively-managed) versus actively-managed
        An index fund or passively-managed fund seeks to match the performance of a market
index, such as the S&P 500 index, while an actively managed fund seeks to outperform a
relevant index through superior security selection.




                                                                                             12
ADVANTAGES OF EQUITY CAPITAL

High Dividend and High Value

       In times of prosperity, the equity shareholders get a very high rate of dividend,
sufficiently higher than that on preference shares. At the same time, their share value will
also go up in the market.

Voting Rights

       It is the inky equity shareholders who enjoy voting rights on all the policy matter of
the company.

Pre-emptive right to new shares

       Equity shareholders have the pre-emptive right to purchase new shares. Under the
provision of the companies act, the existing shareholders of the company have a right to
allotment of newly issued shared.

Many Privileges and Rights

       Equity shareholders enjoy many privileges and rights. For example, they can vote at
meetings, elect directors, control the directors to run the company efficiently and profitably,
look into the books and records of the company and transfer or sell their shareholdings.




                                                                                            13
ADVANTAGES OF MUTUAL FUNDS

Diversification

          Mutual funds typically hold anywhere from 50 to 200 different stocks. This type of
diversification diminishes the risk of a few investments adversely effecting overall returns.

Continuous, professional management

          Skilled professionals whose compensation is linked to the performance of the fund
manage mutual funds.

Economies of scale

          Mutual funds incur proportionately lower trading commissions than do individuals.
Lower transaction costs can translate into better investment performance.

Shareholder services

          Mutual fund Complexes offer automatic investment plans, retirement plans, record
keeping for tax purposes, and systematic withdrawal plans, and they allow investors to make
exchanges or switches between funds over the telephone. Mutual funds also allow the
automatic reinvestment of income dividends and capital gains distributions into additional
shares.

Liquidity

          Mutual funds are very liquid financial instruments since they can be easily purchased
or sold with no significant price impact. Redemptions technically have no direct effect on the
net asset value at which they were executed. Redemptions might have an indirect effect if
there were massive and forced portfolio liquidations before the redemption orders were
executed. This indirect effect is expected to be rare. Mutual funds typically offer more
liquidity than individual stocks, bonds, or closed-ended portfolios.




                                                                                                14
DISADVANTAGES OF EQUITY CAPITAL

No refund of capital

       Since equity shares cannot be refunded, excessive issue of such share may leads to
overcapitalisation, particularly when the earning capacity of the company is declining.

Benefits only in prosperity

       During the periods of prosperity, the company has to distribute heavy dividends on
these shares.

Manipulation of control

       Since the equity share have proportionate voting power, the company‟s management
many be vitiated by manipulation of votes, clique-formation, abuse of proxy rights etc.

High risk

       Equity shareholders cannot claim dividend as a matter of right, because the decision
to fit the rate of dividend on equity shares is vested in the Board of Directors. Therefore
investors as a class may find equity shares unsafe, unattractive and unremunerated.

Unhealthy Speculation

       During the period of boom, the market value of share will go up, which leads to
unhealthy speculation in the stock market.




                                                                                          15
DISADVANTAGES OF MUTUAL FUNDS

        Like many investments, mutual funds offer advantages and disadvantages, which are
important for you to consider and understand before you decide to buy. Here are some of the
drawbacks of mutual funds.

Fluctuating returns

        Mutual funds are like many other investments without a guaranteed return. There is
always the possibility that the value of your mutual fund will depreciate. This is especially
important for investors in money market funds.

Diversification

        Although diversification is one of the keys to successful investing, many mutual fund
investors tends to over diversify. The idea of diversification is to reduce the risks associated
with holding a single security; over diversification occurs when investors acquire many funds
that are highly related and so don‟t get the risk reducing benefits of diversification.

Cash. Cash and more Cash

        Mutual funds pool money from thousands of investors, so everyday investors are
putting money into the fund as well as withdrawing investments. To maintain liquidity and
the capacity to accommodate withdrawals, funds typically have to keep a large portion of
their portfolio as cash. Having ample cash is great for liquidity, but money sitting around as
cash is not working for you and thus is not very advantageous.

Costs

        Mutual funds provide investors with professional management; however, it comes at a
cost. Funds will typically have a range of different fees that reduce the overall pay-out. In
mutual funds the fees are classified into two categories; shareholder fees and annual fund
operating fees. The shareholder fees, in the form of loads and redemption fees are paid
directly by shareholders purchasing or selling the funds. The annual fund operating fees are
charged as an annual percentage – usually ranging from 1-3%. These fees are assessed to
mutual fund investors regardless of the performance of the fund.




                                                                                             16
Misleading Advertisement

       The misleading advertisement of different funds can guide investors down the wrong
path. Some funds may be incorrectly labelled as growth funds, while others are classified as
small-cap or income.

Evaluating Funds

       Another disadvantage of mutual funds is the difficulty they pose for investors
interested in researching and evaluating the different funds. Unlike stocks, mutual funds do
not offer investors the opportunity to compare the P/E ratio, sales growth, earnings per share,
etc. A mutual fund‟s net asset value gives investors the total value of the fund‟s portfolio less
liabilities, but how do you know if one fund is better than another? Furthermore,
advertisements, rankings and ratings issued by fund companies only describe past
performance.




                                                                                              17
LEGAL AND REGULATORY FRAMEWORK




Mutual funds are regulated by the SEBI (Mutual Fund) Regulations, 1996.


Bank-sponsored mutual funds are jointly regulated by SEBI and RBI.


Listed mutual funds are subject to the listing regulations of stock exchanges.


Association of Mutual funds India (AMFI) is an industry association of mutual funds.
(training, investor awareness)


Indian Trusts Act, 1882 which requires mutual funds to be established in form of a
trust.


Income Tax Act, 1961, which covers the tax aspects of mutual funds.


The present system of regulations of mutual funds also includes some relevant
provisions of the Companies Act, 1956.




                                                                                 18
Hypothesis

      “Investment in mutual fund yields higher return than direct capital market”.

       From this study the researcher have found that mutual funds yields higher return than
capital market and it has been proved in the below data analysis and findings. The data is
collected from 100 investors of different companies in the form of questionnaire.


       It has been found that investment in mutual funds provides return of 183.59% in 3
years period and whereas investment in capital market provides return of only 19.39% in 3
years. And majority of investors i.e. 67% also agree that mutual fund investment is safer than
investment in any other avenues. From this study it concludes that mutual fund yields higher
return than direct capital market.




                                                                                           19
OBJECTIVES OF THE STUDY:


Following are the objectives for the study.


   a. To study the return on investment in share market.
   b. To understand the fund sponsor qualities influencing the selection of MFs/Schemes
   c. To know how far the mutual fund schemes are able to win the confidence of the
       investors




                                    SCOPE OF THE STUDY:

       The scope of the study is limited to investors and their investment preferences. Study
objective is to investigate the return on investment in share market and to understand the fund
sponsor qualities influencing the selection of MFs/Schemes. Also to find out that how far the
mutual fund schemes are able to win the confidence of the investors.
       The researcher‟s study will consider urban and semi-urban area of India. Now, the
researcher study purpose is to know the return on investment in share market and mutual
fund. The research was carried out to define how investor should invest in terms of making
right choice of investment, in addition what all techniques should be used so that they can get
the better returns from the markets. For conducting the study help of certain tools were taken
such as journals, net search, filling up of questionnaires.




                                                                                            20
LIMITATIONS OF THE STUDY:

       Carrying the survey was a general learning experience but the researcher also faced
some problems, which are listed here:



     India‟s population is too large and the number of investors and brokers in India is
        also very large and it is not possible to cover each and every investor and brokers in
        India.


     The data is collected from investors and brokers in Mumbai, Amritsar, and Delhi
        cities only; mostly are from Mumbai. It could also not cover the whole of these cities
        because the sample size was less and also due to time constraint.


     Generally the respondents were busy in their work and were not interested in
        responding rightly.


     Respondents were reluctant to discover complete and correct information about
        themselves and their financial investments.


    Most respondents were not maintaining proper knowledge about the companies they
       are investing, so they were unable to provide exact information regarding the returns
       companies providing.


     Most of the respondents don‟t want to disclose the information about their
        investment preferences.


     Due to human behaviour information may be biased.




                                                                                           21
RESEARCH METHODOLOGY:

Research Design:

The design for this study is Descriptive research.

Descriptive research, also known as statistical research, describes data and characteristics
about the population or phenomenon being studied. Descriptive research answers the
questions who, what, where, when, "why" and how...

       Although the data description is factual, accurate and systematic, the research cannot
describe what caused a situation. Thus, Descriptive research cannot be used to create a causal
relationship, where one variable affects another. In other words, descriptive research can be
said to have a low requirement for internal validity.

Sources of Data:

       The study undertaken there to be mainly based on the primary data i.e. structured
questionnaire is designed. The study also contains secondary data i.e. data from authenticated
websites and journals for the latest updates just to gain an insight for the views of various
experts. In this Project, the method used to collect the data is a primary questionnaire method.
The questionnaire is been answered by the investors and brokers who invest in equity markets
and mutual funds.

Data Collection:

       The data is collected from the investors and brokers in the form of questionnaire and
the sample size is 100 as a respondents. The data is collected from Mumbai, Amritsar, and
Delhi city only, mostly sample size was from Mumbai. Because it is a pilot study and due to
time constraint the sample size could not cover whole India. The sample size is small.

      Data collection method: Survey

      Data collection tool: Questionnaire




                                                                                             22
Data Analysis And Interpretation
       Sample Size: 100
       Total number of questions asked: 9


 Age Group:



                 Below 25                          38                     38%

                  26 to 35                         42                     42%

                  36 to 45                         7                      7%

                 Above 46                          13                     13%




                             Below 25     25 -35   35 - 45     above 45




                                         13%

                                  7%
                                                             38%




                                        42%




Observation:

       The sample consisted of a total of 100 investors and brokers among which 38 % of
investors and brokers belong to age group of below 25, 42% of investors and brokers belong
to 26to 35 age group, 7% investors and brokers belong to 36to 45 age group and 13%
investors and brokers belong to above 46 age group.




                                                                                       23
 Do you Invest in Markets?




                                      Yes            73

                                      No             27




                                               Yes   No




                                      27%




                                                          73%




Observation:

       The sample consisted of a total of 100 investors and brokers, which that nearly 73%
of investors and brokers invest their money in share markets or mutual funds.




                                                                                       24
 Income:



                                               INCOME BRACKET



                                1,80,000 - 3,50,000                42           42%



                                3,50,000 - 7,00,000                44           44%



                                    Above 7,00,000                 14           14%




                  50                 42%               44%
                  40
                  30
                  20                                                          14%
                  10
                       0

                             1,80,000 -
                              3,50,000           3,50,000 -
                                                  7,00,000              Above 7,00,000



                       1,80,000 - 3,50,000           3,50,000 - 7,00,000              Above 7,00,000
        Series1                42                             44                           14




Observation:

       The sample consisted of a total of 100 investors and brokers, which shows that all the
investors and brokers comes in the tax bracket and which is also one of the main reason to
invest in markets and schemes which provides good returns with tax benefit.




                                                                                                       25
 Select your preference for the financial investment?




                               Equities           42          42%



                            Mutual Funds          33          33%



                                Both              25          25%




                             Both
                                            Mutual Funds
                                              Equities
                                               Both
                             25%
                                                0%
                                                                    Equities
                                                                     42%




                          Mutual Funds
                             33%




Observation:

       The sample consisted of a total of 100 investors and brokers, which shows that most
of investors and brokers are more willing to invest their money in equities, but the difference
is very less as 42% of investors and brokers are willing to invest in equity and 33% of
investors and brokers will like to invest in mutual funds.
                                                                                            26
 State the reason for your preference?




                              Rate of Return                        74        74%




                         Flexible Investment Terms                  26        26%




                      26%


                                                          Rate of Return
                                                          Flexible Investment Terms


                                               74%




Observation:

       The sample consisted of a total of 100 investors and brokers, which shows that most
of investors and brokers choose their respective investment option with giving more
importance to rate of return on their investment.




                                                                                       27
 What type of investment do you make?




                            Short Term (0-1 year period)           24           24%




                        Medium Term (1-5 year period)              41           41%




                     Long Term (More than 5 year period)           35           35%




              Long Term                                                    Short Term (0-1
            (More than 5                                                    year period)
             year period)                                                        24%
                 35%




                                                                           Medium Term
                                                                            (1-5 year
                                                                             period)
                                                                               41%




Observation:

       The sample consisted of a total of 100 investors and brokers, which shows that most
of investors and brokers are more willing to invest their money for longer time period as the
perception is that they will get higher returns in long term investment.




                                                                                             28
 Investing in Mutual Funds is far safer than Investing in other avenues”. Do you
  agree?




                Yes                         67                      67%




                 No                         33                      33%




                                67




                                                         33




                          Yes                       No




Observation:

       The sample consisted of a total of 100 investors and brokers, which shows that most
of investors and brokers agree that mutual fund options as safer than investing in equity,
bonds or in debentures.

                                                                                       29
According to you among these products in which one should invest now?




                          Equity Markets                   51          51%




                          Mutual Funds                     49          49%




                 51.5

                  51

                 50.5

                  50

                 49.5

                  49

                 48.5

                  48
                               Equity Markets                Mutual Funds
                Series1              51                           49




Observation:

       According to Survey the investors still believe that invest should be done in equities
but the difference between the preference of investors is very less. As 51% of investors
suggest to invest in equities in current time whereas 49% of investors suggest to invest in
mutual funds.

                                                                                          30
State the reason for your preference with reference to above questions answer?




                                Secure Investment                        52      52%


                           Expected High Rate of Returns                 48      48%




                        Secure Investment        Expected High Rate of Returns




                     48%                                                 52%




Observation:

       According to Survey the investors select their current area of investment by giving
importance to the factor of Secure Investment.




                                                                                       31
Which factor of a Mutual Fund or of a equity plays an important role to invest in them?




                           Most Important      Important       Least Important       Out of 100%

         Brand                  45%              50%                 5%                  100

       Performance              79%              20%                 1%                  100

   Management Team              34%              64%                 2%                  100




  90
                 79
  80

  70                                        64
  60
                                  50
  50        45                                                                   Brand
  40                                                                             Performance
                      34
                                                                                 Management Team
  30
                                       20
  20

  10                                                       5
                                                               1    2
   0
          Most Important           Important           Least Important



Observation:

        According to Survey the investors have given the most important preference for
investing to the performance of the equity or mutual fund. And second preference has been
given to the brand name of the company and last factor to consider is management team.




                                                                                                   32
Comparative Analysis of Equity Share and Mutual Fund
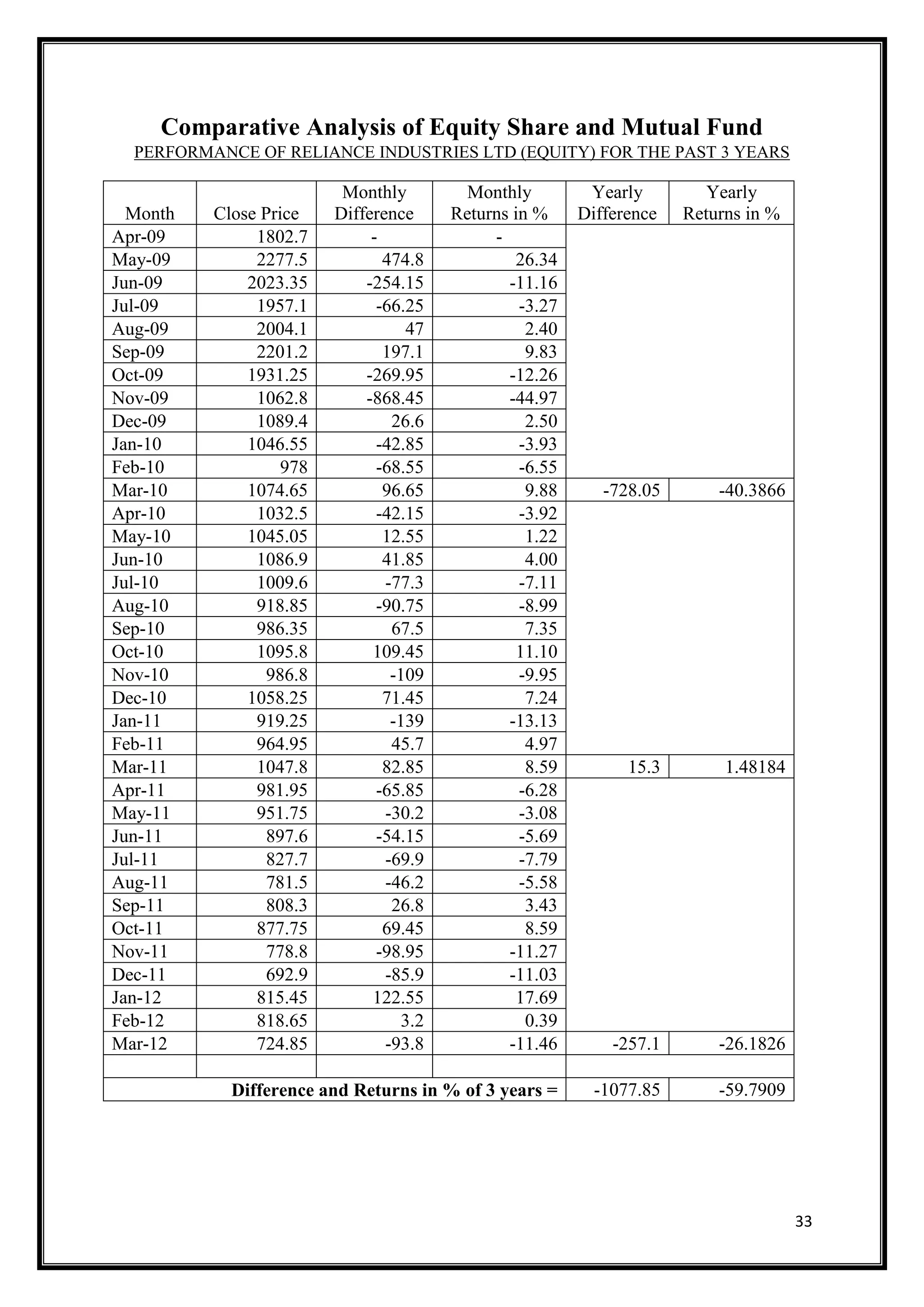
  PERFORMANCE OF RELIANCE INDUSTRIES LTD (EQUITY) FOR THE PAST 3 YEARS

                          Monthly          Monthly         Yearly         Yearly
  Month   Close Price    Difference      Returns in %     Difference   Returns in %
Apr-09         1802.7         -               -
May-09         2277.5           474.8            26.34
Jun-09        2023.35        -254.15            -11.16
Jul-09         1957.1          -66.25             -3.27
Aug-09         2004.1               47             2.40
Sep-09         2201.2           197.1              9.83
Oct-09        1931.25        -269.95            -12.26
Nov-09         1062.8        -868.45            -44.97
Dec-09         1089.4            26.6              2.50
Jan-10        1046.55          -42.85             -3.93
Feb-10             978         -68.55             -6.55
Mar-10        1074.65           96.65              9.88      -728.05       -40.3866
Apr-10         1032.5          -42.15             -3.92
May-10        1045.05           12.55              1.22
Jun-10         1086.9           41.85              4.00
Jul-10         1009.6           -77.3             -7.11
Aug-10         918.85          -90.75             -8.99
Sep-10         986.35            67.5              7.35
Oct-10         1095.8         109.45             11.10
Nov-10           986.8           -109             -9.95
Dec-10        1058.25           71.45              7.24
Jan-11         919.25            -139           -13.13
Feb-11         964.95            45.7              4.97
Mar-11         1047.8           82.85              8.59         15.3        1.48184
Apr-11         981.95          -65.85             -6.28
May-11         951.75           -30.2             -3.08
Jun-11           897.6         -54.15             -5.69
Jul-11           827.7          -69.9             -7.79
Aug-11           781.5          -46.2             -5.58
Sep-11           808.3           26.8              3.43
Oct-11         877.75           69.45              8.59
Nov-11           778.8         -98.95           -11.27
Dec-11           692.9          -85.9           -11.03
Jan-12         815.45         122.55             17.69
Feb-12         818.65              3.2             0.39
Mar-12         724.85           -93.8           -11.46        -257.1       -26.1826

            Difference and Returns in % of 3 years =        -1077.85       -59.7909




                                                                                      33
As the above data shows that RELIANCE INDUSTRIES LTD has given positive
returns only in one financial period 2010-11 and that too only 1.48 % and has given returns
during two financial years. And comparing the returns of 3 years the company has given
negative returns of 59.79%.




                                                                                        34
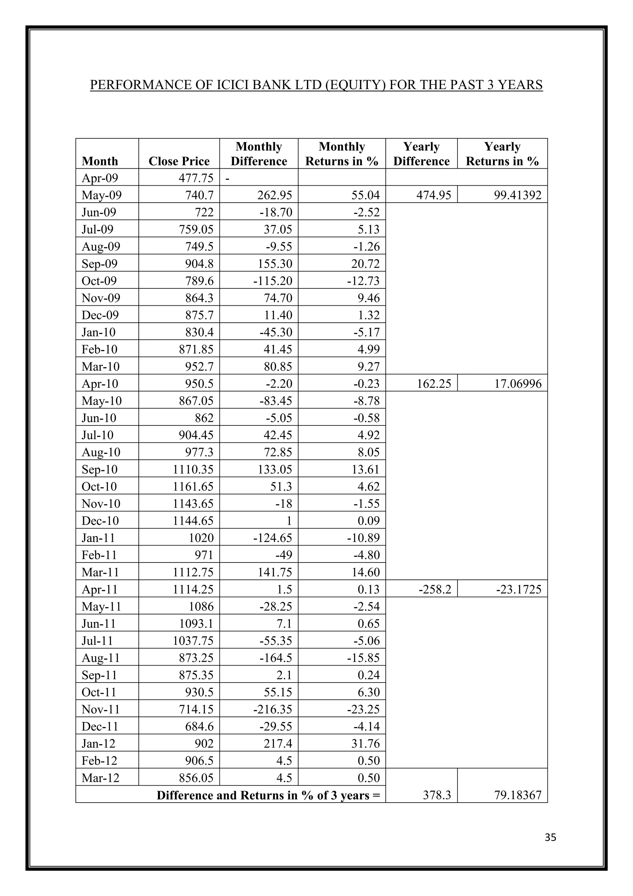
PERFORMANCE OF ICICI BANK LTD (EQUITY) FOR THE PAST 3 YEARS



                        Monthly       Monthly         Yearly         Yearly
Month    Close Price   Difference Returns in %       Difference   Returns in %
Apr-09        477.75 -
May-09         740.7        262.95           55.04       474.95       99.41392
Jun-09           722        -18.70           -2.52
Jul-09        759.05         37.05            5.13
Aug-09         749.5         -9.55           -1.26
Sep-09         904.8        155.30           20.72
Oct-09         789.6       -115.20          -12.73
Nov-09         864.3         74.70            9.46
Dec-09         875.7         11.40            1.32
Jan-10         830.4        -45.30           -5.17
Feb-10        871.85         41.45            4.99
Mar-10         952.7         80.85            9.27
Apr-10         950.5         -2.20           -0.23       162.25       17.06996
May-10        867.05        -83.45           -8.78
Jun-10           862         -5.05           -0.58
Jul-10        904.45         42.45            4.92
Aug-10         977.3         72.85            8.05
Sep-10       1110.35        133.05           13.61
Oct-10       1161.65          51.3            4.62
Nov-10       1143.65           -18           -1.55
Dec-10       1144.65             1            0.09
Jan-11          1020       -124.65          -10.89
Feb-11           971           -49           -4.80
Mar-11       1112.75        141.75           14.60
Apr-11       1114.25           1.5            0.13       -258.2       -23.1725
May-11          1086        -28.25           -2.54
Jun-11        1093.1           7.1            0.65
Jul-11       1037.75        -55.35           -5.06
Aug-11        873.25        -164.5          -15.85
Sep-11        875.35           2.1            0.24
Oct-11         930.5         55.15            6.30
Nov-11        714.15       -216.35          -23.25
Dec-11         684.6        -29.55           -4.14
Jan-12           902         217.4           31.76
Feb-12         906.5           4.5            0.50
Mar-12        856.05           4.5            0.50
          Difference and Returns in % of 3 years =        378.3       79.18367


                                                                                 35
As the above data shows that ICICI BANK LTD has given positive returns in two
financial periods, i.e. 2009-10 & 2010-11 and has given negative returns in one financial
year. And comparing the returns of 3 years the company has given positive returns of
79.18%.




                                                                                      36
PERFORMANCE OF SBI MSFU CONTRA-GROWTH (MUTUAL FUND) FOR
                    THE PAST 3 YEARS

                Net         Monthly       Monthly        Yearly         Yearly
  Date
             Asset Value   Difference   Returns In %    Difference   Returns in %
29-Apr-09      34.13                                      21.61         63.31
29-May-09        45          10.87          31.85
30-Jun-09      44.16         -0.84          -1.87
 31-Jul-09      48.3          4.14           9.38
31-Aug-09      48.97          0.67           1.39
30-Sep-09      52.81          3.84           7.84
30-Oct-09       49.8         -3.01          -5.70
30-Nov-09      53.17          3.37           6.77
31-Dec-09      55.68          2.51           4.72
 29-Jan-10     53.31         -2.37          -4.26
26-Feb-10      52.55         -0.76          -1.43
31-Mar-10      55.74          3.19           6.07
30-Apr-10      56.33          0.59           1.06         -0.71         -1.26
31-May-10       54.1         -2.23          -3.96
30-Jun-10      57.03          2.93           5.42
 30-Jul-10     57.05          0.02           0.04
31-Aug-10      58.17          1.12           1.96
30-Sep-10      62.63          4.46           7.67
29-Oct-10      62.95          0.32           0.51
30-Nov-10      59.46         -3.49          -5.54
31-Dec-10      61.02          1.56           2.62
 31-Jan-11     54.18         -6.84         -11.21
28-Feb-11      51.18         -3.00          -5.54
31-Mar-11      55.62          4.44           8.68
29-Apr-11      56.07          0.45           0.81          -5.4         -9.63
31-May-11      54.68         -1.39          -2.48
30-Jun-11      55.23          0.55           1.01
 29-Jul-11     54.16         -1.07          -1.94
30-Aug-11      49.36         -4.80          -8.86
30-Sep-11      48.58         -0.78          -1.58
31-Oct-11      50.53          1.95           4.01
30-Nov-11      46.23         -4.30          -8.51
30-Dec-11      43.79         -2.44          -5.28
 31-Jan-12     48.86          5.07          11.58
29-Feb-12       51.6          2.74           5.61
29-Mar-12      50.67         -0.93          -1.80

             Difference and Returns in % of 3 years =     16.54         48.46



                                                                                    37
As the above data shows that SBI MSFU CONTRA-GROWTH has given positive
returns in 1st financial year in 2009-10 & and has given a negative returns in 2nd and 3rd
financial year. And comparing the returns of 3 years the fund has given positive returns of
48.46%.




                                                                                        38
PERFORMANCE OF RELIANCE EQUITY OPPORTUNITIES FUND – GROWTH PLAN
              (MUTUAL FUND) FOR THE PAST 3 YEARS

                Net
               Asset    Monthly    Monthly        Yearly     Yearly
     Date      Value    Difference Returns in % Difference Returns in %
  29-Apr-09    15.1389
  29-May-09    20.0628        4.92          32.52      15.95 105.3557392
  30-Jun-09    20.1576        0.09           0.47
   31-Jul-09   22.1421        1.98           9.84
  31-Aug-09    23.1923        1.05           4.74
  30-Sep-09    25.9585        2.77          11.93
  30-Oct-09    24.8117       -1.15          -4.42
  30-Nov-09    26.8891        2.08           8.37
  31-Dec-09    29.4351        2.55           9.47
   29-Jan-10    28.095       -1.34          -4.55
  26-Feb-10    28.3646        0.27           0.96
  31-Mar-10    31.0886        2.72           9.60
  30-Apr-10    32.2103        1.12           3.61      3.508 10.89092619
  31-May-10    31.0571       -1.15          -3.58
  30-Jun-10    32.9375        1.88           6.05
   30-Jul-10    34.422        1.48           4.51
  31-Aug-10    35.6699        1.25           3.63
  30-Sep-10    38.7718        3.10           8.70
  29-Oct-10    38.4782       -0.29          -0.76
  30-Nov-10    37.2717       -1.21          -3.14
  31-Dec-10    38.3986        1.13           3.02
   31-Jan-11   34.5916       -3.81          -9.91
  28-Feb-11     32.683       -1.91          -5.52
  31-Mar-11    35.7183        3.04           9.29
  29-Apr-11    36.2916        0.57           1.61   -0.6954 -1.916145885
  31-May-11    35.6693       -0.62          -1.71
  30-Jun-11    36.6927        1.02           2.87
   29-Jul-11      36.61      -0.08          -0.23
  30-Aug-11    33.5575       -3.05          -8.34
  30-Sep-11    33.3842       -0.17          -0.52
  31-Oct-11     34.847        1.46           4.38
  30-Nov-11    31.8511       -3.00          -8.60
  30-Dec-11    30.0922       -1.76          -5.52
   31-Jan-12   34.0546        3.96          13.17
  29-Feb-12    36.0334        1.98           5.81
  29-Mar-12    35.5962       -0.44          -1.21
                                                    20.4573 135.1306898




                                                                           39
As the above data shows that RELIANCE EQUITY OPPORTUNITIES FUND –
GROWTH PLAN has given positive returns in two financial years, i.e. 2009-10 & 2010-11
and has given a negative returns in one financial year i.e.2011-12. And comparing the returns
of 3 years the fund has given positive returns of 135.13%.




                                                                                          40
COMPARATIVE ANALYSIS OF EQUITY V/S MUTUAL FUND




EQUITIES                               2009-10      2010-11     2011-12     2009-2012

RELIANCE INDUSTRIES LTD                 -40.38%         1.48%    -26.18%       -59.79%

ICICI BANK LTD                             99.41%      17.06%    -23.17%        79.18%

MUTUAL FUND                            2009-10      2010-11     2011-12     2009-2012

SBI MSFU CONTRA                            63.31%      -1.26%     -9.63%        48.46%

RELIANCE EQUITY OPP OURTUNITIES FUND    105.35%        10.89%     -1.91%       135.13%




                          ANALYSIS OF EQUITY




            EQUITIES              2009-10     2010-11     2011-12     2009-2012

RELIANCE INDUSTRIES LTD           -40.38%      1.48%      -26.18%         -59.79%

ICICI BANK LTD                    99.41%      17.06%      -23.17%         79.18%




                                                                                         41
99.41%
  100.00%
                                                         79.18%
   80.00%

   60.00%

   40.00%                     17.06%
                                                                  RELIANCE INDUSTRIES LTD
   20.00%                 1.48%                                   ICICI BANK LTD

    0.00%
             2009-10      2010-11      2011-12    2009-2012
   -20.00%
                                  -26.18%
   -40.00%                                  -23.17%
             -40.38%
   -60.00%
                                                      -59.79%




       The above data shows the returns of respective equities for the period. So consider if
an investor has invested is these two companies then on 1st financial year his investment of
„X‟ amount will increase by 59.03% and on 2nd financial year his investment value will
increase by 18.54% and on 3rd financial year his investment value will reduce by 49.35%.

       And if investor keep invested his money for 3yrs then his investment value at end of
3rd financial year will increase by 19.39% only which is less as he can get more than 20% of
returns by keeping fixed deposits in the bank.




                                                                                            42
ANALYSIS OF MUTUAL FUND

MUTUAL FUND                                        2009-10   2010-11   2011-12     2009-2012

SBI MSFU CONTRA                                    63.31%     -1.26%    -9.63%      48.46%

RELIANCE EQUITY
                                                105.35%       10.89%    -1.91%      135.13%
OPPOURTUNITIES FUND




                                       Mutual Funds

                                                         135.13%
  140.00%


  120.00%
                 105.35%

  100.00%


   80.00%    63.31%                                                    SBI MSFU CONTRA

   60.00%                                           48.46%             RELIANCE EQUITY OPP
                                                                       OURTUNITIES FUND
   40.00%


   20.00%                        10.89%
                                        -9.63% -1.91%
                           -1.26%
    0.00%
               2009-10       2010-11     2011-12      2009-2012
   -20.00%



       The above data shows the returns of respective mutual funds for the period. So
consider if an investor has invested is these two funds then on 1st financial year his
investment of „X‟ amount will increase by 168.66% and on 2nd financial year his investment
value will increase by 9.63% and on 3rd financial year his investment value will reduce by
11.54%.

       And if investor keep invested his money for 3yrs then his investment value at end of
3rd financial year will increase by 183.59% which is far better than the returns of equity
investment returns.


                                                                                             43
ANALYSIS:

       (As from analysing the above data and also from questionnaire we
can say that Hypothesis is being proved.)

   Among 100% sample, 67% respondents
    agree that mutual funds are safer than any
    other investment option.

   Among 3yrs data of returns of equity and
    mutual fund, it shows that mutual fund
    provides more return than the equity
    market.

   Among 100% sample, 49% respondents says that one should invest in mutual funds,
    which shows the increasing preference for mutual fund.




                                                                                44
FINDINGS OF THE STUDY:


 The First question asked was about the investment factor and among the 100% sample
  size, 73% respondents said that they do invest in markets.

 Among the 100 sample size, 24% of investors were wish to invest for short term
  period (0-1 year) whereas 41% of investors were willing to invest their money for
  medium term (1–5 years)and 35% of investors for long term investment (more than 5
  year).

 Among the 100 sample size, 74% investors invest money with the preference of rate
  of return on their investment and 26% investors invest money with the preference of
  flexible investment terms.

 The investors have given almost same weightage to the question of According to you
  among these products in which one should invest now? As 51% of investors suggest
  investing in Equities and 49 % of investors suggests for Mutual funds. So here it can
  be said that mutual funds are gaining its importance in the finance industry.

 When asked about the reason for selecting the respective product of investment then
  the preference was given to the factor of secure investment, i.e. by 52% of investors.

 It is noted that investors give 1st importance to performance of the equity or mutual
  fund and then brand name and at last give importance to management team while
  making the decision in which they would prefer to invest their money.




                                                                                     45
RECOMMENDATIONS OF THE STUDY:

 As it has been found from the above findings that mutual funds are providing better
   returns and gaining its importance in the finance industry. Therefore, the mutual fund
   companies in India should make vice decisions while making investments and provide
   more benefits to investors.


 As many investors get fooled by some mutual fund companies which gives false
   promises to investors for investing their money in their mutual fund. So government
   should make strict rules for all the mutual fund companies in order to safe guard the
   investment of all investors.


 The charges should be reduced to minimum and also the lock in period factor should
   be minimised, which will attract more investors from the market.


 Key features of mutual funds should be mentioned in the advertisement. Features like
   Diversification, Systematic Investment Plans (SIP), Tax benefits should be mentioned
   in the advertisements. Otherwise, people will see mutual funds as normal shares in
   which we invest money.


 Many fund firms themselves have provided assurances regarding restitution for losses
   to shareholders i.e., reassuring. However, these promises have been short on specifics
   indicating how those losses will be measured and how the compensation will be
   provided.


 Mutual funds should use appropriate and simple names for the schemes, which match
   the features of the schemes, so that the investors are not confused and not feel cheated
   after investing.




                                                                                        46
CONCLUSION


       The Indian mutual funds industry has transformed totally for good since last decade
and has shown growth and potential. Though the Asset under Management and number of
schemes has increased significantly, but it is yet to be a household product, and needs to
cover the retail segment effectively. Moreover, there are still many remote and potential areas
which lack the required knowledge and infrastructure of mutual funds.

       Mutual fund is an excellent product offering great flexibility and liquidity, which can
be tailored to suit any investor‟s objective and it is affordable for the all people of different
income levels and saving habits

       After doing study it is concluded that yes mutual funds are much better investment
option but as future is uncertain so no one can give a sure guarantee of good returns, no
matter whether it is equity or a mutual fund.

       Investors can minimise their risk by doing little research before investing in the
markets which will help them to decide the right investment plan or product.




                                                                                              47
BIBLIOGRAPHY


Books

        Jaydev, M. 1998, Investment policy and performance
        of mutual funds, Kanishka Pub., India.


        Gupta, A. 2002, Mutual funds in India: a study of investment management, Anmol
        Publications PVT. LTD., India.


        Business world


        C.R. Kothari – Research Methodology


Websites

        http://www.amfiindia.com
        http://search.proquest.com
        http://articles.economictimes.indiatimes.com
        http://www.google.com
        http://www.moneycontrol.com
        http://www.bseindia.com
        http://www.nseindia.com
        http://www.icicibank.com
        http://www.sbi.co.in
        http://www.sebi.gov.in
        http://www.finance.yahoo.com




                                                                                         48
ANNEXURE

QUESTIONNAIRE

                 This questionnaire is prepared for a research project

  An Empirical Study on Performance of Mutual Fund in India

Name:

Age:

Income Category:       a. 1, 80,000-5, 00,000     b.5, 00,000-8, 00,000   c. above 8, 00,000


   1. Do you invest in Markets?
        a. Yes                b. No


   2. What type of investment do you make?
        a. Short Term         (0-1 year period)
        b. Medium Term        (1-5 year period)
        c. Long Term          (More than 5 year period)


   3. Give your ratings on the following financial investment?
        a. Equities
        b. Mutual Funds


   4. State the reason for your preference?
        a. Rate of Return
        b. Flexible Investment Terms


   5. Investing in Mutual Funds is far safer than Investing in other avenues”. Do you agree?
        a. Yes                b. No


   6. According to you among these products in which one should invest now?
        a. Equity Market
        b. Mutual Funds




                                                                                               49
7. State the reason for your preference with reference to above questions answer?
   a. Secure Investment
   b. Expected High Rate of Returns


8. Which factor of a Mutual Fund or of a equity plays an important role to invest in
   them?




                             Most Important     Important      Least Important

            Brand


         Performance


      Management Team




                       Thank you for your precious time and support.




                                                                                    50

An empirical study on performance of mutual fund in india

  • 1.
    Stock market playsa very vital role in developing economy like India and also attracting the rural people in recent years. Investors usually perceive that all capital market investment avenues are risky. Based on objectives and risk bearing capacities, investors go for different investment alternatives. Among the various investment possibilities, mutual fund seems to be viable for all kind of investors as it is considered to be a safer mode of investment. This study is an attempt to understand the performance of share market and to analyse the correlation of performance of mutual funds with market indices like Sensex and Nifty. As a part of this study, data is collected regarding performance of mutual funds and stock market for the financial year 2009 - 10, 2010 - 11 and 2011 - 12. Two mutual fund (growth) and two index funds are taken as sampling. The first few pages talk about the introduction of the subject and also of the industry. This is followed by literature review followed by the objectives of the study and research methodology. Then comes real part of the study in which the researcher have written all what had analyzed through the questionnaire filled by investors and brokers. The last part consists of findings, recommendations, limitations, conclusion and bibliography. The objectives of the study which the researcher undertook are to study the return on investment in share market. One of the another objective is to know how far the mutual fund schemes are able to win the confidence of the investors, for this the researcher have made structure questionnaire and interpretation for the same has been done and also in order to make it more effective the researcher have used bar charts. From this study the researcher have found that investment in mutual funds provides better returns on investment 1
  • 2.
    LITERATURE REVIEW: It is bound to adapt the rich books, journals, periodicals, reports, etc. to measure with quantity of collections. Lots of books, national and international level magazines, websites are referred for the study. The previous research studies are also be used as a guideline in preparing and designing the research work. The project also includes the various schemes and history of mutual fund in India and world. Dr. K Ravichandran in his Research Article titled “A study on Investors preference towards various Derivatives market, published in the Journal of Contemporary Research in Management a Quarterly journal, Vol3, Sept.-2012. The objective of the study was to know the various investment avenues and the investors risk preference towards it and to find out the preference level of investors on various capital market instruments. The research article found few things like; 44% of investors are between age group of 31 – 40, and they are influenced by their friend and relatives. It is concluded with the point that, though the stock market is subjected to high risk, by using derivatives the loss can be minimized to an extent. 2
  • 3.
    INTRODUCTION: We have seen many of the investors across the world becoming billionaire within a short span of time by investing in share market, at the same time some investors lost amount in the same market also. In the year 1992, 2001 and 2008 reports reveals, few investors lost their wealth and some of them committed suicide because of share market scandals. The famous investor Mr.Warren Buffet became the richest person because of his wise investment strategies, however it is not an alternative way to make money as it has huge amount of risk. An Investor has various investment options like debentures, shares, bank deposits, real estate etc. but choice of option is very essential. Mutual funds give higher returns because of professional management of fund. When we look at the risk and return pattern of investment, mutual funds have yielded good return over the past years compared to direct capital market. The investment in stock market is increasing at a faster rate in the recent years because of FIIs, FDIs, Stock market awareness etc. Investment in Debentures, Bank Deposits are not so attractive because of less amount of interest, as in real terms the value of money decreases over a period of time. The other option is to invest money in stock market, but a common man is not much aware of market and he is not much competent enough to understand the functions of stock market and also it is an expansive proposal. The question to be answered is: what investment alternative should a small investor adopt? So obviously, mutual funds come to the rescue. A mutual fund is a very simple concept which is combination of savings of investors. Mutual Funds are highly cost efficient and very easy to invest in. Considering the state of mind of the general investor, the research figures out to know how mutual fund is better than stock market, identify the most popular MF among individual investors and analyse how far the mutual fund schemes are able to win the confidence of the investors. 3
  • 4.
    Introduction to EquityCapital and Mutual Fund Issue of shares is the most important method of raising capital. Finance raised by the issue of shares serves as a financial floor to the company‟s capital structure. Shares indicate the ownership or equity interest in the assets of the company. Shares are of different nominal or face values and of different kinds to attract different kinds of investors. The maximum amount of capital to be raised by the issue of shares is mentioned in the memorandum of association. During 1990-91 and 1991-92, equity accounts for 35 to 39 percent of the total capital raised respectively. This proportion was reversed in 1992-93, the first year of free pricing, when the share of equity increased to 62 percent. However, in 1995-96 there is a rise in the importance of debt largely due to the high interest rates in the economy and negative returns form the secondary market. Mutual Funds The first mutual funds were established in Europe. One researcher credits a Dutch merchant with creating the first mutual fund in 1774. The first mutual fund outside the Netherlands was the Foreign & Colonial Government Trust, which was established in London in 1868. It is now the Foreign & Colonial Investment Trust and trades on the London stock exchange. Mutual funds were introduced into the United States in the 1890s. They became popular during the 1920s. These early funds were generally of the closed-end type with a fixed number of shares which often traded at prices above the value of the portfolio. The first open-end mutual fund with redeemable shares was established on March 21, 1924. This fund, the Massachusetts Investors Trust, is now part of the MFS family of funds. However, closed-end funds remained more popular than open-end funds throughout the 1920s. By 1929, open-end funds accounted for only 5% of the industry's $27 billion in total assets. After the stock market crash of 1929, Congress passed a series of acts regulating the securities markets in general and mutual funds in particular. The Securities Act of 4
  • 5.
    1933 requires thatall investments sold to the public, including mutual funds, be registered with the Securities and Exchange Commission and that they provide prospective investors with a prospectus that discloses essential facts about the investment. When confidence in the stock market returned in the 1950s, the mutual fund industry began to grow again. By 1970, there were approximately 360 funds with $48 billion in assets. The introduction of money market funds in the high interest rate environment of the late 1970s boosted industry growth dramatically. The first retail index fund, First Index Investment Trust, was formed in 1976 by The Vanguard Group, headed by John Bogle; it is now called the Vanguard 500 Index Fund and is one of the world's largest mutual funds, with more than $100 billion in assets as of January 31, 2011. In 2003, the mutual fund industry was involved in a scandal involving unequal treatment of fund shareholders. Some fund management companies allowed favoured investors to engage in late trading, which is illegal, or market timing, which is a practice prohibited by fund policy. The scandal was initially discovered by then-New York State Attorney General Eliot Spitzer and resulted in significantly increased regulation of the industry. At the end of 2010, there were over 15,000 mutual funds of all types in the United States with combined assets of $13.1 trillion, according to the Investment Company Institute (ICI), a national trade association of investment companies in the United States. The ICI reports that worldwide mutual fund assets were $24.7 trillion on the same date. Mutual funds play an important role in U.S. household finances. At the end of 2010, they accounted for 23% of household financial assets. Their role in retirement planning is particularly significant. Roughly half of assets in 401(k) plans and individual retirement accounts were invested in mutual funds. The mutual fund industry in India started in 1963 with the formation of Unit Trust of India, at the initiative of the Government of India and Reserve Bank. Unit Trust of India (UTI) was established on 1963 by an Act of Parliament. It was set up by the Reserve Bank of India and functioned under the Regulatory and administrative control of the Reserve Bank of India. In 1978 Industrial Development Bank of India (IDBI) took over the regulatory and administrative control in place of RBI. The first scheme launched by UTI was Unit Scheme 1964. 5
  • 6.
    Concept of EquityCapital and Mutual Fund The term equity literally means the stock or ownership of a company. They are also known as ordinary shares. The rate of dividend on equity shares varies according to the amount of profit available and the intention of board of directors. In the event of winding up of the company, equity shares can be refunded only after all other claims, including those of preference shares for the refund of their capital, have been met. Equity capital is represented by funds that are raised by a business, in exchange for a share of ownership in the company. Equity financing allows a business to obtain funds without incurring debt, or without having to repay a specific amount of money at a particular time. A Mutual Fund is a trust that pools the money of many investors to invest in a variety of different securities. Investment may be in stocks, bonds, money market securities or some combination of these. Those securities are professionally managed on behalf of shareholders, and each investor holds a pro rata share of a portfolio, entitled to any profits when the securities are sold, but subject to any losses in value as well. A Mutual Fund is a group of investors operating through a fund manager to purchase a diverse portfolio of stock or bonds. For the individual investor, mutual funds provides the benefit of having someone else manage your investments, take care of record keeping for your account, and diversify your rupees over many different securities that may not be available or affordable to you otherwise. Today, minimum investment requirements on many funds are low enough that even the smallest investor can get started in mutual funds. 6
  • 7.
    Reasons to investin Mutual Funds Why should one choose to invest in a mutual fund? Mutual Funds are considered to be safer mode of investment; these are investment companies that pool money from investors at large and offer to sell and buy back its shares / units on a continuous basis and thus rose to invest in various securities in different companies. If you are considering investment in stock market and are scared of unpredictable market volatility, you can definitely consider investing in mutual funds because of professional management. Some of the reasons that go strongly in favour of mutual funds are like it lowers risk factors. For the retail investor who does not have the time and experience to analyse and invest in stocks and bonds, mutual funds offer a feasible investment alternative. This is because: 1. Normally investment in mutual fund is financially viable for all the investors, as it provides the benefit of economical access to expensive stocks, 2. Mutual funds diversify the risk by investing in a basket of assets. 3. An expert team of specialized fund managers managing the fund, each scheme has a separate professional fund manager. 4. As mutual fund is an institutional investor, which may have enough bargaining power in markets, and has access to decisive corporate information which individual investors don‟t access. Is investment in Mutual Fund Risk – Free? Usually the risk depends on Fund Manager and Asset Allocation. Mutual fund investments are not totally risk free. In fact, investing in mutual funds contains the same risk as investing in the markets, the only difference being that is due to professional management of funds the controllable risks are substantially reduced. 7
  • 8.
    Mutual funds vs.other investments Investment in mutual fund is always safe because of its unique advantages with it. When an investor invests in bank deposits, debt market, usually risk will be very less but return is around 10%, whereas investment in share market, Forex market carries higher amount of risk having higher return. But mutual fund will give usually moderate return with moderate risk. Probability of losing amount in mutual fund will be less as the risk is diversified with investment in different securities and fund is managed by professional experts. Exhibit-1 shows the comparative returns of mutual fund with other investment alternatives. Mutual Fund Investments and the Sensex There are plenty of schemes available in the market like equity fund, income fund and liquid fund. In each of these categories we have infrastructure fund, tax savings fund, bond fund, fixed term plan and many more. One of the important funds is Growth fund where the asset allocation of this fund is made in equity shares listed in stock market and Index fund will be invested in share of Indices. The correlation of these two funds should be obviously positive as direction moves towards the same way. 8
  • 9.
    TYPES OF MUTUALFUNDS The Investment Company Act of 1940 established three types of registered management investment companies in the United States: open-end funds, unit investment trusts (UITs); and closed-end funds. Exchange-traded funds (ETFs) are open-end funds or unit investment trusts that trade on an exchange; they have gained in popularity recently. While the term "mutual fund" may refer to all three types of registered investment companies, it is more commonly used to refer exclusively to the open-end type. Open-end funds Open-end mutual funds must be willing to buy back their shares from their investors at the end of every business day at the net asset value computed that day. Most open-end funds also sell shares to the public every business day; these shares are also priced at net asset value. A professional investment manager oversees the portfolio, buying and selling securities as appropriate. The total investment in the fund will vary based on share purchases, share redemptions and fluctuation in market valuation. There is no legal limit on the number of shares that can be issued. Closed-end funds Closed-end funds generally issue shares to the public only once, when they are created through an initial public offering. Their shares are then listed for trading on a stock exchange. Investors who no longer wish to invest in the fund cannot sell their shares back to the fund (as they can with an open-end fund). Instead, they must sell their shares to another investor in the market; the price they receive may be significantly different from net asset value. It may be at a "premium" to net asset value (meaning that it is higher than net asset value) or, more commonly, at a "discount" to net asset value (meaning that it is lower than net asset value). A professional investment manager oversees the portfolio, buying and selling securities as appropriate. Unit investment trusts Unit investment trusts or UITs issue shares to the public only once, when they are created. Investors can redeem shares directly with the fund (as with an open-end fund) or they may also be able to sell their shares in the market. Unit investment trusts do not have a 9
  • 10.
    professional investment manager.Their portfolio of securities is established at the creation of the UIT and does not change. UITs generally have a limited life span, established at creation. Exchange-traded funds A relatively recent innovation, the exchange-traded fund or ETF is often structured as an open-end investment company, though ETFs may also be structured as unit investment trusts, partnerships, investments trust, grantor trusts or bonds (as an exchange-traded note). ETFs combine characteristics of both closed-end funds and open-end funds. Like closed-end funds, ETFs are traded throughout the day on a stock exchange at a price determined by the market. However, as with open-end funds, investors normally receive a price that is close to net asset value. To keep the market price close to net asset value, ETFs issue and redeem large blocks of their shares with institutional investors. Investments and classification Mutual funds are classified by their principal investments. The four largest categories of funds are money market funds, bond or fixed income funds, stock or equity funds and hybrid funds. Within these categories, funds may be sub classified by investment objective, investment approach or specific focus. The SEC requires that mutual fund names not be inconsistent with a fund's investments. For example, the "ABC New Jersey Tax-Exempt Bond Fund" would generally have to invest, under normal circumstances, at least 80% of its assets in bonds that are exempt from federal income tax, from the alternative minimum tax and from taxes in the state of New Jersey. Bond, stock and hybrid funds may be classified as either index (passively-managed) funds or actively-managed funds. Money market funds Money market funds invest in money market instruments, which are fixed income securities with a very short time to maturity and high credit quality. Investors often use money market funds as a substitute for bank savings accounts, though money market funds are not government insured, unlike bank savings accounts. Money market funds strive to maintain a $1.00 per share net asset value, meaning that investors earn interest income from the fund but do not experience capital gains or losses. If a fund fails to maintain that $1.00 per share because its securities have declined in value, it is 10
  • 11.
    said to "breakthe buck". Only two money market funds have ever broken the buck: Community Banker's U.S. Government Money Market Fund in 1994 and the Reserve Primary Fund in 2008. Bond funds Bond funds invest in fixed income securities. Bond funds can be sub classified according to the specific types of bonds owned (such as high-yield or junk bonds, investment-grade corporate bonds, government bonds or municipal bonds) or by the maturity of the bonds held (short-, intermediate- or long-term). Bond funds may invest in primarily U.S. securities (domestic or U.S. funds), in both U.S. and foreign securities (global or world funds), or primarily foreign securities (international funds). Stock or equity funds Stock or equity funds invest in common stocks. Stock funds may invest in primarily U.S. securities (domestic or U.S. funds), in both U.S. and foreign securities (global or world funds), or primarily foreign securities (international funds). They may focus on a specific industry or sector. A stock fund may be sub classified along two dimensions: (1) Market capitalization and (2) Investment style (i.e., growth vs. blend/core vs. value). The two dimensions are often displayed in a grid known as a "style box." Market capitalization or market cap indicates the size of the companies in which a fund invests, based on the value of the company's stock. Each company's market capitalization equals the number of shares outstanding times the market price of the stock. Market capitalizations are typically divided into the following categories:  Micro cap  Small cap  Mid cap  Large cap 11
  • 12.
    While the specificdefinitions of each category vary with market conditions, large cap stocks generally have market capitalizations of at least $10 billion, small cap stocks have market capitalizations below $2 billion, and micro-cap stocks have market capitalizations below $300 million. Funds are also classified in these categories based on the market caps of the stocks that it holds. Stock funds are also sub classified according to their investment style: growth, value or blend (or core). Growth funds seek to invest in stocks of fast-growing companies. Value funds seek to invest in stocks that appear cheaply priced. Blend funds are not biased toward either growth or value. Hybrid funds Hybrid funds invest in both bonds and stocks or in convertible securities. Balanced funds, asset allocation funds, target date or target risk funds and lifecycle or lifestyle funds are all types of hybrid funds. Hybrid funds may be structured as funds of funds, meaning that they invest by buying shares in other mutual funds that invest in securities. Most fund of funds invest in affiliated funds (meaning mutual funds managed by the same fund sponsor), although some invest in unaffiliated funds (meaning those managed by other fund sponsors) or in a combination of the two. Index (passively-managed) versus actively-managed An index fund or passively-managed fund seeks to match the performance of a market index, such as the S&P 500 index, while an actively managed fund seeks to outperform a relevant index through superior security selection. 12
  • 13.
    ADVANTAGES OF EQUITYCAPITAL High Dividend and High Value In times of prosperity, the equity shareholders get a very high rate of dividend, sufficiently higher than that on preference shares. At the same time, their share value will also go up in the market. Voting Rights It is the inky equity shareholders who enjoy voting rights on all the policy matter of the company. Pre-emptive right to new shares Equity shareholders have the pre-emptive right to purchase new shares. Under the provision of the companies act, the existing shareholders of the company have a right to allotment of newly issued shared. Many Privileges and Rights Equity shareholders enjoy many privileges and rights. For example, they can vote at meetings, elect directors, control the directors to run the company efficiently and profitably, look into the books and records of the company and transfer or sell their shareholdings. 13
  • 14.
    ADVANTAGES OF MUTUALFUNDS Diversification Mutual funds typically hold anywhere from 50 to 200 different stocks. This type of diversification diminishes the risk of a few investments adversely effecting overall returns. Continuous, professional management Skilled professionals whose compensation is linked to the performance of the fund manage mutual funds. Economies of scale Mutual funds incur proportionately lower trading commissions than do individuals. Lower transaction costs can translate into better investment performance. Shareholder services Mutual fund Complexes offer automatic investment plans, retirement plans, record keeping for tax purposes, and systematic withdrawal plans, and they allow investors to make exchanges or switches between funds over the telephone. Mutual funds also allow the automatic reinvestment of income dividends and capital gains distributions into additional shares. Liquidity Mutual funds are very liquid financial instruments since they can be easily purchased or sold with no significant price impact. Redemptions technically have no direct effect on the net asset value at which they were executed. Redemptions might have an indirect effect if there were massive and forced portfolio liquidations before the redemption orders were executed. This indirect effect is expected to be rare. Mutual funds typically offer more liquidity than individual stocks, bonds, or closed-ended portfolios. 14
  • 15.
    DISADVANTAGES OF EQUITYCAPITAL No refund of capital Since equity shares cannot be refunded, excessive issue of such share may leads to overcapitalisation, particularly when the earning capacity of the company is declining. Benefits only in prosperity During the periods of prosperity, the company has to distribute heavy dividends on these shares. Manipulation of control Since the equity share have proportionate voting power, the company‟s management many be vitiated by manipulation of votes, clique-formation, abuse of proxy rights etc. High risk Equity shareholders cannot claim dividend as a matter of right, because the decision to fit the rate of dividend on equity shares is vested in the Board of Directors. Therefore investors as a class may find equity shares unsafe, unattractive and unremunerated. Unhealthy Speculation During the period of boom, the market value of share will go up, which leads to unhealthy speculation in the stock market. 15
  • 16.
    DISADVANTAGES OF MUTUALFUNDS Like many investments, mutual funds offer advantages and disadvantages, which are important for you to consider and understand before you decide to buy. Here are some of the drawbacks of mutual funds. Fluctuating returns Mutual funds are like many other investments without a guaranteed return. There is always the possibility that the value of your mutual fund will depreciate. This is especially important for investors in money market funds. Diversification Although diversification is one of the keys to successful investing, many mutual fund investors tends to over diversify. The idea of diversification is to reduce the risks associated with holding a single security; over diversification occurs when investors acquire many funds that are highly related and so don‟t get the risk reducing benefits of diversification. Cash. Cash and more Cash Mutual funds pool money from thousands of investors, so everyday investors are putting money into the fund as well as withdrawing investments. To maintain liquidity and the capacity to accommodate withdrawals, funds typically have to keep a large portion of their portfolio as cash. Having ample cash is great for liquidity, but money sitting around as cash is not working for you and thus is not very advantageous. Costs Mutual funds provide investors with professional management; however, it comes at a cost. Funds will typically have a range of different fees that reduce the overall pay-out. In mutual funds the fees are classified into two categories; shareholder fees and annual fund operating fees. The shareholder fees, in the form of loads and redemption fees are paid directly by shareholders purchasing or selling the funds. The annual fund operating fees are charged as an annual percentage – usually ranging from 1-3%. These fees are assessed to mutual fund investors regardless of the performance of the fund. 16
  • 17.
    Misleading Advertisement The misleading advertisement of different funds can guide investors down the wrong path. Some funds may be incorrectly labelled as growth funds, while others are classified as small-cap or income. Evaluating Funds Another disadvantage of mutual funds is the difficulty they pose for investors interested in researching and evaluating the different funds. Unlike stocks, mutual funds do not offer investors the opportunity to compare the P/E ratio, sales growth, earnings per share, etc. A mutual fund‟s net asset value gives investors the total value of the fund‟s portfolio less liabilities, but how do you know if one fund is better than another? Furthermore, advertisements, rankings and ratings issued by fund companies only describe past performance. 17
  • 18.
    LEGAL AND REGULATORYFRAMEWORK Mutual funds are regulated by the SEBI (Mutual Fund) Regulations, 1996. Bank-sponsored mutual funds are jointly regulated by SEBI and RBI. Listed mutual funds are subject to the listing regulations of stock exchanges. Association of Mutual funds India (AMFI) is an industry association of mutual funds. (training, investor awareness) Indian Trusts Act, 1882 which requires mutual funds to be established in form of a trust. Income Tax Act, 1961, which covers the tax aspects of mutual funds. The present system of regulations of mutual funds also includes some relevant provisions of the Companies Act, 1956. 18
  • 19.
    Hypothesis “Investment in mutual fund yields higher return than direct capital market”. From this study the researcher have found that mutual funds yields higher return than capital market and it has been proved in the below data analysis and findings. The data is collected from 100 investors of different companies in the form of questionnaire. It has been found that investment in mutual funds provides return of 183.59% in 3 years period and whereas investment in capital market provides return of only 19.39% in 3 years. And majority of investors i.e. 67% also agree that mutual fund investment is safer than investment in any other avenues. From this study it concludes that mutual fund yields higher return than direct capital market. 19
  • 20.
    OBJECTIVES OF THESTUDY: Following are the objectives for the study. a. To study the return on investment in share market. b. To understand the fund sponsor qualities influencing the selection of MFs/Schemes c. To know how far the mutual fund schemes are able to win the confidence of the investors SCOPE OF THE STUDY: The scope of the study is limited to investors and their investment preferences. Study objective is to investigate the return on investment in share market and to understand the fund sponsor qualities influencing the selection of MFs/Schemes. Also to find out that how far the mutual fund schemes are able to win the confidence of the investors. The researcher‟s study will consider urban and semi-urban area of India. Now, the researcher study purpose is to know the return on investment in share market and mutual fund. The research was carried out to define how investor should invest in terms of making right choice of investment, in addition what all techniques should be used so that they can get the better returns from the markets. For conducting the study help of certain tools were taken such as journals, net search, filling up of questionnaires. 20
  • 21.
    LIMITATIONS OF THESTUDY: Carrying the survey was a general learning experience but the researcher also faced some problems, which are listed here:  India‟s population is too large and the number of investors and brokers in India is also very large and it is not possible to cover each and every investor and brokers in India.  The data is collected from investors and brokers in Mumbai, Amritsar, and Delhi cities only; mostly are from Mumbai. It could also not cover the whole of these cities because the sample size was less and also due to time constraint.  Generally the respondents were busy in their work and were not interested in responding rightly.  Respondents were reluctant to discover complete and correct information about themselves and their financial investments.  Most respondents were not maintaining proper knowledge about the companies they are investing, so they were unable to provide exact information regarding the returns companies providing.  Most of the respondents don‟t want to disclose the information about their investment preferences.  Due to human behaviour information may be biased. 21
  • 22.
    RESEARCH METHODOLOGY: Research Design: Thedesign for this study is Descriptive research. Descriptive research, also known as statistical research, describes data and characteristics about the population or phenomenon being studied. Descriptive research answers the questions who, what, where, when, "why" and how... Although the data description is factual, accurate and systematic, the research cannot describe what caused a situation. Thus, Descriptive research cannot be used to create a causal relationship, where one variable affects another. In other words, descriptive research can be said to have a low requirement for internal validity. Sources of Data: The study undertaken there to be mainly based on the primary data i.e. structured questionnaire is designed. The study also contains secondary data i.e. data from authenticated websites and journals for the latest updates just to gain an insight for the views of various experts. In this Project, the method used to collect the data is a primary questionnaire method. The questionnaire is been answered by the investors and brokers who invest in equity markets and mutual funds. Data Collection: The data is collected from the investors and brokers in the form of questionnaire and the sample size is 100 as a respondents. The data is collected from Mumbai, Amritsar, and Delhi city only, mostly sample size was from Mumbai. Because it is a pilot study and due to time constraint the sample size could not cover whole India. The sample size is small.  Data collection method: Survey  Data collection tool: Questionnaire 22
  • 23.
    Data Analysis AndInterpretation Sample Size: 100 Total number of questions asked: 9  Age Group: Below 25 38 38% 26 to 35 42 42% 36 to 45 7 7% Above 46 13 13% Below 25 25 -35 35 - 45 above 45 13% 7% 38% 42% Observation: The sample consisted of a total of 100 investors and brokers among which 38 % of investors and brokers belong to age group of below 25, 42% of investors and brokers belong to 26to 35 age group, 7% investors and brokers belong to 36to 45 age group and 13% investors and brokers belong to above 46 age group. 23
  • 24.
     Do youInvest in Markets? Yes 73 No 27 Yes No 27% 73% Observation: The sample consisted of a total of 100 investors and brokers, which that nearly 73% of investors and brokers invest their money in share markets or mutual funds. 24
  • 25.
     Income: INCOME BRACKET 1,80,000 - 3,50,000 42 42% 3,50,000 - 7,00,000 44 44% Above 7,00,000 14 14% 50 42% 44% 40 30 20 14% 10 0 1,80,000 - 3,50,000 3,50,000 - 7,00,000 Above 7,00,000 1,80,000 - 3,50,000 3,50,000 - 7,00,000 Above 7,00,000 Series1 42 44 14 Observation: The sample consisted of a total of 100 investors and brokers, which shows that all the investors and brokers comes in the tax bracket and which is also one of the main reason to invest in markets and schemes which provides good returns with tax benefit. 25
  • 26.
     Select yourpreference for the financial investment? Equities 42 42% Mutual Funds 33 33% Both 25 25% Both Mutual Funds Equities Both 25% 0% Equities 42% Mutual Funds 33% Observation: The sample consisted of a total of 100 investors and brokers, which shows that most of investors and brokers are more willing to invest their money in equities, but the difference is very less as 42% of investors and brokers are willing to invest in equity and 33% of investors and brokers will like to invest in mutual funds. 26
  • 27.
     State thereason for your preference? Rate of Return 74 74% Flexible Investment Terms 26 26% 26% Rate of Return Flexible Investment Terms 74% Observation: The sample consisted of a total of 100 investors and brokers, which shows that most of investors and brokers choose their respective investment option with giving more importance to rate of return on their investment. 27
  • 28.
     What typeof investment do you make? Short Term (0-1 year period) 24 24% Medium Term (1-5 year period) 41 41% Long Term (More than 5 year period) 35 35% Long Term Short Term (0-1 (More than 5 year period) year period) 24% 35% Medium Term (1-5 year period) 41% Observation: The sample consisted of a total of 100 investors and brokers, which shows that most of investors and brokers are more willing to invest their money for longer time period as the perception is that they will get higher returns in long term investment. 28
  • 29.
     Investing inMutual Funds is far safer than Investing in other avenues”. Do you agree? Yes 67 67% No 33 33% 67 33 Yes No Observation: The sample consisted of a total of 100 investors and brokers, which shows that most of investors and brokers agree that mutual fund options as safer than investing in equity, bonds or in debentures. 29
  • 30.
    According to youamong these products in which one should invest now? Equity Markets 51 51% Mutual Funds 49 49% 51.5 51 50.5 50 49.5 49 48.5 48 Equity Markets Mutual Funds Series1 51 49 Observation: According to Survey the investors still believe that invest should be done in equities but the difference between the preference of investors is very less. As 51% of investors suggest to invest in equities in current time whereas 49% of investors suggest to invest in mutual funds. 30
  • 31.
    State the reasonfor your preference with reference to above questions answer? Secure Investment 52 52% Expected High Rate of Returns 48 48% Secure Investment Expected High Rate of Returns 48% 52% Observation: According to Survey the investors select their current area of investment by giving importance to the factor of Secure Investment. 31
  • 32.
    Which factor ofa Mutual Fund or of a equity plays an important role to invest in them? Most Important Important Least Important Out of 100% Brand 45% 50% 5% 100 Performance 79% 20% 1% 100 Management Team 34% 64% 2% 100 90 79 80 70 64 60 50 50 45 Brand 40 Performance 34 Management Team 30 20 20 10 5 1 2 0 Most Important Important Least Important Observation: According to Survey the investors have given the most important preference for investing to the performance of the equity or mutual fund. And second preference has been given to the brand name of the company and last factor to consider is management team. 32
  • 33.
    Comparative Analysis ofEquity Share and Mutual Fund PERFORMANCE OF RELIANCE INDUSTRIES LTD (EQUITY) FOR THE PAST 3 YEARS Monthly Monthly Yearly Yearly Month Close Price Difference Returns in % Difference Returns in % Apr-09 1802.7 - - May-09 2277.5 474.8 26.34 Jun-09 2023.35 -254.15 -11.16 Jul-09 1957.1 -66.25 -3.27 Aug-09 2004.1 47 2.40 Sep-09 2201.2 197.1 9.83 Oct-09 1931.25 -269.95 -12.26 Nov-09 1062.8 -868.45 -44.97 Dec-09 1089.4 26.6 2.50 Jan-10 1046.55 -42.85 -3.93 Feb-10 978 -68.55 -6.55 Mar-10 1074.65 96.65 9.88 -728.05 -40.3866 Apr-10 1032.5 -42.15 -3.92 May-10 1045.05 12.55 1.22 Jun-10 1086.9 41.85 4.00 Jul-10 1009.6 -77.3 -7.11 Aug-10 918.85 -90.75 -8.99 Sep-10 986.35 67.5 7.35 Oct-10 1095.8 109.45 11.10 Nov-10 986.8 -109 -9.95 Dec-10 1058.25 71.45 7.24 Jan-11 919.25 -139 -13.13 Feb-11 964.95 45.7 4.97 Mar-11 1047.8 82.85 8.59 15.3 1.48184 Apr-11 981.95 -65.85 -6.28 May-11 951.75 -30.2 -3.08 Jun-11 897.6 -54.15 -5.69 Jul-11 827.7 -69.9 -7.79 Aug-11 781.5 -46.2 -5.58 Sep-11 808.3 26.8 3.43 Oct-11 877.75 69.45 8.59 Nov-11 778.8 -98.95 -11.27 Dec-11 692.9 -85.9 -11.03 Jan-12 815.45 122.55 17.69 Feb-12 818.65 3.2 0.39 Mar-12 724.85 -93.8 -11.46 -257.1 -26.1826 Difference and Returns in % of 3 years = -1077.85 -59.7909 33
  • 34.
    As the abovedata shows that RELIANCE INDUSTRIES LTD has given positive returns only in one financial period 2010-11 and that too only 1.48 % and has given returns during two financial years. And comparing the returns of 3 years the company has given negative returns of 59.79%. 34
  • 35.
    PERFORMANCE OF ICICIBANK LTD (EQUITY) FOR THE PAST 3 YEARS Monthly Monthly Yearly Yearly Month Close Price Difference Returns in % Difference Returns in % Apr-09 477.75 - May-09 740.7 262.95 55.04 474.95 99.41392 Jun-09 722 -18.70 -2.52 Jul-09 759.05 37.05 5.13 Aug-09 749.5 -9.55 -1.26 Sep-09 904.8 155.30 20.72 Oct-09 789.6 -115.20 -12.73 Nov-09 864.3 74.70 9.46 Dec-09 875.7 11.40 1.32 Jan-10 830.4 -45.30 -5.17 Feb-10 871.85 41.45 4.99 Mar-10 952.7 80.85 9.27 Apr-10 950.5 -2.20 -0.23 162.25 17.06996 May-10 867.05 -83.45 -8.78 Jun-10 862 -5.05 -0.58 Jul-10 904.45 42.45 4.92 Aug-10 977.3 72.85 8.05 Sep-10 1110.35 133.05 13.61 Oct-10 1161.65 51.3 4.62 Nov-10 1143.65 -18 -1.55 Dec-10 1144.65 1 0.09 Jan-11 1020 -124.65 -10.89 Feb-11 971 -49 -4.80 Mar-11 1112.75 141.75 14.60 Apr-11 1114.25 1.5 0.13 -258.2 -23.1725 May-11 1086 -28.25 -2.54 Jun-11 1093.1 7.1 0.65 Jul-11 1037.75 -55.35 -5.06 Aug-11 873.25 -164.5 -15.85 Sep-11 875.35 2.1 0.24 Oct-11 930.5 55.15 6.30 Nov-11 714.15 -216.35 -23.25 Dec-11 684.6 -29.55 -4.14 Jan-12 902 217.4 31.76 Feb-12 906.5 4.5 0.50 Mar-12 856.05 4.5 0.50 Difference and Returns in % of 3 years = 378.3 79.18367 35
  • 36.
    As the abovedata shows that ICICI BANK LTD has given positive returns in two financial periods, i.e. 2009-10 & 2010-11 and has given negative returns in one financial year. And comparing the returns of 3 years the company has given positive returns of 79.18%. 36
  • 37.
    PERFORMANCE OF SBIMSFU CONTRA-GROWTH (MUTUAL FUND) FOR THE PAST 3 YEARS Net Monthly Monthly Yearly Yearly Date Asset Value Difference Returns In % Difference Returns in % 29-Apr-09 34.13 21.61 63.31 29-May-09 45 10.87 31.85 30-Jun-09 44.16 -0.84 -1.87 31-Jul-09 48.3 4.14 9.38 31-Aug-09 48.97 0.67 1.39 30-Sep-09 52.81 3.84 7.84 30-Oct-09 49.8 -3.01 -5.70 30-Nov-09 53.17 3.37 6.77 31-Dec-09 55.68 2.51 4.72 29-Jan-10 53.31 -2.37 -4.26 26-Feb-10 52.55 -0.76 -1.43 31-Mar-10 55.74 3.19 6.07 30-Apr-10 56.33 0.59 1.06 -0.71 -1.26 31-May-10 54.1 -2.23 -3.96 30-Jun-10 57.03 2.93 5.42 30-Jul-10 57.05 0.02 0.04 31-Aug-10 58.17 1.12 1.96 30-Sep-10 62.63 4.46 7.67 29-Oct-10 62.95 0.32 0.51 30-Nov-10 59.46 -3.49 -5.54 31-Dec-10 61.02 1.56 2.62 31-Jan-11 54.18 -6.84 -11.21 28-Feb-11 51.18 -3.00 -5.54 31-Mar-11 55.62 4.44 8.68 29-Apr-11 56.07 0.45 0.81 -5.4 -9.63 31-May-11 54.68 -1.39 -2.48 30-Jun-11 55.23 0.55 1.01 29-Jul-11 54.16 -1.07 -1.94 30-Aug-11 49.36 -4.80 -8.86 30-Sep-11 48.58 -0.78 -1.58 31-Oct-11 50.53 1.95 4.01 30-Nov-11 46.23 -4.30 -8.51 30-Dec-11 43.79 -2.44 -5.28 31-Jan-12 48.86 5.07 11.58 29-Feb-12 51.6 2.74 5.61 29-Mar-12 50.67 -0.93 -1.80 Difference and Returns in % of 3 years = 16.54 48.46 37
  • 38.
    As the abovedata shows that SBI MSFU CONTRA-GROWTH has given positive returns in 1st financial year in 2009-10 & and has given a negative returns in 2nd and 3rd financial year. And comparing the returns of 3 years the fund has given positive returns of 48.46%. 38
  • 39.
    PERFORMANCE OF RELIANCEEQUITY OPPORTUNITIES FUND – GROWTH PLAN (MUTUAL FUND) FOR THE PAST 3 YEARS Net Asset Monthly Monthly Yearly Yearly Date Value Difference Returns in % Difference Returns in % 29-Apr-09 15.1389 29-May-09 20.0628 4.92 32.52 15.95 105.3557392 30-Jun-09 20.1576 0.09 0.47 31-Jul-09 22.1421 1.98 9.84 31-Aug-09 23.1923 1.05 4.74 30-Sep-09 25.9585 2.77 11.93 30-Oct-09 24.8117 -1.15 -4.42 30-Nov-09 26.8891 2.08 8.37 31-Dec-09 29.4351 2.55 9.47 29-Jan-10 28.095 -1.34 -4.55 26-Feb-10 28.3646 0.27 0.96 31-Mar-10 31.0886 2.72 9.60 30-Apr-10 32.2103 1.12 3.61 3.508 10.89092619 31-May-10 31.0571 -1.15 -3.58 30-Jun-10 32.9375 1.88 6.05 30-Jul-10 34.422 1.48 4.51 31-Aug-10 35.6699 1.25 3.63 30-Sep-10 38.7718 3.10 8.70 29-Oct-10 38.4782 -0.29 -0.76 30-Nov-10 37.2717 -1.21 -3.14 31-Dec-10 38.3986 1.13 3.02 31-Jan-11 34.5916 -3.81 -9.91 28-Feb-11 32.683 -1.91 -5.52 31-Mar-11 35.7183 3.04 9.29 29-Apr-11 36.2916 0.57 1.61 -0.6954 -1.916145885 31-May-11 35.6693 -0.62 -1.71 30-Jun-11 36.6927 1.02 2.87 29-Jul-11 36.61 -0.08 -0.23 30-Aug-11 33.5575 -3.05 -8.34 30-Sep-11 33.3842 -0.17 -0.52 31-Oct-11 34.847 1.46 4.38 30-Nov-11 31.8511 -3.00 -8.60 30-Dec-11 30.0922 -1.76 -5.52 31-Jan-12 34.0546 3.96 13.17 29-Feb-12 36.0334 1.98 5.81 29-Mar-12 35.5962 -0.44 -1.21 20.4573 135.1306898 39
  • 40.
    As the abovedata shows that RELIANCE EQUITY OPPORTUNITIES FUND – GROWTH PLAN has given positive returns in two financial years, i.e. 2009-10 & 2010-11 and has given a negative returns in one financial year i.e.2011-12. And comparing the returns of 3 years the fund has given positive returns of 135.13%. 40
  • 41.
    COMPARATIVE ANALYSIS OFEQUITY V/S MUTUAL FUND EQUITIES 2009-10 2010-11 2011-12 2009-2012 RELIANCE INDUSTRIES LTD -40.38% 1.48% -26.18% -59.79% ICICI BANK LTD 99.41% 17.06% -23.17% 79.18% MUTUAL FUND 2009-10 2010-11 2011-12 2009-2012 SBI MSFU CONTRA 63.31% -1.26% -9.63% 48.46% RELIANCE EQUITY OPP OURTUNITIES FUND 105.35% 10.89% -1.91% 135.13% ANALYSIS OF EQUITY EQUITIES 2009-10 2010-11 2011-12 2009-2012 RELIANCE INDUSTRIES LTD -40.38% 1.48% -26.18% -59.79% ICICI BANK LTD 99.41% 17.06% -23.17% 79.18% 41
  • 42.
    99.41% 100.00% 79.18% 80.00% 60.00% 40.00% 17.06% RELIANCE INDUSTRIES LTD 20.00% 1.48% ICICI BANK LTD 0.00% 2009-10 2010-11 2011-12 2009-2012 -20.00% -26.18% -40.00% -23.17% -40.38% -60.00% -59.79% The above data shows the returns of respective equities for the period. So consider if an investor has invested is these two companies then on 1st financial year his investment of „X‟ amount will increase by 59.03% and on 2nd financial year his investment value will increase by 18.54% and on 3rd financial year his investment value will reduce by 49.35%. And if investor keep invested his money for 3yrs then his investment value at end of 3rd financial year will increase by 19.39% only which is less as he can get more than 20% of returns by keeping fixed deposits in the bank. 42
  • 43.
    ANALYSIS OF MUTUALFUND MUTUAL FUND 2009-10 2010-11 2011-12 2009-2012 SBI MSFU CONTRA 63.31% -1.26% -9.63% 48.46% RELIANCE EQUITY 105.35% 10.89% -1.91% 135.13% OPPOURTUNITIES FUND Mutual Funds 135.13% 140.00% 120.00% 105.35% 100.00% 80.00% 63.31% SBI MSFU CONTRA 60.00% 48.46% RELIANCE EQUITY OPP OURTUNITIES FUND 40.00% 20.00% 10.89% -9.63% -1.91% -1.26% 0.00% 2009-10 2010-11 2011-12 2009-2012 -20.00% The above data shows the returns of respective mutual funds for the period. So consider if an investor has invested is these two funds then on 1st financial year his investment of „X‟ amount will increase by 168.66% and on 2nd financial year his investment value will increase by 9.63% and on 3rd financial year his investment value will reduce by 11.54%. And if investor keep invested his money for 3yrs then his investment value at end of 3rd financial year will increase by 183.59% which is far better than the returns of equity investment returns. 43
  • 44.
    ANALYSIS: (As from analysing the above data and also from questionnaire we can say that Hypothesis is being proved.)  Among 100% sample, 67% respondents agree that mutual funds are safer than any other investment option.  Among 3yrs data of returns of equity and mutual fund, it shows that mutual fund provides more return than the equity market.  Among 100% sample, 49% respondents says that one should invest in mutual funds, which shows the increasing preference for mutual fund. 44
  • 45.
    FINDINGS OF THESTUDY:  The First question asked was about the investment factor and among the 100% sample size, 73% respondents said that they do invest in markets.  Among the 100 sample size, 24% of investors were wish to invest for short term period (0-1 year) whereas 41% of investors were willing to invest their money for medium term (1–5 years)and 35% of investors for long term investment (more than 5 year).  Among the 100 sample size, 74% investors invest money with the preference of rate of return on their investment and 26% investors invest money with the preference of flexible investment terms.  The investors have given almost same weightage to the question of According to you among these products in which one should invest now? As 51% of investors suggest investing in Equities and 49 % of investors suggests for Mutual funds. So here it can be said that mutual funds are gaining its importance in the finance industry.  When asked about the reason for selecting the respective product of investment then the preference was given to the factor of secure investment, i.e. by 52% of investors.  It is noted that investors give 1st importance to performance of the equity or mutual fund and then brand name and at last give importance to management team while making the decision in which they would prefer to invest their money. 45
  • 46.
    RECOMMENDATIONS OF THESTUDY:  As it has been found from the above findings that mutual funds are providing better returns and gaining its importance in the finance industry. Therefore, the mutual fund companies in India should make vice decisions while making investments and provide more benefits to investors.  As many investors get fooled by some mutual fund companies which gives false promises to investors for investing their money in their mutual fund. So government should make strict rules for all the mutual fund companies in order to safe guard the investment of all investors.  The charges should be reduced to minimum and also the lock in period factor should be minimised, which will attract more investors from the market.  Key features of mutual funds should be mentioned in the advertisement. Features like Diversification, Systematic Investment Plans (SIP), Tax benefits should be mentioned in the advertisements. Otherwise, people will see mutual funds as normal shares in which we invest money.  Many fund firms themselves have provided assurances regarding restitution for losses to shareholders i.e., reassuring. However, these promises have been short on specifics indicating how those losses will be measured and how the compensation will be provided.  Mutual funds should use appropriate and simple names for the schemes, which match the features of the schemes, so that the investors are not confused and not feel cheated after investing. 46
  • 47.
    CONCLUSION The Indian mutual funds industry has transformed totally for good since last decade and has shown growth and potential. Though the Asset under Management and number of schemes has increased significantly, but it is yet to be a household product, and needs to cover the retail segment effectively. Moreover, there are still many remote and potential areas which lack the required knowledge and infrastructure of mutual funds. Mutual fund is an excellent product offering great flexibility and liquidity, which can be tailored to suit any investor‟s objective and it is affordable for the all people of different income levels and saving habits After doing study it is concluded that yes mutual funds are much better investment option but as future is uncertain so no one can give a sure guarantee of good returns, no matter whether it is equity or a mutual fund. Investors can minimise their risk by doing little research before investing in the markets which will help them to decide the right investment plan or product. 47
  • 48.
    BIBLIOGRAPHY Books Jaydev, M. 1998, Investment policy and performance of mutual funds, Kanishka Pub., India. Gupta, A. 2002, Mutual funds in India: a study of investment management, Anmol Publications PVT. LTD., India. Business world C.R. Kothari – Research Methodology Websites http://www.amfiindia.com http://search.proquest.com http://articles.economictimes.indiatimes.com http://www.google.com http://www.moneycontrol.com http://www.bseindia.com http://www.nseindia.com http://www.icicibank.com http://www.sbi.co.in http://www.sebi.gov.in http://www.finance.yahoo.com 48
  • 49.
    ANNEXURE QUESTIONNAIRE This questionnaire is prepared for a research project An Empirical Study on Performance of Mutual Fund in India Name: Age: Income Category: a. 1, 80,000-5, 00,000 b.5, 00,000-8, 00,000 c. above 8, 00,000 1. Do you invest in Markets? a. Yes b. No 2. What type of investment do you make? a. Short Term (0-1 year period) b. Medium Term (1-5 year period) c. Long Term (More than 5 year period) 3. Give your ratings on the following financial investment? a. Equities b. Mutual Funds 4. State the reason for your preference? a. Rate of Return b. Flexible Investment Terms 5. Investing in Mutual Funds is far safer than Investing in other avenues”. Do you agree? a. Yes b. No 6. According to you among these products in which one should invest now? a. Equity Market b. Mutual Funds 49
  • 50.
    7. State thereason for your preference with reference to above questions answer? a. Secure Investment b. Expected High Rate of Returns 8. Which factor of a Mutual Fund or of a equity plays an important role to invest in them? Most Important Important Least Important Brand Performance Management Team Thank you for your precious time and support. 50