PHA-3105 Pharmacognosy III
CREDIT UNIT 4
Pharmacognosy III Course Content
 Define Active principles and Examples
 Alkaloids and types
 List of drugs of plant origin having:
Anti-tumor activity
Antiprotozoal activity
Antihepatotoxic and oral hypoglycemic activity
Vitamins and hormones
Antibacterial and antiviral activity
Colouring and flavouring agents
Active compounds from marine organisms
Hallucinogenic, allergenic, teratogenic and other toxic plants
Pesticides of natural origin
Pharmacognosy III Course Content
 Detailed methods of Standardization of crude plants:
determination of ash values
water content
extractive values
fibre content
 Crude drug development – collection to storage
 Packaging of solid crude drugs
 Labelling of solid crude drugs
 Packaging of liquid crude drugs
 Labelling of liquid crude drugs
 Storage of crude drug
Teaching methods
 Lecture notes
 Brainstorming sessions
 Guided discussions
 Practical demonstration where possible
 Take home assignments
Alkaloids
a) Definition of alkaloids
b) Properties of alkaloids
c) Naming of alkaloids
d) Structure and classification of alkaloids
e)Tests for alkaloids
f) Extraction of alkaloids
g) Functions of alkaloids in plants
Alkaloids
 Parent structure, List of plants containing type of alkaloids, crude
alkaloidal drug of the type and pharmacologic importance of:
 Tropane alkaloids:
 Pyrrolizidine alkaloids:
 Phenylalanine derived alkaloids
 Protoalkaloids
 Benzylisoquinone derivatives
 Pseudo alkaloids
 Tryptophan derived alkaloids
 Ergot alkaloids
 Quinoline alkaloids
 Indolizidine alkaloids
 Imidazole alkaloids
 Purine
 Steroidal alkaloids
Introduction to Alkaloids
 The term “alkaloid” (alkali-like) is commonly used to
designate basic heterocyclic nitrogenous compounds of plant
origin that are physiologically active.
 The term alkaloid was coined by Meissner, a German
pharmacist, in 1819.
 The mankind has been using alkaloid for various purposes
like poisons, medicines, poultices, teas etc.
 The French chemist, Derosne in 1803, isolated Narcotine.
Deviation from Definition
 Basicity: Some alkaloids are not basic e.g. Colchicine, Piperine,
Quaternary alkaloids.
 Nitrogen: The nitrogen in some alkaloids is not in a heterocyclic
ring e.g. Ephedrine, Colchicine, Mescaline.
 Plant Origin: Some alkaloids are derived from Bacteria, Fungi,
Insects, Frogs,Animals.
Forms of Alkaloids:
 Free bases
 Salts with Organic acids e.g. Oxalic, acetic acids
 Salts with inorganic acids e.g. HCl, H2SO4.
 Salts with special acids: e.g. Meconic acid in Opium, Quinic
acid in Cinchona
 Glycosidal form e.g. Solanine in Solanum.
Classification
 True (Typical) alkaloids that are derived from amino acids
and have nitrogen in a heterocyclic ring. e.g Atropine
 Protoalkaloids that are derived from amino acids and
do not have nitrogen in a heterocyclic ring. e.g Ephedrine
 Pseudo alkaloids that are not derived from amino
acids but have nitrogen in a heterocyclic ring. e.g Caffeine
 False alkaloids are non alkaloids give false positive
reaction with alkaloidal reagents.
New Definition: Alkaloids are cyclic organic compounds
containing nitrogen in a negative state of oxidation with
limited distribution among living organisms
Distribution and occurrence:
 Rare in lower plants.
 Dicots are more rich in alkaloids than Monocots.
 Families rich inAlkaloids:Apocynaceae, Rubiaceae,
Solanaceae and Papaveracea.
 Families free from Alkaloids: Rosaceae, Labiatae
 Examples:All Parts e.g. Datura, Barks e.g. Cinchona, Seeds
e.g. Nux vomica, Roots e.g.Aconite, Fruits e.g. Black
pepper, Leaves e.g.Tobacco, Latex e.g. Opium
Occurrence
 Alkaloids are poisonous in nature, but when used in small
quantities, exert useful physiological effects on animals and
human beings and due this, they have acquired a significant
place in allopathic medicine where the dosage is strictly
controlled.
 Their exact role in nature and function in plants, are still a
topic of ambiguity.
 Only one aspect is clearly understood that they are
synthesized as the end products of any biosynthetic pathway.
Function in Plants
 They may act as protective against insects and herbivores
due to their bitterness and toxicity.
 They are, in certain cases, the final products of
detoxification (waste products).
 Reserve Source of nitrogen in case of nitrogen deficiency.
 They, sometimes, act as growth regulators in certain
metabolic systems.
 They may be utilized as a source of energy in case of
deficiency in carbon dioxide assimilation.
 They are present normally in conjugation with plant acids,
therefore, could be carriers within plants for transportation of
organic acids.
Nomenclature of alkaloids
Trivial names should end by "ine". These names may refer
to:
 The genus of the plant, such as Atropine from Atropa
belladona.
 The plant species, such as Cocaine from Erythroxylon coca.
 The common name of the drug, such as Ergotamine from
ergot.
 The name of the discoverer, such as Pelletierine that was
discovered by Pelletier.
 The physiological action, such as Emetine that acts as
emetic, Morphine acts as narcotic.
 A prominent physical character, such as Hygrine that is
hygroscopic.
Prefixes and suffixes
Prefixes:
 "Nor-" designates N-demethylation or N-demethoxylation,
e.g. norpseudoephedrine and nornicotine.
 "Apo-" designates dehydration e.g. apomorphine.
 "Iso-, pseudo-, neo-, and epi-" indicate different types of
isomers.
Suffixes:
 "-dine" designates isomerism as quinidine and
cinchonidine.
 "-ine" indicates, in case of ergot alkaloids, a lower
pharmacological activity e.g. ergotaminine is less potent than
ergotamine.
Physical Properties of Alkaloids
State: Most alkaloids are crystalline solids, few alkaloids are amorphous
solids e.g. emetine, Some are liquids that are either (Volatile e.g. nicotine
and coniine, or Non-volatile e.g. pilocarpine and hyoscine)
Color: The majority of alkaloids are colorless but some are colored e.g.:
Colchicine and berberine are yellow, the salts of sanguinarine are copper-
red.
Solubility (provide methods for the isolation of alkaloids from the plant and
their separation from the nonalkaloidal substances): Both alkaloidal bases
and their salts are soluble in alcohol, organic solvents and insoluble in
water ( caffeine, ephedrine, codeine, colchicine). Bases insoluble or
sparingly soluble in certain organic solvents: morphine in ether.
Isomerization: Optically active isomers may show different physiological
activities eg l-ephedrine is 3.5 times more active than d-ephedrine.And
Quinine (l-form) is antimalarial and its d- isomer quinidine is
antiarrythmic
Chemical properties
Nitrogen: ( Primary amines R-NH2 e.g. Norephedrine,
Secondary amines R2-NH e.g. Ephedrine, Tertiary amines R3-N
e.g.Atropine, Quaternary ammonium salts R4-N e.g d-
Tubocurarine)
Basicity: Most alkaloids are basic due to the availability of a lone
pair of electrons on nitrogen.The basic character of the
alkaloidal compound is enhanced if the adjacent functional
groups are electron withdrawing:Weak bases e.g. Caffeine,
Strong bases e.g.Atropine, Phenolic Alkaloids e.g. Morphine
Neutral alkaloids e.g. Colchicine
Oxygen: Most alkaloids contain Oxygen and are solid in nature
e.g.Atropine and Some alkaloids are free from Oxygen and
aremostly liquids e.g. Nicotine, Coniine.
Extraction of Alkaloids
 The normal procedure to extract alkaloids is based in their basic
character and solubility pattern, treating the moistened drug
with dilute alkali to extract the free base with an organic solvent.
This is known as Stas Otto process
Process A. The powdered material is moistened with water and
mixed with lime which combines with acids, tannins and other
phenolic substances and sets free the alkaloids (if they exist in
the plant as salts).
Extraction is then carried out with organic solvents such as ether
or petroleum spirit.The concentrated organic liquid is then
shaken with aqueous acid and allowed to separate.Alkaloid salts
are now in the aqueous liquid, while many impurities remain
behind in the organic liquid.
Extraction of Alkaloids
Process B. The powdered material is extracted with water or
aqueous alcohol containing dilute acid. Pigments and other
unwanted materials are removed by shaking with chloroform
or other organic solvents.The free alkaloids are then
precipitated by the addition of excess sodium bicarbonate or
ammonia and separated by filtration or by extraction with
organic solvents.
Purification
 The purification of crude extract of alkaloids is done by some of
the following procedures, which may, however, vary for
individual alkaloid.
Direct crystallization from solvent. It is a very simple method
of isolation and may not be useful in case of complex mixtures
Steam distillation.- This method is specially employed for
volatile liquid alkaloids like coniine, sparteine.
Chromatographic techniques.- This method has proved to be
ideal for separation of a vast number of plant alkaloids.The
different techniques of chromatography (thin layer, column, gas,
liquid, ion exchange, HPLC, etc.) are used for separation of
individual alkaloids from complex mixtures.
Structure and Classification
Alkaloids show great variety in their botanical and biochemical origin,
in chemical structure and in pharmacological action.
There are two broad divisions:
 Non-heterocyclic or atypical alkaloids, sometimes called
‘protoalkaloids’ or biological amines.
 Heterocyclic or typical alkaloids, divided into 14 groups according
to their ring structure.
The nitrogen of alkaloids
 Alkaloids, taken in their broadest sense, may have a nitrogen atom
which is primary (mescaline), secondary (ephedrine), tertiary
(atropine) or quaternary (one of the N atoms of tubocurarine), and
this factor affects the derivatives of the alkaloid which can be
prepared and the isolation procedures. In the plant, alkaloids may
exist in the free state, as salts or as amine or alkaloid N-oxides.
Structure
 Alkaloid N-oxides.extensive pharmacological and
toxicological comparisons had been made of common
alkaloids such as morphine, strychnine and hyoscyamine and
their corresponding N-oxides.Natural N-oxides comprises the
quinolizidines of the Boraginaceae,Compositae and Papilionaceae;
these are alkaloids, including those of Senecio spp.,which
cause extensive liver damage in animals using plants
containing them as fodder
A number of N-oxide alkaloids of the indole series have been
isolated from plant materials, and among those of
pharmaceutical significance are the simple hallucinogenic
indole derivatives of Amanita spp.,
Tests for alkaloids
 Most alkaloids are precipitated from neutral or slightly acid solution:
 Mayer’s reagent (potassium mercuric iodide solution) giving
cream precipitate.
 Dragendorff’s reagent (potassium bismuth iodide solution) giving
reddish brown precipitate.
 Wagner’s reagent (iodine-potassium iodide solution) reddish
brown precipitate.
 Hager’s reagent (Picric & picrolonic acid) some alkaloids give
yellow colored precipitates.
 Caffeine and some other alkaloids do not give these precipitates
 Identification of Alkaloids: Melting point, Colour test,
Optical Rotation, Microcrystal test, HPLC, GC, GC-MS, UV, IR,
NMR, MS.
Alkaloids test
 As mentioned above, caffeine, a purine derivative, does not
precipitate like most alkaloids. It is usually detected by mixing
with a very small amount of potassium chlorate and a drop of
hydrochloric acid, evaporating to dryness and exposing the residue
to ammonia vapour.A purple colour is produced with caffeine and
other purine derivatives.This is known as the murexide test.
 Colour tests are sometimes useful—for example, the yellow
colour given by colchicine with mineral acids or the bluish-violet
to red colour given by indole alkaloids when treated with
sulphuric acid and p-dimethylaminobenzaldehyde.
 Pharmacopeias employTLC separations using reference
compounds to establish the presence of individual alkaloids. In this
respect, some of the alkaloid reagents quoted above are useful for
detection of the separated bases.
 Parent structure
 List of plants containing alkaloids
 Alkaloidal drugs and their pharmacologic importance
 c
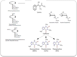
Phenylalanine , Tyrosine, Dihydroxyphenylalanine
(and dopamine)Derived Alkaloids
 Do not contain heterocyclic nitrogen atoms (protoalkaloids) Mostly
are simple derivatives of phenylethylamine
 List of Plants: Dried young stems of Ephedra gerardiana,Ephedra sinica
and Ephedra equisetina.
 Constituents: Contains amino alkaloids. Ephedrine, nor-ephedrine, n-
methyl ephedrine, pseudoephedrine, etc. Ephedrine (C10H15NO) is
1-phenyl-1-hydroxy-2-methyl aminopropane, soluble in water,
alcohol, organic solvents and oils
 Pharmaceutical Importance: Ephedrine is used for the relief of
asthma, flu, cold and hay fever. ephedras are also used as
antiinflammatory drugs.Weight loss (increases metabolism, decreases
appetite – CNS stimulant – acts on adrenergic receptors) Also used to
correct low B.P. conditions.
Dihydroxyphenylalanine
(and dopamine) Derived Alkaloids
 Dried ripe seeds of Colchicum luteum and Colchicum autumnale
 Chemical Constituents: 0.2-1% of amino alkaloids,
colchicine is the main constituent, seeds contain upto 0.8%
of colchicine and in corms upto 0.6%, also contains
demecolcine.
 Pharmaceutical Importance: :Antitumor activity. Relieve
gout (used with caution – professional supervision)and
rheumatism.Also used in biological experiments to produce
polyploidy (multiplication of the chromosomes in a cell
nucleus), hence used in horticulture and cultivation of
medicinal plants
Purine Alkaloids- ‘Purine alkaloids’ constitute secondary
metabolites and are derivatives of xanthine; three well-known examples
are caffeine (1,3,7-trimethylxanthine), theophylline (1,3-
dimethylaxanthine) and theobromine (3,7-dimethylxanthine).
 Cocoa- Cocoa bean Source: seeds of Theobroma cocoa Family:
Constituents:Theobromine & cocoa butter (Theobrom), polyphenols
Use: Nutritive, stimulant, diuretic. (Theorbromine diuretic), oil is

widely used as suppository base & chocolates
 Tea: Thea Prepared leaves & leaf buds of Thea sinesis Family:Theaceae;
Constituent – Caffeine, theophylline: Use: CNS stimulant, beverages,
diuretic
 Coffee: coffee beans Source: dried ripe fruits of Coffee arabica & C.
liberica;Use: source of caffeine, CNS stimulant & diuretic
 Cola: source Cola seeds (C.acuminata, C.astrophora):Kola seeds contain
caffeine (1–2.5%) and a little theobromine: Use: preparation of aerated
beverages and as stimulant
pyridine alkaloid (lysine derived)
 Source: dried aerial parts of the Lobelia nicotianafolia;
Constituents: Lobeline, lobelidine, lobelanine and
lobelanidine; Use: treatment of asthma, respiratory
stimulant, chronic bronchitis
Pyrrolizidine Alkaloids
 Although these alkaloids have at present no great medicinal
significance they are important in that they constitute the
poisonous hepatotoxic constituents of plants of the genus
Senecio (Compositae),well-known for their toxicity to
livestock. Some of the alkaloids also show carcinogenic and
mutagenic properties
Tropane Alkaloids
The principal alkaloids of medicinal interest in this group are (−)-
hyoscyamine; its more stable racemate atropine, and hyoscine
(scopolamine) . Methylated nitrogen nuclues containing drugs are
chemotaxonomic characters of family solanaceae.
Hyoscyamine as main constituent: Datura stramonium,Atropa belladonna,
A.acuminata,Dubosia
Hyoscine as main constituent: Daturametel,Dubosia
Hyoscyamine & Hyoscine (both in low quantity): Hyoscyamus niger
 Belladonna: Atropa belladonna, Atropa acuminata-contains NLT 0.3% of l-
hyoscyamine belladonin, pyridine and N-methyl pyrroline .
Pharmaceutical Importance: : parasympatholytic drug,
anticholinergic, reduce the secretions such as sweat, saliva and gastric juice
and also reduce spasm in case of intestinal gripping due to strong
purgative.As an antitode in opium and chloral hydrate poisoning (atropine)
 Datura stramonium: Thornapple leaves; Constituents: 0.2-0.5% alkaloid, l-
hyoscyamine & hyoscine, small quantity of atropine CT; Pharmaceutical
Importance: inAsthma, control salivation, muscular rigidity, tremors in
parkinsonism, motion sickness
 Hyoscyamus:Source: dried leaves and flowering tops of Hyoscyamus niger
Family: Constituents: 75% hyoscyamine, atropine, hyoscyamine in lesser
amount, Use: counteract gripping effect, relieves spasms of urinary tracts,
sedative, expectorant, anti-asthmatic.
 Coca:dried leaves of (bolivia-Erythroxylon coca), (Peruvian-E.truxillense;
Constituents: 0.7-1.5% total alkaloid, lesser alkaloids, higher cocaine, cinnamyl
cocaine, alpha-truxilline, tropocaine, benzoyl tropine, dihydroxytropine,
benzoylecognine; Use: local anaesthetic, stimulant, restorative, in colvulsion
 Tobacco alkaloids:The principal alkaloids of the genus Nicotiana have a
pyridine moiety associated with either a pyrrolidine ring (ornithine-derived)
or a piperidine ring (lysine-derived):A pharmaceutical introduction is that of
nicotine chewing-gum, nasal spray or patch, intended to help smokers who
want to give up smoking but who experience great difficulty in so doing
because of their nicotine dependence.
Quinoline Alkaloids. Cinchona
 Source dried bark of the cultivated trees of Cinchona calisaya;C.
succirubra,C.ledgeriana,C.officinalis
 Constituents: Quinoline Alkaloids: about 25 types Imp: quinine,
quinidine, cinchonine and cinchonidine.Alkaloids of lesser importance
are quinicine, cinchonocine hydroquinine, hydrocinchonidine and
homocinchonidine. C.succirubra: Quinine and Quinidine are
sterioisomers . Quinine and Quinidine form many salts but medicinally
their sulphates are more significant. Cinchonine and cinchonidine are
isomers.Also contains quinic and cinchotannic acid, also contains
glycosides such as quinovin, tannins and bitter essential
 Pharmaceutical Importance: : Quinine: Anti malarial, Skeletal
muscles relaxant, night muscles spasm and abortifacient . Quinidine :
Indicated for treatment of arrhythmia and cardiac depressant, atrial
fibrillation. Cinchonine: Has mild anti malarial activity. Cinchona
extract and tincture: bitter stomachics and antipyretic.
Benzylisoquinoline Alkaloids
 Opium (Raw Opium) is the dried latex obtained by
incision from the unripe capsules of Papaver somniferum Family-
opium poppy: Constituents: Opium alkaloids can be
subclassified into 3 main groups with different basic nuclei:
Phenanthrene alkaloids e.g. morphine and codeine.
Benzylisoquinoline alkaloids e.g. papaverine and
noscapine (narcotine). Meconic acid
Phenylethylamine alkaloids e.g. narceine
 Use Morphine: potent analgesic, Codeine: relieves local
irritation in bronchial tract, antitussive Papaverine: smooth
muscle relaxant of bronchial, intestinal and blood vessels
Narcotine: cough reflex depressant, cough linctuses
 Other plant sources: Curare- south american arrrow root
poison:The extract of all such plants is called curare.The plants
belonging to Loganiaceae & Menispermaceae.Important plants:
Chondrodendron tomentosum,Strychnos castelnaea,S.toxifera
(Loganiaceae) (Menispermaceae): Constituents: (+) tubocurarine –
bisbenzyl iso quinoline moiety & most potent, curine, curarine,
isochondrodendrin, cycleanine, chondrocurine, tomentocurine:
Use: Neuromuscular blocking agent, Skeletal muscle relaxant,
Surgical operations, to relax abdominal muscles due to which
lower and safer dose of general anesthesia is applied
Occasionally used to aid myasthenia gravis
Tryptophan -Derived Alkaloids
 Tryptophan and its decarboxylation product, tryptamine, give rise
to the large class of indole alkaloids.These bases usually contain two
nitrogen atoms; one is the indolic nitrogen and the second is
generally two carbons removed from the -position of the indole
β
ring.
 Indole Alkaloids: Source: Dried roots of Rauwolfia serpentina It
contains NLT 0.15% of Reserpine, phytosterol, fatty acid, alcohol,
sugar Ajmalicine, ajmaline, rauwolfinine, rescinnamine, reserpinine,
yohimbine, serpentine, serpentinine Reserpine: ester of trimethoxy
benzoic acid Rescinnamine: ester of trimethoxycinnamic acid
 Pharm USE: Reserpine: lowers BP by depleting store of
catecholamine at nerve ending, prevent re-uptake of nor-
epinephrine at storage sites, allowing enzymatic destruction of
neuronal transmitter.
 Others:Vinca- dried whole plant of Catharanthus roseus or
Vinca rosea.Chemical Constituents: 20 dimeric indole-
dihydroindole (indoline) alkaloids possess oncolytic activity.
Vincristine andVinblastine are most significant. Indole:
Vinblastine termed as Catharanthine Dihydroindole alkaloid:
Vindoline Other: ajmalIcine, lochnerine, serpentine and
tetrahydroalstonine.
USE:Vincristine: antineoplastic: arrest mitosis at the
metaphase, IV: acute acute leukemia for children, Hodgkin’s
disease, reticulum cell sarcoma, lymphosarcoma,
myosarcoma
Vinblastine : either above mechanism or by interfering
with amino acid metabolism, suppress immune response
Hypotensive & Antidiabetic
 Others: Calabar bean and physostigmine Calabar beans are the
dried ripe seeds of Physostigma venenosum;The seeds contain the
alkaloids physostigmine or eserine, eseramine, isophysostigmine,
physovenine, geneserine, Physostigmine salicylate is used for
contracting the pupil of the eye, often to combat the effect of
mydriatics.
 Nux vomica: Nux vomica consists of the dried, ripe seeds of Strychnos
nux-vomica:Nux vomica usually contains about 1.8–5.3% of the indole
alkaloids strychnine and brucine. Strychnine is physiologically much
more active than brucine: Strychnine and Brucine -Vomicine, -
α
colubrine, pseudostrychnine, Isostrychnine, N-oxystrychnine,
protostrychnine, -
β colubrine and novacine: USE -Bitter stomachic,
tonic, CNS stimulant, increases BP, certain forms of cardiac failure,
stimulant for respiratory & CVS -Brucine: very less physiological
action, 1/6 th potency as compared to strychine, 4 times bitter than
strychine. Brucine: denaturinng alcohol, inedible fats, dog poison.
Ergot and Ergot Alkaloids
 Ergot (Ergot of Rye) is the dried fungus,Claviceps purpurea
 Constituents: ergometrine (Ergonovine), ergotamine,,
ergosine, & ergotoxin Pigment, ergosterol, fungisterol,
histamine, tyramine, amino acids, acetyl choline, chitin, up to
30% fixed oil, 8% moisture.
 Pharm use: Ergometrine: oxytocic, sometimes used to
enhance labor pain in delivery cases, prevent post partum
heamprrhage. Ergotamine : analgesic, migraine treatment,
given along with caffeine Ergotoxin methanesulphonates
(mesylates), lysergic acid, is a potent specific
psychotomimetic
Imidazole Alkaloids- Pilocarpus
 Source: leaves of closely related plants of the genus
Pilocarpus spp Family: Rutaceae Genus: P. jaborandi, P.
pennatifolius, P. microphyllus P.microphyllus
 Constituents Imidazole alkaloid: pilocarpine Isopilocarpine,
pilocarpidine, pilosine, pseudopilocarpine and isopilosine.
 USE: In the form of pilocarpine hydrochloride Physiological
antagonist ofAtropine Acts directly on ANS by post-ganlionic
cholinergic nerves. Contraction of pupil of the eye, Increase
sweating & salivation. Use in ophthalmology in Glaucoma
Indolizidine Alkaloids
 Only a small number of indolizidine alkaloids are currently
known but they have recently become of pharmaceutical
interest through the discovery of the tetrahydroxy alkaloids
castanospermine and 6-epicastanospermine, which are
possible lead compounds in the search foranti-AIDS drugs.
Also, like the above, swainsonine, the toxic constituent of
locoweeds andAustralian Swainsona spp.,is a powerful
glycosidase inhibitor; this alkaloid is a trihydroxy-
indolizidine.
Steroidal Alkaloids
 Arise by inclusion of a basic nitrogen at some point in the steroid molecule.
C27 compounds having cyclopenteno phenanthrene moiety. Could act as a
precursor for synthesis of various other steroids
 Ashwagandha Syn: winter cherry, withania root Source: dried roots and
stem bases of Withania somnifera Family: Solanaceae Specification: should
contain NLT 0.02% of withanolide A & B GS: all dry and subtropical
region. Constituents: steroidal lactone Main: withanine, pseudo withanine,
tropine, pseudo tropinem anaferine, anahydrine, DI-isopelletierine
 Use: sedative, hypnotic, hypotensive, respiratory, stimulant actions along
with bradycardia, immuno-modulatory, anti-stress, mood stabilizer revives
mind & body.
 Kurchi: IFamily:Apocynaceae Specification: should contain NLT 2% of
total alkaloids. Onstituents. Contains total 25 alkaloids (1.5-3%). C21
group steroidal alkaloids. Conessine (kurchicine), norconessine,
isoconessine, dioxyconessine, holarrhimine, holarrhidine Use:
Antiprotozoal and used to treat amoebic dysentery Conessine is highly
active against Entamoeba histolytica. Formulation kutajarisht
Steroidal Alkaloids
 Steroidal alkaloids arise by the inclusion of a basic nitrogen at some
point in the steroid molecule.Those of the C27 group include the
Solanum alkaloids (Steroidal saponins ) and the Veratrum alkaloids,
Veratrum viride also Numerous steroidal alkaloids are present in both V.
album andV.viride Examples:
 Jerveratrum alkaloids contain only 1–3 oxygen atoms and occur in the plant
as free alkamines and also combined, as glucosides, with one
molecule of d-glucose. Examples are pseudojervine derived from
jervine and veratrosine derived from veratramine.
 Ceveratrum alkaloids are highly hyroxylated compounds with 7–9 oxygen
atoms. examples are the esters of germine, protoverine and
veracevine.
 Uses. American veratrum is used for the preparation ofVeriloid, a
mixture of the hypotensive alkaloids.Also used to prepare insecticide
Tetrahydroisoquinoline Monoterpenoid Alkaloids
 Ipecacuanha
 Ipecacuanha (Ipecacuanha Root) of the BP is the dried root or
rhizome and root of Cephaëlis ipecacuanha.Constituents:
Ipecacuanhaand emetine
 Uses. Ipecacuanha is used as an expectorant and emetic and
in the treatment of amoebic dysentery Emetine has a more
expectorant and less emetic action than cephaëline, a fact
Active Principles - Miscellaneous Actives
 Competence(s)
a) Understanding of miscellaneous actives
b)Appreciation of the importance of miscellaneous
actives in the pharmacy practice
List of drugs of plant origin with:Anti-tumor activity,
Antiprotozoal activity,Antihepatotoxic and oral
hypoglycemic activity,Vitamins and hormones,
Antibacterial and antiviral activity, Colouring and
flavouring agents,Active compounds from marine
organisms, Hallucinogenic, allergenic, teratogenic
and other toxic plants , Pesticides of natural origin
Drugs of plant origin having anti-tumor /
anticancer activity
 A successful anticancer drug should kill or incapacitate cancer cells
without causing excessive damage to normal dividing cells.This ideal is
difficult, or perhaps impossible, to attain and is why cancer patients
frequently suffer unpleasant side-effects when undergoing treatment.
 Plant materials have been used in the treatment of malignant diseases for
centuries
 Extracted from suspected anticancer activity are purified, isolated using
standard techniques then laboratory against neoplasm. Promising
chemicals are subsequently tested against a range of standard experimental
neoplasms, and then considered for preclinical toxicological studies if
these results are sufficiently encouraging.
 Separation techniques (TLC, HPLC, chiral chromatography, etc.) and
chemical structure determination (MS, NMR, UV, X-ray crystallography)
of the active principle:
Plants Containing Anticancer Agents in
Current Use
Catharanthus Roseus
 Constituents: mostly alkaloids, of interest are those having
cytotixc/ antineoplastic activity including leurocristine
(vincristine) and vincaleukoblastine (vinblastine).
 Uses. Vinblastine is used mainly for the treatment of generalized
Hodgkin’s disease, and non-Hodgkin’s lymphomas.Vincristine is
used principally in the treatment of acute lymphocytic leukaemia
in children. It has other applications for lymphomas, small-cell
lung cancer, cervical and breast cancers.The semi-synthetic
vindesine is also used in the treatment of acute lymphoid
leukaemia in children.Vincristine has a superior antitumour
activity compared to vinblastine, but is more neurotoxic.
Podophyllum and Podophyllum Resin
 Podophyllum consists of the dried rhizome and roots of
Podophyllum peltatum
 Constituents. The active principles of podophyllum are
contained in the resin, podophyllum resin or‘podophyllin’.The
chief constituents of the root belong to the group of lignans,
which are C18 compounds.The most important ones present are
podophyllotoxin , -peltatin and -peltatin
β α
 Uses. It has a cytotoxic action and is used as a paint in the
treatment of soft venereal and other warts. Podophyllotoxin is
also used for this purpose. Etoposide (4 -
′
demethylepipodophyllotoxin ethylideneglucoside) is a lignan
derivative obtained semi-synthetically from podophyllotoxin and
used in the treatment of small-cell lung cancer and testicular
cancer as well as lymphomas and leukaemias.
 Taxus Brevifolia andTaxol
 Constituents. All parts of Taxus brevifolia contain a wide range
of diterpenoid derivatives termed taxanes, which are
structurally related to the toxic constituents found in other
Taxus species,e.g.the common yew, Taxus baccata.The chief
constituent isTaxol. Other taxanes baccatin III, 10-
deacetyltaxol, 10-deacetylbaccatin III, cephalomannine and
10-deacetylcephalomannine.
 Uses.Taxol® (paclitaxel) is being used clinically in the
treatment of ovarian cancers, breast cancers and non-small-
cell lung cancer. It may also have potential value against other
cancers. Docetaxel produced by semi-synthesis from 10-
deacetylbaccatin III (treatment of breast Cancers.)
Antiprotozoal natural products
 Malaria_ Malaria caused by Plasmodium falciparum.P.vivax lie Other
species of malaria parasite which (less commonly) infect man are P.
malariae and P.ovale.
 Trypanosomiasis: African sleeping sickness is caused by Trypanosoma
brucei .The disease is transmitted by the tsetse flies (Glossina species) and
initially causes a feverish illness.
 Leishmaniasis which are transmitted by female sand-flies of the genus
Phlebotomus.Cutaneous leishmaniasis (infections of the skin and mucous
membranes) is caused by L.mexicana and L.braziliensis;
 Gastrointestinal diseases; Diarrhoeal disease is often the result of
protozoal infections in thegastrointestinal tract. Giardiasis, caused by
Giardia duodenalis and G.lamblia Amoebic dysentery is caused by Entameoba
histolytica,Cryptosporidium parvum as a common cause of diarrhoea in both
normal and immunocompromised patients has been recognized; currently
there is no effective treatment for cryptosporidiosis.
Examples of Antiprotozoal Natural
Products
 Berberine: This benzylisoquinoline alkaloid, common in
members of the Menispermaceae,has been used clinically in the
treatment of cutaneous leishmaniasis: plants such as Berbris vulgaris,
B.aristata
 Conessine: In India, the bark of Holarrhena pubescens (Apocynaceae)
known as kurchi bark has been used traditionally for the treatment
of amoebic dysentery.
 Cryptolepine: A decoction of the roots of Cryptolepis
sanguinolenta (Asclepiadaceae),a climbing plant, is used inWest Africa
for the treatment of malaria and various other infectious diseases.
 Emetine: This alkaloid was discovered as a result of investigating
Cephaelis ipecacuanha (Rubiaceae),a plant used by S.American Indians as
a treatment for dysentery
 Quinine: The barks of various species of Cinchona bark active against
P.falciparum.bind to haem, thus preventing the formation of
haemozoin; the haem–drug complex is toxic and causesparasite
death
Terpenes
 Artemisinin: For hundreds of years the Chinese have used the herb
known as Qing Hao (Artemisia annua) for the treatment of fevers
including malaria.Artemisinin and its derivatives
(dihydroartemisinin, artemether, arteether, sodium artesunate) are
the most rapidly acting antimalarials known and are highly selective
against malaria parasite
 Quassinoids
The quassinoids are derived biosynthetically from triterpenoid
precursors and are bitter principles present in species of the
Simaroubaceae,which were found to be active against avian malaria
MAKE NOTES OF OTHER PLANTS: QUINONES
Natural plant drugs with antihepatotoxic and
oral hypoglycaemic activities
 Plants in theTreatment of Liver and BiliaryTract
Diseases The liver, the principal organ of metabolism and
excretion is subject to a number of diseases which may be
classed as liver cirrhosis (cell destruction and increase in
fibrous tissue), acute chronic hepatitis (inflammatory disease)
and hepatitis (non-inflammatory condition). Jaundice, a yellow
discoloration of the skin and eyes caused by bile in the blood is
a symptom of blockage of the bile duct, or disease within the
tissue of the liver itself.
 Except for the use of the appropriate vaccine for the treatment
of hepatitis caused by viral infection, there are few effective
cures for liver diseases- Peppermint (principal cholagogue)
 Plants in theTreatment of Liver and BiliaryTract
Diseases
 Silybum marianum.the most widely used plant
hepatoprotective agent is silymarin, a purified extract from
Silybum marianum (is one of the milk-thistles). Milk-thistle
fruit of the mature fruit,devoid of pappus, of Silybum
marianum .Several so-called flavanolignans with marked
hepatoprotective properties have been isolatedfrom the
fruits.A mixture of these, termed silymarin, is available
commercially as a dried, purified and standarized extract.
Principal components of the extract are three pairs of
diastereoisomers: silybin(silibinin) A and silybin (silibinin) B,
isosilybin (isosilibinin) A andisosilybin (isosilibinin) B and,
silychristin (silicristin) and silychristin (silicristin) B;
 Cynaria scolymus (Asteraceae/Compositae). the drug being used
principally as a cholagogue (stimulation of bile production in the liver
and promotion of emptying of the gall bladder and bile ducts).There
has been more recent interest in the hepatoprotective properties of
the plant and significant antioxidative activity has been demonstrated
involving chlorogenic acid and cynarin;
 Peumus boldus. Boldo leaves has lemony odour owing to the
presence of volatile oil.The active constituents have been shown by
laboratory testing to be alkaloids of the aporphine type (1–3%) the
chief of which is boldine: Boldine is reported to be a potent scavenger
of hydroxyl, lipid and alkyl peroxyl radicals.The leaves have a
stimulant action on the liver and diuretic properties.
 Taraxacum officinale root (Compositae). Although now obsolete as
a drug in the allopathic system of medicine dandelion root has
maintained its importance in herbal medicine in which it is used as a
hepatic stimulant, diuretic, tonic and antirheumatic.
 Turmeric.Turmeric is the dried rhizome of Curcuma
longa,also used
 LIST OTHER 10 examples hepaprotective plants
Plants with Oral Hypoglycaemic
Activity
 Diabetes arises from a deficient production of insulin by the
-cells of the pancreatic islets. Insufficient insulin results in
β
hyperglycaemia and the symptoms of diabetes, namely, an
excess of sugar in the blood and urine, hunger, thirst and a
gradual loss of weight. In many cases the type 2 condition can
be controlled by a suitable diet and exercise but if this is not
successful treatment with oral hypoglycaemics in conjunction
with a suitable dietary regimen may prove satisfactory.These
drugs act in a variety of ways: (1) by stimulating the -cells
β
to produce insulin; (2) by decreasing gluconeogenesis and
increasing peripheral utilization of glucose; (3) retardation of
carbohydrate absorption from the gut. Eg of Antidiabetics--
Examples of plants
 Polysaccharides feature prominently in antidiabetic plants and they
include the glycans of Aconitum carmichaelii roots (a traditional
oriental drug), Ephedra distachya, Gymnema sylvestre leaves (an
Ayurvedic drug used to control blood sugar levels in diabetics),
Lithospermum erythrorhizin,Panax ginseng and P.quinquefolium (q.v.)
and the non-sucrose portion of the juice of stems of Saccharum
officinarum
 Some flavonoids,phenols and related compounds have been shown to
have hypoglycaemic activity. One such compound is (−)-
epicatechin which is contained in the bark of the tree Pterocarpus
marsupium
 Steroid-containing plants known to exhibit antidiabetic activity include
the barks of various species of Ficus,the roots of ginseng [the
ginsenosides (steroids) as well as the pannaxosides
 Medicinal plants which are used in the traditional treatment
of hyperglycaemia.The results included: Syzygium cumini seed
and Momordica chirantia; Ficus glomeratus and Gymnema sylvestre
showed activityfor both the organic and inorganic samples;
Vinca rosea and Zingiber officinale had greater activity
 LIST OTHER PLANTS HAVING HYPOGLYCEAMIC
ACTIVITY
Antibacterial and antiviral drugs
 Antibacterial and antiviral compounds constitute two of the groups
of antimicrobial substances; other representatives are antiprotozoal
drugs and antifungal drugs.Antimicrobial agents can also be
categorized according to whether they are antibiotics (derived from
the growth of microorganisms), chemotherapeutic agents (synthetic
compounds not found in nature) or derivatives from non-microbial
natural sources (lichens, higher plants, animals).
 1928 Fleming noted the inhibition of bacteria by a colony of
Penicillium notatum that had developed as a contaminant on a Petri
dish, this was called Penicillin
 The advent ofWorldWar II launched a large-scale programme for
the production and testing of the substance now known as penicillin,
and the resources of industry and academic institutions were devoted
to the study of this substance and the search for other antibiotics
 This led to the discovery of streptomycin, aureomycin, chloromycetin and many
other antibiotics involving notably various species of Streptomyces.Preferential
synthesis of benzylpenicillin is achieved by the addition of phenylacetic acid to
the fermentation medium.
 Clinical use. Of the antibiotics in clinical use, most are of bacterial or fungal
origin).Among the bacteria, the genus Streptomyces is particularly noteworthy, as
it produces antibiotics such as streptomycin, chloramphenicol,
chlortetracycline, tetracycline, erythromycin and neomycin.The penicillins,
griseofulvin (an antifungal agent) and cephalosporins are of fungal origin.They
are usually graded, somewhat arbitrarily into first-, second- and third generation
 Other antibiotics of bacterial origin are the actinomycin, bacitracin, tyrothrycin
and polymixin groups their cytotoxicity prevented clinical use as internal
medicines. However, such cytotoxic antibiotics can completely block RNA
replication and are among the most potent antitumour compounds discovered
but, like others of this group, cause unwanted side-effects owing to their non-
selective action.
 Antibiotics are employed topically, orally or as injections
Make notes on Antibiotics Page 446 Trease
and Evans (16th edition)
Non-microbial sources of antibacterials
 Lichens. Many of these appear to owe their bacteriostatic and
antifungal properties to usnic acid or vulpinic acid.
 Order Coniferae. Various essential oils from Juniperus and Pinus spp.
have antibacterial activity.
 Monocotyledons. Fresh garlic owes its antibiotic action to
alliine, a sulphur-containing amino acid; ginger has antibacterial
properties, so too aloe vera gel.
 Dicotyledons. Examples from this group are: the sesquiterpene
ketones of hops (humulene and lupulene) and those of myrrh
 Marine organisms. Cephalosporium acremonium: The marine
streptomycete, Streptomyces tenjimariensis produces istamycin A and B,
active against Gram-negative and Gram-positive bacteria.
 Plants/insects. Propolis (bee glue) prepared by bees from the
pollen of various species of tree has bacteriostatic activity irrespective
of geographical source.
Antiviral Agents
 Virus diseases still remain an area of medicine for which specific
treatments are lacking.Treatment is often, of necessity,
symptomatic. In some instances, e.g. for various types of influenza,
vaccines are available.
 Possible pesticidal non-protein amino acids, discovered in the seeds
of Castanospermum australe (Leguminosae),a new alkaloid of the
tetrahydroxyindolizidine group which was named castanospermine.
It was found to exert its biological effect on insect larvae by
inhibiting the carbohydrase enzymes which are essential for the
elaboration of the oligosaccharide side-chains on glycoproteins.This
led to the testing of the alkaloid against HIV on the basis that as the
compound inhibits -glucosidase I and II, which control the
α
formation of glycoproteins in the viral coat, then, without the
essential envelope structure the virus would be unable to infect
healthy white blood cells., though it is taoxic for clinical use.
 One significant discovery in this field to date relates to a
series of coumarins—the calanolides. In 1991 calanolide A
and calanolide B were isolated in small yield from the leaves
and twigs of the tropical rainforest tree Calophyllum lanigerum
(Guttiferae) and shown to possess anti-HIV activity.
 Sometimes anti-AIDS agents of more than one chemical class
occur in the same plant, e.g. coumarins, flavonoids and
pentacyclic triterpenoids in liquorice
 Plant constituents showing activity against Herpes simplex are
the podophyllotoxin lignan deoxypodophyllotoxin (from
Thuja occidentalis),saponins of the oleane type which inhibit
viral DNA synthesis, and ursane-type saponins which
interfere with the formation of capsidal protein
Anti HIV Natural sources, Trease and Evans
page 449 (16th edition)
Vitamins and hormones
 Vitamins, formerly known as‘accessory food factors’, are present in
many animal and vegetable foods.Their absence from the diet causes
deficiency diseases such as scurvy, beri-beri, rickets and night
blindness.
FAT SOLUBLEVITAMINS (ADEK)
 Vitamin A is found as such only in the animal kingdom and is
particularly abundant in fish-liver oils, the carotenes in carrots.The
preparation of cod-liver oil is described below.VitaminA occurs in
three or more forms termed vitamers.Vitamin A is essential for the
normal functioning of the body epithelia and the retina. Deficiency is
indicated by night blindness and by a drying and crusting of the
mucous membranes.
 Vitamin E: Contained in this group are a number of tocopherols,
prefixed -, -, -, etc, which are of wide occurrence in plants,
α β γ
being particularly abundant in the germ oil of cereals(in soya
beans, ground nuts and maize. Oats contains some five different
tocopherols). vitamin E is a powerful antioxidant and has an
important role in the preservation of the well-being of cells,
 Vitamin K (phytomenadione, phylloquinone) This vitamin
occurs in several natural forms(From plants (e.g. alfalfa, lucerne,
tomatoes, etc.); or by synthesis.Abundant in the human intestine,
where it is synthesized by intestinal bacteria).Vitamin K1Vitamin
K is a necessary factor in the blood-clotting process; it acts
indirectly by activating those substances which are necessary for
the conversion of prothrombin to thrombin. Deficiency symptoms
are prolonged bleeding and excessive bruising.
Vitamin D: formed photochemically from 7-dehydro-cholesterol
by the sun’s irradiation of the skin.Vitamin D regulates the
calcium and phosphorus balance in the body by direct action on
phosphorus metabolism. It promotes calcium absorption and is
an essential factor in bone formation (a deficiency causes
rickets).
Sources of Fat soluble vitamins
 Codliver oil- Medicinal cod-liver oil is a fixed triglyceride oil
prepared from the fresh liver of the cod, Gadus morhua.
Constituents. The medicinal properties of cod-liver oil are
mainly due to vitamin A and vitamins of the D group. Use for the
prevention and cure of rickets, supplement for relief of
rheumatic pains and joint and muscle stiffness.
Water -SolubleVitamins
 Vitamin B1 (thiamine, aneurine); sources Rice polishings, cereal germ,
animal organs, yeast or prepared synthetically. In the body, carbohydrate
metabolism and the normal functioning of the nervous system are dependent
on adequate supplies of the vitamin. Severe deficiency causes beri-beri
 Vitamin B2 (riboflavine, lactoflavine): source Widely distributed in
both plants and animals; bacteria, yeasts and other fungi, cereal grains and
many fruits. Synthesis by microorganisms of the intestinal flora of humans.
Deficiency in humans is rarely encountered; symptoms include a cracking of
the corners of the mouth, dermatitis and conjunctivitis.
 Pantothenic acid (or B5). This compound) is a component of coenzyme
A. Deficiency symptoms are not well-defined and differ appreciably with
different species of animal
 Vitamin B6 (pyridoxine). Source: Yeast, liver, red meat, chicken, milk,
mushrooms, beans, bananas, nuts, avocados, potatoes.The vitamin
participates in an important coenzyme system in protein synthesis and is
involved in fat metabolism.
 Vitamin B12 (cyanocobalamin): This vitamin is not found in plants or
yeasts but occurs in meat, in particularly large quantities in livers and
kidneys. are used for the treatment of pernicious anaemia;
 Folic acid (folacin,) refers to pteroylmonoglutamic. spinach leaves, folic
acid is necessary for cell division and for the normal production of red blood
cells.
 Vitamin C (ascorbic acid): blackcurrants and the juice of citrus fruits:
Vitamin C is essential for the normal functioning of living cells and is
involved in many enzymic reactions. It is required for the development of
cartilage, teeth and bones, for wound healing and for aiding the absorption of
iron from the intestine, Gross deficiency causes scurvy
 Biotin (vitamin H)
 Nicotinamide (vitamin B7, vitamin PP) and nicotinic acid
(niacin). These compounds found in a variety of foods and are
manufactured in the body, with the aid of other B vitamins, from tryptophan.
Milk, eggs, liver, yeast, malted barley, or may be prepared by fermentation.
The classical deficiency disease associated with the vitamin is pellagra
 Sources:
 Dog Rose (Rose Hips): Dog rose consists of the incompletely dried,
almost ripe hips, Rosa) including the common dog roses (R.canina:Rose
hips are used for their vitamin content containing ascorbic acid (Vitamin
C) and smaller amounts of vitaminA, aneurine, riboflavine and
nicotinic acid.
 Blackcurrant: consists of the fresh ripe fruits of Ribes nigrum:The fruits
contain various acids (e.g. citric and malic), pectin, colouring matter
and ascorbic acid.
 Citrus juices from lemons, used for its vitamin C content, but
orange juice is richer in this vitamin and is more suited to infant
feeding.
 Dried yeast: Dried yeast consists of the cells of a suitable strain of
Saccharomyces cerevisiae dried so as to preserve the vitamins present.
Important constituents of yeast are the vitamins of the B group
(aneurine, nicotinic acid, riboflavine, folic acid and B12).
Hormones
 Hormones, or‘chemical messengers’, are substances secreted by
the endocrine or ductless glands of animals
Hormones Nature and occurrence
Gonadotropins Pituitary glands of man, horse, sheep and pig
Corticotropins Polypeptides of pituitary glands
Oxytocin and vasopressin Pituitary gland
Thyroxin Thyroid gland
Adrenalin Suprarenal gland or prepared synthetically
Insulin Islets of Langerhans of pancreas (Pig, Bovine-cow
Oestrogens From pregnant mares or human urine, hog ovaries,
Androgens From urine or by partial synthesis
Colouring and flavouring agents
 Colouring Agents:
 Red poppy petals consist of the dried whole or fragmented petals of
Papaver rhoeas.The colour of red poppy petals is due to anthocyanidins,
including the gentiobioside of cyanidin. Used principally as a colouring
for infusions and syrups.
 Cochineal is the dried female insect Dactylopius coccus Costa containing
eggs and larvae. Cochineal contains carminic acid, a brilliant purple,
Uses. Cochineal and carmine are used as colouring agents for liquids
and solids and as indicators
 Saffron: consists of the dried stigmas and tops of the styles of Crocus
sativus,contains a number of carotenoid pigments
 Annatto seeds are those of Bixa orellana (Bixaceae) and are characterized
by having on their surface an edible carotenoid pigment (Bixin)- there
are white- and pink-flowered- bixin have been employed in the
production of coloured coating materials for tablets, pills, granules and
herbal medicine preparations.
 Marigold flowers: Tagetes erecta contain xanthophyll (lutein)
pigments from the florets. Lutein finds commercial use as an
additive of chicken feed to give colour to egg yolks.
 Red beetroot: Powdered red beetroot, Beta vulgaris and the
isolated red pigment betanin are widely used non-toxic food and
pharmaceutical colourants.Additional to its value as a colourant and
food, various medicinal activities have been ascribed to red
beetroot, including that of a freeradical scavenger; for a report on
its potential hepatoprotective value
 Monascus: Monascus purpureus is a mould which,when grown on cooked
or autoclaved rice, Strains of mould have been selected to give
various shades and that producing the dark red monascorubrin
 Red rose petals: The unexpanded petals of the Provence rose,
Rosa gallica
 DYESTUFFS
Flavouring Agents
 Natural flavours are often complex mixtures of compounds such as
are found in essential oils and may contain over 100 components,
all blending to give a characteristic flavour.Alternatively, a
flavouring agent may contain a single compound only, such as
vanillin.
 The following, for example, are also, together with their oils,
carminatives: citrus peels, ginger, peppermint leaf, fennel fruits,
dill fruits, coriander fruits, caraway fruits, cardamom, nutmeg and
cinnamon. Liquorice extract is used to disguise the taste of
nauseous medicines andWild Cherry Syrup, although employed in
cough preparations, is primarily used for flavouring. Raspberry and
blackcurrant syrups have no therapeutic value although the juice of
the latter is used for its vitamin C content. Similarly saffron and oil
of rose (used to flavour lozenges) have no medicinal effect.
Sweetening agents
 There is a need for alternatives to sucrose as a sweetening
agent for medical purposes (e.g. for diabetics) and for diet
improvement.
 Sorbitol. Sorbitol (d-glucitol), a polyhedric alcohol
which was first isolated from mountain ash berries (Sorbus
aucuparia).It is prepared synthetically by the catalytic
hydrogenation of glucose. Sorbitol solution is used as a
sweetening agent and vehicle in elixirs, linctuses and
mixtures;
 Stevioside have sweetening properties some three hundred
times that of sucrose. Stevioside, the most important, is
obtained from Stevia rebaudiana
active compounds from marine organisms
 Fish Body Oils: The oils expressed from the bodies of a number of
‘oily’ fish of the families cited on p. 43 contain esters of omega-3
fatty acids.As such, they have become important dietary
supplements- reduce risk of heart disease. Examples of Omega-3 are:
-linolenic acid , moroctic acid, eicosatetraenoic acid, timnodonic
α
acid etc
 Farmed Salmon Oil is obtained from salmon,Salmo salar The
oil is expressed mechanically at below 100°C either from whole fish
or fish from which the fillets
 Omega-3-marine triglyceride contains a mixture of the glyceryl esters
prepared from the purified concentrated acids or from the omega-3-
acid ethyl esters. USE, these preparations are used to treat such
conditions as hypertriglyceridaemia, to reduce the risk of CHD,
thrombosis
Hallucinogenic, allergenic, teratogenic and
other toxic plants
 The plants included in this chapter are toxic species which,
although finding little use in modern medicine, are, because
of the pharmacological effects which they produce, of
considerable interest to pharmacognosists
Hallucinogens
 These hallucinogens, often derived from plants, have
frequently been used within a religious context. Eg peyote,
Indian hemp and lysergic acid derivatives.With the exception
of cannabis, the principal known hallucinogenic plants
contain alkaloids related to the neurophysiological
transmitters noradrenaline and 5-hydroxytryptamine
(serotonin).
Fungi
 Some of the poisonous fungi when taken orally produce
hallucinations; these include toadstools of the genera Amanita,Psilocybe
and Conocybe.
 The Amanitas. A number of Amanita species,Amanita muscaria in
addition to promoting hallucinogenic effects, are extremely toxic.
Three classes of toxins are recognized in the genus—tryptamines (e.g.
bufotenine), cyclic peptides (phallotoxins and amatoxins) and
isoxazole alkaloids (e.g. ibotenic acid)
 Hallucinogenic Mexican mushrooms. A number of small
toadstools— particularly species of Psilocybe (P.mexicana),Conocybe (C.
cyanopus) and Stropharia—constitute the Mexican hallucinogenic
mushrooms (teonanacatl,‘flesh of the gods’
 Puffballs. Species of Lycoperda contain constituents which produce
auditory hallucinations and a state of half-sleep about half an hour
after consumption.
Lysergic Acid Derivatives: The hallucinogenic properties of lysergic
acid, and, in particular, the diethylamide derivative (LSD), (species of
Ipomoea,Rivea and Argyreia),Morning Glory seeds.- of Ipomoea tricolor
Peyote
 Certain cacti are of pharmaceutical and pharmacological interest, as they
contain protoalkaloids, some of which have marked hallucinogenic
properties. One of these is the cactus Lophophora williamsii.The chief
active constituent is the alkaloid mescaline
Indian Hemp
 The Indian hemp plant was originally considered as a distinct species but
came to be regarded as a variety of Cannabis sativa,C.indica and C.
ruderalis. Products include ganja,Bhang,Charas or churrus ( crude resin)
USE:for the relief of nausea and vomiting caused by cancer
chemotherapy led to its use as an antiemetic. It is also employed to
stimulate the appetite of AIDS patients, relief of the symptoms of
multiple sclerosis and other neurological disorders.Addictions problems
Natural Allergens
 A large number of plant and animal materials give rise to
allergic reactions in certain individuals.The allergenic material
is transmitted by direct skin contact, by airborne pollens,
smoke and dried plant particles, and on the coats of domestic
animals.
 Pollens. Responsible for seasonal hay fever, which may
progress to chronic asthma. Common grasses involved include
timothy (Phleum pratensis),cocksfoot (Dactylis glomerata) and
perennial rye (Lolium perenne).
 Spores. A number of common moulds produce spores which
cause rhinitis and asthma in sensitive individuals; spores
Sporobolomyces roseus cause the most trouble. Exposure to
lycopodium spores has caused allergic reactions varying from
dermatitis to severe asthma attacks
 Rhus (Toxicodendron) spp.Rhus radicans,contain contactant
allergens which produce severe dermatitis associated with
watery blisters which burst and quickly spread across the skin.
 Sesquiterpene lactones. These compounds obtained from
members of the Compositae, Lauraceae and Magnoliaceae and
from the liverwort Frullania (Jubulaceae),are a major class of
substances causing allergic contact dermatitis in man.
 Miscellaneous. Hair, feathers and house dust can all act as
allergenic material; house dust often includes mites. Numerous
other materials, not of natural origin (e.g. detergents, dyes,
cosmetics), may also act as contact allergens.
Teratogens of Higher Plants
 Teratogenic substances, when ingested by the mother, can cause
abnormalities in the developing fetus; thalidomide represents
the tragic example of a synthetic drug having such undetected
properties at the time of its use. Such substances undoubtedly
occur also in plants, but no species has been shown as having
been responsible for malformations in humans.
 The range of plant constituents known to have teratogenic
effects, albeit often demonstrated using only laboratory animals
and large doses not normally experienced by humans, includes
14 different groups of alkaloids, coumarins, lignans, macrolides,
nitriles, terpenoids, toxic amino acids and unidentified
compounds of many plants
Plant source Constituents Notes
Senecio spp. Pyrrolizidine
alkaloids:
lasiocarpine,
retrorsine
Possible teratogenic effects in rats and in
utero deaths of calves
Indigofera
spicata
Indospicine Cleft palate and embryo lethality in rats.
Possible malformations in domestic
livestock. Indospicine teratogenesis
Nicotiana spp,
Lobelia spp
Pyridine
alkaloids
Probably responsible for some skeletal
deformations in pigs but effect not
positively attributable to alkaloids
Blighia sapida Hypoglycin A Hypoglycin A is known to be
hypoglycaemic in humans and teratogenic
in rats; it is twice as toxic as its peptide
derivative hypoglycin B
Plant source Constituents Notes
Indigofera
spicata
Indospicine Cleft palate and embryo lethality in rats.
Possible malformations in domestic
livestock. Indospicine teratogenesis
Leucaena
leucocephala,
Mimosa spp.
Mimosine Large quantities toxic to livestock.
Teratogenic effects demonstrated in pigs
and rats
Locoplants e.g.
Astragalus
lentiginosus
teratogens characterized by causing
excessive flexure of carpal joints or
contracted
Lupins e.g.
Lupinus sericeus
cytisine,
anagyrine
Teratogenic effect results in crooked calf
disease
Conium
maculatum
Cyclopamine Teratogenic effect causes cyclopian and
related cephalic malformations in lambs.
Pesticides of natural origin
 Pesticides may be classified according to the type of organism against
which they are effective, namely, fungicides, herbicides, insecticides,
molluscicides, nematocides, rodenticides.
Acaricides
 Mites and ticks are small arachnids of the order Acarina (Acari).
Specific mites infest crude drugs and food) and the housedust mite,
Dermatophagoides pteronyssinus,is well known for its possible association with
asthma.Ticks are the largest members of the order and economically
the most important.They are all blood-sucking parasites responsible
for microbial infections, e.g the spirochaete infection causing Lyme
disease, and protozoal diseases in animals.The control of mites by plant
products has centred largely on essential oils.
 Tick-repellent properties of the essential oil of Gynandropsis gynandron
it disrupts the free-living stages of Rhipicephalus appendiculatus,the vector
of the pathogen causing East Coast fever in animals.
Insecticides
 Pyrethrum Flower are the dried flower-heads of Pyrethrum
cinerariifolium:Constituents eg Pyrethrin I, jasmolin I and cinerin I.
Uses. Insect flowers are a contact poison for insects.They are largely
used in the form of powder and sprays
 Derris and lonchocarpus: The roots of many species of Derris (D.
elliptica) and Lonchocarpus have insecticidal properties: contain rotenone
 Nicotinoids: from Nicotiana tabacum;Nicotine alkaloid of the genus
and is prepared commercially from waste material of the tobacco
industry; it has long been used as an effective insecticide
 Ryania. The roots and stems of Ryania speciosa contain alkaloids
having insecticidal properties. Ryanodine, the principal alkaloid
 Cevadilla seed. Cevadilla or sabadilla consists of the seeds of
Schoenocaulon officinale;The chief alkaloids, cevadine and veratridine,
are used as a dust or spray to control thrips and various true bugs
which attack vegetables
Rodenticides
 Red squill (Urginea maritima) contains the glucosides
scilliroside and scillirubroside. Rodents death follows
convulsions and respiratory failure.
 Strychnine.The occurrence of strychnine in
Strychnos species) has already been discussed.This alkaloid
has been used traditionally for the extermination of moles,
Molluscicides
 Pharmaceutical interest in molluscicides is concerned primarily
with the control of schistosomiasis (bilharzia), a parasitic disease
of humans in which certain freshwater snails act as intermediate
hosts for the blood flukes, Schistosoma haemotobium,S.mansoni and
S.japonicum.The disease, which causes intestinal and bladder
damage
 The berries of the Ethiopian plant Phytolacca dodecandra have
proved effective in clearing stretches of waterways of snails
 Spirostanol saponins, as found in Balanites aegyptica are potent
molluscicides.
 Other phytochemical groups of compounds having recognized
molluscicidal activity are isobutylamides of the Asteraceae,
utaceae and Piperaceae,

Alkaloids And Alkaloid containing compounds

  • 1.
  • 2.
    Pharmacognosy III CourseContent  Define Active principles and Examples  Alkaloids and types  List of drugs of plant origin having: Anti-tumor activity Antiprotozoal activity Antihepatotoxic and oral hypoglycemic activity Vitamins and hormones Antibacterial and antiviral activity Colouring and flavouring agents Active compounds from marine organisms Hallucinogenic, allergenic, teratogenic and other toxic plants Pesticides of natural origin
  • 3.
    Pharmacognosy III CourseContent  Detailed methods of Standardization of crude plants: determination of ash values water content extractive values fibre content  Crude drug development – collection to storage  Packaging of solid crude drugs  Labelling of solid crude drugs  Packaging of liquid crude drugs  Labelling of liquid crude drugs  Storage of crude drug
  • 4.
    Teaching methods  Lecturenotes  Brainstorming sessions  Guided discussions  Practical demonstration where possible  Take home assignments
  • 5.
    Alkaloids a) Definition ofalkaloids b) Properties of alkaloids c) Naming of alkaloids d) Structure and classification of alkaloids e)Tests for alkaloids f) Extraction of alkaloids g) Functions of alkaloids in plants
  • 6.
    Alkaloids  Parent structure,List of plants containing type of alkaloids, crude alkaloidal drug of the type and pharmacologic importance of:  Tropane alkaloids:  Pyrrolizidine alkaloids:  Phenylalanine derived alkaloids  Protoalkaloids  Benzylisoquinone derivatives  Pseudo alkaloids  Tryptophan derived alkaloids  Ergot alkaloids  Quinoline alkaloids  Indolizidine alkaloids  Imidazole alkaloids  Purine  Steroidal alkaloids
  • 7.
    Introduction to Alkaloids The term “alkaloid” (alkali-like) is commonly used to designate basic heterocyclic nitrogenous compounds of plant origin that are physiologically active.  The term alkaloid was coined by Meissner, a German pharmacist, in 1819.  The mankind has been using alkaloid for various purposes like poisons, medicines, poultices, teas etc.  The French chemist, Derosne in 1803, isolated Narcotine.
  • 8.
    Deviation from Definition Basicity: Some alkaloids are not basic e.g. Colchicine, Piperine, Quaternary alkaloids.  Nitrogen: The nitrogen in some alkaloids is not in a heterocyclic ring e.g. Ephedrine, Colchicine, Mescaline.  Plant Origin: Some alkaloids are derived from Bacteria, Fungi, Insects, Frogs,Animals. Forms of Alkaloids:  Free bases  Salts with Organic acids e.g. Oxalic, acetic acids  Salts with inorganic acids e.g. HCl, H2SO4.  Salts with special acids: e.g. Meconic acid in Opium, Quinic acid in Cinchona  Glycosidal form e.g. Solanine in Solanum.
  • 9.
    Classification  True (Typical)alkaloids that are derived from amino acids and have nitrogen in a heterocyclic ring. e.g Atropine  Protoalkaloids that are derived from amino acids and do not have nitrogen in a heterocyclic ring. e.g Ephedrine  Pseudo alkaloids that are not derived from amino acids but have nitrogen in a heterocyclic ring. e.g Caffeine  False alkaloids are non alkaloids give false positive reaction with alkaloidal reagents. New Definition: Alkaloids are cyclic organic compounds containing nitrogen in a negative state of oxidation with limited distribution among living organisms
  • 10.
    Distribution and occurrence: Rare in lower plants.  Dicots are more rich in alkaloids than Monocots.  Families rich inAlkaloids:Apocynaceae, Rubiaceae, Solanaceae and Papaveracea.  Families free from Alkaloids: Rosaceae, Labiatae  Examples:All Parts e.g. Datura, Barks e.g. Cinchona, Seeds e.g. Nux vomica, Roots e.g.Aconite, Fruits e.g. Black pepper, Leaves e.g.Tobacco, Latex e.g. Opium
  • 11.
    Occurrence  Alkaloids arepoisonous in nature, but when used in small quantities, exert useful physiological effects on animals and human beings and due this, they have acquired a significant place in allopathic medicine where the dosage is strictly controlled.  Their exact role in nature and function in plants, are still a topic of ambiguity.  Only one aspect is clearly understood that they are synthesized as the end products of any biosynthetic pathway.
  • 12.
    Function in Plants They may act as protective against insects and herbivores due to their bitterness and toxicity.  They are, in certain cases, the final products of detoxification (waste products).  Reserve Source of nitrogen in case of nitrogen deficiency.  They, sometimes, act as growth regulators in certain metabolic systems.  They may be utilized as a source of energy in case of deficiency in carbon dioxide assimilation.  They are present normally in conjugation with plant acids, therefore, could be carriers within plants for transportation of organic acids.
  • 13.
    Nomenclature of alkaloids Trivialnames should end by "ine". These names may refer to:  The genus of the plant, such as Atropine from Atropa belladona.  The plant species, such as Cocaine from Erythroxylon coca.  The common name of the drug, such as Ergotamine from ergot.  The name of the discoverer, such as Pelletierine that was discovered by Pelletier.  The physiological action, such as Emetine that acts as emetic, Morphine acts as narcotic.  A prominent physical character, such as Hygrine that is hygroscopic.
  • 14.
    Prefixes and suffixes Prefixes: "Nor-" designates N-demethylation or N-demethoxylation, e.g. norpseudoephedrine and nornicotine.  "Apo-" designates dehydration e.g. apomorphine.  "Iso-, pseudo-, neo-, and epi-" indicate different types of isomers. Suffixes:  "-dine" designates isomerism as quinidine and cinchonidine.  "-ine" indicates, in case of ergot alkaloids, a lower pharmacological activity e.g. ergotaminine is less potent than ergotamine.
  • 15.
    Physical Properties ofAlkaloids State: Most alkaloids are crystalline solids, few alkaloids are amorphous solids e.g. emetine, Some are liquids that are either (Volatile e.g. nicotine and coniine, or Non-volatile e.g. pilocarpine and hyoscine) Color: The majority of alkaloids are colorless but some are colored e.g.: Colchicine and berberine are yellow, the salts of sanguinarine are copper- red. Solubility (provide methods for the isolation of alkaloids from the plant and their separation from the nonalkaloidal substances): Both alkaloidal bases and their salts are soluble in alcohol, organic solvents and insoluble in water ( caffeine, ephedrine, codeine, colchicine). Bases insoluble or sparingly soluble in certain organic solvents: morphine in ether. Isomerization: Optically active isomers may show different physiological activities eg l-ephedrine is 3.5 times more active than d-ephedrine.And Quinine (l-form) is antimalarial and its d- isomer quinidine is antiarrythmic
  • 16.
    Chemical properties Nitrogen: (Primary amines R-NH2 e.g. Norephedrine, Secondary amines R2-NH e.g. Ephedrine, Tertiary amines R3-N e.g.Atropine, Quaternary ammonium salts R4-N e.g d- Tubocurarine) Basicity: Most alkaloids are basic due to the availability of a lone pair of electrons on nitrogen.The basic character of the alkaloidal compound is enhanced if the adjacent functional groups are electron withdrawing:Weak bases e.g. Caffeine, Strong bases e.g.Atropine, Phenolic Alkaloids e.g. Morphine Neutral alkaloids e.g. Colchicine Oxygen: Most alkaloids contain Oxygen and are solid in nature e.g.Atropine and Some alkaloids are free from Oxygen and aremostly liquids e.g. Nicotine, Coniine.
  • 17.
    Extraction of Alkaloids The normal procedure to extract alkaloids is based in their basic character and solubility pattern, treating the moistened drug with dilute alkali to extract the free base with an organic solvent. This is known as Stas Otto process Process A. The powdered material is moistened with water and mixed with lime which combines with acids, tannins and other phenolic substances and sets free the alkaloids (if they exist in the plant as salts). Extraction is then carried out with organic solvents such as ether or petroleum spirit.The concentrated organic liquid is then shaken with aqueous acid and allowed to separate.Alkaloid salts are now in the aqueous liquid, while many impurities remain behind in the organic liquid.
  • 18.
    Extraction of Alkaloids ProcessB. The powdered material is extracted with water or aqueous alcohol containing dilute acid. Pigments and other unwanted materials are removed by shaking with chloroform or other organic solvents.The free alkaloids are then precipitated by the addition of excess sodium bicarbonate or ammonia and separated by filtration or by extraction with organic solvents.
  • 19.
    Purification  The purificationof crude extract of alkaloids is done by some of the following procedures, which may, however, vary for individual alkaloid. Direct crystallization from solvent. It is a very simple method of isolation and may not be useful in case of complex mixtures Steam distillation.- This method is specially employed for volatile liquid alkaloids like coniine, sparteine. Chromatographic techniques.- This method has proved to be ideal for separation of a vast number of plant alkaloids.The different techniques of chromatography (thin layer, column, gas, liquid, ion exchange, HPLC, etc.) are used for separation of individual alkaloids from complex mixtures.
  • 20.
    Structure and Classification Alkaloidsshow great variety in their botanical and biochemical origin, in chemical structure and in pharmacological action. There are two broad divisions:  Non-heterocyclic or atypical alkaloids, sometimes called ‘protoalkaloids’ or biological amines.  Heterocyclic or typical alkaloids, divided into 14 groups according to their ring structure. The nitrogen of alkaloids  Alkaloids, taken in their broadest sense, may have a nitrogen atom which is primary (mescaline), secondary (ephedrine), tertiary (atropine) or quaternary (one of the N atoms of tubocurarine), and this factor affects the derivatives of the alkaloid which can be prepared and the isolation procedures. In the plant, alkaloids may exist in the free state, as salts or as amine or alkaloid N-oxides.
  • 21.
    Structure  Alkaloid N-oxides.extensivepharmacological and toxicological comparisons had been made of common alkaloids such as morphine, strychnine and hyoscyamine and their corresponding N-oxides.Natural N-oxides comprises the quinolizidines of the Boraginaceae,Compositae and Papilionaceae; these are alkaloids, including those of Senecio spp.,which cause extensive liver damage in animals using plants containing them as fodder A number of N-oxide alkaloids of the indole series have been isolated from plant materials, and among those of pharmaceutical significance are the simple hallucinogenic indole derivatives of Amanita spp.,
  • 23.
    Tests for alkaloids Most alkaloids are precipitated from neutral or slightly acid solution:  Mayer’s reagent (potassium mercuric iodide solution) giving cream precipitate.  Dragendorff’s reagent (potassium bismuth iodide solution) giving reddish brown precipitate.  Wagner’s reagent (iodine-potassium iodide solution) reddish brown precipitate.  Hager’s reagent (Picric & picrolonic acid) some alkaloids give yellow colored precipitates.  Caffeine and some other alkaloids do not give these precipitates  Identification of Alkaloids: Melting point, Colour test, Optical Rotation, Microcrystal test, HPLC, GC, GC-MS, UV, IR, NMR, MS.
  • 24.
    Alkaloids test  Asmentioned above, caffeine, a purine derivative, does not precipitate like most alkaloids. It is usually detected by mixing with a very small amount of potassium chlorate and a drop of hydrochloric acid, evaporating to dryness and exposing the residue to ammonia vapour.A purple colour is produced with caffeine and other purine derivatives.This is known as the murexide test.  Colour tests are sometimes useful—for example, the yellow colour given by colchicine with mineral acids or the bluish-violet to red colour given by indole alkaloids when treated with sulphuric acid and p-dimethylaminobenzaldehyde.  Pharmacopeias employTLC separations using reference compounds to establish the presence of individual alkaloids. In this respect, some of the alkaloid reagents quoted above are useful for detection of the separated bases.
  • 25.
     Parent structure List of plants containing alkaloids  Alkaloidal drugs and their pharmacologic importance  c
  • 27.
    Phenylalanine , Tyrosine,Dihydroxyphenylalanine (and dopamine)Derived Alkaloids  Do not contain heterocyclic nitrogen atoms (protoalkaloids) Mostly are simple derivatives of phenylethylamine  List of Plants: Dried young stems of Ephedra gerardiana,Ephedra sinica and Ephedra equisetina.  Constituents: Contains amino alkaloids. Ephedrine, nor-ephedrine, n- methyl ephedrine, pseudoephedrine, etc. Ephedrine (C10H15NO) is 1-phenyl-1-hydroxy-2-methyl aminopropane, soluble in water, alcohol, organic solvents and oils  Pharmaceutical Importance: Ephedrine is used for the relief of asthma, flu, cold and hay fever. ephedras are also used as antiinflammatory drugs.Weight loss (increases metabolism, decreases appetite – CNS stimulant – acts on adrenergic receptors) Also used to correct low B.P. conditions.
  • 28.
    Dihydroxyphenylalanine (and dopamine) DerivedAlkaloids  Dried ripe seeds of Colchicum luteum and Colchicum autumnale  Chemical Constituents: 0.2-1% of amino alkaloids, colchicine is the main constituent, seeds contain upto 0.8% of colchicine and in corms upto 0.6%, also contains demecolcine.  Pharmaceutical Importance: :Antitumor activity. Relieve gout (used with caution – professional supervision)and rheumatism.Also used in biological experiments to produce polyploidy (multiplication of the chromosomes in a cell nucleus), hence used in horticulture and cultivation of medicinal plants
  • 29.
    Purine Alkaloids- ‘Purinealkaloids’ constitute secondary metabolites and are derivatives of xanthine; three well-known examples are caffeine (1,3,7-trimethylxanthine), theophylline (1,3- dimethylaxanthine) and theobromine (3,7-dimethylxanthine).  Cocoa- Cocoa bean Source: seeds of Theobroma cocoa Family: Constituents:Theobromine & cocoa butter (Theobrom), polyphenols Use: Nutritive, stimulant, diuretic. (Theorbromine diuretic), oil is  widely used as suppository base & chocolates  Tea: Thea Prepared leaves & leaf buds of Thea sinesis Family:Theaceae; Constituent – Caffeine, theophylline: Use: CNS stimulant, beverages, diuretic  Coffee: coffee beans Source: dried ripe fruits of Coffee arabica & C. liberica;Use: source of caffeine, CNS stimulant & diuretic  Cola: source Cola seeds (C.acuminata, C.astrophora):Kola seeds contain caffeine (1–2.5%) and a little theobromine: Use: preparation of aerated beverages and as stimulant
  • 30.
    pyridine alkaloid (lysinederived)  Source: dried aerial parts of the Lobelia nicotianafolia; Constituents: Lobeline, lobelidine, lobelanine and lobelanidine; Use: treatment of asthma, respiratory stimulant, chronic bronchitis Pyrrolizidine Alkaloids  Although these alkaloids have at present no great medicinal significance they are important in that they constitute the poisonous hepatotoxic constituents of plants of the genus Senecio (Compositae),well-known for their toxicity to livestock. Some of the alkaloids also show carcinogenic and mutagenic properties
  • 31.
    Tropane Alkaloids The principalalkaloids of medicinal interest in this group are (−)- hyoscyamine; its more stable racemate atropine, and hyoscine (scopolamine) . Methylated nitrogen nuclues containing drugs are chemotaxonomic characters of family solanaceae. Hyoscyamine as main constituent: Datura stramonium,Atropa belladonna, A.acuminata,Dubosia Hyoscine as main constituent: Daturametel,Dubosia Hyoscyamine & Hyoscine (both in low quantity): Hyoscyamus niger  Belladonna: Atropa belladonna, Atropa acuminata-contains NLT 0.3% of l- hyoscyamine belladonin, pyridine and N-methyl pyrroline . Pharmaceutical Importance: : parasympatholytic drug, anticholinergic, reduce the secretions such as sweat, saliva and gastric juice and also reduce spasm in case of intestinal gripping due to strong purgative.As an antitode in opium and chloral hydrate poisoning (atropine)
  • 32.
     Datura stramonium:Thornapple leaves; Constituents: 0.2-0.5% alkaloid, l- hyoscyamine & hyoscine, small quantity of atropine CT; Pharmaceutical Importance: inAsthma, control salivation, muscular rigidity, tremors in parkinsonism, motion sickness  Hyoscyamus:Source: dried leaves and flowering tops of Hyoscyamus niger Family: Constituents: 75% hyoscyamine, atropine, hyoscyamine in lesser amount, Use: counteract gripping effect, relieves spasms of urinary tracts, sedative, expectorant, anti-asthmatic.  Coca:dried leaves of (bolivia-Erythroxylon coca), (Peruvian-E.truxillense; Constituents: 0.7-1.5% total alkaloid, lesser alkaloids, higher cocaine, cinnamyl cocaine, alpha-truxilline, tropocaine, benzoyl tropine, dihydroxytropine, benzoylecognine; Use: local anaesthetic, stimulant, restorative, in colvulsion  Tobacco alkaloids:The principal alkaloids of the genus Nicotiana have a pyridine moiety associated with either a pyrrolidine ring (ornithine-derived) or a piperidine ring (lysine-derived):A pharmaceutical introduction is that of nicotine chewing-gum, nasal spray or patch, intended to help smokers who want to give up smoking but who experience great difficulty in so doing because of their nicotine dependence.
  • 33.
    Quinoline Alkaloids. Cinchona Source dried bark of the cultivated trees of Cinchona calisaya;C. succirubra,C.ledgeriana,C.officinalis  Constituents: Quinoline Alkaloids: about 25 types Imp: quinine, quinidine, cinchonine and cinchonidine.Alkaloids of lesser importance are quinicine, cinchonocine hydroquinine, hydrocinchonidine and homocinchonidine. C.succirubra: Quinine and Quinidine are sterioisomers . Quinine and Quinidine form many salts but medicinally their sulphates are more significant. Cinchonine and cinchonidine are isomers.Also contains quinic and cinchotannic acid, also contains glycosides such as quinovin, tannins and bitter essential  Pharmaceutical Importance: : Quinine: Anti malarial, Skeletal muscles relaxant, night muscles spasm and abortifacient . Quinidine : Indicated for treatment of arrhythmia and cardiac depressant, atrial fibrillation. Cinchonine: Has mild anti malarial activity. Cinchona extract and tincture: bitter stomachics and antipyretic.
  • 34.
    Benzylisoquinoline Alkaloids  Opium(Raw Opium) is the dried latex obtained by incision from the unripe capsules of Papaver somniferum Family- opium poppy: Constituents: Opium alkaloids can be subclassified into 3 main groups with different basic nuclei: Phenanthrene alkaloids e.g. morphine and codeine. Benzylisoquinoline alkaloids e.g. papaverine and noscapine (narcotine). Meconic acid Phenylethylamine alkaloids e.g. narceine  Use Morphine: potent analgesic, Codeine: relieves local irritation in bronchial tract, antitussive Papaverine: smooth muscle relaxant of bronchial, intestinal and blood vessels Narcotine: cough reflex depressant, cough linctuses
  • 35.
     Other plantsources: Curare- south american arrrow root poison:The extract of all such plants is called curare.The plants belonging to Loganiaceae & Menispermaceae.Important plants: Chondrodendron tomentosum,Strychnos castelnaea,S.toxifera (Loganiaceae) (Menispermaceae): Constituents: (+) tubocurarine – bisbenzyl iso quinoline moiety & most potent, curine, curarine, isochondrodendrin, cycleanine, chondrocurine, tomentocurine: Use: Neuromuscular blocking agent, Skeletal muscle relaxant, Surgical operations, to relax abdominal muscles due to which lower and safer dose of general anesthesia is applied Occasionally used to aid myasthenia gravis
  • 36.
    Tryptophan -Derived Alkaloids Tryptophan and its decarboxylation product, tryptamine, give rise to the large class of indole alkaloids.These bases usually contain two nitrogen atoms; one is the indolic nitrogen and the second is generally two carbons removed from the -position of the indole β ring.  Indole Alkaloids: Source: Dried roots of Rauwolfia serpentina It contains NLT 0.15% of Reserpine, phytosterol, fatty acid, alcohol, sugar Ajmalicine, ajmaline, rauwolfinine, rescinnamine, reserpinine, yohimbine, serpentine, serpentinine Reserpine: ester of trimethoxy benzoic acid Rescinnamine: ester of trimethoxycinnamic acid  Pharm USE: Reserpine: lowers BP by depleting store of catecholamine at nerve ending, prevent re-uptake of nor- epinephrine at storage sites, allowing enzymatic destruction of neuronal transmitter.
  • 37.
     Others:Vinca- driedwhole plant of Catharanthus roseus or Vinca rosea.Chemical Constituents: 20 dimeric indole- dihydroindole (indoline) alkaloids possess oncolytic activity. Vincristine andVinblastine are most significant. Indole: Vinblastine termed as Catharanthine Dihydroindole alkaloid: Vindoline Other: ajmalIcine, lochnerine, serpentine and tetrahydroalstonine. USE:Vincristine: antineoplastic: arrest mitosis at the metaphase, IV: acute acute leukemia for children, Hodgkin’s disease, reticulum cell sarcoma, lymphosarcoma, myosarcoma Vinblastine : either above mechanism or by interfering with amino acid metabolism, suppress immune response Hypotensive & Antidiabetic
  • 38.
     Others: Calabarbean and physostigmine Calabar beans are the dried ripe seeds of Physostigma venenosum;The seeds contain the alkaloids physostigmine or eserine, eseramine, isophysostigmine, physovenine, geneserine, Physostigmine salicylate is used for contracting the pupil of the eye, often to combat the effect of mydriatics.  Nux vomica: Nux vomica consists of the dried, ripe seeds of Strychnos nux-vomica:Nux vomica usually contains about 1.8–5.3% of the indole alkaloids strychnine and brucine. Strychnine is physiologically much more active than brucine: Strychnine and Brucine -Vomicine, - α colubrine, pseudostrychnine, Isostrychnine, N-oxystrychnine, protostrychnine, - β colubrine and novacine: USE -Bitter stomachic, tonic, CNS stimulant, increases BP, certain forms of cardiac failure, stimulant for respiratory & CVS -Brucine: very less physiological action, 1/6 th potency as compared to strychine, 4 times bitter than strychine. Brucine: denaturinng alcohol, inedible fats, dog poison.
  • 39.
    Ergot and ErgotAlkaloids  Ergot (Ergot of Rye) is the dried fungus,Claviceps purpurea  Constituents: ergometrine (Ergonovine), ergotamine,, ergosine, & ergotoxin Pigment, ergosterol, fungisterol, histamine, tyramine, amino acids, acetyl choline, chitin, up to 30% fixed oil, 8% moisture.  Pharm use: Ergometrine: oxytocic, sometimes used to enhance labor pain in delivery cases, prevent post partum heamprrhage. Ergotamine : analgesic, migraine treatment, given along with caffeine Ergotoxin methanesulphonates (mesylates), lysergic acid, is a potent specific psychotomimetic
  • 40.
    Imidazole Alkaloids- Pilocarpus Source: leaves of closely related plants of the genus Pilocarpus spp Family: Rutaceae Genus: P. jaborandi, P. pennatifolius, P. microphyllus P.microphyllus  Constituents Imidazole alkaloid: pilocarpine Isopilocarpine, pilocarpidine, pilosine, pseudopilocarpine and isopilosine.  USE: In the form of pilocarpine hydrochloride Physiological antagonist ofAtropine Acts directly on ANS by post-ganlionic cholinergic nerves. Contraction of pupil of the eye, Increase sweating & salivation. Use in ophthalmology in Glaucoma
  • 41.
    Indolizidine Alkaloids  Onlya small number of indolizidine alkaloids are currently known but they have recently become of pharmaceutical interest through the discovery of the tetrahydroxy alkaloids castanospermine and 6-epicastanospermine, which are possible lead compounds in the search foranti-AIDS drugs. Also, like the above, swainsonine, the toxic constituent of locoweeds andAustralian Swainsona spp.,is a powerful glycosidase inhibitor; this alkaloid is a trihydroxy- indolizidine.
  • 42.
    Steroidal Alkaloids  Ariseby inclusion of a basic nitrogen at some point in the steroid molecule. C27 compounds having cyclopenteno phenanthrene moiety. Could act as a precursor for synthesis of various other steroids  Ashwagandha Syn: winter cherry, withania root Source: dried roots and stem bases of Withania somnifera Family: Solanaceae Specification: should contain NLT 0.02% of withanolide A & B GS: all dry and subtropical region. Constituents: steroidal lactone Main: withanine, pseudo withanine, tropine, pseudo tropinem anaferine, anahydrine, DI-isopelletierine  Use: sedative, hypnotic, hypotensive, respiratory, stimulant actions along with bradycardia, immuno-modulatory, anti-stress, mood stabilizer revives mind & body.  Kurchi: IFamily:Apocynaceae Specification: should contain NLT 2% of total alkaloids. Onstituents. Contains total 25 alkaloids (1.5-3%). C21 group steroidal alkaloids. Conessine (kurchicine), norconessine, isoconessine, dioxyconessine, holarrhimine, holarrhidine Use: Antiprotozoal and used to treat amoebic dysentery Conessine is highly active against Entamoeba histolytica. Formulation kutajarisht
  • 43.
    Steroidal Alkaloids  Steroidalalkaloids arise by the inclusion of a basic nitrogen at some point in the steroid molecule.Those of the C27 group include the Solanum alkaloids (Steroidal saponins ) and the Veratrum alkaloids, Veratrum viride also Numerous steroidal alkaloids are present in both V. album andV.viride Examples:  Jerveratrum alkaloids contain only 1–3 oxygen atoms and occur in the plant as free alkamines and also combined, as glucosides, with one molecule of d-glucose. Examples are pseudojervine derived from jervine and veratrosine derived from veratramine.  Ceveratrum alkaloids are highly hyroxylated compounds with 7–9 oxygen atoms. examples are the esters of germine, protoverine and veracevine.  Uses. American veratrum is used for the preparation ofVeriloid, a mixture of the hypotensive alkaloids.Also used to prepare insecticide
  • 44.
    Tetrahydroisoquinoline Monoterpenoid Alkaloids Ipecacuanha  Ipecacuanha (Ipecacuanha Root) of the BP is the dried root or rhizome and root of Cephaëlis ipecacuanha.Constituents: Ipecacuanhaand emetine  Uses. Ipecacuanha is used as an expectorant and emetic and in the treatment of amoebic dysentery Emetine has a more expectorant and less emetic action than cephaëline, a fact
  • 45.
    Active Principles -Miscellaneous Actives  Competence(s) a) Understanding of miscellaneous actives b)Appreciation of the importance of miscellaneous actives in the pharmacy practice List of drugs of plant origin with:Anti-tumor activity, Antiprotozoal activity,Antihepatotoxic and oral hypoglycemic activity,Vitamins and hormones, Antibacterial and antiviral activity, Colouring and flavouring agents,Active compounds from marine organisms, Hallucinogenic, allergenic, teratogenic and other toxic plants , Pesticides of natural origin
  • 46.
    Drugs of plantorigin having anti-tumor / anticancer activity  A successful anticancer drug should kill or incapacitate cancer cells without causing excessive damage to normal dividing cells.This ideal is difficult, or perhaps impossible, to attain and is why cancer patients frequently suffer unpleasant side-effects when undergoing treatment.  Plant materials have been used in the treatment of malignant diseases for centuries  Extracted from suspected anticancer activity are purified, isolated using standard techniques then laboratory against neoplasm. Promising chemicals are subsequently tested against a range of standard experimental neoplasms, and then considered for preclinical toxicological studies if these results are sufficiently encouraging.  Separation techniques (TLC, HPLC, chiral chromatography, etc.) and chemical structure determination (MS, NMR, UV, X-ray crystallography) of the active principle:
  • 47.
    Plants Containing AnticancerAgents in Current Use Catharanthus Roseus  Constituents: mostly alkaloids, of interest are those having cytotixc/ antineoplastic activity including leurocristine (vincristine) and vincaleukoblastine (vinblastine).  Uses. Vinblastine is used mainly for the treatment of generalized Hodgkin’s disease, and non-Hodgkin’s lymphomas.Vincristine is used principally in the treatment of acute lymphocytic leukaemia in children. It has other applications for lymphomas, small-cell lung cancer, cervical and breast cancers.The semi-synthetic vindesine is also used in the treatment of acute lymphoid leukaemia in children.Vincristine has a superior antitumour activity compared to vinblastine, but is more neurotoxic.
  • 48.
    Podophyllum and PodophyllumResin  Podophyllum consists of the dried rhizome and roots of Podophyllum peltatum  Constituents. The active principles of podophyllum are contained in the resin, podophyllum resin or‘podophyllin’.The chief constituents of the root belong to the group of lignans, which are C18 compounds.The most important ones present are podophyllotoxin , -peltatin and -peltatin β α  Uses. It has a cytotoxic action and is used as a paint in the treatment of soft venereal and other warts. Podophyllotoxin is also used for this purpose. Etoposide (4 - ′ demethylepipodophyllotoxin ethylideneglucoside) is a lignan derivative obtained semi-synthetically from podophyllotoxin and used in the treatment of small-cell lung cancer and testicular cancer as well as lymphomas and leukaemias.
  • 49.
     Taxus BrevifoliaandTaxol  Constituents. All parts of Taxus brevifolia contain a wide range of diterpenoid derivatives termed taxanes, which are structurally related to the toxic constituents found in other Taxus species,e.g.the common yew, Taxus baccata.The chief constituent isTaxol. Other taxanes baccatin III, 10- deacetyltaxol, 10-deacetylbaccatin III, cephalomannine and 10-deacetylcephalomannine.  Uses.Taxol® (paclitaxel) is being used clinically in the treatment of ovarian cancers, breast cancers and non-small- cell lung cancer. It may also have potential value against other cancers. Docetaxel produced by semi-synthesis from 10- deacetylbaccatin III (treatment of breast Cancers.)
  • 50.
    Antiprotozoal natural products Malaria_ Malaria caused by Plasmodium falciparum.P.vivax lie Other species of malaria parasite which (less commonly) infect man are P. malariae and P.ovale.  Trypanosomiasis: African sleeping sickness is caused by Trypanosoma brucei .The disease is transmitted by the tsetse flies (Glossina species) and initially causes a feverish illness.  Leishmaniasis which are transmitted by female sand-flies of the genus Phlebotomus.Cutaneous leishmaniasis (infections of the skin and mucous membranes) is caused by L.mexicana and L.braziliensis;  Gastrointestinal diseases; Diarrhoeal disease is often the result of protozoal infections in thegastrointestinal tract. Giardiasis, caused by Giardia duodenalis and G.lamblia Amoebic dysentery is caused by Entameoba histolytica,Cryptosporidium parvum as a common cause of diarrhoea in both normal and immunocompromised patients has been recognized; currently there is no effective treatment for cryptosporidiosis.
  • 51.
    Examples of AntiprotozoalNatural Products  Berberine: This benzylisoquinoline alkaloid, common in members of the Menispermaceae,has been used clinically in the treatment of cutaneous leishmaniasis: plants such as Berbris vulgaris, B.aristata  Conessine: In India, the bark of Holarrhena pubescens (Apocynaceae) known as kurchi bark has been used traditionally for the treatment of amoebic dysentery.  Cryptolepine: A decoction of the roots of Cryptolepis sanguinolenta (Asclepiadaceae),a climbing plant, is used inWest Africa for the treatment of malaria and various other infectious diseases.  Emetine: This alkaloid was discovered as a result of investigating Cephaelis ipecacuanha (Rubiaceae),a plant used by S.American Indians as a treatment for dysentery
  • 52.
     Quinine: Thebarks of various species of Cinchona bark active against P.falciparum.bind to haem, thus preventing the formation of haemozoin; the haem–drug complex is toxic and causesparasite death Terpenes  Artemisinin: For hundreds of years the Chinese have used the herb known as Qing Hao (Artemisia annua) for the treatment of fevers including malaria.Artemisinin and its derivatives (dihydroartemisinin, artemether, arteether, sodium artesunate) are the most rapidly acting antimalarials known and are highly selective against malaria parasite  Quassinoids The quassinoids are derived biosynthetically from triterpenoid precursors and are bitter principles present in species of the Simaroubaceae,which were found to be active against avian malaria MAKE NOTES OF OTHER PLANTS: QUINONES
  • 53.
    Natural plant drugswith antihepatotoxic and oral hypoglycaemic activities  Plants in theTreatment of Liver and BiliaryTract Diseases The liver, the principal organ of metabolism and excretion is subject to a number of diseases which may be classed as liver cirrhosis (cell destruction and increase in fibrous tissue), acute chronic hepatitis (inflammatory disease) and hepatitis (non-inflammatory condition). Jaundice, a yellow discoloration of the skin and eyes caused by bile in the blood is a symptom of blockage of the bile duct, or disease within the tissue of the liver itself.  Except for the use of the appropriate vaccine for the treatment of hepatitis caused by viral infection, there are few effective cures for liver diseases- Peppermint (principal cholagogue)
  • 54.
     Plants intheTreatment of Liver and BiliaryTract Diseases  Silybum marianum.the most widely used plant hepatoprotective agent is silymarin, a purified extract from Silybum marianum (is one of the milk-thistles). Milk-thistle fruit of the mature fruit,devoid of pappus, of Silybum marianum .Several so-called flavanolignans with marked hepatoprotective properties have been isolatedfrom the fruits.A mixture of these, termed silymarin, is available commercially as a dried, purified and standarized extract. Principal components of the extract are three pairs of diastereoisomers: silybin(silibinin) A and silybin (silibinin) B, isosilybin (isosilibinin) A andisosilybin (isosilibinin) B and, silychristin (silicristin) and silychristin (silicristin) B;
  • 55.
     Cynaria scolymus(Asteraceae/Compositae). the drug being used principally as a cholagogue (stimulation of bile production in the liver and promotion of emptying of the gall bladder and bile ducts).There has been more recent interest in the hepatoprotective properties of the plant and significant antioxidative activity has been demonstrated involving chlorogenic acid and cynarin;  Peumus boldus. Boldo leaves has lemony odour owing to the presence of volatile oil.The active constituents have been shown by laboratory testing to be alkaloids of the aporphine type (1–3%) the chief of which is boldine: Boldine is reported to be a potent scavenger of hydroxyl, lipid and alkyl peroxyl radicals.The leaves have a stimulant action on the liver and diuretic properties.  Taraxacum officinale root (Compositae). Although now obsolete as a drug in the allopathic system of medicine dandelion root has maintained its importance in herbal medicine in which it is used as a hepatic stimulant, diuretic, tonic and antirheumatic.
  • 56.
     Turmeric.Turmeric isthe dried rhizome of Curcuma longa,also used  LIST OTHER 10 examples hepaprotective plants
  • 57.
    Plants with OralHypoglycaemic Activity  Diabetes arises from a deficient production of insulin by the -cells of the pancreatic islets. Insufficient insulin results in β hyperglycaemia and the symptoms of diabetes, namely, an excess of sugar in the blood and urine, hunger, thirst and a gradual loss of weight. In many cases the type 2 condition can be controlled by a suitable diet and exercise but if this is not successful treatment with oral hypoglycaemics in conjunction with a suitable dietary regimen may prove satisfactory.These drugs act in a variety of ways: (1) by stimulating the -cells β to produce insulin; (2) by decreasing gluconeogenesis and increasing peripheral utilization of glucose; (3) retardation of carbohydrate absorption from the gut. Eg of Antidiabetics--
  • 58.
    Examples of plants Polysaccharides feature prominently in antidiabetic plants and they include the glycans of Aconitum carmichaelii roots (a traditional oriental drug), Ephedra distachya, Gymnema sylvestre leaves (an Ayurvedic drug used to control blood sugar levels in diabetics), Lithospermum erythrorhizin,Panax ginseng and P.quinquefolium (q.v.) and the non-sucrose portion of the juice of stems of Saccharum officinarum  Some flavonoids,phenols and related compounds have been shown to have hypoglycaemic activity. One such compound is (−)- epicatechin which is contained in the bark of the tree Pterocarpus marsupium  Steroid-containing plants known to exhibit antidiabetic activity include the barks of various species of Ficus,the roots of ginseng [the ginsenosides (steroids) as well as the pannaxosides
  • 59.
     Medicinal plantswhich are used in the traditional treatment of hyperglycaemia.The results included: Syzygium cumini seed and Momordica chirantia; Ficus glomeratus and Gymnema sylvestre showed activityfor both the organic and inorganic samples; Vinca rosea and Zingiber officinale had greater activity  LIST OTHER PLANTS HAVING HYPOGLYCEAMIC ACTIVITY
  • 60.
    Antibacterial and antiviraldrugs  Antibacterial and antiviral compounds constitute two of the groups of antimicrobial substances; other representatives are antiprotozoal drugs and antifungal drugs.Antimicrobial agents can also be categorized according to whether they are antibiotics (derived from the growth of microorganisms), chemotherapeutic agents (synthetic compounds not found in nature) or derivatives from non-microbial natural sources (lichens, higher plants, animals).  1928 Fleming noted the inhibition of bacteria by a colony of Penicillium notatum that had developed as a contaminant on a Petri dish, this was called Penicillin  The advent ofWorldWar II launched a large-scale programme for the production and testing of the substance now known as penicillin, and the resources of industry and academic institutions were devoted to the study of this substance and the search for other antibiotics
  • 61.
     This ledto the discovery of streptomycin, aureomycin, chloromycetin and many other antibiotics involving notably various species of Streptomyces.Preferential synthesis of benzylpenicillin is achieved by the addition of phenylacetic acid to the fermentation medium.  Clinical use. Of the antibiotics in clinical use, most are of bacterial or fungal origin).Among the bacteria, the genus Streptomyces is particularly noteworthy, as it produces antibiotics such as streptomycin, chloramphenicol, chlortetracycline, tetracycline, erythromycin and neomycin.The penicillins, griseofulvin (an antifungal agent) and cephalosporins are of fungal origin.They are usually graded, somewhat arbitrarily into first-, second- and third generation  Other antibiotics of bacterial origin are the actinomycin, bacitracin, tyrothrycin and polymixin groups their cytotoxicity prevented clinical use as internal medicines. However, such cytotoxic antibiotics can completely block RNA replication and are among the most potent antitumour compounds discovered but, like others of this group, cause unwanted side-effects owing to their non- selective action.  Antibiotics are employed topically, orally or as injections
  • 62.
    Make notes onAntibiotics Page 446 Trease and Evans (16th edition)
  • 65.
    Non-microbial sources ofantibacterials  Lichens. Many of these appear to owe their bacteriostatic and antifungal properties to usnic acid or vulpinic acid.  Order Coniferae. Various essential oils from Juniperus and Pinus spp. have antibacterial activity.  Monocotyledons. Fresh garlic owes its antibiotic action to alliine, a sulphur-containing amino acid; ginger has antibacterial properties, so too aloe vera gel.  Dicotyledons. Examples from this group are: the sesquiterpene ketones of hops (humulene and lupulene) and those of myrrh  Marine organisms. Cephalosporium acremonium: The marine streptomycete, Streptomyces tenjimariensis produces istamycin A and B, active against Gram-negative and Gram-positive bacteria.  Plants/insects. Propolis (bee glue) prepared by bees from the pollen of various species of tree has bacteriostatic activity irrespective of geographical source.
  • 66.
    Antiviral Agents  Virusdiseases still remain an area of medicine for which specific treatments are lacking.Treatment is often, of necessity, symptomatic. In some instances, e.g. for various types of influenza, vaccines are available.  Possible pesticidal non-protein amino acids, discovered in the seeds of Castanospermum australe (Leguminosae),a new alkaloid of the tetrahydroxyindolizidine group which was named castanospermine. It was found to exert its biological effect on insect larvae by inhibiting the carbohydrase enzymes which are essential for the elaboration of the oligosaccharide side-chains on glycoproteins.This led to the testing of the alkaloid against HIV on the basis that as the compound inhibits -glucosidase I and II, which control the α formation of glycoproteins in the viral coat, then, without the essential envelope structure the virus would be unable to infect healthy white blood cells., though it is taoxic for clinical use.
  • 67.
     One significantdiscovery in this field to date relates to a series of coumarins—the calanolides. In 1991 calanolide A and calanolide B were isolated in small yield from the leaves and twigs of the tropical rainforest tree Calophyllum lanigerum (Guttiferae) and shown to possess anti-HIV activity.  Sometimes anti-AIDS agents of more than one chemical class occur in the same plant, e.g. coumarins, flavonoids and pentacyclic triterpenoids in liquorice  Plant constituents showing activity against Herpes simplex are the podophyllotoxin lignan deoxypodophyllotoxin (from Thuja occidentalis),saponins of the oleane type which inhibit viral DNA synthesis, and ursane-type saponins which interfere with the formation of capsidal protein
  • 68.
    Anti HIV Naturalsources, Trease and Evans page 449 (16th edition)
  • 70.
    Vitamins and hormones Vitamins, formerly known as‘accessory food factors’, are present in many animal and vegetable foods.Their absence from the diet causes deficiency diseases such as scurvy, beri-beri, rickets and night blindness. FAT SOLUBLEVITAMINS (ADEK)  Vitamin A is found as such only in the animal kingdom and is particularly abundant in fish-liver oils, the carotenes in carrots.The preparation of cod-liver oil is described below.VitaminA occurs in three or more forms termed vitamers.Vitamin A is essential for the normal functioning of the body epithelia and the retina. Deficiency is indicated by night blindness and by a drying and crusting of the mucous membranes.
  • 71.
     Vitamin E:Contained in this group are a number of tocopherols, prefixed -, -, -, etc, which are of wide occurrence in plants, α β γ being particularly abundant in the germ oil of cereals(in soya beans, ground nuts and maize. Oats contains some five different tocopherols). vitamin E is a powerful antioxidant and has an important role in the preservation of the well-being of cells,  Vitamin K (phytomenadione, phylloquinone) This vitamin occurs in several natural forms(From plants (e.g. alfalfa, lucerne, tomatoes, etc.); or by synthesis.Abundant in the human intestine, where it is synthesized by intestinal bacteria).Vitamin K1Vitamin K is a necessary factor in the blood-clotting process; it acts indirectly by activating those substances which are necessary for the conversion of prothrombin to thrombin. Deficiency symptoms are prolonged bleeding and excessive bruising.
  • 72.
    Vitamin D: formedphotochemically from 7-dehydro-cholesterol by the sun’s irradiation of the skin.Vitamin D regulates the calcium and phosphorus balance in the body by direct action on phosphorus metabolism. It promotes calcium absorption and is an essential factor in bone formation (a deficiency causes rickets). Sources of Fat soluble vitamins  Codliver oil- Medicinal cod-liver oil is a fixed triglyceride oil prepared from the fresh liver of the cod, Gadus morhua. Constituents. The medicinal properties of cod-liver oil are mainly due to vitamin A and vitamins of the D group. Use for the prevention and cure of rickets, supplement for relief of rheumatic pains and joint and muscle stiffness.
  • 73.
    Water -SolubleVitamins  VitaminB1 (thiamine, aneurine); sources Rice polishings, cereal germ, animal organs, yeast or prepared synthetically. In the body, carbohydrate metabolism and the normal functioning of the nervous system are dependent on adequate supplies of the vitamin. Severe deficiency causes beri-beri  Vitamin B2 (riboflavine, lactoflavine): source Widely distributed in both plants and animals; bacteria, yeasts and other fungi, cereal grains and many fruits. Synthesis by microorganisms of the intestinal flora of humans. Deficiency in humans is rarely encountered; symptoms include a cracking of the corners of the mouth, dermatitis and conjunctivitis.  Pantothenic acid (or B5). This compound) is a component of coenzyme A. Deficiency symptoms are not well-defined and differ appreciably with different species of animal  Vitamin B6 (pyridoxine). Source: Yeast, liver, red meat, chicken, milk, mushrooms, beans, bananas, nuts, avocados, potatoes.The vitamin participates in an important coenzyme system in protein synthesis and is involved in fat metabolism.
  • 74.
     Vitamin B12(cyanocobalamin): This vitamin is not found in plants or yeasts but occurs in meat, in particularly large quantities in livers and kidneys. are used for the treatment of pernicious anaemia;  Folic acid (folacin,) refers to pteroylmonoglutamic. spinach leaves, folic acid is necessary for cell division and for the normal production of red blood cells.  Vitamin C (ascorbic acid): blackcurrants and the juice of citrus fruits: Vitamin C is essential for the normal functioning of living cells and is involved in many enzymic reactions. It is required for the development of cartilage, teeth and bones, for wound healing and for aiding the absorption of iron from the intestine, Gross deficiency causes scurvy  Biotin (vitamin H)  Nicotinamide (vitamin B7, vitamin PP) and nicotinic acid (niacin). These compounds found in a variety of foods and are manufactured in the body, with the aid of other B vitamins, from tryptophan. Milk, eggs, liver, yeast, malted barley, or may be prepared by fermentation. The classical deficiency disease associated with the vitamin is pellagra
  • 75.
     Sources:  DogRose (Rose Hips): Dog rose consists of the incompletely dried, almost ripe hips, Rosa) including the common dog roses (R.canina:Rose hips are used for their vitamin content containing ascorbic acid (Vitamin C) and smaller amounts of vitaminA, aneurine, riboflavine and nicotinic acid.  Blackcurrant: consists of the fresh ripe fruits of Ribes nigrum:The fruits contain various acids (e.g. citric and malic), pectin, colouring matter and ascorbic acid.  Citrus juices from lemons, used for its vitamin C content, but orange juice is richer in this vitamin and is more suited to infant feeding.  Dried yeast: Dried yeast consists of the cells of a suitable strain of Saccharomyces cerevisiae dried so as to preserve the vitamins present. Important constituents of yeast are the vitamins of the B group (aneurine, nicotinic acid, riboflavine, folic acid and B12).
  • 76.
    Hormones  Hormones, or‘chemicalmessengers’, are substances secreted by the endocrine or ductless glands of animals Hormones Nature and occurrence Gonadotropins Pituitary glands of man, horse, sheep and pig Corticotropins Polypeptides of pituitary glands Oxytocin and vasopressin Pituitary gland Thyroxin Thyroid gland Adrenalin Suprarenal gland or prepared synthetically Insulin Islets of Langerhans of pancreas (Pig, Bovine-cow Oestrogens From pregnant mares or human urine, hog ovaries, Androgens From urine or by partial synthesis
  • 77.
    Colouring and flavouringagents  Colouring Agents:  Red poppy petals consist of the dried whole or fragmented petals of Papaver rhoeas.The colour of red poppy petals is due to anthocyanidins, including the gentiobioside of cyanidin. Used principally as a colouring for infusions and syrups.  Cochineal is the dried female insect Dactylopius coccus Costa containing eggs and larvae. Cochineal contains carminic acid, a brilliant purple, Uses. Cochineal and carmine are used as colouring agents for liquids and solids and as indicators  Saffron: consists of the dried stigmas and tops of the styles of Crocus sativus,contains a number of carotenoid pigments  Annatto seeds are those of Bixa orellana (Bixaceae) and are characterized by having on their surface an edible carotenoid pigment (Bixin)- there are white- and pink-flowered- bixin have been employed in the production of coloured coating materials for tablets, pills, granules and herbal medicine preparations.
  • 78.
     Marigold flowers:Tagetes erecta contain xanthophyll (lutein) pigments from the florets. Lutein finds commercial use as an additive of chicken feed to give colour to egg yolks.  Red beetroot: Powdered red beetroot, Beta vulgaris and the isolated red pigment betanin are widely used non-toxic food and pharmaceutical colourants.Additional to its value as a colourant and food, various medicinal activities have been ascribed to red beetroot, including that of a freeradical scavenger; for a report on its potential hepatoprotective value  Monascus: Monascus purpureus is a mould which,when grown on cooked or autoclaved rice, Strains of mould have been selected to give various shades and that producing the dark red monascorubrin  Red rose petals: The unexpanded petals of the Provence rose, Rosa gallica  DYESTUFFS
  • 79.
    Flavouring Agents  Naturalflavours are often complex mixtures of compounds such as are found in essential oils and may contain over 100 components, all blending to give a characteristic flavour.Alternatively, a flavouring agent may contain a single compound only, such as vanillin.  The following, for example, are also, together with their oils, carminatives: citrus peels, ginger, peppermint leaf, fennel fruits, dill fruits, coriander fruits, caraway fruits, cardamom, nutmeg and cinnamon. Liquorice extract is used to disguise the taste of nauseous medicines andWild Cherry Syrup, although employed in cough preparations, is primarily used for flavouring. Raspberry and blackcurrant syrups have no therapeutic value although the juice of the latter is used for its vitamin C content. Similarly saffron and oil of rose (used to flavour lozenges) have no medicinal effect.
  • 80.
    Sweetening agents  Thereis a need for alternatives to sucrose as a sweetening agent for medical purposes (e.g. for diabetics) and for diet improvement.  Sorbitol. Sorbitol (d-glucitol), a polyhedric alcohol which was first isolated from mountain ash berries (Sorbus aucuparia).It is prepared synthetically by the catalytic hydrogenation of glucose. Sorbitol solution is used as a sweetening agent and vehicle in elixirs, linctuses and mixtures;  Stevioside have sweetening properties some three hundred times that of sucrose. Stevioside, the most important, is obtained from Stevia rebaudiana
  • 81.
    active compounds frommarine organisms  Fish Body Oils: The oils expressed from the bodies of a number of ‘oily’ fish of the families cited on p. 43 contain esters of omega-3 fatty acids.As such, they have become important dietary supplements- reduce risk of heart disease. Examples of Omega-3 are: -linolenic acid , moroctic acid, eicosatetraenoic acid, timnodonic α acid etc  Farmed Salmon Oil is obtained from salmon,Salmo salar The oil is expressed mechanically at below 100°C either from whole fish or fish from which the fillets  Omega-3-marine triglyceride contains a mixture of the glyceryl esters prepared from the purified concentrated acids or from the omega-3- acid ethyl esters. USE, these preparations are used to treat such conditions as hypertriglyceridaemia, to reduce the risk of CHD, thrombosis
  • 82.
    Hallucinogenic, allergenic, teratogenicand other toxic plants  The plants included in this chapter are toxic species which, although finding little use in modern medicine, are, because of the pharmacological effects which they produce, of considerable interest to pharmacognosists Hallucinogens  These hallucinogens, often derived from plants, have frequently been used within a religious context. Eg peyote, Indian hemp and lysergic acid derivatives.With the exception of cannabis, the principal known hallucinogenic plants contain alkaloids related to the neurophysiological transmitters noradrenaline and 5-hydroxytryptamine (serotonin).
  • 83.
    Fungi  Some ofthe poisonous fungi when taken orally produce hallucinations; these include toadstools of the genera Amanita,Psilocybe and Conocybe.  The Amanitas. A number of Amanita species,Amanita muscaria in addition to promoting hallucinogenic effects, are extremely toxic. Three classes of toxins are recognized in the genus—tryptamines (e.g. bufotenine), cyclic peptides (phallotoxins and amatoxins) and isoxazole alkaloids (e.g. ibotenic acid)  Hallucinogenic Mexican mushrooms. A number of small toadstools— particularly species of Psilocybe (P.mexicana),Conocybe (C. cyanopus) and Stropharia—constitute the Mexican hallucinogenic mushrooms (teonanacatl,‘flesh of the gods’  Puffballs. Species of Lycoperda contain constituents which produce auditory hallucinations and a state of half-sleep about half an hour after consumption.
  • 84.
    Lysergic Acid Derivatives:The hallucinogenic properties of lysergic acid, and, in particular, the diethylamide derivative (LSD), (species of Ipomoea,Rivea and Argyreia),Morning Glory seeds.- of Ipomoea tricolor Peyote  Certain cacti are of pharmaceutical and pharmacological interest, as they contain protoalkaloids, some of which have marked hallucinogenic properties. One of these is the cactus Lophophora williamsii.The chief active constituent is the alkaloid mescaline Indian Hemp  The Indian hemp plant was originally considered as a distinct species but came to be regarded as a variety of Cannabis sativa,C.indica and C. ruderalis. Products include ganja,Bhang,Charas or churrus ( crude resin) USE:for the relief of nausea and vomiting caused by cancer chemotherapy led to its use as an antiemetic. It is also employed to stimulate the appetite of AIDS patients, relief of the symptoms of multiple sclerosis and other neurological disorders.Addictions problems
  • 85.
    Natural Allergens  Alarge number of plant and animal materials give rise to allergic reactions in certain individuals.The allergenic material is transmitted by direct skin contact, by airborne pollens, smoke and dried plant particles, and on the coats of domestic animals.  Pollens. Responsible for seasonal hay fever, which may progress to chronic asthma. Common grasses involved include timothy (Phleum pratensis),cocksfoot (Dactylis glomerata) and perennial rye (Lolium perenne).  Spores. A number of common moulds produce spores which cause rhinitis and asthma in sensitive individuals; spores Sporobolomyces roseus cause the most trouble. Exposure to lycopodium spores has caused allergic reactions varying from dermatitis to severe asthma attacks
  • 86.
     Rhus (Toxicodendron)spp.Rhus radicans,contain contactant allergens which produce severe dermatitis associated with watery blisters which burst and quickly spread across the skin.  Sesquiterpene lactones. These compounds obtained from members of the Compositae, Lauraceae and Magnoliaceae and from the liverwort Frullania (Jubulaceae),are a major class of substances causing allergic contact dermatitis in man.  Miscellaneous. Hair, feathers and house dust can all act as allergenic material; house dust often includes mites. Numerous other materials, not of natural origin (e.g. detergents, dyes, cosmetics), may also act as contact allergens.
  • 87.
    Teratogens of HigherPlants  Teratogenic substances, when ingested by the mother, can cause abnormalities in the developing fetus; thalidomide represents the tragic example of a synthetic drug having such undetected properties at the time of its use. Such substances undoubtedly occur also in plants, but no species has been shown as having been responsible for malformations in humans.  The range of plant constituents known to have teratogenic effects, albeit often demonstrated using only laboratory animals and large doses not normally experienced by humans, includes 14 different groups of alkaloids, coumarins, lignans, macrolides, nitriles, terpenoids, toxic amino acids and unidentified compounds of many plants
  • 88.
    Plant source ConstituentsNotes Senecio spp. Pyrrolizidine alkaloids: lasiocarpine, retrorsine Possible teratogenic effects in rats and in utero deaths of calves Indigofera spicata Indospicine Cleft palate and embryo lethality in rats. Possible malformations in domestic livestock. Indospicine teratogenesis Nicotiana spp, Lobelia spp Pyridine alkaloids Probably responsible for some skeletal deformations in pigs but effect not positively attributable to alkaloids Blighia sapida Hypoglycin A Hypoglycin A is known to be hypoglycaemic in humans and teratogenic in rats; it is twice as toxic as its peptide derivative hypoglycin B
  • 89.
    Plant source ConstituentsNotes Indigofera spicata Indospicine Cleft palate and embryo lethality in rats. Possible malformations in domestic livestock. Indospicine teratogenesis Leucaena leucocephala, Mimosa spp. Mimosine Large quantities toxic to livestock. Teratogenic effects demonstrated in pigs and rats Locoplants e.g. Astragalus lentiginosus teratogens characterized by causing excessive flexure of carpal joints or contracted Lupins e.g. Lupinus sericeus cytisine, anagyrine Teratogenic effect results in crooked calf disease Conium maculatum Cyclopamine Teratogenic effect causes cyclopian and related cephalic malformations in lambs.
  • 90.
    Pesticides of naturalorigin  Pesticides may be classified according to the type of organism against which they are effective, namely, fungicides, herbicides, insecticides, molluscicides, nematocides, rodenticides. Acaricides  Mites and ticks are small arachnids of the order Acarina (Acari). Specific mites infest crude drugs and food) and the housedust mite, Dermatophagoides pteronyssinus,is well known for its possible association with asthma.Ticks are the largest members of the order and economically the most important.They are all blood-sucking parasites responsible for microbial infections, e.g the spirochaete infection causing Lyme disease, and protozoal diseases in animals.The control of mites by plant products has centred largely on essential oils.  Tick-repellent properties of the essential oil of Gynandropsis gynandron it disrupts the free-living stages of Rhipicephalus appendiculatus,the vector of the pathogen causing East Coast fever in animals.
  • 91.
    Insecticides  Pyrethrum Flowerare the dried flower-heads of Pyrethrum cinerariifolium:Constituents eg Pyrethrin I, jasmolin I and cinerin I. Uses. Insect flowers are a contact poison for insects.They are largely used in the form of powder and sprays  Derris and lonchocarpus: The roots of many species of Derris (D. elliptica) and Lonchocarpus have insecticidal properties: contain rotenone  Nicotinoids: from Nicotiana tabacum;Nicotine alkaloid of the genus and is prepared commercially from waste material of the tobacco industry; it has long been used as an effective insecticide  Ryania. The roots and stems of Ryania speciosa contain alkaloids having insecticidal properties. Ryanodine, the principal alkaloid  Cevadilla seed. Cevadilla or sabadilla consists of the seeds of Schoenocaulon officinale;The chief alkaloids, cevadine and veratridine, are used as a dust or spray to control thrips and various true bugs which attack vegetables
  • 92.
    Rodenticides  Red squill(Urginea maritima) contains the glucosides scilliroside and scillirubroside. Rodents death follows convulsions and respiratory failure.  Strychnine.The occurrence of strychnine in Strychnos species) has already been discussed.This alkaloid has been used traditionally for the extermination of moles,
  • 93.
    Molluscicides  Pharmaceutical interestin molluscicides is concerned primarily with the control of schistosomiasis (bilharzia), a parasitic disease of humans in which certain freshwater snails act as intermediate hosts for the blood flukes, Schistosoma haemotobium,S.mansoni and S.japonicum.The disease, which causes intestinal and bladder damage  The berries of the Ethiopian plant Phytolacca dodecandra have proved effective in clearing stretches of waterways of snails  Spirostanol saponins, as found in Balanites aegyptica are potent molluscicides.  Other phytochemical groups of compounds having recognized molluscicidal activity are isobutylamides of the Asteraceae, utaceae and Piperaceae,