Embed presentation
Download to read offline









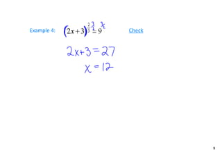
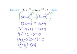
This document provides steps for solving power equations: 1) isolate the variable by raising both sides of the equation to the reciprocal of the power, 2) simplify and solve, 3) check for extraneous solutions using a graphing calculator to find where the left and right sides of the equation intersect. It includes examples of solving various power equations and checking solutions.








