CurriculumVitae
Ajaya Raghava Karimbalappu
770-899-5929
ajaya.karimbalappa@wipro.com
SUMMARY:
 9+ years of IT experience in client facing projects in Wipro Technologies in Application
development and support Projects.
 Currently working as a Programmer Analyst.
 4+ years of experience in Oracle PL/SQL development,
 2+ year of experience on Java, Java script and Shell scripting.
 Workedextensivelyon Axiom systems products ( now knows as Cisco Prime Order fulfillment
 Worked on telecom OSS/BSS projects.
 Worked on telecom COTS products such as AXIOM and Singl.eView.
 Open to switch to any technology and very eager to learn new technology.
 Strong ability to adapt quickly to the growing needs of IT industry
 Have done Oracle and Weblogic installation in Dev, QA and Production environment.
 Worked in multi capacities as individual and in Groups with good communication and
technical skills. Strong Inter-personal, Organizational and Communication skills.
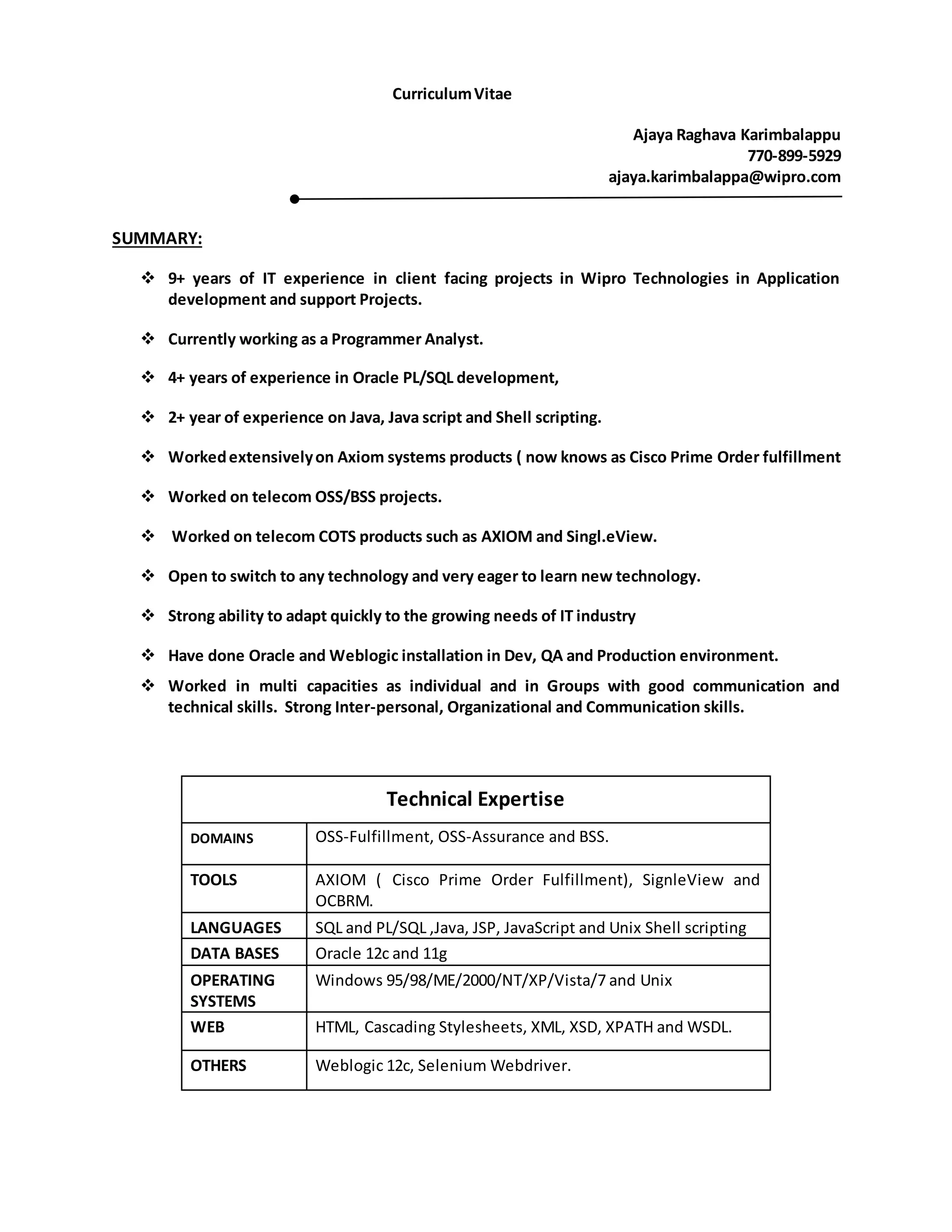
Technical Expertise
DOMAINS OSS-Fulfillment, OSS-Assurance and BSS.
TOOLS AXIOM ( Cisco Prime Order Fulfillment), SignleView and
OCBRM.
LANGUAGES SQL and PL/SQL ,Java, JSP, JavaScript and Unix Shell scripting
DATA BASES Oracle 12c and 11g
OPERATING
SYSTEMS
Windows 95/98/ME/2000/NT/XP/Vista/7 and Unix
WEB HTML, Cascading Stylesheets, XML, XSD, XPATH and WSDL.
OTHERS Weblogic 12c, Selenium Webdriver.
P R O F E S S I O N A L E X P E R I E N C E
1. Intelsat
Description To meet evolvingcustomer requirements, Intelsatare embarking on a project
to upgrade the legacy ATM Network and associated backend systems into an
IP based network design. Intelsat,the leadingprovider of fixed satellite
services,has partnered with Cisco to transformthe existingnetwork and
network infrastructureinto an IP/MPLS-based NGN to enable efficiencies as
well as the opportunity to offer new network services.
Role Programmer Analyst
Skills Cisco Primefulfillment(Previously knows as Axiossis fromAXIOM), PL/SQL,
Java Script,XML/CSS, OSS, TortoiseSVN , IP/MPLS and Shell scripting.
Contribution  Worked at Customer’s site(Reading, UK) initially to rampup the
required skill for the project.
 Developed/Worked on different modules in the project usingPL/SQL
and Cisco Primefulfillmentspecific APIs.
 GUI development usingJavascriptand Jquery
 Written business logic for new GUI usingJava and Servlets.
 Release management on UAT and production system. Such as
creatingthe build from the development environment and installing
it on UAT or Production.
 Trained end customer in USA on the product.
 Logical and network resources design in serviceinventory.
 Development of complex scriptwhich completely eliminates the
manual intervention from human.
 Workflowdesign using Cisco’s PrimeOrder Fulfillment O2S.
 Inventory design usingCisco’s PrimeOrder Fulfillment ASI.
 Written various SQLscripts proactively to make the tasks easier.
 Contributed in Internal testing.
 Supported duringQA testing and regression testing.
 Supported duringUAT.
 Did bug fixingpost-productiongusingvarioustechnologies such as
Java,Javascript,PL/SQL, HTML, CSS ,Servlets and Shell scripting.
Start Date January 2012
End Date January 2016
Team Size 12
2. Cox communications
Description The overall goal of this projectis to improve the order processing,
engineering design and activation processes.Thecurrent Service Order
fulfillmentprocess involves numerous systems and processes thatmake it
inefficientand error prone.
This projectwill improvethe flow of data between the systems that support
the servicedesign, inventory, configuration,activation,testingand
monitoringto eliminatemanual processes and driveautomation to the
maximum extent possible
Role Programmer Analyst
Skills Cisco Primefulfillment(Previously knows as Axiossis),PL/SQL, Oracle12c,
Weblogic 12c,Redhat Linux, Selenium Webdriver, Java and Shell scripting.
Contribution  Automated few WebGUI test cases with Selenium Webdriver using
Java
 .Installed Oracle12c,Weblogic 12 and Cisco’s Primeorderfulfillment
on multipleDevelopment ,QA, Production and Staging environment.
 Troubleshootingall issues related to different environment and
providinga workaround if necessary.
 Writingdifferent SQL or Unix shell scriptto automate few manual
work.
Start Date February 2016
End Date Present
Team Size 18
3. Vodafone-NSU
Description Vodafone NSU has embarked on a strategic transformation of its operations
for moving its Order-to-Assurancefunction from a ‘technology’ basis to a
‘service’ basis.This requires havinga centralized systemfor the inventory.
Aim of the projectis to bring the entire inventory (physical,logical and
service) from each Local NSU into the centralized NSU Inventory system.
Role Developer
Skills PL/SQL, Oracle11g,Unix,Cramer 8.1, EclipseMetadata manager plugin
Contribution  Development of PL/SQL, APIs/Packages for Cramer’s Wizard module.
 Developed PL/SQL procedures for namingconvention and business
logic.
 Creation of device specification for the different vendors such as,
Cisco,Juniper and Alcatel.
 Learned a new tool called Metadata manager and did a knowledge
transformation for the entire Vodafone NSU team.
 Modeling of device accordingto the created specification using
Eclipse’Metadata manager.
Start Date August 2011
End Date December 2011
Team Size 12
3. GM Onstar
Description This product is a GPS device for vehiclesecurity communications and
diagnosticssystemavailableon GM cars.This provides subscription-based
communications in-vehiclesecurity ,hands free calling,map navigation and
emergency call management duringany catastrophe.The Wipro is partnered
with Intec to design,develop and test the BRM related activities on this GPS
device.
Role Tester
Skills Signl.eView, Remedy, SOAP UI, SQL
Contribution  Wroked at Client place(Intec) for 5 months.
 Wrote test cases for Customer module duringSystem testing phase.
 Executed test cases for Customer accountmanagement, Product
management, Revenue assuranceand Security.
 Reviewed test cases.
Start Date 17th March 2010
End Date 10th September 2010
Team Size 22
4. COE (Central of Excellence)
Description Number management system (NMS) is a project on managingthe mobile
numbers for both prepaid and postpaid customers accordingto the customer
requirement.
Role Developer
Skills C, Unix, SQL
Contribution  Trained a group of freshers on SQL and PL/SQL.
 Designed SRS and LLD for the number management system module.
 Developed the module usingC and Unix script.
Start Date Aug 2009
End Date Oct 2009
Team Size 12
5. Temps Phase-3
Description The project aims buildinga new telecom inventory system for Telia Sweden
customer usingOSS product Amdocs Cramer. Cramer is a COTS product which
can be customized accordingto the requirement, usingJava/J2EE and PL/SQL.
Role Developer
Skills OracleDatabase10g,PL/SQL, Unix ,Java/J2EE
Contribution  Development ofCramer APIs usingPL/SQL
 Application Enhancement by creatingFunctions,Procedures.
 Modeling and testing of device in Cramer environment.
 Defect fixingfor Webreport module.
Start Date 28th Aug 2008
End Date 16th March 2009
Team Size 10
6. Terminal Capabilities Repository Project
Description A Terminal Capability Repository (TCR) that keeps information about the
capabilities of the handset, how to identify the handset (for both automatic
and specifically requested settings),and relevant protocol for OTA (Over the
Air) provisioning of device settings. The TCR is a vital element of the Smart
Trust Device Management system. The TCR is the data repository in the
system that contains information for each handset. It holds the information
required for successfully provisioning the subscriber handset. The TCR
contains information for each phone model about TAC (identifier of phone
model) Supported OTA protocol Data carrier (e.g. GPRS) WAP version and
bookmark support MMS capability E-mail capability Internet capability
SyncML capability
Role Software Engineer
Skills Oracle9i,PL/SQL,SQL, TOAD and Test Director.
Contribution  Databasemaintenance: New TAC (Type Allocation Codeof the
mobile) codes will beimported into databsetables by the client.Our
rolewas to ensure that data in the databaseis consistentafter the
change. Maintaining
 PL/SQL API development for the TCR.
 Regression Testing of terminals:The handsets are tested to ensure
that any bugs have been fixed and that no other previously working
functions have failed as a resultof there parations and that newly
added features have not created problems with previous versions of
the software. We accomplish this by testingthe terminals usingMy
Service Portal and updatingthe test results in the Test Director.
 Worked on minor development and bug fixingin the application.
Start Date 22nd Jan 2007
End Date 25th June 2008
Team Size 2

Ajaya_resume

  • 1.
    CurriculumVitae Ajaya Raghava Karimbalappu 770-899-5929 ajaya.karimbalappa@wipro.com SUMMARY: 9+ years of IT experience in client facing projects in Wipro Technologies in Application development and support Projects.  Currently working as a Programmer Analyst.  4+ years of experience in Oracle PL/SQL development,  2+ year of experience on Java, Java script and Shell scripting.  Workedextensivelyon Axiom systems products ( now knows as Cisco Prime Order fulfillment  Worked on telecom OSS/BSS projects.  Worked on telecom COTS products such as AXIOM and Singl.eView.  Open to switch to any technology and very eager to learn new technology.  Strong ability to adapt quickly to the growing needs of IT industry  Have done Oracle and Weblogic installation in Dev, QA and Production environment.  Worked in multi capacities as individual and in Groups with good communication and technical skills. Strong Inter-personal, Organizational and Communication skills. Technical Expertise DOMAINS OSS-Fulfillment, OSS-Assurance and BSS. TOOLS AXIOM ( Cisco Prime Order Fulfillment), SignleView and OCBRM. LANGUAGES SQL and PL/SQL ,Java, JSP, JavaScript and Unix Shell scripting DATA BASES Oracle 12c and 11g OPERATING SYSTEMS Windows 95/98/ME/2000/NT/XP/Vista/7 and Unix WEB HTML, Cascading Stylesheets, XML, XSD, XPATH and WSDL. OTHERS Weblogic 12c, Selenium Webdriver.
  • 2.
    P R OF E S S I O N A L E X P E R I E N C E 1. Intelsat Description To meet evolvingcustomer requirements, Intelsatare embarking on a project to upgrade the legacy ATM Network and associated backend systems into an IP based network design. Intelsat,the leadingprovider of fixed satellite services,has partnered with Cisco to transformthe existingnetwork and network infrastructureinto an IP/MPLS-based NGN to enable efficiencies as well as the opportunity to offer new network services. Role Programmer Analyst Skills Cisco Primefulfillment(Previously knows as Axiossis fromAXIOM), PL/SQL, Java Script,XML/CSS, OSS, TortoiseSVN , IP/MPLS and Shell scripting. Contribution  Worked at Customer’s site(Reading, UK) initially to rampup the required skill for the project.  Developed/Worked on different modules in the project usingPL/SQL and Cisco Primefulfillmentspecific APIs.  GUI development usingJavascriptand Jquery  Written business logic for new GUI usingJava and Servlets.  Release management on UAT and production system. Such as creatingthe build from the development environment and installing it on UAT or Production.  Trained end customer in USA on the product.  Logical and network resources design in serviceinventory.  Development of complex scriptwhich completely eliminates the manual intervention from human.  Workflowdesign using Cisco’s PrimeOrder Fulfillment O2S.  Inventory design usingCisco’s PrimeOrder Fulfillment ASI.  Written various SQLscripts proactively to make the tasks easier.  Contributed in Internal testing.  Supported duringQA testing and regression testing.  Supported duringUAT.  Did bug fixingpost-productiongusingvarioustechnologies such as Java,Javascript,PL/SQL, HTML, CSS ,Servlets and Shell scripting. Start Date January 2012 End Date January 2016 Team Size 12
  • 3.
    2. Cox communications DescriptionThe overall goal of this projectis to improve the order processing, engineering design and activation processes.Thecurrent Service Order fulfillmentprocess involves numerous systems and processes thatmake it inefficientand error prone. This projectwill improvethe flow of data between the systems that support the servicedesign, inventory, configuration,activation,testingand monitoringto eliminatemanual processes and driveautomation to the maximum extent possible Role Programmer Analyst Skills Cisco Primefulfillment(Previously knows as Axiossis),PL/SQL, Oracle12c, Weblogic 12c,Redhat Linux, Selenium Webdriver, Java and Shell scripting. Contribution  Automated few WebGUI test cases with Selenium Webdriver using Java  .Installed Oracle12c,Weblogic 12 and Cisco’s Primeorderfulfillment on multipleDevelopment ,QA, Production and Staging environment.  Troubleshootingall issues related to different environment and providinga workaround if necessary.  Writingdifferent SQL or Unix shell scriptto automate few manual work. Start Date February 2016 End Date Present Team Size 18 3. Vodafone-NSU Description Vodafone NSU has embarked on a strategic transformation of its operations for moving its Order-to-Assurancefunction from a ‘technology’ basis to a ‘service’ basis.This requires havinga centralized systemfor the inventory. Aim of the projectis to bring the entire inventory (physical,logical and service) from each Local NSU into the centralized NSU Inventory system. Role Developer Skills PL/SQL, Oracle11g,Unix,Cramer 8.1, EclipseMetadata manager plugin
  • 4.
    Contribution  Developmentof PL/SQL, APIs/Packages for Cramer’s Wizard module.  Developed PL/SQL procedures for namingconvention and business logic.  Creation of device specification for the different vendors such as, Cisco,Juniper and Alcatel.  Learned a new tool called Metadata manager and did a knowledge transformation for the entire Vodafone NSU team.  Modeling of device accordingto the created specification using Eclipse’Metadata manager. Start Date August 2011 End Date December 2011 Team Size 12 3. GM Onstar Description This product is a GPS device for vehiclesecurity communications and diagnosticssystemavailableon GM cars.This provides subscription-based communications in-vehiclesecurity ,hands free calling,map navigation and emergency call management duringany catastrophe.The Wipro is partnered with Intec to design,develop and test the BRM related activities on this GPS device. Role Tester Skills Signl.eView, Remedy, SOAP UI, SQL Contribution  Wroked at Client place(Intec) for 5 months.  Wrote test cases for Customer module duringSystem testing phase.  Executed test cases for Customer accountmanagement, Product management, Revenue assuranceand Security.  Reviewed test cases. Start Date 17th March 2010 End Date 10th September 2010 Team Size 22
  • 5.
    4. COE (Centralof Excellence) Description Number management system (NMS) is a project on managingthe mobile numbers for both prepaid and postpaid customers accordingto the customer requirement. Role Developer Skills C, Unix, SQL Contribution  Trained a group of freshers on SQL and PL/SQL.  Designed SRS and LLD for the number management system module.  Developed the module usingC and Unix script. Start Date Aug 2009 End Date Oct 2009 Team Size 12 5. Temps Phase-3 Description The project aims buildinga new telecom inventory system for Telia Sweden customer usingOSS product Amdocs Cramer. Cramer is a COTS product which can be customized accordingto the requirement, usingJava/J2EE and PL/SQL. Role Developer Skills OracleDatabase10g,PL/SQL, Unix ,Java/J2EE Contribution  Development ofCramer APIs usingPL/SQL  Application Enhancement by creatingFunctions,Procedures.  Modeling and testing of device in Cramer environment.  Defect fixingfor Webreport module. Start Date 28th Aug 2008 End Date 16th March 2009 Team Size 10
  • 6.
    6. Terminal CapabilitiesRepository Project Description A Terminal Capability Repository (TCR) that keeps information about the capabilities of the handset, how to identify the handset (for both automatic and specifically requested settings),and relevant protocol for OTA (Over the Air) provisioning of device settings. The TCR is a vital element of the Smart Trust Device Management system. The TCR is the data repository in the system that contains information for each handset. It holds the information required for successfully provisioning the subscriber handset. The TCR contains information for each phone model about TAC (identifier of phone model) Supported OTA protocol Data carrier (e.g. GPRS) WAP version and bookmark support MMS capability E-mail capability Internet capability SyncML capability Role Software Engineer Skills Oracle9i,PL/SQL,SQL, TOAD and Test Director. Contribution  Databasemaintenance: New TAC (Type Allocation Codeof the mobile) codes will beimported into databsetables by the client.Our rolewas to ensure that data in the databaseis consistentafter the change. Maintaining  PL/SQL API development for the TCR.  Regression Testing of terminals:The handsets are tested to ensure that any bugs have been fixed and that no other previously working functions have failed as a resultof there parations and that newly added features have not created problems with previous versions of the software. We accomplish this by testingthe terminals usingMy Service Portal and updatingthe test results in the Test Director.  Worked on minor development and bug fixingin the application. Start Date 22nd Jan 2007 End Date 25th June 2008 Team Size 2