Download free for 30 days
Sign in
Upload
Language (EN)
Support
Business
Mobile
Social Media
Marketing
Technology
Art & Photos
Career
Design
Education
Presentations & Public Speaking
Government & Nonprofit
Healthcare
Internet
Law
Leadership & Management
Automotive
Engineering
Software
Recruiting & HR
Retail
Sales
Services
Science
Small Business & Entrepreneurship
Food
Environment
Economy & Finance
Data & Analytics
Investor Relations
Sports
Spiritual
News & Politics
Travel
Self Improvement
Real Estate
Entertainment & Humor
Health & Medicine
Devices & Hardware
Lifestyle
Change Language
Language
English
Español
Português
Français
Deutsche
Cancel
Save
Submit search
EN
Uploaded by
ekozoriz
111 views
Accelerated Motion
Education
◦
Read more
0
Save
Share
Embed
Embed presentation
Download
Download to read offline
1
/ 6
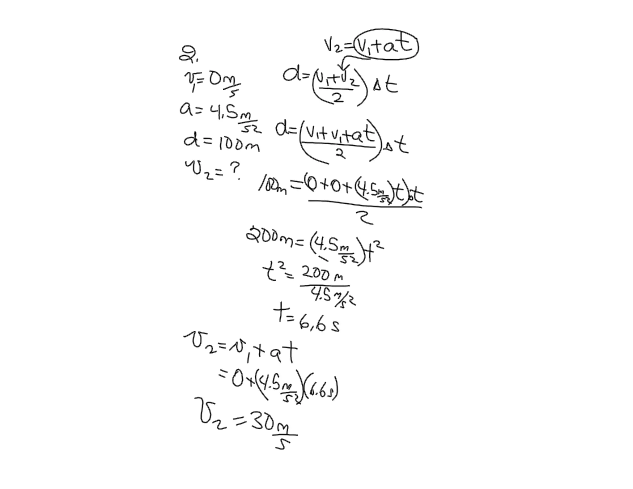
2
/ 6
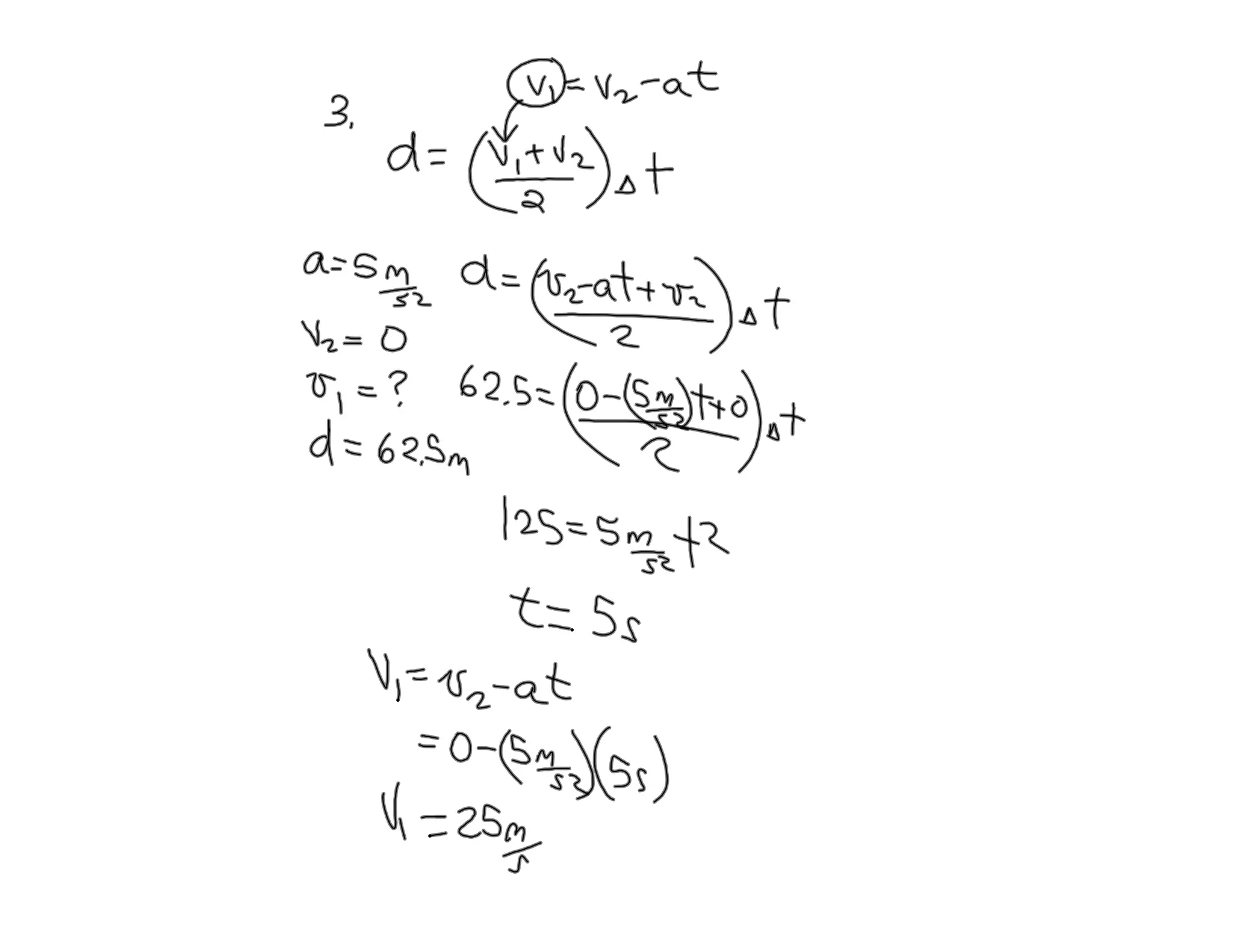
3
/ 6
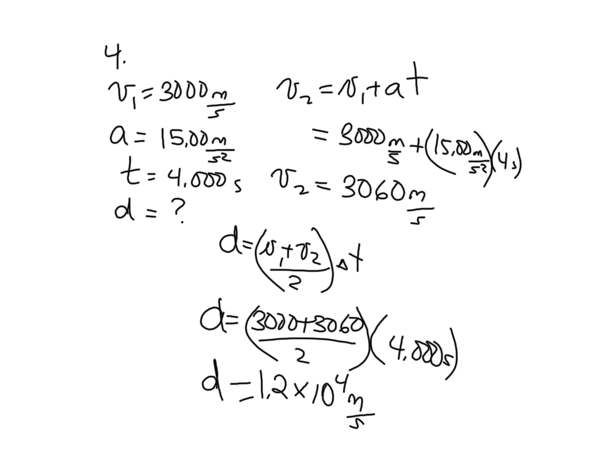
4
/ 6
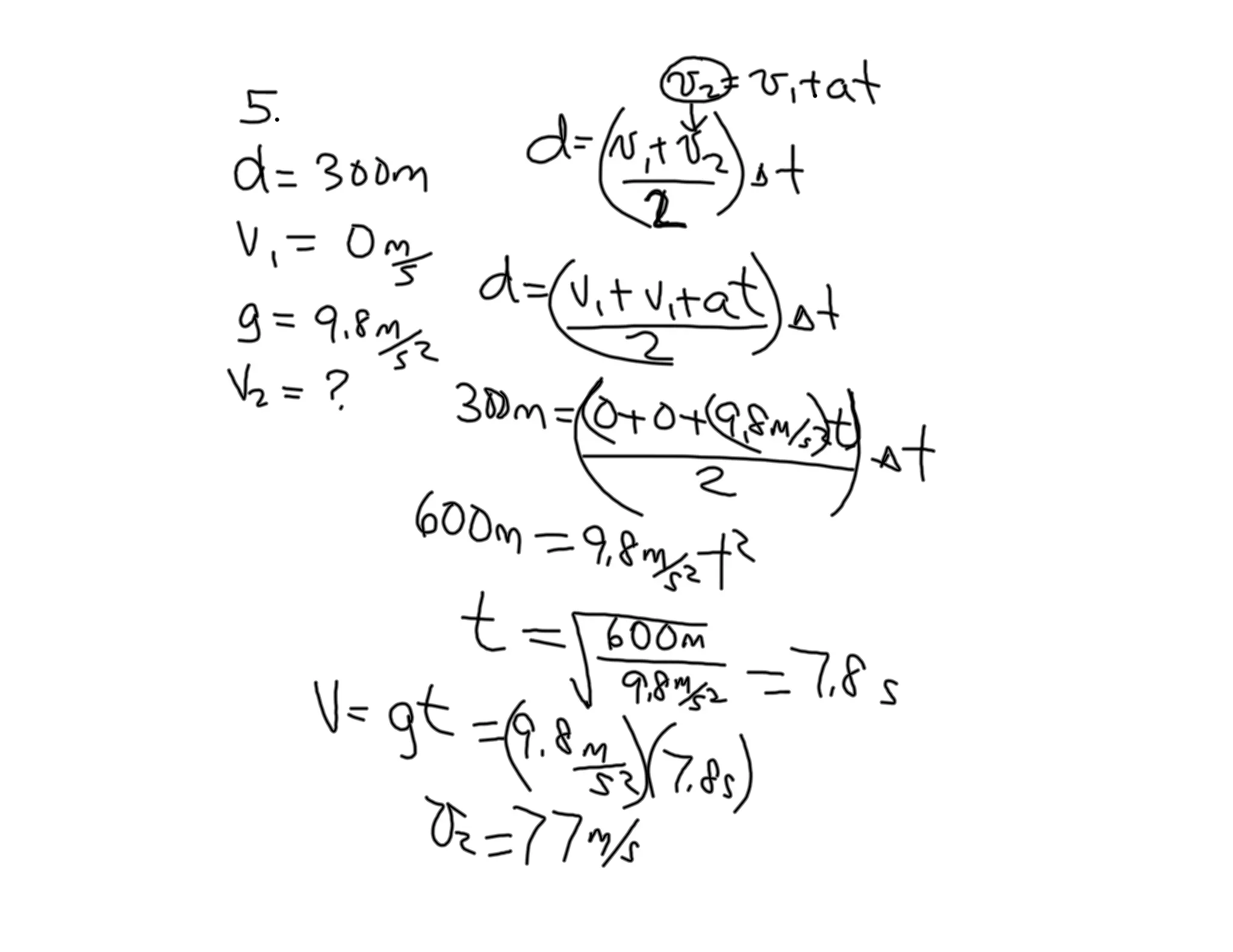
5
/ 6
6
/ 6
More Related Content
PPTX
Uniformly accelerated motion
by
PRINTDESK by Dan
PPT
Projectile motion
by
rezek mohammad
PPT
Physics 504 Chapter 10 Uniformly Accelerated Rectilinear Motion
by
Neil MacIntosh
PPT
Chap 2 linear kinematics
by
fatinshazwanirashid
PPTX
9 motion in a plane
by
felna00
PPT
Kinematics 2
by
yapshinn
PDF
Physics 6
by
M.T.H Group
DOC
LAP2009c&p103-ode1.5 ht
by
A Jorge Garcia
Uniformly accelerated motion
by
PRINTDESK by Dan
Projectile motion
by
rezek mohammad
Physics 504 Chapter 10 Uniformly Accelerated Rectilinear Motion
by
Neil MacIntosh
Chap 2 linear kinematics
by
fatinshazwanirashid
9 motion in a plane
by
felna00
Kinematics 2
by
yapshinn
Physics 6
by
M.T.H Group
LAP2009c&p103-ode1.5 ht
by
A Jorge Garcia
More from ekozoriz
DOC
Acctest2011answers
by
ekozoriz
PPT
Solutions Powerpoint
by
ekozoriz
PDF
Ch.19 ionic equilibria
by
ekozoriz
PDF
Ch.17 equilibriumproblems
by
ekozoriz
PDF
Ch.16 kinetics problems
by
ekozoriz
DOC
Chapter 18 back of the chapter answers
by
ekozoriz
PDF
Ch.13 solutions
by
ekozoriz
PDF
What is physics
by
ekozoriz
PDF
Coulomb's law
by
ekozoriz
PDF
Ch21 problems
by
ekozoriz
PDF
Momentum test
by
ekozoriz
PDF
Feb.14 vectors
by
ekozoriz
PDF
Ch.13 solutions problems
by
ekozoriz
PDF
Ch4 problems
by
ekozoriz
PDF
Lecture 26 solutions 1
by
ekozoriz
PDF
Ch21 electrochemistry
by
ekozoriz
PDF
Ch.16 problems
by
ekozoriz
PDF
Ch.13 problems 2
by
ekozoriz
PDF
Ch18 acids and bases
by
ekozoriz
PDF
Ch.16 end of chapter problems
by
ekozoriz
Acctest2011answers
by
ekozoriz
Solutions Powerpoint
by
ekozoriz
Ch.19 ionic equilibria
by
ekozoriz
Ch.17 equilibriumproblems
by
ekozoriz
Ch.16 kinetics problems
by
ekozoriz
Chapter 18 back of the chapter answers
by
ekozoriz
Ch.13 solutions
by
ekozoriz
What is physics
by
ekozoriz
Coulomb's law
by
ekozoriz
Ch21 problems
by
ekozoriz
Momentum test
by
ekozoriz
Feb.14 vectors
by
ekozoriz
Ch.13 solutions problems
by
ekozoriz
Ch4 problems
by
ekozoriz
Lecture 26 solutions 1
by
ekozoriz
Ch21 electrochemistry
by
ekozoriz
Ch.16 problems
by
ekozoriz
Ch.13 problems 2
by
ekozoriz
Ch18 acids and bases
by
ekozoriz
Ch.16 end of chapter problems
by
ekozoriz
Recently uploaded
PDF
Biology Practical Class 12th 2025 PDF(2)-2-52.pdf
by
SCPRPWomenCollegeChi
PPTX
Pain. definition, causes, factor influencing pain & pain assessment.pptx
by
Pompi Begum
PDF
The Tale of Melon City poem ppt by Sahasra
by
bitrasahasra
PDF
Projecte de la porta de la classe de primer A: Mar i cel.
by
eduardrubio1
PPTX
META-ANALYSIS INTERPRETATION, PUBLICATION BIAS AND GRADE ASSESSMENT.pptx
by
Systematic Reviews Network (SRN)
PPTX
Details of Epithelial and Connective Tissue.pptx
by
Ashish Umale
PPTX
3 G8_Q3_L3_ (Cartoon as Representation in Opinion Editorial Article).pptx
by
NorafeSahagun
PPTX
Pig- piggy bank in Big Data Analytics.ppt.pptx
by
Varshini M
PPTX
The Cell & Cell Cycle-detailed structure and function of organelles.pptx
by
Ashish Umale
PPTX
How to use search_read method in Odoo 18
by
Celine George
PPTX
Nursing Unit Management, patient care unit, physical layout of nursing unit,t...
by
yellow4878
PPTX
Access partner report in Odoo 18.2 _ Odoo 19
by
Celine George
PDF
The voice of the rain poem class 11th.pdf
by
Reeta Baral
PPTX
TAMIS & TEMS - HOW, WHY and THE STEPS IN PROCTOLOGY
by
John Thanakumar
PPTX
How to Create Lead_Opportunity From Odoo 18 Website
by
Celine George
PPTX
Basics in Phytochemistry, Extraction, Isolation methods, Characterisation etc.
by
D. Y. Patil College of Pharmacy, Kolhapur.
PDF
Toward Massive, Ultrareliable, and Low-Latency Wireless Communication With Sh...
by
Man_Ebook
PDF
Scalable-MADDPG-Based Cooperative Target Invasion for a Multi-USV System.pdf
by
Man_Ebook
PPTX
REVISED DEFENSE MECHANISM / ADJUSTMENT MECHANISM-FINAL
by
Shimla
PPTX
4 G8_Q3_L4 (Evaluating opinion editorials for textual evidence and quality).pptx
by
NorafeSahagun
Biology Practical Class 12th 2025 PDF(2)-2-52.pdf
by
SCPRPWomenCollegeChi
Pain. definition, causes, factor influencing pain & pain assessment.pptx
by
Pompi Begum
The Tale of Melon City poem ppt by Sahasra
by
bitrasahasra
Projecte de la porta de la classe de primer A: Mar i cel.
by
eduardrubio1
META-ANALYSIS INTERPRETATION, PUBLICATION BIAS AND GRADE ASSESSMENT.pptx
by
Systematic Reviews Network (SRN)
Details of Epithelial and Connective Tissue.pptx
by
Ashish Umale
3 G8_Q3_L3_ (Cartoon as Representation in Opinion Editorial Article).pptx
by
NorafeSahagun
Pig- piggy bank in Big Data Analytics.ppt.pptx
by
Varshini M
The Cell & Cell Cycle-detailed structure and function of organelles.pptx
by
Ashish Umale
How to use search_read method in Odoo 18
by
Celine George
Nursing Unit Management, patient care unit, physical layout of nursing unit,t...
by
yellow4878
Access partner report in Odoo 18.2 _ Odoo 19
by
Celine George
The voice of the rain poem class 11th.pdf
by
Reeta Baral
TAMIS & TEMS - HOW, WHY and THE STEPS IN PROCTOLOGY
by
John Thanakumar
How to Create Lead_Opportunity From Odoo 18 Website
by
Celine George
Basics in Phytochemistry, Extraction, Isolation methods, Characterisation etc.
by
D. Y. Patil College of Pharmacy, Kolhapur.
Toward Massive, Ultrareliable, and Low-Latency Wireless Communication With Sh...
by
Man_Ebook
Scalable-MADDPG-Based Cooperative Target Invasion for a Multi-USV System.pdf
by
Man_Ebook
REVISED DEFENSE MECHANISM / ADJUSTMENT MECHANISM-FINAL
by
Shimla
4 G8_Q3_L4 (Evaluating opinion editorials for textual evidence and quality).pptx
by
NorafeSahagun
Download