Typeset using L
A
TEX default style in AASTeX7.0.1
A Less Terrifying Universe? Mundanity as an Explanation for the Fermi Paradox
Robin H. D. Corbet1, 2, 3
1Center for Space Sciences and Technology, University of Maryland, Baltimore County, 1000 Hilltop Cir, Baltimore, MD 21250, USA
2X-ray Astrophysics Laboratory, Code 662 NASA Goddard Space Flight Center, Greenbelt Rd, Greenbelt, MD 20771, USA
3Maryland Institute College of Art, 1300 W Mt Royal Ave, Baltimore, MD 21217, USA
ABSTRACT
Applying a principle of “radical mundanity”, this paper examines explanations for the lack of strong
evidence for the presence of technology-using extraterrestrial civilizations (ETCs) in the Galaxy -
the Fermi paradox. With this principle, the prospect that the Galaxy contains a modest number of
civilizations is preferred, where none have achieved technology levels sufficient to accomplish large-scale
astro-engineering or lack the desire to do so. This consideration also leads to the expectation that no
ETC will colonize a large fraction of the Galaxy, even using robotic probes, and that there are no
long-duration high-power beacons. However, there is a reasonable chance that we may make contact
on a short, by historical standards, timescale. This event would be momentous, but could still leave
us slightly disappointed. Such a Universe would be less terrifying than either of the two possibilities
in the quote generally attributed to Arthur C. Clarke on whether we are alone or not. Also, if there is
a modest number of ETCs in the Galaxy, that would suggest that there is a large number of planets
with some form of life.
Keywords: Technosignatures, Search for extraterrestrial intelligence, Astrophysics - Instrumentation
and Methods for Astrophysics
1. INTRODUCTION
Science fiction author Arthur C. Clarke is purported to have said: “Two possibilities exist: either we are alone in
the Universe or we are not. Both are equally terrifying”.4
Here the idea is explored that the truth may lie between
Clarke’s two terrifying alternatives in a rather more mundane, and so less terrifying, Universe.
“Modest” assumptions fed into the Drake equation can predict a reasonable number of extraterrestrial civilizations
(ETCs) within the Galaxy, and it has been proposed that it would take a relatively short time (astronomically speaking)
for a civilization to spread across the entire Galaxy (e.g. Hart 1975). It is expected that Galaxy-spanning civilizations
would be seen via technosignatures that might include: (i) detection of an artificial electromagnetic beacon; (ii) signs of
astro-engineering such as waste heat from Dyson spheres (Stapledon 1937; Dyson 1960); (iii) extraterrestrial artifacts
on the Earth or other bodies in the solar system from previous visitations; (iv) direct evidence of extraterrestrials
currently on the Earth itself. However, so far there has not been a definite detection from any such search. The
absence of detections from the Search for Extraterrestrial Intelligence (SETI) has been termed the “Great Silence”
(e.g. Brin 1983; Cirkovic 2018). More generally, the lack of detection of electromagnetic signals or alien artifacts,
given the predicted short time for an ETC to colonize the entire Galaxy, is termed the Fermi paradox (Sagan 1963;
Shklovsky & Sagan 1966).5
There have been a number of attempts to explain the Fermi paradox (e.g. Brin 1983), with several of these involving
rather extreme explanations such as humanity being kept in a celestial zoo (e.g. Crawford & Schulze-Makuch 2024, and
references therein) or that aliens have transcended to a form where they can no longer be recognized (e.g. Tsiolkovsky
1932; Smart 2012). On the other hand, some authors, such as Tipler (1980), consider the Great Silence as indicating
that extraterrestrial civilizations do not exist.
4 The origin of this statement is unclear, and may well not be due to Clarke. See e.g. https://quoteinvestigator.com/2020/10/22/alone/
5 But note that Gray (2015) claims that it is neither a paradox nor Fermi’s. In addition, Tarter et al. (2010) and Wright et al. (2018)
have argued that SETI searches have only explored a small region of parameter space.
arXiv:2509.22878v1
[astro-ph.IM]
26
Sep
2025
2
The goal of this paper is to consider not especially exciting solutions to the Fermi paradox, based on the concept
that the most mundane explanation(s), if physically feasible, is/are most likely to be correct. This follows from the
Copernican mediocrity principle, where humanity does not occupy a special place in the Universe.
This paper first presents a consideration of how technology levels can be quantified, and what the consequences of
ETCs with high technology levels might be. This is followed by a mundane perspective on limits to technological
development, and how this can impact both what technosignatures could be found, and how such limits may affect
the motivations for an extraterrestrial technological civilization to explore the Galaxy for other such civilizations.
This paper then gives a brief selective review of searches for technosignatures, including some controversial claimed
detections, and how these fit into the mundane view.
2. QUANTIFYING TECHNOLOGY LEVELS
A common way that the SETI community discusses the technology level that could be achieved by an ETC is in
terms of the Kardashev scale (Kardashev 1964). A Type I civilization uses all the energy available on a planet. A
Type II civilization accesses all the energy emitted by a star, likely due to some variant of a Dyson sphere. Type III
civilizations can control all energy emitted by a galaxy. Sagan (1973) proposed that these should correspond to 1023
,
1033
, and 1043
ergs s−1
, respectively, with the Earth being approximately 0.72 on this scale. For a Type II civilization,
significant astro-engineering such as a Dyson sphere is likely required. It is less clear how a Type III civilization could
exist, except perhaps by constructing Dyson spheres around most stars in a galaxy.
The Kardashev scale has limitations in that it only considers power utilization and no other facets of development.
Other proposed scales include Sagan’s, based on information storage (Sagan 1973), and Barrow’s, based on how small
a scale objects can be manipulated (Barrow 1998). Other characterizations might involve the maximum spacecraft
velocity achieved6
or the intelligence level attained by computer systems. For example, a Type I civilization would
have machines operating at the level of a single individual (artificial general intelligence or AGI), a Type II civilization
would have machines operating at the level of a planet’s total population, and a Type III civilization would have
machines operating at the combined intelligence level of the populations of a combined galaxy. This is much harder
to characterize given the difficulties involved in measuring intelligence (e.g. Hernández-Orallo 2017). For a civilization
where intelligence arises via stigmergy from a group (Theraulaz & Bonabeau 1999), rather than individuals, this is
even harder to quantify. Yet another measure of technological development might be extension of an organism’s life
span. But again, such a measure could well depend on the importance of individual organisms for a particular species.
Thus, although the Kardashev levels are a crude measure, there is no obvious better replacement.
Clearly, what might be expected to be achieved by a civilization with extremely advanced technology is speculation.
However, possibilities include undertaking astro-engineering projects such as constructing Dyson spheres, sending out
swarms of interstellar robotic probes, or constructing powerful beacons that could be detected across the Galaxy.
3. COLONIZING THE GALAXY
Even with current, or near-future, levels of technology, it may be possible for us to reach the nearest stars. With
present spacecraft speeds such as achieved by, for example, New Horizons7
, it would take ∼105
years to reach Prox-
ima Centauri. To reach higher speeds, Project Daedalus (Bond & Martin 1978) and its offshoot Project Icarus
(Swinney et al. 2011) examined using nuclear-fusion powered rockets for interstellar travel, with the theoretical po-
tential to reach 0.12 c. More recently, sending very small probes with solar sails powered by Earth-based lasers has
been proposed for Breakthrough Starshot (Parkin 2018) which could then reach Proxima Centauri on a timescale of
decades traveling at speeds of up to 0.2 c.
Thus, even with current technology, travel to the nearest stars may well be possible, even if exceptionally challenging
and extremely slow. However, even if it is technically feasible to colonize the entire Galaxy, at least using self-replicating
probes such as proposed by Hart (1975), for example, the colonizers will require a motivation to do this. The benefits
obtained must outweigh the cost and potential risks. Since it is unlikely that there would be much benefit from bringing
physical objects back, the benefits must come from the scientific knowledge acquired and then sent back to the home
planet(s).
Apart from sending out probes to explore the Galaxy, another possible motivation for interstellar travel would be if
the parent star of a civilization is reaching the end of its lifetime. However, Gertz (2020) argues that it is impossible
6 The current human technology record holder is the Parker Solar probe, achieving 6.4×10−4 c at perihelion
7 Approximately 2.8×10−5 c at Pluto
3
for a civilization to migrate away from a dying star and that instead the civilization will endeavor to survive around
the star at the end of its lifetime. But even if a civilization located around a star at the end of its lifetime does need
to emigrate to a different location, that does not necessarily lead to a broader expansion across the Galaxy. Further,
some white dwarfs may have a long-lived habitable zone (e.g. Zhan et al. 2024; Vanderburg et al. 2025; Barrientos et al.
2025), and a civilization thus might be able to continue to exist around the remnant of its parent star.
4. A MUNDANE PERSPECTIVE
Here it is considered how a “mundane” perspective may reflect on the Fermi paradox. The main focus is on finding
the least extreme situations that might explain this. The main premises are:
1. There is a limit to technological development of a civilization, particularly in energy consumption. Extraterres-
trial civilizations may be much more technologically advanced than contemporary Earth, but their technology
does not include significant leaps equivalent to harnessing electricity, or rely on as yet unknown laws of physics.
In this paper, this is termed a “mundane” technology level.
2. There is a modest number of extraterrestrial civilizations that are at around this limit in the Milky Way Galaxy.
Note that if our own civilization was unique in the Galaxy, this would imply that we are extraordinary, and
so this would not be a mundane explanation and it would not be consistent with the Copernican mediocrity
principle.
The next sections consider the justification for these premises, and what their consequences would be.
4.1. Fundamental Limits to Technological Development - Extraterrestrial Civilizations with Fairly Mundane
Technology
How far can technology continue to develop? A lot of seminal papers on SETI were produced during the twentieth
century during times of rapid scientific discovery and technological development (e.g. Mowery & Rosenberg 1999). In
modern science there are several major known unknowns. These include the nature of dark matter and dark energy,
the asymmetry between matter and anti-matter, and how to unify quantum mechanics with general relativity. Given
that dark energy, for example, was identified very recently, it can be expected that there is also an unknown number
of unknown unknowns in science still remaining to be discovered. Nevertheless, it is unclear what the impacts of the
resolution of these key scientific questions would be. The scientific advances in understanding thermodynamics and
electromagnetism had huge impacts on technology. Could any of the unknown unknowns have a comparable impact?
For example, if dark matter is determined to consist of WIMPs (Weakly Interacting Massive Particles) or axion-like
particles as speculated, there is no clear way to incorporate that understanding into new technologies.
Currently there is a lot of debate regarding the development of artificial intelligence (AI), even if such systems appear
far from artificial general intelligence (AGI). While a technological singularity has been predicted by some (e.g. Vinge
1993), this may not occur. Or, if it does, it will affect the virtual world far more significantly than the physical world.
There are some indications that technological and engineering changes may already be becoming more modest.
Park et al. (2023) argued that papers and patents are becoming less “disruptive” over time. Some have noted a slowing
down of Moore’s law (e.g. Lundstrom & Alam 2022; Theis & Wong 2017). Ramifications may be seen in the flattening
of the growth rate of “Top 500” supercomputer list.8
Even if this is just a temporary slowdown in technological
progress, a fundamental limit would eventually be reached. Also, as an additional constraint, Haqq-Misra & Baum
(2009) and Mullan & Haqq-Misra (2019) argue that sustainability places limits on the growth of civilizations, and
Haqq-Misra et al. (2025) propose that stellar luminosity and mass provide a limit in the absence of very advanced
technology.
On the relatively near-term horizon, it should be possible to generate power via controlled nuclear fusion (e.g.
Sadik-Zada et al. 2024). However, per capita energy usage in the United States has declined since 1979.9
Thus, there
may be no strong driver that compels a civilization with a fairly stable population level to move much further along
the Kardashev scale.
8 https://top500.org/statistics/perfdevel/
9 https://data.worldbank.org/indicator/EG.USE.PCAP.KG.OE?locations=US
4
4.1.1. Implications of Technology Limits: Large-Scale Astro-Engineering is Impossible or Pointless or Both
For the construction of large-scale astro-engineering projects that would be detectable by us, the extraterrestrial
civilization requires both means and motive. The most commonly discussed such project would be the construction of
a Dyson sphere or ring (Niven 1970). These will not exist if either the incredible technology needed to construct one
cannot exist, or if there is simply no need to have access to so much power. At lower technology levels, terra-forming
a planet (e.g. Williamson 1942; Sagan 1961; Day 2021) could be possible, but would not necessarily be obvious as an
artifact to a distant observer.
4.1.2. Implications of Technology Limits: No Long-Duration High-Power Beacons Co-located with a Civilization
The case for a civilization maintaining a high-power signal to attempt to contact other civilizations for durations of
time long enough for those civilizations to emerge is particularly challenging to justify. The transmitter would require
substantial amounts of power for likely very long periods of time. This would make it very expensive, unless located in
some place where the energy would not otherwise be useful for the civilization. If the duration of operation approaches
the travel time across the Galaxy, then why not send probes instead of signals, since the probes can return other types
of information? An exception to this constraint could be if the beacon is not co-located with the civilization. In this
case the power cost of the beacon would not be an issue as that power could not be used for other purposes. Even in
this case, it is not clear that there would be much motivation to operate a beacon for millions or billions of years.
4.2. A Modest, Non-Zero, Number of Extraterrestrial Technological Civilizations
The mundane view of how common technology using civilizations are in the Galaxy would be that they are neither
extremely rare, nor extremely common. This is consistent with the proposition by von Hoerner (1961) as a basic
assumption on other civilizations: “Anything seemingly unique and peculiar to us is actually one out of many and is
probably average”. Most stars in the Galaxy are M type, which are ∼10 times more common than G-type stars (e.g.
Ledrew 2001) such as our own G2V Sun. The mundane paradigm would tell us that these can’t be hospitable for the
development of technological civilizations, otherwise the Galaxy would likely be swarming with these. On the other
hand, G-type stars are not that rare, if a technological civilization could only develop around early O stars then they
would be extremely uncommon.
There are several M-type stars at reasonable distances from the Earth that are known to host planets
including the nearest extra-solar star Proxima Centauri that has a planet (“b”) within the habitable zone
(Anglada-Escudé et al. 2016). Barnard’s Star, the fourth nearest star to the Sun, has at least four planets orbit-
ing it (González Hernández et al. 2024; Basant et al. 2025), although none lie in the habitable zone. It is anticipated
that we may be able to search for signs of life on nearby exoplanets in the relatively near future with missions such as
the Habitable Worlds Observatory (HWO, e.g. Mamajek & Stapelfeldt 2024). The principal problems for life around
M stars are primarily intense stellar flares (e.g. France et al. 2016), and the tidal locking for a planet in the habitable
zone of its revolution and rotation periods (e.g. Barnes 2017). Indeed, initial searches for an atmosphere on planets
b and c around the M8V star TRAPPIST-1 with the James Webb Space Telescope have not been very promising
(Gillon et al. 2025).
4.2.1. Limits to Galactic Colonization, Even by Robots
For significant colonization or exploration of the Galaxy by sending probes to almost all star systems would again
have to have benefits that outweigh the costs. Or, in terms of Keynes’ “animal spirits”, greed must overcome fear
(Keynes 1936). Robotic exploration should be far cheaper, particularly if self-replicating von Neumann probes (Freitas
1980) are sent, where only a few initial probes need to be sent out. The benefits depend on whether much is learned
from each in situ exploration of a star system. Probably not much new scientific information would be provided by
directly visiting, for example, many thousands of M stars, let alone billions. The cost would then be that of the
initial launch, which potentially is not too great amortized over the entire lifetime of the civilization. However, there
may be dangers in creating a vast number of (probably) intelligent devices. This is the “Berserker” hypothesis of
deadly probes as described in the science fiction novels of Fred Saberhagen and discussed by, for example, Brin (1983)
and citetCirkovic2009. While the concept of Berserker probes may be extreme, the fear of this happening can be
regarded as unexceptional. Indeed, this is something that concerns contemporary society with the development of AI
- see for example Bostrom (2014), Amodei et al. (2016), Joy (2020), and Müller & Bostrom (2025). In the mundane
perspective, where other civilizations, are not that much more advanced, a limit to exploration would arise when it
5
was found that not much new was found from each encounter or other costs are incurred. In this case the benefit to
risk ratio would decrease with each encounter and the passage of time.
4.3. Life in a Mundane Galaxy, and Robustness
In the proposed mundane Milky Way scenario, there will be a certain number of ETCs. As their technology develops
they will reach a plateau in this development. For the Earth, the definition of the start of extensive advanced technology
development is somewhat arbitrary, but could be taken as the start of the industrial revolution in around 1760 or the
identification of radio waves in the 1880s. If the typical lifetime of ETCs is ≫ the duration of technology use by
humans to date, essentially all ETCs will be at this plateau technology level. This will be ≪ than Kardashev II, and
there will be no “magic” technology such as faster-than-light travel. Some fraction, perhaps all of them, will start to
consider whether they are alone in the Galaxy, and commence some type of search, perhaps also starting with radio.
They will likely initially encounter a Great Silence. Whether this persists as larger collecting area radio telescopes
are constructed will depend on whether the typical distance between ETCs is much larger than the distance over
which electromagnetic signals not deliberately constructed as beacons would be detected. Then, they could potentially
consider sending out robotic probes.
It must also be considered how robust the concept of mundanity is. That is, is it plausible that all ETCs, which may
well have very different biologies and social systems all undergo the same limits and constraints? The technological
growth limits are based on the limits to which a knowledge of science allows a manipulation of the physical world. In
this case if a limit does exist, it should apply to all ETCs, no matter their nature. The number of technological ETCs
in the Galaxy is simply what it is. For a modest number of ETCs, the loosest constraints would be ≫ 1 and ≪ 1011
,
and perhaps ≪ 1010
if we exclude M-type stars. Somewhat arbitrarily taking the mean logarithmically would give
∼105
ETCs in the Galaxy. The weakest link in the mundanity argument may be that we require a sufficient density of
ETCs to halt interstellar exploration, or that all Galactic ETCs do not wish to send out self-replicating probes. Here
the proposed primary limiting factor for this is that after encountering a certain number, Nennui of other ETCs are at
the same technology plateau, the cost (in terms of the probes going “berserk” and the long time taken to find another
ETC) is not worth the marginal gains from encountering additional ETCs. This effect could be compared to the
concept of habituation where a creature’s response to a repeated stimulus diminishes (e.g. Rankin et al. 2009). Also,
encounters between different ETCs may occur before any self-replicating probes are constructed if plateau, or lower,
technology can detect leakage radiation from neighboring ETCs. For example, the Square Kilometre Array (SKA,
e.g. Dewdney et al. 2009) and the next-generation Very Large Array (ngVLA, e.g. Selina et al. 2018) are presently
under construction and they will give major gains to the sensitivity of radio searches (Siemion et al. 2015; Ng et al.
2022). Indeed the SKA might be able to detect an Earth analog of distances up to 200pc (Loeb & Zaldarriaga 2007)
and planetary radar might be detected out to distances of kiloparsecs (Sheikh et al. 2025). Even more sensitive radio
telescopes beyond these are technologically possible, if expensive (e.g. Silk 2025). If plateau-level technology is a bit
boring to others already at that level, it means our pre-plateau technology civilization is of even less interest. Also, if
life in general is rather commonplace, the biological ecosystem will be similar to that on many other planets. Hence,
in this model reports of UFOs/UAPs are unlikely to be due to extraterrestrial visitors to the Earth. Thus the barriers
to more wide-spread exploration by probes are fear of what the probes may become, and boredom in what they are
finding. The mundanity hypothesis can certainly be disproved by the discovery of an ETC’s beacon, a Dyson sphere
or other astro-engineering, or the presence in the solar system of an ETC artifact.
4.4. Illustrative Estimates of Constrained Robotic Probe Exploration
If detection of other plateau-level ETCs via leakage radiation is common, then it is expected that robotic exploration
would be unusual. However, if that is not the case then how would mundanity affect this exploration?
To obtain some rough estimates, a toy model is used which has a total of NMW technology plateau-level ETCs
evenly distributed throughout the Milky Way’s disc in an equilibrium such that ETC birth rate equals the death rate.
A simple model of the Milky Way has radius, rMW , of 17.5 kpc, and a height, hMW , of 300 pc with “hard edges” and
a uniform distribution of ETCs within this. This model Milky Way then has a volume of ∼2.9×1011
pc3
.
The density of ETCs is:
ρET C =
NMW
(hMW πr2
MW )
6
The constraint on this robotic exploration is the boredom/fear threshold. So, set the interest level to decline to
below the fear threshold at Nennui with direct contact. The value of Nennui is, of course, a rather arbitrary choice but
perhaps 100 could be reasonable.
So, if NMW = 100,000 and Nennui = 100, typically an ETC would explore 0.1% of the Milky Way.
For contact via probes, the first “bubbles” of ETCs aware of each other then arise when the first ETC in a region
starts exploration. Note that later there would not be independent contact bubbles in the mundane scenario, as they
are expected to overlap in general.
For simplicity, consider an ETC located in the center of the disc width (but not necessarily at the disc center). The
radius of the edge of the exploration front, Rexp is the time T during which exploration has been carried out multiplied
by the probe expansion speed, sp, where this includes the time required to replicate probes and launch capability.
For distances less than the thickness of the disc, the number of ETCs encountered, Nmet, after time T will then be:
Nmet ∼ ρET C
4
3
π(spT )3
Then, for an exploration rate in units of pc yr−1
:
Nmet ∼ 1.45 × 10−11
NMW (spT )3
For example, if sp = 0.001c (∼ 3.1 × 10−4
pc yr−1
), and NMW = 105
, then after one million years the distance
traveled will be 153 pc and Nmet = 5.2. This speed is a lot less than that considered by Hart (1975) and Tipler (1980)
(0.1 c) but is in line with considering ETCs with modest technology levels. However, it does require the ETCs to be
more patient.
Taking Nmet = Nennui, and rearranging:
T = 4.1 × 103
(
Nennui
NMW
)1/3
s−1
p
For the same parameters as above, and Nennui = 100, T ∼1.3 Myr, and d = 410 pc (which does take us out of
the disk boundary). Overall, the arguments for this taking a short time, compared to the age of the Milky Way, are
similar to the arguments that the entire Galaxy could be colonized in a short time, it is simply made even shorter if
there is no benefit to explore the entire Galaxy.
More generally, the volume of the explored region, Vexp, is given by the intersection of what would be the expansion
sphere and the disk of the model Milky Way.
Vexp =







π

R2
exphMW −
h3
MW
12

, 0 ≤ hMW ≤ 2Rexp,
4
3
πR3
exp, hMW ≥ 2Rexp.
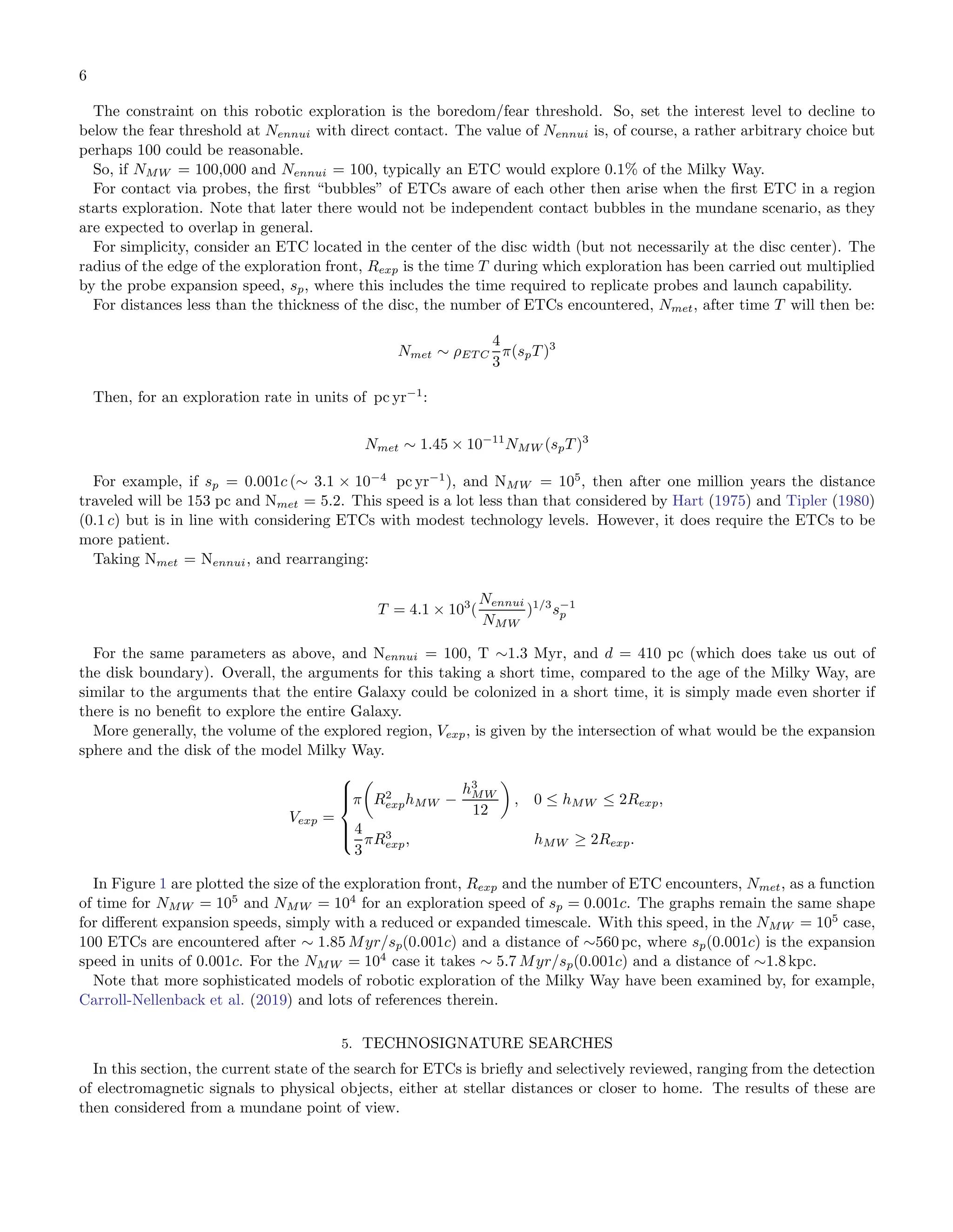
In Figure 1 are plotted the size of the exploration front, Rexp and the number of ETC encounters, Nmet, as a function
of time for NMW = 105
and NMW = 104
for an exploration speed of sp = 0.001c. The graphs remain the same shape
for different expansion speeds, simply with a reduced or expanded timescale. With this speed, in the NMW = 105
case,
100 ETCs are encountered after ∼ 1.85 Myr/sp(0.001c) and a distance of ∼560 pc, where sp(0.001c) is the expansion
speed in units of 0.001c. For the NMW = 104
case it takes ∼ 5.7 Myr/sp(0.001c) and a distance of ∼1.8 kpc.
Note that more sophisticated models of robotic exploration of the Milky Way have been examined by, for example,
Carroll-Nellenback et al. (2019) and lots of references therein.
5. TECHNOSIGNATURE SEARCHES
In this section, the current state of the search for ETCs is briefly and selectively reviewed, ranging from the detection
of electromagnetic signals to physical objects, either at stellar distances or closer to home. The results of these are
then considered from a mundane point of view.
7
0.0 0.5 1.0 1.5
0
200
400
Time (Myr /s
p
(0.001c))
Distance
(pc)
0
20
40
60
80
100
N
met
N
MW
= 10
5
0 1 2 3 4 5
0
500
1000
1500
Time (Myr /s
p
(0.001c))
0
20
40
60
80
100
N
MW
= 10
4
Figure 1. The distance and number of ETCs encountered by exploration expanding at a rate, sp of 0.001 c. The left-hand
figures are for NMW = 105
and the right-hand figures are for NMW = 104
.
5.1. SETI Across the Electromagnetic Spectrum
Since Cocconi  Morrison (1959) proposed that radio waves are the best way to detect signals from ETCs, that wave-
band has dominated SETI searches. Prominent among these have been SERENDIP and SETIhome surveys using the
Arecibo Observatory (e.g. Werthimer et al. 2001), Project META which surveyed the northern sky (Horowitz  Sagan
1993), and the contemporary Breakthrough Listen Initiative using the Green Bank Telescope and Parkes Observatory
(Isaacson et al. 2017; Worden et al. 2017).
Even though radio has been the traditional wavelength for SETI, there has been a growing interest in using other
wavelengths with optical searches in particular gaining in prominence. This has been driven by the more tightly
beamed signals that are possible at optical compared to radio wavelengths, and developments in laser technology
which permit high-power brief signals to be generated (e.g. Tellis  Marcy 2015; Wright et al. 2018). Generally such
searches are designed to detect extremely brief monochromatic signals where a laser might momentarily outshine a
star. These searches have been reviewed by Vukotić et al. (2021).
At even shorter wavelengths, X-ray searches have also been considered by Fabian (1977), Corbet (1997), and
Lacki  DiKerby (2025). In this case, the generation of such X-ray signals would likely require highly advanced
astro-engineering, although the generation of an X-ray pulse through the explosion of nuclear weapons has also been
proposed (Elliot 1973).
8
5.2. Communication via Other Messengers
Beyond the electromagnetic spectrum, neutrinos have received some attention for either direct signaling (Hippke
2017; Jackson 2020) or for timing communication (Learned et al. 1994). To date, gravitational waves have hardly been
considered, as current technology can only detect merging black holes or neutron stars. Beyond known messengers, if
dark matter or dark energy are something that could be modulated and detected with appropriate technology, that is
something that would presently be undetectable by us.
5.3. Artifacts - Near to Far
The scope for the detection of alien artifacts can range from the Earth itself, other bodies within the solar system,
and at interstellar and stellar distances. Shostak (2020) advocates for a greater emphasis on the search for artifacts
rather than electromagnetic signals. Stephenson (1979) discussed the possibility of extraterrestrial cultures within our
solar system, particularly the asteroid belt. Benford (2021), for example, considered searches for alien artifacts on the
Moon and other objects and proposed an equivalent of the Drake equation for artifacts. To date there has been little
in the way of direct searches for alien artifacts on the surface of the Moon or Mars, but see, for example, the discussion
in Davies  Wagner (2013).
Harris (1986) describes a search for interstellar spacecraft based on the assumption that the power source would
be either nuclear fusion or matter/antimatter annihilation, both of which would be expected to produce gamma-ray
emission.
6. CANDIDATE DETECTIONS
6.1. Electromagnetic Signals
Probably the most famous radio SETI candidate is the “Wow” signal found with the Ohio State Big Ear radio
telescope (Kraus 1979). There has been no subsequent detection of a signal from the same location (e.g. Gray 1994;
Harp et al. 2020; Perez et al. 2022). Recently a possible astrophysical explanation of this signal has been put forward
by Méndez et al. (2024, 2025) who hypothesized that this signal was due to rapid brightening from stimulated emission
of the hydrogen line caused by a strong transient radiation source, such as a magnetar flare or a soft gamma repeater.
Some other reports of candidate radio signals have been made from other searches, for example by Horowitz  Sagan
(1993) and Painter et al. (2025) but none has been confirmed.
6.2. Distant Artifacts
At astronomical distances, for an object to be detected it needs to be sufficiently large and/or bright in some
waveband, and Dyson spheres would match this in the Infrared. Contardo  Hogg (2024) describe a recent search for
Dyson spheres from an excess of infrared emission from main-sequence stars and reported 54 candidates. A similar
search by Suazo et al. (2024) identified seven candidates. These candidates were questioned, however, by Blain (2024)
who was also skeptical about the detectability of such objects. The deep irregular decreases in flux exhibited by F3
V star KIC 8462852, (Boyajian et al. 2016, sometimes referred to as “Tabby’s Star” or other designations) have been
postulated to be due to a partial Dyson sphere (e.g. Wright et al. 2016). However, a number of astrophysical causes
are also possible (e.g. Wright  Sigurdsson 2016; Bodman  Quillen 2016; Metzger et al. 2017). Radio (Harp et al.
2016) and optical (Schuetz et al. 2016) SETI observations of KIC 8462852 did not yield any detection.
6.3. Nearby Artifacts - the Solar System, and UFOs/UAPs on the Earth
In our Solar System, perhaps the most dramatic, and controversial, claim for the detection of an alien artifact is the
first interstellar object to be identified passing through the Solar System - ‘Oumuamua (1I/2017 U1). Loeb (2022) has
proposed that ‘Oumuamua may have an artificial origin, perhaps as a fragment of a disintegrating Dyson sphere (Loeb
2023). This has been disputed by, for example Zhou et al. (2022) and Zuckerman (2022). Further, Davenport et al.
(2025) caution that care must be taken when comparing interstellar bodies with solar system objects.
The Fermi paradox would of course be resolved if, in fact, intelligent aliens are already present or frequently visiting
the Earth. While there have been large numbers of reports of Unidentified Flying Objects (UFOs), also referred to
as Unidentified Anomalous Phenomena (UAPs, or Unidentified Aerospace-Undersea Phenomena Knuth et al. 2025),
to date there has been no strong evidence that any of these reports relate to alien visitation. Government reports
on UFOs and UAPs include the U.S. Air Force’s Projects Sign, Grudge and Blue Book, the Condon report (Condon
9
1968), the Condign report10
and the NASA UAP Independent Study Team Report.11
None of these reports found any
definitive evidence for the current presence of active alien technology on the Earth.
6.4. Technosignatures Misidentified as Natural Phenomena
If technosignatures have been misidentified as natural phenomena, then the Fermi paradox could be resolved. This
would probably be most likely for some phenomenon for which the astrophysics is so-far rather poorly understood,
such as Fast Radio Bursts (see e.g. Lorimer et al. 2024, and citations therein) as discussed by Lingam  Loeb (2017).
However, it has also been proposed that phenomena that appear to be well understood, may also be attributed to
astro-engineering. For example, Vidal (2019) discusses the use of pulsars for interstellar navigation, and whether or not
millisecond pulsars might show signs of astro-engineering. Similarly Learned et al. (2012) suggests that the pulsations
of Cepheid variables might be modulated by an advanced civilization.
7. A MUNDANE VIEW OF CANDIDATE DETECTIONS
In a mundane Galaxy we predict that there are no long-term powerful beacons and that only leakage radiation would
be detected. This would not be likely to vary significantly. Thus, followup observations of a candidate should have a
good chance of re-detecting it, but none of the candidate radio signals to date have passed this test.
Construction of Dyson spheres and similar will not be possible or desired. Therefore, no candidate Dyson sphere
will be confirmed, and an astrophysical interpretation for KIC 8462852 is preferred.
With a reasonable population of ETCs in the Galaxy, the Earth is not likely to be a very interesting place to visit,
and so all UFO/UAP reports will have causes other than visits by ETCs. It may be somewhat less clear whether
the mundane argument could be made against the claims of artificiality of ‘Oumuamua as it is unclear what would
motivate such a flyby mission.
8. WHAT IF ONE OR BOTH MUNDANE PREMISES ARE FALSE?
The mundanity hypothesis is based on the premises that very highly advanced technology doesn’t exist, and that
there are a modest number of ETCs. What if one or both of these is/are not correct?
Many Civilizations, Very High Technology Level: In this “Star Trek” scenario with high-technology levels
throughout a crowded Galaxy, the Fermi paradox is indeed a paradox and an exotic mechanism is required to explain
why there has been no detection of an ETC.
Very Few Civilizations, Very High Technology Level: A solitary civilization would have a strong motivation
to detect other ETCs. With ETCs being rare, each new one would be of great interest. Possessing very advanced
technology would enable it to create high-powered beacons, and spread robotic probes throughout the Galaxy. We
then run into the Fermi paradox given our lack of the detection of probes. Also, this would be inconsistent with the
Copernican mediocrity principle as we would be one of a very few Technological Civilizations.
Many Civilizations, Mundane Technology Level: In the most extreme form, every planet in its habitable zone
would host an ETC. Thus Proxima Centauri b would be a promising location. While a candidate radio technosignature
signal was once identified from Proxima Centauri, it was subsequently found to be an Earth-based artifact (Sheikh et al.
2021).
Very Few Civilizations, Mundane Technology Level: This situation naturally explains the Great Silence.
However, it also invalidates one of the assumption behind the Fermi paradox, that a reasonable number of ETCs
would arise and rather rapidly spread throughout the Galaxy. Although it might be viewed as an extreme version of
the mundanity paradigm, there would still be a drive for such civilizations to explore large volumes of the Galaxy. As
noted in Section 3, this is perhaps achievable by near-future technology on the Earth.
Thus, neither of these four scenarios appear as consistent with the inconclusive results of current SETI as does the
double mundanity hypothesis.
10 https://webarchive.nationalarchives.gov.uk/ukgwa/20121110115311/http://www.mod.uk/DefenceInternet/FreedomOfInformation/PublicationSchem
11 https://science.nasa.gov/uap/
10
9. CONCLUSION
The Fermi paradox may be explained if the Galaxy contains a modest number of technological civilizations, with
technology levels that, while more advanced than contemporary Earth, are nowhere near the “super-science” levels
that could result in readily detectable astro-engineering. The construction of powerful long-duration beacons would
be unlikely, as would exploration of the entire Galaxy via robotic probes. With a modest number of technological
civilizations at a modestly higher level of technology than ourselves, a detection of one of these via leakage radiation
may not be too far off, historically speaking, with the SKA or a generation or two of radio telescopes beyond that.
Although this would have profound implications in many ways, it may not lead to a huge gain in our technology level,
and could leave us somewhat disappointed. With a modest number of technological civilizations, this would imply that
life in general would be rather common. We may thus hope that missions such as HWO (Mamajek  Stapelfeldt 2024)
or LIFE (Quanz et al. 2022) have a reasonable chance of detecting this. We note that a number of explanations for
the Fermi paradox are based on extreme social or technology situations such as the zoo hypothesis, or aliens now being
unrecognizable because they are so far advanced and have transcended to a different realm. Instead, the principle of
mundanity, by definition, excludes such extreme situations.
ACKNOWLEDGEMENTS
I thank Jacob Haqq-Misra and Ravi Kumar Kopparapu and for useful comments. The work was supported in part by
NASA under award number 80GSFC21M0002.
REFERENCES
Amodei, D., Olah, C., Steinhardt, J., et al. 2016,
arXiv:1606.06565. doi:10.48550/arXiv.1606.06565
Anglada-Escudé, G., Amado, P. J., Barnes, J., et al. 2016,
Nature, 536, 437. doi:10.1038/nature19106
Barnes, R. 2017, Celestial Mechanics and Dynamical
Astronomy, 129, 4, 509. doi:10.1007/s10569-017-9783-7
Barrientos, M., Kilic, M., Blouin, S., et al. 2025, ,
arXiv:2508.12600.
Barrow, J. D. 1998, New York: Oxford University Press,
1998. Q175 .B2245.
Basant, R., Luque, R., Bean, J. L., et al. 2025, ApJL, 982,
1, L1. doi:10.3847/2041-8213/adb8d5
Benford, J. 2021, Astrobiology, 21, 757.
doi:10.1089/ast.2020.2364
Blain, A. W. 2024, arXiv:2409.11447.
doi:10.48550/arXiv.2409.11447
Bond, A.  Martin, A. R. 1978, Journal of the British
Interplanetary Society, 31, S5
Bodman, E. H. L.  Quillen, A. 2016, ApJL, 819, L34.
doi:10.3847/2041-8205/819/2/L34
Bostrom, N. 2014, Superintelligence: Paths, Dangers,
Strategies, Oxford University Press, ISBN
978-0199678112.
Boyajian, T. S., LaCourse, D. M., Rappaport, S. A., et al.
2016, MNRAS, 457, 3988. doi:10.1093/mnras/stw218
Brin, G. D. 1983, QJRAS, 24, 283
Carroll-Nellenback, J., Frank, A., Wright, J., et al. 2019,
AJ, 158, 3, 117. doi:10.3847/1538-3881/ab31a3
Cirkovic, M. M. 2009, Serbian Astronomical Journal, 178,
1. doi:10.2298/SAJ0978001C
Cirkovic, M. M. 2018, The Great Silence: Science and
Philosophy of Fermi’s Paradox, Oxford University Press,
Oxford, UK, ISBN: 9780199646302, 432 pp.
Cocconi, G.  Morrison, P. 1959, Nature, 184, 844.
doi:10.1038/184844a0
Condon, E. U. 1968, Final report of the scientific study of
unidentified flying objects conducted by the University of
Colorado., by Condon, Edward Uhler. [Boulder, Colo.]
1968.
Contardo, G.  Hogg, D. W. 2024, AJ, 168, 157.
doi:10.3847/1538-3881/ad6b90
Corbet, R. H. D. 1997, Journal of the British
Interplanetary Society, 50, 253
Crawford, I. A.  Schulze-Makuch, D. 2024, Nature
Astronomy, 8, 1, 44. doi:10.1038/s41550-023-02134-2
Davenport, J. R. A., Sheikh, S. Z., Croft, S., et al. 2025, ,
arXiv:2508.16825.
Davies, P. C. W.,  Wagner, R. V. 2013, Acta
Astronautica, 89, 261-265.
Day, C. 2021, Physics Today, 74, 7, 8.
doi:10.1063/PT.3.4781
Dewdney, P. E., Hall, P. J., Schilizzi, R. T., et al. 2009,
IEEE Proceedings, 97, 8, 1482.
doi:10.1109/JPROC.2009.2021005
Dyson, F. J. 1960, Science, 131, 1667.
doi:10.1126/science.131.3414.1667
11
Elliot, J. L. 1973, Communication With Extraterrestrial
Intelligence, 398.
Fabian, A. C. 1977, Journal of the British Interplanetary
Society, 30, 112
France, K., Loyd, R. O. P., Youngblood, A., et al. 2016,
ApJ, 820, 2, 89. doi:10.3847/0004-637X/820/2/89
Freitas, R. A. 1980, Journal of the British Interplanetary
Society, 33, 251.
Gertz, J. 2020, arXiv:2001.00673.
doi:10.48550/arXiv.2001.00673
Gillon, M., Ducrot, E., Bell, T. J., et al. 2025, ,
arXiv:2509.02128. doi:10.48550/arXiv.2509.02128
González Hernández, J. I., Suárez Mascareño, A., Silva,
A. M., et al. 2024, AA, 690, A79.
doi:10.1051/0004-6361/202451311
Gray, R. H. 1994, Icarus, 112, 485.
doi:10.1006/icar.1994.1199
Gray, R. H. 2015, Astrobiology, 15, 3, 195.
doi:10.1089/ast.2014.1247
Haqq-Misra, J. D.  Baum, S. D. 2009, Journal of the
British Interplanetary Society, 62, 47.
doi:10.48550/arXiv.0906.0568
Haqq-Misra, J., Vidal, C.,  Profitiliotis, G. 2025, Acta
Astronautica, 229, 831.
doi:10.1016/j.actaastro.2025.01.048
Harp, G. R., Richards, J., Shostak, S., et al. 2016, ApJ,
825, 2, 155. doi:10.3847/0004-637X/825/2/155
Harp, G. R., Gray, R. H., Richards, J., et al. 2020, AJ, 160,
162. doi:10.3847/1538-3881/aba58f
Harris, M. J. 1986, ApSS, 123, 297.
doi:10.1007/BF00653949
Hart, M. H. 1975, QJRAS, 16, 128
Hernández-Orallo, J. 2017, “The measure of all minds:
evaluating natural and artificial intelligence”, Cambridge
University Press
Hippke, M. 2017, arXiv:1711.07962.
doi:10.48550/arXiv.1711.07962
Horowitz, P.  Sagan, C. 1993, ApJ, 415, 218.
doi:10.1086/173157
Isaacson, H., Siemion, A. P. V., Marcy, G. W., et al. 2017,
PASP, 129, 975, 054501. doi:10.1088/1538-3873/aa5800
Jackson, A. 2020, Journal of the British Interplanetary
Society, 73, 15. doi:10.48550/arXiv.1905.05184
Joy, B. 2020, Emerging Technologies. Routledge, 2020.
47-63
Kardashev, N. S. 1964, Soviet Ast., 8, 217
Keynes, J. M., “The General Theory of Employment,
Interest and Money” 1936, Palgrave Macmillan, ISBN
978-0-230-00476-4
Knuth, K. H., Ailleris, P., Agrama, H. A., et al. 2025,
Progress in Aerospace Sciences, 156, 101097.
doi:10.1016/j.paerosci.2025.101097
Kraus, J. 1979, Cosmic Search, 1, 31
Lacki, B. C.  DiKerby, S. 2025, , arXiv:2506.16351.
doi:10.48550/arXiv.2506.16351
Learned, J. G., Pakvasa, S., Simmons, W. A., et al. 1994,
QJRAS, 35, 321
Learned, J. G., Kudritzki, R.-P., Pakvasa, S., et al. 2012,
Contemporary Physics, 53, 113.
doi:10.1080/00107514.2011.640142
Ledrew, G. 2001, JRASC, 95, 32.
Lingam, M.  Loeb, A. 2017, ApJL, 837, L23.
doi:10.3847/2041-8213/aa633e
Loeb, A.  Zaldarriaga, M. 2007, JCAP, 2007, 1, 020.
doi:10.1088/1475-7516/2007/01/020
Loeb, A. 2022, Astrobiology, 22, 1392.
doi:10.1089/ast.2021.0193
Loeb, A. 2023, Research Notes of the American
Astronomical Society, 7, 43.
doi:10.3847/2515-5172/acc10d
Lorimer, D. R., McLaughlin, M. A.,  Bailes, M. 2024,
arXiv:2405.19106. doi:10.48550/arXiv.2405.19106
Lundstrom, M. S.  Alam, M. A. 2022, Science, 378, 722.
doi:10.1126/science.ade2191
Mamajek, E. E.  Stapelfeldt, K. R. 2024, LPI
Contributions, 3068, 2089
Méndez, A., Ortiz Ceballos, K.,  Zuluaga, J. I. 2024,
arXiv:2408.08513. doi:10.48550/arXiv.2408.08513
Méndez, A., Ortiz Ceballos, K. N., Zuluaga, J. I., et al.
2025, , arXiv:2508.10657.
Metzger, B. D., Shen, K. J.,  Stone, N. 2017, MNRAS,
468, 4399. doi:10.1093/mnras/stx823
Mowery, D. C.,  Rosenberg, N. (1999). Paths of
innovation: Technological change in 20th-century
America. Cambridge University Press.
Mullan, B.  Haqq-Misra, J. 2019, Futures, 106, 4.
doi:10.1016/j.futures.2018.06.009
Müller, V. C.  Bostrom, N. 2025, , arXiv:2508.11681.
doi:10.48550/arXiv.2508.11681
Ng, C., Rizk, L., Mannion, C., et al. 2022, AJ, 164, 5, 205.
doi:10.3847/1538-3881/ac92e7
Niven, L. 1970, Ringworld, Tor, New York
Painter, C., Croft, S., Lebofsky, M., et al. 2025, AJ, 169, 4,
222. doi:10.3847/1538-3881/adbc5e
Park, M., Leahey, E.,  Funk, R. J. 2023, Nature, Papers
and patents are becoming less disruptive over time, 613,
7942, 138. doi:10.1038/s41586-022-05543-x
Parkin, K. L. G. 2018, Acta Astronautica, 152, 370.
doi:10.1016/j.actaastro.2018.08.035
12
Perez, K. I., Farah, W., Sheikh, S. Z., et al. 2022, Research
Notes of the American Astronomical Society, 6, 197.
doi:10.3847/2515-5172/ac9408
Quanz, S. P., Ottiger, M., Fontanet, E., et al. 2022, AA,
664, A21. doi:10.1051/0004-6361/202140366
Rankin, C.H., Abrams, T., Barry, R.J., Bhatnagar, S.,
Clayton, D.F., Colombo, J., Coppola, G., Geyer, M.A.,
Glanzman, D.L., Marsland, S.  McSweeney, F.K. 2009.
Neurobiology of learning and memory, 92(2),
Sadik-Zada, E. R., Gatto, A.  Weißnicht, Y. 2024, Energy,
290, 129150. doi:10.1016/j.energy.2023.129150
Sagan, C. 1961, Science, 133, 3456, 849.
doi:10.1126/science.133.3456.849
Sagan, C. 1963, Planet. Space Sci., 11, 5, 485.
doi:10.1016/0032-0633(63)90072-2
Sagan, C. 1973, The cosmic connection. an extraterrestrial
perspective, Garden City, N.Y.: Anchor Press, Doubleday,
LCCN: 73-81117 (BKS2); Call Number: QB54 .S24.
Schuetz, M., Vakoch, D. A., Shostak, S., et al. 2016, ApJL,
825, 1, L5. doi:10.3847/2041-8205/825/1/L5
Selina, R. J., Murphy, E. J., McKinnon, M., et al. 2018,
Proc. SPIE, 10700, 107001O. doi:10.1117/12.2312089
Sheikh, S. Z., Smith, S., Price, D. C., et al. 2021, Nature
Astronomy, 5, 1153. doi:10.1038/s41550-021-01508-8
Sheikh, S. Z., Huston, M. J., Fan, P., et al. 2025, AJ, 169,
2, 118. doi:10.3847/1538-3881/ada3c7
Shklovsky, J. S.  Sagan, C. 1966, LCCN: 64-18404
(BKS2); Call Number: QB54 .S523 .
Shostak, S. 2020, International Journal of Astrobiology, 19,
456. doi:10.1017/S1473550420000233
Siemion, A., Benford, J., Cheng-Jin, J., et al. 2015,
Advancing Astrophysics with the Square Kilometre
Array (AASKA14), 116. doi:10.22323/1.215.0116
Silk, J. 2025, , arXiv:2509.08066.
doi:10.48550/arXiv.2509.08066
Smart, J. M. 2012, Acta Astronautica, 78, 55.
doi:10.1016/j.actaastro.2011.11.006
Stapledon, O. 1937, Star Maker, Methuen  Co,
London,ISBN 0-8195-6692-6
Stephenson, D. G. 1979, QJRAS, 20, 422.
Suazo, M., Zackrisson, E., Mahto, P. K., et al. 2024,
MNRAS, 531, 695. doi:10.1093/mnras/stae1186
Swinney, R., Long, K. F.,  Galea, P. 2011, Journal of the
British Interplanetary Society, 64, 17
Tarter, J. C., Agrawal, A., Ackermann, R., et al. 2010,
Proc. SPIE, 7819, 781902. doi:10.1117/12.863128
Tellis, N. K.  Marcy, G. W. 2015, PASP, 127, 952, 540.
doi:10.1086/681966
Theis, T. N.  Wong, H.-S. P. 2017, Computing in Science
and Engineering, 19, 2, 41. doi:10.1109/MCSE.2017.29
Theraulaz, G.  Bonabeau, E. 1999, Artificial life, 5(2), 97.
https://ieeexplore.ieee.org/abstract/document/6788137/
Tipler, F. J. 1980, QJRAS, 21, 267
Tsiolkovsky, K. 1932, Archive of the Russian Academy of
Sciences: Foundation No555, Inventory 1, Case No. 490
https://www.tsiolkovsky.org/en/the-cosmic-
philosophy/is-there-a-god/
Vanderburg, A., Bédard, A., Becker, J. C., et al. 2025, ,
arXiv:2501.06613. doi:10.48550/arXiv.2501.06613
Vidal, C. 2019, International Journal of Astrobiology, 18,
213. doi:10.1017/S147355041700043X
Vinge, V. 1993, Vision 21: Interdisciplinary Science and
Engineering in the Era of Cyberspace, 11
von Hoerner, S. 1961, Science, 134, 1839.
doi:10.1126/science.134.3493.1839
Vukotić, B., Ćirković, M. M.,  Filipović, M. D. 2021,
Multimessenger Astronomy in Practice: Celestial Sources
in Action, 11. doi:10.1088/2514-3433/ac2256ch11
Williamson, J. 1942, “Collision Orbit”, in Astounding
Science-Fiction, July 1942 p. 80
Werthimer, D., Anderson, D., Bowyer, C. S., et al. 2001,
Proc. SPIE, 4273, 104. doi:10.1117/12.435384
Worden, S. P., Drew, J., Siemion, A., et al. 2017, Acta
Astronautica, 139, 98. doi:10.1016/j.actaastro.2017.06.008
Wright, J. T., Cartier, K. M. S., Zhao, M., et al. 2016, ApJ,
816, 17. doi:10.3847/0004-637X/816/1/17
Wright, J. T.  Sigurdsson, S. 2016, ApJL, 829, L3.
doi:10.3847/2041-8205/829/1/L3
Wright, S. A., Horowitz, P., Maire, J., et al. 2018,
Proc. SPIE, 10702, 107025I. doi:10.1117/12.2314268
Wright, J. T., Kanodia, S.,  Lubar, E. 2018, AJ, 156, 260.
doi:10.3847/1538-3881/aae099
Zhan, R., Koll, D. D. B.,  Ding, F. 2024, ApJ, 971, 2, 125.
doi:10.3847/1538-4357/ad54c1
Zhou, W.-H., Liu, S.-F., Zhang, Y., et al. 2022, AA, 667,
A108. doi:10.1051/0004-6361/202244119
Zuckerman, B. 2022, Astrobiology, 22, 1414.
doi:10.1089/ast.2021.0168

A Less Terrifying Universe? Mundanity as an Explanation for the Fermi Paradox

  • 1.
    Typeset using L A TEXdefault style in AASTeX7.0.1 A Less Terrifying Universe? Mundanity as an Explanation for the Fermi Paradox Robin H. D. Corbet1, 2, 3 1Center for Space Sciences and Technology, University of Maryland, Baltimore County, 1000 Hilltop Cir, Baltimore, MD 21250, USA 2X-ray Astrophysics Laboratory, Code 662 NASA Goddard Space Flight Center, Greenbelt Rd, Greenbelt, MD 20771, USA 3Maryland Institute College of Art, 1300 W Mt Royal Ave, Baltimore, MD 21217, USA ABSTRACT Applying a principle of “radical mundanity”, this paper examines explanations for the lack of strong evidence for the presence of technology-using extraterrestrial civilizations (ETCs) in the Galaxy - the Fermi paradox. With this principle, the prospect that the Galaxy contains a modest number of civilizations is preferred, where none have achieved technology levels sufficient to accomplish large-scale astro-engineering or lack the desire to do so. This consideration also leads to the expectation that no ETC will colonize a large fraction of the Galaxy, even using robotic probes, and that there are no long-duration high-power beacons. However, there is a reasonable chance that we may make contact on a short, by historical standards, timescale. This event would be momentous, but could still leave us slightly disappointed. Such a Universe would be less terrifying than either of the two possibilities in the quote generally attributed to Arthur C. Clarke on whether we are alone or not. Also, if there is a modest number of ETCs in the Galaxy, that would suggest that there is a large number of planets with some form of life. Keywords: Technosignatures, Search for extraterrestrial intelligence, Astrophysics - Instrumentation and Methods for Astrophysics 1. INTRODUCTION Science fiction author Arthur C. Clarke is purported to have said: “Two possibilities exist: either we are alone in the Universe or we are not. Both are equally terrifying”.4 Here the idea is explored that the truth may lie between Clarke’s two terrifying alternatives in a rather more mundane, and so less terrifying, Universe. “Modest” assumptions fed into the Drake equation can predict a reasonable number of extraterrestrial civilizations (ETCs) within the Galaxy, and it has been proposed that it would take a relatively short time (astronomically speaking) for a civilization to spread across the entire Galaxy (e.g. Hart 1975). It is expected that Galaxy-spanning civilizations would be seen via technosignatures that might include: (i) detection of an artificial electromagnetic beacon; (ii) signs of astro-engineering such as waste heat from Dyson spheres (Stapledon 1937; Dyson 1960); (iii) extraterrestrial artifacts on the Earth or other bodies in the solar system from previous visitations; (iv) direct evidence of extraterrestrials currently on the Earth itself. However, so far there has not been a definite detection from any such search. The absence of detections from the Search for Extraterrestrial Intelligence (SETI) has been termed the “Great Silence” (e.g. Brin 1983; Cirkovic 2018). More generally, the lack of detection of electromagnetic signals or alien artifacts, given the predicted short time for an ETC to colonize the entire Galaxy, is termed the Fermi paradox (Sagan 1963; Shklovsky & Sagan 1966).5 There have been a number of attempts to explain the Fermi paradox (e.g. Brin 1983), with several of these involving rather extreme explanations such as humanity being kept in a celestial zoo (e.g. Crawford & Schulze-Makuch 2024, and references therein) or that aliens have transcended to a form where they can no longer be recognized (e.g. Tsiolkovsky 1932; Smart 2012). On the other hand, some authors, such as Tipler (1980), consider the Great Silence as indicating that extraterrestrial civilizations do not exist. 4 The origin of this statement is unclear, and may well not be due to Clarke. See e.g. https://quoteinvestigator.com/2020/10/22/alone/ 5 But note that Gray (2015) claims that it is neither a paradox nor Fermi’s. In addition, Tarter et al. (2010) and Wright et al. (2018) have argued that SETI searches have only explored a small region of parameter space. arXiv:2509.22878v1 [astro-ph.IM] 26 Sep 2025
  • 2.
    2 The goal ofthis paper is to consider not especially exciting solutions to the Fermi paradox, based on the concept that the most mundane explanation(s), if physically feasible, is/are most likely to be correct. This follows from the Copernican mediocrity principle, where humanity does not occupy a special place in the Universe. This paper first presents a consideration of how technology levels can be quantified, and what the consequences of ETCs with high technology levels might be. This is followed by a mundane perspective on limits to technological development, and how this can impact both what technosignatures could be found, and how such limits may affect the motivations for an extraterrestrial technological civilization to explore the Galaxy for other such civilizations. This paper then gives a brief selective review of searches for technosignatures, including some controversial claimed detections, and how these fit into the mundane view. 2. QUANTIFYING TECHNOLOGY LEVELS A common way that the SETI community discusses the technology level that could be achieved by an ETC is in terms of the Kardashev scale (Kardashev 1964). A Type I civilization uses all the energy available on a planet. A Type II civilization accesses all the energy emitted by a star, likely due to some variant of a Dyson sphere. Type III civilizations can control all energy emitted by a galaxy. Sagan (1973) proposed that these should correspond to 1023 , 1033 , and 1043 ergs s−1 , respectively, with the Earth being approximately 0.72 on this scale. For a Type II civilization, significant astro-engineering such as a Dyson sphere is likely required. It is less clear how a Type III civilization could exist, except perhaps by constructing Dyson spheres around most stars in a galaxy. The Kardashev scale has limitations in that it only considers power utilization and no other facets of development. Other proposed scales include Sagan’s, based on information storage (Sagan 1973), and Barrow’s, based on how small a scale objects can be manipulated (Barrow 1998). Other characterizations might involve the maximum spacecraft velocity achieved6 or the intelligence level attained by computer systems. For example, a Type I civilization would have machines operating at the level of a single individual (artificial general intelligence or AGI), a Type II civilization would have machines operating at the level of a planet’s total population, and a Type III civilization would have machines operating at the combined intelligence level of the populations of a combined galaxy. This is much harder to characterize given the difficulties involved in measuring intelligence (e.g. Hernández-Orallo 2017). For a civilization where intelligence arises via stigmergy from a group (Theraulaz & Bonabeau 1999), rather than individuals, this is even harder to quantify. Yet another measure of technological development might be extension of an organism’s life span. But again, such a measure could well depend on the importance of individual organisms for a particular species. Thus, although the Kardashev levels are a crude measure, there is no obvious better replacement. Clearly, what might be expected to be achieved by a civilization with extremely advanced technology is speculation. However, possibilities include undertaking astro-engineering projects such as constructing Dyson spheres, sending out swarms of interstellar robotic probes, or constructing powerful beacons that could be detected across the Galaxy. 3. COLONIZING THE GALAXY Even with current, or near-future, levels of technology, it may be possible for us to reach the nearest stars. With present spacecraft speeds such as achieved by, for example, New Horizons7 , it would take ∼105 years to reach Prox- ima Centauri. To reach higher speeds, Project Daedalus (Bond & Martin 1978) and its offshoot Project Icarus (Swinney et al. 2011) examined using nuclear-fusion powered rockets for interstellar travel, with the theoretical po- tential to reach 0.12 c. More recently, sending very small probes with solar sails powered by Earth-based lasers has been proposed for Breakthrough Starshot (Parkin 2018) which could then reach Proxima Centauri on a timescale of decades traveling at speeds of up to 0.2 c. Thus, even with current technology, travel to the nearest stars may well be possible, even if exceptionally challenging and extremely slow. However, even if it is technically feasible to colonize the entire Galaxy, at least using self-replicating probes such as proposed by Hart (1975), for example, the colonizers will require a motivation to do this. The benefits obtained must outweigh the cost and potential risks. Since it is unlikely that there would be much benefit from bringing physical objects back, the benefits must come from the scientific knowledge acquired and then sent back to the home planet(s). Apart from sending out probes to explore the Galaxy, another possible motivation for interstellar travel would be if the parent star of a civilization is reaching the end of its lifetime. However, Gertz (2020) argues that it is impossible 6 The current human technology record holder is the Parker Solar probe, achieving 6.4×10−4 c at perihelion 7 Approximately 2.8×10−5 c at Pluto
  • 3.
    3 for a civilizationto migrate away from a dying star and that instead the civilization will endeavor to survive around the star at the end of its lifetime. But even if a civilization located around a star at the end of its lifetime does need to emigrate to a different location, that does not necessarily lead to a broader expansion across the Galaxy. Further, some white dwarfs may have a long-lived habitable zone (e.g. Zhan et al. 2024; Vanderburg et al. 2025; Barrientos et al. 2025), and a civilization thus might be able to continue to exist around the remnant of its parent star. 4. A MUNDANE PERSPECTIVE Here it is considered how a “mundane” perspective may reflect on the Fermi paradox. The main focus is on finding the least extreme situations that might explain this. The main premises are: 1. There is a limit to technological development of a civilization, particularly in energy consumption. Extraterres- trial civilizations may be much more technologically advanced than contemporary Earth, but their technology does not include significant leaps equivalent to harnessing electricity, or rely on as yet unknown laws of physics. In this paper, this is termed a “mundane” technology level. 2. There is a modest number of extraterrestrial civilizations that are at around this limit in the Milky Way Galaxy. Note that if our own civilization was unique in the Galaxy, this would imply that we are extraordinary, and so this would not be a mundane explanation and it would not be consistent with the Copernican mediocrity principle. The next sections consider the justification for these premises, and what their consequences would be. 4.1. Fundamental Limits to Technological Development - Extraterrestrial Civilizations with Fairly Mundane Technology How far can technology continue to develop? A lot of seminal papers on SETI were produced during the twentieth century during times of rapid scientific discovery and technological development (e.g. Mowery & Rosenberg 1999). In modern science there are several major known unknowns. These include the nature of dark matter and dark energy, the asymmetry between matter and anti-matter, and how to unify quantum mechanics with general relativity. Given that dark energy, for example, was identified very recently, it can be expected that there is also an unknown number of unknown unknowns in science still remaining to be discovered. Nevertheless, it is unclear what the impacts of the resolution of these key scientific questions would be. The scientific advances in understanding thermodynamics and electromagnetism had huge impacts on technology. Could any of the unknown unknowns have a comparable impact? For example, if dark matter is determined to consist of WIMPs (Weakly Interacting Massive Particles) or axion-like particles as speculated, there is no clear way to incorporate that understanding into new technologies. Currently there is a lot of debate regarding the development of artificial intelligence (AI), even if such systems appear far from artificial general intelligence (AGI). While a technological singularity has been predicted by some (e.g. Vinge 1993), this may not occur. Or, if it does, it will affect the virtual world far more significantly than the physical world. There are some indications that technological and engineering changes may already be becoming more modest. Park et al. (2023) argued that papers and patents are becoming less “disruptive” over time. Some have noted a slowing down of Moore’s law (e.g. Lundstrom & Alam 2022; Theis & Wong 2017). Ramifications may be seen in the flattening of the growth rate of “Top 500” supercomputer list.8 Even if this is just a temporary slowdown in technological progress, a fundamental limit would eventually be reached. Also, as an additional constraint, Haqq-Misra & Baum (2009) and Mullan & Haqq-Misra (2019) argue that sustainability places limits on the growth of civilizations, and Haqq-Misra et al. (2025) propose that stellar luminosity and mass provide a limit in the absence of very advanced technology. On the relatively near-term horizon, it should be possible to generate power via controlled nuclear fusion (e.g. Sadik-Zada et al. 2024). However, per capita energy usage in the United States has declined since 1979.9 Thus, there may be no strong driver that compels a civilization with a fairly stable population level to move much further along the Kardashev scale. 8 https://top500.org/statistics/perfdevel/ 9 https://data.worldbank.org/indicator/EG.USE.PCAP.KG.OE?locations=US
  • 4.
    4 4.1.1. Implications ofTechnology Limits: Large-Scale Astro-Engineering is Impossible or Pointless or Both For the construction of large-scale astro-engineering projects that would be detectable by us, the extraterrestrial civilization requires both means and motive. The most commonly discussed such project would be the construction of a Dyson sphere or ring (Niven 1970). These will not exist if either the incredible technology needed to construct one cannot exist, or if there is simply no need to have access to so much power. At lower technology levels, terra-forming a planet (e.g. Williamson 1942; Sagan 1961; Day 2021) could be possible, but would not necessarily be obvious as an artifact to a distant observer. 4.1.2. Implications of Technology Limits: No Long-Duration High-Power Beacons Co-located with a Civilization The case for a civilization maintaining a high-power signal to attempt to contact other civilizations for durations of time long enough for those civilizations to emerge is particularly challenging to justify. The transmitter would require substantial amounts of power for likely very long periods of time. This would make it very expensive, unless located in some place where the energy would not otherwise be useful for the civilization. If the duration of operation approaches the travel time across the Galaxy, then why not send probes instead of signals, since the probes can return other types of information? An exception to this constraint could be if the beacon is not co-located with the civilization. In this case the power cost of the beacon would not be an issue as that power could not be used for other purposes. Even in this case, it is not clear that there would be much motivation to operate a beacon for millions or billions of years. 4.2. A Modest, Non-Zero, Number of Extraterrestrial Technological Civilizations The mundane view of how common technology using civilizations are in the Galaxy would be that they are neither extremely rare, nor extremely common. This is consistent with the proposition by von Hoerner (1961) as a basic assumption on other civilizations: “Anything seemingly unique and peculiar to us is actually one out of many and is probably average”. Most stars in the Galaxy are M type, which are ∼10 times more common than G-type stars (e.g. Ledrew 2001) such as our own G2V Sun. The mundane paradigm would tell us that these can’t be hospitable for the development of technological civilizations, otherwise the Galaxy would likely be swarming with these. On the other hand, G-type stars are not that rare, if a technological civilization could only develop around early O stars then they would be extremely uncommon. There are several M-type stars at reasonable distances from the Earth that are known to host planets including the nearest extra-solar star Proxima Centauri that has a planet (“b”) within the habitable zone (Anglada-Escudé et al. 2016). Barnard’s Star, the fourth nearest star to the Sun, has at least four planets orbit- ing it (González Hernández et al. 2024; Basant et al. 2025), although none lie in the habitable zone. It is anticipated that we may be able to search for signs of life on nearby exoplanets in the relatively near future with missions such as the Habitable Worlds Observatory (HWO, e.g. Mamajek & Stapelfeldt 2024). The principal problems for life around M stars are primarily intense stellar flares (e.g. France et al. 2016), and the tidal locking for a planet in the habitable zone of its revolution and rotation periods (e.g. Barnes 2017). Indeed, initial searches for an atmosphere on planets b and c around the M8V star TRAPPIST-1 with the James Webb Space Telescope have not been very promising (Gillon et al. 2025). 4.2.1. Limits to Galactic Colonization, Even by Robots For significant colonization or exploration of the Galaxy by sending probes to almost all star systems would again have to have benefits that outweigh the costs. Or, in terms of Keynes’ “animal spirits”, greed must overcome fear (Keynes 1936). Robotic exploration should be far cheaper, particularly if self-replicating von Neumann probes (Freitas 1980) are sent, where only a few initial probes need to be sent out. The benefits depend on whether much is learned from each in situ exploration of a star system. Probably not much new scientific information would be provided by directly visiting, for example, many thousands of M stars, let alone billions. The cost would then be that of the initial launch, which potentially is not too great amortized over the entire lifetime of the civilization. However, there may be dangers in creating a vast number of (probably) intelligent devices. This is the “Berserker” hypothesis of deadly probes as described in the science fiction novels of Fred Saberhagen and discussed by, for example, Brin (1983) and citetCirkovic2009. While the concept of Berserker probes may be extreme, the fear of this happening can be regarded as unexceptional. Indeed, this is something that concerns contemporary society with the development of AI - see for example Bostrom (2014), Amodei et al. (2016), Joy (2020), and Müller & Bostrom (2025). In the mundane perspective, where other civilizations, are not that much more advanced, a limit to exploration would arise when it
  • 5.
    5 was found thatnot much new was found from each encounter or other costs are incurred. In this case the benefit to risk ratio would decrease with each encounter and the passage of time. 4.3. Life in a Mundane Galaxy, and Robustness In the proposed mundane Milky Way scenario, there will be a certain number of ETCs. As their technology develops they will reach a plateau in this development. For the Earth, the definition of the start of extensive advanced technology development is somewhat arbitrary, but could be taken as the start of the industrial revolution in around 1760 or the identification of radio waves in the 1880s. If the typical lifetime of ETCs is ≫ the duration of technology use by humans to date, essentially all ETCs will be at this plateau technology level. This will be ≪ than Kardashev II, and there will be no “magic” technology such as faster-than-light travel. Some fraction, perhaps all of them, will start to consider whether they are alone in the Galaxy, and commence some type of search, perhaps also starting with radio. They will likely initially encounter a Great Silence. Whether this persists as larger collecting area radio telescopes are constructed will depend on whether the typical distance between ETCs is much larger than the distance over which electromagnetic signals not deliberately constructed as beacons would be detected. Then, they could potentially consider sending out robotic probes. It must also be considered how robust the concept of mundanity is. That is, is it plausible that all ETCs, which may well have very different biologies and social systems all undergo the same limits and constraints? The technological growth limits are based on the limits to which a knowledge of science allows a manipulation of the physical world. In this case if a limit does exist, it should apply to all ETCs, no matter their nature. The number of technological ETCs in the Galaxy is simply what it is. For a modest number of ETCs, the loosest constraints would be ≫ 1 and ≪ 1011 , and perhaps ≪ 1010 if we exclude M-type stars. Somewhat arbitrarily taking the mean logarithmically would give ∼105 ETCs in the Galaxy. The weakest link in the mundanity argument may be that we require a sufficient density of ETCs to halt interstellar exploration, or that all Galactic ETCs do not wish to send out self-replicating probes. Here the proposed primary limiting factor for this is that after encountering a certain number, Nennui of other ETCs are at the same technology plateau, the cost (in terms of the probes going “berserk” and the long time taken to find another ETC) is not worth the marginal gains from encountering additional ETCs. This effect could be compared to the concept of habituation where a creature’s response to a repeated stimulus diminishes (e.g. Rankin et al. 2009). Also, encounters between different ETCs may occur before any self-replicating probes are constructed if plateau, or lower, technology can detect leakage radiation from neighboring ETCs. For example, the Square Kilometre Array (SKA, e.g. Dewdney et al. 2009) and the next-generation Very Large Array (ngVLA, e.g. Selina et al. 2018) are presently under construction and they will give major gains to the sensitivity of radio searches (Siemion et al. 2015; Ng et al. 2022). Indeed the SKA might be able to detect an Earth analog of distances up to 200pc (Loeb & Zaldarriaga 2007) and planetary radar might be detected out to distances of kiloparsecs (Sheikh et al. 2025). Even more sensitive radio telescopes beyond these are technologically possible, if expensive (e.g. Silk 2025). If plateau-level technology is a bit boring to others already at that level, it means our pre-plateau technology civilization is of even less interest. Also, if life in general is rather commonplace, the biological ecosystem will be similar to that on many other planets. Hence, in this model reports of UFOs/UAPs are unlikely to be due to extraterrestrial visitors to the Earth. Thus the barriers to more wide-spread exploration by probes are fear of what the probes may become, and boredom in what they are finding. The mundanity hypothesis can certainly be disproved by the discovery of an ETC’s beacon, a Dyson sphere or other astro-engineering, or the presence in the solar system of an ETC artifact. 4.4. Illustrative Estimates of Constrained Robotic Probe Exploration If detection of other plateau-level ETCs via leakage radiation is common, then it is expected that robotic exploration would be unusual. However, if that is not the case then how would mundanity affect this exploration? To obtain some rough estimates, a toy model is used which has a total of NMW technology plateau-level ETCs evenly distributed throughout the Milky Way’s disc in an equilibrium such that ETC birth rate equals the death rate. A simple model of the Milky Way has radius, rMW , of 17.5 kpc, and a height, hMW , of 300 pc with “hard edges” and a uniform distribution of ETCs within this. This model Milky Way then has a volume of ∼2.9×1011 pc3 . The density of ETCs is: ρET C = NMW (hMW πr2 MW )
  • 6.
    6 The constraint onthis robotic exploration is the boredom/fear threshold. So, set the interest level to decline to below the fear threshold at Nennui with direct contact. The value of Nennui is, of course, a rather arbitrary choice but perhaps 100 could be reasonable. So, if NMW = 100,000 and Nennui = 100, typically an ETC would explore 0.1% of the Milky Way. For contact via probes, the first “bubbles” of ETCs aware of each other then arise when the first ETC in a region starts exploration. Note that later there would not be independent contact bubbles in the mundane scenario, as they are expected to overlap in general. For simplicity, consider an ETC located in the center of the disc width (but not necessarily at the disc center). The radius of the edge of the exploration front, Rexp is the time T during which exploration has been carried out multiplied by the probe expansion speed, sp, where this includes the time required to replicate probes and launch capability. For distances less than the thickness of the disc, the number of ETCs encountered, Nmet, after time T will then be: Nmet ∼ ρET C 4 3 π(spT )3 Then, for an exploration rate in units of pc yr−1 : Nmet ∼ 1.45 × 10−11 NMW (spT )3 For example, if sp = 0.001c (∼ 3.1 × 10−4 pc yr−1 ), and NMW = 105 , then after one million years the distance traveled will be 153 pc and Nmet = 5.2. This speed is a lot less than that considered by Hart (1975) and Tipler (1980) (0.1 c) but is in line with considering ETCs with modest technology levels. However, it does require the ETCs to be more patient. Taking Nmet = Nennui, and rearranging: T = 4.1 × 103 ( Nennui NMW )1/3 s−1 p For the same parameters as above, and Nennui = 100, T ∼1.3 Myr, and d = 410 pc (which does take us out of the disk boundary). Overall, the arguments for this taking a short time, compared to the age of the Milky Way, are similar to the arguments that the entire Galaxy could be colonized in a short time, it is simply made even shorter if there is no benefit to explore the entire Galaxy. More generally, the volume of the explored region, Vexp, is given by the intersection of what would be the expansion sphere and the disk of the model Milky Way. Vexp =        π R2 exphMW − h3 MW 12 , 0 ≤ hMW ≤ 2Rexp, 4 3 πR3 exp, hMW ≥ 2Rexp. In Figure 1 are plotted the size of the exploration front, Rexp and the number of ETC encounters, Nmet, as a function of time for NMW = 105 and NMW = 104 for an exploration speed of sp = 0.001c. The graphs remain the same shape for different expansion speeds, simply with a reduced or expanded timescale. With this speed, in the NMW = 105 case, 100 ETCs are encountered after ∼ 1.85 Myr/sp(0.001c) and a distance of ∼560 pc, where sp(0.001c) is the expansion speed in units of 0.001c. For the NMW = 104 case it takes ∼ 5.7 Myr/sp(0.001c) and a distance of ∼1.8 kpc. Note that more sophisticated models of robotic exploration of the Milky Way have been examined by, for example, Carroll-Nellenback et al. (2019) and lots of references therein. 5. TECHNOSIGNATURE SEARCHES In this section, the current state of the search for ETCs is briefly and selectively reviewed, ranging from the detection of electromagnetic signals to physical objects, either at stellar distances or closer to home. The results of these are then considered from a mundane point of view.
  • 7.
    7 0.0 0.5 1.01.5 0 200 400 Time (Myr /s p (0.001c)) Distance (pc) 0 20 40 60 80 100 N met N MW = 10 5 0 1 2 3 4 5 0 500 1000 1500 Time (Myr /s p (0.001c)) 0 20 40 60 80 100 N MW = 10 4 Figure 1. The distance and number of ETCs encountered by exploration expanding at a rate, sp of 0.001 c. The left-hand figures are for NMW = 105 and the right-hand figures are for NMW = 104 . 5.1. SETI Across the Electromagnetic Spectrum Since Cocconi Morrison (1959) proposed that radio waves are the best way to detect signals from ETCs, that wave- band has dominated SETI searches. Prominent among these have been SERENDIP and SETIhome surveys using the Arecibo Observatory (e.g. Werthimer et al. 2001), Project META which surveyed the northern sky (Horowitz Sagan 1993), and the contemporary Breakthrough Listen Initiative using the Green Bank Telescope and Parkes Observatory (Isaacson et al. 2017; Worden et al. 2017). Even though radio has been the traditional wavelength for SETI, there has been a growing interest in using other wavelengths with optical searches in particular gaining in prominence. This has been driven by the more tightly beamed signals that are possible at optical compared to radio wavelengths, and developments in laser technology which permit high-power brief signals to be generated (e.g. Tellis Marcy 2015; Wright et al. 2018). Generally such searches are designed to detect extremely brief monochromatic signals where a laser might momentarily outshine a star. These searches have been reviewed by Vukotić et al. (2021). At even shorter wavelengths, X-ray searches have also been considered by Fabian (1977), Corbet (1997), and Lacki DiKerby (2025). In this case, the generation of such X-ray signals would likely require highly advanced astro-engineering, although the generation of an X-ray pulse through the explosion of nuclear weapons has also been proposed (Elliot 1973).
  • 8.
    8 5.2. Communication viaOther Messengers Beyond the electromagnetic spectrum, neutrinos have received some attention for either direct signaling (Hippke 2017; Jackson 2020) or for timing communication (Learned et al. 1994). To date, gravitational waves have hardly been considered, as current technology can only detect merging black holes or neutron stars. Beyond known messengers, if dark matter or dark energy are something that could be modulated and detected with appropriate technology, that is something that would presently be undetectable by us. 5.3. Artifacts - Near to Far The scope for the detection of alien artifacts can range from the Earth itself, other bodies within the solar system, and at interstellar and stellar distances. Shostak (2020) advocates for a greater emphasis on the search for artifacts rather than electromagnetic signals. Stephenson (1979) discussed the possibility of extraterrestrial cultures within our solar system, particularly the asteroid belt. Benford (2021), for example, considered searches for alien artifacts on the Moon and other objects and proposed an equivalent of the Drake equation for artifacts. To date there has been little in the way of direct searches for alien artifacts on the surface of the Moon or Mars, but see, for example, the discussion in Davies Wagner (2013). Harris (1986) describes a search for interstellar spacecraft based on the assumption that the power source would be either nuclear fusion or matter/antimatter annihilation, both of which would be expected to produce gamma-ray emission. 6. CANDIDATE DETECTIONS 6.1. Electromagnetic Signals Probably the most famous radio SETI candidate is the “Wow” signal found with the Ohio State Big Ear radio telescope (Kraus 1979). There has been no subsequent detection of a signal from the same location (e.g. Gray 1994; Harp et al. 2020; Perez et al. 2022). Recently a possible astrophysical explanation of this signal has been put forward by Méndez et al. (2024, 2025) who hypothesized that this signal was due to rapid brightening from stimulated emission of the hydrogen line caused by a strong transient radiation source, such as a magnetar flare or a soft gamma repeater. Some other reports of candidate radio signals have been made from other searches, for example by Horowitz Sagan (1993) and Painter et al. (2025) but none has been confirmed. 6.2. Distant Artifacts At astronomical distances, for an object to be detected it needs to be sufficiently large and/or bright in some waveband, and Dyson spheres would match this in the Infrared. Contardo Hogg (2024) describe a recent search for Dyson spheres from an excess of infrared emission from main-sequence stars and reported 54 candidates. A similar search by Suazo et al. (2024) identified seven candidates. These candidates were questioned, however, by Blain (2024) who was also skeptical about the detectability of such objects. The deep irregular decreases in flux exhibited by F3 V star KIC 8462852, (Boyajian et al. 2016, sometimes referred to as “Tabby’s Star” or other designations) have been postulated to be due to a partial Dyson sphere (e.g. Wright et al. 2016). However, a number of astrophysical causes are also possible (e.g. Wright Sigurdsson 2016; Bodman Quillen 2016; Metzger et al. 2017). Radio (Harp et al. 2016) and optical (Schuetz et al. 2016) SETI observations of KIC 8462852 did not yield any detection. 6.3. Nearby Artifacts - the Solar System, and UFOs/UAPs on the Earth In our Solar System, perhaps the most dramatic, and controversial, claim for the detection of an alien artifact is the first interstellar object to be identified passing through the Solar System - ‘Oumuamua (1I/2017 U1). Loeb (2022) has proposed that ‘Oumuamua may have an artificial origin, perhaps as a fragment of a disintegrating Dyson sphere (Loeb 2023). This has been disputed by, for example Zhou et al. (2022) and Zuckerman (2022). Further, Davenport et al. (2025) caution that care must be taken when comparing interstellar bodies with solar system objects. The Fermi paradox would of course be resolved if, in fact, intelligent aliens are already present or frequently visiting the Earth. While there have been large numbers of reports of Unidentified Flying Objects (UFOs), also referred to as Unidentified Anomalous Phenomena (UAPs, or Unidentified Aerospace-Undersea Phenomena Knuth et al. 2025), to date there has been no strong evidence that any of these reports relate to alien visitation. Government reports on UFOs and UAPs include the U.S. Air Force’s Projects Sign, Grudge and Blue Book, the Condon report (Condon
  • 9.
    9 1968), the Condignreport10 and the NASA UAP Independent Study Team Report.11 None of these reports found any definitive evidence for the current presence of active alien technology on the Earth. 6.4. Technosignatures Misidentified as Natural Phenomena If technosignatures have been misidentified as natural phenomena, then the Fermi paradox could be resolved. This would probably be most likely for some phenomenon for which the astrophysics is so-far rather poorly understood, such as Fast Radio Bursts (see e.g. Lorimer et al. 2024, and citations therein) as discussed by Lingam Loeb (2017). However, it has also been proposed that phenomena that appear to be well understood, may also be attributed to astro-engineering. For example, Vidal (2019) discusses the use of pulsars for interstellar navigation, and whether or not millisecond pulsars might show signs of astro-engineering. Similarly Learned et al. (2012) suggests that the pulsations of Cepheid variables might be modulated by an advanced civilization. 7. A MUNDANE VIEW OF CANDIDATE DETECTIONS In a mundane Galaxy we predict that there are no long-term powerful beacons and that only leakage radiation would be detected. This would not be likely to vary significantly. Thus, followup observations of a candidate should have a good chance of re-detecting it, but none of the candidate radio signals to date have passed this test. Construction of Dyson spheres and similar will not be possible or desired. Therefore, no candidate Dyson sphere will be confirmed, and an astrophysical interpretation for KIC 8462852 is preferred. With a reasonable population of ETCs in the Galaxy, the Earth is not likely to be a very interesting place to visit, and so all UFO/UAP reports will have causes other than visits by ETCs. It may be somewhat less clear whether the mundane argument could be made against the claims of artificiality of ‘Oumuamua as it is unclear what would motivate such a flyby mission. 8. WHAT IF ONE OR BOTH MUNDANE PREMISES ARE FALSE? The mundanity hypothesis is based on the premises that very highly advanced technology doesn’t exist, and that there are a modest number of ETCs. What if one or both of these is/are not correct? Many Civilizations, Very High Technology Level: In this “Star Trek” scenario with high-technology levels throughout a crowded Galaxy, the Fermi paradox is indeed a paradox and an exotic mechanism is required to explain why there has been no detection of an ETC. Very Few Civilizations, Very High Technology Level: A solitary civilization would have a strong motivation to detect other ETCs. With ETCs being rare, each new one would be of great interest. Possessing very advanced technology would enable it to create high-powered beacons, and spread robotic probes throughout the Galaxy. We then run into the Fermi paradox given our lack of the detection of probes. Also, this would be inconsistent with the Copernican mediocrity principle as we would be one of a very few Technological Civilizations. Many Civilizations, Mundane Technology Level: In the most extreme form, every planet in its habitable zone would host an ETC. Thus Proxima Centauri b would be a promising location. While a candidate radio technosignature signal was once identified from Proxima Centauri, it was subsequently found to be an Earth-based artifact (Sheikh et al. 2021). Very Few Civilizations, Mundane Technology Level: This situation naturally explains the Great Silence. However, it also invalidates one of the assumption behind the Fermi paradox, that a reasonable number of ETCs would arise and rather rapidly spread throughout the Galaxy. Although it might be viewed as an extreme version of the mundanity paradigm, there would still be a drive for such civilizations to explore large volumes of the Galaxy. As noted in Section 3, this is perhaps achievable by near-future technology on the Earth. Thus, neither of these four scenarios appear as consistent with the inconclusive results of current SETI as does the double mundanity hypothesis. 10 https://webarchive.nationalarchives.gov.uk/ukgwa/20121110115311/http://www.mod.uk/DefenceInternet/FreedomOfInformation/PublicationSchem 11 https://science.nasa.gov/uap/
  • 10.
    10 9. CONCLUSION The Fermiparadox may be explained if the Galaxy contains a modest number of technological civilizations, with technology levels that, while more advanced than contemporary Earth, are nowhere near the “super-science” levels that could result in readily detectable astro-engineering. The construction of powerful long-duration beacons would be unlikely, as would exploration of the entire Galaxy via robotic probes. With a modest number of technological civilizations at a modestly higher level of technology than ourselves, a detection of one of these via leakage radiation may not be too far off, historically speaking, with the SKA or a generation or two of radio telescopes beyond that. Although this would have profound implications in many ways, it may not lead to a huge gain in our technology level, and could leave us somewhat disappointed. With a modest number of technological civilizations, this would imply that life in general would be rather common. We may thus hope that missions such as HWO (Mamajek Stapelfeldt 2024) or LIFE (Quanz et al. 2022) have a reasonable chance of detecting this. We note that a number of explanations for the Fermi paradox are based on extreme social or technology situations such as the zoo hypothesis, or aliens now being unrecognizable because they are so far advanced and have transcended to a different realm. Instead, the principle of mundanity, by definition, excludes such extreme situations. ACKNOWLEDGEMENTS I thank Jacob Haqq-Misra and Ravi Kumar Kopparapu and for useful comments. The work was supported in part by NASA under award number 80GSFC21M0002. REFERENCES Amodei, D., Olah, C., Steinhardt, J., et al. 2016, arXiv:1606.06565. doi:10.48550/arXiv.1606.06565 Anglada-Escudé, G., Amado, P. J., Barnes, J., et al. 2016, Nature, 536, 437. doi:10.1038/nature19106 Barnes, R. 2017, Celestial Mechanics and Dynamical Astronomy, 129, 4, 509. doi:10.1007/s10569-017-9783-7 Barrientos, M., Kilic, M., Blouin, S., et al. 2025, , arXiv:2508.12600. Barrow, J. D. 1998, New York: Oxford University Press, 1998. Q175 .B2245. Basant, R., Luque, R., Bean, J. L., et al. 2025, ApJL, 982, 1, L1. doi:10.3847/2041-8213/adb8d5 Benford, J. 2021, Astrobiology, 21, 757. doi:10.1089/ast.2020.2364 Blain, A. W. 2024, arXiv:2409.11447. doi:10.48550/arXiv.2409.11447 Bond, A. Martin, A. R. 1978, Journal of the British Interplanetary Society, 31, S5 Bodman, E. H. L. Quillen, A. 2016, ApJL, 819, L34. doi:10.3847/2041-8205/819/2/L34 Bostrom, N. 2014, Superintelligence: Paths, Dangers, Strategies, Oxford University Press, ISBN 978-0199678112. Boyajian, T. S., LaCourse, D. M., Rappaport, S. A., et al. 2016, MNRAS, 457, 3988. doi:10.1093/mnras/stw218 Brin, G. D. 1983, QJRAS, 24, 283 Carroll-Nellenback, J., Frank, A., Wright, J., et al. 2019, AJ, 158, 3, 117. doi:10.3847/1538-3881/ab31a3 Cirkovic, M. M. 2009, Serbian Astronomical Journal, 178, 1. doi:10.2298/SAJ0978001C Cirkovic, M. M. 2018, The Great Silence: Science and Philosophy of Fermi’s Paradox, Oxford University Press, Oxford, UK, ISBN: 9780199646302, 432 pp. Cocconi, G. Morrison, P. 1959, Nature, 184, 844. doi:10.1038/184844a0 Condon, E. U. 1968, Final report of the scientific study of unidentified flying objects conducted by the University of Colorado., by Condon, Edward Uhler. [Boulder, Colo.] 1968. Contardo, G. Hogg, D. W. 2024, AJ, 168, 157. doi:10.3847/1538-3881/ad6b90 Corbet, R. H. D. 1997, Journal of the British Interplanetary Society, 50, 253 Crawford, I. A. Schulze-Makuch, D. 2024, Nature Astronomy, 8, 1, 44. doi:10.1038/s41550-023-02134-2 Davenport, J. R. A., Sheikh, S. Z., Croft, S., et al. 2025, , arXiv:2508.16825. Davies, P. C. W., Wagner, R. V. 2013, Acta Astronautica, 89, 261-265. Day, C. 2021, Physics Today, 74, 7, 8. doi:10.1063/PT.3.4781 Dewdney, P. E., Hall, P. J., Schilizzi, R. T., et al. 2009, IEEE Proceedings, 97, 8, 1482. doi:10.1109/JPROC.2009.2021005 Dyson, F. J. 1960, Science, 131, 1667. doi:10.1126/science.131.3414.1667
  • 11.
    11 Elliot, J. L.1973, Communication With Extraterrestrial Intelligence, 398. Fabian, A. C. 1977, Journal of the British Interplanetary Society, 30, 112 France, K., Loyd, R. O. P., Youngblood, A., et al. 2016, ApJ, 820, 2, 89. doi:10.3847/0004-637X/820/2/89 Freitas, R. A. 1980, Journal of the British Interplanetary Society, 33, 251. Gertz, J. 2020, arXiv:2001.00673. doi:10.48550/arXiv.2001.00673 Gillon, M., Ducrot, E., Bell, T. J., et al. 2025, , arXiv:2509.02128. doi:10.48550/arXiv.2509.02128 González Hernández, J. I., Suárez Mascareño, A., Silva, A. M., et al. 2024, AA, 690, A79. doi:10.1051/0004-6361/202451311 Gray, R. H. 1994, Icarus, 112, 485. doi:10.1006/icar.1994.1199 Gray, R. H. 2015, Astrobiology, 15, 3, 195. doi:10.1089/ast.2014.1247 Haqq-Misra, J. D. Baum, S. D. 2009, Journal of the British Interplanetary Society, 62, 47. doi:10.48550/arXiv.0906.0568 Haqq-Misra, J., Vidal, C., Profitiliotis, G. 2025, Acta Astronautica, 229, 831. doi:10.1016/j.actaastro.2025.01.048 Harp, G. R., Richards, J., Shostak, S., et al. 2016, ApJ, 825, 2, 155. doi:10.3847/0004-637X/825/2/155 Harp, G. R., Gray, R. H., Richards, J., et al. 2020, AJ, 160, 162. doi:10.3847/1538-3881/aba58f Harris, M. J. 1986, ApSS, 123, 297. doi:10.1007/BF00653949 Hart, M. H. 1975, QJRAS, 16, 128 Hernández-Orallo, J. 2017, “The measure of all minds: evaluating natural and artificial intelligence”, Cambridge University Press Hippke, M. 2017, arXiv:1711.07962. doi:10.48550/arXiv.1711.07962 Horowitz, P. Sagan, C. 1993, ApJ, 415, 218. doi:10.1086/173157 Isaacson, H., Siemion, A. P. V., Marcy, G. W., et al. 2017, PASP, 129, 975, 054501. doi:10.1088/1538-3873/aa5800 Jackson, A. 2020, Journal of the British Interplanetary Society, 73, 15. doi:10.48550/arXiv.1905.05184 Joy, B. 2020, Emerging Technologies. Routledge, 2020. 47-63 Kardashev, N. S. 1964, Soviet Ast., 8, 217 Keynes, J. M., “The General Theory of Employment, Interest and Money” 1936, Palgrave Macmillan, ISBN 978-0-230-00476-4 Knuth, K. H., Ailleris, P., Agrama, H. A., et al. 2025, Progress in Aerospace Sciences, 156, 101097. doi:10.1016/j.paerosci.2025.101097 Kraus, J. 1979, Cosmic Search, 1, 31 Lacki, B. C. DiKerby, S. 2025, , arXiv:2506.16351. doi:10.48550/arXiv.2506.16351 Learned, J. G., Pakvasa, S., Simmons, W. A., et al. 1994, QJRAS, 35, 321 Learned, J. G., Kudritzki, R.-P., Pakvasa, S., et al. 2012, Contemporary Physics, 53, 113. doi:10.1080/00107514.2011.640142 Ledrew, G. 2001, JRASC, 95, 32. Lingam, M. Loeb, A. 2017, ApJL, 837, L23. doi:10.3847/2041-8213/aa633e Loeb, A. Zaldarriaga, M. 2007, JCAP, 2007, 1, 020. doi:10.1088/1475-7516/2007/01/020 Loeb, A. 2022, Astrobiology, 22, 1392. doi:10.1089/ast.2021.0193 Loeb, A. 2023, Research Notes of the American Astronomical Society, 7, 43. doi:10.3847/2515-5172/acc10d Lorimer, D. R., McLaughlin, M. A., Bailes, M. 2024, arXiv:2405.19106. doi:10.48550/arXiv.2405.19106 Lundstrom, M. S. Alam, M. A. 2022, Science, 378, 722. doi:10.1126/science.ade2191 Mamajek, E. E. Stapelfeldt, K. R. 2024, LPI Contributions, 3068, 2089 Méndez, A., Ortiz Ceballos, K., Zuluaga, J. I. 2024, arXiv:2408.08513. doi:10.48550/arXiv.2408.08513 Méndez, A., Ortiz Ceballos, K. N., Zuluaga, J. I., et al. 2025, , arXiv:2508.10657. Metzger, B. D., Shen, K. J., Stone, N. 2017, MNRAS, 468, 4399. doi:10.1093/mnras/stx823 Mowery, D. C., Rosenberg, N. (1999). Paths of innovation: Technological change in 20th-century America. Cambridge University Press. Mullan, B. Haqq-Misra, J. 2019, Futures, 106, 4. doi:10.1016/j.futures.2018.06.009 Müller, V. C. Bostrom, N. 2025, , arXiv:2508.11681. doi:10.48550/arXiv.2508.11681 Ng, C., Rizk, L., Mannion, C., et al. 2022, AJ, 164, 5, 205. doi:10.3847/1538-3881/ac92e7 Niven, L. 1970, Ringworld, Tor, New York Painter, C., Croft, S., Lebofsky, M., et al. 2025, AJ, 169, 4, 222. doi:10.3847/1538-3881/adbc5e Park, M., Leahey, E., Funk, R. J. 2023, Nature, Papers and patents are becoming less disruptive over time, 613, 7942, 138. doi:10.1038/s41586-022-05543-x Parkin, K. L. G. 2018, Acta Astronautica, 152, 370. doi:10.1016/j.actaastro.2018.08.035
  • 12.
    12 Perez, K. I.,Farah, W., Sheikh, S. Z., et al. 2022, Research Notes of the American Astronomical Society, 6, 197. doi:10.3847/2515-5172/ac9408 Quanz, S. P., Ottiger, M., Fontanet, E., et al. 2022, AA, 664, A21. doi:10.1051/0004-6361/202140366 Rankin, C.H., Abrams, T., Barry, R.J., Bhatnagar, S., Clayton, D.F., Colombo, J., Coppola, G., Geyer, M.A., Glanzman, D.L., Marsland, S. McSweeney, F.K. 2009. Neurobiology of learning and memory, 92(2), Sadik-Zada, E. R., Gatto, A. Weißnicht, Y. 2024, Energy, 290, 129150. doi:10.1016/j.energy.2023.129150 Sagan, C. 1961, Science, 133, 3456, 849. doi:10.1126/science.133.3456.849 Sagan, C. 1963, Planet. Space Sci., 11, 5, 485. doi:10.1016/0032-0633(63)90072-2 Sagan, C. 1973, The cosmic connection. an extraterrestrial perspective, Garden City, N.Y.: Anchor Press, Doubleday, LCCN: 73-81117 (BKS2); Call Number: QB54 .S24. Schuetz, M., Vakoch, D. A., Shostak, S., et al. 2016, ApJL, 825, 1, L5. doi:10.3847/2041-8205/825/1/L5 Selina, R. J., Murphy, E. J., McKinnon, M., et al. 2018, Proc. SPIE, 10700, 107001O. doi:10.1117/12.2312089 Sheikh, S. Z., Smith, S., Price, D. C., et al. 2021, Nature Astronomy, 5, 1153. doi:10.1038/s41550-021-01508-8 Sheikh, S. Z., Huston, M. J., Fan, P., et al. 2025, AJ, 169, 2, 118. doi:10.3847/1538-3881/ada3c7 Shklovsky, J. S. Sagan, C. 1966, LCCN: 64-18404 (BKS2); Call Number: QB54 .S523 . Shostak, S. 2020, International Journal of Astrobiology, 19, 456. doi:10.1017/S1473550420000233 Siemion, A., Benford, J., Cheng-Jin, J., et al. 2015, Advancing Astrophysics with the Square Kilometre Array (AASKA14), 116. doi:10.22323/1.215.0116 Silk, J. 2025, , arXiv:2509.08066. doi:10.48550/arXiv.2509.08066 Smart, J. M. 2012, Acta Astronautica, 78, 55. doi:10.1016/j.actaastro.2011.11.006 Stapledon, O. 1937, Star Maker, Methuen Co, London,ISBN 0-8195-6692-6 Stephenson, D. G. 1979, QJRAS, 20, 422. Suazo, M., Zackrisson, E., Mahto, P. K., et al. 2024, MNRAS, 531, 695. doi:10.1093/mnras/stae1186 Swinney, R., Long, K. F., Galea, P. 2011, Journal of the British Interplanetary Society, 64, 17 Tarter, J. C., Agrawal, A., Ackermann, R., et al. 2010, Proc. SPIE, 7819, 781902. doi:10.1117/12.863128 Tellis, N. K. Marcy, G. W. 2015, PASP, 127, 952, 540. doi:10.1086/681966 Theis, T. N. Wong, H.-S. P. 2017, Computing in Science and Engineering, 19, 2, 41. doi:10.1109/MCSE.2017.29 Theraulaz, G. Bonabeau, E. 1999, Artificial life, 5(2), 97. https://ieeexplore.ieee.org/abstract/document/6788137/ Tipler, F. J. 1980, QJRAS, 21, 267 Tsiolkovsky, K. 1932, Archive of the Russian Academy of Sciences: Foundation No555, Inventory 1, Case No. 490 https://www.tsiolkovsky.org/en/the-cosmic- philosophy/is-there-a-god/ Vanderburg, A., Bédard, A., Becker, J. C., et al. 2025, , arXiv:2501.06613. doi:10.48550/arXiv.2501.06613 Vidal, C. 2019, International Journal of Astrobiology, 18, 213. doi:10.1017/S147355041700043X Vinge, V. 1993, Vision 21: Interdisciplinary Science and Engineering in the Era of Cyberspace, 11 von Hoerner, S. 1961, Science, 134, 1839. doi:10.1126/science.134.3493.1839 Vukotić, B., Ćirković, M. M., Filipović, M. D. 2021, Multimessenger Astronomy in Practice: Celestial Sources in Action, 11. doi:10.1088/2514-3433/ac2256ch11 Williamson, J. 1942, “Collision Orbit”, in Astounding Science-Fiction, July 1942 p. 80 Werthimer, D., Anderson, D., Bowyer, C. S., et al. 2001, Proc. SPIE, 4273, 104. doi:10.1117/12.435384 Worden, S. P., Drew, J., Siemion, A., et al. 2017, Acta Astronautica, 139, 98. doi:10.1016/j.actaastro.2017.06.008 Wright, J. T., Cartier, K. M. S., Zhao, M., et al. 2016, ApJ, 816, 17. doi:10.3847/0004-637X/816/1/17 Wright, J. T. Sigurdsson, S. 2016, ApJL, 829, L3. doi:10.3847/2041-8205/829/1/L3 Wright, S. A., Horowitz, P., Maire, J., et al. 2018, Proc. SPIE, 10702, 107025I. doi:10.1117/12.2314268 Wright, J. T., Kanodia, S., Lubar, E. 2018, AJ, 156, 260. doi:10.3847/1538-3881/aae099 Zhan, R., Koll, D. D. B., Ding, F. 2024, ApJ, 971, 2, 125. doi:10.3847/1538-4357/ad54c1 Zhou, W.-H., Liu, S.-F., Zhang, Y., et al. 2022, AA, 667, A108. doi:10.1051/0004-6361/202244119 Zuckerman, B. 2022, Astrobiology, 22, 1414. doi:10.1089/ast.2021.0168