Embed presentation
Download to read offline



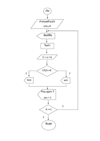
The code defines variables a, b, c, and d and uses a do-while loop to prompt the user to enter values for a and b, calculate their sum and store it in c, check if c is even or odd, and print "win" or "lose" accordingly. It then prompts the user to play again and repeats the loop as long as the user enters 1, otherwise exiting the program.

