Embed presentation
Download to read offline



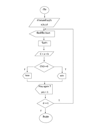
The code takes in two integer inputs, adds them together and stores the sum in a variable c. It then checks if c is even or odd, printing "win" if even and "lose" if odd. It asks the user to play again, repeating the process in a loop until the user enters anything other than 1.

