09/26/2024
1
NM3: SYNAPTIC TRANSMISSION
09/26/2024
2
Objectives
• General concept of synaptic transmission
• Electrical synapse vs. chemical synapse
• Synaptic integration and modulation
• Neurotransmitters and their receptors:
▫ Classical and non-classical
09/26/2024
3
09/26/2024
4
Introduction
• Transfer of electrical signals from one cell to
another:
▫ Nerve to nerve
▫ Nerve to muscle
▫ Sensory receptors to nerves
▫ Nerves to other cells e.g. glia cells
• Electrical synapse vs. chemical synapse
09/26/2024
5
Electrical synapse
• Aka gap junctions
• Low resistance pathway for:
▫ Current flow
▫ Sharing small molecules between the two cells
• Plaque-like structures with closely apposed cell
membranes filled with electron dense material.
09/26/2024
6
09/26/2024
7
Properties
Fast (no synaptic delay)
Bidirectional
Low pass filters: transmit slow electrical events
more readily
Demonstrate specificity in gap junction coupling
• Main function is to synchronize activity.
09/26/2024
8
Modulation
• Properties altered by:
▫ Intracellular pH, voltage and calcium
▫ G protein coupled receptors
▫ Connexins have phosphorylation sites
• These alter gap junctions functions by:
▫ Changing the channel conductance
▫ Formation of new gap junctions
▫ Removal of existing ones
09/26/2024
9
Chemical synapse
09/26/2024
10
Chemical synapse
• Earlier demonstrations by Otto Loewi in frog’s heart
and vagus nerve
• Typically:
▫ Axodendritic / axosomatic
• Others:
▫ Axoaxonic, dendrodendritic, dendrosomatic
• A synapse could be: mixed synapse, serial synapse,
reciprocal synapse and some form a glomerulus
09/26/2024
11
Key words
Presynaptic terminal
Synaptic cleft
Neurotransmitters :classical vs. non classical
Postsynaptic terminal
Metabotropic vs. ionotropic receptors
EPSP & IPSP
09/26/2024
12
Use the above Key words to summarize
Synaptic transmission
09/26/2024
13
Transmitter release
• Calcium entry via voltage gated channels is the trigger
• Explain the basis of suppression potential?
09/26/2024
14
Vesicle hypothesis of NT’s release
• NT’s are released in a quantal nature
• EPSP results from summation of the effect of all the
NT’s released.
• The lowest EPSP (mEPP) result from effect of a
number of NT’s released from one vesicle.
• mEPP is the smallest EPP evoked under low
calcium levels
09/26/2024
15
Vesicular release
• Docking Priming Fusion
→ →
• Involves specialized proteins called SNARE proteins
▫ v-SNARE: synaptobrevin
▫ t-SNARE: syntaxin & SNAP 25
• Involved in docking and priming
▫ Targeted by botulinum toxin.
• Fusion is mediated by a calcium sensor protein called
synaptotagmin at the active zone after local calcium levels
↑
09/26/2024
16
Recycling of synaptic vesicles
• 2 mechanisms:
▫ Endocytic pathway (fusion & collapse)
▫ The kiss & run fusion
09/26/2024
17
09/26/2024
18
Post synaptic potentials
• EPP
• EPSP
• IPSP
• Safety factor: ratio of synaptic potential to the
amplitude needed to reach threshold
▫ Higher for muscles than neurons
• Distinguish fast from slow synaptic transmission
09/26/2024
19
• The flow of ions across an ion channel is dictated by the
electrochemical gradient and predicted by:
Ix = gx X (Vm - Ex)
• The net inward current is called EPSC
• The potential at which there is no EPSC/EPSP is called
the reversal potential.
• Why does reversal potential occur in ligand gated and not
voltage gated channels?
09/26/2024
20
EPSP IPSP
Depolarizing Depolarizing or hyperpolarizing
↑ probability of an AP ↓ probability of an AP
Reversal potential is more positive
than threshold: {~0 mV (+/- 10 mV)}
Reversal potential is more negative
than threshold
Main channels: Na+ and K+ Main channels: K+ and Cl-
09/26/2024
21
Activity
• Discuss the differences between an electrical
synapse and a chemical synapse.
09/26/2024
22
SYNAPTIC INTEGRATION
• Spatial location in the dendritic tree is an
important determinant of efficacy
▫ Temporal summation
▫ Spatial summation
▫ Shunting effect
• How do IPSPs & EPSPs integrate?
09/26/2024
23
09/26/2024
24
• Dendrites and somas of most neurons contain
some active elements (gated channels) that can
amplify & alter the EPSPs & IPSPs. E.g.
▫ Na+ & Ca++ voltage gated channels activated by
EPSPs….
▫ Ca++ activated K+ channels…???
• Can a hyperpolarizing potential lead to a spike?
09/26/2024
25
Modulation of synaptic activity
• The strength of individual synapses can vary as a
function of their use or activity.
• I’m sure you read in advance, so in appreciation
let’s discuss the following:
09/26/2024
26
Paired pulse facilitation (PPF)
09/26/2024
27
Posttetanic potentiation
• Mainly due to changes in the presynaptic
terminal
• Increased quanta release of NT’s due to
increased intracellular Ca++ from the residual
Ca++ from the preceding stimuli
09/26/2024
28
09/26/2024
29
Synaptic depression
• Presynaptic: depletion of synaptic vesicles
• Postsynaptic: desensitization of receptors
09/26/2024
30
09/26/2024
31
• What happens when potentiation and
depression occur in the same synapse?
09/26/2024
32
Presynaptic receptors
• Can modulate neurotransmitter release
• Presynaptic inhibition
• Autoreceptors; serial synapse; nonsynaptically
acting NT’s.
09/26/2024
33
Activity
• Discuss long term potentiation and long term
depression and the role of calcium and nitric
oxide in these and in memory and learning.
09/26/2024
34
NEUROTRANSMITTERS
09/26/2024
35
Introduction
• Mediate chemical signaling
• Criteria:
▫ Synthesized by cell and present in presynaptic
terminal
▫ Released upon depolarization
▫ Have receptors on the postsynaptic membrane
• >100 potential NT’s
09/26/2024
36
Classification
• Small molecule transmitters
▫ Acetylcholine
▫ Amino acids
▫ Biogenic amines
▫ Purines
• Peptides
• Gaseous transmitters
• Classical vs. Non classical neurotransmitters
09/26/2024
37
A. SMALL MOLECULE TRANSMITTERS
1. ACETYLCHOLINE
• Location: both CNS & PNS e.g. NMJ
• Synthesis: acetyl coA + Choline with the aid of
cholineacetyltransferase.
• Fate: Degraded by acetylcholinesterase to
acetate & choline (reuptake for recycling)
09/26/2024
38
09/26/2024
39
• Receptors:
• Nicotinic:
▫ Ionotropic of cys loop superfamily
▫ Pentamers
▫ CNS (3α,2β), NMJ (2α,β,δ,ε)
▫ EPSP via cation selective channel
• Muscarinic:
▫ Metabotropic via different types of G proteins
▫ Subtypes M1-5
09/26/2024
40
09/26/2024
41
09/26/2024
42
2. Amino acids
a. Glutamate:
• Excitatory
• Precursor to GABA
• Fate???
09/26/2024
43
09/26/2024
44
09/26/2024
45
b. GABA & Glycine
• Inhibitory
• GABA:
▫ From glutamate (glutamic acid decarboxylase)
▫ In spiny neurons of striatum and purkinje of
cerebellum
• Glycine:
▫ Generally inhibitory
▫ Excitatory at NMDA receptors as a cotransmitter
09/26/2024
46
• Fate:
• GABA: uptake to nerve terminals and glia by
high affinity Na+-Cl- coupled symporter i.e.
GAT1,2,3,4
• Glycine: GlyT1&2 which is also a Na+-Cl-
coupled symporter.
09/26/2024
47
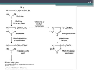
3. Biogenic amines
• E, NE, Dopamine, Serotonin, Histamine
• Fate:
▫ Reuptake into glia & neurons via the Na+-Cl-
coupled transporter
▫ Catecholamines then degraded by MAO & COMT
09/26/2024
48
09/26/2024
49
09/26/2024
50
• Location in CNS varies and indicates correlation
with their functions.
▫ NE- locus ceruleus
▫ Serotonin: Raphe nuclei
▫ Histamine: tubomammilary nuclei of
hypothalamus
▫ Dopamine: substantia nigra
▫ Epinephrine: autonomic nuclei
09/26/2024
51
09/26/2024
52
09/26/2024
53
4. Purines
• ATP:
▫ Transmitter or cotransmitter
▫ Present in all synaptic vessicles
▫ Glia cells may also release ATP
▫ Fate: broken down by ATPases and
5’nucleotidases to adenosine (reuptake by
presynaptic terminal via adenosine receptors)
09/26/2024
54
B. PEPTIDES
• >100 neuropeptides
• Main transmitter or co transmitter
• Compare and contrast the classic and peptide
neurotransmitters?
09/26/2024
55
09/26/2024
56
Opioid peptides
• Opiates vs. opioids
• 3 major classes:
▫ Enkephallins
▫ Endorphins
▫ Dynorphins
• Widely distributed in CNS & GIT
• Analgesics
09/26/2024
57
Substance P
• 11 aa; in CNS & GIT
• Pain transmission and affect smooth muscle
functions
• Enkephallins inhibit Sub P at the dorsal root
ganglia to inhibit pain pathways
09/26/2024
58
C. GAS NEUROTRANSMITTERS
• Widens scope of synaptic transmission
• NO, CO
• No receptors
• NO:
▫ Synthesized upon depolarization by NO synthase
▫ As a signal transduction molecule regulating the
guanylyl cyclase and acting on vascular smooth
muscles
09/26/2024
59
RECEPTORS
• IONOTROPIC:
• Ligand gated ion channels
• 4 superfamilies:
▫ Cysloop super family (Ach, Serotonin, GABA,
Glycine)
▫ Glutamate
▫ ATP
▫ Transient receptor potential chanels (pain &
thermal stimulus)
09/26/2024
60
09/26/2024
61
GABA & Glycine
• GABA a,c and glycine:
▫ Cysloop ionotropic receptors
▫ Cl- channels
▫ GABA a targeted by Benzodiazepines &
Barbiturates
• GABA b:
▫ Metabotropic- GTP – activates K+ chanels and
inhibits Ca++ chanels
09/26/2024
62
09/26/2024
63
Glutamate
• Metabotropic:
▫ Grp I (postsynaptic), Grp II,III (presynaptic)
• Ionotropic:
▫ AMPA & Kainase
▫ Cationic selective chanels Na+, K+, +/- Ca++
▫ NMDA: differs in that it
 Requires glutamate & glycine to bind to open
 Display voltage sensitivity due to Mg++ blockade
 Permeable to calcium & can act as a 2nd
messanger
09/26/2024
64
09/26/2024
65
Purine (ATP) receptors
• Ionotropic (P2x): cation sensitive (Na+, K+,Ca+)
• Metabotropic (P2y):
▫ G coupled to activate K+ chanells & modulate both
NMDA & voltage gated Ca++ chanells
• Adenosine receptors:
▫ Presynaptic
▫ Inhibits synaptic transmission by inhibiting Ca++
influx
09/26/2024
66
Biogenic amines receptors
• All metabotropic type receptors except one class
of serotonin receptors (5HT3) which are part of
the cysloop ionotropic family
09/26/2024
67
Neuropeptide receptors
• All metabotropic like biogenic amines
• Are exposed to lower agonists concentration
• More sensitive to their agonists
09/26/2024
68
09/26/2024
69
Gas neurotransmitters receptors
• Do not bind to receptors
• NO affects receptors by:
▫ Activating enzymes involved int the 2nd
messanger
cascade e.g. guanylyl cyclase
▫ Modifying the activities of other proteins by
nitrosyllating them e.g. NMDA receptors, Na+-K+
ATPase pump
09/26/2024
70
09/26/2024
71
Activity
• Discuss the NT’s one after the other under the
following subheadings:
▫ Synthesis
▫ Location
▫ Receptors
▫ Fate
▫ Activity/effects
▫ Classification
▫ Clinical application
• Discuss synaptic plasticity and learning
09/26/2024
72
“Be afraid of remaining stagnant not slow progress.”
THANK YOU

7_NM3 Synaptic Transmission in physiology