ELICOPTERE
Curs
CURS 1
INTRODUCERE
• Clasificări
– Autogirul
– Combinatul
– Convertoplanul
– Girodina
– Elicopterul
• Elicoptere
– Cu un singur rotor şi elice anticuplu
– Cu două rotoare coaxiale contrarotative
– Cu două rotoare în tandem
– Cu două rotoare alăturate
– multirotor
Scurt istoric
• 1452-1519 Leonardo da Vinci
• 1904 col. Renard (Franţa)
• 1907 Breguet şi Richet (Franţa)
• 1907 Paul Corun (Franţa)
• 1915 Papin şi Rouilly
• 1915 Juan de la Cierva
• 1935 Breuget şi Dorand
• 1941 Fock şi Angelis (Germania)
Scurt istoric
• 1918 Vuia 1
• 1921 Vuia 2
• 1939 VS-300 (Sikorski); Bell 47
• După 1945:
– URSS: Mill, Kamov, Yakovlev
– Franţa: SNCASO, SNCASE, SNCA, Societe
des giravions Dorand, Societe Breuget
– Marea Britanie: Bristol, Fairez, Percival,
Westland
Scurt istoric
• 1951-1955 K225, Alouette II
• ’70 materiale compozite
Tipuri constructive de elicoptere
• Monorotor cu elice anticuplu
• Birotor cu elici coaxiale contrarotative
• Birotor cu elici în tandem
• Birotor cu elici alăturate
• Multirotor
Monorotor cu elice anticuplu
Birotor cu elici coaxiale
contrarotative
Birotor cu elici în tandem
Birotor cu elici alăturate
Multirotor
Principiile constructive ale
rotorului de elicopter
• Rotorul asigură sustentaţia şi forţa de
înaintare
• Cerinţe d.p.d.v. aerodinamic:
– Asigurarea stabilităţii mişcărilor palelor
– Asigurarea unei viteze periferice de lucru sub
cea sonică
– Asigurarea unor momente de torsiune cât mai
reduse
Principiile constructive ale
rotorului de elicopter
• Cerinţe d.p.d.v. mecanic:
– Palele să nu transmită butucului vibraţii
– Momente încovoietoare cât mai reduse:
clasificare rotoare:
• Articulate
• Nearticulate (cantilever)
Articulaţia Orizontală (A.O.)
Articulaţia Verticală (A.V.)
Articulaţia Axială (A.A.)
Pârghia de schimbare a
incidenţei palei
Amortizor
Pala rotorului de elicopter
• Cracteristici:
– Forma in plan
• Dreptunghiulară
• Trapezoidală
• Dublu trpezoidală
– Torsiunea
– Profilul
Pala rotorului de elicopter
  r
V
r
Vp 

 
 sin
,
Se observă că:
0
,
0
1
.
0
;
2
3
.
;
2
. max







p
p
p
V
V
R
r
pt
V
V
R
r
pt




cercul de inversiune
Pala rotorului de elicopter
• Cerinţe pentru profil
– Mcr cât mai mare – pentru evitarea desprinde-
rilor în zona
– Fineţe cât mai mare
– Variaţie cât mai mică a poziţiei focarului cu M
– pentru a nu produce eforturi mari în
pârghia de comandă a incidenţei
2
3
 
0
0

m
C
Comanda rotorului
• Rolul rotorului - asigură:
– Sustentaţia
– Înaintarea şi comanda elicopterului
– Stabilitatea direcţională şi laterală
Comanda rotorului
• Unghiurile de aşezare ale palelor se pot
schimba:
– Simultan – “pasul general”
• Variaţia pasului general duce la modificarea
modulului tracţiunii ceea ce permite deplasarea pe
verticală a elicopterului. Modificarea pasului general
e cuplată cu modificarea turaţiei motorului –
“maneta pas-gaz”
– Alternativ – “variaţia ciclică a pasului”
• Variaţia ciclică a pasului duce la modificarea
direcţiei tracţiunii ceea ce permite deplasarea
înainte-înapoi şi lateral. Este comandată de “manşă”
• Direcţia este comandată din “paloniere” care modifică
pasul elicei anticuplu.
Probleme legate de construcţia
elicopterului
• Construcţia palei:
– Pala metalică
Bord de atac
Oţel inox
Bord de fugă
Oţel inox
Umplutură din
moltopren + nervuri
Înveliş din
tablă de dural
– Pala din materiale compozite
Bord de atac
Fibră de sticlă
Bord de fugă
Fibră de sticlă
Umplutură fagure
Înveliş din
fibră de sticlă
• Cerinţe pentru pale:
– Rezistenţă mecanică
– Precizie dimensională
– Rezistenţă la umiditate şi coroziune
– Posibilităţi de echilibrare statică şi dinamică
– Rigiditate faţă de cele trei mişcări posibile:
• Baleiaj
• Bătaie
• Schimbare de pas
Antrenarea rotorului
• Sursă de putere:
– Motor cu piston
– Turbomotor
– Reacţie la capătul palei
• Transmisie:
– Ambreiaj
– Reductor principal
– Arbore, articulaţie cardanică, reductor pentru
elicea anticuplu
• Cerinţe motor: idem ca la orice motor de
aviaţie
• Cerinţe transmisie:
– Greutate minimă
– Securitate în funcţionare
– Funcţionare fără vibraţii şi zgomot
– Durată mare în serviciu
– Acces uşor la montaj şi demontaj în timpul
întreţinerii
– Răcire bună în orice situaţie de zbor
– Randament maxim
Fuselajul
• Cerinţe:
– Formă aerodinamică pentru rezistenţă minimă
la înaintare
– La monorotor C.G. Să fie apropriat de axul
rotorului
– Să permită accesul uşor la motor, transmisie,
etc.
– Să permită o bună vizibilitate pilotului
Elicea anticulpu
• Pale drepte sau trapezoidale netorsionate,
articulate
• Se comandă doar variaţia pasului general
Centrajul elicopterului
• Componentele principale:
– Greutatea utilă
– Combustibil şi ulei 15-25%
– Instalaţia de forţă 14-22%
– Transmisia 7,8-9,3%
– Rotor 9-13%
– Elicea anticuplu 1%
– Comenzi 3-5,9%
– Aterizor 4,6-5,8%
– Fuselaj 12-16%
– Echipamente 4,6-5,7%
Limite de centraj
• Monorotor cu elice anticuplu
c

C.G.
 
0
0
1
,
3


c

Limite de centraj
• Birotor cu elici coaxiale contrarotative
 
0
0
2
,
3 


c

c

C.G.
c

C.G.
H H
Limite de centraj
• Birotor cu elici în tandem
 
0
0
5
,
5


c

c

C.G.
Limite de centraj
• Birotor cu elici alăturate
 
0
0
2
,
3


c

CURS 2
Aerodinamica elicopterului
• Aerodinamica rotorului în zborul axial (la punct
fix şi vertical)
• Aerodinamica rotorului în zborul cu înaintare
• Interacţiunea rotoarelor
• Aerodinamica organelor pasive
• Aerodinamica elicei anticuplu
• Se determină forţele şi momentele aerodinamice
ce acţionează în timpul zborului asupra
elicopterului
Aerodinamica rotorului
• Teorii aerodinamice:
– Teoria ideală
– Teoria elementului de pală
Teoria ideală
• Ipoteze:
– Rotorul este un disc permeabil infinit subţire,
cu un nr. infinit de pale care imprimă o
acceleraţie aerului ce îl străbate
– Curentul de aer antrenat de pale formează un
tub de curent de secţiune circulară la mare
distanţă în aval şi amonte de rotor
– Aerul este considerat nevâscos şi
imcompresibil, fără mişcare de rotaţie
• Aria
• Debitul
• Teorema impulsului
V
V+v
V+v1
2
R
A 

 
v
V
A
Q 
 
 
    
  T
v
v
V
A
T
V
v
V
A
v
V
v
V
A
T
QV
v
V
Q










1
1
1



• Teorema energiei
• Concluzie
   
       1
1
1
1
2
2
1
2
2
2
2
2
2
v
v
V
v
V
A
v
v
V
Q
v
V
T
v
V
T
V
Q
v
V
Q











 
v
v
v
v
v
V
v
V
2
;
2
1
2
2
1
1
1
1





• Viteza indusă
• Puterea indusă
   
A
T
V
V
v
v
Vv
A
v
v
V
A
T



2
4
2
2
2
2
2





















A
T
V
V
T
Tv
Pi

2
4
2
2
Teoria elementului de pală
• Curgerea în jurul unui element de pală
• Problemă de curgere bidimensională:
– Viteza relativă şi incidenţa determină forţele
aerodinamice ce acţionează pe elementul de
pală (profil)
– Se integrează în lungul palei (curgere axială)
– Se integrează în lungul palei şi după poziţia
azimutală (curgere oblică)
Zborul la punct fix
z
C
x
C

r
v
e
V
e



n
t
Axa de portanţă
nulă
 











e
e
r
v
v
r
V
arctan
2
2

















e
e
r
v
r
V
1
cos
tan
sin
Coeficienţii aerodinamici
z
x
t
z
n
z
x
t
x
z
n
C
C
C
C
C
C
C
C
C
C
C












sin
cos
sin
cos
Forţele elementare
 
    crdr
r
C
C
crdr
V
C
dQ
cdr
r
C
cdr
V
C
dT
z
x
e
t
z
e
n
2
2
2
2
2
2
2
2












Tracţiunea şi momentul
aerodinamice
 
   
   













R
z
R
x
R
z
x
R
z
crdr
r
C
n
crdr
r
C
n
crdr
r
C
C
n
M
cdr
r
C
n
T
0
2
0
2
0
2
0
2
2
2
2
2






 
 






R
z
i
R
x
pr
crdr
r
C
n
M
crdr
r
C
n
M
0
2
0
2
2
2



2
0
0 z
x
x
e
z
z
r
e
kC
C
C
C
C
R
r
r
v
























































2
3
2
2
2
2
3
2
0
0
2
2
0
2
2
vR
R
c
C
n
rdr
v
dr
r
c
C
n
dr
r
r
v
c
C
n
T
z
R
R
z
R
z









 



































2
3
2
4
2
8
2
4
2
2
2
2
2
3
4
2
2
2
4
2
0
3
2
2
4
2
0
3
2
2
0
0
0
R
v
R
v
R
ckC
n
R
cC
n
dr
r
r
v
ckC
n
R
cC
n
dr
r
kC
C
c
n
M
z
x
R
z
x
R
z
x
pr

































 
2
3
2
1
2
2
3
2
0
3
2
R
v
R
cvC
n
dr
r
r
v
r
C
v
c
n
M
z
R
z
i






Pala echivalentă
• Pala dreptunghiulară care produce aceeaşi
tracţiune şi acelaşi moment rezistent
• Coarda echivalentă
• Pasul echivalent
Coarda echivalentă
R
r
x
dx
cx
c
dr
cr
R
dr
r
dr
cr
c
dr
cr
C
n
dr
r
c
C
n
e
R
R
R
e
R
z
R
e
z













1
0
2
0
2
3
0
2
0
2
0
2
2
0
2
2
3
3
2
2


Pasul echivalent




























1
0
2
0
2
3
0
2
0
2
0
2
2
0
2
2
3
3
2
2
dx
x
dr
r
R
dr
r
dr
r
dr
r
r
v
C
c
dr
r
r
v
C
c
e
R
R
R
e
R
z
e
R
e
z
e








 

Exemplu: aripa trapezoidală
 










t
c
c
tx
c
c
e
4
3
1
1
0
0
r
e
r x






4
3
0
0




CURS 3
Calculul vitezei induse
• Viteza indusă se consideră ct. în planul
rotorului
• Regimuri de zbor:
– La punct fix
– Vertical în urcare sau coborâre
– Cu înaintare
Zborul vertical şi la punct fix
• Rotorul funcţionează în regim axial simetric
• Urcare: Viteza indusă şi viteza relativă sunt
coliniare şi au acelaşi sens (în jos); Nu apar
zone turbionare.
• Coborâre: Viteza indusă şi viteza relativă
sunt coliniare şi pot avea sens opus; Apar
zone turbionare.
Regimuri de zbor axial
• Regimul normal: urcare sau punct fix
 
2
0
2
0
2
4
2
2
2
2
4
2
2
v
V
V
v
C
R
A
T
v
A
T
V
V
v
v
v
V
A
T
t
















Regimuri de zbor axial
• Regimul turbionar: coborâre cu V<2v
• Teorema impulsului nu mai este
valabilă
• Caz particular: V=-v : regimul
cu inel de vârtejuri sau de
autorotaţie ideală
 
0
0
2
7
.
1
28
.
1
;
2
2
2
;
0
v
v
C
C
v
AC
T
v
AC
v
T
v
V
A
R
R
R
R











Regimuri de zbor axial
• Regimul “moară de vânt”: coborâre cu
V>2v
 
2
0
2
2
4
2
2
4
2
2
v
V
V
v
A
T
V
V
v
v
v
V
A
T













Regimul de zbor cu înaintare
• Rotorul funcţionează în regim oblic
• Viteza care atacă palele depinde şi de
poziţia azimutală
• Se constată experimental că ipoteza vitezei
induse constante este bine verificată
• Curgerea este uniformă şi nu apar zone
turbionare
   
   

















R
C
v
R
Av
T
RΩ
α
V
μ
R
v
V
V
v
V
Av
T
V
v
V
V
v
AV
T
t
2
2
2
2
2
2
2
2
1
1
4
2
înaintare
de
coef.
,
cos
tate
permeabili
de
coef.
,
sin
cos
sin
2
cos
sin
2














V
v
V1
Aria efectivă a discului
• Viteza indusă medie reală diferă de cea
teoretică cu:
– 8-15% în zbor la punct fix
– 8% în zbor cu înaintare
• Diferenţele se datoresc pierderilor
marginale şi centrale
• Se consideră pala între x1R şi BR cu
97
.
0
96
.
0
2
.
0
1
.
0
1




B
x  
înaintare
cu
zbor
92
.
0
fix
punct
la
zbor
85
.
0
75
.
0
2
2
1
2






e
e
R
e
x
B
R
A 

Analiza mişcării de bătaie
• Mişcarea de bătaie = oscilaţia unghiulară a palei în
articulaţia orizontală
• Permite
– Înlăturarea solicitării la încovoiere a palei în secţiunea
de prindere la butuc
– Uniformizarea forţelor pe pală în mişcarea cu înaintare
– Comanda rotorului în interdependenţă cu variaţia
ciclică a pasului
• Mişcarea de bătaie liberă: mişcarea produsă de
variaţia azimutală a vitezei şi incidenţei
elementelor de pală, pasul fiind menţinut constant
• Mişcarea de bătaie comandată: mişcarea produsă
de interdependenţa dintre mişcarea de bătaie liberă
şi variaţia ciclică a pasului
0

2

2
3


r
2
3
2
sin
min
max
















V
r
V
V
r
V
V
r
V
e
e
e
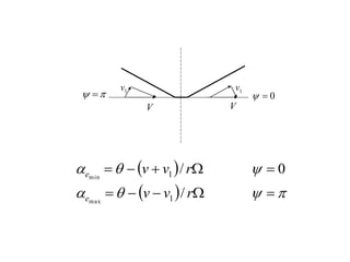
• Variaţia vitezei efective este ciclică (periodică)
între viteza maximă şi cea minimă
• La fel variază forţele şi momentele aerodinamice
• Momentul forţelor aerodinamice faţă de articulaţia
orizontală determină mişcarea de bătaie liberă.
• Viteza de variaţie a unghiului de bătaie
este similară cu a vitezei
• Unghiul de bătaie va avea extremele defazate cu
faţă de cele ale vitezei
dt
d
2

Incidenţa efectivă a elementului
de pală
• Pala înaintează
• Pala se retrage
 











r
dt
d
r
v
e




 ,
0
 











r
dt
d
r
v
e





 2
,
• Variaţia incidenţei este opusă variaţiei
vitezei
• Portanţa elementului de pală rămâne
aproximativ constantă cu poziţia azimutală
• Incidenţa efectivă variază şi datorită
faptului ca palele descriu o mişcare conică
• Componenta vitezei perpendiculară pe pală
are sensuri diferite în funcţie de poziţia
azimutală
0



 
V
V
1
v
1
v
 
  
















r
v
v
r
v
v
e
e
/
0
/
1
1
max
min
• Forţa portantă şi momentul variază similar,
ceea ce produce o mişcare de bătaie laterală
• Modificarea incidenţei datorită mişcării de
bătaie duce la o înclinare în plan
longitudinal, spre înapoi, şi o înclinare
laterală, spre dreapta, a conului descris de
pale.
• Are loc o uniformizare azimutală a
câmpului forţelor de portanţă
Expresia unghiului de bătaie
• Se admite o dezvoltare în serie Fourier a
unghiului de bătaie, din care reţinem numai
prima armonică


 sin
cos 1
1
0 b
a
a 


2
3
2
0
1
0
1
0
1
0
1
0























b
a
b
a
a
a
a
a
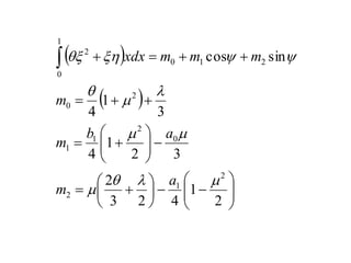
• Unghiul de conicitate: a0
• Înclinarea longitudinală: a1
• Înclinarea laterală: b1
1
a
Planul longitudinal
V 1
0 a
a 
1
0 a
a 
0



 
Planul lateral
1
0 b
a 
1
0 b
a 
2

 
2
3
 
1
b
CURS 4
Axe şi planuri de referinţă
• Comanda rotorului se face prin variaţia ciclică a
pasului după legea:
• Plane de referinţă:
– Planul de comandă: unghiul de bătaie variază ciclic iar
pasul rămâne constant
– Panul conului: pasul variază ciclic iar unghiul de
bătaie rămâne constant
– Planul de rotaţie: atât pasul cât şi unghiul de bătaie
variază ciclic



 sin
cos 1
1
0 B
A 


1
a
Planul longitudinal
V
1
A
0



 
Planul lateral
2

 
2
3
 
1
b
1
B
Axa de rotaţie
Axa conului
Axa de comandă
Plan de rotaţie
Planul conului
Plan de comandă
• Axe de referinţă:
– Axa de rotaţie: perpendiculară pe planul de
rotaţie
– Axa conului: perpendiculară pe planul conului
– Axa de comandă: perpendiculară pe planul de
comandă







sin
cos
sin
cos
1
1
0
1
1
0
B
A
b
a
a











sin
cos 1
1
0
0
B
A
a




0
1
1
0 sin
cos








 b
a
a
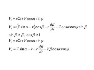
Variaţia vitezei şi incidenţei elementului
de pală în mişcarea cu înaintare
• Mişcările palei:
– Rotaţie – viteza tangenţială
– Translaţia rotorului cu viteza V – viteză
dependentă de azimut, incidenţa rotorului şi
unghiul de bătaie
– Bătaia palei – viteza verticală
– Viteza indusă a aerului, v

r
dt
d
r

0

2

2
3


r

r
e
V


n
t
t
V
n
V

cos
V

 cos
cos
V
dt
d
r


sin
V
v
 


















cos
cos
sin
sin
cos
1
cos
,
sin
sin
cos
cos
cos
sin
sin
cos
V
dt
d
r
v
V
V
V
r
V
V
dt
d
r
v
V
V
V
r
V
n
t
n
t
















• Coeficientul de permeabilitate:
• Gradul de înaintare
• Viteza



R
v
V 

sin


R
V 

cos
 





















cos
;
sin
dt
d
x
R
V
R
r
x
x
R
V
n
t
• În regimurile de zbor obişnuite t
n V
V 
 




















sin
cos
sin
cos
tan
sin



















x
dt
d
x
x
dt
d
x
V
V
x
R
V
V
e
t
n
t
e

s
m
Ve 50

s
m
100
s
m
150
s
m
200
s
m
250
0
2


2
3
o
e 12


o
10
o
8
o
6
o
4
0
2


2
3
• Viteza maximă
• Linia de viteză nulă
• Cercul de inversiune
 
2
,
1
1
max


 



 x
R
Ve
  0
sin
0 



 

x
R
Ve

sin


x
Relaţia pas ciclic – unghi de bătaie
• Incidenţa unui element de pală:
• Expresia ei diferă în funcţie de planul de
referinţă folosit, dar mărimea ei este aceeaşi
indiferent de referinţă








sin
cos






x
dt
d
x
e
Legătura dintre planul de comandă (indice D) şi planul conului:
 
   













































sin
cos
sin
cos
sin
cos
sin
cos
sin
cos
cos
sin
,
cos
sin
sin
cos
;
;
;
0
1
1
0
0
1
1
0
1
1
0
1
1
0
1
1
1
1
0
0
1
1
1










































x
a
B
A
a
B
A
x
b
a
a
b
a
x
dt
d
b
a
dt
d
b
a
a
a
a
R
V
R
v
V
R
v
V
R
v
V
a
e
D
e
D
D
D
D
D
D
D
D
D
• Prin identificarea coeficienţilor rezultă:
• Teorema de echivalenţă sau teorema lui
Lock
• Pentru planul de rotaţie se obţine:
1
1
1
1
A
b
B
a



r
r
r
r
A
b
b
B
a
a
1
1
1
1
1
1




Defazajul azimutal pas-unghi de bătaie
• Extremele unghiului de bătaie:
















1
2
1
1
1
1
1
1
1
;
arctan
tan
0
cos
sin
a
b
a
b
b
a
d
d
• Extremele pasului:
• Extremele pasului şi ale unghiului de bătaie
sunt defazate cu
1
tan
tan
;
arctan
tan
0
cos
sin
4
,
3
2
,
1
3
4
1
1
3
1
1
1
1
1
1























b
a
b
a
A
B
B
A
d
d
2

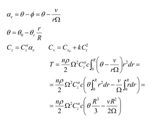
Calculul coeficienţilor mişcării
de bătaie – pala cu articulaţie
c
dF
i
dF
dP
dG
e
• Vom considera articulaţia centrală dacă
excentricitatea este mică în raport cu
lungimea palei
R
e 05
,
0

• Echilibrul momentelor forţelor faţă de
articulaţie defineşte unghiul de bătaie:
– Forţa de inerţie tangenţială:
– Forţa de inerţie centrifugală:
– Portanţa:
– Greutatea:
dm
dt
d
r
dFi 2
2


dm
r
dFc
2


cdr
C
V
dP z
e
2
2


gdm
dG 
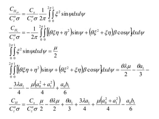
– Momentul forţelor de inerţie tangenţiale:
– Momentul forţelor centrifugale:
– Momentul portanţei:
– Momentul greutăţii:

 dm
dt
d
r
Mi 2
2
2 
 
 dm
r
Mc 
sin
2
2

 cdr
C
V
r
M z
e
p
2
2


 dm
rg
Mg 
cos
• Echilibru:
• Notaţii: momentul de inerţie al
palei şi momentul static al
palei
• Se obţine, în aproximaţia unghiurilor mici,
ecuaţia diferenţială a unghiului de bătaie:
0



 g
p
c
i M
M
M
M




rdm
S
dm
r
J
0
2
0
0
0
0
2
2
2
0
2
0
2
2
0
J
gS
J
M
dt
d
gS
M
J
dt
d
J
p
p












• Considerând pala echivalentă














cos
;
sin
;
2
0
2



















 

dt
d
x
C
C
x
R
V
crdr
C
V
rdP
M
z
z
e
R
z
e
p
 
   




















1
0
2
2
1
0
2
0
2
4
0
1
0
2
2
2
2
2
2
xdx
xdx
J
R
c
C
J
M
xdx
cR
C
R
M
z
p
z
p













• Numărul lui Lock:
0
4
J
R
c
Cz 



 
 
 
  




































sin
5
.
0
5
.
0
2
5
.
0
cos
5
.
1
2
2
2
25
.
0
75
.
0
2
sin
4
cos
4
sin
2
2
cos
sin
cos
cos
sin
1
0
2
2
1
1
2
1
1
1
1
0
2
0
1
1
1
0
2
1
2
1
2
0
2
2
2
1
2
1
2
2
2
1
1
2
1
2
0
2
1
2
2
2
1
2
1
0
1
1
b
a
x
b
x
a
x
a
x
b
a
a
a
a
x
b
a
x
b
a
b
a
a
x
b
a
x
a
a
b
x
a
x
b
x
x
x
b
a
a
x
b
a


















































 
 





































2
1
4
2
3
2
3
2
1
4
3
1
4
sin
cos
2
1
2
0
2
1
1
2
0
2
1
0
1
0
2













a
m
a
b
m
m
m
m
m
xdx
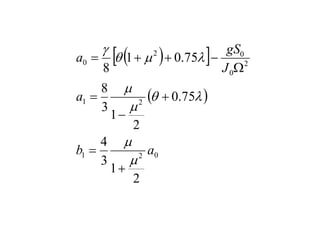
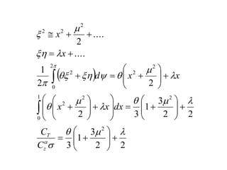
• Înlocuind în ecuaţia diferenţială a unghiului
de bătaie:
 
 
 
0
2
1
2
1
2
0
0
2
0
2
1
3
4
75
.
0
2
1
3
8
75
.
0
1
8
a
b
a
J
gS
a




















• Zbor la punct fix sau vertical:
 
0
75
.
0
8
0
1
1
2
0
0
0







b
a
J
gS
a 



CURS 5
Pala fără articulaţie de bătaie
• În secţiunea de încastrare momentul
rezultant al forţelor exterioare şi de inerţie
se echilibrează cu momentul forţelor
elastice.
• Momentul forţelor elastice este proporţional
cu unghiul de deformaţie a palei la
încastrare:
• Echilibrul momentelor:

k
Me 
0




 e
G
P
c
i M
M
M
M
M
• Constanta flexibilităţii palei:
• Ecuaţia diferenţială a unghiului de bătaie:
0
2
0
2
2
0 gS
M
k
J
dt
d
J P 



 


0
0
J
k


0
0
0
2
2
0
2
2
2
1
J
gS
J
M
dt
d P














 

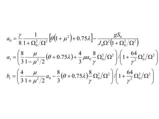
•Pulsaţia proprie a mişcării de bătaie nu mai este
egală cu viteza unghiulară a rotorului, ci este:
•Trebuie avut în vedere ca pulsaţia mişcării de bătaie
să nu devină dublul vitezei unghiulare:
caz în care ar trebui considerată şi armonica a doua a
momentului excitator (membrul drept al ecuaţiei de
deformaţie). Din fericire, condiţia de mai sus devine:
ceea ce nu se întâmplă în practică.





 2
1 2
2
0
2
2
0
1 



3
2
2
0 


• Nu există pericolul rezonanţei oscilaţiei de bătaie
cu armonica a doua a momentului portanţei, deci
vom putea dezvolta membrul drept al ecuaţiei de
deformaţie în serie Fourier, limitându-ne la prima
armonică:
 
0
0
2
1
0
2
2
2
0
2
2
2
sin
cos
2
1
1
J
gS
m
m
m
dt
d

















 




 
































2
1
4
2
3
2
3
2
1
4
;
3
1
4
2
1
2
0
2
1
1
2
0









a
m
a
b
m
m
• Înlocuind dezvoltarea în serie Fourier a unghiului
de bătaie în ecuaţia de deformaţie şi identificând
coeficienţii se obţin coeficienţii mişcării de bătaie
pentru pala fără articulaţie:
 
   
 
  




























































2
2
0
2
2
2
0
0
2
1
2
2
0
2
2
2
0
0
2
1
2
2
0
2
0
0
2
2
2
0
0
64
1
/
8
75
.
0
3
8
2
1
3
4
64
1
/
8
3
4
75
.
0
2
1
3
8
1
75
.
0
1
1
1
8

















a
b
a
a
J
gS
a
• Se constată, prin compararea cu pala
articulată, o conicitate a0 mai mică, o
înclinare longitudinală a1 mai mare, iar
înclinarea laterală b1 poate chiar să-şi
schimbe semnul, adică, în bătaia liberă,
conul descris de pale se poate înclina spre
stânga la viteze de înaintare mari.
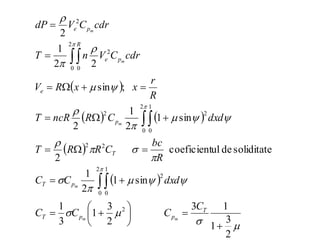
Forţele aerodinamice şi momentul
rezistent la arbore
• Tracţiunea rotorului este singura forţă
aerodinamică utilă. Ea asigură atât
sustentaţia cât şi forţa de înaintare.
• Pentru crearea tracţiunii se consumă energie
pentru învingerea momentului rezistent la
arbore.
• Determinarea puterii necesare la arbore
pentru dezvoltarea unei anumite forţe de
tracţiune.
• În zborul cu înaintare, în afara componentei
normale (tracţiune), mai apare şi o
componentă în planul rotorului, pe direcţia
de zbor, numită forţă longitudinală (H),
pentru crearea căreia se consumă energie
suplimentară.
• Pentru calcule se vor folosi coeficienţii
tracţiunii, momentului rezistent şi forţei
longitudinale.
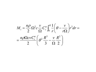
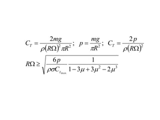
      A
R
H
C
RA
R
Q
C
A
R
T
C H
Q
T 2
2
2
2
;
2
;
2 








Coeficientul mediu al rezistenţei de profil
• Coeficientul rezistenţei de profil depinde de unghiul de
incidenţă
• Este variabil în planul rotorului atât după rază cât şi
după unghiul de azimut
• Se poate considera un coeficient mediu sub forma:
• Calculat pe baza unui coeficient mediu de portanţă,
determinat din condiţia ca portanţa medie al celor n
pale, într-o rotaţie, să fie egală cu tracţiunea rotorului.
 
2
1
0 m
p
x
x C
C
C 

 
   
 
 


























2
3
1
1
3
2
3
1
3
1
sin
1
2
1
soliditate
de
ul
coeficient
2
sin
1
2
1
2
;
sin
2
2
1
2
2
2
0
1
0
2
2
2
2
0
1
0
2
2
2
0 0
2
2



























T
p
p
T
p
T
T
p
e
R
p
e
p
e
C
C
C
C
d
dx
C
C
R
bc
C
R
R
T
d
dx
C
R
ncR
T
R
r
x
x
R
V
cdr
C
V
n
T
cdr
C
V
dP
m
m
m
m
m
m
• Această valoare medie a coeficientului de
portanţă se va folosi doar la calculul
coeficientului mediu al rezistenţei de profil.
• Rezistenţa indusă, în care intervine proiecţia
portanţei în planul de referinţă, se
calculează cu considerarea variaţiei
coeficientului de portanţă cu unghiul de
incidenţă.
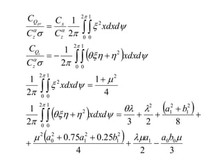
Coeficientul tracţiunii
   
 




















































2
0
1
0
2
2
0
1
0
2
2
2
0 0
2
2
2
2
1
2
1
2
,
,
2
2
2
2
d
dx
C
C
d
dx
R
R
nc
C
T
R
r
x
C
C
C
R
V
d
cdr
C
V
n
T
cdr
C
V
cdr
C
V
dT
z
T
z
z
e
z
p
e
R
p
e
p
e
n
e
 
2
2
3
1
3
2
2
3
1
3
2
2
2
1
....
....
2
2
2
1
0
2
2
2
2
2
0
2
2
2
2


















































































z
T
C
C
dx
x
x
x
x
d
x
x
 















2
2
3
1
3
2
2
3
fix
punct
La
2
2










z
T
T
z
T
C
C
A
R
mg
C
C
C
Coeficientul momentului rezistent
 
 
induse
i
rezistenţe
momentul
2
2
profil
de
i
rezistenţe
momentul
2
2
2
2
2
2
2
0 0
2
2
0 0
2
2
0 0
2
2
2




























d
crdr
C
V
n
Q
d
crdr
C
V
n
Q
d
crdr
C
C
V
n
Q
crdr
C
C
V
crdr
C
V
dQ
R
p
e
i
R
R
e
pr
R
p
R
e
p
R
e
t
e
 
   
 
3
2
4
25
.
0
75
.
0
8
2
3
2
1
4
1
2
1
2
1
2
1
0
0
1
2
1
2
1
2
0
2
2
1
2
1
2
2
0
1
0
2
2
2
0
1
0
2
2
0
1
0
2
2
0
1
0
2





























b
a
a
b
a
a
b
a
d
xdx
d
xdx
d
xdx
C
C
d
xdx
C
C
C
C
z
Q
z
x
z
Q
i
pr





















 
 


















z
T
z
x
z
x
z
Q
z
x
z
Q
C
C
C
C
C
C
C
C
b
a
,
μ
b
a
a
b
a
a
b
a
C
C
C
C




















4
2
3
4
1
0
0
verticală
pe
sau
fix
punct
la
zbor
În
3
2
4
25
.
0
75
.
0
8
2
3
4
1
2
1
1
0
0
1
2
1
2
1
2
0
2
2
1
2
1
2
2
Coeficientul forţei laterale
 
 
 
 
 
 























































2
0 0
2
2
0 0
2
2
0 0
2
2
2
cos
sin
2
2
sin
2
2
cos
sin
sin
2
2
cos
sin
sin
2
2
cos
sin
sin
cos
sin
d
cdr
C
V
n
H
d
cdr
C
V
n
H
d
cdr
C
C
V
n
H
cdr
C
C
V
cdr
C
V
dH
C
C
C
C
C
C
R
p
e
i
R
R
e
pr
R
p
R
e
p
R
e
l
e
p
R
l
n
t
l
   
 
   
 
 
 
6
4
4
3
3
2
2
6
4
4
3
3
2
cos
sin
2
sin
cos
sin
2
1
sin
2
1
1
0
2
1
2
0
1
1
1
0
2
1
2
0
1
1
2
0
1
0
2
2
2
0
1
0
2
2
0
1
0
2
2
2
0
1
0
2
b
a
a
a
a
a
C
C
C
C
b
a
a
a
a
a
dxd
dxd
dxd
C
C
dxd
C
C
C
C
z
x
z
H
z
H
z
x
z
H
i
pr












































































CURS 6
Limitele funcţionării normale a rotorului
• Anomalii de curgere ce se produc pe pale, în
zborul cu înaintare:
– Apariţia desprinderilor pe palele care execută
mişcarea de retragere, în zona azimutului de 270o, ca
urmare a depăşirii incidenţei critice;
– Intensificarea efectului compresibilităţii aerului, cu
apariţia undelor de şoc, pe palele care execută
mişcarea de înaintare, în zona azimutului de 90o, ca
urmare a depăşirii numărului Mach critic.
     
     
   
max
2
3
3
1
1
3
2
3
3
1
1
3
3
2
3
3
1
2
2
2
2
2
2
3
2
0
2
1
0
2
0
2
1
0
2
2
0
2
1
2
2
z
T
T
z
z
T
z
T
z
z
C
C
C
C
C
C
dx
x
dx
x
C
C
dx
x
dx
x
c
RC
R
dx
x
dx
x
c
RC
R
n
T
pala
pala
pala
pala
pala














































































   
3
2
2
2
2
2
2
3
3
1
1
6
2
;
;
2
max


















z
T
T
C
p
R
R
p
C
R
mg
p
R
R
mg
C
 
 












1
1
1
max
cr
cr
e
aM
R
M
a
R
R
V
Limita apariţiei
undei de şoc
Limita apariţiei
desprinderilor
Limita apariţiei
undei de şoc
Limita apariţiei
desprinderilor

R

R


 R
V 
CALCULUL
PERFORMANŢELOR
Ecuaţiile zborului permanent
• Principalele performanţe ale elicopterului:
– Vitezele caracteristice în zborul orizontal
– Vitezele ascensionale maxime
– Distanţa şi durata maxime de zbor
• Regimuri uzuale:
– Zborul cu înaintare, longitudinal, simetric
– Zborul vertical
• Zborul la punct fix este caz particular al celui cu
înaintare prin anularea gradului de înaintare (=0)
• Pentru studiul traiectoriilor (mişcarea C.G.) sunt
suficiente ecuaţiile de echilibru al forţelor în
planul longitudinal.
T
H
mg
z
x
-
V

• Plan de referinţă: planul de comandă (de pas
constant)
• Forţa aerodinamică a rotorului se
descompune în :
– Tracţiune T
– Forţa longitudinală H
• Unghiul de incidenţă al rotorului este
negativ
• Rezistenţa pasivă Rp
Ecuaţiile de mişcare






















0
0
sin
,
sin
,
1
cos
0
cos
sin
cos
0
sin
cos
sin
mg
T
mg
R
T
mg
H
T
mg
R
H
T
p
p













• În probleme de performanţe ecuaţiile de mai
sus servesc la calculul tracţiunii şi al
incidenţei rotorului pentru un regim de zbor
dat (H, V, ), astfel că, ecuaţiile de mişcare
se scriu:












T
H
R
mg
T
p
• Introducând coeficienţii adimensionali:
• Ecuaţiile de mişcare se scriu:
   
  2
2
2
2
2
2
;
2
2
;
2





A
R
R
A
f
f
V
R
f
A
R
H
C
A
R
T
C
p
p
H
T








 

















T
H
T
C
C
f
A
R
mg
C
2
2
2
Calculul puterii necesare
• Pentru studiul performanţelor se foloseşte
metoda puterilor necesare şi disponibile.
• Puterea necesară la arborele rotorului într-
un regim precizat de zbor:
• Legătura cu coeficientul momentului
  N
AC
R
N
3
2



  Q
N
Q C
C
Q
N
RAC
R
Q 



 ;
;
2
2

CURS 7
Metoda iterativă de calcul
• Pentru calculul puterii necesare la arbore
este suficient să calculăm coeficientul
momentului rezistent, ceea ce se face prin
rezolvarea ecuaţiilor de mişcare ale
elicopterului, ecuaţiei permeabilităţii şi
folosirea expresiilor coeficienţilor forţelor şi
momentului rezistent. La acestea se adaugă
expresiile coeficienţilor mişcării de bătaie.
 

















T
H
T
C
C
f
A
R
mg
C
2
2
2
2
2
4 





 T
C
2
2
3
1
3
2
















z
T
C
C
 
6
4
4
3
3
2
2
1
0
2
1
2
0
1
1 b
a
a
a
a
a
C
C
C
C
z
x
z
H













 

   
3
2
4
25
.
0
75
.
0
8
2
3
4
1
0
0
1
2
1
2
1
2
0
2
2
1
2
1
2
2






 

b
a
a
b
a
a
b
a
C
C
C
C
z
x
z
Q












 
 
 
0
2
1
2
1
2
0
0
2
0
2
1
3
4
75
.
0
2
1
3
8
75
.
0
1
8
a
b
a
J
gS
a




















 
   
 
  




























































2
2
0
2
2
2
0
0
2
1
2
2
0
2
2
2
0
0
2
1
2
2
0
2
0
0
2
2
2
0
0
64
1
/
8
75
.
0
3
8
2
1
3
4
64
1
/
8
3
4
75
.
0
2
1
3
8
1
75
.
0
1
1
1
8

















a
b
a
a
J
gS
a
• Din analiza ecuaţiilor de mai sus se observă
că problema nu poate fi rezolvată decât
iterativ, prin aproximaţii succesive.
• Presupunem că sunt date:
– Masa elicopterului
– Placa echivalentă, (un disc circular de arie A
care are aceeaşi rezistenţă la înaintare ca toate
organele pasive ale elicopterului)
– Caracteristicile rotorului
– Caracteristicile palei
f

,
, 
R
0
,
,
, 0
0 x
z C
C
J
S 
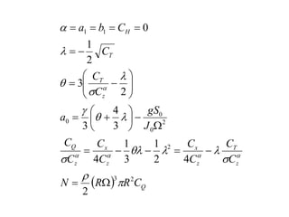
Algoritmul de calcul
• Pasul 1: se precizează regimul de zbor:
înălţimea, viteza şi panta traiectoriei
• Pasul 2: Se calculează coeficientul mediu al
rezistenţei de profil, la fiecare viteză
• Pasul 3: se calculează prima valoare
aproximativă a incidenţei rotorului:
2
cu
,
2
1




 x
H
T
H C
C
C
C
f





• Pasul 4: se calculează coeficientul de
permeabilitate corespunzător incidenţei 1,
tot printr-un procedeu iterativ, astfel:
– a)
– b)
– c) se compară  cu 1 şi dacă diferenţa este
mică se trece la pasul 5, altfel se continuă
iteraţia interioară până când se obţine precizia
dorită.



4
1
1
T
C


2
2
1
1
4 







i
T
i
C
• Pasul 5: se calculează pasul general:
• Pasul 6: se calculează coeficienţii mişcării
de bătaie
• Pasul 7: se calculează coeficientul forţei
longitudinale
• Pasul 8: se calculează o nouă valoare
aproximativă a incidenţei rotorului











2
2
3
1
3
2



 
z
T
C
C
• Pasul 9: se compară această aproximaţie a
incidenţei cu aproximaţia precedentă, şi
dacă diferenţa este mai mare decât eroarea
admisă se reiau toate operaţiile începând de
la punctul 4, până se atinge precizia dorită.
• Pasul 10: se calculează coeficientul
momentului rezistent.
• Pasul 11: se calculează puterea necesară; se
verifică încadrarea în limitele de funcţionare
normale ale rotorului.
Zborul la punct fix
• În zborul la punct fix algoritmul prezentat
nu mai este valabil, operaţia de la pasul 4
nefiind definită. Dar, în acest caz, problema
nu mai necesită iteraţii, existând o rezolvare
directă.
• În acest caz aria efectivă a discului este mai
mică , deci coeficientul
de tracţiune CT este mai mare decât cel
folosit la zborul cu înaintare.
85
.
0
75
.
0
,
2


 e
R
e
A 
  Q
z
T
z
x
z
x
z
Q
z
T
T
H
C
R
R
N
C
C
C
C
C
C
C
C
J
gS
a
C
C
C
C
b
a
2
3
2
2
0
0
0
1
1
2
4
2
1
3
1
4
3
4
3
2
3
2
1
0






















































399995337-Elicoptere-ppt.ppt

  • 1.
  • 2.
  • 3.
    INTRODUCERE • Clasificări – Autogirul –Combinatul – Convertoplanul – Girodina – Elicopterul
  • 4.
    • Elicoptere – Cuun singur rotor şi elice anticuplu – Cu două rotoare coaxiale contrarotative – Cu două rotoare în tandem – Cu două rotoare alăturate – multirotor
  • 5.
    Scurt istoric • 1452-1519Leonardo da Vinci • 1904 col. Renard (Franţa) • 1907 Breguet şi Richet (Franţa) • 1907 Paul Corun (Franţa) • 1915 Papin şi Rouilly • 1915 Juan de la Cierva • 1935 Breuget şi Dorand • 1941 Fock şi Angelis (Germania)
  • 6.
    Scurt istoric • 1918Vuia 1 • 1921 Vuia 2 • 1939 VS-300 (Sikorski); Bell 47 • După 1945: – URSS: Mill, Kamov, Yakovlev – Franţa: SNCASO, SNCASE, SNCA, Societe des giravions Dorand, Societe Breuget – Marea Britanie: Bristol, Fairez, Percival, Westland
  • 7.
    Scurt istoric • 1951-1955K225, Alouette II • ’70 materiale compozite
  • 8.
    Tipuri constructive deelicoptere • Monorotor cu elice anticuplu • Birotor cu elici coaxiale contrarotative • Birotor cu elici în tandem • Birotor cu elici alăturate • Multirotor
  • 9.
  • 10.
    Birotor cu elicicoaxiale contrarotative
  • 11.
    Birotor cu eliciîn tandem
  • 12.
    Birotor cu elicialăturate
  • 13.
  • 14.
    Principiile constructive ale rotoruluide elicopter • Rotorul asigură sustentaţia şi forţa de înaintare • Cerinţe d.p.d.v. aerodinamic: – Asigurarea stabilităţii mişcărilor palelor – Asigurarea unei viteze periferice de lucru sub cea sonică – Asigurarea unor momente de torsiune cât mai reduse
  • 15.
    Principiile constructive ale rotoruluide elicopter • Cerinţe d.p.d.v. mecanic: – Palele să nu transmită butucului vibraţii – Momente încovoietoare cât mai reduse: clasificare rotoare: • Articulate • Nearticulate (cantilever)
  • 16.
    Articulaţia Orizontală (A.O.) ArticulaţiaVerticală (A.V.) Articulaţia Axială (A.A.) Pârghia de schimbare a incidenţei palei Amortizor
  • 17.
    Pala rotorului deelicopter • Cracteristici: – Forma in plan • Dreptunghiulară • Trapezoidală • Dublu trpezoidală – Torsiunea – Profilul
  • 18.
    Pala rotorului deelicopter   r V r Vp      sin , Se observă că: 0 , 0 1 . 0 ; 2 3 . ; 2 . max        p p p V V R r pt V V R r pt     cercul de inversiune
  • 19.
    Pala rotorului deelicopter • Cerinţe pentru profil – Mcr cât mai mare – pentru evitarea desprinde- rilor în zona – Fineţe cât mai mare – Variaţie cât mai mică a poziţiei focarului cu M – pentru a nu produce eforturi mari în pârghia de comandă a incidenţei 2 3   0 0  m C
  • 20.
    Comanda rotorului • Rolulrotorului - asigură: – Sustentaţia – Înaintarea şi comanda elicopterului – Stabilitatea direcţională şi laterală
  • 21.
    Comanda rotorului • Unghiurilede aşezare ale palelor se pot schimba: – Simultan – “pasul general” • Variaţia pasului general duce la modificarea modulului tracţiunii ceea ce permite deplasarea pe verticală a elicopterului. Modificarea pasului general e cuplată cu modificarea turaţiei motorului – “maneta pas-gaz” – Alternativ – “variaţia ciclică a pasului” • Variaţia ciclică a pasului duce la modificarea direcţiei tracţiunii ceea ce permite deplasarea înainte-înapoi şi lateral. Este comandată de “manşă” • Direcţia este comandată din “paloniere” care modifică pasul elicei anticuplu.
  • 22.
    Probleme legate deconstrucţia elicopterului • Construcţia palei: – Pala metalică Bord de atac Oţel inox Bord de fugă Oţel inox Umplutură din moltopren + nervuri Înveliş din tablă de dural
  • 23.
    – Pala dinmateriale compozite Bord de atac Fibră de sticlă Bord de fugă Fibră de sticlă Umplutură fagure Înveliş din fibră de sticlă
  • 24.
    • Cerinţe pentrupale: – Rezistenţă mecanică – Precizie dimensională – Rezistenţă la umiditate şi coroziune – Posibilităţi de echilibrare statică şi dinamică – Rigiditate faţă de cele trei mişcări posibile: • Baleiaj • Bătaie • Schimbare de pas
  • 25.
    Antrenarea rotorului • Sursăde putere: – Motor cu piston – Turbomotor – Reacţie la capătul palei • Transmisie: – Ambreiaj – Reductor principal – Arbore, articulaţie cardanică, reductor pentru elicea anticuplu
  • 26.
    • Cerinţe motor:idem ca la orice motor de aviaţie • Cerinţe transmisie: – Greutate minimă – Securitate în funcţionare – Funcţionare fără vibraţii şi zgomot – Durată mare în serviciu – Acces uşor la montaj şi demontaj în timpul întreţinerii – Răcire bună în orice situaţie de zbor – Randament maxim
  • 27.
    Fuselajul • Cerinţe: – Formăaerodinamică pentru rezistenţă minimă la înaintare – La monorotor C.G. Să fie apropriat de axul rotorului – Să permită accesul uşor la motor, transmisie, etc. – Să permită o bună vizibilitate pilotului
  • 28.
    Elicea anticulpu • Paledrepte sau trapezoidale netorsionate, articulate • Se comandă doar variaţia pasului general
  • 29.
    Centrajul elicopterului • Componenteleprincipale: – Greutatea utilă – Combustibil şi ulei 15-25% – Instalaţia de forţă 14-22% – Transmisia 7,8-9,3% – Rotor 9-13% – Elicea anticuplu 1% – Comenzi 3-5,9% – Aterizor 4,6-5,8% – Fuselaj 12-16% – Echipamente 4,6-5,7%
  • 30.
    Limite de centraj •Monorotor cu elice anticuplu c  C.G.   0 0 1 , 3   c 
  • 31.
    Limite de centraj •Birotor cu elici coaxiale contrarotative   0 0 2 , 3    c  c  C.G.
  • 32.
    c  C.G. H H Limite decentraj • Birotor cu elici în tandem   0 0 5 , 5   c 
  • 33.
    c  C.G. Limite de centraj •Birotor cu elici alăturate   0 0 2 , 3   c 
  • 34.
  • 35.
    Aerodinamica elicopterului • Aerodinamicarotorului în zborul axial (la punct fix şi vertical) • Aerodinamica rotorului în zborul cu înaintare • Interacţiunea rotoarelor • Aerodinamica organelor pasive • Aerodinamica elicei anticuplu • Se determină forţele şi momentele aerodinamice ce acţionează în timpul zborului asupra elicopterului
  • 36.
    Aerodinamica rotorului • Teoriiaerodinamice: – Teoria ideală – Teoria elementului de pală
  • 37.
    Teoria ideală • Ipoteze: –Rotorul este un disc permeabil infinit subţire, cu un nr. infinit de pale care imprimă o acceleraţie aerului ce îl străbate – Curentul de aer antrenat de pale formează un tub de curent de secţiune circulară la mare distanţă în aval şi amonte de rotor – Aerul este considerat nevâscos şi imcompresibil, fără mişcare de rotaţie
  • 38.
    • Aria • Debitul •Teorema impulsului V V+v V+v1 2 R A     v V A Q             T v v V A T V v V A v V v V A T QV v V Q           1 1 1   
  • 39.
    • Teorema energiei •Concluzie            1 1 1 1 2 2 1 2 2 2 2 2 2 v v V v V A v v V Q v V T v V T V Q v V Q              v v v v v V v V 2 ; 2 1 2 2 1 1 1 1     
  • 40.
    • Viteza indusă •Puterea indusă     A T V V v v Vv A v v V A T    2 4 2 2 2 2 2                      A T V V T Tv Pi  2 4 2 2
  • 41.
    Teoria elementului depală • Curgerea în jurul unui element de pală • Problemă de curgere bidimensională: – Viteza relativă şi incidenţa determină forţele aerodinamice ce acţionează pe elementul de pală (profil) – Se integrează în lungul palei (curgere axială) – Se integrează în lungul palei şi după poziţia azimutală (curgere oblică)
  • 42.
    Zborul la punctfix z C x C  r v e V e    n t Axa de portanţă nulă              e e r v v r V arctan 2 2                  e e r v r V 1 cos tan sin
  • 43.
  • 44.
    Forţele elementare      crdr r C C crdr V C dQ cdr r C cdr V C dT z x e t z e n 2 2 2 2 2 2 2 2            
  • 45.
    Tracţiunea şi momentul aerodinamice                       R z R x R z x R z crdr r C n crdr r C n crdr r C C n M cdr r C n T 0 2 0 2 0 2 0 2 2 2 2 2      
  • 46.
  • 47.
  • 48.
  • 49.
  • 50.
    Pala echivalentă • Paladreptunghiulară care produce aceeaşi tracţiune şi acelaşi moment rezistent • Coarda echivalentă • Pasul echivalent
  • 51.
  • 52.
  • 53.
    Exemplu: aripa trapezoidală            t c c tx c c e 4 3 1 1 0 0 r e r x       4 3 0 0    
  • 54.
  • 55.
    Calculul vitezei induse •Viteza indusă se consideră ct. în planul rotorului • Regimuri de zbor: – La punct fix – Vertical în urcare sau coborâre – Cu înaintare
  • 56.
    Zborul vertical şila punct fix • Rotorul funcţionează în regim axial simetric • Urcare: Viteza indusă şi viteza relativă sunt coliniare şi au acelaşi sens (în jos); Nu apar zone turbionare. • Coborâre: Viteza indusă şi viteza relativă sunt coliniare şi pot avea sens opus; Apar zone turbionare.
  • 57.
    Regimuri de zboraxial • Regimul normal: urcare sau punct fix   2 0 2 0 2 4 2 2 2 2 4 2 2 v V V v C R A T v A T V V v v v V A T t                
  • 58.
    Regimuri de zboraxial • Regimul turbionar: coborâre cu V<2v • Teorema impulsului nu mai este valabilă • Caz particular: V=-v : regimul cu inel de vârtejuri sau de autorotaţie ideală   0 0 2 7 . 1 28 . 1 ; 2 2 2 ; 0 v v C C v AC T v AC v T v V A R R R R           
  • 59.
    Regimuri de zboraxial • Regimul “moară de vânt”: coborâre cu V>2v   2 0 2 2 4 2 2 4 2 2 v V V v A T V V v v v V A T             
  • 60.
    Regimul de zborcu înaintare • Rotorul funcţionează în regim oblic • Viteza care atacă palele depinde şi de poziţia azimutală • Se constată experimental că ipoteza vitezei induse constante este bine verificată • Curgerea este uniformă şi nu apar zone turbionare
  • 61.
                            R C v R Av T RΩ α V μ R v V V v V Av T V v V V v AV T t 2 2 2 2 2 2 2 2 1 1 4 2 înaintare de coef. , cos tate permeabili de coef. , sin cos sin 2 cos sin 2               V v V1
  • 62.
    Aria efectivă adiscului • Viteza indusă medie reală diferă de cea teoretică cu: – 8-15% în zbor la punct fix – 8% în zbor cu înaintare • Diferenţele se datoresc pierderilor marginale şi centrale • Se consideră pala între x1R şi BR cu 97 . 0 96 . 0 2 . 0 1 . 0 1     B x   înaintare cu zbor 92 . 0 fix punct la zbor 85 . 0 75 . 0 2 2 1 2       e e R e x B R A  
  • 63.
    Analiza mişcării debătaie • Mişcarea de bătaie = oscilaţia unghiulară a palei în articulaţia orizontală • Permite – Înlăturarea solicitării la încovoiere a palei în secţiunea de prindere la butuc – Uniformizarea forţelor pe pală în mişcarea cu înaintare – Comanda rotorului în interdependenţă cu variaţia ciclică a pasului • Mişcarea de bătaie liberă: mişcarea produsă de variaţia azimutală a vitezei şi incidenţei elementelor de pală, pasul fiind menţinut constant • Mişcarea de bătaie comandată: mişcarea produsă de interdependenţa dintre mişcarea de bătaie liberă şi variaţia ciclică a pasului
  • 64.
  • 65.
    • Variaţia vitezeiefective este ciclică (periodică) între viteza maximă şi cea minimă • La fel variază forţele şi momentele aerodinamice • Momentul forţelor aerodinamice faţă de articulaţia orizontală determină mişcarea de bătaie liberă. • Viteza de variaţie a unghiului de bătaie este similară cu a vitezei • Unghiul de bătaie va avea extremele defazate cu faţă de cele ale vitezei dt d 2 
  • 66.
    Incidenţa efectivă aelementului de pală • Pala înaintează • Pala se retrage              r dt d r v e      , 0              r dt d r v e       2 ,
  • 67.
    • Variaţia incidenţeieste opusă variaţiei vitezei • Portanţa elementului de pală rămâne aproximativ constantă cu poziţia azimutală • Incidenţa efectivă variază şi datorită faptului ca palele descriu o mişcare conică • Componenta vitezei perpendiculară pe pală are sensuri diferite în funcţie de poziţia azimutală
  • 68.
    0      V V 1 v 1 v                     r v v r v v e e / 0 / 1 1 max min
  • 69.
    • Forţa portantăşi momentul variază similar, ceea ce produce o mişcare de bătaie laterală • Modificarea incidenţei datorită mişcării de bătaie duce la o înclinare în plan longitudinal, spre înapoi, şi o înclinare laterală, spre dreapta, a conului descris de pale. • Are loc o uniformizare azimutală a câmpului forţelor de portanţă
  • 70.
    Expresia unghiului debătaie • Se admite o dezvoltare în serie Fourier a unghiului de bătaie, din care reţinem numai prima armonică    sin cos 1 1 0 b a a   
  • 71.
  • 72.
    • Unghiul deconicitate: a0 • Înclinarea longitudinală: a1 • Înclinarea laterală: b1 1 a Planul longitudinal V 1 0 a a  1 0 a a  0      Planul lateral 1 0 b a  1 0 b a  2    2 3   1 b
  • 73.
  • 74.
    Axe şi planuride referinţă • Comanda rotorului se face prin variaţia ciclică a pasului după legea: • Plane de referinţă: – Planul de comandă: unghiul de bătaie variază ciclic iar pasul rămâne constant – Panul conului: pasul variază ciclic iar unghiul de bătaie rămâne constant – Planul de rotaţie: atât pasul cât şi unghiul de bătaie variază ciclic     sin cos 1 1 0 B A   
  • 75.
    1 a Planul longitudinal V 1 A 0      Planullateral 2    2 3   1 b 1 B Axa de rotaţie Axa conului Axa de comandă Plan de rotaţie Planul conului Plan de comandă
  • 76.
    • Axe dereferinţă: – Axa de rotaţie: perpendiculară pe planul de rotaţie – Axa conului: perpendiculară pe planul conului – Axa de comandă: perpendiculară pe planul de comandă        sin cos sin cos 1 1 0 1 1 0 B A b a a            sin cos 1 1 0 0 B A a     0 1 1 0 sin cos          b a a
  • 77.
    Variaţia vitezei şiincidenţei elementului de pală în mişcarea cu înaintare • Mişcările palei: – Rotaţie – viteza tangenţială – Translaţia rotorului cu viteza V – viteză dependentă de azimut, incidenţa rotorului şi unghiul de bătaie – Bătaia palei – viteza verticală – Viteza indusă a aerului, v  r dt d r 
  • 78.
  • 79.
  • 80.
    • Coeficientul depermeabilitate: • Gradul de înaintare • Viteza    R v V   sin   R V   cos                        cos ; sin dt d x R V R r x x R V n t
  • 81.
    • În regimurilede zbor obişnuite t n V V                        sin cos sin cos tan sin                    x dt d x x dt d x V V x R V V e t n t e
  • 82.
  • 83.
    • Viteza maximă •Linia de viteză nulă • Cercul de inversiune   2 , 1 1 max         x R Ve   0 sin 0        x R Ve  sin   x
  • 84.
    Relaţia pas ciclic– unghi de bătaie • Incidenţa unui element de pală: • Expresia ei diferă în funcţie de planul de referinţă folosit, dar mărimea ei este aceeaşi indiferent de referinţă         sin cos       x dt d x e
  • 85.
    Legătura dintre planulde comandă (indice D) şi planul conului:                                                    sin cos sin cos sin cos sin cos sin cos cos sin , cos sin sin cos ; ; ; 0 1 1 0 0 1 1 0 1 1 0 1 1 0 1 1 1 1 0 0 1 1 1                                           x a B A a B A x b a a b a x dt d b a dt d b a a a a R V R v V R v V R v V a e D e D D D D D D D D D
  • 86.
    • Prin identificareacoeficienţilor rezultă: • Teorema de echivalenţă sau teorema lui Lock • Pentru planul de rotaţie se obţine: 1 1 1 1 A b B a    r r r r A b b B a a 1 1 1 1 1 1    
  • 87.
    Defazajul azimutal pas-unghide bătaie • Extremele unghiului de bătaie:                 1 2 1 1 1 1 1 1 1 ; arctan tan 0 cos sin a b a b b a d d
  • 88.
    • Extremele pasului: •Extremele pasului şi ale unghiului de bătaie sunt defazate cu 1 tan tan ; arctan tan 0 cos sin 4 , 3 2 , 1 3 4 1 1 3 1 1 1 1 1 1                        b a b a A B B A d d 2 
  • 89.
    Calculul coeficienţilor mişcării debătaie – pala cu articulaţie c dF i dF dP dG e • Vom considera articulaţia centrală dacă excentricitatea este mică în raport cu lungimea palei R e 05 , 0 
  • 90.
    • Echilibrul momentelorforţelor faţă de articulaţie defineşte unghiul de bătaie: – Forţa de inerţie tangenţială: – Forţa de inerţie centrifugală: – Portanţa: – Greutatea: dm dt d r dFi 2 2   dm r dFc 2   cdr C V dP z e 2 2   gdm dG 
  • 91.
    – Momentul forţelorde inerţie tangenţiale: – Momentul forţelor centrifugale: – Momentul portanţei: – Momentul greutăţii:   dm dt d r Mi 2 2 2     dm r Mc  sin 2 2   cdr C V r M z e p 2 2    dm rg Mg  cos
  • 92.
    • Echilibru: • Notaţii:momentul de inerţie al palei şi momentul static al palei • Se obţine, în aproximaţia unghiurilor mici, ecuaţia diferenţială a unghiului de bătaie: 0     g p c i M M M M     rdm S dm r J 0 2 0 0 0 0 2 2 2 0 2 0 2 2 0 J gS J M dt d gS M J dt d J p p            
  • 93.
    • Considerând palaechivalentă               cos ; sin ; 2 0 2                       dt d x C C x R V crdr C V rdP M z z e R z e p                           1 0 2 2 1 0 2 0 2 4 0 1 0 2 2 2 2 2 2 xdx xdx J R c C J M xdx cR C R M z p z p             
  • 94.
    • Numărul luiLock: 0 4 J R c Cz                                                  sin 5 . 0 5 . 0 2 5 . 0 cos 5 . 1 2 2 2 25 . 0 75 . 0 2 sin 4 cos 4 sin 2 2 cos sin cos cos sin 1 0 2 2 1 1 2 1 1 1 1 0 2 0 1 1 1 0 2 1 2 1 2 0 2 2 2 1 2 1 2 2 2 1 1 2 1 2 0 2 1 2 2 2 1 2 1 0 1 1 b a x b x a x a x b a a a a x b a x b a b a a x b a x a a b x a x b x x x b a a x b a                                                  
  • 95.
  • 96.
    • Înlocuind înecuaţia diferenţială a unghiului de bătaie:       0 2 1 2 1 2 0 0 2 0 2 1 3 4 75 . 0 2 1 3 8 75 . 0 1 8 a b a J gS a                    
  • 97.
    • Zbor lapunct fix sau vertical:   0 75 . 0 8 0 1 1 2 0 0 0        b a J gS a    
  • 98.
  • 99.
    Pala fără articulaţiede bătaie • În secţiunea de încastrare momentul rezultant al forţelor exterioare şi de inerţie se echilibrează cu momentul forţelor elastice. • Momentul forţelor elastice este proporţional cu unghiul de deformaţie a palei la încastrare: • Echilibrul momentelor:  k Me  0      e G P c i M M M M M
  • 100.
    • Constanta flexibilităţiipalei: • Ecuaţia diferenţială a unghiului de bătaie: 0 2 0 2 2 0 gS M k J dt d J P         0 0 J k   0 0 0 2 2 0 2 2 2 1 J gS J M dt d P                 
  • 101.
    •Pulsaţia proprie amişcării de bătaie nu mai este egală cu viteza unghiulară a rotorului, ci este: •Trebuie avut în vedere ca pulsaţia mişcării de bătaie să nu devină dublul vitezei unghiulare: caz în care ar trebui considerată şi armonica a doua a momentului excitator (membrul drept al ecuaţiei de deformaţie). Din fericire, condiţia de mai sus devine: ceea ce nu se întâmplă în practică.       2 1 2 2 0 2 2 0 1     3 2 2 0   
  • 102.
    • Nu existăpericolul rezonanţei oscilaţiei de bătaie cu armonica a doua a momentului portanţei, deci vom putea dezvolta membrul drept al ecuaţiei de deformaţie în serie Fourier, limitându-ne la prima armonică:   0 0 2 1 0 2 2 2 0 2 2 2 sin cos 2 1 1 J gS m m m dt d                                                          2 1 4 2 3 2 3 2 1 4 ; 3 1 4 2 1 2 0 2 1 1 2 0          a m a b m m
  • 103.
    • Înlocuind dezvoltareaîn serie Fourier a unghiului de bătaie în ecuaţia de deformaţie şi identificând coeficienţii se obţin coeficienţii mişcării de bătaie pentru pala fără articulaţie:                                                                        2 2 0 2 2 2 0 0 2 1 2 2 0 2 2 2 0 0 2 1 2 2 0 2 0 0 2 2 2 0 0 64 1 / 8 75 . 0 3 8 2 1 3 4 64 1 / 8 3 4 75 . 0 2 1 3 8 1 75 . 0 1 1 1 8                  a b a a J gS a
  • 104.
    • Se constată,prin compararea cu pala articulată, o conicitate a0 mai mică, o înclinare longitudinală a1 mai mare, iar înclinarea laterală b1 poate chiar să-şi schimbe semnul, adică, în bătaia liberă, conul descris de pale se poate înclina spre stânga la viteze de înaintare mari.
  • 105.
    Forţele aerodinamice şimomentul rezistent la arbore • Tracţiunea rotorului este singura forţă aerodinamică utilă. Ea asigură atât sustentaţia cât şi forţa de înaintare. • Pentru crearea tracţiunii se consumă energie pentru învingerea momentului rezistent la arbore. • Determinarea puterii necesare la arbore pentru dezvoltarea unei anumite forţe de tracţiune.
  • 106.
    • În zborulcu înaintare, în afara componentei normale (tracţiune), mai apare şi o componentă în planul rotorului, pe direcţia de zbor, numită forţă longitudinală (H), pentru crearea căreia se consumă energie suplimentară. • Pentru calcule se vor folosi coeficienţii tracţiunii, momentului rezistent şi forţei longitudinale.       A R H C RA R Q C A R T C H Q T 2 2 2 2 ; 2 ; 2         
  • 107.
    Coeficientul mediu alrezistenţei de profil • Coeficientul rezistenţei de profil depinde de unghiul de incidenţă • Este variabil în planul rotorului atât după rază cât şi după unghiul de azimut • Se poate considera un coeficient mediu sub forma: • Calculat pe baza unui coeficient mediu de portanţă, determinat din condiţia ca portanţa medie al celor n pale, într-o rotaţie, să fie egală cu tracţiunea rotorului.   2 1 0 m p x x C C C  
  • 108.
                                       2 3 1 1 3 2 3 1 3 1 sin 1 2 1 soliditate de ul coeficient 2 sin 1 2 1 2 ; sin 2 2 1 2 2 2 0 1 0 2 2 2 2 0 1 0 2 2 2 0 0 2 2                            T p p T p T T p e R p e p e C C C C d dx C C R bc C R R T d dx C R ncR T R r x x R V cdr C V n T cdr C V dP m m m m m m
  • 109.
    • Această valoaremedie a coeficientului de portanţă se va folosi doar la calculul coeficientului mediu al rezistenţei de profil. • Rezistenţa indusă, în care intervine proiecţia portanţei în planul de referinţă, se calculează cu considerarea variaţiei coeficientului de portanţă cu unghiul de incidenţă.
  • 110.
    Coeficientul tracţiunii                                                          2 0 1 0 2 2 0 1 0 2 2 2 0 0 2 2 2 2 1 2 1 2 , , 2 2 2 2 d dx C C d dx R R nc C T R r x C C C R V d cdr C V n T cdr C V cdr C V dT z T z z e z p e R p e p e n e
  • 111.
  • 112.
  • 113.
    Coeficientul momentului rezistent    induse i rezistenţe momentul 2 2 profil de i rezistenţe momentul 2 2 2 2 2 2 2 0 0 2 2 0 0 2 2 0 0 2 2 2                             d crdr C V n Q d crdr C V n Q d crdr C C V n Q crdr C C V crdr C V dQ R p e i R R e pr R p R e p R e t e
  • 114.
           3 2 4 25 . 0 75 . 0 8 2 3 2 1 4 1 2 1 2 1 2 1 0 0 1 2 1 2 1 2 0 2 2 1 2 1 2 2 0 1 0 2 2 2 0 1 0 2 2 0 1 0 2 2 0 1 0 2                              b a a b a a b a d xdx d xdx d xdx C C d xdx C C C C z Q z x z Q i pr                     
  • 115.
  • 116.
    Coeficientul forţei laterale                                                                   2 0 0 2 2 0 0 2 2 0 0 2 2 2 cos sin 2 2 sin 2 2 cos sin sin 2 2 cos sin sin 2 2 cos sin sin cos sin d cdr C V n H d cdr C V n H d cdr C C V n H cdr C C V cdr C V dH C C C C C C R p e i R R e pr R p R e p R e l e p R l n t l
  • 117.
                   6 4 4 3 3 2 2 6 4 4 3 3 2 cos sin 2 sin cos sin 2 1 sin 2 1 1 0 2 1 2 0 1 1 1 0 2 1 2 0 1 1 2 0 1 0 2 2 2 0 1 0 2 2 0 1 0 2 2 2 0 1 0 2 b a a a a a C C C C b a a a a a dxd dxd dxd C C dxd C C C C z x z H z H z x z H i pr                                                                            
  • 118.
  • 119.
    Limitele funcţionării normalea rotorului • Anomalii de curgere ce se produc pe pale, în zborul cu înaintare: – Apariţia desprinderilor pe palele care execută mişcarea de retragere, în zona azimutului de 270o, ca urmare a depăşirii incidenţei critice; – Intensificarea efectului compresibilităţii aerului, cu apariţia undelor de şoc, pe palele care execută mişcarea de înaintare, în zona azimutului de 90o, ca urmare a depăşirii numărului Mach critic.
  • 120.
                   max 2 3 3 1 1 3 2 3 3 1 1 3 3 2 3 3 1 2 2 2 2 2 2 3 2 0 2 1 0 2 0 2 1 0 2 2 0 2 1 2 2 z T T z z T z T z z C C C C C C dx x dx x C C dx x dx x c RC R dx x dx x c RC R n T pala pala pala pala pala                                                                              
  • 121.
       3 2 2 2 2 2 2 3 3 1 1 6 2 ; ; 2 max                   z T T C p R R p C R mg p R R mg C
  • 122.
                    1 1 1 max cr cr e aM R M a R R V Limitaapariţiei undei de şoc Limita apariţiei desprinderilor Limita apariţiei undei de şoc Limita apariţiei desprinderilor  R  R    R V 
  • 123.
  • 124.
    Ecuaţiile zborului permanent •Principalele performanţe ale elicopterului: – Vitezele caracteristice în zborul orizontal – Vitezele ascensionale maxime – Distanţa şi durata maxime de zbor • Regimuri uzuale: – Zborul cu înaintare, longitudinal, simetric – Zborul vertical • Zborul la punct fix este caz particular al celui cu înaintare prin anularea gradului de înaintare (=0) • Pentru studiul traiectoriilor (mişcarea C.G.) sunt suficiente ecuaţiile de echilibru al forţelor în planul longitudinal.
  • 125.
  • 126.
    • Plan dereferinţă: planul de comandă (de pas constant) • Forţa aerodinamică a rotorului se descompune în : – Tracţiune T – Forţa longitudinală H • Unghiul de incidenţă al rotorului este negativ • Rezistenţa pasivă Rp
  • 127.
  • 128.
    • În problemede performanţe ecuaţiile de mai sus servesc la calculul tracţiunii şi al incidenţei rotorului pentru un regim de zbor dat (H, V, ), astfel că, ecuaţiile de mişcare se scriu:             T H R mg T p
  • 129.
    • Introducând coeficienţiiadimensionali: • Ecuaţiile de mişcare se scriu:       2 2 2 2 2 2 ; 2 2 ; 2      A R R A f f V R f A R H C A R T C p p H T                            T H T C C f A R mg C 2 2 2
  • 130.
    Calculul puterii necesare •Pentru studiul performanţelor se foloseşte metoda puterilor necesare şi disponibile. • Puterea necesară la arborele rotorului într- un regim precizat de zbor: • Legătura cu coeficientul momentului   N AC R N 3 2      Q N Q C C Q N RAC R Q      ; ; 2 2 
  • 131.
  • 132.
    Metoda iterativă decalcul • Pentru calculul puterii necesare la arbore este suficient să calculăm coeficientul momentului rezistent, ceea ce se face prin rezolvarea ecuaţiilor de mişcare ale elicopterului, ecuaţiei permeabilităţii şi folosirea expresiilor coeficienţilor forţelor şi momentului rezistent. La acestea se adaugă expresiile coeficienţilor mişcării de bătaie.
  • 133.
                       T H T C C f A R mg C 2 2 2 2 2 4       T C 2 2 3 1 3 2                 z T C C   6 4 4 3 3 2 2 1 0 2 1 2 0 1 1 b a a a a a C C C C z x z H                     3 2 4 25 . 0 75 . 0 8 2 3 4 1 0 0 1 2 1 2 1 2 0 2 2 1 2 1 2 2          b a a b a a b a C C C C z x z Q            
  • 134.
         0 2 1 2 1 2 0 0 2 0 2 1 3 4 75 . 0 2 1 3 8 75 . 0 1 8 a b a J gS a                    
  • 135.
                                                                          2 2 0 2 2 2 0 0 2 1 2 2 0 2 2 2 0 0 2 1 2 2 0 2 0 0 2 2 2 0 0 64 1 / 8 75 . 0 3 8 2 1 3 4 64 1 / 8 3 4 75 . 0 2 1 3 8 1 75 . 0 1 1 1 8                  a b a a J gS a
  • 136.
    • Din analizaecuaţiilor de mai sus se observă că problema nu poate fi rezolvată decât iterativ, prin aproximaţii succesive. • Presupunem că sunt date: – Masa elicopterului – Placa echivalentă, (un disc circular de arie A care are aceeaşi rezistenţă la înaintare ca toate organele pasive ale elicopterului) – Caracteristicile rotorului – Caracteristicile palei f  , ,  R 0 , , , 0 0 x z C C J S 
  • 137.
    Algoritmul de calcul •Pasul 1: se precizează regimul de zbor: înălţimea, viteza şi panta traiectoriei • Pasul 2: Se calculează coeficientul mediu al rezistenţei de profil, la fiecare viteză • Pasul 3: se calculează prima valoare aproximativă a incidenţei rotorului: 2 cu , 2 1      x H T H C C C C f     
  • 138.
    • Pasul 4:se calculează coeficientul de permeabilitate corespunzător incidenţei 1, tot printr-un procedeu iterativ, astfel: – a) – b) – c) se compară  cu 1 şi dacă diferenţa este mică se trece la pasul 5, altfel se continuă iteraţia interioară până când se obţine precizia dorită.    4 1 1 T C   2 2 1 1 4         i T i C
  • 139.
    • Pasul 5:se calculează pasul general: • Pasul 6: se calculează coeficienţii mişcării de bătaie • Pasul 7: se calculează coeficientul forţei longitudinale • Pasul 8: se calculează o nouă valoare aproximativă a incidenţei rotorului            2 2 3 1 3 2      z T C C
  • 140.
    • Pasul 9:se compară această aproximaţie a incidenţei cu aproximaţia precedentă, şi dacă diferenţa este mai mare decât eroarea admisă se reiau toate operaţiile începând de la punctul 4, până se atinge precizia dorită. • Pasul 10: se calculează coeficientul momentului rezistent. • Pasul 11: se calculează puterea necesară; se verifică încadrarea în limitele de funcţionare normale ale rotorului.
  • 141.
    Zborul la punctfix • În zborul la punct fix algoritmul prezentat nu mai este valabil, operaţia de la pasul 4 nefiind definită. Dar, în acest caz, problema nu mai necesită iteraţii, existând o rezolvare directă. • În acest caz aria efectivă a discului este mai mică , deci coeficientul de tracţiune CT este mai mare decât cel folosit la zborul cu înaintare. 85 . 0 75 . 0 , 2    e R e A 
  • 142.