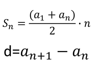
Арифметик<br />     ба геометр  <br />       прогресс<br /> d>0  бол өсдөг   <br /> d<0 бол буурдаг   <br /> d=0  бол тогтмол<br />an=a1+(n-1)∙d<br />an+1=an+an+22<br />Sn=(a1+an)2∙n<br /> <br />      d=an+1-an<br />   Өсөх геометр прогресс<br />  b1>0    q>1<br /> b1<0  0<q<1<br />Буурах геометр прогресс<br /> b1>0  0<q<1<br /> b1<0    q>1<br />q =   bn+1bn<br />bn=b1∙qn-1<br />bk=bk-1∙bk+1 <br /> <br />Sn=b1∙(qn-1)q-1<br />   Sn=b1∙(1-qn)1-q<br />Sn=bn+1-b1q-1<br /> Sn=b1-bn+11-q<br />
прогресс1
прогресс1
прогресс1
прогресс1
прогресс1
прогресс1
прогресс1
прогресс1
прогресс1

прогресс1

  • 1.
    Арифметик<br /> ба геометр <br /> прогресс<br /> d>0 бол өсдөг <br /> d<0 бол буурдаг <br /> d=0 бол тогтмол<br />an=a1+(n-1)∙d<br />an+1=an+an+22<br />Sn=(a1+an)2∙n<br /> <br /> d=an+1-an<br /> Өсөх геометр прогресс<br /> b1>0 q>1<br /> b1<0 0<q<1<br />Буурах геометр прогресс<br /> b1>0 0<q<1<br /> b1<0 q>1<br />q = bn+1bn<br />bn=b1∙qn-1<br />bk=bk-1∙bk+1 <br /> <br />Sn=b1∙(qn-1)q-1<br /> Sn=b1∙(1-qn)1-q<br />Sn=bn+1-b1q-1<br /> Sn=b1-bn+11-q<br />