Embed presentation
Downloaded 11 times




















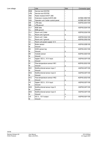
This 3 page document provides details on the installation and connection of various components for a boiler controller system, including basic controller units, extension modules, operator units, room units, and wireless components. It includes diagrams of the components, descriptions of their terminals and connections, and mounting instructions. Safety notes are provided at the beginning regarding product liability.



















