Important for :
Conversion from traveltime to depth
Check of results by modeling
Imaging of the data (migration)
Classification and Filtering of Signal and Noise
Predictions of the Lithology
Aid for geological Interpretation
Seismic Velocities
Seismic velocities
 Can be written as function of physical quantities
that describe stress/strain relations
 Depend on medium properties
 Measurements of velocities
 Definitions of velocities (interval, rms, average
etc.)
 Dix formula: relation between rms and interval
velocities
 Anisotropy
Physical quantities to describe stress-strain
properties of isotropic medium
 Bulk modulus k volume
stress/strain
 Shear modulus  shear
stress/strain
 Poissons ratio  transverse/longitudinal
strain
 Young’s modulus E longitudinal stress/strain
Bulk modulus
V
V
P
k
/
κ
1



Bulk modulus:
 = compressibility
Shear modulus
tanθ
τ
μ 
Shear modulus:
The shear modulusis zero for fluids and gaseous media
ΔL/L
F/A

ΔL
is the shear stress
Poissons ratio
Poisson’s ratio varies from 0 to ½.
Poisson’s ratio has the value ½ for fluids
μ)
2(3k
2μ
3k
σ



-
Young’s modulus
L+
μ
3k
9kμ
E



= Shear modulus
ρ
2μ
λ
ρ
3
4μ
k
p




v
ρ
μ

s
v

= Lame’s lambda constant μ
3
2
k
λ 

Seismic Velocities in a homogeneous medium
k = Bulk modulus
 = mass density
Can be expressed as function of different combinations of
K, , E, , , 
Often used expressions
are:
E = Young’s modulus
 = Poisson ratio
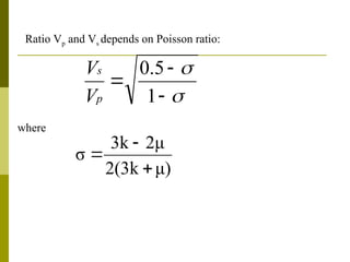
Ratio Vp and Vs depends on Poisson ratio:





1
5
.
0
p
s
V
V
μ)
2(3k
2μ
3k
σ



where
Seismic velocity
Depend on
 Matrix and structure of the stone
 Lithology
 Porosity
 Porefilling interstitial fluid
 Temperature
 Degree of compaction
 ………
Seismic Velocity depending on rock properties
(Sheriff und Geldard, 1995)
Measurements of velocities
 Laboratory measurements using probes
 Borehole measurements
 Refraction seismics
 Analysis of reflection hyperbolas
 Vertical seismic profiling
Kearey and Brooks, 1991
Unconsolidated Material
Sand (dry)
Sand (water saturated)
Clay
Glacial till (water saturated)
Permafrost
Sedimentary rocks
Sandstone
Tertiary sandstone
Pennant sandstone (Carboniferous)
Cambrian quartzite
Limestones
Cretaceous chalk
Jurassic oolites and bioclastic limestones
Carboniferous limestone
Dolomites
Salt
Anhydrite
Gypsum
0.2 - 1.0
1.5 - 2.0
1.0 - 2.5
1.5 - 2.5
3.5 - 4.0
2.0 - 6.0
2.0 - 2.5
4.0 - 4.5
5.5 - 6.0
2.0 - 6.0
2.0 - 2.5
3.0 - 4.0
5.0 - 5.5
2.5-6.5
4.5 - 5.0
4.5 - 6.5
2.0 - 3.5
P-wave velocities vp for different material in (km/s)
Igneous / Metamorphic rocks
Granite
Gabbro
Ultramafic rocks
Serpentinite
Pore fluids
Air
Water
Ice
Petroleum
Other materials
Steel
Iron
Aluminium
Concrete
5.5 - 6.0
6.5 - 7.0
7.5 - 8.5
5.5 - 6,5
0.3
1.4 - 1.5
3.4
1.3 - 1.4
6.1
5.8
6.6
3.6
P-wave velocities vp for different material in (km/s)
Kearey and Brooks, 1991
Interval-Velocity
Instantaneous Velocity
Average-Velocity
m
n
m
n
m
n
m
I
τ
z
z
t
t
z
z
V





t
z
d
d
Vinst 









 n
i
i
n
i
i
n
i
i
n
i
i
av
v
z
V
1
1
i
1
1
τ
τ
τ
Velocities
tm : measured reflected ray traveltime
m : one-way reflected ray traveltime only through mth
layer
V1, 1
v2 , 2
v3 , 3
RMS-velocity (root-mean-square)
Several horizontal layers




 n
i
i
n
i
i
i
rms
v
v
1
1
2
2
τ
τ
t1
t2 t3
Measured
traveltimes
Conversion from vrms in vint (interval velocities)
Dix’ Formula
n
RMS
V ,
n-1
n
int
V
   












1
1
2
1
,
2
,
int
n
n
n
n
RMS
n
n
RMS
t
t
t
V
t
V
V
1
, 
n
RMS
V
n
t
1

n
t
Vrms is approximated by the stacking velocity that is obtained by
NMO correction of a CMP measurement.
(when maximum offset is small compared with reflector depth)
Fast
Anisotropy
Slow
Anisotropy(seismic): Variation of seismic velocity depending
on the direction in which it is measured.

04_velocity Analysis in Post stack processing.ppt

  • 1.
    Important for : Conversionfrom traveltime to depth Check of results by modeling Imaging of the data (migration) Classification and Filtering of Signal and Noise Predictions of the Lithology Aid for geological Interpretation Seismic Velocities
  • 2.
    Seismic velocities  Canbe written as function of physical quantities that describe stress/strain relations  Depend on medium properties  Measurements of velocities  Definitions of velocities (interval, rms, average etc.)  Dix formula: relation between rms and interval velocities  Anisotropy
  • 3.
    Physical quantities todescribe stress-strain properties of isotropic medium  Bulk modulus k volume stress/strain  Shear modulus  shear stress/strain  Poissons ratio  transverse/longitudinal strain  Young’s modulus E longitudinal stress/strain
  • 4.
  • 5.
    Shear modulus tanθ τ μ  Shearmodulus: The shear modulusis zero for fluids and gaseous media ΔL/L F/A  ΔL is the shear stress
  • 6.
    Poissons ratio Poisson’s ratiovaries from 0 to ½. Poisson’s ratio has the value ½ for fluids μ) 2(3k 2μ 3k σ    -
  • 7.
  • 8.
     = Shear modulus ρ 2μ λ ρ 3 4μ k p     v ρ μ  s v  =Lame’s lambda constant μ 3 2 k λ   Seismic Velocities in a homogeneous medium k = Bulk modulus  = mass density Can be expressed as function of different combinations of K, , E, , ,  Often used expressions are: E = Young’s modulus  = Poisson ratio
  • 9.
    Ratio Vp andVs depends on Poisson ratio:      1 5 . 0 p s V V μ) 2(3k 2μ 3k σ    where
  • 10.
    Seismic velocity Depend on Matrix and structure of the stone  Lithology  Porosity  Porefilling interstitial fluid  Temperature  Degree of compaction  ………
  • 11.
    Seismic Velocity dependingon rock properties (Sheriff und Geldard, 1995)
  • 13.
    Measurements of velocities Laboratory measurements using probes  Borehole measurements  Refraction seismics  Analysis of reflection hyperbolas  Vertical seismic profiling
  • 14.
    Kearey and Brooks,1991 Unconsolidated Material Sand (dry) Sand (water saturated) Clay Glacial till (water saturated) Permafrost Sedimentary rocks Sandstone Tertiary sandstone Pennant sandstone (Carboniferous) Cambrian quartzite Limestones Cretaceous chalk Jurassic oolites and bioclastic limestones Carboniferous limestone Dolomites Salt Anhydrite Gypsum 0.2 - 1.0 1.5 - 2.0 1.0 - 2.5 1.5 - 2.5 3.5 - 4.0 2.0 - 6.0 2.0 - 2.5 4.0 - 4.5 5.5 - 6.0 2.0 - 6.0 2.0 - 2.5 3.0 - 4.0 5.0 - 5.5 2.5-6.5 4.5 - 5.0 4.5 - 6.5 2.0 - 3.5 P-wave velocities vp for different material in (km/s)
  • 15.
    Igneous / Metamorphicrocks Granite Gabbro Ultramafic rocks Serpentinite Pore fluids Air Water Ice Petroleum Other materials Steel Iron Aluminium Concrete 5.5 - 6.0 6.5 - 7.0 7.5 - 8.5 5.5 - 6,5 0.3 1.4 - 1.5 3.4 1.3 - 1.4 6.1 5.8 6.6 3.6 P-wave velocities vp for different material in (km/s) Kearey and Brooks, 1991
  • 18.
    Interval-Velocity Instantaneous Velocity Average-Velocity m n m n m n m I τ z z t t z z V      t z d d Vinst           n i i n i i n i i n i i av v z V 1 1 i 1 1 τ τ τ Velocities tm : measured reflected ray traveltime m : one-way reflected ray traveltime only through mth layer
  • 19.
    V1, 1 v2 ,2 v3 , 3 RMS-velocity (root-mean-square) Several horizontal layers      n i i n i i i rms v v 1 1 2 2 τ τ t1 t2 t3 Measured traveltimes
  • 20.
    Conversion from vrmsin vint (interval velocities) Dix’ Formula n RMS V , n-1 n int V                 1 1 2 1 , 2 , int n n n n RMS n n RMS t t t V t V V 1 ,  n RMS V n t 1  n t Vrms is approximated by the stacking velocity that is obtained by NMO correction of a CMP measurement. (when maximum offset is small compared with reflector depth)
  • 21.
    Fast Anisotropy Slow Anisotropy(seismic): Variation ofseismic velocity depending on the direction in which it is measured.

Editor's Notes

  • #5 Where tau is the shear stress
  • #11 Ss= sand,sandstone LS= limestone, DO=Dolomite
  • #16 Different people have investigated the velocity of P-waves for various lithologies 1-7. They all found different values Range of values and the overlap!