Quantum Error Correction
for Beginners(2)
section 1-9
2020/04/24 WebEx
National Institute of Informatics
Shin Nishio
Paper
[1] Simon J. Devitt, Kae Nemoto, William J. Munro
Quantum Error Correction for Beginners
(Submitted on 18 May 2009, last revised 21 Jun 2013 (this version, v4))
arXiv[quant-ph] 0905.2794
Hands-on: implementation based on [1], written in Qiskit by Shin
https://github.com/parton-quark/QEC-for-Beginners
Abstract
QEC and fault-tolerant quantum computation
• Theoretical aspect of QIS
• Significant development since 1995
• An introduction for researchers other than QEC
2
Paper
3
Xavier
Shin (1)
Shin (2)
6. Quantum Error Detection
4
• Post-selected quantum computation
• encode ancilla qubits with error detecting circuits
• faster & requires fewer qubits than active QEC
• the 4-qubit code
• most simple QED
• encoding 2 qubits state into 4 qubit
• 2 qubits ancilla
• no information about where the error occured
• measurement ancilla qubits
• bit flip in the 4 qubit → ⟩|10
• phase flip in the 4 qubit → ⟩|01
7. Stabilizer formalism
5
• The quantum state can be described by using operators 𝑂
and eigenvalue 𝜆.
• 𝑂, 𝜆 = 𝑋, 1 ∶
⟩|# $ ⟩|%
&
• 𝑂, 𝜆 = 𝑌, −1 ∶
⟩|# '( ⟩|%
&
• 𝑂, 𝜆 = 𝑍% 𝑍& + 𝑋% 𝑋&, 2 ∶
⟩|## $ ⟩|%%
&
𝑂, 𝜆 = 𝑍% + 𝑍&, 0 : ⟩|01 or ⟩|10
𝑂, 𝜆 = 𝑍% + 𝑍&, +𝑍% 𝑍&, 3 = 𝑍% + 𝑍&, 2 : ⟩|00
6
Stabilizer formalism
• Introduced by Daniel Gottesman[2]
• The quantum state can be described by using operators 𝑂
and eigenvalue 𝜆.
• Let {𝑆𝑖} be 𝑛 chosen operators from the Pauli group.
• the Pauli group 𝒫 = ±1, ±𝑖 × 𝐼, 𝑋, 𝑌, 𝑍 ⊗*
• 𝑂 = ∑(+%
*
𝑆(
• Use 𝑆( with maximum eigenvalue as Quantum State
[2] Daniel Gottesman, Stabilizer Codes and Quantum Error Correction, arXiv:quant-ph/9705052 (1997)
GHZ state
⟩| 𝐺𝐻𝑍 =
⟩|000 + ⟩|111
2
𝑆! = 𝐾"
+ 𝐾#
+ 𝐾$
𝐾"
= 𝜎% ⊗ 𝜎% ⊗ 𝜎% = XXX
𝐾#
= 𝜎& ⊗ 𝜎& ⊗ 𝜎' = ZZI
𝐾$
= 𝜎' ⊗ 𝜎& ⊗ 𝜎( = IZZ
7
• Stabilizer state ⟩|Ψ
𝐾 ⟩|Ψ = ⟩|Ψ for ∀𝐾 ∈ 𝑆(stabilizer operator)
e.g. σ, ⟩|0 = ⟩|0 : ⟩|0 is stabilized by the operator σ,
• Stabilizer group
for 𝑎 ∈ 𝐴, the set of element of G which keep 𝑎 unchanged
𝑆- 𝑎 = 𝑔 ∈ 𝐺 𝑔𝑎 = 𝑎}
example of stabilizer state
• 𝐾 = 𝑋𝑋, 𝑍𝑍 Bell state
⟩|## $ ⟩|%%
&
• 𝐾 = 𝑍𝑍𝐼, 𝐼𝑍𝑍, 𝑋𝑋𝑋 GHZ state
⟩|### $ ⟩|%%%
&
8. QEC with stabilizer code
8
• The 7-qubit Steane code[3]
• 𝑛, 𝑘, 𝑑 = [[7,1,3]], 𝑡 =
.'%
&
= 1
[3] Steane, Andrew M. "Error correcting codes in quantum theory." Physical Review Letters 77.5 (1996): 793.
Physical Qubits
Logical qubits
distance
Encoding
fix the encoded data into two codewords
̅𝑍 = 𝑍𝑍𝑍𝑍𝑍𝑍𝑍 = 𝑍⊗"
where ̅𝑍 ⟩|0 # = ⟩|0 #, ̅𝑍 ⟩|1 # = ⟩−|1 #
9
A. State preparation
circuit for prepare the [[7,1,3]]
logical state ⟩|0 #
parity measurement(operator measurement)
⟩| 𝜓 $ =
⟩| 𝜓 % + 𝑈 ⟩| 𝜓 % ⟩|0 + ⟩| 𝜓 % − 𝑈 ⟩| 𝜓 % ⟩|1
2
anc ⟩|0
⟩| 𝜓 $ = ⟩| 𝜓 % + 𝑈 ⟩| 𝜓 %
anc ⟩|1
⟩| 𝜓 $ = ⟩| 𝜓 % − 𝑈 ⟩| 𝜓 %This image is from [1]
This image is from [1]
10
B. Error Correction
This image is from [1]
9. Digitization of quantum errors
11
Digitization of quantum noise
→ examine the stability of QIP, calculate thresholds for QEC
A. Systematic gate errors
assumption:
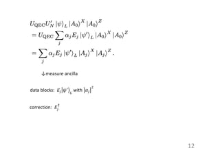
• N-qubit unitary operator 𝑈9 is applied inaccurately
• resultant operation: 𝒰9
𝒰) ⟩| 𝜓 * = 𝑈+ 𝑈) ⟩| 𝜓 * = /
,
𝛼, 𝐸, 23𝜓# *
coherent error op perfectly applied
where 𝐸& ∈ 𝒫'
[QEC] append ancilla blocks =>𝐴(
)
, =>𝐴(
*
for {𝑋, 𝑍} correction
12
↓measure ancilla
data blocks: 𝐸& =>𝜓+
#
with 𝛼&
,
correction: 𝐸&
-
13
B. Environmental decoherence
The Lindblad formalism: Environmental effects
Hamiltonian
coherent, dynamical incoherent
assumption
• not undergoing any coherent evolution
Solve 𝜕.
1. Dephasing
𝐿/ = 𝑍
2. Spontaneous emission/absorption
(same rate)
𝐿, = ⟩|0 ⟨ |1
𝐿0 = ⟩|1 ⟨ |0
𝜌 𝑡 = 1 − 𝑝 𝑡 𝜌 0 + 𝑝1 𝑡 𝑋𝜌 0 𝑋 + 𝑝2 𝑡 𝑌𝜌 0 𝑌 + 𝑝3 𝑡 𝑍𝜌 0 𝑍
14
𝜌 𝑡 = 1 − 𝑝 𝑡 𝜌 0 + 𝑝% 𝑡 𝑋𝜌 0 𝑋 + 𝑝- 𝑡 𝑌𝜌 0 𝑌 + 𝑝& 𝑡 𝑍𝜌 0 𝑍
Encoded data block
no error
Probabilities(after measure anc)
• no error: 1 − 𝑝(𝑡)
• a single X,Y or Z error: 𝑝L 𝑡 , 𝑝M 𝑡 , 𝑝,(𝑡)
where
15
Conclusion
• Stabilizer formalism
• represent Quantum state with fewer parameter
• easy to determine the operations
• Parity measurement
• project an arbitrary input state to a ±1 eigenstate of U
• Digitization of Quantum Error
• correction with simple 𝑍, 𝑋 gate is useful for correct
continuous errors

[02] Quantum Error Correction for Beginners

  • 1.
    Quantum Error Correction forBeginners(2) section 1-9 2020/04/24 WebEx National Institute of Informatics Shin Nishio
  • 2.
    Paper [1] Simon J.Devitt, Kae Nemoto, William J. Munro Quantum Error Correction for Beginners (Submitted on 18 May 2009, last revised 21 Jun 2013 (this version, v4)) arXiv[quant-ph] 0905.2794 Hands-on: implementation based on [1], written in Qiskit by Shin https://github.com/parton-quark/QEC-for-Beginners Abstract QEC and fault-tolerant quantum computation • Theoretical aspect of QIS • Significant development since 1995 • An introduction for researchers other than QEC 2
  • 3.
  • 4.
    6. Quantum ErrorDetection 4 • Post-selected quantum computation • encode ancilla qubits with error detecting circuits • faster & requires fewer qubits than active QEC • the 4-qubit code • most simple QED • encoding 2 qubits state into 4 qubit • 2 qubits ancilla • no information about where the error occured • measurement ancilla qubits • bit flip in the 4 qubit → ⟩|10 • phase flip in the 4 qubit → ⟩|01
  • 5.
    7. Stabilizer formalism 5 •The quantum state can be described by using operators 𝑂 and eigenvalue 𝜆. • 𝑂, 𝜆 = 𝑋, 1 ∶ ⟩|# $ ⟩|% & • 𝑂, 𝜆 = 𝑌, −1 ∶ ⟩|# '( ⟩|% & • 𝑂, 𝜆 = 𝑍% 𝑍& + 𝑋% 𝑋&, 2 ∶ ⟩|## $ ⟩|%% & 𝑂, 𝜆 = 𝑍% + 𝑍&, 0 : ⟩|01 or ⟩|10 𝑂, 𝜆 = 𝑍% + 𝑍&, +𝑍% 𝑍&, 3 = 𝑍% + 𝑍&, 2 : ⟩|00
  • 6.
    6 Stabilizer formalism • Introducedby Daniel Gottesman[2] • The quantum state can be described by using operators 𝑂 and eigenvalue 𝜆. • Let {𝑆𝑖} be 𝑛 chosen operators from the Pauli group. • the Pauli group 𝒫 = ±1, ±𝑖 × 𝐼, 𝑋, 𝑌, 𝑍 ⊗* • 𝑂 = ∑(+% * 𝑆( • Use 𝑆( with maximum eigenvalue as Quantum State [2] Daniel Gottesman, Stabilizer Codes and Quantum Error Correction, arXiv:quant-ph/9705052 (1997) GHZ state ⟩| 𝐺𝐻𝑍 = ⟩|000 + ⟩|111 2 𝑆! = 𝐾" + 𝐾# + 𝐾$ 𝐾" = 𝜎% ⊗ 𝜎% ⊗ 𝜎% = XXX 𝐾# = 𝜎& ⊗ 𝜎& ⊗ 𝜎' = ZZI 𝐾$ = 𝜎' ⊗ 𝜎& ⊗ 𝜎( = IZZ
  • 7.
    7 • Stabilizer state⟩|Ψ 𝐾 ⟩|Ψ = ⟩|Ψ for ∀𝐾 ∈ 𝑆(stabilizer operator) e.g. σ, ⟩|0 = ⟩|0 : ⟩|0 is stabilized by the operator σ, • Stabilizer group for 𝑎 ∈ 𝐴, the set of element of G which keep 𝑎 unchanged 𝑆- 𝑎 = 𝑔 ∈ 𝐺 𝑔𝑎 = 𝑎} example of stabilizer state • 𝐾 = 𝑋𝑋, 𝑍𝑍 Bell state ⟩|## $ ⟩|%% & • 𝐾 = 𝑍𝑍𝐼, 𝐼𝑍𝑍, 𝑋𝑋𝑋 GHZ state ⟩|### $ ⟩|%%% &
  • 8.
    8. QEC withstabilizer code 8 • The 7-qubit Steane code[3] • 𝑛, 𝑘, 𝑑 = [[7,1,3]], 𝑡 = .'% & = 1 [3] Steane, Andrew M. "Error correcting codes in quantum theory." Physical Review Letters 77.5 (1996): 793. Physical Qubits Logical qubits distance Encoding fix the encoded data into two codewords ̅𝑍 = 𝑍𝑍𝑍𝑍𝑍𝑍𝑍 = 𝑍⊗" where ̅𝑍 ⟩|0 # = ⟩|0 #, ̅𝑍 ⟩|1 # = ⟩−|1 #
  • 9.
    9 A. State preparation circuitfor prepare the [[7,1,3]] logical state ⟩|0 # parity measurement(operator measurement) ⟩| 𝜓 $ = ⟩| 𝜓 % + 𝑈 ⟩| 𝜓 % ⟩|0 + ⟩| 𝜓 % − 𝑈 ⟩| 𝜓 % ⟩|1 2 anc ⟩|0 ⟩| 𝜓 $ = ⟩| 𝜓 % + 𝑈 ⟩| 𝜓 % anc ⟩|1 ⟩| 𝜓 $ = ⟩| 𝜓 % − 𝑈 ⟩| 𝜓 %This image is from [1] This image is from [1]
  • 10.
    10 B. Error Correction Thisimage is from [1]
  • 11.
    9. Digitization ofquantum errors 11 Digitization of quantum noise → examine the stability of QIP, calculate thresholds for QEC A. Systematic gate errors assumption: • N-qubit unitary operator 𝑈9 is applied inaccurately • resultant operation: 𝒰9 𝒰) ⟩| 𝜓 * = 𝑈+ 𝑈) ⟩| 𝜓 * = / , 𝛼, 𝐸, 23𝜓# * coherent error op perfectly applied where 𝐸& ∈ 𝒫' [QEC] append ancilla blocks =>𝐴( ) , =>𝐴( * for {𝑋, 𝑍} correction
  • 12.
    12 ↓measure ancilla data blocks:𝐸& =>𝜓+ # with 𝛼& , correction: 𝐸& -
  • 13.
    13 B. Environmental decoherence TheLindblad formalism: Environmental effects Hamiltonian coherent, dynamical incoherent assumption • not undergoing any coherent evolution Solve 𝜕. 1. Dephasing 𝐿/ = 𝑍 2. Spontaneous emission/absorption (same rate) 𝐿, = ⟩|0 ⟨ |1 𝐿0 = ⟩|1 ⟨ |0 𝜌 𝑡 = 1 − 𝑝 𝑡 𝜌 0 + 𝑝1 𝑡 𝑋𝜌 0 𝑋 + 𝑝2 𝑡 𝑌𝜌 0 𝑌 + 𝑝3 𝑡 𝑍𝜌 0 𝑍
  • 14.
    14 𝜌 𝑡 =1 − 𝑝 𝑡 𝜌 0 + 𝑝% 𝑡 𝑋𝜌 0 𝑋 + 𝑝- 𝑡 𝑌𝜌 0 𝑌 + 𝑝& 𝑡 𝑍𝜌 0 𝑍 Encoded data block no error Probabilities(after measure anc) • no error: 1 − 𝑝(𝑡) • a single X,Y or Z error: 𝑝L 𝑡 , 𝑝M 𝑡 , 𝑝,(𝑡) where
  • 15.
    15 Conclusion • Stabilizer formalism •represent Quantum state with fewer parameter • easy to determine the operations • Parity measurement • project an arbitrary input state to a ±1 eigenstate of U • Digitization of Quantum Error • correction with simple 𝑍, 𝑋 gate is useful for correct continuous errors