ace.online
TSPSC- AE (EEE)
Revision Session
Important Questions Analysis
Power Electronics
-- Rajendra Gharase
M.Tech. IISc, Bangalore
GATE- AIR 007
Faculty ACE Engg. Academy
ace.online
Syllabus
Basics of power electronic devices - Construction, Working,
theory, Characteristic, Advantages, Disadvantages,
Applications & mechanism of protection of SCR, TRIAC,
DIAC, GTO, UJT, IGBT, converters, inverters, AC regulators,
Choppers, Cycloconverters – Speed control of AC & DC
Motors using Power electronic devices – Applications of
power electronic devices
ace.online
Power Semiconductor Devices
Classification of Power Semiconductor Devices
The Power Semiconductor Devices can be classified
based on the following factors:
1. Driver circuit used in the device
2. Carrier used in the device
3. Number of terminals in the device
4. Triggering methods
5. Based on Polarity of Voltage Blocking
6. Based on Direction of Current Conduction
Classification of Power Semiconductor Devices
based on driver circuit used in the device
Classification of Power Semiconductor
Devices based on carrier used in the device
Classification of Power Semiconductor
Devices based on number of terminals
Classification of Power Semiconductor Devices
based on triggering methods
Classification of Power Semiconductor Devices
based on Polarity of Voltage Blocking
Classification of Power Semiconductor Devices
based on Direction of Current Conduction
Increasing order of switching speed:
1. MOSFET (Fast)  IGBT  BJT  SCR  GTO (slow)
2. MOSFET (Fast)  IGBT  BJT  Diode  SCR  GTO (Slow)
Devices Power Capability Switching Frequency
1. SCR High Low
2. GTO High Low
3. Power BJT Medium Low
3. Power MOSFET Low High
4. IGBT Medium Medium
5. TRIAC Low Low
THYRISTOR
Silicon Controlled Rectifier (SCR)
Construction:
P1
K
G
P2
A
𝑁1
−
𝑁2
+
A K
Circuit symbol of SCR
G
Biasing of SCR
Forward Biasing:
P1
K
G
P2
A
𝑁1
−
𝑁2
+
J1
J2
J3
VAK
+
ia
RL

+
VS
Reverse Biasing:
P1
K
G
P2
A
𝑁1
−
𝑁2
+
J1
J2
J3
VAK
+
ia
RL
VS
+

V-I Static Characteristics of SCR
Ig1 > Ig2 > Ig3 > Ig0
+Ia
Ia
Va
VBR
Reverse
blocking
mode
Forward leakage
current
Forward
blocking
mode
Forward Conduction
mode (on-state)
Reverse leakage
current
+Va
Ig= 0
VBO
M
VT
mA
Ig1 Ig2 Ig3
Latching current (IL)
Holding current (IH)
O

VB0 = Forward break over voltage
VBR = Reverse break over voltage
Ig = Gate current
TWO TRANSISTOR ANALOGY OF SCR
Ia
Ik
K
G
IB1
Ic2
C2
Q2
IC1
Q1
Ig IB2
A
C1
Protection of SCR:
1. Over Voltage Protection
Z
V
2. Over Current Protection
C.B FACLF
3. High
𝒅𝑽
𝒅𝒕
Protection
4. High
𝒅𝒊
𝒅𝒕
protection
5. Thermal Protection
GATE PROTECTION
1. Over Voltage Protection
2. Over Current Protection
3. Protection against noise signal
Commutation of SCR
1. Commutation Procedure
2. Natural Commutation
3. Forced Commutation
4. Load Commutation
Thermal Modelling of SCR
Heat sink
Casing
Junction
p n
Ambient
𝑃𝐴𝑉 =
𝑇𝑗 − 𝑇𝑐
𝑗𝑐
=
𝑇𝑐 − 𝑇𝑠
𝑐𝑠
=
𝑇𝑠 − 𝑇𝐴
𝑆𝐴
=
𝑇𝑗 − 𝑇𝐴
𝑗𝑐 + 𝑐𝑠 + 𝑆𝐴
SERIES AND PARALLEL OPERATION OF SCR’S
𝑠 =
𝐴𝑐𝑡𝑢𝑎𝑙 𝑐𝑢𝑟𝑟𝑒𝑛𝑡 𝑟𝑎𝑡𝑖𝑛𝑔 𝑜𝑓 𝑠𝑡𝑟𝑖𝑛𝑔
𝑁𝑃×𝑐𝑢𝑟𝑟𝑒𝑛𝑡 𝑟𝑎𝑡𝑖𝑛𝑔 𝑜𝑓 𝑆𝐶𝑅
𝑃𝑎𝑟𝑎𝑙𝑙𝑒𝑙 𝑜𝑝𝑒𝑟𝑎𝑡𝑖𝑜𝑛
Always 𝑠 < 1
𝑠 =
𝐴𝑐𝑡𝑢𝑎𝑙 𝑣𝑜𝑙𝑡𝑎𝑔𝑒 𝑟𝑎𝑡𝑖𝑛𝑔 𝑜𝑓 𝑠𝑡𝑟𝑖𝑛𝑔
𝑁𝑠×𝑉𝑜𝑙𝑡𝑎𝑔𝑒 𝑟𝑎𝑡𝑖𝑛𝑔 𝑜𝑓 𝑆𝐶𝑅
𝑆𝑒𝑟𝑖𝑒𝑠 𝑜𝑝𝑒𝑟𝑎𝑡𝑖𝑜𝑛
Derating factor (D.R.F) = 1 s.
TRIAC
Construction
Symbol
N2
P2
P2
N1
P1
P1
N1
MT2
Metallic lead
Ohmic contact
N4
N3
G
MT1
MT2 MT1
G
V-I Characteristics of TRIAC
Ia
Ia
V
VB01
VB02
Ig0
Ig1
Ig2
Ig3
Highlighting Points of TRIAC
1. TRIAC is Bipolar Switch
2. TRIAC is Bidirectional Switch
3. TRIAC is Current Controlled Switch
GATE TURN OFF (GTO)
Construction
Symbol
A
P+
n+
n+
n+ P+ n+
P+
P+
n
K G
A
G
K A
G
K A
G
K
V-I Characteristics of GTO
+Ia
Ia
Va
VBR
+Va
VBO
M
mA
Ig1 Ig2 Ig3
O

Applications
1. Inverters
2. UPS
3. Motor Drives
4. Electric Traction Drive Systems
Highlighting Points of GTO
1. GTO is Fully-controlled Switch
2. GTO is Bipolar Switch
3. GTO is Unidirectional Switch
4. GTO is Current Controlled Device
5. GTO is 4 Layer, 3 Junction Device
Power BJT:
Construction
Symbol
p
n–
n+
NA = 1019 cm–3
ND = 1014 cm–3
NA = 1016 cm–3 10 m
Base region
(Base thickness)
50-200 m
Collector drift region
250 m
collector
Base (B) Emitter (E)
NA = 1016 cm–3
n+
B
C
E
C
Static V-I Characterstics
VCE
IC
Saturation (on state)
Active region
Cutoff (off state)
Increasing
base
current
Highlighting Points of BJT
1. BJT is Fully-controlled Switch
2. BJT is Unipolar Switch
3. BJT is Unidirectional Switch
4. BJT is Current Controlled Device
5. BJT is 3 Layer, 2 Junction Device
6. During ON State BJT is considered equivalent to voltage source
Insulated Gate Bipolar Transistor (IGBT)
Basic Structure
C
E
G
C
E
G
Metalisation
n
n+
p+
p
J1
J2
J3
n+ n+
SiO2
Source layer
Body layer
Drift layer
Buffer layer
Drain layer
collector
Symbol
I-V Characteristics of IGBT
VGE1
VGE2
VGE3
VGE4
IC
VCE
VGE5
Avalanche
breakdown
Applications of IGBT
→ SMPS
→ AC motor controllers
→ Choppers
→ Inverters
→ UPS
Highlighting Points of IGBT
1. IGBT is Fully Controlled Switch
2. IGBT is Bipolar Switch
3. IGBT is Unidirectional Switch
4. IGBT is Voltage Controlled Switch
Power MOSFET
V-I Characteristic of MOSFET
VGS1
VGS2
VGS3
VGS4
ID
VDS
VGS5
Avalanche
breakdown
Applications of Power MOSFET
→ In high Frequency Inverters
→ In SMPS
→ UPS
→ Motor Control Applications
→ Display Drivers
Highlighting Points of Power MOSFET
1. MOSFET is Fully Controlled Switch
2. MOSFET is Unipolar Switch
3. MOSFET is Unidirectional Switch
4. MOSFET is Voltage Controlled Switch
5. During ON State MOSFET is considered as equivalent to Resistor
ace.online
Q. Which semiconductor power device out of the following is not a current
triggering device ?
(a) Thyristor
(b) MOSFET
(c) G.T.O
(d) Triac
ace.online
Q. Which semiconductor device behaves like two SCRs
(a) UJT
(b) TRIAC
(c) MOSFET
(d) JFET
ace.online
Q. If the amplitude of the gate pulse during turn - ON of an SCR is increased
then,
(a) the delay time would increase but the rise time would decrease
(b) both delay time and rise time would increase
(c) the delay time would decrease but the rise time would decrease
(d) the delay time would decrease while the rise time remains same
ace.online
Q. Which statement is true for latching current
(a) it is related to turn off process of the device
(b) it is related to conduction process of device
(c) it is related to turn on process of the device
(d) it is related to conduct at full voltage level
ace.online
Q. Thyristor can be protected from over voltage by using
(a) voltage clamping device
(b) fuse
(c) heat sink
(d) snubber circuit
ace.online
Q. The TRIAC is equivalent to
(a) two SCR’s connected in parallel
(b) two SCRs connected in anti-parallel
(c) one SCR, one diode connected in parallel
(d) one diode, one SCR connected in anti-parallel
ace.online
Q. The two transistor model of a thyristor consist of following two transistors
(a) One-n-p-n and other p-n-p
(b) both p-n-p
(c) both n-p-n
(d) one n-p-n and other UJT
ace.online
Q. LASCR has
(a) 4 semiconductor layers and 3 junctions
(b) 3 semiconductor layers and 2 junctions
(c) 2 semiconductor layer and 2 junctions
(d) 3 semiconductor layers and 3 junctions
ace.online
Q. The number of P-N junctions in a thyristor is
(a) 1
(b) 2
(c) 3
(d) 4
ace.online
Q. Which one of the following is a bidirectional controlled switch
(a) thyristor
(b) triac
(c) GTO
(d) diac
ace.online
Q. Once SCR starts conducting a forward current its gate losses control over
(a) anode voltage only
(b) anode current only
(c) anode voltage and current
(d) anode voltage and time
ace.online
Q. Pick the voltage controlled devices from the following :
(a) MOSFET & GTO
(b) IGBT & SCR
(c) SCR & GTO
(d) MOSFET & IGBT
ace.online
Q. The voltage across a SCR is found to be 68 V and the current is 0.01 mA.
Now the device is
(a) forward biased & turned - off
(b) forward biased & turned - on
(c) reverse biased & turned - off
(d) reverse biased & turned - on
ace.online
Q. Cut – off region, negative resistance region and saturation region are
regions in volt-amp characteristics of
(a) UJT
(b) LASCR
(c) TRIAC
(d) GTO
ace.online
Q. When cathode of a thyristor is made more positive than its anode, then
(a) all the junctions are reverse biased
(b) outer junctions are reversed biased and central one is forward biased
(c) outer junctions are forward biased and central one is reversed biased
(d) all the junctions are forward biased
ace.online
Q. The Snubber circuit is used in thyristor circuits for
(a) triggering
(b)
𝑑𝑣
𝑑𝑡
Protection
(c)
𝑑𝑖
𝑑𝑡
Protection
(d) phase shifting
ace.online
Q. In an SCR if latching current is IL and holding current is IH then the following
relation hold good
(a) IH > IL
(b) IH  IL
(c) IH = IL
(d) IH < IL
ace.online
Q. Which one is most suitable power device for high frequency (>100 KHz)
switching application
(a) Power MOSFET
(b) BJT
(c) Schottky diode
(d) Microwave transistor
ace.online
Q. In a transistor which of the following layer is lightly doped
(a) emitter
(b) collector
(c) drain
(d) base
ace.online
Q. If the gate current of an SCR is increased, its forward break over voltage VBO
will
(a) increase
(b) decrease
(c) not be affected
(d) be infinity
AC to DC Converters/ Rectifiers
Phase controlled converters or Rectifiers
Single phase converters Three phase converters
Uncontrolled
converters
Controlled
converters
Uncontrolled
converters
Controlled
converters
Based on number of pulses in output voltage waveform:
The output voltage waveform consists of pulses (segments)
of input AC voltage, and these pulses repeat over one cycle
of input voltage. Depending upon the number of pulses in
output voltage waveforms, the rectifiers are classified as:
Single-pulse rectifier: One pulse in output voltage
waveform for one cycle of input (1 − φ HWR).
Two-pulse rectifier: For one cycle of input, two pulses in
the output voltage waveform (1 − φ FWR).
Three-pulse rectifier: For one input cycle, three pulses in
the output voltage waveform (3 − φ HWR).
Six-pulse rectifier: For one input cycle, six pulses in the
output voltage waveform (3 − φ FWR).
Twelve-pulse rectifier: For one input cycle, twelve pulses
in the output voltage waveform (Series connection of two
six-pulse converters i.e. Double-Star)
Single phase uncontrolled converters or rectifiers
Half wave or 1-pulse converters Full wave or 2-pulse converters
Three phase uncontrolled converters or Rectifiers
Half wave or
3 pulse converter
Full wave or
6 pulse converter
Double star or
12 pulse converter
Based on quadrant of operation
(V-I characteristics):
The output or load current of rectifier always remains in
same direction (positive) because diodes and thyristors
used in the rectifier circuit are unidirectional devices.
But the polarity of average output voltage can be reversed
by varying the firing angle α.
If the polarity of average output voltage remains
unchanged, (i.e., V0 always positive, while varying α from
0° to 180°) then V-I characteristics are confined to only
one quadrant, and the rectifier is called the single-
quadrant rectifier
Example: All uncontrolled rectifiers, half-controlled or
semiconverter rectifiers.
+V0
v0
I
I0 i0
-i0
-v0
If the output voltage polarity reverses, it operates in two-
quadrants (I and IV), and the rectifier is called a two-
quadrant rectifier
Example: All fully controlled rectifiers or full
converters.
+V0
v0
I
I0 i0
-i0
-v0
-V0
O
IV
If two full converters are connected in antiparallel, both
voltage and current can be reversed and this is called a
four-quadrant converter or dual converter
+V0
v0
I
I0 i0
-i0
-v0
-V0
-I0
II
III IV
Single-Phase Half-Wave uncontrolled
Rectifier with R-Load
Circuit Diagram
iS
vS 
a
b

+
v0
iD
vD
K
A
+ 
io
R
2
Vm
 t
0
vs
𝜋
2
2
Vm
 t
0
vo
𝜋
2
2
 t
0
is
𝜋
2
2
 t
0
vD
𝑉
𝑚
𝑅
-Vm
Average Output Voltage
Single-Phase Half-Wave uncontrolled
Rectifier with R-L Load (Inductive)
Circuit Diagram
V = Vmsin t
D
V0
VD
i
R


+
L

+
VL
VR
2
Vm

t
3 4
0
v
Input voltage
2
Vm

t
3
0
Vo
Output voltage
2
Im
 t
3
0
i
Load current
2
 t
3 4
0
VD
Voltage across
diode
-Vm
VR
VL
Area-B
Area-A
VL VR


Single-Phase Half-Wave uncontrolled
Rectifier R-L Load with Freewheeling Diode
Circuit Diagram
VS = Vmsin t
D
DF
VD
iO
R


+
L

+
VL
VR
iS
IDF
V0
2
Vm

t
3 4
0
VS
Input voltage
2
Vm

t
3 4
0
VO
Output voltage
2
Im

t
3 4
0
iO
Load current
2

t
3 4
0
VD
Voltage across
diode
-Vm
Area-B
Area-A
VR

D
DF
AC supply 
D2
D1
1:2
VS
Single-Phase Full-Wave uncontrolled
Mid Point Rectifier with R-Load
2
Vm
 t
3 4
0
V
Input voltage
Vm
t
Vo
Output voltage
Im
 t
i
Load current
2
 3 4
0
2 3 4
0
D1 D2 D1 D2
2

t
-2Vm
vD1
3
AC supply 
D1
D2 D3
D4
R
Vo
 +
Single-Phase Full-Wave uncontrolled
Bridge Rectifier with R-Load
2
Vm
 t
3 4
0
V
Input voltage
Vm
t
Vo
Output voltage
Im

t
io
Load current
2
 3 4
0
2 3 4
0
D1&D2 D3&D4 D1&D2 D3&D4
Single-Phase Half-Wave Controlled Rectifier
with R-Load
iS
vS 
a
b

+
v0
iT
vT
+ 
io
R
VS
2
Vm
 t
3 4
0
ig
t
2
V0
 t
3
4
0
 
 2+
3+
I0
 t
0 
2
VT
 t
3
4
 2+
0
Single-Phase Half-Wave Controlled Rectifier
with R-L Load
VS = Vmsin(t)
T
V0
VT
iT
R


+
L

+
VL
VR
VS
2
Vm
 t
3 4
0
ig
t
2
V0

t
4
0
 
 2+
3
I0
t
0  2
VT

t
3
4

2
0
2
 3 4


3 4
Effect of inductive load:
1. Average output voltage V0 reduces.
2. Input PF reduces.
3. Load current i0 waveforms gets distorted.
4. Load performance detoriates.
Single-Phase Half-Wave Controlled Rectifier
with R-L Load and Free-Wheeling Diode
VS = Vmsin t
T
FWD
VT
iO
R


+
L

+
VL
VR
iT
IFWD
V0
Continuous Mode Operation
VS
2
 t
3 4
0
ig
t
2
V0
 t
4
0
 
 2+ 3
I0
 t
3 4
 2
0
2
 3 4

 2+
Conduction
of T
Conduction
of DF
Conduction
of T Conduction
of DF
The advantages of free wheeling diode in single-phase
half-wave controlled rectifier with RL load are given below:
1. Output Voltage is increased
2. Input Power Factor can be improved
3. Load Current Wave form is improved
4. Performance of Controlled Rectifier is better
Single-Phase Full-Wave Controlled Rectifier
with R-Load (Mid-Point Type)
AC supply 
T2
T1
1:2
VS
VS
2
 t
3 4
0
ig1
t
2
V0
 t
3 4
0
 
 2+ 3+
I0

t

2
 3 4
ig2
t
 
2
 3 4
0
+
2 3 4
Single-Phase Full-Wave Controlled Rectifier
with R-L Load (Mid-Point Type)
AC supply 
T2
T1
1:2
VS r
(Considering Continuous Conduction)
VS
2
 t
3 4
0
ig1
t
2
V0
 t
3 4
0
 

I0
 t

VT1
 t
3 4
2+
0
2
 3 4
ig2
t
 
2
 3 4
+
+
T1
T1
T2
+
2Vm
Single-Phase Full-Wave Controlled Rectifier
with R-Load (Bridge Type)
is
T1
T2
T3
T4
Io
Vo R
 VS =Vmsin t
VS
2
 t
3 4
0
ig1
t
2
V0
 t
3 4
0
 
 2+ 3+
I0

t

2
 3 4
ig2
t
 
2
 3 4
0
+
2 3 4
Single-Phase Full-Wave Controlled Rectifier
with R-L Load (Bridge Type)
is
T1
T2
T3
T4
Io
Vo
R
L
 VS =Vmsin t
(Considering Continuous Conduction)
VS
2
 t
3 4
0
ig1 & ig2
t
2
V0
 t
3 4
0
 

I0
t
2+
0
2
 3 4
t
 
2
 3 4
+
+
ig3 & ig4
0
3+

Single-Phase Full-Wave Controlled Rectifier
with R-L Load and Free-Wheeling Diode (Bridge Type)
is
T1
T2
T3
T4
Io
Vo
R
L
 VS =Vmsin t
VS
2
 t
3 4
0
ig1 & ig2
t
2
V0
 t
3 4
0
 

I0
t
2+
0
2
 3 4
t
 
2
 3 4
+
+
ig3 & ig4
0
3+
 2 3 4
Current T1&T2 Current T3&T4
Current DF
Current DF
T1&T2 T1&T2
DF DF
T1&T2 DF
The advantages of free wheeling diode in single-phase
Full-wave controlled rectifier with RL load are given below:
1. Output Voltage is increased
2. Input Power Factor can be improved
3. Load Current Wave form is improved
4. Performance of Controlled Rectifier is better
SINGLE-PHASE SEMICONVERTER
It is a half-controlled full-wave rectifier. It is also called a
single-phase two-pulse rectifier or one-quadrant converter.
It uses a mixture of diodes and thyristors, and there is a
limited control over the output DC voltage.
Though Semiconverters have inherent freewheeling action,
these are generally not utilized. Rather a separate
freewheeling diode (FD) is connected across the load. This
is because the inherent freewheeling increases the average
current rating of the silicon-controlled rectifier (SCR).
These are half-controlled converters having limited control
on their average DC output voltage.
The single-phase semiconverter has two configurations
1. Symmetrical semiconverter: In this configuration, each arm
or leg has one thyristor and one diode. It requires a FD if the
load is inductive.
T2
R

T1
D1
D2
V0
L
L
o
a
d
FD
i0
+
1-
AC
Source
(VS)
2. Asymmetrical semiconverter: In this configuration, one
leg has two thyristors and the other leg has two diodes. It
does not require an FD if the load is inductive because the
two diodes D1 and D2 can play the role of the FD.
T2
R

T1
D1
D2
v0
L
L
o
a
d
i0
+
1-
AC
Source
(vs)
Single-Phase Half-Controlled Rectifier
(Semi-Converter) with R-L Load
(Symmetrical Configuration)
T2
R

T1
D1
D2
V0
L
L
o
a
d
FD
i0
+
1-
AC
Source
(VS)
VS
2
 t
3 4
0
ig1
t
2
V0
 t
3 4
0
 

I0
t
2+
0
2
 3 4
t
 
2
 3 4
+
+
ig2
0
3+
 2 3 4
T1& D1 T1& D1
FD FD
T2& D2 FD
Single-Phase Half-Controlled Rectifier
(Semi-Converter) with R-L Load
(Asymmetrical Configuration)
T2
R

T1
D1
D2
v0
L
L
o
a
d
i0
+
1-
AC
Source
(vs)
VS
2
 t
3 4
0
ig1
t
2
V0
 t
3 4
0
 

I0
t
2+
0
2
 3 4
t
 
2
 3 4
+
+
ig2
0
3+
 3 4
T1& D1 T1&D1
D1
T2& D2
D2
D1
D2
D1
D2
Source Inductance
The analysis of single-phase full-wave controlled
bridge rectifier with RL load was done assuming negligible
source inductance. Actually all ac-to-dc converters are
supplied from transformers. Usually the series impedance
of transformer can not be neglected. Therefore series
impedance must be present in any converter circuits.
Generally, this impedance is inductive with
negligible resistive component. Due to presence of source
inductance, the output voltage of a converter will not be
remaining constant and input current waveform will be
changed significantly.
Effect of Source Inductance on the Performance of
Single Phase Controlled Rectifiers
Concept of
Commutation Angle / Overlap Angle (μ)
• The current transition between pair of devices is not
instantaneous due to Inductive nature of source
• During overlap period all four SCR’s of single-phase
bridge converter will carry the current
• This angle is called Commutation angle or Overlap angle
• During this period (μ) as all four devices are conducting,
the output voltage is Zero (Hence there is reduction in
output Voltage)
Input Power Factor for R-L and R-L-E Load:
If voltage is sinusoidal and current is non sinusoidal then Input Power
Factor is calculated using following Expression:
Input Power Factor = Displacement Power Factor*Distortion Factor
Displacement Power Factor/ Fundamental Input PF
It is Cosine of Phase Angle between Fundamental Source
Voltage (Line to Neutral Voltage in Case of 3 Phase) and
Fundamental Source Current
Distortion Factor
It is Ratio of RMS value of Fundamental Source Current to
RMS value of Source Current
Three Phase Uncontrolled Rectifiers
Single-phase uncontrolled rectifiers are extensively used in low
to medium power applications as dc power supply in different
electronics equipments. The single-phase uncontrolled rectifiers
can able to handle up to 15 KW as high KVA transformers are
required for a specified dc output power. Where single-phase
rectifiers are not suitable, three-phase uncontrolled rectifiers are
used for above 15 KW and high power applications such as
1. Power supply of electrical machines
2. High voltage dc transmission
3. DC motor drives
4. Power supply of telephone exchange
Advantages of Three-Phase Rectifiers
Three-phase uncontrolled rectifiers are known as polyphase
rectifiers. Harmonics and ripple in output voltage are more in
single-phase rectifiers. Since less harmonics and less ripple
voltage exist in three phase rectifier, three-phase and multiphase
(polyphase) uncontrolled rectifiers can be used for high power
applications with high voltage and current rating. In high power
applications, three-phase rectifiers are preferred over single
phase rectifier due to the following advantages:
1. High dc output voltage
2. Less ripple in output current
3. High input power factor
4. Size of filter is low due to high ripple frequency
Three-Phase Half-Wave Uncontrolled Rectifier
with R Load
3-
Supply t
VRN VYN VBN
t
t
Three-Phase Full-Wave Uncontrolled Bridge
Rectifier with R-Load
THREE-PHASE CONTROLLED RECTIFIERS
Three-Phase Half-Wave Controlled
Rectifier with R-Load
With Resistive Load, three-phase half-wave
controlled rectifier operates in two different
modes of conduction such as
1. Continuous conduction mode when firing
angle α is less than 30°.
2. Discontinuous conduction mode when
firing angle α is greater than 30°.
Three-Phase Half-Wave Controlled
Rectifier with R-L Load
















2π
6
V
V m
rms
6
Three-Phase Full-Controlled Bridge Rectifier with R Load
Table – 1 [I0 constant]
Where  = 𝑇𝑎𝑛−1 𝑤𝐿
𝑅
1- full
convertor
3- full
converter
1- semi
converter
3- semi converter
1. V0
2
𝑣𝑚

𝑐𝑜𝑠 3
𝑣𝑚𝑙

𝑐𝑜𝑠
𝑣𝑚

1 + 𝑐𝑜𝑠 𝑣0 = 3
𝑣𝑚𝑙
2
1 + 𝑐𝑜𝑠
𝐼𝑠1 =
6

𝐼0𝑐𝑜𝑠

2
2. 𝐼𝑠1
2 2

𝐼0
= 0.9𝐼0
8

𝐼0 = 0.9 𝐼0
2 2

𝐼0 𝑐𝑜𝑠

2
AC to DC Converters
3. Is I0
𝐼0
2
3
𝐼0
 − 

𝐼0
2
3
𝐼0
 − 

4. DF
2 2

= 0.9
3

= 0.955
8
 −α
𝑐𝑜𝑠

2
3

𝑐𝑜𝑠

2
6
(−)
. 𝑐𝑜𝑠

2
5. DPF Cos  Cos  𝑐𝑜𝑠

2
𝑐𝑜𝑠

2
𝑐𝑜𝑠

2
60𝑜  > 60𝑜
6. IPF 2 2

𝑐𝑜𝑠 =
0.9 cos
3

𝑐𝑜𝑠 =
0.955
cos
8
(−)
.
𝑐𝑜𝑠2 
2
3

𝑐𝑜𝑠2 
2
6
(−α)
. 𝑐𝑜𝑠2 
2
7. THD 48.43%
(or)
П2
8
− 1
31.1% (or)
^2
9
− 1
(−)
8𝑐𝑜𝑠2
2
-1
2
9𝑐𝑜𝑠2
2
− 1
( − )
6𝑐𝑜𝑠2 
2
− 1
Effect of Source Inductance
Single Phase Full Wave Controlled Rectifier
𝑐𝑜𝑠  + µ = 𝑐𝑜𝑠 −
2𝑤𝐿𝑠
𝑣𝑚
. 𝐼0
𝑉0 =
2𝑣𝑚

𝑐𝑜𝑠 −
2𝑤𝐿𝑠

. 𝐼0
Regulation =
𝑤𝐿𝑠×𝐼0
𝑣𝑚.𝑐𝑜𝑠
× 100
In the 1- FWR, if the source inductance (𝐿𝑠) is
taken into consideration. D.F can be written as
D.F = cos +
µ
2
3- FWR, if source inductance (Ls) is considered then
displacement factor,
𝐷. 𝐹. = 𝑐𝑜𝑠  +
µ
2
(or)
1
2
𝑐𝑜𝑠 + cos( + µ)
(a) 1- full wave rectifier
Cos ( + ) = cos  -
2𝑤𝐿𝑠
𝑣𝑚
𝐼0
𝑉0𝑎𝑣𝑔 =
2𝑣𝑚

. 𝑐𝑜𝑠 −
2𝑤𝐿𝑠
𝑣𝑚
𝐼0
(b) 1- full wave diode bridge rectifier
cos  = 1 −
2.𝑤𝐿𝑠
𝑉𝑚
𝐼0
(c) 3- full wave rectifier
cos  +  = 𝑐𝑜𝑠 −
2.𝑤𝐿𝑠
𝑉𝑚𝑙
𝐼0
𝑣0𝑎𝑣𝑔 =
3𝑉𝑚𝑙

. 𝑐𝑜𝑠 −
3𝑤𝐿𝑠

. 𝐼0
(d) 1- Half Wave Rectifier
Cos( + ) = cos () 
𝑤𝐿𝑠
𝑉𝑚
𝐼0
𝑉0𝑎𝑣𝑔 =
𝑣𝑚
2
1 + 𝑐𝑜𝑠 −
𝑤𝐿𝑠
2
𝐼0
Note: for 1- half wave diode rectifier put  = 0o in above
expressions
Discontinuous io
R  V0avg =
𝑣𝑚

. (1 + 𝑐𝑜𝑠)
RL  Voavg =
𝑣𝑚

. (𝑐𝑜𝑠 − 𝑐𝑜𝑠)
RE  ioavg =
1
𝑅
. 𝑣𝑚 (𝑐𝑜𝑠Ɵ + 𝑐𝑜𝑠 −
𝐸( − Ɵ − ))
RLE  Voavg =
1

. 𝑣𝑚 (𝑐𝑜𝑠 − 𝑐𝑜𝑠 +
𝐸( +  − ))
1- full converter 1- semi converter
V0avg =
𝑣𝑚

(1 + 𝑐𝑜𝑠)
V0avg =
𝑣𝑚

(1 + 𝑐𝑜𝑠)
Iavg =
1
𝑅
. 𝑣𝑚. 𝑐𝑜𝑠Ɵ + 𝑐𝑜𝑠 − 𝐸( − Ɵ −
R - Load
V0avg =
3𝑣𝑚𝑙
2
. 𝑐𝑜𝑠
𝑉0𝑟𝑚𝑠 =
3.𝑣𝑚
2 
2
3
+
3
2
cos(2α)
1
2
3- H.W.C.R. 3- F.W.C.R
V0avg =
3𝑣𝑚𝑙

. cos()
V0RMS =
3𝑉𝑚𝑙
2
×

3
+
3
2
cos(2α)
1
2
 < 30o  < 60o
R - Load
V0avg =
3𝑣𝑚
2
× 1 + 𝑐𝑜𝑠 
6 + 
𝑉0𝑟𝑚𝑠 =
3.𝑣𝑚
2 
×
5
6
−  +
3- H.W.C.R. 3- F.W.C.R
V0avg =
3𝑣𝑚𝑙

1 + 𝑐𝑜𝑠 
3 + 
V0RMS =
3𝑉𝑚𝑙
2
×
2
3
−  +
𝑠𝑖𝑛
2
3
+2
2
1
2
 > 30o  > 60o
ace.online
Q. The output wave form of full wave rectifier can be
(a) (b)
(c) (d)
t
ace.online
Q. The advantage of using a free wheeling diode with bridge type ac/dc
converter is
(a) regenerative breaking
(b) reliable speed control
(c) improved power factor
(d) reduced cost of the system
ace.online
Q. In a single phase full converter fed by a source having inductance, the
number of thyristors conducting during overlap is
(a) one
(b) two
(c) three
(d) four
ace.online
Q. An uncontrolled rectifier implies a rectifier
(a) in which all elements are thyristors
(b) in which all elements are diodes
(c) in which all elements are both thyristors and diodes
(d) in which all elements are resistances
ace.online
Q. When fed from a fully controlled converter, a dc motor, driving an active load
can operate in
(a) forward motoring and reverse braking mode
(b) forward motoring and forward braking mode
(c) reverse motoring and reverse braking mode
(d) reverse motoring and forward braking mode
ace.online
Q. The number of diodes that are used in half wave rectifier and full wave bridge
rectifier are
(a) 1, 2
(b) 1, 4
(c) 2, 4
(d) 2, 1
ace.online
Q. The average voltage of a full wave rectifier fed from ac source of peak
voltage, Vm and frequency 50 Hz is
(a) Vm/
(b) 2Vm/
(c) Vm/ 2
(d) Vm/2
ace.online
Q. In a half wave controlled rectifier feeding R-L load, the range of firing angle of
thyristor is
(a) 0    180
(b) 90    180
(c) 0    90
(d) 0    360
ace.online
Q. Two quadrant operation of dc motor can be obtained if it is fed from a
(a) uncontrolled convertor
(b) half controlled convertor
(c) half wave convertor
(d) fully controlled convertor
ace.online
Q. A single diode operates as a
(a) full wave rectifier
(b) half-wave rectifier
(c) bridge rectifier
(d) mid-point rectifier
ace.online
Q. In phase controlled rectification, power factor
(a) remains unaffected with firing angle, 
(b) increases with increases in firing angle, 
(c) decreases with increase in firing angle, 
(d) is not related to firing angle, 
ace.online
Q. A free wheeling diode is placed across the d.c. load
(a) to prevent reversal of load voltage
(b) to permit transfer of load current away from the source
(c) both 1 and 2
(d) to protect the switch
ace.online
Q. The output voltage of a single – phase, 200 v semi-converter at a firing angle
of 0 is
(a) 400 /
(b) 400 2 /
(c) 200 / 2 
(d) 200 / 2 / 
ace.online
Q. In a 3 phase full converter, the six SCRs are fired at intervals of
(a) 30
(b) 60
(c) 90
(d) 120
ace.online
Q. In a single phase fully controlled converter, the number of SCRs conducting
during overlap is
(a) 1
(b) 2
(c) 3
(d) 4
ace.online
Q. A single phase fully controlled converter is a
(a) single quadrant converter
(b) two quadrant converter
(c) four quadrant converter
(d) none of the above
ace.online
Q. Power factor is equal to
(a) (displacement factor) * (distortion factor)
(b) (displacement factor) / (distortion factor)
(c) displacement factor
(d) distortion factor
DC - AC CONVERTERS
For low- and medium-power applications,
devices such as the Power Bipolar Junction
Transistor (BJT), Metal-Oxide Semiconductor
Field-Effect Transistor (MOSFET), Insulated-
Gate Bipolar Transistor (IGBT), and Gate Turn-
Off (GTO) are used
Block Diagram of DC-to-AC Converter
(Inverter)
Output AC with
variable voltage
and variable
frequency
Input
DC
supply
Inverter
The Output Frequency can be controlled by
controlling the Switching Frequency
Usually the output voltage can be controlled by Pulse
Width Modulation (PWM) Technique.
• Variable Speed Induction Motor Drives
• Adjustable Speed AC Drives
• Induction Heating
• Uninterruptible Power Supply (UPS)
• Standby Power Supply
• HVDC Power Transmission
• Variable Voltage and Variable Frequency
Power Supply
• Battery Operated Vehicle Drives
Important applications include:
CLASSIFICATION OF INVERTERS
Inverters can be classified depending upon the
following factors:
1. Input Source
2. Commutation
3. Circuit Configuration
4. Wave Shape of Output Voltage
Based on the nature of Input Source
Based on the nature of input source,
inverters are classified as
(1) Voltage Source Inverter (VSI)
(2) Current Source Inverter (CSI)
Voltage Source Inverter (VSI): In voltage
source inverter (VSI), a DC voltage source
with very small internal impedance is used as
input of inverter. The dc side terminal voltage
is constant, but the ac side output voltage may
be constant or variable irrespective of load
current. The VSI can be classified as Half-
Bridge VSI and Full-Bridge VSI.
Load
Output
AC
Input
Voltage
source
Vdc
+
 Inverter
Current Source Inverter (CSI): In this type of
inverter, a current source with high internal
impedance is used as input of inverter. In CSI, the
supply current is constant, the load current is a
function of the inverter operation and it depends
on nature of load. This inverter is commonly used
in very high power applications such as induction
motor drives.
Load
Output
AC
Input
Current
source
IS Inverter
Comparison between VSI and CSI
CSI VSI
• Input is constant DC current
• Do not require feedback
diodes
• Thyristor is used
• Output current is independent
of nature of load
• Load voltage depends on load
• Used for highly capacitive
loads
• Input is constant DC
voltage
• Require feedback diodes
• Power BJT, IGBT,
MOSFET, GTOs are used
• Load voltage is independent
of nature of load
• Load current depends on
load
• Used for R, R-L Type loads
Based on Commutation
1. Line-Commutated Inverters: Inverters that
require an existing AC supply at output
terminal for their commutation. Their output
AC voltage level and frequency cannot be
changed.
2. Forced-Commutated Inverter: Inverters whose
output AC voltage level and frequency can be
changed as per requirement. These require
forced commutation for their turn-off, for
example, series inverter, auxiliary commutated
inverter, parallel inverter etc.
Based on Circuit Configuration
According to circuit topology or connection of
semiconductor switches, inverters can be
classified as
Series Inverters: In series inverters, inductor
L and capacitor C are connected in series with the
load. In this inverter L and C are used as
commutating elements and the performance of
inverter depends on the value of L and C.
Parallel inverters: In case of parallel inverters,
commutating elements are connected in parallel
with the conducting thyristor.
Half-bridge Inverters and Full-Bridge
Inverters: In half-bridge inverters, only one leg of
bridge exists. In case of full bridge inverters,
either two legs or three legs are existing for
single-phase or three-phase inverters respectively.
Based on Wave Shape of Output Voltage
Square Wave Inverters: Such inverters produce a
square-wave AC voltage of a constant magnitude.
The output voltage of this type of inverter can
only be varied by controlling the input DC
voltage.
Pulse-Width Modulation (PWM) Inverters: In
these, output has one or more pulses in each half
cycle, and by varying the width of pulses, the
output voltage is controlled.
Single-Phase Half-Bridge Inverter (VSI) with R load
D1
D2
S2
S1
V/2
V/2
+


+
VO
 +
R iO
VO
V/2
T/2 T 3T/2 2T 5T/2
Time t
-V/2
V/2R
IO
T/2 T 3T/2 2T 5T/2
Time t
-V/2R
Ig2
T/2 T 3T/2 2T 5T/2
Time t
Ig1
T/2 T 3T/2 2T 5T/2
Time
t
Demerits of Half-Bridge configuration:
a. It requires a three-wire DC supply.
b. Output voltage magnitude is VS/2 only.
c. Source Utilization is only 50%
Fourier Series Analysis of the Output Voltage VO
V/2
VO
T/2 T 3T/2 2T 5T/2
Time t
V/2
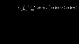
V o = 𝑛=1,3,5
 2.𝑉𝑠
𝑛
Sin (nωt)
𝑉0𝑅𝑀𝑆 = 𝑉01𝑅𝑀𝑆
2
+𝑉03𝑅𝑀𝑆
2
+𝑉05𝑅𝑀𝑆
2
+ … … … …
Fourier Series Analysis of the Output Current IO
V/2R
IO
T/2 T 3T/2 2T 5T/2
Time t
-V/2R
i o = 𝑛=1,3,5
 2.𝑉𝑠
𝑛𝑍𝑛
Sin (nωt -  n)
Where Zn= 𝑅2 + 𝑛𝑤𝑙 2
 = tan-1= 𝑛ω𝑙
𝑅
𝑖𝑜𝑅𝑀𝑆 = 𝑖01𝑅𝑀𝑆
2
+𝑖03𝑅𝑀𝑆
2
+𝑖05𝑅𝑀𝑆
2
+ … … … …
Single-Phase Half-Bridge Inverter (VSI) with Pure L Load
D1
D2
S2
S1
V/2
V/2
+


+
V0
 +
L i0
io
D1
on
S1
on
D2
on
S2
on
D2
on
VS/8fL
0 t
Single-Phase Half-Bridge Inverter (VSI) with R-L load
D1
D2
S2
S1
V/2
V/2
+


+
VO
 +
L iO
Vo
T/2 T 3T/2 2T 5T/2
Time t
-V/2
Output
voltage
Io
io
T/2 T 3T/2 2T 5T/2
Time t
-Io
Output
Current
T/2 T 3T/2 2T 5T/2
Time t
Gating
Signal
of S2
T/2 T 3T/2 2T 5T/2
Time
t
Gating
Signal
of S1
V/2
t1 t2
D1
D2 D1 D2 D1
S1 S2 S1 S2 S1
Conduction
of device
In VSI output voltage shape is Square, But output
current shape depends upon the nature of load
(a) R Load - Square Shape
(b) Pure L Load - Triangular Shape
(c) R-L Load - Exponential (Rise and Fall) Shape
Single-Phase Full-Bridge Inverter (VSI) with R load
Load
+

V
S1
S4
D1
V0
D2
D3
D4
S3
S2
i0
T/2 T 3T/2 2T 5T/2
Time
t
V0
V
-V
T/2 T 3T/2 2T
T/2
Time
t
Time
t
Time
t
Gating
signal of S1 S2
S3 & S4
Gating
signal of
Output
Voltage
Output
Current
Conduction
of devices
V/R
-V/R T/2
T 3T/2 2T 5T/2
T 3T/2 2T 5T/2
S1 &
S2
S2 &
S4
S1 &
S2
S3 &
S4
i0
Merits of Full-Bridge Configuration:
a. It requires a Single DC supply (two wire only).
b. Output Voltage Magnitude is VS.
c. Source Utilization in 100%
Fourier Series Analysis of the Output Voltage VO
T/2 T 3T/2 2T 5T/2
Time
t
Vo
Output
Voltage
V o = 𝑛=1,3,5
 4.𝑉𝑠
𝑛
Sin (nωt)
Single-Phase Full-Bridge Inverter (VSI) with Pure L Load
S1
S4 S2
S3 D3
D2
D1
D4
L
+

V
V0
T/2
D1
D2
T 3T/2 2T
t
T1
T2
D3
D4
T3
T4
D1
D2
T1
T2
D3
D4
T3
T4
t (L-Load)
VO
+V
0
-V
iO
-IO
+IO
Single-Phase Full-Bridge Inverter (VSI)
with R-L load
S1
S4
S2
S3 D3
D2
D1
D4
+

V
V0
L 
+ R
i0
Vo
T/2 T 3T/2 2T 5T/2
Time
-V
Output
voltage
Io
io
T/2 T 3T/2 2T 5T/2
Time
-Io
Output
Current
T/2 T 3T/2 2T 5T/2
Time t
Gating
Signal
of S3, S4
T/2 T 3T/2 2T 5T/2
Time
t
Gating
Signal
of S1, S2
V
t1 t2
In VSI output voltage shape is Square, But output
current shape depends upon the nature of load
(a) R Load - Square Shape
(b) Pure L Load - Triangular Shape
(c) R-L Load - Exponential (Rise and Fall) Shape
PULSE-WIDTH MODULATION
PWM is widely used in industrial inverters to control the
output voltage and to reduce or eliminate the lower-order
harmonics. It is the most efficient and economical method
because it does not require any extra hardware to achieve
these objectives. The commonly used PWM techniques are:
1. Single PWM
2. Multiple PWM
3. Sinusoidal PWM
Single Pulse-Width Modulation
• In this PWM technique, there is only one pulse per half
cycle, and the width of the pulse is varied to control the
inverter output voltage.
• The gating signals are generated by comparing a
rectangular reference signal of amplitude Ar with a
triangular carrier-wave of amplitude Ac.
• The frequency of the reference signal determines the
fundamental frequency of output voltage.
• Generation of gating signals and output voltage of single-
phase full-bridge inverters are shown
Generating PWM
V0
load
+VDC
Single
-phase
inverter
Comparator
Vc

Vr


2
−

2

2

2
+

2

2
2
2
2

2
−

2


2

2
+

2

VS
Vg1
Ar
AC
Vg4
V0
V0
referenc
e signal
carrier
signal

t
t
t
t

VS
The ratio of amplitude of reference wave Ar to amplitude of carrier
wave Ac is the control variable and is called the amplitude
modulation index (M).
𝑀 =
𝐴𝑟
𝐴𝑐
The RMS output voltage can be derived
𝑉0 =
1
𝜋 𝜋−𝛿
2
𝜋+𝛿
2
𝑉
𝑠
2𝑑𝜔𝑡
1
2
or
𝑉0 = 𝑉
𝑠
𝛿
𝜋
Therefore, by varying Ar from 0 to AC, the Pulse Width δ
can be varied from 0° to 180°, and so the RMS output
voltage VO, is from 0 to VS.
Fourier Series Analysis of Output Voltage Waveform
Multiple Pulse - Width Modulation
• In this PWM technique, there are two or more than two
pulses per half cycle, and the width of pulse is varied to
control the inverter output voltage.
• By using several pulses in each half cycle of output voltage,
harmonic content is reduced. Here, pulses are of equal width
and are at an equidistance.
• The generation of gating signals for turning on and off the
thyristors or transistors are obtained by comparing a
reference signal with a triangular carrier wave
• The frequency of reference signal sets the output frequency
fO, and the carrier frequency fC determines the number of
pulses per half cycle (P).
12 34 5
 2
AC

Ar
0
Vg1
Vg4
V0
VS
0
VS
0
0
t
t
t
t
The modulation index controls the output voltage and this
type of modulation is called as uniform pulse width
modulation (UPWM).
The number of pulses per half cycle can be obtained by:
𝑃 =
𝑓𝑐
2𝑓𝑟
=
𝑀𝑓
2
where 𝑀𝑓 =
𝑓𝑐
𝑓𝑟
, is called the frequency modulation ratio.
The RMS output voltage can be derived as:
𝑉0 =
𝑃
𝜋
𝜋
𝑝−𝛿
2
𝜋
𝑝
+𝛿
2
𝑉
𝑠
2
𝑑𝜔𝑡
1
2
or
𝑉0 = 𝑉𝑆
𝑃𝛿
𝜋
Sinusoidal Pulse - Width Modulation
In this method of modulation, several pulses per half cycle are
used such as in the case of multiple PWM. But in this, the
pulse widths are not equal; rather, it is a sinusoidal function of
the angle positions of the pulse in a cycle. The distortion
factor and lower-order harmonics are greatly reduced in this
technique.
Sinusoidal Pulse - Width Modulation
AC
Ar
t
0
V0
VS
VS

Unipolar Sinusoidal pulse width modulation
2
𝑀 =
𝐴𝑟
𝐴𝐶
Three-Phase VSI Bridge Inverter
Three-phase bridge inverters are more common than
single-phase inverters for providing adjustable frequency
power to industrial loads. The power circuit diagram for
three-phase VSI consists of six Self/Fully Controlled
Switches (or) Thyristors. The three-phase load may be
delta or star-connected.
On the basis of period of conduction of each thyristor,
three-phase bridge inverters can be classified as
• 180° conduction mode inverter.
• 120° conduction mode inverter.
180 Conduction Mode
Three-phase VSI bridge inverter with Thyristors
3-phase
Load
D1 D3
D5
D4 D6
D2
V
a
b C
T1
T4
T3
T6
T5
T2
Vab Vbc
Vca
C
Three-Phase 180 Mode VSI
In this, each thyristor conducts for a period of 180 of a
cycle, so it’s called a 180-degree conduction-mode inverter.
The following points must be ensured while making firing
table:
• Each Thyristor conducts for 180 of a cycle
• In each group, that is, upper or lower group, thyristors are
fired after every 120, that is, if T1 is fired at 0, then T3
will be fired at 120 and T5 at 240
• In each leg, thyristors are fired after every 180°, that is, if
T1 is fired at 0°, then T4 will be fired at 180°
180 Conduction Mode
Output Phase Voltages are Three Stepped Wave Shape and
Output Line Voltages are Quasi Square Wave Shape
Therefore, it can be seen that:
• At a time, three thyristors conduct, that is, two from upper
group and one from lower group or one from upper group
and two from lower group.
• Thyristors are triggered in sequence of their numbers after
every 60°.
• One control cycle (360°) is divided into six steps, each of
60° interval. So, it is also called a six-step bridge inverter.
120 Conduction Mode
Three-Phase 120 Mode VSI
The power circuit diagram for 180-degree mode and 120-
degree mode VSIs are same.
In this mode, each thyristor conducts for 120°, so it’s called
a 120-degree conduction-mode bridge inverter.
The following points must be ensured while making firing
table:
• Each thyristor conducts for 120° of a cycle.
• In each group (i.e., upper or lower group), thyristors are
fired after every 120°, that is, if T1 is fired at ωt = 0°,
then T3 will be fired at ωt = 120°, and T5 at ωt = 240°.
• In each leg, thyristors are fired after every 180°, that is,
if T1 is fired at ωt = 0°, then T4 at ωt = 180°.
120 Conduction Mode
Output Phase Voltages are Quasi Square Wave Shape
Output Line Voltages are Three Stepped Wave Shape
CURRENT SOURCE INVERTERS (CSI)
• In the CSIs, the input current is constant.
• The amplitude of output current from the CSI is
independent of the load, but the magnitude of output
voltage and its waveform is dependent upon the nature of
load.
• A CSI converts the input DC current to an AC current,
and the frequency of the AC current depends upon the
frequency of Switching Devices (rate of triggering the
SCRs).
• The amplitude of the AC output current can be adjusted
by controlling the magnitude of the DC input current.
• Since CSI is a constant current system, it is used typically to
supply high power factor loads where impedance will be
remain constant or decreases at harmonic frequencies in
order to prevent problems either on switching or with
harmonics voltage.
• An VSI requires feedback diode whereas a CSI does not
require any feedback diode. The commutation circuit of CSI
is very simple as it contains only capacitors.
• Because power semiconductors in a CSI have to withstand
reverse voltage, devices like power transistors, power
MOSFETS, and power BJTs cannot be used in CSIs.
• THYRISTORS are the Best Power Semiconductor
Switches used in CSI Drives
Applications of CSI
• Speed control of AC motors
• Lagging VAR compensation
• Solar photovoltaic utility systems
• Synchronous motor starting
Single-Phase Full-Bridge Inverter (CSI)
with Pure C Load
I
T1
T2
T3
T4
V0

+
LOAD
Vin
Current source

+
V
T/2
Current input to CSI
I
0
t
T1T2 T3T4 T1T2 T3T4 T1T2 T3T4 T1T2 T3T4
i0
I
0
-I T t
t
t
2T
T
T/2
0
0
Output current
Output voltage
Input voltage
3T/2
f = 1/T
f = 2/T
0
in
In CSI Output Current shape is Square, But output
VOLTAGE shape depends upon the nature of load
(a) R Load - Square Shape
(b) Pure C Load - Triangular Shape
(c) R-C Load - Exponential (Rise and Fall) Shape
ace.online
Q. The output voltage wave form of a three phase square-wave inverter
contains ______.
(a) only even harmonics
(b) both odd and even harmonics
(c) any odd harmonics
(d) only triple harmonics
ace.online
Q. Full form of VVVF control
(a) Var variable voltage frequency
(b) variable voltage Var frequency
(c) variable Var voltage frequency
(d) variable voltage variable frequency
ace.online
Q. The output voltage of a single phase bridge inverter is
(a) Square wave
(b) Sinusoidal wave
(c) Constant dc
(d) Triangular wave
ace.online
Q. A single phase half bridge inverter required to feed RL loads, needs
(a) two thyristors
(b) four thyristors
(c) two thyristors and two diodes
(d) four thyristors and four diodes
DC - DC CONVERTERS
A chopper is a DC-DC converter. Since here the
input supply is DC there is no zero crossover in
the supply voltage, natural commutation is not
possible.
Transistor Family (Power BJT, Power MOSFET,
IGBT) and GTO’s or Forced-Commutated Thyristor
are suitable for such an application.
DC - DC CONVERTERS
Duty ratio control (δ) or the pulse-width modulation
(PWM) is effectively used to control these
converters.
The following switched-mode regulators are
used in regulated switch-mode DC power
supplies
1. Buck (step-down) converter
2. Boost (step-up) converter
3. Buck-boost (step-down/up) converter
4. Cuk converter (Not included in syllabus)
CHOPPER CLASSIFICATIONS
A) According to the input/output voltage levels
1. Step-down chopper: The output voltage is less
than the input voltage, that is, V0 < VS
2. Step-up chopper: The output voltage is greater
than the input voltage, that is, VO > VS
3. Step-up/Step-down chopper: The output
voltage is greater than/less than the input
voltage, that is, VO>VS (or) V0<VS
C) According to Quadrants/Modes of Operation
1. One-quadrant chopper: The output voltage and current
both are positive (Class A) and the output voltage is
positive but current is negative (Class B).
2. Two-quadrant chopper: The output voltage is positive
and current can be positive or negative (Class C), or
the output current is positive, and the voltage can be
positive or negative (Class D).
3. Four-quadrant chopper: The output voltage and current
both can be positive or negative (Class E).
CONTROL STRATEGIES in CHOPPERS
𝑉0 =
𝑇𝑜𝑛
𝑇
𝑉
𝑠 = 𝛿𝑉
𝑠
1. Time Ratio Control (TRC)
a. Constant Frequency System/Pulse Width Control
(PWM)
b. Variable Frequency System/Pulse Frequency
Control (PFC)
2. Current Limit Control (CLC)
STEP-DOWN CHOPPER with R-L-E Load (DC Motor)
CH1
VS
i0
FD
ifd
V0
Load
L
R
E
SWITCHED-MODE REGULATORS
DC converters can be used as switched-mode regulators
to convert an unregulated DC voltage to a regulated DC
output voltage. The regulation is achieved by a PWM at a
fixed frequency and the switching device is normally BJT,
MOSFET, or IGBT. The following switched-mode
regulators are used in regulated switch-mode DC power
supplies:
1. Buck (step-down) converter
2. Boost (step-up) converter
3. Buck-boost (step-down/up) converter
4. Cuk converter (Not Included in Syllabus)
1. Buck (Step-Down) Converter:
L
o
a
d
L
FD C
VS
i0
V0

+

+
CH
2. Boost (Step-Up) Converter:
VO
IO
R
L
D
VS
S C
3. Buck-Boost Converter:
VS
+
-
CH
D
L
o
a
d
L
Chopper ID
C
ace.online
Q. A power chopper converts
(a) ac to dc
(b) dc to dc
(c) dc to ac
(d) ac to ac
ace.online
Q. A step down dc chopper has an input voltage V. If duty cycle is ‘’ and the
load is resistive, the rms value of out-put voltage is
(a) V
(b) V
(c) 2V
(d) (1-)V
ace.online
Q. To increase the speed of a constant frequency chopper fed dc shunt motor
(a) TON should be decreased
(b) TOFF should be decreased
(c) duty ratio should be decreased
(d) duty ratio should be constant
ace.online
Q. A dc step down chopper has Ton of 1ms and its frequency is 500 Hz. What
will be its duty ratio ?
(a) 1
(b) 0.75
(c) 0.5
(d) 0.25
ace.online
Q. The DC output voltage Vo of a basic chopper circuit with input voltage Vin
and duty cycle  is given by____
(a) Vo = V in  
(b) Vo = V in / 
(c) Vo = V in  (1 - )
(d) Vo = V in
ace.online
Q. The duty cycle of a step down chopper is
AC VOLTAGE CONTROLLERS
(AC Voltage Regulators)
AC VOLTAGE CONTROLLERS
Silicon controlled rectifiers (SCRs) have capability to flow
current in one direction only. When two SCRs are connected
back to back, it is possible to flow current in bidirectional.
Hence combination of two SCRs can be used as bi-directional
switch in ac circuits. The ac-to-ac converters receive electric
power from fixed voltage ac utility system and convert it into
variable voltage ac system. Actually, ac-to-ac converters are
used to vary the RMS output voltage at load at constant
frequency and these converters are called as ac voltage
controllers or ac voltage regulators.
Power Circuit Diagram of single-phase AC Voltage controller:
(a) using SCRs (b) using TRIAC
L
O
A
D
+
V0

1
Source
~
T
2
T1
L
O
A
D
~
+
V0

1
Source
Triac
i0
Classification of AC Voltage Regulators
AC Voltage Controller
Integral Cycle Control
(ICC) or ON-OFF
Control
Phase Angle Control
Single Phase Controller Three Phase Controller
Half
wave
Full
wave
Half
wave
Full
wave
AC voltage controllers (or AC regulators) are AC-to-AC
converters that convert fixed alternating voltage to variable
alternating voltage at constant frequency.
In these, relatively cheap converter-grade Silicon-Controlled
Rectifiers (SCRs) and TRIACS are used as switching
devices. Because these devices are line commutated, there is
no need for separate commutation circuits.
The main disadvantage of AC voltage controllers is the
introduction of objectionable harmonics in the supply
current and load voltage.
However, because of their simplicity, AC voltage controllers
are preferred for domestic and industrial heating and lighting
loads, which are not affected by harmonics.
There are two methods of voltage control:
1. ON-OFF control or Integral Cycle control
2. Phase Control
PRINCIPLE OF INTEGRAL CYCLE CONTROL
(or) ON-OFF CONTROL
In this control, load is connected to the source for an integral
number of cycles and then disconnected from the source for
further number of integral cycles, as explained in Figure
below for a single-phase voltage controller with resistive
load.
That is why this method of voltage control is also
called “Integral Cycle Control (ICC)”
Output Voltage Control by Integral-Cycle Control
L
O
A
D
+
V0

1
Source
~
T2
T1
 2 3 4 5 6 7
Vs
ig1
ig2
V0
ON OFF ON
(n=2) (m=1) (n=2)
t
t
t
t
T1 T2 T1 T2 T1
Advantage of on-off control
It does not cause fluctuations in performance of the system.
Disadvantage of on-off control
It introduces sub-harmonics in the line current.
Applications of on-off control
Such control is used in heating applications, such as a
furnace.
PRINCIPLE OF PHASE CONTROL
In Phase-Controlled switching, the output voltage is
controllable by opening and closing the switch within a
cycle as shown in Figure for circuits with resistive load
In case of on-off control or ICC method, the output voltage
is controlled by opening and closing the switch for one or
several cycles of the AC input voltage
Output Voltage Control by Phase-Control Method
L
O
A
D
+
V0

1
Source
~
T2
T1
  +
T1
VS
V0
i0
 2+
2+
2 3
T2 T1
0
0
0
0
0
0
T1
T2
T1
+
t
t
t
Single-Phase Half-Wave AC Voltage Controller
With R – Load
(Single-Phase Unidirectional Voltage Controller)
• CIRCUIT
Vm
VS
ig1



0 2
3
4
t
t
t
t
t

2 4
2+
3
3+
3

0  2 2+ 4
T1 D1
V0
I0
VT1
0 
• The power flow through load is controlled by varying
the firing angle of T1 in the positive half cycle of supply
voltage only.
• Hence the control range is limited and it is applicable
only for low power resistive loads such as heating and
lighting.
• As only the positive half cycle is controlled for single-
phase half-wave ac voltage controller.
• This output Asymmetrical Waveform will have lot of
DC Component.
L
O
A
D
+
V0

1
Source
~
T2
T1
Single-Phase Full-Wave AC Voltage Controller with R Load
  +
T1
VS
V0
i0
 2+
2+
2 3
T2 T1
0
0
0
0
0
0
T1
T2
T1
+
t
t
t
Range of firing angle for getting controlled output
voltage = 0 to 
Single-Phase Full-Wave AC Voltage Controller with R-L Load
T1
io
iS
1-
AC
Source
Vo

+

T2
L
O
A
D
ig1
ig1
VS
π 2π 3π t
t
t
t
t
2π + α
π + α
π + α 2π
2π+α
T1
α1
V0
i0, iS
α
T2
T1
π 3π
α  2π + α
0
0
0
0
Range of firing angle for getting controlled output =  to 
Where =tan-1
𝑤𝐿
𝑅
Single-Phase Full-Wave AC Voltage Controller with Pure
Inductive Load (L Load)
(Concept of Thyristor Controlled Reactor)
T1
i0
iS
1-
AC
Source
V0

+
 L
T2
Firing Control Logic and Principle of Operation with Waveforms
For a purely inductive load,  = 90°. Therefore, the output
voltage control is only effective during 900 ≤ α ≤ 1800
π 2π 3π 4π
t
t
t
t
t
4π
4π
I0
V0
ig2
ig1
VS
0
α
α α
3π + α
 π + α
2π + α
2π 3π
π
0
π 2π 3π
α
0 α
α 
This circuit is also known as thyristor controlled inductor or
thyristor controlled reactor. In ac power system, it is
commonly called static VAR compensation.
This unit draws lagging reactive current from utility system;
hence there will be excessive voltage drops which adversely
affect on stability of system.
ace.online
Q. A single phase AC regulator with an inductive load has the following details:
source voltage = 230V, frequency = 50 Hz and L=5 ohms. The control
range of the firing angle () is _______.
(a) 0 <  
(b) /2    
(c) 0 <  < /2
(d)  >  > /2
ace.online
Q. A single phase ac voltage controller is controlling current in a purely inductive
load. If the firing angle of the SCR is , what will be the conduction angle of
the SCR
(a) 
(b) -
(c) 2(-)
(d) 2
ace.online
ace.online
Q. An AC regulator provides
(a) Variable frequency, fixed magnitude AC
(b) Fixed frequency, variable magnitude AC
(c) Fixed frequency, fixed magnitude AC
(d) Variable frequency, variable magnitude AC
CYCLOCONVERTERS
When ac-to-ac converters receive power at fixed frequency
voltage and converts into another ac system at different
frequency with variable voltage, these converters are known
as cycloconverters. In cycloconverter, there is no
intermediate converter stage.
The cycloconverter is a one-stage frequency changer that
converts AC power at one input frequency to output AC
power at different frequency.
Generally the ac variable output voltage at variable frequency
can be generated by using two stage converters such as
controlled rectifier (fixed ac to variable dc converter) and
inverter (variable dc to variable ac at variable frequency). But
cycloconverter can be used to eliminate the requirement of one
or more intermediate converters. Therefore, cycloconverter is
also called as one-stage frequency changer.
Generally, the output frequency of cycloconverter is always less
than input frequency (practical case). In cycloconverter
frequency changes in steps. Usually cycloconverter is a SCR
based converter with natural or line commutation.
Cycloconverters are widely used in various
applications, such as
• Slip-Power Recovery Scherbius Drives
• Variable-Speed Constant Frequency (VSCF) power
generation for aircraft or shipboards
• Speed Control of high-power AC drives in cement,
ball mills, and rolling mills
• Speed control of very high power ac drives
• Very high power low-speed induction motor drive
• Low-frequency three phase/single phase induction or
traction motor drives
• Static VAR compensation
• Industrial heating
Classification of Cycloconverter
1. On the basis of its operation:
a. Step-up cycloconverter, that is, fO > fS
b. Step-down cycloconverter, that is, fO < fS
2. On the basis of configuration:
a. Midpoint-type cycloconverter
b. Bridge-type cycloconverter
3. Depending upon the phases:
a. Single-phase to single-phase cycloconverters
b. Three-phase to single-phase cycloconverters
c. Three-phase to three-phase cycloconverters
Single-Phase to Single-Phase Cycloconverter
(a) Midpoint type

b
a P1
P2
O
 +
v0
i0
N2
N1
vS LOAD
(a)
vS
P1
P2

+
v0
i0
N1
(b)

L
O
A
D
N2
N3
N4
P3
P4
Single-Phase to Single-Phase Cycloconverter
(b) Bridge type.
ace.online
Q. A bridge type single phase cyclo-converter changes the frequency f to
𝑓
3
.
Then one half wave of output contains
(a) three full waves of input
(b) three half waves of input
(c) six full waves of input
(d) six half waves of input
ace.online
ace.online
Q. The possible output frequency of a 60Hz cyclo-converter is :
(a) 60 Hz
(b) 16
2
3
Hz
(c) 20 Hz
(d) 25 Hz
ace.online
Q. In a single phase to single phase cycloconverter if 1 and 2 are the trigger
angles of positive converter and negative converter, then
(a) 1 + 2 = /2
(b) 1 + 2 = 
(c) 1 + 2 = 3 /2
(d) 1 + 2 = 2
ace.online
Q. A cyclo-converter is
(a) ac-dc converter
(b) dc-ac converter
(c) dc-dc converter
(d) ac-ac converter
ace.online
Q. In V/f control of induction motor above rated voltage, to increase the speed of
motor, frequency is to be ____ and voltage is to be ________.
(a) increased …….kept constant
(b) decreased ………decreased
(c) increased………..increased
(d) decreased………kept constant
ace.online
Q. For stator voltage control of 3 phase induction motor which of the following
converter is used if the supply is 3 phase AC, 50 Hz
(a) PWM inverter
(b) 3 phase AC voltage controller
(c) Cycloconverter
(d) 3 phase rectifier
ace.online
Q. For controlling the speed of a 3 phase induction motor V/f ratio is maintained
constant for
(a) constant air gap flux
(b) constant reactance
(c) varying the air gap flux
(d) variable resistance
ace.online
Q. While plugging of a separately excited d.c. motor, the supply to the armature
is
(a) reversed
(b) connected to a resistance
(c) connected to a.c. supply
(d) None of the above
ace.online
Q. It is advisable to control speed of induction motor by maintaining
(a) voltage constant
(b) frequency constant
(c) v/f ratio constant
(d) slip constant

YT Live TSPSC AE.pptx

  • 1.
    ace.online TSPSC- AE (EEE) RevisionSession Important Questions Analysis Power Electronics -- Rajendra Gharase M.Tech. IISc, Bangalore GATE- AIR 007 Faculty ACE Engg. Academy
  • 2.
    ace.online Syllabus Basics of powerelectronic devices - Construction, Working, theory, Characteristic, Advantages, Disadvantages, Applications & mechanism of protection of SCR, TRIAC, DIAC, GTO, UJT, IGBT, converters, inverters, AC regulators, Choppers, Cycloconverters – Speed control of AC & DC Motors using Power electronic devices – Applications of power electronic devices
  • 3.
  • 4.
    Classification of PowerSemiconductor Devices The Power Semiconductor Devices can be classified based on the following factors: 1. Driver circuit used in the device 2. Carrier used in the device 3. Number of terminals in the device 4. Triggering methods 5. Based on Polarity of Voltage Blocking 6. Based on Direction of Current Conduction
  • 5.
    Classification of PowerSemiconductor Devices based on driver circuit used in the device
  • 6.
    Classification of PowerSemiconductor Devices based on carrier used in the device
  • 7.
    Classification of PowerSemiconductor Devices based on number of terminals
  • 8.
    Classification of PowerSemiconductor Devices based on triggering methods
  • 9.
    Classification of PowerSemiconductor Devices based on Polarity of Voltage Blocking
  • 10.
    Classification of PowerSemiconductor Devices based on Direction of Current Conduction
  • 11.
    Increasing order ofswitching speed: 1. MOSFET (Fast)  IGBT  BJT  SCR  GTO (slow) 2. MOSFET (Fast)  IGBT  BJT  Diode  SCR  GTO (Slow) Devices Power Capability Switching Frequency 1. SCR High Low 2. GTO High Low 3. Power BJT Medium Low 3. Power MOSFET Low High 4. IGBT Medium Medium 5. TRIAC Low Low
  • 12.
    THYRISTOR Silicon Controlled Rectifier(SCR) Construction: P1 K G P2 A 𝑁1 − 𝑁2 + A K Circuit symbol of SCR G
  • 13.
    Biasing of SCR ForwardBiasing: P1 K G P2 A 𝑁1 − 𝑁2 + J1 J2 J3 VAK + ia RL  + VS
  • 14.
  • 15.
    V-I Static Characteristicsof SCR Ig1 > Ig2 > Ig3 > Ig0 +Ia Ia Va VBR Reverse blocking mode Forward leakage current Forward blocking mode Forward Conduction mode (on-state) Reverse leakage current +Va Ig= 0 VBO M VT mA Ig1 Ig2 Ig3 Latching current (IL) Holding current (IH) O  VB0 = Forward break over voltage VBR = Reverse break over voltage Ig = Gate current
  • 16.
    TWO TRANSISTOR ANALOGYOF SCR Ia Ik K G IB1 Ic2 C2 Q2 IC1 Q1 Ig IB2 A C1
  • 17.
    Protection of SCR: 1.Over Voltage Protection Z V
  • 18.
    2. Over CurrentProtection C.B FACLF
  • 19.
  • 20.
  • 21.
  • 22.
    GATE PROTECTION 1. OverVoltage Protection 2. Over Current Protection 3. Protection against noise signal
  • 23.
    Commutation of SCR 1.Commutation Procedure 2. Natural Commutation 3. Forced Commutation 4. Load Commutation
  • 24.
    Thermal Modelling ofSCR Heat sink Casing Junction p n Ambient 𝑃𝐴𝑉 = 𝑇𝑗 − 𝑇𝑐 𝑗𝑐 = 𝑇𝑐 − 𝑇𝑠 𝑐𝑠 = 𝑇𝑠 − 𝑇𝐴 𝑆𝐴 = 𝑇𝑗 − 𝑇𝐴 𝑗𝑐 + 𝑐𝑠 + 𝑆𝐴
  • 25.
    SERIES AND PARALLELOPERATION OF SCR’S 𝑠 = 𝐴𝑐𝑡𝑢𝑎𝑙 𝑐𝑢𝑟𝑟𝑒𝑛𝑡 𝑟𝑎𝑡𝑖𝑛𝑔 𝑜𝑓 𝑠𝑡𝑟𝑖𝑛𝑔 𝑁𝑃×𝑐𝑢𝑟𝑟𝑒𝑛𝑡 𝑟𝑎𝑡𝑖𝑛𝑔 𝑜𝑓 𝑆𝐶𝑅 𝑃𝑎𝑟𝑎𝑙𝑙𝑒𝑙 𝑜𝑝𝑒𝑟𝑎𝑡𝑖𝑜𝑛 Always 𝑠 < 1 𝑠 = 𝐴𝑐𝑡𝑢𝑎𝑙 𝑣𝑜𝑙𝑡𝑎𝑔𝑒 𝑟𝑎𝑡𝑖𝑛𝑔 𝑜𝑓 𝑠𝑡𝑟𝑖𝑛𝑔 𝑁𝑠×𝑉𝑜𝑙𝑡𝑎𝑔𝑒 𝑟𝑎𝑡𝑖𝑛𝑔 𝑜𝑓 𝑆𝐶𝑅 𝑆𝑒𝑟𝑖𝑒𝑠 𝑜𝑝𝑒𝑟𝑎𝑡𝑖𝑜𝑛 Derating factor (D.R.F) = 1 s.
  • 26.
  • 27.
    V-I Characteristics ofTRIAC Ia Ia V VB01 VB02 Ig0 Ig1 Ig2 Ig3
  • 28.
    Highlighting Points ofTRIAC 1. TRIAC is Bipolar Switch 2. TRIAC is Bidirectional Switch 3. TRIAC is Current Controlled Switch
  • 29.
    GATE TURN OFF(GTO) Construction Symbol A P+ n+ n+ n+ P+ n+ P+ P+ n K G A G K A G K A G K
  • 30.
    V-I Characteristics ofGTO +Ia Ia Va VBR +Va VBO M mA Ig1 Ig2 Ig3 O 
  • 31.
    Applications 1. Inverters 2. UPS 3.Motor Drives 4. Electric Traction Drive Systems
  • 32.
    Highlighting Points ofGTO 1. GTO is Fully-controlled Switch 2. GTO is Bipolar Switch 3. GTO is Unidirectional Switch 4. GTO is Current Controlled Device 5. GTO is 4 Layer, 3 Junction Device
  • 33.
    Power BJT: Construction Symbol p n– n+ NA =1019 cm–3 ND = 1014 cm–3 NA = 1016 cm–3 10 m Base region (Base thickness) 50-200 m Collector drift region 250 m collector Base (B) Emitter (E) NA = 1016 cm–3 n+ B C E C
  • 34.
    Static V-I Characterstics VCE IC Saturation(on state) Active region Cutoff (off state) Increasing base current
  • 35.
    Highlighting Points ofBJT 1. BJT is Fully-controlled Switch 2. BJT is Unipolar Switch 3. BJT is Unidirectional Switch 4. BJT is Current Controlled Device 5. BJT is 3 Layer, 2 Junction Device 6. During ON State BJT is considered equivalent to voltage source
  • 36.
    Insulated Gate BipolarTransistor (IGBT) Basic Structure C E G C E G Metalisation n n+ p+ p J1 J2 J3 n+ n+ SiO2 Source layer Body layer Drift layer Buffer layer Drain layer collector Symbol
  • 37.
    I-V Characteristics ofIGBT VGE1 VGE2 VGE3 VGE4 IC VCE VGE5 Avalanche breakdown
  • 38.
    Applications of IGBT →SMPS → AC motor controllers → Choppers → Inverters → UPS
  • 39.
    Highlighting Points ofIGBT 1. IGBT is Fully Controlled Switch 2. IGBT is Bipolar Switch 3. IGBT is Unidirectional Switch 4. IGBT is Voltage Controlled Switch
  • 40.
  • 41.
    V-I Characteristic ofMOSFET VGS1 VGS2 VGS3 VGS4 ID VDS VGS5 Avalanche breakdown
  • 42.
    Applications of PowerMOSFET → In high Frequency Inverters → In SMPS → UPS → Motor Control Applications → Display Drivers
  • 43.
    Highlighting Points ofPower MOSFET 1. MOSFET is Fully Controlled Switch 2. MOSFET is Unipolar Switch 3. MOSFET is Unidirectional Switch 4. MOSFET is Voltage Controlled Switch 5. During ON State MOSFET is considered as equivalent to Resistor
  • 44.
    ace.online Q. Which semiconductorpower device out of the following is not a current triggering device ? (a) Thyristor (b) MOSFET (c) G.T.O (d) Triac
  • 45.
    ace.online Q. Which semiconductordevice behaves like two SCRs (a) UJT (b) TRIAC (c) MOSFET (d) JFET
  • 46.
    ace.online Q. If theamplitude of the gate pulse during turn - ON of an SCR is increased then, (a) the delay time would increase but the rise time would decrease (b) both delay time and rise time would increase (c) the delay time would decrease but the rise time would decrease (d) the delay time would decrease while the rise time remains same
  • 47.
    ace.online Q. Which statementis true for latching current (a) it is related to turn off process of the device (b) it is related to conduction process of device (c) it is related to turn on process of the device (d) it is related to conduct at full voltage level
  • 48.
    ace.online Q. Thyristor canbe protected from over voltage by using (a) voltage clamping device (b) fuse (c) heat sink (d) snubber circuit
  • 49.
    ace.online Q. The TRIACis equivalent to (a) two SCR’s connected in parallel (b) two SCRs connected in anti-parallel (c) one SCR, one diode connected in parallel (d) one diode, one SCR connected in anti-parallel
  • 50.
    ace.online Q. The twotransistor model of a thyristor consist of following two transistors (a) One-n-p-n and other p-n-p (b) both p-n-p (c) both n-p-n (d) one n-p-n and other UJT
  • 51.
    ace.online Q. LASCR has (a)4 semiconductor layers and 3 junctions (b) 3 semiconductor layers and 2 junctions (c) 2 semiconductor layer and 2 junctions (d) 3 semiconductor layers and 3 junctions
  • 52.
    ace.online Q. The numberof P-N junctions in a thyristor is (a) 1 (b) 2 (c) 3 (d) 4
  • 53.
    ace.online Q. Which oneof the following is a bidirectional controlled switch (a) thyristor (b) triac (c) GTO (d) diac
  • 54.
    ace.online Q. Once SCRstarts conducting a forward current its gate losses control over (a) anode voltage only (b) anode current only (c) anode voltage and current (d) anode voltage and time
  • 55.
    ace.online Q. Pick thevoltage controlled devices from the following : (a) MOSFET & GTO (b) IGBT & SCR (c) SCR & GTO (d) MOSFET & IGBT
  • 56.
    ace.online Q. The voltageacross a SCR is found to be 68 V and the current is 0.01 mA. Now the device is (a) forward biased & turned - off (b) forward biased & turned - on (c) reverse biased & turned - off (d) reverse biased & turned - on
  • 57.
    ace.online Q. Cut –off region, negative resistance region and saturation region are regions in volt-amp characteristics of (a) UJT (b) LASCR (c) TRIAC (d) GTO
  • 58.
    ace.online Q. When cathodeof a thyristor is made more positive than its anode, then (a) all the junctions are reverse biased (b) outer junctions are reversed biased and central one is forward biased (c) outer junctions are forward biased and central one is reversed biased (d) all the junctions are forward biased
  • 59.
    ace.online Q. The Snubbercircuit is used in thyristor circuits for (a) triggering (b) 𝑑𝑣 𝑑𝑡 Protection (c) 𝑑𝑖 𝑑𝑡 Protection (d) phase shifting
  • 60.
    ace.online Q. In anSCR if latching current is IL and holding current is IH then the following relation hold good (a) IH > IL (b) IH  IL (c) IH = IL (d) IH < IL
  • 61.
    ace.online Q. Which oneis most suitable power device for high frequency (>100 KHz) switching application (a) Power MOSFET (b) BJT (c) Schottky diode (d) Microwave transistor
  • 62.
    ace.online Q. In atransistor which of the following layer is lightly doped (a) emitter (b) collector (c) drain (d) base
  • 63.
    ace.online Q. If thegate current of an SCR is increased, its forward break over voltage VBO will (a) increase (b) decrease (c) not be affected (d) be infinity
  • 64.
    AC to DCConverters/ Rectifiers
  • 65.
    Phase controlled convertersor Rectifiers Single phase converters Three phase converters Uncontrolled converters Controlled converters Uncontrolled converters Controlled converters
  • 66.
    Based on numberof pulses in output voltage waveform: The output voltage waveform consists of pulses (segments) of input AC voltage, and these pulses repeat over one cycle of input voltage. Depending upon the number of pulses in output voltage waveforms, the rectifiers are classified as: Single-pulse rectifier: One pulse in output voltage waveform for one cycle of input (1 − φ HWR). Two-pulse rectifier: For one cycle of input, two pulses in the output voltage waveform (1 − φ FWR).
  • 67.
    Three-pulse rectifier: Forone input cycle, three pulses in the output voltage waveform (3 − φ HWR). Six-pulse rectifier: For one input cycle, six pulses in the output voltage waveform (3 − φ FWR). Twelve-pulse rectifier: For one input cycle, twelve pulses in the output voltage waveform (Series connection of two six-pulse converters i.e. Double-Star)
  • 68.
    Single phase uncontrolledconverters or rectifiers Half wave or 1-pulse converters Full wave or 2-pulse converters Three phase uncontrolled converters or Rectifiers Half wave or 3 pulse converter Full wave or 6 pulse converter Double star or 12 pulse converter
  • 69.
    Based on quadrantof operation (V-I characteristics): The output or load current of rectifier always remains in same direction (positive) because diodes and thyristors used in the rectifier circuit are unidirectional devices. But the polarity of average output voltage can be reversed by varying the firing angle α. If the polarity of average output voltage remains unchanged, (i.e., V0 always positive, while varying α from 0° to 180°) then V-I characteristics are confined to only one quadrant, and the rectifier is called the single- quadrant rectifier
  • 70.
    Example: All uncontrolledrectifiers, half-controlled or semiconverter rectifiers. +V0 v0 I I0 i0 -i0 -v0
  • 71.
    If the outputvoltage polarity reverses, it operates in two- quadrants (I and IV), and the rectifier is called a two- quadrant rectifier Example: All fully controlled rectifiers or full converters. +V0 v0 I I0 i0 -i0 -v0 -V0 O IV
  • 72.
    If two fullconverters are connected in antiparallel, both voltage and current can be reversed and this is called a four-quadrant converter or dual converter +V0 v0 I I0 i0 -i0 -v0 -V0 -I0 II III IV
  • 73.
    Single-Phase Half-Wave uncontrolled Rectifierwith R-Load Circuit Diagram iS vS  a b  + v0 iD vD K A +  io R
  • 74.
    2 Vm  t 0 vs 𝜋 2 2 Vm  t 0 vo 𝜋 2 2 t 0 is 𝜋 2 2  t 0 vD 𝑉 𝑚 𝑅 -Vm
  • 75.
  • 76.
    Single-Phase Half-Wave uncontrolled Rectifierwith R-L Load (Inductive) Circuit Diagram V = Vmsin t D V0 VD i R   + L  + VL VR
  • 77.
    2 Vm  t 3 4 0 v Input voltage 2 Vm  t 3 0 Vo Outputvoltage 2 Im  t 3 0 i Load current 2  t 3 4 0 VD Voltage across diode -Vm VR VL Area-B Area-A VL VR  
  • 78.
    Single-Phase Half-Wave uncontrolled RectifierR-L Load with Freewheeling Diode Circuit Diagram VS = Vmsin t D DF VD iO R   + L  + VL VR iS IDF V0
  • 79.
    2 Vm  t 3 4 0 VS Input voltage 2 Vm  t 34 0 VO Output voltage 2 Im  t 3 4 0 iO Load current 2  t 3 4 0 VD Voltage across diode -Vm Area-B Area-A VR  D DF
  • 80.
    AC supply  D2 D1 1:2 VS Single-PhaseFull-Wave uncontrolled Mid Point Rectifier with R-Load
  • 81.
    2 Vm  t 3 4 0 V Inputvoltage Vm t Vo Output voltage Im  t i Load current 2  3 4 0 2 3 4 0 D1 D2 D1 D2 2  t -2Vm vD1 3
  • 82.
    AC supply  D1 D2D3 D4 R Vo  + Single-Phase Full-Wave uncontrolled Bridge Rectifier with R-Load
  • 83.
    2 Vm  t 3 4 0 V Inputvoltage Vm t Vo Output voltage Im  t io Load current 2  3 4 0 2 3 4 0 D1&D2 D3&D4 D1&D2 D3&D4
  • 84.
    Single-Phase Half-Wave ControlledRectifier with R-Load iS vS  a b  + v0 iT vT +  io R
  • 85.
    VS 2 Vm  t 3 4 0 ig t 2 V0 t 3 4 0    2+ 3+ I0  t 0  2 VT  t 3 4  2+ 0
  • 86.
    Single-Phase Half-Wave ControlledRectifier with R-L Load VS = Vmsin(t) T V0 VT iT R   + L  + VL VR
  • 87.
    VS 2 Vm  t 3 4 0 ig t 2 V0  t 4 0   2+ 3 I0 t 0  2 VT  t 3 4  2 0 2  3 4   3 4
  • 88.
    Effect of inductiveload: 1. Average output voltage V0 reduces. 2. Input PF reduces. 3. Load current i0 waveforms gets distorted. 4. Load performance detoriates.
  • 89.
    Single-Phase Half-Wave ControlledRectifier with R-L Load and Free-Wheeling Diode VS = Vmsin t T FWD VT iO R   + L  + VL VR iT IFWD V0
  • 90.
    Continuous Mode Operation VS 2 t 3 4 0 ig t 2 V0  t 4 0    2+ 3 I0  t 3 4  2 0 2  3 4   2+ Conduction of T Conduction of DF Conduction of T Conduction of DF
  • 91.
    The advantages offree wheeling diode in single-phase half-wave controlled rectifier with RL load are given below: 1. Output Voltage is increased 2. Input Power Factor can be improved 3. Load Current Wave form is improved 4. Performance of Controlled Rectifier is better
  • 92.
    Single-Phase Full-Wave ControlledRectifier with R-Load (Mid-Point Type) AC supply  T2 T1 1:2 VS
  • 93.
    VS 2  t 3 4 0 ig1 t 2 V0 t 3 4 0    2+ 3+ I0  t  2  3 4 ig2 t   2  3 4 0 + 2 3 4
  • 94.
    Single-Phase Full-Wave ControlledRectifier with R-L Load (Mid-Point Type) AC supply  T2 T1 1:2 VS r
  • 95.
    (Considering Continuous Conduction) VS 2 t 3 4 0 ig1 t 2 V0  t 3 4 0    I0  t  VT1  t 3 4 2+ 0 2  3 4 ig2 t   2  3 4 + + T1 T1 T2 + 2Vm
  • 96.
    Single-Phase Full-Wave ControlledRectifier with R-Load (Bridge Type) is T1 T2 T3 T4 Io Vo R  VS =Vmsin t
  • 97.
    VS 2  t 3 4 0 ig1 t 2 V0 t 3 4 0    2+ 3+ I0  t  2  3 4 ig2 t   2  3 4 0 + 2 3 4
  • 98.
    Single-Phase Full-Wave ControlledRectifier with R-L Load (Bridge Type) is T1 T2 T3 T4 Io Vo R L  VS =Vmsin t
  • 99.
    (Considering Continuous Conduction) VS 2 t 3 4 0 ig1 & ig2 t 2 V0  t 3 4 0    I0 t 2+ 0 2  3 4 t   2  3 4 + + ig3 & ig4 0 3+ 
  • 100.
    Single-Phase Full-Wave ControlledRectifier with R-L Load and Free-Wheeling Diode (Bridge Type) is T1 T2 T3 T4 Io Vo R L  VS =Vmsin t
  • 101.
    VS 2  t 3 4 0 ig1& ig2 t 2 V0  t 3 4 0    I0 t 2+ 0 2  3 4 t   2  3 4 + + ig3 & ig4 0 3+  2 3 4 Current T1&T2 Current T3&T4 Current DF Current DF T1&T2 T1&T2 DF DF T1&T2 DF
  • 102.
    The advantages offree wheeling diode in single-phase Full-wave controlled rectifier with RL load are given below: 1. Output Voltage is increased 2. Input Power Factor can be improved 3. Load Current Wave form is improved 4. Performance of Controlled Rectifier is better
  • 103.
    SINGLE-PHASE SEMICONVERTER It isa half-controlled full-wave rectifier. It is also called a single-phase two-pulse rectifier or one-quadrant converter. It uses a mixture of diodes and thyristors, and there is a limited control over the output DC voltage. Though Semiconverters have inherent freewheeling action, these are generally not utilized. Rather a separate freewheeling diode (FD) is connected across the load. This is because the inherent freewheeling increases the average current rating of the silicon-controlled rectifier (SCR). These are half-controlled converters having limited control on their average DC output voltage.
  • 104.
    The single-phase semiconverterhas two configurations 1. Symmetrical semiconverter: In this configuration, each arm or leg has one thyristor and one diode. It requires a FD if the load is inductive. T2 R  T1 D1 D2 V0 L L o a d FD i0 + 1- AC Source (VS)
  • 105.
    2. Asymmetrical semiconverter:In this configuration, one leg has two thyristors and the other leg has two diodes. It does not require an FD if the load is inductive because the two diodes D1 and D2 can play the role of the FD. T2 R  T1 D1 D2 v0 L L o a d i0 + 1- AC Source (vs)
  • 106.
    Single-Phase Half-Controlled Rectifier (Semi-Converter)with R-L Load (Symmetrical Configuration) T2 R  T1 D1 D2 V0 L L o a d FD i0 + 1- AC Source (VS)
  • 107.
    VS 2  t 3 4 0 ig1 t 2 V0 t 3 4 0    I0 t 2+ 0 2  3 4 t   2  3 4 + + ig2 0 3+  2 3 4 T1& D1 T1& D1 FD FD T2& D2 FD
  • 108.
    Single-Phase Half-Controlled Rectifier (Semi-Converter)with R-L Load (Asymmetrical Configuration) T2 R  T1 D1 D2 v0 L L o a d i0 + 1- AC Source (vs)
  • 109.
    VS 2  t 3 4 0 ig1 t 2 V0 t 3 4 0    I0 t 2+ 0 2  3 4 t   2  3 4 + + ig2 0 3+  3 4 T1& D1 T1&D1 D1 T2& D2 D2 D1 D2 D1 D2
  • 110.
    Source Inductance The analysisof single-phase full-wave controlled bridge rectifier with RL load was done assuming negligible source inductance. Actually all ac-to-dc converters are supplied from transformers. Usually the series impedance of transformer can not be neglected. Therefore series impedance must be present in any converter circuits. Generally, this impedance is inductive with negligible resistive component. Due to presence of source inductance, the output voltage of a converter will not be remaining constant and input current waveform will be changed significantly.
  • 111.
    Effect of SourceInductance on the Performance of Single Phase Controlled Rectifiers
  • 114.
    Concept of Commutation Angle/ Overlap Angle (μ) • The current transition between pair of devices is not instantaneous due to Inductive nature of source • During overlap period all four SCR’s of single-phase bridge converter will carry the current • This angle is called Commutation angle or Overlap angle • During this period (μ) as all four devices are conducting, the output voltage is Zero (Hence there is reduction in output Voltage)
  • 115.
    Input Power Factorfor R-L and R-L-E Load: If voltage is sinusoidal and current is non sinusoidal then Input Power Factor is calculated using following Expression: Input Power Factor = Displacement Power Factor*Distortion Factor
  • 116.
    Displacement Power Factor/Fundamental Input PF It is Cosine of Phase Angle between Fundamental Source Voltage (Line to Neutral Voltage in Case of 3 Phase) and Fundamental Source Current Distortion Factor It is Ratio of RMS value of Fundamental Source Current to RMS value of Source Current
  • 117.
    Three Phase UncontrolledRectifiers Single-phase uncontrolled rectifiers are extensively used in low to medium power applications as dc power supply in different electronics equipments. The single-phase uncontrolled rectifiers can able to handle up to 15 KW as high KVA transformers are required for a specified dc output power. Where single-phase rectifiers are not suitable, three-phase uncontrolled rectifiers are used for above 15 KW and high power applications such as 1. Power supply of electrical machines 2. High voltage dc transmission 3. DC motor drives 4. Power supply of telephone exchange
  • 118.
    Advantages of Three-PhaseRectifiers Three-phase uncontrolled rectifiers are known as polyphase rectifiers. Harmonics and ripple in output voltage are more in single-phase rectifiers. Since less harmonics and less ripple voltage exist in three phase rectifier, three-phase and multiphase (polyphase) uncontrolled rectifiers can be used for high power applications with high voltage and current rating. In high power applications, three-phase rectifiers are preferred over single phase rectifier due to the following advantages: 1. High dc output voltage 2. Less ripple in output current 3. High input power factor 4. Size of filter is low due to high ripple frequency
  • 119.
  • 120.
  • 121.
    Three-Phase Full-Wave UncontrolledBridge Rectifier with R-Load
  • 122.
  • 123.
  • 124.
    With Resistive Load,three-phase half-wave controlled rectifier operates in two different modes of conduction such as 1. Continuous conduction mode when firing angle α is less than 30°. 2. Discontinuous conduction mode when firing angle α is greater than 30°.
  • 125.
  • 126.
  • 127.
    Table – 1[I0 constant] Where  = 𝑇𝑎𝑛−1 𝑤𝐿 𝑅 1- full convertor 3- full converter 1- semi converter 3- semi converter 1. V0 2 𝑣𝑚  𝑐𝑜𝑠 3 𝑣𝑚𝑙  𝑐𝑜𝑠 𝑣𝑚  1 + 𝑐𝑜𝑠 𝑣0 = 3 𝑣𝑚𝑙 2 1 + 𝑐𝑜𝑠 𝐼𝑠1 = 6  𝐼0𝑐𝑜𝑠  2 2. 𝐼𝑠1 2 2  𝐼0 = 0.9𝐼0 8  𝐼0 = 0.9 𝐼0 2 2  𝐼0 𝑐𝑜𝑠  2 AC to DC Converters
  • 128.
    3. Is I0 𝐼0 2 3 𝐼0 −   𝐼0 2 3 𝐼0  −   4. DF 2 2  = 0.9 3  = 0.955 8  −α 𝑐𝑜𝑠  2 3  𝑐𝑜𝑠  2 6 (−) . 𝑐𝑜𝑠  2 5. DPF Cos  Cos  𝑐𝑜𝑠  2 𝑐𝑜𝑠  2 𝑐𝑜𝑠  2 60𝑜  > 60𝑜
  • 129.
    6. IPF 22  𝑐𝑜𝑠 = 0.9 cos 3  𝑐𝑜𝑠 = 0.955 cos 8 (−) . 𝑐𝑜𝑠2  2 3  𝑐𝑜𝑠2  2 6 (−α) . 𝑐𝑜𝑠2  2 7. THD 48.43% (or) П2 8 − 1 31.1% (or) ^2 9 − 1 (−) 8𝑐𝑜𝑠2 2 -1 2 9𝑐𝑜𝑠2 2 − 1 ( − ) 6𝑐𝑜𝑠2  2 − 1
  • 130.
    Effect of SourceInductance Single Phase Full Wave Controlled Rectifier 𝑐𝑜𝑠  + µ = 𝑐𝑜𝑠 − 2𝑤𝐿𝑠 𝑣𝑚 . 𝐼0 𝑉0 = 2𝑣𝑚  𝑐𝑜𝑠 − 2𝑤𝐿𝑠  . 𝐼0 Regulation = 𝑤𝐿𝑠×𝐼0 𝑣𝑚.𝑐𝑜𝑠 × 100 In the 1- FWR, if the source inductance (𝐿𝑠) is taken into consideration. D.F can be written as D.F = cos + µ 2
  • 131.
    3- FWR, ifsource inductance (Ls) is considered then displacement factor, 𝐷. 𝐹. = 𝑐𝑜𝑠  + µ 2 (or) 1 2 𝑐𝑜𝑠 + cos( + µ) (a) 1- full wave rectifier Cos ( + ) = cos  - 2𝑤𝐿𝑠 𝑣𝑚 𝐼0 𝑉0𝑎𝑣𝑔 = 2𝑣𝑚  . 𝑐𝑜𝑠 − 2𝑤𝐿𝑠 𝑣𝑚 𝐼0
  • 132.
    (b) 1- fullwave diode bridge rectifier cos  = 1 − 2.𝑤𝐿𝑠 𝑉𝑚 𝐼0 (c) 3- full wave rectifier cos  +  = 𝑐𝑜𝑠 − 2.𝑤𝐿𝑠 𝑉𝑚𝑙 𝐼0 𝑣0𝑎𝑣𝑔 = 3𝑉𝑚𝑙  . 𝑐𝑜𝑠 − 3𝑤𝐿𝑠  . 𝐼0
  • 133.
    (d) 1- HalfWave Rectifier Cos( + ) = cos ()  𝑤𝐿𝑠 𝑉𝑚 𝐼0 𝑉0𝑎𝑣𝑔 = 𝑣𝑚 2 1 + 𝑐𝑜𝑠 − 𝑤𝐿𝑠 2 𝐼0 Note: for 1- half wave diode rectifier put  = 0o in above expressions
  • 134.
    Discontinuous io R V0avg = 𝑣𝑚  . (1 + 𝑐𝑜𝑠) RL  Voavg = 𝑣𝑚  . (𝑐𝑜𝑠 − 𝑐𝑜𝑠) RE  ioavg = 1 𝑅 . 𝑣𝑚 (𝑐𝑜𝑠Ɵ + 𝑐𝑜𝑠 − 𝐸( − Ɵ − )) RLE  Voavg = 1  . 𝑣𝑚 (𝑐𝑜𝑠 − 𝑐𝑜𝑠 + 𝐸( +  − )) 1- full converter 1- semi converter V0avg = 𝑣𝑚  (1 + 𝑐𝑜𝑠) V0avg = 𝑣𝑚  (1 + 𝑐𝑜𝑠) Iavg = 1 𝑅 . 𝑣𝑚. 𝑐𝑜𝑠Ɵ + 𝑐𝑜𝑠 − 𝐸( − Ɵ −
  • 135.
    R - Load V0avg= 3𝑣𝑚𝑙 2 . 𝑐𝑜𝑠 𝑉0𝑟𝑚𝑠 = 3.𝑣𝑚 2  2 3 + 3 2 cos(2α) 1 2 3- H.W.C.R. 3- F.W.C.R V0avg = 3𝑣𝑚𝑙  . cos() V0RMS = 3𝑉𝑚𝑙 2 ×  3 + 3 2 cos(2α) 1 2  < 30o  < 60o
  • 136.
    R - Load V0avg= 3𝑣𝑚 2 × 1 + 𝑐𝑜𝑠  6 +  𝑉0𝑟𝑚𝑠 = 3.𝑣𝑚 2  × 5 6 −  + 3- H.W.C.R. 3- F.W.C.R V0avg = 3𝑣𝑚𝑙  1 + 𝑐𝑜𝑠  3 +  V0RMS = 3𝑉𝑚𝑙 2 × 2 3 −  + 𝑠𝑖𝑛 2 3 +2 2 1 2  > 30o  > 60o
  • 137.
    ace.online Q. The outputwave form of full wave rectifier can be (a) (b) (c) (d) t
  • 138.
    ace.online Q. The advantageof using a free wheeling diode with bridge type ac/dc converter is (a) regenerative breaking (b) reliable speed control (c) improved power factor (d) reduced cost of the system
  • 139.
    ace.online Q. In asingle phase full converter fed by a source having inductance, the number of thyristors conducting during overlap is (a) one (b) two (c) three (d) four
  • 140.
    ace.online Q. An uncontrolledrectifier implies a rectifier (a) in which all elements are thyristors (b) in which all elements are diodes (c) in which all elements are both thyristors and diodes (d) in which all elements are resistances
  • 141.
    ace.online Q. When fedfrom a fully controlled converter, a dc motor, driving an active load can operate in (a) forward motoring and reverse braking mode (b) forward motoring and forward braking mode (c) reverse motoring and reverse braking mode (d) reverse motoring and forward braking mode
  • 142.
    ace.online Q. The numberof diodes that are used in half wave rectifier and full wave bridge rectifier are (a) 1, 2 (b) 1, 4 (c) 2, 4 (d) 2, 1
  • 143.
    ace.online Q. The averagevoltage of a full wave rectifier fed from ac source of peak voltage, Vm and frequency 50 Hz is (a) Vm/ (b) 2Vm/ (c) Vm/ 2 (d) Vm/2
  • 144.
    ace.online Q. In ahalf wave controlled rectifier feeding R-L load, the range of firing angle of thyristor is (a) 0    180 (b) 90    180 (c) 0    90 (d) 0    360
  • 145.
    ace.online Q. Two quadrantoperation of dc motor can be obtained if it is fed from a (a) uncontrolled convertor (b) half controlled convertor (c) half wave convertor (d) fully controlled convertor
  • 146.
    ace.online Q. A singlediode operates as a (a) full wave rectifier (b) half-wave rectifier (c) bridge rectifier (d) mid-point rectifier
  • 147.
    ace.online Q. In phasecontrolled rectification, power factor (a) remains unaffected with firing angle,  (b) increases with increases in firing angle,  (c) decreases with increase in firing angle,  (d) is not related to firing angle, 
  • 148.
    ace.online Q. A freewheeling diode is placed across the d.c. load (a) to prevent reversal of load voltage (b) to permit transfer of load current away from the source (c) both 1 and 2 (d) to protect the switch
  • 149.
    ace.online Q. The outputvoltage of a single – phase, 200 v semi-converter at a firing angle of 0 is (a) 400 / (b) 400 2 / (c) 200 / 2  (d) 200 / 2 / 
  • 150.
    ace.online Q. In a3 phase full converter, the six SCRs are fired at intervals of (a) 30 (b) 60 (c) 90 (d) 120
  • 151.
    ace.online Q. In asingle phase fully controlled converter, the number of SCRs conducting during overlap is (a) 1 (b) 2 (c) 3 (d) 4
  • 152.
    ace.online Q. A singlephase fully controlled converter is a (a) single quadrant converter (b) two quadrant converter (c) four quadrant converter (d) none of the above
  • 153.
    ace.online Q. Power factoris equal to (a) (displacement factor) * (distortion factor) (b) (displacement factor) / (distortion factor) (c) displacement factor (d) distortion factor
  • 154.
    DC - ACCONVERTERS
  • 155.
    For low- andmedium-power applications, devices such as the Power Bipolar Junction Transistor (BJT), Metal-Oxide Semiconductor Field-Effect Transistor (MOSFET), Insulated- Gate Bipolar Transistor (IGBT), and Gate Turn- Off (GTO) are used
  • 156.
    Block Diagram ofDC-to-AC Converter (Inverter) Output AC with variable voltage and variable frequency Input DC supply Inverter
  • 157.
    The Output Frequencycan be controlled by controlling the Switching Frequency Usually the output voltage can be controlled by Pulse Width Modulation (PWM) Technique.
  • 158.
    • Variable SpeedInduction Motor Drives • Adjustable Speed AC Drives • Induction Heating • Uninterruptible Power Supply (UPS) • Standby Power Supply • HVDC Power Transmission • Variable Voltage and Variable Frequency Power Supply • Battery Operated Vehicle Drives Important applications include:
  • 159.
    CLASSIFICATION OF INVERTERS Inverterscan be classified depending upon the following factors: 1. Input Source 2. Commutation 3. Circuit Configuration 4. Wave Shape of Output Voltage
  • 160.
    Based on thenature of Input Source Based on the nature of input source, inverters are classified as (1) Voltage Source Inverter (VSI) (2) Current Source Inverter (CSI)
  • 161.
    Voltage Source Inverter(VSI): In voltage source inverter (VSI), a DC voltage source with very small internal impedance is used as input of inverter. The dc side terminal voltage is constant, but the ac side output voltage may be constant or variable irrespective of load current. The VSI can be classified as Half- Bridge VSI and Full-Bridge VSI.
  • 162.
  • 163.
    Current Source Inverter(CSI): In this type of inverter, a current source with high internal impedance is used as input of inverter. In CSI, the supply current is constant, the load current is a function of the inverter operation and it depends on nature of load. This inverter is commonly used in very high power applications such as induction motor drives.
  • 164.
  • 165.
    Comparison between VSIand CSI CSI VSI • Input is constant DC current • Do not require feedback diodes • Thyristor is used • Output current is independent of nature of load • Load voltage depends on load • Used for highly capacitive loads • Input is constant DC voltage • Require feedback diodes • Power BJT, IGBT, MOSFET, GTOs are used • Load voltage is independent of nature of load • Load current depends on load • Used for R, R-L Type loads
  • 166.
    Based on Commutation 1.Line-Commutated Inverters: Inverters that require an existing AC supply at output terminal for their commutation. Their output AC voltage level and frequency cannot be changed.
  • 167.
    2. Forced-Commutated Inverter:Inverters whose output AC voltage level and frequency can be changed as per requirement. These require forced commutation for their turn-off, for example, series inverter, auxiliary commutated inverter, parallel inverter etc.
  • 168.
    Based on CircuitConfiguration According to circuit topology or connection of semiconductor switches, inverters can be classified as Series Inverters: In series inverters, inductor L and capacitor C are connected in series with the load. In this inverter L and C are used as commutating elements and the performance of inverter depends on the value of L and C.
  • 169.
    Parallel inverters: Incase of parallel inverters, commutating elements are connected in parallel with the conducting thyristor. Half-bridge Inverters and Full-Bridge Inverters: In half-bridge inverters, only one leg of bridge exists. In case of full bridge inverters, either two legs or three legs are existing for single-phase or three-phase inverters respectively.
  • 170.
    Based on WaveShape of Output Voltage Square Wave Inverters: Such inverters produce a square-wave AC voltage of a constant magnitude. The output voltage of this type of inverter can only be varied by controlling the input DC voltage.
  • 171.
    Pulse-Width Modulation (PWM)Inverters: In these, output has one or more pulses in each half cycle, and by varying the width of pulses, the output voltage is controlled.
  • 172.
    Single-Phase Half-Bridge Inverter(VSI) with R load D1 D2 S2 S1 V/2 V/2 +   + VO  + R iO
  • 173.
    VO V/2 T/2 T 3T/22T 5T/2 Time t -V/2 V/2R IO T/2 T 3T/2 2T 5T/2 Time t -V/2R Ig2 T/2 T 3T/2 2T 5T/2 Time t Ig1 T/2 T 3T/2 2T 5T/2 Time t
  • 174.
    Demerits of Half-Bridgeconfiguration: a. It requires a three-wire DC supply. b. Output voltage magnitude is VS/2 only. c. Source Utilization is only 50%
  • 175.
    Fourier Series Analysisof the Output Voltage VO V/2 VO T/2 T 3T/2 2T 5T/2 Time t V/2 V o = 𝑛=1,3,5  2.𝑉𝑠 𝑛 Sin (nωt) 𝑉0𝑅𝑀𝑆 = 𝑉01𝑅𝑀𝑆 2 +𝑉03𝑅𝑀𝑆 2 +𝑉05𝑅𝑀𝑆 2 + … … … …
  • 176.
    Fourier Series Analysisof the Output Current IO V/2R IO T/2 T 3T/2 2T 5T/2 Time t -V/2R i o = 𝑛=1,3,5  2.𝑉𝑠 𝑛𝑍𝑛 Sin (nωt -  n) Where Zn= 𝑅2 + 𝑛𝑤𝑙 2  = tan-1= 𝑛ω𝑙 𝑅
  • 177.
  • 178.
    Single-Phase Half-Bridge Inverter(VSI) with Pure L Load D1 D2 S2 S1 V/2 V/2 +   + V0  + L i0
  • 179.
  • 180.
    Single-Phase Half-Bridge Inverter(VSI) with R-L load D1 D2 S2 S1 V/2 V/2 +   + VO  + L iO
  • 181.
    Vo T/2 T 3T/22T 5T/2 Time t -V/2 Output voltage Io io T/2 T 3T/2 2T 5T/2 Time t -Io Output Current T/2 T 3T/2 2T 5T/2 Time t Gating Signal of S2 T/2 T 3T/2 2T 5T/2 Time t Gating Signal of S1 V/2 t1 t2 D1 D2 D1 D2 D1 S1 S2 S1 S2 S1 Conduction of device
  • 182.
    In VSI outputvoltage shape is Square, But output current shape depends upon the nature of load (a) R Load - Square Shape (b) Pure L Load - Triangular Shape (c) R-L Load - Exponential (Rise and Fall) Shape
  • 183.
    Single-Phase Full-Bridge Inverter(VSI) with R load Load +  V S1 S4 D1 V0 D2 D3 D4 S3 S2 i0
  • 184.
    T/2 T 3T/22T 5T/2 Time t V0 V -V T/2 T 3T/2 2T T/2 Time t Time t Time t Gating signal of S1 S2 S3 & S4 Gating signal of Output Voltage Output Current Conduction of devices V/R -V/R T/2 T 3T/2 2T 5T/2 T 3T/2 2T 5T/2 S1 & S2 S2 & S4 S1 & S2 S3 & S4 i0
  • 185.
    Merits of Full-BridgeConfiguration: a. It requires a Single DC supply (two wire only). b. Output Voltage Magnitude is VS. c. Source Utilization in 100%
  • 186.
    Fourier Series Analysisof the Output Voltage VO T/2 T 3T/2 2T 5T/2 Time t Vo Output Voltage V o = 𝑛=1,3,5  4.𝑉𝑠 𝑛 Sin (nωt)
  • 187.
    Single-Phase Full-Bridge Inverter(VSI) with Pure L Load S1 S4 S2 S3 D3 D2 D1 D4 L +  V V0
  • 188.
  • 189.
    Single-Phase Full-Bridge Inverter(VSI) with R-L load S1 S4 S2 S3 D3 D2 D1 D4 +  V V0 L  + R i0
  • 190.
    Vo T/2 T 3T/22T 5T/2 Time -V Output voltage Io io T/2 T 3T/2 2T 5T/2 Time -Io Output Current T/2 T 3T/2 2T 5T/2 Time t Gating Signal of S3, S4 T/2 T 3T/2 2T 5T/2 Time t Gating Signal of S1, S2 V t1 t2
  • 191.
    In VSI outputvoltage shape is Square, But output current shape depends upon the nature of load (a) R Load - Square Shape (b) Pure L Load - Triangular Shape (c) R-L Load - Exponential (Rise and Fall) Shape
  • 192.
    PULSE-WIDTH MODULATION PWM iswidely used in industrial inverters to control the output voltage and to reduce or eliminate the lower-order harmonics. It is the most efficient and economical method because it does not require any extra hardware to achieve these objectives. The commonly used PWM techniques are: 1. Single PWM 2. Multiple PWM 3. Sinusoidal PWM
  • 193.
    Single Pulse-Width Modulation •In this PWM technique, there is only one pulse per half cycle, and the width of the pulse is varied to control the inverter output voltage. • The gating signals are generated by comparing a rectangular reference signal of amplitude Ar with a triangular carrier-wave of amplitude Ac. • The frequency of the reference signal determines the fundamental frequency of output voltage. • Generation of gating signals and output voltage of single- phase full-bridge inverters are shown
  • 194.
  • 195.
  • 196.
    The ratio ofamplitude of reference wave Ar to amplitude of carrier wave Ac is the control variable and is called the amplitude modulation index (M). 𝑀 = 𝐴𝑟 𝐴𝑐 The RMS output voltage can be derived 𝑉0 = 1 𝜋 𝜋−𝛿 2 𝜋+𝛿 2 𝑉 𝑠 2𝑑𝜔𝑡 1 2 or 𝑉0 = 𝑉 𝑠 𝛿 𝜋
  • 197.
    Therefore, by varyingAr from 0 to AC, the Pulse Width δ can be varied from 0° to 180°, and so the RMS output voltage VO, is from 0 to VS.
  • 198.
    Fourier Series Analysisof Output Voltage Waveform
  • 199.
    Multiple Pulse -Width Modulation • In this PWM technique, there are two or more than two pulses per half cycle, and the width of pulse is varied to control the inverter output voltage. • By using several pulses in each half cycle of output voltage, harmonic content is reduced. Here, pulses are of equal width and are at an equidistance. • The generation of gating signals for turning on and off the thyristors or transistors are obtained by comparing a reference signal with a triangular carrier wave • The frequency of reference signal sets the output frequency fO, and the carrier frequency fC determines the number of pulses per half cycle (P).
  • 200.
    12 34 5 2 AC  Ar 0 Vg1 Vg4 V0 VS 0 VS 0 0 t t t t
  • 201.
    The modulation indexcontrols the output voltage and this type of modulation is called as uniform pulse width modulation (UPWM). The number of pulses per half cycle can be obtained by: 𝑃 = 𝑓𝑐 2𝑓𝑟 = 𝑀𝑓 2 where 𝑀𝑓 = 𝑓𝑐 𝑓𝑟 , is called the frequency modulation ratio.
  • 202.
    The RMS outputvoltage can be derived as: 𝑉0 = 𝑃 𝜋 𝜋 𝑝−𝛿 2 𝜋 𝑝 +𝛿 2 𝑉 𝑠 2 𝑑𝜔𝑡 1 2 or 𝑉0 = 𝑉𝑆 𝑃𝛿 𝜋
  • 204.
    Sinusoidal Pulse -Width Modulation In this method of modulation, several pulses per half cycle are used such as in the case of multiple PWM. But in this, the pulse widths are not equal; rather, it is a sinusoidal function of the angle positions of the pulse in a cycle. The distortion factor and lower-order harmonics are greatly reduced in this technique.
  • 205.
    Sinusoidal Pulse -Width Modulation
  • 206.
    AC Ar t 0 V0 VS VS  Unipolar Sinusoidal pulsewidth modulation 2 𝑀 = 𝐴𝑟 𝐴𝐶
  • 207.
    Three-Phase VSI BridgeInverter Three-phase bridge inverters are more common than single-phase inverters for providing adjustable frequency power to industrial loads. The power circuit diagram for three-phase VSI consists of six Self/Fully Controlled Switches (or) Thyristors. The three-phase load may be delta or star-connected. On the basis of period of conduction of each thyristor, three-phase bridge inverters can be classified as • 180° conduction mode inverter. • 120° conduction mode inverter.
  • 208.
  • 209.
    Three-phase VSI bridgeinverter with Thyristors 3-phase Load D1 D3 D5 D4 D6 D2 V a b C T1 T4 T3 T6 T5 T2 Vab Vbc Vca C
  • 210.
    Three-Phase 180 ModeVSI In this, each thyristor conducts for a period of 180 of a cycle, so it’s called a 180-degree conduction-mode inverter. The following points must be ensured while making firing table: • Each Thyristor conducts for 180 of a cycle • In each group, that is, upper or lower group, thyristors are fired after every 120, that is, if T1 is fired at 0, then T3 will be fired at 120 and T5 at 240 • In each leg, thyristors are fired after every 180°, that is, if T1 is fired at 0°, then T4 will be fired at 180°
  • 211.
    180 Conduction Mode OutputPhase Voltages are Three Stepped Wave Shape and Output Line Voltages are Quasi Square Wave Shape
  • 212.
    Therefore, it canbe seen that: • At a time, three thyristors conduct, that is, two from upper group and one from lower group or one from upper group and two from lower group. • Thyristors are triggered in sequence of their numbers after every 60°. • One control cycle (360°) is divided into six steps, each of 60° interval. So, it is also called a six-step bridge inverter.
  • 213.
  • 214.
    Three-Phase 120 ModeVSI The power circuit diagram for 180-degree mode and 120- degree mode VSIs are same. In this mode, each thyristor conducts for 120°, so it’s called a 120-degree conduction-mode bridge inverter. The following points must be ensured while making firing table: • Each thyristor conducts for 120° of a cycle. • In each group (i.e., upper or lower group), thyristors are fired after every 120°, that is, if T1 is fired at ωt = 0°, then T3 will be fired at ωt = 120°, and T5 at ωt = 240°. • In each leg, thyristors are fired after every 180°, that is, if T1 is fired at ωt = 0°, then T4 at ωt = 180°.
  • 215.
    120 Conduction Mode OutputPhase Voltages are Quasi Square Wave Shape Output Line Voltages are Three Stepped Wave Shape
  • 216.
    CURRENT SOURCE INVERTERS(CSI) • In the CSIs, the input current is constant. • The amplitude of output current from the CSI is independent of the load, but the magnitude of output voltage and its waveform is dependent upon the nature of load. • A CSI converts the input DC current to an AC current, and the frequency of the AC current depends upon the frequency of Switching Devices (rate of triggering the SCRs). • The amplitude of the AC output current can be adjusted by controlling the magnitude of the DC input current.
  • 217.
    • Since CSIis a constant current system, it is used typically to supply high power factor loads where impedance will be remain constant or decreases at harmonic frequencies in order to prevent problems either on switching or with harmonics voltage. • An VSI requires feedback diode whereas a CSI does not require any feedback diode. The commutation circuit of CSI is very simple as it contains only capacitors. • Because power semiconductors in a CSI have to withstand reverse voltage, devices like power transistors, power MOSFETS, and power BJTs cannot be used in CSIs. • THYRISTORS are the Best Power Semiconductor Switches used in CSI Drives
  • 218.
    Applications of CSI •Speed control of AC motors • Lagging VAR compensation • Solar photovoltaic utility systems • Synchronous motor starting
  • 219.
    Single-Phase Full-Bridge Inverter(CSI) with Pure C Load I T1 T2 T3 T4 V0  + LOAD Vin Current source  + V
  • 220.
    T/2 Current input toCSI I 0 t T1T2 T3T4 T1T2 T3T4 T1T2 T3T4 T1T2 T3T4 i0 I 0 -I T t t t 2T T T/2 0 0 Output current Output voltage Input voltage 3T/2 f = 1/T f = 2/T 0 in
  • 221.
    In CSI OutputCurrent shape is Square, But output VOLTAGE shape depends upon the nature of load (a) R Load - Square Shape (b) Pure C Load - Triangular Shape (c) R-C Load - Exponential (Rise and Fall) Shape
  • 222.
    ace.online Q. The outputvoltage wave form of a three phase square-wave inverter contains ______. (a) only even harmonics (b) both odd and even harmonics (c) any odd harmonics (d) only triple harmonics
  • 223.
    ace.online Q. Full formof VVVF control (a) Var variable voltage frequency (b) variable voltage Var frequency (c) variable Var voltage frequency (d) variable voltage variable frequency
  • 224.
    ace.online Q. The outputvoltage of a single phase bridge inverter is (a) Square wave (b) Sinusoidal wave (c) Constant dc (d) Triangular wave
  • 225.
    ace.online Q. A singlephase half bridge inverter required to feed RL loads, needs (a) two thyristors (b) four thyristors (c) two thyristors and two diodes (d) four thyristors and four diodes
  • 226.
    DC - DCCONVERTERS
  • 227.
    A chopper isa DC-DC converter. Since here the input supply is DC there is no zero crossover in the supply voltage, natural commutation is not possible. Transistor Family (Power BJT, Power MOSFET, IGBT) and GTO’s or Forced-Commutated Thyristor are suitable for such an application. DC - DC CONVERTERS Duty ratio control (δ) or the pulse-width modulation (PWM) is effectively used to control these converters.
  • 228.
    The following switched-moderegulators are used in regulated switch-mode DC power supplies 1. Buck (step-down) converter 2. Boost (step-up) converter 3. Buck-boost (step-down/up) converter 4. Cuk converter (Not included in syllabus)
  • 229.
    CHOPPER CLASSIFICATIONS A) Accordingto the input/output voltage levels 1. Step-down chopper: The output voltage is less than the input voltage, that is, V0 < VS 2. Step-up chopper: The output voltage is greater than the input voltage, that is, VO > VS 3. Step-up/Step-down chopper: The output voltage is greater than/less than the input voltage, that is, VO>VS (or) V0<VS
  • 230.
    C) According toQuadrants/Modes of Operation 1. One-quadrant chopper: The output voltage and current both are positive (Class A) and the output voltage is positive but current is negative (Class B). 2. Two-quadrant chopper: The output voltage is positive and current can be positive or negative (Class C), or the output current is positive, and the voltage can be positive or negative (Class D). 3. Four-quadrant chopper: The output voltage and current both can be positive or negative (Class E).
  • 231.
    CONTROL STRATEGIES inCHOPPERS 𝑉0 = 𝑇𝑜𝑛 𝑇 𝑉 𝑠 = 𝛿𝑉 𝑠 1. Time Ratio Control (TRC) a. Constant Frequency System/Pulse Width Control (PWM) b. Variable Frequency System/Pulse Frequency Control (PFC) 2. Current Limit Control (CLC)
  • 232.
    STEP-DOWN CHOPPER withR-L-E Load (DC Motor) CH1 VS i0 FD ifd V0 Load L R E
  • 233.
    SWITCHED-MODE REGULATORS DC converterscan be used as switched-mode regulators to convert an unregulated DC voltage to a regulated DC output voltage. The regulation is achieved by a PWM at a fixed frequency and the switching device is normally BJT, MOSFET, or IGBT. The following switched-mode regulators are used in regulated switch-mode DC power supplies: 1. Buck (step-down) converter 2. Boost (step-up) converter 3. Buck-boost (step-down/up) converter 4. Cuk converter (Not Included in Syllabus)
  • 234.
    1. Buck (Step-Down)Converter: L o a d L FD C VS i0 V0  +  + CH
  • 235.
    2. Boost (Step-Up)Converter: VO IO R L D VS S C
  • 236.
  • 237.
    ace.online Q. A powerchopper converts (a) ac to dc (b) dc to dc (c) dc to ac (d) ac to ac
  • 238.
    ace.online Q. A stepdown dc chopper has an input voltage V. If duty cycle is ‘’ and the load is resistive, the rms value of out-put voltage is (a) V (b) V (c) 2V (d) (1-)V
  • 239.
    ace.online Q. To increasethe speed of a constant frequency chopper fed dc shunt motor (a) TON should be decreased (b) TOFF should be decreased (c) duty ratio should be decreased (d) duty ratio should be constant
  • 240.
    ace.online Q. A dcstep down chopper has Ton of 1ms and its frequency is 500 Hz. What will be its duty ratio ? (a) 1 (b) 0.75 (c) 0.5 (d) 0.25
  • 241.
    ace.online Q. The DCoutput voltage Vo of a basic chopper circuit with input voltage Vin and duty cycle  is given by____ (a) Vo = V in   (b) Vo = V in /  (c) Vo = V in  (1 - ) (d) Vo = V in
  • 242.
    ace.online Q. The dutycycle of a step down chopper is
  • 243.
    AC VOLTAGE CONTROLLERS (ACVoltage Regulators)
  • 244.
    AC VOLTAGE CONTROLLERS Siliconcontrolled rectifiers (SCRs) have capability to flow current in one direction only. When two SCRs are connected back to back, it is possible to flow current in bidirectional. Hence combination of two SCRs can be used as bi-directional switch in ac circuits. The ac-to-ac converters receive electric power from fixed voltage ac utility system and convert it into variable voltage ac system. Actually, ac-to-ac converters are used to vary the RMS output voltage at load at constant frequency and these converters are called as ac voltage controllers or ac voltage regulators.
  • 245.
    Power Circuit Diagramof single-phase AC Voltage controller: (a) using SCRs (b) using TRIAC L O A D + V0  1 Source ~ T 2 T1 L O A D ~ + V0  1 Source Triac i0
  • 246.
    Classification of ACVoltage Regulators AC Voltage Controller Integral Cycle Control (ICC) or ON-OFF Control Phase Angle Control Single Phase Controller Three Phase Controller Half wave Full wave Half wave Full wave
  • 247.
    AC voltage controllers(or AC regulators) are AC-to-AC converters that convert fixed alternating voltage to variable alternating voltage at constant frequency. In these, relatively cheap converter-grade Silicon-Controlled Rectifiers (SCRs) and TRIACS are used as switching devices. Because these devices are line commutated, there is no need for separate commutation circuits.
  • 248.
    The main disadvantageof AC voltage controllers is the introduction of objectionable harmonics in the supply current and load voltage. However, because of their simplicity, AC voltage controllers are preferred for domestic and industrial heating and lighting loads, which are not affected by harmonics. There are two methods of voltage control: 1. ON-OFF control or Integral Cycle control 2. Phase Control
  • 249.
    PRINCIPLE OF INTEGRALCYCLE CONTROL (or) ON-OFF CONTROL In this control, load is connected to the source for an integral number of cycles and then disconnected from the source for further number of integral cycles, as explained in Figure below for a single-phase voltage controller with resistive load. That is why this method of voltage control is also called “Integral Cycle Control (ICC)”
  • 250.
    Output Voltage Controlby Integral-Cycle Control L O A D + V0  1 Source ~ T2 T1
  • 251.
     2 34 5 6 7 Vs ig1 ig2 V0 ON OFF ON (n=2) (m=1) (n=2) t t t t T1 T2 T1 T2 T1
  • 253.
    Advantage of on-offcontrol It does not cause fluctuations in performance of the system. Disadvantage of on-off control It introduces sub-harmonics in the line current. Applications of on-off control Such control is used in heating applications, such as a furnace.
  • 254.
    PRINCIPLE OF PHASECONTROL In Phase-Controlled switching, the output voltage is controllable by opening and closing the switch within a cycle as shown in Figure for circuits with resistive load In case of on-off control or ICC method, the output voltage is controlled by opening and closing the switch for one or several cycles of the AC input voltage
  • 255.
    Output Voltage Controlby Phase-Control Method L O A D + V0  1 Source ~ T2 T1
  • 256.
      + T1 VS V0 i0 2+ 2+ 2 3 T2 T1 0 0 0 0 0 0 T1 T2 T1 + t t t
  • 257.
    Single-Phase Half-Wave ACVoltage Controller With R – Load (Single-Phase Unidirectional Voltage Controller) • CIRCUIT
  • 258.
  • 259.
    • The powerflow through load is controlled by varying the firing angle of T1 in the positive half cycle of supply voltage only. • Hence the control range is limited and it is applicable only for low power resistive loads such as heating and lighting. • As only the positive half cycle is controlled for single- phase half-wave ac voltage controller. • This output Asymmetrical Waveform will have lot of DC Component.
  • 260.
  • 261.
      + T1 VS V0 i0 2+ 2+ 2 3 T2 T1 0 0 0 0 0 0 T1 T2 T1 + t t t
  • 262.
    Range of firingangle for getting controlled output voltage = 0 to 
  • 263.
    Single-Phase Full-Wave ACVoltage Controller with R-L Load T1 io iS 1- AC Source Vo  +  T2 L O A D
  • 264.
    ig1 ig1 VS π 2π 3πt t t t t 2π + α π + α π + α 2π 2π+α T1 α1 V0 i0, iS α T2 T1 π 3π α  2π + α 0 0 0 0
  • 265.
    Range of firingangle for getting controlled output =  to  Where =tan-1 𝑤𝐿 𝑅
  • 266.
    Single-Phase Full-Wave ACVoltage Controller with Pure Inductive Load (L Load) (Concept of Thyristor Controlled Reactor) T1 i0 iS 1- AC Source V0  +  L T2
  • 267.
    Firing Control Logicand Principle of Operation with Waveforms For a purely inductive load,  = 90°. Therefore, the output voltage control is only effective during 900 ≤ α ≤ 1800
  • 268.
    π 2π 3π4π t t t t t 4π 4π I0 V0 ig2 ig1 VS 0 α α α 3π + α  π + α 2π + α 2π 3π π 0 π 2π 3π α 0 α α 
  • 269.
    This circuit isalso known as thyristor controlled inductor or thyristor controlled reactor. In ac power system, it is commonly called static VAR compensation. This unit draws lagging reactive current from utility system; hence there will be excessive voltage drops which adversely affect on stability of system.
  • 270.
    ace.online Q. A singlephase AC regulator with an inductive load has the following details: source voltage = 230V, frequency = 50 Hz and L=5 ohms. The control range of the firing angle () is _______. (a) 0 <   (b) /2     (c) 0 <  < /2 (d)  >  > /2
  • 271.
    ace.online Q. A singlephase ac voltage controller is controlling current in a purely inductive load. If the firing angle of the SCR is , what will be the conduction angle of the SCR (a)  (b) - (c) 2(-) (d) 2
  • 272.
  • 273.
    ace.online Q. An ACregulator provides (a) Variable frequency, fixed magnitude AC (b) Fixed frequency, variable magnitude AC (c) Fixed frequency, fixed magnitude AC (d) Variable frequency, variable magnitude AC
  • 274.
    CYCLOCONVERTERS When ac-to-ac convertersreceive power at fixed frequency voltage and converts into another ac system at different frequency with variable voltage, these converters are known as cycloconverters. In cycloconverter, there is no intermediate converter stage. The cycloconverter is a one-stage frequency changer that converts AC power at one input frequency to output AC power at different frequency.
  • 275.
    Generally the acvariable output voltage at variable frequency can be generated by using two stage converters such as controlled rectifier (fixed ac to variable dc converter) and inverter (variable dc to variable ac at variable frequency). But cycloconverter can be used to eliminate the requirement of one or more intermediate converters. Therefore, cycloconverter is also called as one-stage frequency changer. Generally, the output frequency of cycloconverter is always less than input frequency (practical case). In cycloconverter frequency changes in steps. Usually cycloconverter is a SCR based converter with natural or line commutation.
  • 276.
    Cycloconverters are widelyused in various applications, such as • Slip-Power Recovery Scherbius Drives • Variable-Speed Constant Frequency (VSCF) power generation for aircraft or shipboards • Speed Control of high-power AC drives in cement, ball mills, and rolling mills • Speed control of very high power ac drives • Very high power low-speed induction motor drive • Low-frequency three phase/single phase induction or traction motor drives • Static VAR compensation • Industrial heating
  • 277.
    Classification of Cycloconverter 1.On the basis of its operation: a. Step-up cycloconverter, that is, fO > fS b. Step-down cycloconverter, that is, fO < fS 2. On the basis of configuration: a. Midpoint-type cycloconverter b. Bridge-type cycloconverter 3. Depending upon the phases: a. Single-phase to single-phase cycloconverters b. Three-phase to single-phase cycloconverters c. Three-phase to three-phase cycloconverters
  • 278.
    Single-Phase to Single-PhaseCycloconverter (a) Midpoint type  b a P1 P2 O  + v0 i0 N2 N1 vS LOAD (a)
  • 279.
  • 280.
    ace.online Q. A bridgetype single phase cyclo-converter changes the frequency f to 𝑓 3 . Then one half wave of output contains (a) three full waves of input (b) three half waves of input (c) six full waves of input (d) six half waves of input
  • 281.
  • 282.
    ace.online Q. The possibleoutput frequency of a 60Hz cyclo-converter is : (a) 60 Hz (b) 16 2 3 Hz (c) 20 Hz (d) 25 Hz
  • 283.
    ace.online Q. In asingle phase to single phase cycloconverter if 1 and 2 are the trigger angles of positive converter and negative converter, then (a) 1 + 2 = /2 (b) 1 + 2 =  (c) 1 + 2 = 3 /2 (d) 1 + 2 = 2
  • 284.
    ace.online Q. A cyclo-converteris (a) ac-dc converter (b) dc-ac converter (c) dc-dc converter (d) ac-ac converter
  • 285.
    ace.online Q. In V/fcontrol of induction motor above rated voltage, to increase the speed of motor, frequency is to be ____ and voltage is to be ________. (a) increased …….kept constant (b) decreased ………decreased (c) increased………..increased (d) decreased………kept constant
  • 286.
    ace.online Q. For statorvoltage control of 3 phase induction motor which of the following converter is used if the supply is 3 phase AC, 50 Hz (a) PWM inverter (b) 3 phase AC voltage controller (c) Cycloconverter (d) 3 phase rectifier
  • 287.
    ace.online Q. For controllingthe speed of a 3 phase induction motor V/f ratio is maintained constant for (a) constant air gap flux (b) constant reactance (c) varying the air gap flux (d) variable resistance
  • 288.
    ace.online Q. While pluggingof a separately excited d.c. motor, the supply to the armature is (a) reversed (b) connected to a resistance (c) connected to a.c. supply (d) None of the above
  • 289.
    ace.online Q. It isadvisable to control speed of induction motor by maintaining (a) voltage constant (b) frequency constant (c) v/f ratio constant (d) slip constant