Embed presentation
Download to read offline



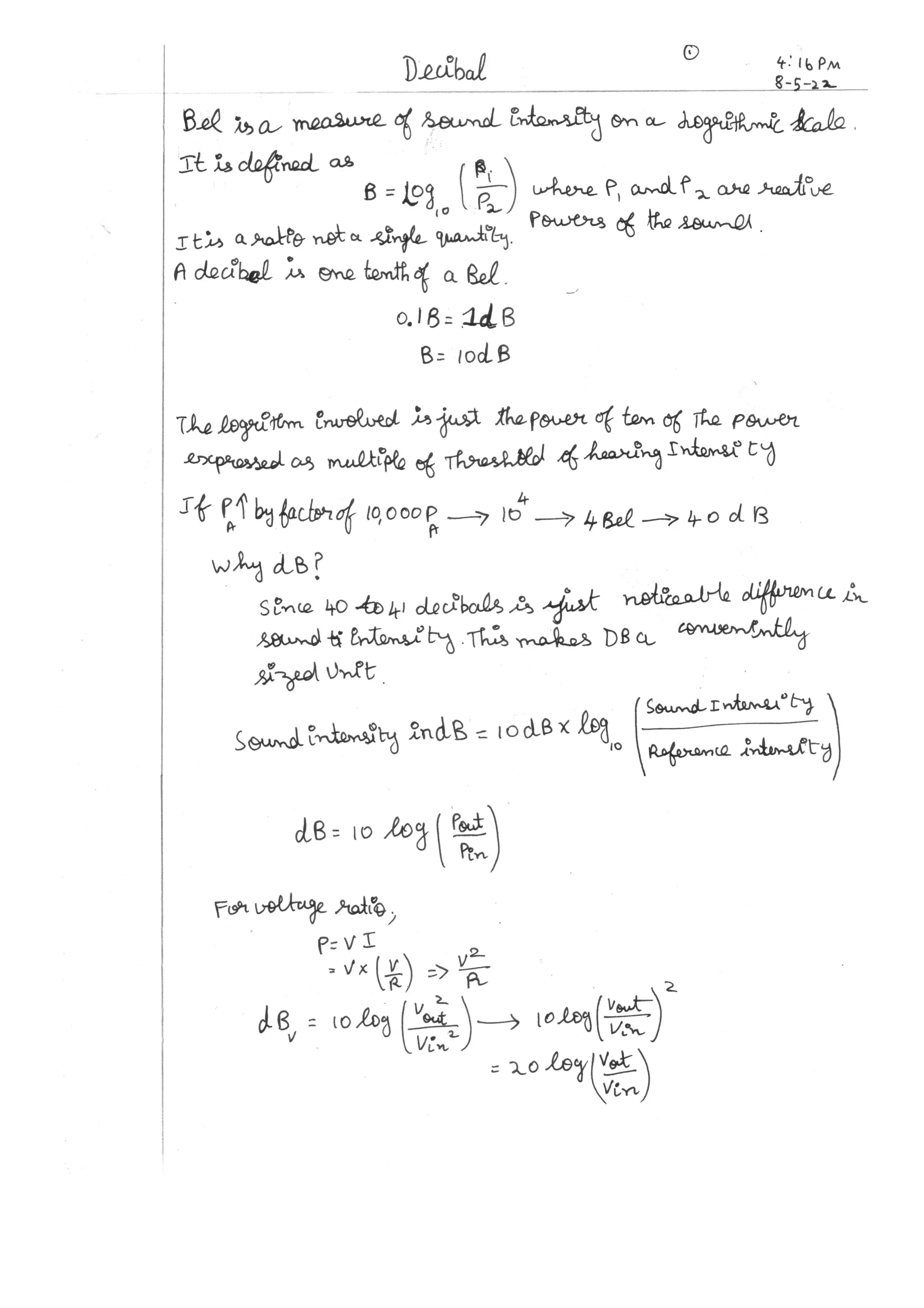
Sound intensity and level are measures of the sound energy passing through a given area over time. The decibel scale is used to quantify sound levels on a logarithmic scale, where each increase of 10 decibels represents a tenfold increase in sound intensity. Common sounds like quiet conversation measure around 60 decibels while loud sounds like a rock concert can exceed 100 decibels.

