Download free for 30 days
Sign in
Upload
Language (EN)
Support
Business
Mobile
Social Media
Marketing
Technology
Art & Photos
Career
Design
Education
Presentations & Public Speaking
Government & Nonprofit
Healthcare
Internet
Law
Leadership & Management
Automotive
Engineering
Software
Recruiting & HR
Retail
Sales
Services
Science
Small Business & Entrepreneurship
Food
Environment
Economy & Finance
Data & Analytics
Investor Relations
Sports
Spiritual
News & Politics
Travel
Self Improvement
Real Estate
Entertainment & Humor
Health & Medicine
Devices & Hardware
Lifestyle
Change Language
Language
English
Español
Português
Français
Deutsche
Cancel
Save
Submit search
EN
ML
Uploaded by
Marco Reus Le
107 views
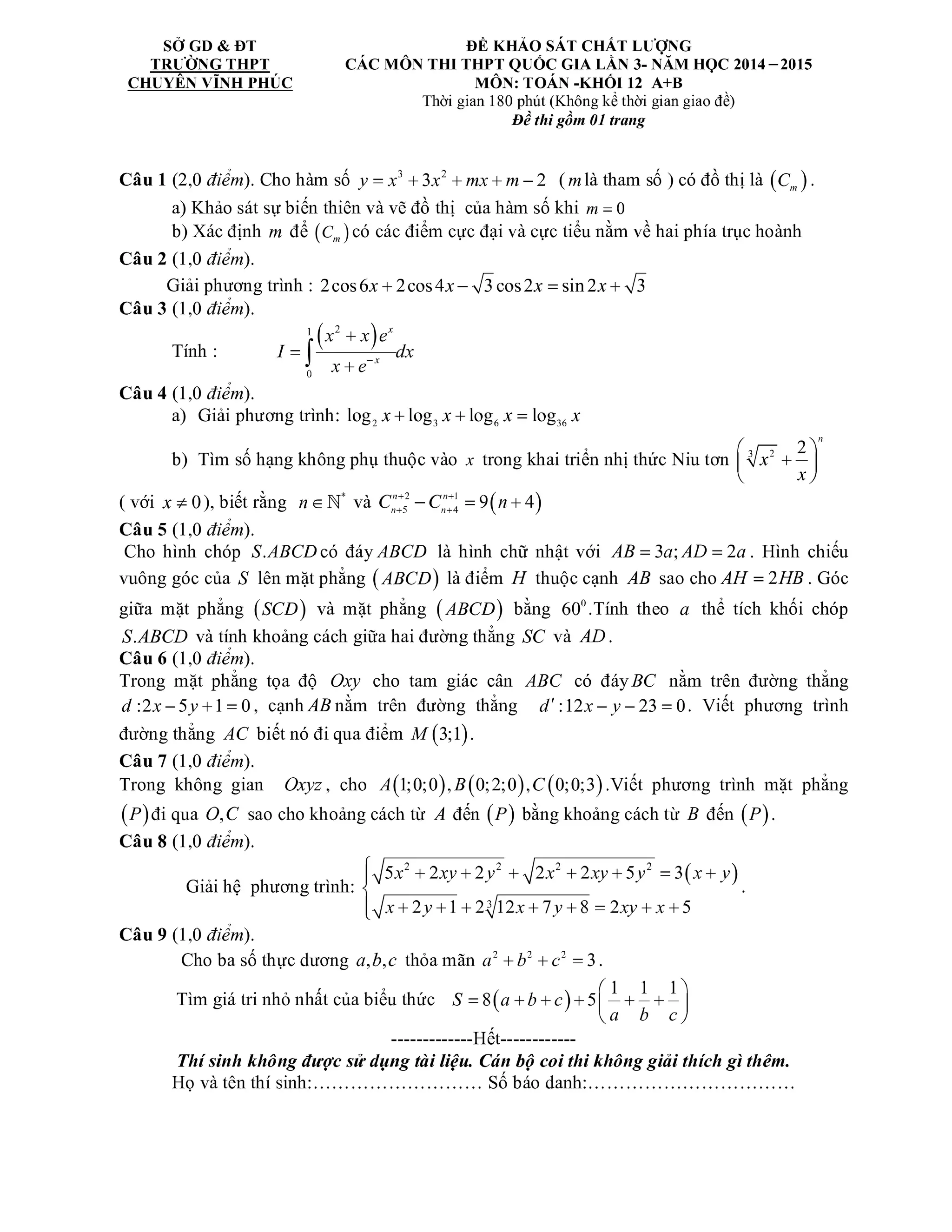
[Vnmath.com] chuyen-vp-2015-lan3
Read more
0
Save
Share
Embed
Embed presentation
Download
Download to read offline
1
/ 6
2
/ 6
3
/ 6
4
/ 6
5
/ 6
6
/ 6
More Related Content
PDF
Chukienthuc.com bo-de-thi-thptqg-2015-mon-hoa-pham-ngoc-son
by
Marco Reus Le
PDF
9 phương pháp giải phương trình nghiệm nguyên
by
Thấy Tên Tao Không
PDF
Chukienthuc.com cac-pp-tim-nguyen-ham-tich-phan
by
Marco Reus Le
PDF
Chukienthuc.com cach-tinh-tich-phan-vhquoc
by
Marco Reus Le
DOCX
Giải một số phương trình nghiệm nguyên trong đề thi toán 9
by
Nhập Vân Long
PDF
Chukienthuc.com 6-de-on-hoa-ltdh-2015
by
Marco Reus Le
DOCX
202111392859 14192 đã chuyển đổi
by
Marco Reus Le
PDF
Chukienthuc.com 1000 bai tap trac nghiem hoa hoc cap 3
by
Marco Reus Le
Chukienthuc.com bo-de-thi-thptqg-2015-mon-hoa-pham-ngoc-son
by
Marco Reus Le
9 phương pháp giải phương trình nghiệm nguyên
by
Thấy Tên Tao Không
Chukienthuc.com cac-pp-tim-nguyen-ham-tich-phan
by
Marco Reus Le
Chukienthuc.com cach-tinh-tich-phan-vhquoc
by
Marco Reus Le
Giải một số phương trình nghiệm nguyên trong đề thi toán 9
by
Nhập Vân Long
Chukienthuc.com 6-de-on-hoa-ltdh-2015
by
Marco Reus Le
202111392859 14192 đã chuyển đổi
by
Marco Reus Le
Chukienthuc.com 1000 bai tap trac nghiem hoa hoc cap 3
by
Marco Reus Le
More from Marco Reus Le
PDF
Chukienthuc.com.pt bpt-chua-can-on-thi-dai-hoc
by
Marco Reus Le
PDF
[Vnmath.com] chuyen-ha-long-2015-lan1
by
Marco Reus Le
PDF
[Vnmath.com] chuyen-lam-son-th-2015-lan-1
by
Marco Reus Le
PDF
[Vnmath.com] chuyen-vp-2015-lan3
by
Marco Reus Le
PDF
[Vnmath.com] de thi thu chu van an ha noi 2015
by
Marco Reus Le
PDF
[Vnmath.com] de thi thu chu van an ha noi 2015
by
Marco Reus Le
PDF
[Vnmath.com] de thi thu thpt qg thanh chuong 3 nghe an
by
Marco Reus Le
PDF
[Vnmath.com] de thi quoc gia lan 1 thpt hau loc 2
by
Marco Reus Le
PDF
[Vnmath.com] de thi thu chuye ha tinh lan 1 2015
by
Marco Reus Le
DOC
[Vnmath.com] de thi thu thpt quoc gia cua truong dong son 1
by
Marco Reus Le
PDF
[Vnmath.com] de thi thi thpt- 2015-lnq-thai-nguyen
by
Marco Reus Le
PDF
[Vnmath.com] de thi thu dh lan 1 thpt dao duy tu thanh hoa 2015
by
Marco Reus Le
PDF
[Vnmath.com] de thi thu toan 2015 dang thuc hua 2015
by
Marco Reus Le
PDF
[Vnmath.com] de thi thu thpt quoc gia lan 1 truong ly tu trong khanh hoa
by
Marco Reus Le
PDF
[Vnmath.com] dong-loc-ha-tinh-2014 (1)
by
Marco Reus Le
PDF
[Vnmath.com] dong-loc-ha-tinh-2014
by
Marco Reus Le
PDF
[Vnmath.com] de thi thptqg lan 2 nong cong 1
by
Marco Reus Le
PDF
[Vnmath.com] de thi va dap an chuyen d ai hoc vinh 2015
by
Marco Reus Le
PDF
[Vnmath.com] de thi thu 1 l uong the vinh ha noi 2015
by
Marco Reus Le
PDF
[Vnmath.com] de thi thu 2 luong the vinh ha noi 2015
by
Marco Reus Le
Chukienthuc.com.pt bpt-chua-can-on-thi-dai-hoc
by
Marco Reus Le
[Vnmath.com] chuyen-ha-long-2015-lan1
by
Marco Reus Le
[Vnmath.com] chuyen-lam-son-th-2015-lan-1
by
Marco Reus Le
[Vnmath.com] chuyen-vp-2015-lan3
by
Marco Reus Le
[Vnmath.com] de thi thu chu van an ha noi 2015
by
Marco Reus Le
[Vnmath.com] de thi thu chu van an ha noi 2015
by
Marco Reus Le
[Vnmath.com] de thi thu thpt qg thanh chuong 3 nghe an
by
Marco Reus Le
[Vnmath.com] de thi quoc gia lan 1 thpt hau loc 2
by
Marco Reus Le
[Vnmath.com] de thi thu chuye ha tinh lan 1 2015
by
Marco Reus Le
[Vnmath.com] de thi thu thpt quoc gia cua truong dong son 1
by
Marco Reus Le
[Vnmath.com] de thi thi thpt- 2015-lnq-thai-nguyen
by
Marco Reus Le
[Vnmath.com] de thi thu dh lan 1 thpt dao duy tu thanh hoa 2015
by
Marco Reus Le
[Vnmath.com] de thi thu toan 2015 dang thuc hua 2015
by
Marco Reus Le
[Vnmath.com] de thi thu thpt quoc gia lan 1 truong ly tu trong khanh hoa
by
Marco Reus Le
[Vnmath.com] dong-loc-ha-tinh-2014 (1)
by
Marco Reus Le
[Vnmath.com] dong-loc-ha-tinh-2014
by
Marco Reus Le
[Vnmath.com] de thi thptqg lan 2 nong cong 1
by
Marco Reus Le
[Vnmath.com] de thi va dap an chuyen d ai hoc vinh 2015
by
Marco Reus Le
[Vnmath.com] de thi thu 1 l uong the vinh ha noi 2015
by
Marco Reus Le
[Vnmath.com] de thi thu 2 luong the vinh ha noi 2015
by
Marco Reus Le
Download