Part 7
ERIES CIRCUIT and PARALLEL CIRCUIT
INTENDED
LEARNING
OUTCOMES:
After completing this
unit, you are
expected to:
1. identify a series circuit and parallel.
2. apply Ohm’s law to find the current, voltages, and
resistances in a series circuit and parallel circuit.
3. apply Kirchhoff’s voltage law.
4. devise and use voltage dividers and current.
5. determine the total power in a series circuit and
parallel.
series
Voltage divider
parallel
Current
divider
he Meaning of a Series Circuit
Series - components are connected end to end.
Characteristics of a Series Circuit:
1.The same current I exist on each resistor.
.
where:
etc.
2. The source voltage E (or VT
) is the
summation of the voltages across each
resistor.
+ _ + _ _
+
=
where:
etc.
3. The total resistance RT
is the sum
of the individual resistances.
4. The total power is the summation of
the powers dissipated by each resistor.
=
where:
𝑃1=𝐼1
2
𝑅1=𝐼1 𝑉 1=
𝑉 1
2
𝑅1
𝑃2= 𝐼2
2
𝑅2= 𝐼2 𝑉 2=
𝑉 2
2
𝑅2
𝑃3 =𝐼3
2
𝑅3=𝐼3 𝑉3 =
𝑉 3
2
𝑅3
5. Any change in one or more components will
affect the other components.
Example: Determine (a) total
resistance, (b) total current, (c) the
voltage across each resistor, (d)
power dissipated by each resistor, (e)
total power.
Solution:
(a)
(b)
(d)
(e) =
= 10 + 30 + 60 = 100 W
or = = 100 W
Resistance of Two or More Equal
Resistors in
Series
Voltage Divider
=
Example: Find the voltage across .
= =
Voltage Sources in Series
Series Aiding Series Opposing
V1
1.5 V
V2
1.5 V
V3
1.5 V
V4
1.5 V
V1
1.5 V
V2
1.5 V
V3
1.5 V
V4
1.5 V
6 V 3 V
PARALLEL CIRCUIT
he Meaning of a Parallel Circuit
Parallel - components are
connected across each other.
aracteristics of a Parallel Circuit
The same voltage V exists across each resis
VT
= V1
= V2
= V3
= Vn
where:
etc.
2. The total current IT
is the sum of
individual current passing through
each resistor.
+ + . . . +
𝐼𝑇 =
𝑉 𝑇
𝑅𝑇
𝐼1=
𝑉1
𝑅1
etc.
3. The reciprocal of the total
resistance is equal to the sum of the
reciprocal of individual resistances,
that is,
1/RT
= 1/R1
+ 1/R2
+ 1/R3
+ . . . 1/Rn
𝑅𝑇 =
1
1
𝑅1
+
1
𝑅2
+
1
𝑅3
+ .. .
1
𝑅𝑛
4. Just like in a series circuit, The
total power is the summation of
the powers dissipated by each
resistor.
PT
= P1
+ P2
+ P3
+ . . . .Pn
where:
𝑃1=𝐼1
2
𝑅1=𝐼1 𝑉 1=
𝑉 1
2
𝑅1
𝑃2= 𝐼2
2
𝑅2= 𝐼2 𝑉 2=
𝑉 2
2
𝑅2
𝑃3 =𝐼3
2
𝑅3=𝐼3 𝑉3 =
𝑉 3
2
𝑅3
5. Each component can be
controlled independently..
or any change in one component
will not affect the other
components.
Example Determine the (a) total
resistance, (b) current through each
resistor and (c) the total current (d)
power taken by each resistor, (e) total
power
(a)
(b)
= 23.6 
(c )
(d)
+ + +
(e)
Or
PT
= P1
+ P2
+ P3
+ Pn
= 144 + 96 + 288 + 82.29
= 610.29 W
Two Resistances in Parallel
𝑅𝑇 =
𝑅1 𝑅2
𝑅1+ 𝑅2
Equal-Value Resistors
𝑅𝑇 =
𝑅
𝑛
Current Divider Formula
R1
1.0kΩ R2
1.0kΩ I1 I2
IT
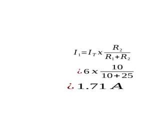
𝐼1=𝐼𝑇 𝑥
𝑅2
𝑅1 +𝑅2
𝐼2=𝐼𝑇 𝑥
𝑅1
𝑅1 +𝑅2
Example: The total current flowing through 10-
ohm resistor and 25-ohm resistor in parallel is 6 A.
Find the current through each resistor.
R1
10Ω
R2
25Ω
I1 I2
6A
𝐼1=𝐼𝑇 𝑥
𝑅2
𝑅1 +𝑅2
¿ 6 𝑥
25
10+ 25
¿ 4.29 𝐴
𝐼1=𝐼𝑇 𝑥
𝑅2
𝑅1 +𝑅2
¿ 6 𝑥
10
10+ 25
¿ 1.71 𝐴
Voltage Sources in Parallel
Ideal voltage sources are connected in
parallel in order to supply a higher and at
the same time a high power to a load.
In industry paralleling of voltage sources
such as generators are done in order to
sustain an increasing amount of load.
Conditions of Parallel Connection of Voltage
Sources:
1.They must have the same terminal voltage.
2.They must be connected in the same
polarity.

Unit 7 Series and Parallel Circuits.pptx