Embed presentation
Download to read offline








































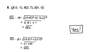
The document discusses key geometric concepts such as midpoints, midsegments, and the perpendicular bisector theorem. It provides methods for finding unknown sides in geometric figures and emphasizes the relationship between points and segments. The content encourages solving for various variables represented by letters.







































