Анализ


                                                                Сурагчдын сэтгэл ханамжийн судалгаа
БЗЦСургууль
                                                                1               2                  3                 4                 5               6                 7                8
                                                                                              Сургуулийнн      Багш нар                              Тухайн 
                                                              Та нарт     Багш нар                                          Та сургуулийн                           Сурхад тань  Нөхдийнхөө 
                                                                                               номын сан      хичээлийн                            хичээлийн 
                                                            сургуулиас  сурагчидтай                                         номын сангаас                            ямар нэгэн     саналыг 
                                                                                              хичээл хийх     хуваарийн                            цагийг үр 
                                                            ямар нэгэн  зөв боловсон                                         өөрт хэрэгтэй                          хүндрэлтэй       ангийн 
                                                                                             тайван орчинг  дагуу хичээлээ                         бүтээлтэй 
                                                          дарамт шахалт  харъцаж                                               номоо авч                              асуудал    сурагчид бүгд 
                                                                                               бүрдүүлж     үр дүнтэй зааж                          өнгөрөөж 
                                                           үзүүлдэг үү?   байна уу?                                         хэрэглэдэг үү?                           байдаг уу?   сонсдог уу?




                                     Бүлэг
                              Анги
                                                                                               чаддаг уу?     чаддаг уу?                           чаддаг уу?




                                                   Хүйс
                                             Нас
№     Овог         Нэр




                                                                                                                                                                                 Таалагдаагүй
                                                                                                                                  Тааруухан
                                                          Тийм




                                                                             Тийм




                                                                                             Тийм




                                                                                                                Тийм




                                                                                                                                     Тийм




                                                                                                                                                                    Тийм
                                                                                                                                       Сайн




                                                                                                                                                                                      a. 
                                                          Үгүй




                                                                                Үгүй




                                                                                             Үгүй




                                                                                                                Үгүй




                                                                                                                                       Үгүй




                                                                                                                                                                    Үгүй
                                                                        d.




                                                                                        d.




                                                                                                           d.




                                                                                                                             d.




                                                                                                                                                               d.




                                                                                                                                                                                      d.
                                                              c.




                                                                                  c.




                                                                                                 c.




                                                                                                                    c.




                                                                                                                                           c.




                                                                                                                                                                        c.
                                                                                                                                  Дунд




                                                                                                                                                                                 Дунд
                                                          b. 




                                                                             b. 




                                                                                             b. 




                                                                                                                b. 




                                                                                                                                       b. 




                                                                                                                                                                    b. 
                                                                                                                                   Маш
                                                          a. 




                                                                             a. 




                                                                                             a. 




                                                                                                                a. 




                                                                                                                                       a. 




                                                                                                                                                                    a. 
                                                                                                                                       c. 




                                                                                                                                   сайн
                                                                                                                                  зэрэг
                                                                                                                                   d. 
                                                                                                                                  a. 
                                                                                                                                  b. 




                                                                                                                                                                                 b. 
 1 Алтаншагай   Цолмон         8      а       13   эм      1   0    0    0 1    0   0    0    0   1    0    0    0   1   0    0    1   0   0   0   0 1     0    0    0 1     0    0   0   0
 2 Ариунзаяа    Алтанцэцэг     8      а       14   эм      0   1    0    0 1    0   0    0    1   0    0    0    1   0   0    0    0   1   0   0   0 0     1    0    1 0     0    0   0   0
 3 Батцэнгэл    Батзориг       8      а       14   эр      0   0    1    0 0    1   0    0    0   1    0    0    0   1   0    0    0   0   0   1   1 0     0    0    0 0     0    1   0   0
 4 Болдсайхан   Бямбадорж      8      а       14   эр      0   0    0    1 1    0   0    0    1   0    0    0    1   0   0    0    0   0   1   0   0 1     0    0    1 0     0    0   0   0
 5 Бямбадорж    Отгончимэг     8      а       14   эм      1   0    0    0 1    0   0    0    0   1    0    0    0   1   0    0    0   1   0   0   0 0     1    0    0 1     0    0   0   0
 6 Гантулга     Сүнжмаа        8      а       14   эм      0   1    0    0 1    0   0    0    1   0    0    0    1   0   0    0    0   0   1   0   1 0     0    0    1 0     0    0   0   0
 7 Даваасүрэн   Амарбат        8      а       14   эр      0   1    0    0 1    0   0    0    0   0    0    1    0   0   1    0    0   0   0   1   0 1     0    0    0 1     0    0   1   0
 8 Далайжаргал Сумяасүрэн      8      а       14   эр      1   0    0    0 1    0   0    0    0   1    0    0    0   1   0    0    1   0   0   0   0 1     0    0    0 1     0    0   0   0
 9 Ганцог       Гүррагчаа      8      а       14   эр      0   1    0    0 1    0   0    0    1   0    0    0    0   0   0    1    0   1   0   0   0 1     0    0    0 1     0    0   0   0
10 Лхагвасүрэн  Амартүвшин     8      а       14   эр      1   0    0    0 1    0   0    0    1   0    0    0    1   0   0    0    0   0   1   0   0 1     0    0    0 1     0    0   0   0
11 Түвшинжаргал Нандинцэцэг    8      а       14   эм      0   0    1    0 1    0   0    0    0   0    0    1    0   1   0    0    0   0   0   1   0 1     0    0    1 0     0    0   0   0
12 Төмөртогоо   Норжмоо        8      а       14   эм      0   1    0    0 1    0   0    0    0   0    0    1    1   0   0    0    0   1   0   0   1 0     0    0    0 1     0    0   0   0
13 Отгонжаргал  Ононтуул       8      а       14   эм      1   0    0    0 1    0   0    0    0   1    0    0    0   1   0    0    1   0   0   0   0 1     0    0    0 1     0    0   0   0
14 Өлзийжаргал Долгорсүрэн     8      а       14   эм      0   0    1    0 1    0   0    0    1   0    0    0    0   1   0    0    1   0   0   0   0 1     0    0    0 1     0    0   0   0
15 Тогтохбаяр   Солонго        8      а       13   эм      1   0    0    0 1    0   0    0    0   1    0    0    1   0   0    0    0   1   0   0   1 0     0    0    0 1     0    0   0   0
16 Энхбаяр      Сувдгэрэл      8      а       13   эм      0   0    0    1 0    1   0    0    0   0    1    0    1   0   0    0    1   0   0   0   1 0     0    0    0 1     0    0   0   0
17 Ууганбаяр    Хонгорзул      8      а       14   эм      1   0    0    0 0    1   0    0    0   0    0    1    1   0   0    0    1   0   0   0   0 0     1    0    0 1     0    0   0   1
18 Бат­Эрдэнэ   Отгонбаяр      8      а       14   эр      1   0    0    0 1    0   0    0    1   0    0    0    0   1   0    0    0   0   1   0   0 1     0    0    0 1     0    0   0   0
19 Болд         Отгонтуяа      8      а       14   эм      1   0    0    0 1    0   0    0    0   1    0    0    0   0   1    0    0   0   0   1   1 0     0    0    1 0     0    0   1   0
20 Хангал       Буянхишиг      8      0       13   эр      1   0    0    0 0    1   0    0    0   1    0    0    1   0   0    0    1   0   0   0   1 0     0    0    1 0     0    0   0   0
   Нийт                                                   10   5    3    2 16   4   0    0    7   8    1    4    9   8   2    1    7   5   4   4   7 10    3    0    6 13    0    1   2   1

                                                                                       Хуудас 1
Анализ




 8

дийнхөө 
налыг 
нгийн 
 чид бүгд 
сдог уу?
  Сайн
          Маш
  c. 




                сайн
          d. 


                 




      1    0
      1    0
      1    0
      0    1
      1    0
      0    1
      0    0
      1    0
      1    0
      1    0
      1    0
      0    1
      1    0
      1    0
      1    0
      1    0
      0    0
      1    0
      0    0
      1    0
     14    3

                       Хуудас 2
Анализ




Хуудас 3
Анализ




Хуудас 4
График


                                                   Судалгааны нэгтгэл
Асуулт 1:
                                    Та нарт сургуулиас ямар нэгэн дарамт шахалт үзүүлдэг үү?
    Судалгаанд оролцсон нийт                a. Тийм               b. Үгүй       c.                      d.
               20                              10                    5                              3             2



                                    10

                                     9

                                     8

                                     7
                                                                       a. Тийм
                                     6
                                                                       b. Үгүй
                                     5                                 c.
                                                                       d.
                                     4

                                     3

                                     2

                                     1

                                     0




Асуулт 2:
                                      Багш нар сурагчидтай зөв боловсон харъцаж байна уу?
    Судалгаанд оролцсон нийт               a. Тийм                b. Үгүй                      c.            d.
               20                             16                     4                         0             0



                               16

                               14

                               12

                               10                                 a. Тийм
                                                                 Хуудас 5
                                                                  b. Үгүй
                                8                                 c.
                                                                  d.
График


                              16

                              14

                              12

                              10                             a. Тийм
                                                             b. Үгүй
                               8                             c.
                                                             d.
                               6

                               4

                               2

                               0


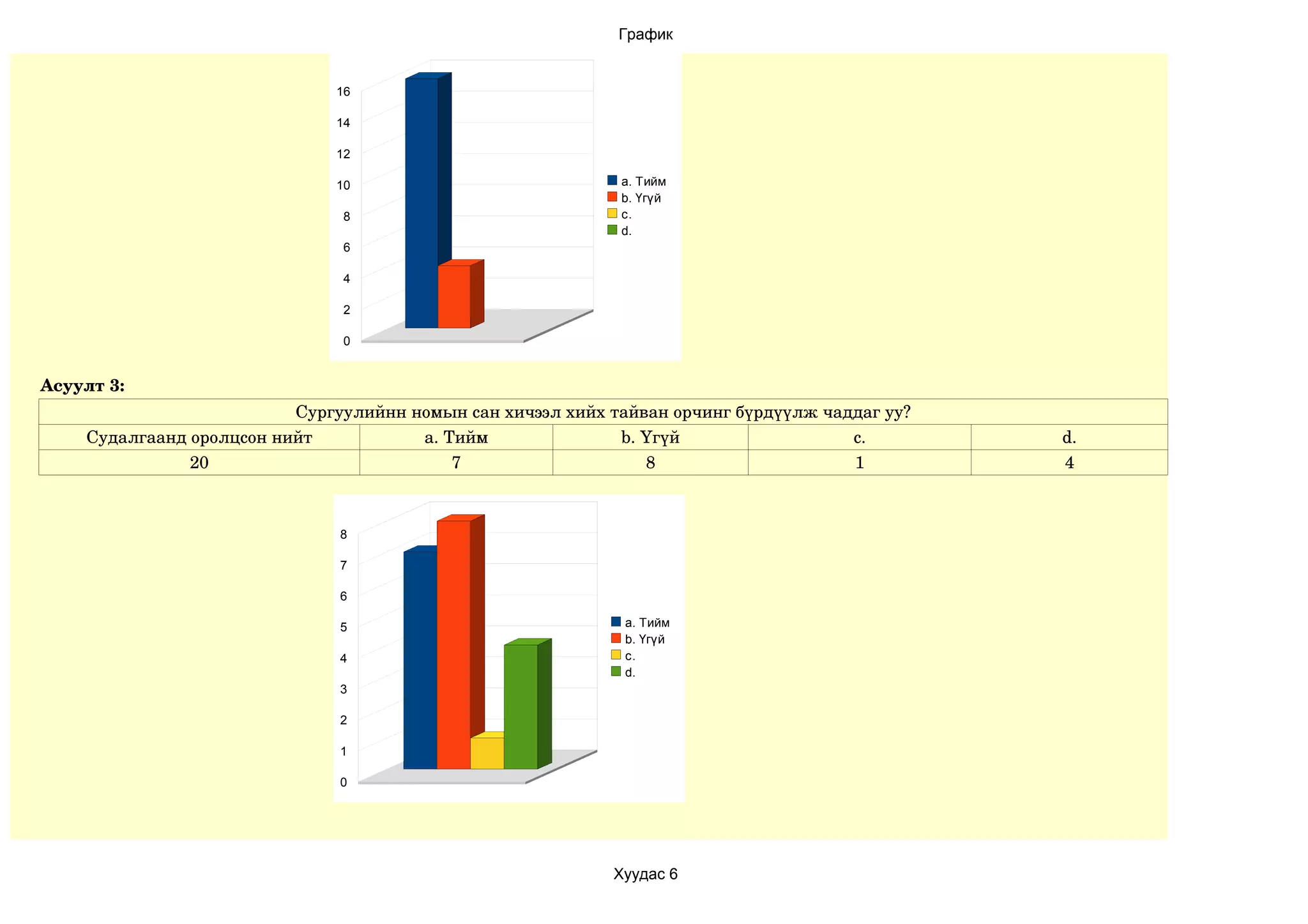
Асуулт 3:
                          Сургуулийнн номын сан хичээл хийх тайван орчинг бүрдүүлж чаддаг уу?
    Судалгаанд оролцсон нийт           a. Тийм               b. Үгүй                  c.        d.
               20                          7                    8                     1         4



                               8

                               7

                               6

                               5                              a. Тийм
                                                              b. Үгүй
                               4                              c.
                                                              d.
                               3

                               2

                               1

                               0




                                                            Хуудас 6
График

Асуулт 4:
                          Багш нар хичээлийн хуваарийн дагуу хичээлээ үр дүнтэй зааж чаддаг уу?
    Судалгаанд оролцсон нийт            a. Тийм               b. Үгүй                   c.            d.
               20                           9                    8                      2             1



                                9

                                8

                                7

                                6                               a. Тийм
                                5                               b. Үгүй
                                                                c.
                                4                               d.

                                3

                                2

                                1

                                0

Асуулт 5:
                             Та сургуулийн номын сангаас өөрт хэрэгтэй номоо авч хэрэглэдэг үү?
    Судалгаанд оролцсон нийт           a. Тааруухан         b. Дунд зэрэг               c. Сайн   d. Маш сайн
               20                            7                    5                         4          4




                                                               Хуудас 7
График




                               7

                               6

                               5                               a.
                                                               Тааруухан
                                                               b. Дунд
                               4
                                                               зэрэг
                                                               c. Сайн
                               3                               d. Маш
                                                               сайн
                               2

                               1

                               0




Асуулт 6:
                                   Тухайн хичээлийн цагийг үр бүтээлтэй өнгөрөөж чаддаг уу?
    Судалгаанд оролцсон нийт               a. Тийм               b. Үгүй                    c.   d.
               0                               7                    10                      3    0




                                                                Хуудас 8
График




                           10

                               9

                               8

                               7
                                                           a. Тийм
                               6
                                                           b. Үгүй
                               5                           c.
                                                           d.
                               4

                               3

                               2

                               1

                               0


Асуулт 7:
                                   Сурхад тань ямар нэгэн хүндрэлтэй асуудал байдаг уу?
    Судалгаанд оролцсон нийт            a. Тийм                b. Үгүй                    c.   d.
               0                            6                     13                      0    1




                                                              Хуудас 9
График




                           14

                           12

                           10
                                                            a. Тийм
                               8                            b. Үгүй
                                                            c.
                               6                            d.


                               4

                               2

                               0



Асуулт 8:
                                   Нөхдийнхөө саналыг ангийн сурагчид бүгд сонсдог уу?
    Судалгаанд оролцсон нийт        a. Таалагдаагүй       b. Дунд зэрэг               c. Сайн   d. Маш сайн
               0                           2                    1                        14          3




                                                             Хуудас 10
График




14

12

     a.
10
     Таалагдааг
     үй
8    b. Дунд
     зэрэг
6    c. Сайн
     d. Маш
     сайн
4

2

0




         Хуудас 11
1



                                                            Цахим судалгаа
   Санамж: Судалгааны хариултыг бөглөхдөө латин цагаан толгойн жижиг үсгээр бичнэ.

Овог             Алтаншагай                                 Нас                  13         Анги        8
Нэр                Цолмон                                   Хүйс                 эм         Бүлэг       а
Асуулт 1:

       Та нарт сургуулиас ямар нэгэн дарамт шахалт үзүүлдэг үү?

             a. Тийм             b. Үгүй             c.                     d.        Хариулт       a

Асуулт 2:


       Багш нар сурагчидтай зөв боловсон харъцаж байна уу?

             a. Тийм             b. Үгүй             c.                     d.        Хариулт       a

Асуулт 3:


       Сургуулийнн номын сан хичээл хийх тайван орчинг бүрдүүлж чаддаг уу?

             a. Тийм             b. Үгүй             c.                     d.        Хариулт       b

Асуулт 4:


       Багш нар хичээлийн хуваарийн дагуу хичээлээ үр дүнтэй зааж чаддаг уу?

             a. Тийм             b. Үгүй             c.                     d.        Хариулт       b

Асуулт 5:


       Та сургуулийн номын сангаас өөрт хэрэгтэй номоо авч хэрэглэдэг үү?


                                                                Хуудас 12
1
            a. Тааруухан      b. Дунд зэрэг    c. Сайн               d. Маш сайн   Хариулт   a

Асуулт 6:

       Тухайн хичээлийн цагийг үр бүтээлтэй өнгөрөөж чаддаг уу?

            a. Тийм           b. Үгүй          c.                    d.            Хариулт   b

Асуулт 7:

       Сурхад тань ямар нэгэн хүндрэлтэй асуудал байдаг уу?

            a. Тийм           b. Үгүй          c.                    d.            Хариулт   b

Асуулт 8:

       Нөхдийнхөө саналыг ангийн сурагчид бүгд сонсдог уу?

            a. Таалагдаагүй   b. Дунд зэрэг    c. Сайн               d. Маш сайн   Хариулт   c




                                                         Хуудас 13
1




Хуудас 14
1




Хуудас 15
2



                                                            Цахим судалгаа
   Санамж: Судалгааны хариултыг бөглөхдөө латин цагаан толгойн жижиг үсгээр бичнэ.

Овог             Ариунзаяа                                  Нас                  14         Анги        8
Нэр              Алтанцэцэг                                 Хүйс                 эм         Бүлэг       а
Асуулт 1:

       Та нарт сургуулиас ямар нэгэн дарамт шахалт үзүүлдэг үү?

             a. Тийм             b. Үгүй             c.                     d.        Хариулт       b

Асуулт 2:


       Багш нар сурагчидтай зөв боловсон харъцаж байна уу?

             a. Тийм             b. Үгүй             c.                     d.        Хариулт       a

Асуулт 3:


       Сургуулийнн номын сан хичээл хийх тайван орчинг бүрдүүлж чаддаг уу?

             a. Тийм             b. Үгүй             c.                     d.        Хариулт       a

Асуулт 4:


       Багш нар хичээлийн хуваарийн дагуу хичээлээ үр дүнтэй зааж чаддаг уу?

             a. Тийм             b. Үгүй             c.                     d.        Хариулт       d

Асуулт 5:


       Та сургуулийн номын сангаас өөрт хэрэгтэй номоо авч хэрэглэдэг үү?


                                                                Хуудас 16
2
            a. Тааруухан      b. Дунд зэрэг    c. Сайн               d. Маш сайн   Хариулт   b

Асуулт 6:

       Тухайн хичээлийн цагийг үр бүтээлтэй өнгөрөөж чаддаг уу?

            a. Тийм           b. Үгүй          c.                    d.            Хариулт   c

Асуулт 7:

       Сурхад тань ямар нэгэн хүндрэлтэй асуудал байдаг уу?

            a. Тийм           b. Үгүй          c.                    d.            Хариулт   a

Асуулт 8:

       Нөхдийнхөө саналыг ангийн сурагчид бүгд сонсдог уу?

            a. Таалагдаагүй   b. Дунд зэрэг    c. Сайн               d. Маш сайн   Хариулт   c




                                                         Хуудас 17
2




Хуудас 18
2




Хуудас 19
3



                                                            Цахим судалгаа
   Санамж: Судалгааны хариултыг бөглөхдөө латин цагаан толгойн жижиг үсгээр бичнэ.

Овог              Батцэнгэл                                 Нас                  14         Анги        8
Нэр               Батзориг                                  Хүйс                 эр         Бүлэг       а
Асуулт 1:

       Та нарт сургуулиас ямар нэгэн дарамт шахалт үзүүлдэг үү?

             a. Тийм             b. Үгүй             c.                     d.        Хариулт       c

Асуулт 2:


       Багш нар сурагчидтай зөв боловсон харъцаж байна уу?

             a. Тийм             b. Үгүй             c.                     d.        Хариулт       b

Асуулт 3:


       Сургуулийнн номын сан хичээл хийх тайван орчинг бүрдүүлж чаддаг уу?

             a. Тийм             b. Үгүй             c.                     d.        Хариулт       b

Асуулт 4:


       Багш нар хичээлийн хуваарийн дагуу хичээлээ үр дүнтэй зааж чаддаг уу?

             a. Тийм             b. Үгүй             c.                     d.        Хариулт       b

Асуулт 5:


       Та сургуулийн номын сангаас өөрт хэрэгтэй номоо авч хэрэглэдэг үү?


                                                                Хуудас 20
3
            a. Тааруухан      b. Дунд зэрэг    c. Сайн               d. Маш сайн   Хариулт   d

Асуулт 6:

       Тухайн хичээлийн цагийг үр бүтээлтэй өнгөрөөж чаддаг уу?

            a. Тийм           b. Үгүй          c.                    d.            Хариулт   a

Асуулт 7:

       Сурхад тань ямар нэгэн хүндрэлтэй асуудал байдаг уу?

            a. Тийм           b. Үгүй          c.                    d.            Хариулт   d

Асуулт 8:

       Нөхдийнхөө саналыг ангийн сурагчид бүгд сонсдог уу?

            a. Таалагдаагүй   b. Дунд зэрэг    c. Сайн               d. Маш сайн   Хариулт   c




                                                         Хуудас 21
3




Хуудас 22
3




Хуудас 23
4



                                                            Цахим судалгаа
   Санамж: Судалгааны хариултыг бөглөхдөө латин цагаан толгойн жижиг үсгээр бичнэ.

Овог             Болдсайхан                                 Нас                  14         Анги        8
Нэр              Бямбадорж                                  Хүйс                 эр         Бүлэг       а
Асуулт 1:

       Та нарт сургуулиас ямар нэгэн дарамт шахалт үзүүлдэг үү?

             a. Тийм             b. Үгүй             c.                     d.        Хариулт       d

Асуулт 2:


       Багш нар сурагчидтай зөв боловсон харъцаж байна уу?

             a. Тийм             b. Үгүй             c.                     d.        Хариулт       a

Асуулт 3:


       Сургуулийнн номын сан хичээл хийх тайван орчинг бүрдүүлж чаддаг уу?

             a. Тийм             b. Үгүй             c.                     d.        Хариулт       a

Асуулт 4:


       Багш нар хичээлийн хуваарийн дагуу хичээлээ үр дүнтэй зааж чаддаг уу?

             a. Тийм             b. Үгүй             c.                     d.        Хариулт       a

Асуулт 5:


       Та сургуулийн номын сангаас өөрт хэрэгтэй номоо авч хэрэглэдэг үү?


                                                                Хуудас 24
4
            a. Тааруухан      b. Дунд зэрэг    c. Сайн               d. Маш сайн   Хариулт   c

Асуулт 6:

       Тухайн хичээлийн цагийг үр бүтээлтэй өнгөрөөж чаддаг уу?

            a. Тийм           b. Үгүй          c.                    d.            Хариулт   b

Асуулт 7:

       Сурхад тань ямар нэгэн хүндрэлтэй асуудал байдаг уу?

            a. Тийм           b. Үгүй          c.                    d.            Хариулт   a

Асуулт 8:

       Нөхдийнхөө саналыг ангийн сурагчид бүгд сонсдог уу?

            a. Таалагдаагүй   b. Дунд зэрэг    c. Сайн               d. Маш сайн   Хариулт   d




                                                         Хуудас 25
4




Хуудас 26
4




Хуудас 27
5



                                                            Цахим судалгаа
   Санамж: Судалгааны хариултыг бөглөхдөө латин цагаан толгойн жижиг үсгээр бичнэ.

Овог             Бямбадорж                                  Нас                  14         Анги        8
Нэр              Отгончимэг                                 Хүйс                 эм         Бүлэг       а
Асуулт 1:

       Та нарт сургуулиас ямар нэгэн дарамт шахалт үзүүлдэг үү?

             a. Тийм             b. Үгүй             c.                     d.        Хариулт       a

Асуулт 2:


       Багш нар сурагчидтай зөв боловсон харъцаж байна уу?

             a. Тийм             b. Үгүй             c.                     d.        Хариулт       a

Асуулт 3:


       Сургуулийнн номын сан хичээл хийх тайван орчинг бүрдүүлж чаддаг уу?

             a. Тийм             b. Үгүй             c.                     d.        Хариулт       b

Асуулт 4:


       Багш нар хичээлийн хуваарийн дагуу хичээлээ үр дүнтэй зааж чаддаг уу?

             a. Тийм             b. Үгүй             c.                     d.        Хариулт       b

Асуулт 5:


       Та сургуулийн номын сангаас өөрт хэрэгтэй номоо авч хэрэглэдэг үү?


                                                                Хуудас 28
5
            a. Тааруухан      b. Дунд зэрэг    c. Сайн               d. Маш сайн   Хариулт   b

Асуулт 6:

       Тухайн хичээлийн цагийг үр бүтээлтэй өнгөрөөж чаддаг уу?

            a. Тийм           b. Үгүй          c.                    d.            Хариулт   c

Асуулт 7:

       Сурхад тань ямар нэгэн хүндрэлтэй асуудал байдаг уу?

            a. Тийм           b. Үгүй          c.                    d.            Хариулт   b

Асуулт 8:

       Нөхдийнхөө саналыг ангийн сурагчид бүгд сонсдог уу?

            a. Таалагдаагүй   b. Дунд зэрэг    c. Сайн               d. Маш сайн   Хариулт   c




                                                         Хуудас 29
5




Хуудас 30
5




Хуудас 31
6



                                                            Цахим судалгаа
   Санамж: Судалгааны хариултыг бөглөхдөө латин цагаан толгойн жижиг үсгээр бичнэ.

Овог              Гантулга                                  Нас                  14         Анги        8
Нэр               Сүнжмаа                                   Хүйс                 эм         Бүлэг       а
Асуулт 1:

       Та нарт сургуулиас ямар нэгэн дарамт шахалт үзүүлдэг үү?

             a. Тийм             b. Үгүй             c.                     d.        Хариулт       b

Асуулт 2:


       Багш нар сурагчидтай зөв боловсон харъцаж байна уу?

             a. Тийм             b. Үгүй             c.                     d.        Хариулт       a

Асуулт 3:


       Сургуулийнн номын сан хичээл хийх тайван орчинг бүрдүүлж чаддаг уу?

             a. Тийм             b. Үгүй             c.                     d.        Хариулт       a

Асуулт 4:


       Багш нар хичээлийн хуваарийн дагуу хичээлээ үр дүнтэй зааж чаддаг уу?

             a. Тийм             b. Үгүй             c.                     d.        Хариулт       a

Асуулт 5:


       Та сургуулийн номын сангаас өөрт хэрэгтэй номоо авч хэрэглэдэг үү?


                                                                Хуудас 32
6
            a. Тааруухан      b. Дунд зэрэг    c. Сайн               d. Маш сайн   Хариулт   c

Асуулт 6:

       Тухайн хичээлийн цагийг үр бүтээлтэй өнгөрөөж чаддаг уу?

            a. Тийм           b. Үгүй          c.                    d.            Хариулт   a

Асуулт 7:

       Сурхад тань ямар нэгэн хүндрэлтэй асуудал байдаг уу?

            a. Тийм           b. Үгүй          c.                    d.            Хариулт   a

Асуулт 8:

       Нөхдийнхөө саналыг ангийн сурагчид бүгд сонсдог уу?

            a. Таалагдаагүй   b. Дунд зэрэг    c. Сайн               d. Маш сайн   Хариулт   d




                                                         Хуудас 33
6




Хуудас 34
6




Хуудас 35
7



                                                            Цахим судалгаа
   Санамж: Судалгааны хариултыг бөглөхдөө латин цагаан толгойн жижиг үсгээр бичнэ.

Овог             Даваасүрэн                                 Нас                  11         Анги        8
Нэр               Амарбат                                   Хүйс                 эр         Бүлэг       а
Асуулт 1:

       Та нарт сургуулиас ямар нэгэн дарамт шахалт үзүүлдэг үү?

             a. Тийм             b. Үгүй             c.                     d.        Хариулт       b

Асуулт 2:


       Багш нар сурагчидтай зөв боловсон харъцаж байна уу?

             a. Тийм             b. Үгүй             c.                     d.        Хариулт       a

Асуулт 3:


       Сургуулийнн номын сан хичээл хийх тайван орчинг бүрдүүлж чаддаг уу?

             a. Тийм             b. Үгүй             c.                     d.        Хариулт       d

Асуулт 4:


       Багш нар хичээлийн хуваарийн дагуу хичээлээ үр дүнтэй зааж чаддаг уу?

             a. Тийм             b. Үгүй             c.                     d.        Хариулт       c

Асуулт 5:


       Та сургуулийн номын сангаас өөрт хэрэгтэй номоо авч хэрэглэдэг үү?


                                                                Хуудас 36
7
            a. Тааруухан      b. Дунд зэрэг    c. Сайн               d. Маш сайн   Хариулт   d

Асуулт 6:

       Тухайн хичээлийн цагийг үр бүтээлтэй өнгөрөөж чаддаг уу?

            a. Тийм           b. Үгүй          c.                    d.            Хариулт   b

Асуулт 7:

       Сурхад тань ямар нэгэн хүндрэлтэй асуудал байдаг уу?

            a. Тийм           b. Үгүй          c.                    d.            Хариулт   b

Асуулт 8:

       Нөхдийнхөө саналыг ангийн сурагчид бүгд сонсдог уу?

            a. Таалагдаагүй   b. Дунд зэрэг    c. Сайн               d. Маш сайн   Хариулт   a




                                                         Хуудас 37
7




Хуудас 38
7




Хуудас 39
8



                                                            Цахим судалгаа
   Санамж: Судалгааны хариултыг бөглөхдөө латин цагаан толгойн жижиг үсгээр бичнэ.

Овог            Далайжаргал                                 Нас                  14         Анги        8
Нэр              Сумяасүрэн                                 Хүйс                 эр         Бүлэг       а
Асуулт 1:

       Та нарт сургуулиас ямар нэгэн дарамт шахалт үзүүлдэг үү?

             a. Тийм             b. Үгүй             c.                     d.        Хариулт       a

Асуулт 2:


       Багш нар сурагчидтай зөв боловсон харъцаж байна уу?

             a. Тийм             b. Үгүй             c.                     d.        Хариулт       a

Асуулт 3:


       Сургуулийнн номын сан хичээл хийх тайван орчинг бүрдүүлж чаддаг уу?

             a. Тийм             b. Үгүй             c.                     d.        Хариулт       b

Асуулт 4:


       Багш нар хичээлийн хуваарийн дагуу хичээлээ үр дүнтэй зааж чаддаг уу?

             a. Тийм             b. Үгүй             c.                     d.        Хариулт       b

Асуулт 5:


       Та сургуулийн номын сангаас өөрт хэрэгтэй номоо авч хэрэглэдэг үү?


                                                                Хуудас 40
8
            a. Тааруухан      b. Дунд зэрэг    c. Сайн               d. Маш сайн   Хариулт   a

Асуулт 6:

       Тухайн хичээлийн цагийг үр бүтээлтэй өнгөрөөж чаддаг уу?

            a. Тийм           b. Үгүй          c.                    d.            Хариулт   b

Асуулт 7:

       Сурхад тань ямар нэгэн хүндрэлтэй асуудал байдаг уу?

            a. Тийм           b. Үгүй          c.                    d.            Хариулт   b

Асуулт 8:

       Нөхдийнхөө саналыг ангийн сурагчид бүгд сонсдог уу?

            a. Таалагдаагүй   b. Дунд зэрэг    c. Сайн               d. Маш сайн   Хариулт   c




                                                         Хуудас 41
8




Хуудас 42
8




Хуудас 43
9



                                                            Цахим судалгаа
   Санамж: Судалгааны хариултыг бөглөхдөө латин цагаан толгойн жижиг үсгээр бичнэ.

Овог               Ганцог                                   Нас                  14         Анги        8
Нэр               Гүррагчаа                                 Хүйс                 эр         Бүлэг       а
Асуулт 1:

       Та нарт сургуулиас ямар нэгэн дарамт шахалт үзүүлдэг үү?

             a. Тийм             b. Үгүй             c.                     d.        Хариулт       b

Асуулт 2:


       Багш нар сурагчидтай зөв боловсон харъцаж байна уу?

             a. Тийм             b. Үгүй             c.                     d.        Хариулт       a

Асуулт 3:


       Сургуулийнн номын сан хичээл хийх тайван орчинг бүрдүүлж чаддаг уу?

             a. Тийм             b. Үгүй             c.                     d.        Хариулт       a

Асуулт 4:


       Багш нар хичээлийн хуваарийн дагуу хичээлээ үр дүнтэй зааж чаддаг уу?

             a. Тийм             b. Үгүй             c.                     d.        Хариулт       d

Асуулт 5:


       Та сургуулийн номын сангаас өөрт хэрэгтэй номоо авч хэрэглэдэг үү?


                                                                Хуудас 44
9
            a. Тааруухан      b. Дунд зэрэг    c. Сайн               d. Маш сайн   Хариулт   b

Асуулт 6:

       Тухайн хичээлийн цагийг үр бүтээлтэй өнгөрөөж чаддаг уу?

            a. Тийм           b. Үгүй          c.                    d.            Хариулт   b

Асуулт 7:

       Сурхад тань ямар нэгэн хүндрэлтэй асуудал байдаг уу?

            a. Тийм           b. Үгүй          c.                    d.            Хариулт   b

Асуулт 8:

       Нөхдийнхөө саналыг ангийн сурагчид бүгд сонсдог уу?

            a. Таалагдаагүй   b. Дунд зэрэг    c. Сайн               d. Маш сайн   Хариулт   c




                                                         Хуудас 45
9




Хуудас 46
9




Хуудас 47
10



                                                            Цахим судалгаа
   Санамж: Судалгааны хариултыг бөглөхдөө латин цагаан толгойн жижиг үсгээр бичнэ.

Овог             Лхагвасүрэн                                Нас                  14         Анги        8
Нэр              Амартүвшин                                 Хүйс                 эр         Бүлэг       а
Асуулт 1:

       Та нарт сургуулиас ямар нэгэн дарамт шахалт үзүүлдэг үү?

             a. Тийм             b. Үгүй             c.                     d.        Хариулт       a

Асуулт 2:


       Багш нар сурагчидтай зөв боловсон харъцаж байна уу?

             a. Тийм             b. Үгүй             c.                     d.        Хариулт       a

Асуулт 3:


       Сургуулийнн номын сан хичээл хийх тайван орчинг бүрдүүлж чаддаг уу?

             a. Тийм             b. Үгүй             c.                     d.        Хариулт       a

Асуулт 4:


       Багш нар хичээлийн хуваарийн дагуу хичээлээ үр дүнтэй зааж чаддаг уу?

             a. Тийм             b. Үгүй             c.                     d.        Хариулт       a

Асуулт 5:


       Та сургуулийн номын сангаас өөрт хэрэгтэй номоо авч хэрэглэдэг үү?


                                                                Хуудас 48
10
            a. Тааруухан      b. Дунд зэрэг    c. Сайн               d. Маш сайн   Хариулт   c

Асуулт 6:

       Тухайн хичээлийн цагийг үр бүтээлтэй өнгөрөөж чаддаг уу?

            a. Тийм           b. Үгүй          c.                    d.            Хариулт   b

Асуулт 7:

       Сурхад тань ямар нэгэн хүндрэлтэй асуудал байдаг уу?

            a. Тийм           b. Үгүй          c.                    d.            Хариулт   b

Асуулт 8:

       Нөхдийнхөө саналыг ангийн сурагчид бүгд сонсдог уу?

            a. Таалагдаагүй   b. Дунд зэрэг    c. Сайн               d. Маш сайн   Хариулт   c




                                                         Хуудас 49
10




Хуудас 50
10




Хуудас 51
11



                                                            Цахим судалгаа
   Санамж: Судалгааны хариултыг бөглөхдөө латин цагаан толгойн жижиг үсгээр бичнэ.

Овог            Түвшинжаргал                                Нас                  14         Анги        8
Нэр              Нандинцэцэг                                Хүйс                 эм         Бүлэг       а
Асуулт 1:

       Та нарт сургуулиас ямар нэгэн дарамт шахалт үзүүлдэг үү?

             a. Тийм             b. Үгүй             c.                     d.        Хариулт       c

Асуулт 2:


       Багш нар сурагчидтай зөв боловсон харъцаж байна уу?

             a. Тийм             b. Үгүй             c.                     d.        Хариулт       a

Асуулт 3:


       Сургуулийнн номын сан хичээл хийх тайван орчинг бүрдүүлж чаддаг уу?

             a. Тийм             b. Үгүй             c.                     d.        Хариулт       d

Асуулт 4:


       Багш нар хичээлийн хуваарийн дагуу хичээлээ үр дүнтэй зааж чаддаг уу?

             a. Тийм             b. Үгүй             c.                     d.        Хариулт       b

Асуулт 5:


       Та сургуулийн номын сангаас өөрт хэрэгтэй номоо авч хэрэглэдэг үү?


                                                                Хуудас 52
11
            a. Тааруухан      b. Дунд зэрэг    c. Сайн               d. Маш сайн   Хариулт   d

Асуулт 6:

       Тухайн хичээлийн цагийг үр бүтээлтэй өнгөрөөж чаддаг уу?

            a. Тийм           b. Үгүй          c.                    d.            Хариулт   b

Асуулт 7:

       Сурхад тань ямар нэгэн хүндрэлтэй асуудал байдаг уу?

            a. Тийм           b. Үгүй          c.                    d.            Хариулт   a

Асуулт 8:

       Нөхдийнхөө саналыг ангийн сурагчид бүгд сонсдог уу?

            a. Таалагдаагүй   b. Дунд зэрэг    c. Сайн               d. Маш сайн   Хариулт   c




                                                         Хуудас 53
11




Хуудас 54
11




Хуудас 55
12



                                                            Цахим судалгаа
   Санамж: Судалгааны хариултыг бөглөхдөө латин цагаан толгойн жижиг үсгээр бичнэ.

Овог              Төмөртогоо                                Нас                  14         Анги        8
Нэр                Норжмоо                                  Хүйс                 эм         Бүлэг       а
Асуулт 1:

       Та нарт сургуулиас ямар нэгэн дарамт шахалт үзүүлдэг үү?

             a. Тийм             b. Үгүй             c.                     d.        Хариулт       b

Асуулт 2:


       Багш нар сурагчидтай зөв боловсон харъцаж байна уу?

             a. Тийм             b. Үгүй             c.                     d.        Хариулт       a

Асуулт 3:


       Сургуулийнн номын сан хичээл хийх тайван орчинг бүрдүүлж чаддаг уу?

             a. Тийм             b. Үгүй             c.                     d.        Хариулт       d

Асуулт 4:


       Багш нар хичээлийн хуваарийн дагуу хичээлээ үр дүнтэй зааж чаддаг уу?

             a. Тийм             b. Үгүй             c.                     d.        Хариулт       a

Асуулт 5:


       Та сургуулийн номын сангаас өөрт хэрэгтэй номоо авч хэрэглэдэг үү?


                                                                Хуудас 56
12
            a. Тааруухан      b. Дунд зэрэг    c. Сайн               d. Маш сайн   Хариулт   b

Асуулт 6:

       Тухайн хичээлийн цагийг үр бүтээлтэй өнгөрөөж чаддаг уу?

            a. Тийм           b. Үгүй          c.                    d.            Хариулт   a

Асуулт 7:

       Сурхад тань ямар нэгэн хүндрэлтэй асуудал байдаг уу?

            a. Тийм           b. Үгүй          c.                    d.            Хариулт   b

Асуулт 8:

       Нөхдийнхөө саналыг ангийн сурагчид бүгд сонсдог уу?

            a. Таалагдаагүй   b. Дунд зэрэг    c. Сайн               d. Маш сайн   Хариулт   d




                                                         Хуудас 57
12




Хуудас 58
12




Хуудас 59
13



                                                            Цахим судалгаа
   Санамж: Судалгааны хариултыг бөглөхдөө латин цагаан толгойн жижиг үсгээр бичнэ.

Овог            Отгонжаргал                                 Нас                  14         Анги        8
Нэр              Ононтуул                                   Хүйс                 эм         Бүлэг       а
Асуулт 1:

       Та нарт сургуулиас ямар нэгэн дарамт шахалт үзүүлдэг үү?

             a. Тийм             b. Үгүй             c.                     d.        Хариулт       a

Асуулт 2:


       Багш нар сурагчидтай зөв боловсон харъцаж байна уу?

             a. Тийм             b. Үгүй             c.                     d.        Хариулт       a

Асуулт 3:


       Сургуулийнн номын сан хичээл хийх тайван орчинг бүрдүүлж чаддаг уу?

             a. Тийм             b. Үгүй             c.                     d.        Хариулт       b

Асуулт 4:


       Багш нар хичээлийн хуваарийн дагуу хичээлээ үр дүнтэй зааж чаддаг уу?

             a. Тийм             b. Үгүй             c.                     d.        Хариулт       b

Асуулт 5:


       Та сургуулийн номын сангаас өөрт хэрэгтэй номоо авч хэрэглэдэг үү?


                                                                Хуудас 60
13
            a. Тааруухан      b. Дунд зэрэг    c. Сайн               d. Маш сайн   Хариулт   a

Асуулт 6:

       Тухайн хичээлийн цагийг үр бүтээлтэй өнгөрөөж чаддаг уу?

            a. Тийм           b. Үгүй          c.                    d.            Хариулт   b

Асуулт 7:

       Сурхад тань ямар нэгэн хүндрэлтэй асуудал байдаг уу?

            a. Тийм           b. Үгүй          c.                    d.            Хариулт   b

Асуулт 8:

       Нөхдийнхөө саналыг ангийн сурагчид бүгд сонсдог уу?

            a. Таалагдаагүй   b. Дунд зэрэг    c. Сайн               d. Маш сайн   Хариулт   c




                                                         Хуудас 61
13




Хуудас 62
13




Хуудас 63
14



                                                            Цахим судалгаа
   Санамж: Судалгааны хариултыг бөглөхдөө латин цагаан толгойн жижиг үсгээр бичнэ.

Овог            Өлзийжаргал                                 Нас                  14         Анги        8
Нэр             Долгорсүрэн                                 Хүйс                 эм         Бүлэг       а
Асуулт 1:

       Та нарт сургуулиас ямар нэгэн дарамт шахалт үзүүлдэг үү?

             a. Тийм             b. Үгүй             c.                     d.        Хариулт       c

Асуулт 2:


       Багш нар сурагчидтай зөв боловсон харъцаж байна уу?

             a. Тийм             b. Үгүй             c.                     d.        Хариулт       a

Асуулт 3:


       Сургуулийнн номын сан хичээл хийх тайван орчинг бүрдүүлж чаддаг уу?

             a. Тийм             b. Үгүй             c.                     d.        Хариулт       a

Асуулт 4:


       Багш нар хичээлийн хуваарийн дагуу хичээлээ үр дүнтэй зааж чаддаг уу?

             a. Тийм             b. Үгүй             c.                     d.        Хариулт       b

Асуулт 5:


       Та сургуулийн номын сангаас өөрт хэрэгтэй номоо авч хэрэглэдэг үү?


                                                                Хуудас 64
14
            a. Тааруухан      b. Дунд зэрэг    c. Сайн               d. Маш сайн   Хариулт   a

Асуулт 6:

       Тухайн хичээлийн цагийг үр бүтээлтэй өнгөрөөж чаддаг уу?

            a. Тийм           b. Үгүй          c.                    d.            Хариулт   b

Асуулт 7:

       Сурхад тань ямар нэгэн хүндрэлтэй асуудал байдаг уу?

            a. Тийм           b. Үгүй          c.                    d.            Хариулт   b

Асуулт 8:

       Нөхдийнхөө саналыг ангийн сурагчид бүгд сонсдог уу?

            a. Таалагдаагүй   b. Дунд зэрэг    c. Сайн               d. Маш сайн   Хариулт   c




                                                         Хуудас 65
14




Хуудас 66
14




Хуудас 67
15



                                                            Цахим судалгаа
   Санамж: Судалгааны хариултыг бөглөхдөө латин цагаан толгойн жижиг үсгээр бичнэ.

Овог              Тогтохбаяр                                Нас                  13         Анги        8
Нэр                Солонго                                  Хүйс                 эм         Бүлэг       а
Асуулт 1:

       Та нарт сургуулиас ямар нэгэн дарамт шахалт үзүүлдэг үү?

             a. Тийм             b. Үгүй             c.                     d.        Хариулт       a

Асуулт 2:


       Багш нар сурагчидтай зөв боловсон харъцаж байна уу?

             a. Тийм             b. Үгүй             c.                     d.        Хариулт       a

Асуулт 3:


       Сургуулийнн номын сан хичээл хийх тайван орчинг бүрдүүлж чаддаг уу?

             a. Тийм             b. Үгүй             c.                     d.        Хариулт       b

Асуулт 4:


       Багш нар хичээлийн хуваарийн дагуу хичээлээ үр дүнтэй зааж чаддаг уу?

             a. Тийм             b. Үгүй             c.                     d.        Хариулт       a

Асуулт 5:


       Та сургуулийн номын сангаас өөрт хэрэгтэй номоо авч хэрэглэдэг үү?


                                                                Хуудас 68
15
            a. Тааруухан      b. Дунд зэрэг    c. Сайн               d. Маш сайн   Хариулт   b

Асуулт 6:

       Тухайн хичээлийн цагийг үр бүтээлтэй өнгөрөөж чаддаг уу?

            a. Тийм           b. Үгүй          c.                    d.            Хариулт   a

Асуулт 7:

       Сурхад тань ямар нэгэн хүндрэлтэй асуудал байдаг уу?

            a. Тийм           b. Үгүй          c.                    d.            Хариулт   b

Асуулт 8:

       Нөхдийнхөө саналыг ангийн сурагчид бүгд сонсдог уу?

            a. Таалагдаагүй   b. Дунд зэрэг    c. Сайн               d. Маш сайн   Хариулт   c




                                                         Хуудас 69
15




Хуудас 70
15




Хуудас 71
16



                                                            Цахим судалгаа
   Санамж: Судалгааны хариултыг бөглөхдөө латин цагаан толгойн жижиг үсгээр бичнэ.

Овог               Энхбаяр                                  Нас                  13         Анги        8
Нэр               Сувдгэрэл                                 Хүйс                 эм         Бүлэг       а
Асуулт 1:

       Та нарт сургуулиас ямар нэгэн дарамт шахалт үзүүлдэг үү?

             a. Тийм             b. Үгүй             c.                     d.        Хариулт       d

Асуулт 2:


       Багш нар сурагчидтай зөв боловсон харъцаж байна уу?

             a. Тийм             b. Үгүй             c.                     d.        Хариулт       b

Асуулт 3:


       Сургуулийнн номын сан хичээл хийх тайван орчинг бүрдүүлж чаддаг уу?

             a. Тийм             b. Үгүй             c.                     d.        Хариулт       c

Асуулт 4:


       Багш нар хичээлийн хуваарийн дагуу хичээлээ үр дүнтэй зааж чаддаг уу?

             a. Тийм             b. Үгүй             c.                     d.        Хариулт       a

Асуулт 5:


       Та сургуулийн номын сангаас өөрт хэрэгтэй номоо авч хэрэглэдэг үү?


                                                                Хуудас 72
16
            a. Тааруухан      b. Дунд зэрэг    c. Сайн               d. Маш сайн   Хариулт   a

Асуулт 6:

       Тухайн хичээлийн цагийг үр бүтээлтэй өнгөрөөж чаддаг уу?

            a. Тийм           b. Үгүй          c.                    d.            Хариулт   a

Асуулт 7:

       Сурхад тань ямар нэгэн хүндрэлтэй асуудал байдаг уу?

            a. Тийм           b. Үгүй          c.                    d.            Хариулт   b

Асуулт 8:

       Нөхдийнхөө саналыг ангийн сурагчид бүгд сонсдог уу?

            a. Таалагдаагүй   b. Дунд зэрэг    c. Сайн               d. Маш сайн   Хариулт   c




                                                         Хуудас 73
16




Хуудас 74
16




Хуудас 75
17



                                                            Цахим судалгаа
   Санамж: Судалгааны хариултыг бөглөхдөө латин цагаан толгойн жижиг үсгээр бичнэ.

Овог              Ууганбаяр                                 Нас                  14         Анги        8
Нэр               Хонгорзул                                 Хүйс                 эм         Бүлэг       а
Асуулт 1:

       Та нарт сургуулиас ямар нэгэн дарамт шахалт үзүүлдэг үү?

             a. Тийм             b. Үгүй             c.                     d.        Хариулт       a

Асуулт 2:


       Багш нар сурагчидтай зөв боловсон харъцаж байна уу?

             a. Тийм             b. Үгүй             c.                     d.        Хариулт       b

Асуулт 3:


       Сургуулийнн номын сан хичээл хийх тайван орчинг бүрдүүлж чаддаг уу?

             a. Тийм             b. Үгүй             c.                     d.        Хариулт       d

Асуулт 4:


       Багш нар хичээлийн хуваарийн дагуу хичээлээ үр дүнтэй зааж чаддаг уу?

             a. Тийм             b. Үгүй             c.                     d.        Хариулт       a

Асуулт 5:


       Та сургуулийн номын сангаас өөрт хэрэгтэй номоо авч хэрэглэдэг үү?


                                                                Хуудас 76
17
            a. Тааруухан      b. Дунд зэрэг    c. Сайн               d. Маш сайн   Хариулт   a

Асуулт 6:

       Тухайн хичээлийн цагийг үр бүтээлтэй өнгөрөөж чаддаг уу?

            a. Тийм           b. Үгүй          c.                    d.            Хариулт   c

Асуулт 7:

       Сурхад тань ямар нэгэн хүндрэлтэй асуудал байдаг уу?

            a. Тийм           b. Үгүй          c.                    d.            Хариулт   b

Асуулт 8:

       Нөхдийнхөө саналыг ангийн сурагчид бүгд сонсдог уу?

            a. Таалагдаагүй   b. Дунд зэрэг    c. Сайн               d. Маш сайн   Хариулт   b




                                                         Хуудас 77
17




Хуудас 78
17




Хуудас 79
18



                                                            Цахим судалгаа
   Санамж: Судалгааны хариултыг бөглөхдөө латин цагаан толгойн жижиг үсгээр бичнэ.

Овог             Бат­Эрдэнэ                                 Нас                  14         Анги        8
Нэр              Отгонбаяр                                  Хүйс                 эр         Бүлэг       а
Асуулт 1:

       Та нарт сургуулиас ямар нэгэн дарамт шахалт үзүүлдэг үү?

             a. Тийм             b. Үгүй             c.                     d.        Хариулт       a

Асуулт 2:


       Багш нар сурагчидтай зөв боловсон харъцаж байна уу?

             a. Тийм             b. Үгүй             c.                     d.        Хариулт       a

Асуулт 3:


       Сургуулийнн номын сан хичээл хийх тайван орчинг бүрдүүлж чаддаг уу?

             a. Тийм             b. Үгүй             c.                     d.        Хариулт       a

Асуулт 4:


       Багш нар хичээлийн хуваарийн дагуу хичээлээ үр дүнтэй зааж чаддаг уу?

             a. Тийм             b. Үгүй             c.                     d.        Хариулт       b

Асуулт 5:


       Та сургуулийн номын сангаас өөрт хэрэгтэй номоо авч хэрэглэдэг үү?


                                                                Хуудас 80
18
            a. Тааруухан      b. Дунд зэрэг    c. Сайн               d. Маш сайн   Хариулт   c

Асуулт 6:

       Тухайн хичээлийн цагийг үр бүтээлтэй өнгөрөөж чаддаг уу?

            a. Тийм           b. Үгүй          c.                    d.            Хариулт   b

Асуулт 7:

       Сурхад тань ямар нэгэн хүндрэлтэй асуудал байдаг уу?

            a. Тийм           b. Үгүй          c.                    d.            Хариулт   b

Асуулт 8:

       Нөхдийнхөө саналыг ангийн сурагчид бүгд сонсдог уу?

            a. Таалагдаагүй   b. Дунд зэрэг    c. Сайн               d. Маш сайн   Хариулт   c




                                                         Хуудас 81
18




Хуудас 82
18




Хуудас 83
19



                                                            Цахим судалгаа
   Санамж: Судалгааны хариултыг бөглөхдөө латин цагаан толгойн жижиг үсгээр бичнэ.

Овог                Болд                                    Нас                  14         Анги        8
Нэр               Отгонтуяа                                 Хүйс                 эм         Бүлэг       а
Асуулт 1:

       Та нарт сургуулиас ямар нэгэн дарамт шахалт үзүүлдэг үү?

             a. Тийм             b. Үгүй             c.                     d.        Хариулт       a

Асуулт 2:


       Багш нар сурагчидтай зөв боловсон харъцаж байна уу?

             a. Тийм             b. Үгүй             c.                     d.        Хариулт       a

Асуулт 3:


       Сургуулийнн номын сан хичээл хийх тайван орчинг бүрдүүлж чаддаг уу?

             a. Тийм             b. Үгүй             c.                     d.        Хариулт       b

Асуулт 4:


       Багш нар хичээлийн хуваарийн дагуу хичээлээ үр дүнтэй зааж чаддаг уу?

             a. Тийм             b. Үгүй             c.                     d.        Хариулт       c

Асуулт 5:


       Та сургуулийн номын сангаас өөрт хэрэгтэй номоо авч хэрэглэдэг үү?


                                                                Хуудас 84
19
            a. Тааруухан      b. Дунд зэрэг    c. Сайн               d. Маш сайн   Хариулт   d

Асуулт 6:

       Тухайн хичээлийн цагийг үр бүтээлтэй өнгөрөөж чаддаг уу?

            a. Тийм           b. Үгүй          c.                    d.            Хариулт   a

Асуулт 7:

       Сурхад тань ямар нэгэн хүндрэлтэй асуудал байдаг уу?

            a. Тийм           b. Үгүй          c.                    d.            Хариулт   a

Асуулт 8:

       Нөхдийнхөө саналыг ангийн сурагчид бүгд сонсдог уу?

            a. Таалагдаагүй   b. Дунд зэрэг    c. Сайн               d. Маш сайн   Хариулт   a




                                                         Хуудас 85
19




Хуудас 86
19




Хуудас 87
20



                                                            Цахим судалгаа
   Санамж: Судалгааны хариултыг бөглөхдөө латин цагаан толгойн жижиг үсгээр бичнэ.

Овог              Хангал                                    Нас                  13         Анги        8
Нэр              Буянхишиг                                  Хүйс                 эр         Бүлэг       а
Асуулт 1:

       Та нарт сургуулиас ямар нэгэн дарамт шахалт үзүүлдэг үү?

             a. Тийм             b. Үгүй             c.                     d.        Хариулт       a

Асуулт 2:


       Багш нар сурагчидтай зөв боловсон харъцаж байна уу?

             a. Тийм             b. Үгүй             c.                     d.        Хариулт       b

Асуулт 3:


       Сургуулийнн номын сан хичээл хийх тайван орчинг бүрдүүлж чаддаг уу?

             a. Тийм             b. Үгүй             c.                     d.        Хариулт       b

Асуулт 4:


       Багш нар хичээлийн хуваарийн дагуу хичээлээ үр дүнтэй зааж чаддаг уу?

             a. Тийм             b. Үгүй             c.                     d.        Хариулт       a

Асуулт 5:


       Та сургуулийн номын сангаас өөрт хэрэгтэй номоо авч хэрэглэдэг үү?


                                                                Хуудас 88
20
            a. Тааруухан      b. Дунд зэрэг    c. Сайн               d. Маш сайн   Хариулт   a

Асуулт 6:

       Тухайн хичээлийн цагийг үр бүтээлтэй өнгөрөөж чаддаг уу?

            a. Тийм           b. Үгүй          c.                    d.            Хариулт   a

Асуулт 7:

       Сурхад тань ямар нэгэн хүндрэлтэй асуудал байдаг уу?

            a. Тийм           b. Үгүй          c.                    d.            Хариулт   a

Асуулт 8:

       Нөхдийнхөө саналыг ангийн сурагчид бүгд сонсдог уу?

            a. Таалагдаагүй   b. Дунд зэрэг    c. Сайн               d. Маш сайн   Хариулт   c




                                                         Хуудас 89
20




Хуудас 90
20




Хуудас 91

цахим судалгаа

  • 1.
    Анализ  Сурагчдын сэтгэл ханамжийн судалгаа БЗЦСургууль 1 2 3 4 5 6 7 8 Сургуулийнн  Багш нар  Тухайн  Та нарт  Багш нар  Та сургуулийн  Сурхад тань  Нөхдийнхөө  номын сан  хичээлийн  хичээлийн  сургуулиас  сурагчидтай  номын сангаас  ямар нэгэн  саналыг  хичээл хийх  хуваарийн  цагийг үр  ямар нэгэн  зөв боловсон  өөрт хэрэгтэй  хүндрэлтэй  ангийн  тайван орчинг  дагуу хичээлээ  бүтээлтэй  дарамт шахалт  харъцаж  номоо авч  асуудал  сурагчид бүгд  бүрдүүлж  үр дүнтэй зааж  өнгөрөөж  үзүүлдэг үү? байна уу? хэрэглэдэг үү? байдаг уу? сонсдог уу? Бүлэг Анги чаддаг уу? чаддаг уу? чаддаг уу? Хүйс Нас № Овог Нэр Таалагдаагүй Тааруухан Тийм Тийм Тийм Тийм   Тийм Тийм Сайн a.  Үгүй Үгүй Үгүй Үгүй Үгүй Үгүй d. d. d. d. d. d. c. c. c. c. c. c. Дунд Дунд b.  b.  b.  b.  b.  b.  Маш a.  a.  a.  a.  a.  a.  c.  сайн зэрэг  d.  a.  b.  b.  1 Алтаншагай Цолмон 8 а 13 эм 1 0 0 0 1 0 0 0 0 1 0 0 0 1 0 0 1 0 0 0 0 1 0 0 0 1 0 0 0 0 2 Ариунзаяа Алтанцэцэг 8 а 14 эм 0 1 0 0 1 0 0 0 1 0 0 0 1 0 0 0 0 1 0 0 0 0 1 0 1 0 0 0 0 0 3 Батцэнгэл Батзориг 8 а 14 эр 0 0 1 0 0 1 0 0 0 1 0 0 0 1 0 0 0 0 0 1 1 0 0 0 0 0 0 1 0 0 4 Болдсайхан Бямбадорж 8 а 14 эр 0 0 0 1 1 0 0 0 1 0 0 0 1 0 0 0 0 0 1 0 0 1 0 0 1 0 0 0 0 0 5 Бямбадорж Отгончимэг 8 а 14 эм 1 0 0 0 1 0 0 0 0 1 0 0 0 1 0 0 0 1 0 0 0 0 1 0 0 1 0 0 0 0 6 Гантулга Сүнжмаа 8 а 14 эм 0 1 0 0 1 0 0 0 1 0 0 0 1 0 0 0 0 0 1 0 1 0 0 0 1 0 0 0 0 0 7 Даваасүрэн Амарбат 8 а 14 эр 0 1 0 0 1 0 0 0 0 0 0 1 0 0 1 0 0 0 0 1 0 1 0 0 0 1 0 0 1 0 8 Далайжаргал Сумяасүрэн 8 а 14 эр 1 0 0 0 1 0 0 0 0 1 0 0 0 1 0 0 1 0 0 0 0 1 0 0 0 1 0 0 0 0 9 Ганцог Гүррагчаа 8 а 14 эр 0 1 0 0 1 0 0 0 1 0 0 0 0 0 0 1 0 1 0 0 0 1 0 0 0 1 0 0 0 0 10 Лхагвасүрэн Амартүвшин 8 а 14 эр 1 0 0 0 1 0 0 0 1 0 0 0 1 0 0 0 0 0 1 0 0 1 0 0 0 1 0 0 0 0 11 Түвшинжаргал Нандинцэцэг 8 а 14 эм 0 0 1 0 1 0 0 0 0 0 0 1 0 1 0 0 0 0 0 1 0 1 0 0 1 0 0 0 0 0 12 Төмөртогоо Норжмоо 8 а 14 эм 0 1 0 0 1 0 0 0 0 0 0 1 1 0 0 0 0 1 0 0 1 0 0 0 0 1 0 0 0 0 13 Отгонжаргал Ононтуул 8 а 14 эм 1 0 0 0 1 0 0 0 0 1 0 0 0 1 0 0 1 0 0 0 0 1 0 0 0 1 0 0 0 0 14 Өлзийжаргал Долгорсүрэн 8 а 14 эм 0 0 1 0 1 0 0 0 1 0 0 0 0 1 0 0 1 0 0 0 0 1 0 0 0 1 0 0 0 0 15 Тогтохбаяр Солонго 8 а 13 эм 1 0 0 0 1 0 0 0 0 1 0 0 1 0 0 0 0 1 0 0 1 0 0 0 0 1 0 0 0 0 16 Энхбаяр Сувдгэрэл 8 а 13 эм 0 0 0 1 0 1 0 0 0 0 1 0 1 0 0 0 1 0 0 0 1 0 0 0 0 1 0 0 0 0 17 Ууганбаяр Хонгорзул 8 а 14 эм 1 0 0 0 0 1 0 0 0 0 0 1 1 0 0 0 1 0 0 0 0 0 1 0 0 1 0 0 0 1 18 Бат­Эрдэнэ Отгонбаяр 8 а 14 эр 1 0 0 0 1 0 0 0 1 0 0 0 0 1 0 0 0 0 1 0 0 1 0 0 0 1 0 0 0 0 19 Болд Отгонтуяа 8 а 14 эм 1 0 0 0 1 0 0 0 0 1 0 0 0 0 1 0 0 0 0 1 1 0 0 0 1 0 0 0 1 0 20 Хангал Буянхишиг 8 0 13 эр 1 0 0 0 0 1 0 0 0 1 0 0 1 0 0 0 1 0 0 0 1 0 0 0 1 0 0 0 0 0 Нийт 10 5 3 2 16 4 0 0 7 8 1 4 9 8 2 1 7 5 4 4 7 10 3 0 6 13 0 1 2 1 Хуудас 1
  • 2.
    Анализ 8 дийнхөө  налыг  нгийн  чид бүгд  сдог уу? Сайн Маш c.  сайн d.    1 0 1 0 1 0 0 1 1 0 0 1 0 0 1 0 1 0 1 0 1 0 0 1 1 0 1 0 1 0 1 0 0 0 1 0 0 0 1 0 14 3 Хуудас 2
  • 3.
  • 4.
  • 5.
    График Судалгааны нэгтгэл Асуулт 1: Та нарт сургуулиас ямар нэгэн дарамт шахалт үзүүлдэг үү? Судалгаанд оролцсон нийт a. Тийм b. Үгүй c. d. 20 10 5 3 2 10 9 8 7 a. Тийм 6 b. Үгүй 5 c. d. 4 3 2 1 0 Асуулт 2: Багш нар сурагчидтай зөв боловсон харъцаж байна уу? Судалгаанд оролцсон нийт a. Тийм b. Үгүй c. d. 20 16 4 0 0 16 14 12 10 a. Тийм Хуудас 5 b. Үгүй 8 c. d.
  • 6.
    График 16 14 12 10 a. Тийм b. Үгүй 8 c. d. 6 4 2 0 Асуулт 3: Сургуулийнн номын сан хичээл хийх тайван орчинг бүрдүүлж чаддаг уу? Судалгаанд оролцсон нийт a. Тийм b. Үгүй c. d. 20 7 8 1 4 8 7 6 5 a. Тийм b. Үгүй 4 c. d. 3 2 1 0 Хуудас 6
  • 7.
    График Асуулт 4: Багш нар хичээлийн хуваарийн дагуу хичээлээ үр дүнтэй зааж чаддаг уу? Судалгаанд оролцсон нийт a. Тийм b. Үгүй c. d. 20 9 8 2 1 9 8 7 6 a. Тийм 5 b. Үгүй c. 4 d. 3 2 1 0 Асуулт 5: Та сургуулийн номын сангаас өөрт хэрэгтэй номоо авч хэрэглэдэг үү? Судалгаанд оролцсон нийт a. Тааруухан b. Дунд зэрэг c. Сайн d. Маш сайн 20 7 5 4 4 Хуудас 7
  • 8.
    График 7 6 5 a. Тааруухан b. Дунд 4 зэрэг c. Сайн 3 d. Маш сайн 2 1 0 Асуулт 6: Тухайн хичээлийн цагийг үр бүтээлтэй өнгөрөөж чаддаг уу? Судалгаанд оролцсон нийт a. Тийм b. Үгүй c. d. 0 7 10 3 0 Хуудас 8
  • 9.
    График 10 9 8 7 a. Тийм 6 b. Үгүй 5 c. d. 4 3 2 1 0 Асуулт 7: Сурхад тань ямар нэгэн хүндрэлтэй асуудал байдаг уу? Судалгаанд оролцсон нийт a. Тийм b. Үгүй c. d. 0 6 13 0 1 Хуудас 9
  • 10.
    График 14 12 10 a. Тийм 8 b. Үгүй c. 6 d. 4 2 0 Асуулт 8: Нөхдийнхөө саналыг ангийн сурагчид бүгд сонсдог уу? Судалгаанд оролцсон нийт a. Таалагдаагүй b. Дунд зэрэг c. Сайн d. Маш сайн 0 2 1 14 3 Хуудас 10
  • 11.
    График 14 12 a. 10 Таалагдааг үй 8 b. Дунд зэрэг 6 c. Сайн d. Маш сайн 4 2 0 Хуудас 11
  • 12.
    1 Цахим судалгаа Санамж: Судалгааны хариултыг бөглөхдөө латин цагаан толгойн жижиг үсгээр бичнэ. Овог Алтаншагай Нас 13 Анги 8 Нэр Цолмон Хүйс эм Бүлэг а Асуулт 1: Та нарт сургуулиас ямар нэгэн дарамт шахалт үзүүлдэг үү? a. Тийм b. Үгүй c. d. Хариулт a Асуулт 2: Багш нар сурагчидтай зөв боловсон харъцаж байна уу? a. Тийм b. Үгүй c. d. Хариулт a Асуулт 3: Сургуулийнн номын сан хичээл хийх тайван орчинг бүрдүүлж чаддаг уу? a. Тийм b. Үгүй c. d. Хариулт b Асуулт 4: Багш нар хичээлийн хуваарийн дагуу хичээлээ үр дүнтэй зааж чаддаг уу? a. Тийм b. Үгүй c. d. Хариулт b Асуулт 5: Та сургуулийн номын сангаас өөрт хэрэгтэй номоо авч хэрэглэдэг үү? Хуудас 12
  • 13.
    1 a. Тааруухан b. Дунд зэрэг c. Сайн d. Маш сайн Хариулт a Асуулт 6: Тухайн хичээлийн цагийг үр бүтээлтэй өнгөрөөж чаддаг уу? a. Тийм b. Үгүй c. d. Хариулт b Асуулт 7: Сурхад тань ямар нэгэн хүндрэлтэй асуудал байдаг уу? a. Тийм b. Үгүй c. d. Хариулт b Асуулт 8: Нөхдийнхөө саналыг ангийн сурагчид бүгд сонсдог уу? a. Таалагдаагүй b. Дунд зэрэг c. Сайн d. Маш сайн Хариулт c Хуудас 13
  • 14.
  • 15.
  • 16.
    2 Цахим судалгаа Санамж: Судалгааны хариултыг бөглөхдөө латин цагаан толгойн жижиг үсгээр бичнэ. Овог Ариунзаяа Нас 14 Анги 8 Нэр Алтанцэцэг Хүйс эм Бүлэг а Асуулт 1: Та нарт сургуулиас ямар нэгэн дарамт шахалт үзүүлдэг үү? a. Тийм b. Үгүй c. d. Хариулт b Асуулт 2: Багш нар сурагчидтай зөв боловсон харъцаж байна уу? a. Тийм b. Үгүй c. d. Хариулт a Асуулт 3: Сургуулийнн номын сан хичээл хийх тайван орчинг бүрдүүлж чаддаг уу? a. Тийм b. Үгүй c. d. Хариулт a Асуулт 4: Багш нар хичээлийн хуваарийн дагуу хичээлээ үр дүнтэй зааж чаддаг уу? a. Тийм b. Үгүй c. d. Хариулт d Асуулт 5: Та сургуулийн номын сангаас өөрт хэрэгтэй номоо авч хэрэглэдэг үү? Хуудас 16
  • 17.
    2 a. Тааруухан b. Дунд зэрэг c. Сайн d. Маш сайн Хариулт b Асуулт 6: Тухайн хичээлийн цагийг үр бүтээлтэй өнгөрөөж чаддаг уу? a. Тийм b. Үгүй c. d. Хариулт c Асуулт 7: Сурхад тань ямар нэгэн хүндрэлтэй асуудал байдаг уу? a. Тийм b. Үгүй c. d. Хариулт a Асуулт 8: Нөхдийнхөө саналыг ангийн сурагчид бүгд сонсдог уу? a. Таалагдаагүй b. Дунд зэрэг c. Сайн d. Маш сайн Хариулт c Хуудас 17
  • 18.
  • 19.
  • 20.
    3 Цахим судалгаа Санамж: Судалгааны хариултыг бөглөхдөө латин цагаан толгойн жижиг үсгээр бичнэ. Овог Батцэнгэл Нас 14 Анги 8 Нэр Батзориг Хүйс эр Бүлэг а Асуулт 1: Та нарт сургуулиас ямар нэгэн дарамт шахалт үзүүлдэг үү? a. Тийм b. Үгүй c. d. Хариулт c Асуулт 2: Багш нар сурагчидтай зөв боловсон харъцаж байна уу? a. Тийм b. Үгүй c. d. Хариулт b Асуулт 3: Сургуулийнн номын сан хичээл хийх тайван орчинг бүрдүүлж чаддаг уу? a. Тийм b. Үгүй c. d. Хариулт b Асуулт 4: Багш нар хичээлийн хуваарийн дагуу хичээлээ үр дүнтэй зааж чаддаг уу? a. Тийм b. Үгүй c. d. Хариулт b Асуулт 5: Та сургуулийн номын сангаас өөрт хэрэгтэй номоо авч хэрэглэдэг үү? Хуудас 20
  • 21.
    3 a. Тааруухан b. Дунд зэрэг c. Сайн d. Маш сайн Хариулт d Асуулт 6: Тухайн хичээлийн цагийг үр бүтээлтэй өнгөрөөж чаддаг уу? a. Тийм b. Үгүй c. d. Хариулт a Асуулт 7: Сурхад тань ямар нэгэн хүндрэлтэй асуудал байдаг уу? a. Тийм b. Үгүй c. d. Хариулт d Асуулт 8: Нөхдийнхөө саналыг ангийн сурагчид бүгд сонсдог уу? a. Таалагдаагүй b. Дунд зэрэг c. Сайн d. Маш сайн Хариулт c Хуудас 21
  • 22.
  • 23.
  • 24.
    4 Цахим судалгаа Санамж: Судалгааны хариултыг бөглөхдөө латин цагаан толгойн жижиг үсгээр бичнэ. Овог Болдсайхан Нас 14 Анги 8 Нэр Бямбадорж Хүйс эр Бүлэг а Асуулт 1: Та нарт сургуулиас ямар нэгэн дарамт шахалт үзүүлдэг үү? a. Тийм b. Үгүй c. d. Хариулт d Асуулт 2: Багш нар сурагчидтай зөв боловсон харъцаж байна уу? a. Тийм b. Үгүй c. d. Хариулт a Асуулт 3: Сургуулийнн номын сан хичээл хийх тайван орчинг бүрдүүлж чаддаг уу? a. Тийм b. Үгүй c. d. Хариулт a Асуулт 4: Багш нар хичээлийн хуваарийн дагуу хичээлээ үр дүнтэй зааж чаддаг уу? a. Тийм b. Үгүй c. d. Хариулт a Асуулт 5: Та сургуулийн номын сангаас өөрт хэрэгтэй номоо авч хэрэглэдэг үү? Хуудас 24
  • 25.
    4 a. Тааруухан b. Дунд зэрэг c. Сайн d. Маш сайн Хариулт c Асуулт 6: Тухайн хичээлийн цагийг үр бүтээлтэй өнгөрөөж чаддаг уу? a. Тийм b. Үгүй c. d. Хариулт b Асуулт 7: Сурхад тань ямар нэгэн хүндрэлтэй асуудал байдаг уу? a. Тийм b. Үгүй c. d. Хариулт a Асуулт 8: Нөхдийнхөө саналыг ангийн сурагчид бүгд сонсдог уу? a. Таалагдаагүй b. Дунд зэрэг c. Сайн d. Маш сайн Хариулт d Хуудас 25
  • 26.
  • 27.
  • 28.
    5 Цахим судалгаа Санамж: Судалгааны хариултыг бөглөхдөө латин цагаан толгойн жижиг үсгээр бичнэ. Овог Бямбадорж Нас 14 Анги 8 Нэр Отгончимэг Хүйс эм Бүлэг а Асуулт 1: Та нарт сургуулиас ямар нэгэн дарамт шахалт үзүүлдэг үү? a. Тийм b. Үгүй c. d. Хариулт a Асуулт 2: Багш нар сурагчидтай зөв боловсон харъцаж байна уу? a. Тийм b. Үгүй c. d. Хариулт a Асуулт 3: Сургуулийнн номын сан хичээл хийх тайван орчинг бүрдүүлж чаддаг уу? a. Тийм b. Үгүй c. d. Хариулт b Асуулт 4: Багш нар хичээлийн хуваарийн дагуу хичээлээ үр дүнтэй зааж чаддаг уу? a. Тийм b. Үгүй c. d. Хариулт b Асуулт 5: Та сургуулийн номын сангаас өөрт хэрэгтэй номоо авч хэрэглэдэг үү? Хуудас 28
  • 29.
    5 a. Тааруухан b. Дунд зэрэг c. Сайн d. Маш сайн Хариулт b Асуулт 6: Тухайн хичээлийн цагийг үр бүтээлтэй өнгөрөөж чаддаг уу? a. Тийм b. Үгүй c. d. Хариулт c Асуулт 7: Сурхад тань ямар нэгэн хүндрэлтэй асуудал байдаг уу? a. Тийм b. Үгүй c. d. Хариулт b Асуулт 8: Нөхдийнхөө саналыг ангийн сурагчид бүгд сонсдог уу? a. Таалагдаагүй b. Дунд зэрэг c. Сайн d. Маш сайн Хариулт c Хуудас 29
  • 30.
  • 31.
  • 32.
    6 Цахим судалгаа Санамж: Судалгааны хариултыг бөглөхдөө латин цагаан толгойн жижиг үсгээр бичнэ. Овог Гантулга Нас 14 Анги 8 Нэр Сүнжмаа Хүйс эм Бүлэг а Асуулт 1: Та нарт сургуулиас ямар нэгэн дарамт шахалт үзүүлдэг үү? a. Тийм b. Үгүй c. d. Хариулт b Асуулт 2: Багш нар сурагчидтай зөв боловсон харъцаж байна уу? a. Тийм b. Үгүй c. d. Хариулт a Асуулт 3: Сургуулийнн номын сан хичээл хийх тайван орчинг бүрдүүлж чаддаг уу? a. Тийм b. Үгүй c. d. Хариулт a Асуулт 4: Багш нар хичээлийн хуваарийн дагуу хичээлээ үр дүнтэй зааж чаддаг уу? a. Тийм b. Үгүй c. d. Хариулт a Асуулт 5: Та сургуулийн номын сангаас өөрт хэрэгтэй номоо авч хэрэглэдэг үү? Хуудас 32
  • 33.
    6 a. Тааруухан b. Дунд зэрэг c. Сайн d. Маш сайн Хариулт c Асуулт 6: Тухайн хичээлийн цагийг үр бүтээлтэй өнгөрөөж чаддаг уу? a. Тийм b. Үгүй c. d. Хариулт a Асуулт 7: Сурхад тань ямар нэгэн хүндрэлтэй асуудал байдаг уу? a. Тийм b. Үгүй c. d. Хариулт a Асуулт 8: Нөхдийнхөө саналыг ангийн сурагчид бүгд сонсдог уу? a. Таалагдаагүй b. Дунд зэрэг c. Сайн d. Маш сайн Хариулт d Хуудас 33
  • 34.
  • 35.
  • 36.
    7 Цахим судалгаа Санамж: Судалгааны хариултыг бөглөхдөө латин цагаан толгойн жижиг үсгээр бичнэ. Овог Даваасүрэн Нас 11 Анги 8 Нэр Амарбат Хүйс эр Бүлэг а Асуулт 1: Та нарт сургуулиас ямар нэгэн дарамт шахалт үзүүлдэг үү? a. Тийм b. Үгүй c. d. Хариулт b Асуулт 2: Багш нар сурагчидтай зөв боловсон харъцаж байна уу? a. Тийм b. Үгүй c. d. Хариулт a Асуулт 3: Сургуулийнн номын сан хичээл хийх тайван орчинг бүрдүүлж чаддаг уу? a. Тийм b. Үгүй c. d. Хариулт d Асуулт 4: Багш нар хичээлийн хуваарийн дагуу хичээлээ үр дүнтэй зааж чаддаг уу? a. Тийм b. Үгүй c. d. Хариулт c Асуулт 5: Та сургуулийн номын сангаас өөрт хэрэгтэй номоо авч хэрэглэдэг үү? Хуудас 36
  • 37.
    7 a. Тааруухан b. Дунд зэрэг c. Сайн d. Маш сайн Хариулт d Асуулт 6: Тухайн хичээлийн цагийг үр бүтээлтэй өнгөрөөж чаддаг уу? a. Тийм b. Үгүй c. d. Хариулт b Асуулт 7: Сурхад тань ямар нэгэн хүндрэлтэй асуудал байдаг уу? a. Тийм b. Үгүй c. d. Хариулт b Асуулт 8: Нөхдийнхөө саналыг ангийн сурагчид бүгд сонсдог уу? a. Таалагдаагүй b. Дунд зэрэг c. Сайн d. Маш сайн Хариулт a Хуудас 37
  • 38.
  • 39.
  • 40.
    8 Цахим судалгаа Санамж: Судалгааны хариултыг бөглөхдөө латин цагаан толгойн жижиг үсгээр бичнэ. Овог Далайжаргал Нас 14 Анги 8 Нэр Сумяасүрэн Хүйс эр Бүлэг а Асуулт 1: Та нарт сургуулиас ямар нэгэн дарамт шахалт үзүүлдэг үү? a. Тийм b. Үгүй c. d. Хариулт a Асуулт 2: Багш нар сурагчидтай зөв боловсон харъцаж байна уу? a. Тийм b. Үгүй c. d. Хариулт a Асуулт 3: Сургуулийнн номын сан хичээл хийх тайван орчинг бүрдүүлж чаддаг уу? a. Тийм b. Үгүй c. d. Хариулт b Асуулт 4: Багш нар хичээлийн хуваарийн дагуу хичээлээ үр дүнтэй зааж чаддаг уу? a. Тийм b. Үгүй c. d. Хариулт b Асуулт 5: Та сургуулийн номын сангаас өөрт хэрэгтэй номоо авч хэрэглэдэг үү? Хуудас 40
  • 41.
    8 a. Тааруухан b. Дунд зэрэг c. Сайн d. Маш сайн Хариулт a Асуулт 6: Тухайн хичээлийн цагийг үр бүтээлтэй өнгөрөөж чаддаг уу? a. Тийм b. Үгүй c. d. Хариулт b Асуулт 7: Сурхад тань ямар нэгэн хүндрэлтэй асуудал байдаг уу? a. Тийм b. Үгүй c. d. Хариулт b Асуулт 8: Нөхдийнхөө саналыг ангийн сурагчид бүгд сонсдог уу? a. Таалагдаагүй b. Дунд зэрэг c. Сайн d. Маш сайн Хариулт c Хуудас 41
  • 42.
  • 43.
  • 44.
    9 Цахим судалгаа Санамж: Судалгааны хариултыг бөглөхдөө латин цагаан толгойн жижиг үсгээр бичнэ. Овог Ганцог Нас 14 Анги 8 Нэр Гүррагчаа Хүйс эр Бүлэг а Асуулт 1: Та нарт сургуулиас ямар нэгэн дарамт шахалт үзүүлдэг үү? a. Тийм b. Үгүй c. d. Хариулт b Асуулт 2: Багш нар сурагчидтай зөв боловсон харъцаж байна уу? a. Тийм b. Үгүй c. d. Хариулт a Асуулт 3: Сургуулийнн номын сан хичээл хийх тайван орчинг бүрдүүлж чаддаг уу? a. Тийм b. Үгүй c. d. Хариулт a Асуулт 4: Багш нар хичээлийн хуваарийн дагуу хичээлээ үр дүнтэй зааж чаддаг уу? a. Тийм b. Үгүй c. d. Хариулт d Асуулт 5: Та сургуулийн номын сангаас өөрт хэрэгтэй номоо авч хэрэглэдэг үү? Хуудас 44
  • 45.
    9 a. Тааруухан b. Дунд зэрэг c. Сайн d. Маш сайн Хариулт b Асуулт 6: Тухайн хичээлийн цагийг үр бүтээлтэй өнгөрөөж чаддаг уу? a. Тийм b. Үгүй c. d. Хариулт b Асуулт 7: Сурхад тань ямар нэгэн хүндрэлтэй асуудал байдаг уу? a. Тийм b. Үгүй c. d. Хариулт b Асуулт 8: Нөхдийнхөө саналыг ангийн сурагчид бүгд сонсдог уу? a. Таалагдаагүй b. Дунд зэрэг c. Сайн d. Маш сайн Хариулт c Хуудас 45
  • 46.
  • 47.
  • 48.
    10 Цахим судалгаа Санамж: Судалгааны хариултыг бөглөхдөө латин цагаан толгойн жижиг үсгээр бичнэ. Овог Лхагвасүрэн Нас 14 Анги 8 Нэр Амартүвшин Хүйс эр Бүлэг а Асуулт 1: Та нарт сургуулиас ямар нэгэн дарамт шахалт үзүүлдэг үү? a. Тийм b. Үгүй c. d. Хариулт a Асуулт 2: Багш нар сурагчидтай зөв боловсон харъцаж байна уу? a. Тийм b. Үгүй c. d. Хариулт a Асуулт 3: Сургуулийнн номын сан хичээл хийх тайван орчинг бүрдүүлж чаддаг уу? a. Тийм b. Үгүй c. d. Хариулт a Асуулт 4: Багш нар хичээлийн хуваарийн дагуу хичээлээ үр дүнтэй зааж чаддаг уу? a. Тийм b. Үгүй c. d. Хариулт a Асуулт 5: Та сургуулийн номын сангаас өөрт хэрэгтэй номоо авч хэрэглэдэг үү? Хуудас 48
  • 49.
    10 a. Тааруухан b. Дунд зэрэг c. Сайн d. Маш сайн Хариулт c Асуулт 6: Тухайн хичээлийн цагийг үр бүтээлтэй өнгөрөөж чаддаг уу? a. Тийм b. Үгүй c. d. Хариулт b Асуулт 7: Сурхад тань ямар нэгэн хүндрэлтэй асуудал байдаг уу? a. Тийм b. Үгүй c. d. Хариулт b Асуулт 8: Нөхдийнхөө саналыг ангийн сурагчид бүгд сонсдог уу? a. Таалагдаагүй b. Дунд зэрэг c. Сайн d. Маш сайн Хариулт c Хуудас 49
  • 50.
  • 51.
  • 52.
    11 Цахим судалгаа Санамж: Судалгааны хариултыг бөглөхдөө латин цагаан толгойн жижиг үсгээр бичнэ. Овог Түвшинжаргал Нас 14 Анги 8 Нэр Нандинцэцэг Хүйс эм Бүлэг а Асуулт 1: Та нарт сургуулиас ямар нэгэн дарамт шахалт үзүүлдэг үү? a. Тийм b. Үгүй c. d. Хариулт c Асуулт 2: Багш нар сурагчидтай зөв боловсон харъцаж байна уу? a. Тийм b. Үгүй c. d. Хариулт a Асуулт 3: Сургуулийнн номын сан хичээл хийх тайван орчинг бүрдүүлж чаддаг уу? a. Тийм b. Үгүй c. d. Хариулт d Асуулт 4: Багш нар хичээлийн хуваарийн дагуу хичээлээ үр дүнтэй зааж чаддаг уу? a. Тийм b. Үгүй c. d. Хариулт b Асуулт 5: Та сургуулийн номын сангаас өөрт хэрэгтэй номоо авч хэрэглэдэг үү? Хуудас 52
  • 53.
    11 a. Тааруухан b. Дунд зэрэг c. Сайн d. Маш сайн Хариулт d Асуулт 6: Тухайн хичээлийн цагийг үр бүтээлтэй өнгөрөөж чаддаг уу? a. Тийм b. Үгүй c. d. Хариулт b Асуулт 7: Сурхад тань ямар нэгэн хүндрэлтэй асуудал байдаг уу? a. Тийм b. Үгүй c. d. Хариулт a Асуулт 8: Нөхдийнхөө саналыг ангийн сурагчид бүгд сонсдог уу? a. Таалагдаагүй b. Дунд зэрэг c. Сайн d. Маш сайн Хариулт c Хуудас 53
  • 54.
  • 55.
  • 56.
    12 Цахим судалгаа Санамж: Судалгааны хариултыг бөглөхдөө латин цагаан толгойн жижиг үсгээр бичнэ. Овог Төмөртогоо Нас 14 Анги 8 Нэр Норжмоо Хүйс эм Бүлэг а Асуулт 1: Та нарт сургуулиас ямар нэгэн дарамт шахалт үзүүлдэг үү? a. Тийм b. Үгүй c. d. Хариулт b Асуулт 2: Багш нар сурагчидтай зөв боловсон харъцаж байна уу? a. Тийм b. Үгүй c. d. Хариулт a Асуулт 3: Сургуулийнн номын сан хичээл хийх тайван орчинг бүрдүүлж чаддаг уу? a. Тийм b. Үгүй c. d. Хариулт d Асуулт 4: Багш нар хичээлийн хуваарийн дагуу хичээлээ үр дүнтэй зааж чаддаг уу? a. Тийм b. Үгүй c. d. Хариулт a Асуулт 5: Та сургуулийн номын сангаас өөрт хэрэгтэй номоо авч хэрэглэдэг үү? Хуудас 56
  • 57.
    12 a. Тааруухан b. Дунд зэрэг c. Сайн d. Маш сайн Хариулт b Асуулт 6: Тухайн хичээлийн цагийг үр бүтээлтэй өнгөрөөж чаддаг уу? a. Тийм b. Үгүй c. d. Хариулт a Асуулт 7: Сурхад тань ямар нэгэн хүндрэлтэй асуудал байдаг уу? a. Тийм b. Үгүй c. d. Хариулт b Асуулт 8: Нөхдийнхөө саналыг ангийн сурагчид бүгд сонсдог уу? a. Таалагдаагүй b. Дунд зэрэг c. Сайн d. Маш сайн Хариулт d Хуудас 57
  • 58.
  • 59.
  • 60.
    13 Цахим судалгаа Санамж: Судалгааны хариултыг бөглөхдөө латин цагаан толгойн жижиг үсгээр бичнэ. Овог Отгонжаргал Нас 14 Анги 8 Нэр Ононтуул Хүйс эм Бүлэг а Асуулт 1: Та нарт сургуулиас ямар нэгэн дарамт шахалт үзүүлдэг үү? a. Тийм b. Үгүй c. d. Хариулт a Асуулт 2: Багш нар сурагчидтай зөв боловсон харъцаж байна уу? a. Тийм b. Үгүй c. d. Хариулт a Асуулт 3: Сургуулийнн номын сан хичээл хийх тайван орчинг бүрдүүлж чаддаг уу? a. Тийм b. Үгүй c. d. Хариулт b Асуулт 4: Багш нар хичээлийн хуваарийн дагуу хичээлээ үр дүнтэй зааж чаддаг уу? a. Тийм b. Үгүй c. d. Хариулт b Асуулт 5: Та сургуулийн номын сангаас өөрт хэрэгтэй номоо авч хэрэглэдэг үү? Хуудас 60
  • 61.
    13 a. Тааруухан b. Дунд зэрэг c. Сайн d. Маш сайн Хариулт a Асуулт 6: Тухайн хичээлийн цагийг үр бүтээлтэй өнгөрөөж чаддаг уу? a. Тийм b. Үгүй c. d. Хариулт b Асуулт 7: Сурхад тань ямар нэгэн хүндрэлтэй асуудал байдаг уу? a. Тийм b. Үгүй c. d. Хариулт b Асуулт 8: Нөхдийнхөө саналыг ангийн сурагчид бүгд сонсдог уу? a. Таалагдаагүй b. Дунд зэрэг c. Сайн d. Маш сайн Хариулт c Хуудас 61
  • 62.
  • 63.
  • 64.
    14 Цахим судалгаа Санамж: Судалгааны хариултыг бөглөхдөө латин цагаан толгойн жижиг үсгээр бичнэ. Овог Өлзийжаргал Нас 14 Анги 8 Нэр Долгорсүрэн Хүйс эм Бүлэг а Асуулт 1: Та нарт сургуулиас ямар нэгэн дарамт шахалт үзүүлдэг үү? a. Тийм b. Үгүй c. d. Хариулт c Асуулт 2: Багш нар сурагчидтай зөв боловсон харъцаж байна уу? a. Тийм b. Үгүй c. d. Хариулт a Асуулт 3: Сургуулийнн номын сан хичээл хийх тайван орчинг бүрдүүлж чаддаг уу? a. Тийм b. Үгүй c. d. Хариулт a Асуулт 4: Багш нар хичээлийн хуваарийн дагуу хичээлээ үр дүнтэй зааж чаддаг уу? a. Тийм b. Үгүй c. d. Хариулт b Асуулт 5: Та сургуулийн номын сангаас өөрт хэрэгтэй номоо авч хэрэглэдэг үү? Хуудас 64
  • 65.
    14 a. Тааруухан b. Дунд зэрэг c. Сайн d. Маш сайн Хариулт a Асуулт 6: Тухайн хичээлийн цагийг үр бүтээлтэй өнгөрөөж чаддаг уу? a. Тийм b. Үгүй c. d. Хариулт b Асуулт 7: Сурхад тань ямар нэгэн хүндрэлтэй асуудал байдаг уу? a. Тийм b. Үгүй c. d. Хариулт b Асуулт 8: Нөхдийнхөө саналыг ангийн сурагчид бүгд сонсдог уу? a. Таалагдаагүй b. Дунд зэрэг c. Сайн d. Маш сайн Хариулт c Хуудас 65
  • 66.
  • 67.
  • 68.
    15 Цахим судалгаа Санамж: Судалгааны хариултыг бөглөхдөө латин цагаан толгойн жижиг үсгээр бичнэ. Овог Тогтохбаяр Нас 13 Анги 8 Нэр Солонго Хүйс эм Бүлэг а Асуулт 1: Та нарт сургуулиас ямар нэгэн дарамт шахалт үзүүлдэг үү? a. Тийм b. Үгүй c. d. Хариулт a Асуулт 2: Багш нар сурагчидтай зөв боловсон харъцаж байна уу? a. Тийм b. Үгүй c. d. Хариулт a Асуулт 3: Сургуулийнн номын сан хичээл хийх тайван орчинг бүрдүүлж чаддаг уу? a. Тийм b. Үгүй c. d. Хариулт b Асуулт 4: Багш нар хичээлийн хуваарийн дагуу хичээлээ үр дүнтэй зааж чаддаг уу? a. Тийм b. Үгүй c. d. Хариулт a Асуулт 5: Та сургуулийн номын сангаас өөрт хэрэгтэй номоо авч хэрэглэдэг үү? Хуудас 68
  • 69.
    15 a. Тааруухан b. Дунд зэрэг c. Сайн d. Маш сайн Хариулт b Асуулт 6: Тухайн хичээлийн цагийг үр бүтээлтэй өнгөрөөж чаддаг уу? a. Тийм b. Үгүй c. d. Хариулт a Асуулт 7: Сурхад тань ямар нэгэн хүндрэлтэй асуудал байдаг уу? a. Тийм b. Үгүй c. d. Хариулт b Асуулт 8: Нөхдийнхөө саналыг ангийн сурагчид бүгд сонсдог уу? a. Таалагдаагүй b. Дунд зэрэг c. Сайн d. Маш сайн Хариулт c Хуудас 69
  • 70.
  • 71.
  • 72.
    16 Цахим судалгаа Санамж: Судалгааны хариултыг бөглөхдөө латин цагаан толгойн жижиг үсгээр бичнэ. Овог Энхбаяр Нас 13 Анги 8 Нэр Сувдгэрэл Хүйс эм Бүлэг а Асуулт 1: Та нарт сургуулиас ямар нэгэн дарамт шахалт үзүүлдэг үү? a. Тийм b. Үгүй c. d. Хариулт d Асуулт 2: Багш нар сурагчидтай зөв боловсон харъцаж байна уу? a. Тийм b. Үгүй c. d. Хариулт b Асуулт 3: Сургуулийнн номын сан хичээл хийх тайван орчинг бүрдүүлж чаддаг уу? a. Тийм b. Үгүй c. d. Хариулт c Асуулт 4: Багш нар хичээлийн хуваарийн дагуу хичээлээ үр дүнтэй зааж чаддаг уу? a. Тийм b. Үгүй c. d. Хариулт a Асуулт 5: Та сургуулийн номын сангаас өөрт хэрэгтэй номоо авч хэрэглэдэг үү? Хуудас 72
  • 73.
    16 a. Тааруухан b. Дунд зэрэг c. Сайн d. Маш сайн Хариулт a Асуулт 6: Тухайн хичээлийн цагийг үр бүтээлтэй өнгөрөөж чаддаг уу? a. Тийм b. Үгүй c. d. Хариулт a Асуулт 7: Сурхад тань ямар нэгэн хүндрэлтэй асуудал байдаг уу? a. Тийм b. Үгүй c. d. Хариулт b Асуулт 8: Нөхдийнхөө саналыг ангийн сурагчид бүгд сонсдог уу? a. Таалагдаагүй b. Дунд зэрэг c. Сайн d. Маш сайн Хариулт c Хуудас 73
  • 74.
  • 75.
  • 76.
    17 Цахим судалгаа Санамж: Судалгааны хариултыг бөглөхдөө латин цагаан толгойн жижиг үсгээр бичнэ. Овог Ууганбаяр Нас 14 Анги 8 Нэр Хонгорзул Хүйс эм Бүлэг а Асуулт 1: Та нарт сургуулиас ямар нэгэн дарамт шахалт үзүүлдэг үү? a. Тийм b. Үгүй c. d. Хариулт a Асуулт 2: Багш нар сурагчидтай зөв боловсон харъцаж байна уу? a. Тийм b. Үгүй c. d. Хариулт b Асуулт 3: Сургуулийнн номын сан хичээл хийх тайван орчинг бүрдүүлж чаддаг уу? a. Тийм b. Үгүй c. d. Хариулт d Асуулт 4: Багш нар хичээлийн хуваарийн дагуу хичээлээ үр дүнтэй зааж чаддаг уу? a. Тийм b. Үгүй c. d. Хариулт a Асуулт 5: Та сургуулийн номын сангаас өөрт хэрэгтэй номоо авч хэрэглэдэг үү? Хуудас 76
  • 77.
    17 a. Тааруухан b. Дунд зэрэг c. Сайн d. Маш сайн Хариулт a Асуулт 6: Тухайн хичээлийн цагийг үр бүтээлтэй өнгөрөөж чаддаг уу? a. Тийм b. Үгүй c. d. Хариулт c Асуулт 7: Сурхад тань ямар нэгэн хүндрэлтэй асуудал байдаг уу? a. Тийм b. Үгүй c. d. Хариулт b Асуулт 8: Нөхдийнхөө саналыг ангийн сурагчид бүгд сонсдог уу? a. Таалагдаагүй b. Дунд зэрэг c. Сайн d. Маш сайн Хариулт b Хуудас 77
  • 78.
  • 79.
  • 80.
    18 Цахим судалгаа Санамж: Судалгааны хариултыг бөглөхдөө латин цагаан толгойн жижиг үсгээр бичнэ. Овог Бат­Эрдэнэ Нас 14 Анги 8 Нэр Отгонбаяр Хүйс эр Бүлэг а Асуулт 1: Та нарт сургуулиас ямар нэгэн дарамт шахалт үзүүлдэг үү? a. Тийм b. Үгүй c. d. Хариулт a Асуулт 2: Багш нар сурагчидтай зөв боловсон харъцаж байна уу? a. Тийм b. Үгүй c. d. Хариулт a Асуулт 3: Сургуулийнн номын сан хичээл хийх тайван орчинг бүрдүүлж чаддаг уу? a. Тийм b. Үгүй c. d. Хариулт a Асуулт 4: Багш нар хичээлийн хуваарийн дагуу хичээлээ үр дүнтэй зааж чаддаг уу? a. Тийм b. Үгүй c. d. Хариулт b Асуулт 5: Та сургуулийн номын сангаас өөрт хэрэгтэй номоо авч хэрэглэдэг үү? Хуудас 80
  • 81.
    18 a. Тааруухан b. Дунд зэрэг c. Сайн d. Маш сайн Хариулт c Асуулт 6: Тухайн хичээлийн цагийг үр бүтээлтэй өнгөрөөж чаддаг уу? a. Тийм b. Үгүй c. d. Хариулт b Асуулт 7: Сурхад тань ямар нэгэн хүндрэлтэй асуудал байдаг уу? a. Тийм b. Үгүй c. d. Хариулт b Асуулт 8: Нөхдийнхөө саналыг ангийн сурагчид бүгд сонсдог уу? a. Таалагдаагүй b. Дунд зэрэг c. Сайн d. Маш сайн Хариулт c Хуудас 81
  • 82.
  • 83.
  • 84.
    19 Цахим судалгаа Санамж: Судалгааны хариултыг бөглөхдөө латин цагаан толгойн жижиг үсгээр бичнэ. Овог Болд Нас 14 Анги 8 Нэр Отгонтуяа Хүйс эм Бүлэг а Асуулт 1: Та нарт сургуулиас ямар нэгэн дарамт шахалт үзүүлдэг үү? a. Тийм b. Үгүй c. d. Хариулт a Асуулт 2: Багш нар сурагчидтай зөв боловсон харъцаж байна уу? a. Тийм b. Үгүй c. d. Хариулт a Асуулт 3: Сургуулийнн номын сан хичээл хийх тайван орчинг бүрдүүлж чаддаг уу? a. Тийм b. Үгүй c. d. Хариулт b Асуулт 4: Багш нар хичээлийн хуваарийн дагуу хичээлээ үр дүнтэй зааж чаддаг уу? a. Тийм b. Үгүй c. d. Хариулт c Асуулт 5: Та сургуулийн номын сангаас өөрт хэрэгтэй номоо авч хэрэглэдэг үү? Хуудас 84
  • 85.
    19 a. Тааруухан b. Дунд зэрэг c. Сайн d. Маш сайн Хариулт d Асуулт 6: Тухайн хичээлийн цагийг үр бүтээлтэй өнгөрөөж чаддаг уу? a. Тийм b. Үгүй c. d. Хариулт a Асуулт 7: Сурхад тань ямар нэгэн хүндрэлтэй асуудал байдаг уу? a. Тийм b. Үгүй c. d. Хариулт a Асуулт 8: Нөхдийнхөө саналыг ангийн сурагчид бүгд сонсдог уу? a. Таалагдаагүй b. Дунд зэрэг c. Сайн d. Маш сайн Хариулт a Хуудас 85
  • 86.
  • 87.
  • 88.
    20 Цахим судалгаа Санамж: Судалгааны хариултыг бөглөхдөө латин цагаан толгойн жижиг үсгээр бичнэ. Овог Хангал Нас 13 Анги 8 Нэр Буянхишиг Хүйс эр Бүлэг а Асуулт 1: Та нарт сургуулиас ямар нэгэн дарамт шахалт үзүүлдэг үү? a. Тийм b. Үгүй c. d. Хариулт a Асуулт 2: Багш нар сурагчидтай зөв боловсон харъцаж байна уу? a. Тийм b. Үгүй c. d. Хариулт b Асуулт 3: Сургуулийнн номын сан хичээл хийх тайван орчинг бүрдүүлж чаддаг уу? a. Тийм b. Үгүй c. d. Хариулт b Асуулт 4: Багш нар хичээлийн хуваарийн дагуу хичээлээ үр дүнтэй зааж чаддаг уу? a. Тийм b. Үгүй c. d. Хариулт a Асуулт 5: Та сургуулийн номын сангаас өөрт хэрэгтэй номоо авч хэрэглэдэг үү? Хуудас 88
  • 89.
    20 a. Тааруухан b. Дунд зэрэг c. Сайн d. Маш сайн Хариулт a Асуулт 6: Тухайн хичээлийн цагийг үр бүтээлтэй өнгөрөөж чаддаг уу? a. Тийм b. Үгүй c. d. Хариулт a Асуулт 7: Сурхад тань ямар нэгэн хүндрэлтэй асуудал байдаг уу? a. Тийм b. Үгүй c. d. Хариулт a Асуулт 8: Нөхдийнхөө саналыг ангийн сурагчид бүгд сонсдог уу? a. Таалагдаагүй b. Дунд зэрэг c. Сайн d. Маш сайн Хариулт c Хуудас 89
  • 90.
  • 91.