Анализ


                                                                        Сурагчдын хичээлийн судалгаа судалгаа
БЗЦСургууль
                                                                                 1                           2                                  3                                4                                           5                                       6                             7                                   8
                                                                                             Сургуулийнн                                                                                                                                                    Тухайн
                                                                                                              Хичээлээс                                                                            Та сургуулийн                                                                    Сурахад ямар
                                                              Та нарйин хийх Монгол хэлний    номын сан                                                                                                                                                   хичээлийн                                Нөхдийнхөө
                                                                                                           гадуур зохиолын                                                                         номын сангаас                                                                    нэгэн хүндрэл
                                                              дуртай хичээл    хичээлд       хичээл хийх                                                                                                                                                   цагийг үр                                 саналыг
                                                                                                              ном унших                                                                             өөрт хэрэгтэй                                                                     бэрхшээл
                                                              Англи хэл мөн сонирхолтой     тайван орчинг                                                                                                                                                 бүтээлтэй                               сонсож чаддаг
                                                                                                             сонирхолтой                                                                             номоо авч                                                                      тулгарч байна
                                                                    үү           юу?       бүрдүүлж чаддаг                                                                                                                                                 өнгөрөөж                                    уу?
                                                                                                                 юу?                                                                               хэрэглэдэг үү?                                                                        уу?




                                        Бүлэг
                                                                                                 уу?                                                                                                                                                      чаддаг уу?




                                                      Хүйс
                                 Анги


                                                Нас
№      Овог           Нэр




                                                                                                                                                                                                                                                                                                            Таалагдаагүй
                                                                                                                                                                                                             b. Дунд зэрэг




                                                                                                                                                                                                                                                                                                                           b. Дунд зэрэг
                                                                                                                                                                                              a. Тааруухан




                                                                                                                                                                                                                                       d. Маш сайн
                                                             a. Тийм




                                                                                             a. Тийм




                                                                                                                            a. Тийм




                                                                                                                                                             a. Тийм




                                                                                                                                                                                                                                                     a. Тийм




                                                                                                                                                                                                                                                                                   a. Тийм
                                                                                                                                                                                                                             c. Сайн
                                                                       b. Үгүй




                                                                                                       b. Үгүй




                                                                                                                                      b. Үгүй




                                                                                                                                                                       b. Үгүй




                                                                                                                                                                                                                                                               b. Үгүй




                                                                                                                                                                                                                                                                                             b. Үгүй
                                                                                                                      d.




                                                                                                                                                        d.




                                                                                                                                                                                         d.




                                                                                                                                                                                                                                                                              d.




                                                                                                                                                                                                                                                                                                                 d.
                                                                                                                                                                                                                                                                                                                 a.
                                                                                                                 c.




                                                                                                                                                c.




                                                                                                                                                                                 c.




                                                                                                                                                                                                                                                                         c.




                                                                                                                                                                                                                                                                                                       c.
                                                                                     0
                                                                                         0
 1 Отгонбаатар    Тэмүүжин        5      г       10   эр        0           1        0   0 0               1      0     0         1         0       0    0        0         0        0    0             0               0          1            0        1         0      0    0       0 1              0      0     0             0
 2 Нармандах      Хурбаяр         5      г       11   эр        0           1        0   0 1               0      0     0         1         0       0    0        1         0        0    0             0               1          0            0        0         0      1    0       1 0              0      0     0             0
 3 Төмөрбаатар    Мөнхбаатар      5      г       13   эр        0           0        1   0 0               1      0     0         0         1       0    0        0         0        0    0             0               0          0            1        1         0      0    0       0 0              0      1     0             0
 4 Энхбаатар      Энхжин          5      г       12   эм        0           1        0   0 0               1      1     0         0         1       0    0        1         0        0    0             1               0          0            0        1         0      0    0       0 1              0      0     0             0
 5 Энхбаатар      Энхжин          5      0       11   эм        1           0        0   0 1               0      0     0         0         1       0    0        0         0        0    0             0               1          0            0        0         0      1    0       0 1              0      0     0             0
 6 Энхбаяр        Боргилсайхан    5      0       11   эр        1           0        0   0 0               1      1     0         0         0       1    0        0         1        0    0             0               0          1            0        0         0      0    1       0 0              0      1     0             0
 7 Наранцацрал    Батхаан         5      0       11   эр        0           1        0   0 1               0      0     0         0         0       0    1        0         0        0    0             0               0          0            1        0         1      0    0       0 1              0      0     1             0
 8 Алтангэрэл     Буянтогтох      5      0       12   эр        1           0        0   0 1               0      0     0         0         1       0    0        0         0        0    0             1               0          0            0        0         1      0    0       0 1              0      0     0             0
 9 Насантогтох    Санчирмаа       5      0       11   эм        0           1        0   0 1               0      0     0         1         0       0    0        0         0        0    0             0               1          0            0        0         1      0    0       0 1              0      0     0             0
10 Энхбаатар      Мөнхжин         5      0       11   эм        1           0        0   0 1               0      0     0         1         0       0    0        1         0        0    0             0               0          1            0        0         1      0    0       0 1              0      0     0             0
11 Түвшинбаяр     Биндэрьяа       5      0       11   эм        1           0        0   0 1               0      0     0         1         0       0    0        1         0        0    0             0               0          1            0        1         0      0    0       1 0              0      0     0             0
12 Сүхбат         Бат-Ирээдүй     5      0       11   эр        0           0        0   0 1               0      0     0         0         0       0    1        1         0        0    0             0               1          0            0        1         0      0    0       0 1              0      0     0             0
13 Эрдэнэбаатар   Мөнхцэцэг       5      0       11   эм        1           0        0   0 1               0      0     0         0         1       0    0        0         0        0    0             1               0          0            0        0         1      0    0       0 1              0      0     0             0
14 Сэргэлэн       Баттуяа         5      0       12   эм        0           0        0   0 1               0      0     0         1         0       0    0        0         0        0    0             1               0          0            0        0         1      0    0       0 1              0      0     0             0
15 Одбаяр         Дулмаа          5      0       11   эм        1           0        0   0 1               0      0     0         0         1       0    0        1         0        0    0             0               1          0            0        1         0      0    0       0 1              0      0     0             0
16 Болд           Сандагдорж      5      0       11   эр        0           0        0   1 0               1      0     0         0         0       1    0        1         0        0    0             1               0          0            0        1         0      0    0       0 1              0      0     0             0
17 Ганзориг       Номин           5      0       12   эм        1           0        0   0 0               1      0     0         0         0       0    1        1         0        0    0             1               0          0            0        0         0      1    0       0 1              0      0     0             1
18 Насан-Очир     Урангоо         5      0       11   эм        1           0        0   0 1               0      0     0         1         0       0    0        0         0        0    0             0               0          1            0        0         1      0    0       0 1              0      0     0             0
19 Оюунцэцэг      Шижирбаатар     5      0       12   эр        1           0        0   0 1               0      0     0         0         1       0    0        0         0        0    0             0               0          0            1        1         0      0    0       1 0              0      0     1             0
20 Ууганбаяр      Хүслэн          5      0       12   эм        1           0        0   0 0               1      0     0         0         1       0    0        1         0        0    0             1               0          0            0        1         0      0    0       1 0              0      0     0             0
    Нийт                    20                                 11           5        1   1 13              7      2     0         7         8       2    3        9         1        0    0             7               5          5            3        9         7      3    1       4 14             0      2     2             1

                                                                                                                      Хуудас 1
Анализ




 8

дийнхөө
 налыг
ож чаддаг
 уу?
            d. Маш сайн
  c. Сайн




      0            1
      1            0
      1            0
      0            1
      1            0
      1            0
      0            0
      1            0
      1            0
      1            0
      0            1
      0            1
      1            0
      1            0
      1            0
      1            0
      0            0
      1            0
      0            0
      1            0
     13            4

                          Хуудас 2
Анализ




Хуудас 3
Анализ




Хуудас 4
График


                                                   Судалгааны нэгтгэл
Асуулт 1:
                                         Та нарйин хийх дуртай хичээл Англи хэл мөн үү
    Судалгаанд оролцсон нийт                a. Тийм              b. Үгүй                      0        0
               20                              11                   5                         1        1



                                    12


                                    10


                                     8                                a. Тийм
                                                                      b. Үгүй
                                                                      0
                                     6
                                                                      0

                                     4


                                     2


                                     0




Асуулт 2:
                                            Монгол хэлний хичээлд сонирхолтой юу?
    Судалгаанд оролцсон нийт               a. Тийм              b. Үгүй                  c.       d.
               20                             13                   7                     2        0



                               14

                               12

                               10
                                                                 a. Тийм
                                                                 b. Үгүй
                                                                Хуудас 5
                                8
                                                                 c.
                                                                 d.
                                6
График


                              14

                              12

                              10
                                                             a. Тийм
                                                             b. Үгүй
                               8
                                                             c.
                                                             d.
                               6

                               4

                               2

                               0


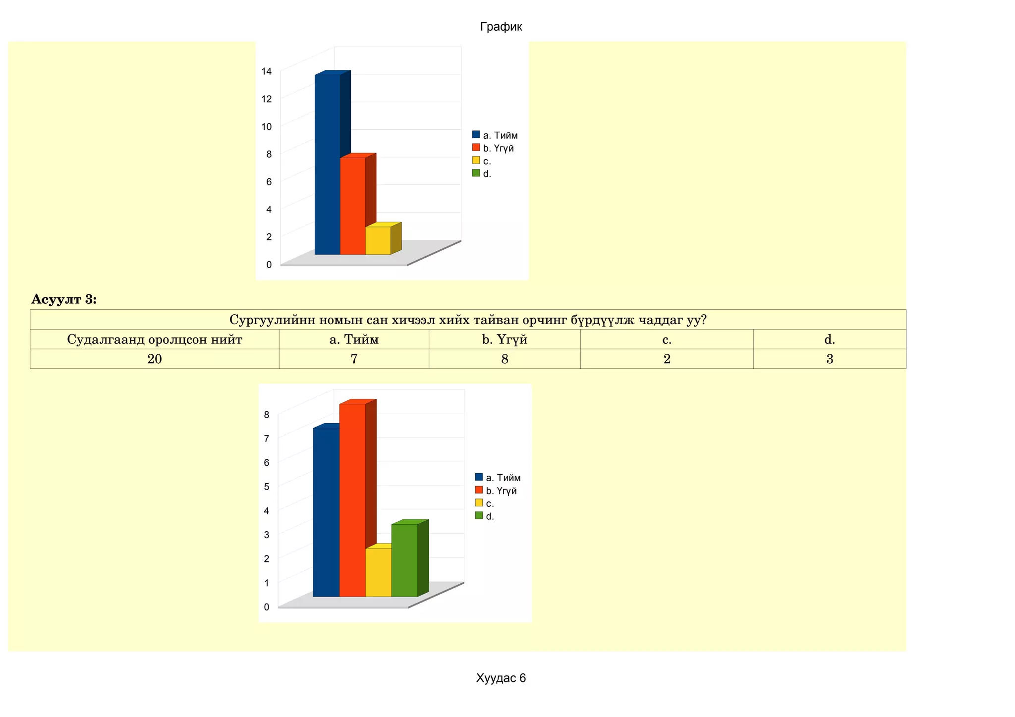
Асуулт 3:
                          Сургуулийнн номын сан хичээл хийх тайван орчинг бүрдүүлж чаддаг уу?
    Судалгаанд оролцсон нийт           a. Тийм               b. Үгүй                  c.        d.
               20                          7                    8                     2         3



                               8

                               7

                               6
                                                              a. Тийм
                               5                              b. Үгүй
                                                              c.
                               4
                                                              d.
                               3

                               2

                               1

                               0




                                                            Хуудас 6
График

Асуулт 4:
                                    Хичээлээс гадуур зохиолын ном унших сонирхолтой юу?
    Судалгаанд оролцсон нийт              a. Тийм               b. Үгүй                   c.          d.
               20                             9                    1                      0           0



                                9

                                8

                                7

                                6                               a. Тийм
                                                                b. Үгүй
                                5                               c.
                                                                d.
                                4

                                3

                                2

                                1

                                0

Асуулт 5:
                             Та сургуулийн номын сангаас өөрт хэрэгтэй номоо авч хэрэглэдэг үү?
    Судалгаанд оролцсон нийт           a. Тааруухан         b. Дунд зэрэг               c. Сайн   d. Маш сайн
               20                            7                    5                         5          3




                                                               Хуудас 7
График




                               7

                               6
                                                               a.
                               5                               Тааруухан
                                                               b. Дунд
                               4                               зэрэг
                                                               c. Сайн
                                                               d. Маш
                               3                               сайн

                               2

                               1

                               0




Асуулт 6:
                                   Тухайн хичээлийн цагийг үр бүтээлтэй өнгөрөөж чаддаг уу?
    Судалгаанд оролцсон нийт               a. Тийм               b. Үгүй                    c.   d.
               20                              9                    7                       3    1




                                                                Хуудас 8
График




                           9

                           8

                           7

                           6             a. Тийм
                                         b. Үгүй
                           5             c.
                                         d.
                           4

                           3

                           2

                           1

                           0


Асуулт 7:
                                         0
    Судалгаанд оролцсон нийт   a. Тийм       b. Үгүй    c.   d.
               20                  4            14      0    2




                                             Хуудас 9
График




                           14

                           12

                           10
                                                            a. Тийм
                                                            b. Үгүй
                               8
                                                            c.
                                                            d.
                               6

                               4

                               2

                               0



Асуулт 8:
                                   Нөхдийнхөө саналыг ангийн сурагчид бүгд сонсдог уу?
    Судалгаанд оролцсон нийт        a. Таалагдаагүй       b. Дунд зэрэг               c. Сайн   d. Маш сайн
               20                          2                    1                        13          4




                                                             Хуудас 10
График




14

12
     a.
     Таалагдааг
10
     үй
     b. Дунд
8    зэрэг
     c. Сайн
6    d. Маш
     сайн
4

2

0




         Хуудас 11
1



                                                            Цахим судалгаа
   Санамж: Судалгааны хариултыг бөглөхдөө латин цагаан толгойн жижиг үсгээр бичнэ.

Овог             Отгонбаатар                                Нас                  10         Анги        5
Нэр               Тэмүүжин                                  Хүйс                 эр         Бүлэг       г
Асуулт 1:

       Та нарйин хийх дуртай хичээл Англи хэл мөн үү

             a. Тийм             b. Үгүй                                              Хариулт       b

Асуулт 2:


       Монгол хэлний хичээлд сонирхолтой юу?

             a. Тийм             b. Үгүй             c.                     d.        Хариулт       b

Асуулт 3:


       Сургуулийнн номын сан хичээл хийх тайван орчинг бүрдүүлж чаддаг уу?

             a. Тийм             b. Үгүй             c.                     d.        Хариулт       a

Асуулт 4:


       Хичээлээс гадуур зохиолын ном унших сонирхолтой юу?

             a. Тийм             b. Үгүй             c.                     d.        Хариулт       а

Асуулт 5:


       Та сургуулийн номын сангаас өөрт хэрэгтэй номоо авч хэрэглэдэг үү?


                                                                Хуудас 12
1
               a. Тааруухан         b. Дунд зэрэг        c. Сайн               d. Маш сайн   Хариулт   c

Асуулт 6:

       Тухайн хичээлийн цагийг үр бүтээлтэй өнгөрөөж чаддаг уу?

               a. Тийм              b. Үгүй              c.                    d.            Хариулт   a

Асуулт 7:

            Сурахад тань ямар нэгэн бэрхшээл тулгарч байна уу?

               a. Тийм              b. Үгүй              c.                    d.            Хариулт   b

Асуулт 8:

       Нөхдийнхөө саналыг ангийн сурагчид бүгд сонсдог уу?

               a. Таалагдаагүй      b. Дунд зэрэг        c. Сайн               d. Маш сайн   Хариулт   d




                                                                   Хуудас 13
1




Хуудас 14
1




Хуудас 15
2



                                                            Цахим судалгаа
   Санамж: Судалгааны хариултыг бөглөхдөө латин цагаан толгойн жижиг үсгээр бичнэ.

Овог             Нармандах                                  Нас                  11         Анги        5
Нэр               Хурбаяр                                   Хүйс                 эр         Бүлэг       г
Асуулт 1:

       Та нарйин хийх дуртай хичээл Англи хэл мөн үү

             a. Тийм             b. Үгүй             c.                     d.        Хариулт       b

Асуулт 2:


       Монгол хэлний хичээлд сонирхолтой юу?

             a. Тийм             b. Үгүй             c.                     d.        Хариулт       a

Асуулт 3:


       Сургуулийнн номын сан хичээл хийх тайван орчинг бүрдүүлж чаддаг уу?

             a. Тийм             b. Үгүй             c.                     d.        Хариулт       a

Асуулт 4:


       Хичээлээс гадуур зохиолын ном унших сонирхолтой юу?

             a. Тийм             b. Үгүй             c.                     d.        Хариулт       а

Асуулт 5:


       Та сургуулийн номын сангаас өөрт хэрэгтэй номоо авч хэрэглэдэг үү?


                                                                Хуудас 16
2
            a. Тааруухан      b. Дунд зэрэг    c. Сайн               d. Маш сайн   Хариулт   b

Асуулт 6:

       Тухайн хичээлийн цагийг үр бүтээлтэй өнгөрөөж чаддаг уу?

            a. Тийм           b. Үгүй          c.                    d.            Хариулт   c

Асуулт 7:

       Сурхад тань ямар нэгэн хүндрэлтэй асуудал байдаг уу?

            a. Тийм           b. Үгүй          c.                    d.            Хариулт   a

Асуулт 8:

       Нөхдийнхөө саналыг ангийн сурагчид бүгд сонсдог уу?

            a. Таалагдаагүй   b. Дунд зэрэг    c. Сайн               d. Маш сайн   Хариулт   c




                                                         Хуудас 17
2




Хуудас 18
2




Хуудас 19
3



                                                            Цахим судалгаа
   Санамж: Судалгааны хариултыг бөглөхдөө латин цагаан толгойн жижиг үсгээр бичнэ.

Овог              Төмөрбаатар                               Нас                  13         Анги        5
Нэр               Мөнхбаатар                                Хүйс                 эр         Бүлэг       г
Асуулт 1:

            Та нарйин хийх дуртай хичээл Англи хэл мөн үү

              a. Тийм            b. Үгүй             c.                     d.        Хариулт       c

Асуулт 2:


       Монгол хэлний хичээлд сонирхолтой юу?

              a. Тийм            b. Үгүй             c.                     d.        Хариулт       b

Асуулт 3:


       Сургуулийнн номын сан хичээл хийх тайван орчинг бүрдүүлж чаддаг уу?

              a. Тийм            b. Үгүй             c.                     d.        Хариулт       b

Асуулт 4:


       Хичээлээс гардуурх зохиолын ном унших сонирхолтой юу?

              a. Тийм            b. Үгүй             c.                     d.        Хариулт       а

Асуулт 5:


       Та сургуулийн номын сангаас өөрт хэрэгтэй номоо авч хэрэглэдэг үү?


                                                                Хуудас 20
3
            a. Тааруухан      b. Дунд зэрэг    c. Сайн               d. Маш сайн   Хариулт   d

Асуулт 6:

       Тухайн хичээлийн цагийг үр бүтээлтэй өнгөрөөж чаддаг уу?

            a. Тийм           b. Үгүй          c.                    d.            Хариулт   a

Асуулт 7:

       Сурхад тань ямар нэгэн хүндрэлтэй асуудал байдаг уу?

            a. Тийм           b. Үгүй          c.                    d.            Хариулт   d

Асуулт 8:

       Нөхдийнхөө саналыг ангийн сурагчид бүгд сонсдог уу?

            a. Таалагдаагүй   b. Дунд зэрэг    c. Сайн               d. Маш сайн   Хариулт   c




                                                         Хуудас 21
3




Хуудас 22
3




Хуудас 23
4



                                                            Цахим судалгаа
   Санамж: Судалгааны хариултыг бөглөхдөө латин цагаан толгойн жижиг үсгээр бичнэ.

Овог              Энхбаатар                                 Нас                  12         Анги        5
Нэр                Энхжин                                   Хүйс                 эм         Бүлэг       г
Асуулт 1:

       Та нарйин хийх дуртай хичээл Англи хэл мөн үү

             a. Тийм             b. Үгүй             c.                     d.        Хариулт       b

Асуулт 2:


       Монгол хэлний хичээлд сонирхолтой юу?

             a. Тийм             b. Үгүй             c.                     d.        Хариулт       b

Асуулт 3:


       Сургуулийнн номын сан хичээл хийх тайван орчинг бүрдүүлж чаддаг уу?

             a. Тийм             b. Үгүй             c.                     d.        Хариулт       b

Асуулт 4:


       Хичээлээс гадуурх зохиолын ном унших сонирхолтой юу?

             a. Тийм             b. Үгүй             c.                     d.        Хариулт       a

Асуулт 5:


       Та сургуулийн номын сангаас өөрт хэрэгтэй номоо авч хэрэглэдэг үү?


                                                                Хуудас 24
4
            a. Тааруухан      b. Дунд зэрэг    c. Сайн               d. Маш сайн   Хариулт   a

Асуулт 6:

       Тухайн хичээлийн цагийг үр бүтээлтэй өнгөрөөж чаддаг уу?

            a. Тийм           b. Үгүй          c.                    d.            Хариулт   a

Асуулт 7:

       Сурхад тань ямар нэгэн хүндрэлтэй асуудал байдаг уу?

            a. Тийм           b. Үгүй          c.                    d.            Хариулт   b

Асуулт 8:

       Нөхдийнхөө саналыг ангийн сурагчид бүгд сонсдог уу?

            a. Таалагдаагүй   b. Дунд зэрэг    c. Сайн               d. Маш сайн   Хариулт   d




                                                         Хуудас 25
4




Хуудас 26
4




Хуудас 27
5



                                                            Цахим судалгаа
   Санамж: Судалгааны хариултыг бөглөхдөө латин цагаан толгойн жижиг үсгээр бичнэ.

Овог              Энхбаатар                                 Нас                  11         Анги        5
Нэр                Энхжин                                   Хүйс                 эм         Бүлэг       г
Асуулт 1:

       Та нарйин хийх дуртай хичээл Англи хэл мөн үү

             a. Тийм             b. Үгүй             c.                     d.        Хариулт       a

Асуулт 2:


       Монгол хэлний хичээлд сонирхолтой юу?

             a. Тийм             b. Үгүй             c.                     d.        Хариулт       a

Асуулт 3:


       Сургуулийнн номын сан хичээл хийх тайван орчинг бүрдүүлж чаддаг уу?

             a. Тийм             b. Үгүй             c.                     d.        Хариулт       b

Асуулт 4:


       Хичээлээс гадуурх зохиолын ном унших сонирхолтой юу?

             a. Тийм             b. Үгүй             c.                     d.        Хариулт       а

Асуулт 5:


       Та сургуулийн номын сангаас өөрт хэрэгтэй номоо авч хэрэглэдэг үү?


                                                                Хуудас 28
5
            a. Тааруухан      b. Дунд зэрэг    c. Сайн               d. Маш сайн   Хариулт   b

Асуулт 6:

       Тухайн хичээлийн цагийг үр бүтээлтэй өнгөрөөж чаддаг уу?

            a. Тийм           b. Үгүй          c.                    d.            Хариулт   c

Асуулт 7:

       Сурхад тань ямар нэгэн хүндрэлтэй асуудал байдаг уу?

            a. Тийм           b. Үгүй          c.                    d.            Хариулт   b

Асуулт 8:

       Нөхдийнхөө саналыг ангийн сурагчид бүгд сонсдог уу?

            a. Таалагдаагүй   b. Дунд зэрэг    c. Сайн               d. Маш сайн   Хариулт   c




                                                         Хуудас 29
5




Хуудас 30
5




Хуудас 31
6



                                                            Цахим судалгаа
   Санамж: Судалгааны хариултыг бөглөхдөө латин цагаан толгойн жижиг үсгээр бичнэ.

Овог                Энхбаяр                                 Нас                  11         Анги        5
Нэр               Боргилсайхан                              Хүйс                 эр         Бүлэг       г
Асуулт 1:

       Та нарйин хийх дуртай хичээл Англи хэл мөн үү

               a. Тийм             b. Үгүй           c.                     d.        Хариулт       a

Асуулт 2:


            Монгол хэлний хичээлд сонирхолтой юу?

               a. Тийм             b. Үгүй           c.                     d.        Хариулт       b

Асуулт 3:


       Сургуулийнн номын сан хичээл хийх тайван орчинг бүрдүүлж чаддаг уу?

               a. Тийм             b. Үгүй           c.                     d.        Хариулт       c

Асуулт 4:


       Хичээлээс гадуурх зохиолын ном унших сонирхолтой юу?

               a. Тийм             b. Үгүй           c.                     d.        Хариулт       b

Асуулт 5:


       Та сургуулийн номын сангаас өөрт хэрэгтэй номоо авч хэрэглэдэг үү?


                                                                Хуудас 32
6
            a. Тааруухан      b. Дунд зэрэг    c. Сайн               d. Маш сайн   Хариулт   c

Асуулт 6:

       Тухайн хичээлийн цагийг үр бүтээлтэй өнгөрөөж чаддаг уу?

            a. Тийм           b. Үгүй          c.                    d.            Хариулт   d

Асуулт 7:

       Сурхад тань ямар нэгэн хүндрэлтэй асуудал байдаг уу?

            a. Тийм           b. Үгүй          c.                    d.            Хариулт   d

Асуулт 8:

       Нөхдийнхөө саналыг ангийн сурагчид бүгд сонсдог уу?

            a. Таалагдаагүй   b. Дунд зэрэг    c. Сайн               d. Маш сайн   Хариулт   c




                                                         Хуудас 33
6




Хуудас 34
6




Хуудас 35
7



                                                            Цахим судалгаа
   Санамж: Судалгааны хариултыг бөглөхдөө латин цагаан толгойн жижиг үсгээр бичнэ.

Овог            Наранцацрал                                 Нас                  11         Анги        5
Нэр               Батхаан                                   Хүйс                 эр         Бүлэг       г
Асуулт 1:

       Та нарйин хийх дуртай хичээл Англи хэл мөн үү

             a. Тийм             b. Үгүй             c.                     d.        Хариулт       b

Асуулт 2:


       Монгол хэлний хичээлд сонирхолтой юу?

             a. Тийм             b. Үгүй             c.                     d.        Хариулт       a

Асуулт 3:


       Сургуулийнн номын сан хичээл хийх тайван орчинг бүрдүүлж чаддаг уу?

             a. Тийм             b. Үгүй             c.                     d.        Хариулт       d

Асуулт 4:


       Хичээлээс гадуурх зохиолын ном унших сонирхолтой юу?

             a. Тийм             b. Үгүй             c.                     d.        Хариулт       а

Асуулт 5:


       Та сургуулийн номын сангаас өөрт хэрэгтэй номоо авч хэрэглэдэг үү?


                                                                Хуудас 36
7
            a. Тааруухан      b. Дунд зэрэг    c. Сайн               d. Маш сайн   Хариулт   d

Асуулт 6:

       Тухайн хичээлийн цагийг үр бүтээлтэй өнгөрөөж чаддаг уу?

            a. Тийм           b. Үгүй          c.                    d.            Хариулт   b

Асуулт 7:

       Сурхад тань ямар нэгэн хүндрэлтэй асуудал байдаг уу?

            a. Тийм           b. Үгүй          c.                    d.            Хариулт   b

Асуулт 8:

       Нөхдийнхөө саналыг ангийн сурагчид бүгд сонсдог уу?

            a. Таалагдаагүй   b. Дунд зэрэг    c. Сайн               d. Маш сайн   Хариулт   a




                                                         Хуудас 37
7




Хуудас 38
7




Хуудас 39
8



                                                            Цахим судалгаа
   Санамж: Судалгааны хариултыг бөглөхдөө латин цагаан толгойн жижиг үсгээр бичнэ.

Овог             Алтангэрэл                                 Нас                  12         Анги        5
Нэр              Буянтогтох                                 Хүйс                 эр         Бүлэг       г
Асуулт 1:

       Та нарйин хийх дуртай хичээл Англи хэл мөн үү

             a. Тийм             b. Үгүй             c.                     d.        Хариулт       a

Асуулт 2:


       Монгол хэлний хичээлд сонирхолтой юу?

             a. Тийм             b. Үгүй             c.                     d.        Хариулт       a

Асуулт 3:


       Сургуулийнн номын сан хичээл хийх тайван орчинг бүрдүүлж чаддаг уу?

             a. Тийм             b. Үгүй             c.                     d.        Хариулт       b

Асуулт 4:


       Хичээлээс гадуурх зохиолын ном унших сонирхолтой юу?

             a. Тийм             b. Үгүй             c.                     d.        Хариулт       а

Асуулт 5:


       Та сургуулийн номын сангаас өөрт хэрэгтэй номоо авч хэрэглэдэг үү?


                                                                Хуудас 40
8
            a. Тааруухан      b. Дунд зэрэг    c. Сайн               d. Маш сайн   Хариулт   a

Асуулт 6:

       Тухайн хичээлийн цагийг үр бүтээлтэй өнгөрөөж чаддаг уу?

            a. Тийм           b. Үгүй          c.                    d.            Хариулт   b

Асуулт 7:

       Сурхад тань ямар нэгэн хүндрэлтэй асуудал байдаг уу?

            a. Тийм           b. Үгүй          c.                    d.            Хариулт   b

Асуулт 8:

       Нөхдийнхөө саналыг ангийн сурагчид бүгд сонсдог уу?

            a. Таалагдаагүй   b. Дунд зэрэг    c. Сайн               d. Маш сайн   Хариулт   c




                                                         Хуудас 41
8




Хуудас 42
8




Хуудас 43
9



                                                            Цахим судалгаа
   Санамж: Судалгааны хариултыг бөглөхдөө латин цагаан толгойн жижиг үсгээр бичнэ.

Овог             Насантогтох                                Нас                  11         Анги        5
Нэр              Санчирмаа                                  Хүйс                 эм         Бүлэг       г
Асуулт 1:

       Та нарйин хийх дуртай хичээл Англи хэл мөн үү

             a. Тийм             b. Үгүй             c.                     d.        Хариулт       b

Асуулт 2:


       Монгол хэлний хичээлд сонирхолтой юу?

             a. Тийм             b. Үгүй             c.                     d.        Хариулт       a

Асуулт 3:


       Сургуулийнн номын сан хичээл хийх тайван орчинг бүрдүүлж чаддаг уу?

             a. Тийм             b. Үгүй             c.                     d.        Хариулт       a

Асуулт 4:


       Хичээлээс гадуурх зохиолын ном унших сонирхолтой юу?

             a. Тийм             b. Үгүй             c.                     d.        Хариулт       а

Асуулт 5:


       Та сургуулийн номын сангаас өөрт хэрэгтэй номоо авч хэрэглэдэг үү?


                                                                Хуудас 44
9
            a. Тааруухан      b. Дунд зэрэг    c. Сайн               d. Маш сайн   Хариулт   b

Асуулт 6:

       Тухайн хичээлийн цагийг үр бүтээлтэй өнгөрөөж чаддаг уу?

            a. Тийм           b. Үгүй          c.                    d.            Хариулт   b

Асуулт 7:

       Сурхад тань ямар нэгэн хүндрэлтэй асуудал байдаг уу?

            a. Тийм           b. Үгүй          c.                    d.            Хариулт   b

Асуулт 8:

       Нөхдийнхөө саналыг ангийн сурагчид бүгд сонсдог уу?

            a. Таалагдаагүй   b. Дунд зэрэг    c. Сайн               d. Маш сайн   Хариулт   c




                                                         Хуудас 45
9




Хуудас 46
9




Хуудас 47
10



                                                            Цахим судалгаа
   Санамж: Судалгааны хариултыг бөглөхдөө латин цагаан толгойн жижиг үсгээр бичнэ.

Овог              Энхбаатар                                 Нас                  11         Анги        5
Нэр               Мөнхжин                                   Хүйс                 эм         Бүлэг       г
Асуулт 1:

       Та нарйин хийх дуртай хичээл Англи хэл мөн үү

             a. Тийм             b. Үгүй             c.                     d.        Хариулт       a

Асуулт 2:


       Монгол хэлний хичээлд сонирхолтой юу?

             a. Тийм             b. Үгүй             c.                     d.        Хариулт       a

Асуулт 3:


       Сургуулийнн номын сан хичээл хийх тайван орчинг бүрдүүлж чаддаг уу?

             a. Тийм             b. Үгүй             c.                     d.        Хариулт       a

Асуулт 4:


       Хичээлээс гадуурх зохиолын ном унших сонирхолтой юу?

             a. Тийм             b. Үгүй             c.                     d.        Хариулт       a

Асуулт 5:


       Та сургуулийн номын сангаас өөрт хэрэгтэй номоо авч хэрэглэдэг үү?


                                                                Хуудас 48
10
            a. Тааруухан      b. Дунд зэрэг    c. Сайн               d. Маш сайн   Хариулт   c

Асуулт 6:

       Тухайн хичээлийн цагийг үр бүтээлтэй өнгөрөөж чаддаг уу?

            a. Тийм           b. Үгүй          c.                    d.            Хариулт   b

Асуулт 7:

       Сурхад тань ямар нэгэн хүндрэлтэй асуудал байдаг уу?

            a. Тийм           b. Үгүй          c.                    d.            Хариулт   b

Асуулт 8:

       Нөхдийнхөө саналыг ангийн сурагчид бүгд сонсдог уу?

            a. Таалагдаагүй   b. Дунд зэрэг    c. Сайн               d. Маш сайн   Хариулт   c




                                                         Хуудас 49
10




Хуудас 50
10




Хуудас 51
11



                                                            Цахим судалгаа
   Санамж: Судалгааны хариултыг бөглөхдөө латин цагаан толгойн жижиг үсгээр бичнэ.

Овог             Түвшинбаяр                                 Нас                  11         Анги        5
Нэр               Биндэрьяа                                 Хүйс                 эм         Бүлэг       г
Асуулт 1:

       Та нарйин хийх дуртай хичээл Англи хэл мөн үү

             a. Тийм             b. Үгүй             c.                     d.        Хариулт       a

Асуулт 2:


       Монгол хэлний хичээлд сонирхолтой юу?

             a. Тийм             b. Үгүй             c.                     d.        Хариулт       a

Асуулт 3:


       Сургуулийнн номын сан хичээл хийх тайван орчинг бүрдүүлж чаддаг уу?

             a. Тийм             b. Үгүй             c.                     d.        Хариулт       a

Асуулт 4:


       Хичээлээс гадуурх зохиолын ном унших сонирхолтой юу?

             a. Тийм             b. Үгүй             c.                     d.        Хариулт       a

Асуулт 5:


       Та сургуулийн номын сангаас өөрт хэрэгтэй номоо авч хэрэглэдэг үү?


                                                                Хуудас 52
11
            a. Тааруухан      b. Дунд зэрэг    c. Сайн               d. Маш сайн   Хариулт   c

Асуулт 6:

       Тухайн хичээлийн цагийг үр бүтээлтэй өнгөрөөж чаддаг уу?

            a. Тийм           b. Үгүй          c.                    d.            Хариулт   a

Асуулт 7:

       Сурхад тань ямар нэгэн хүндрэлтэй асуудал байдаг уу?

            a. Тийм           b. Үгүй          c.                    d.            Хариулт   a

Асуулт 8:

       Нөхдийнхөө саналыг ангийн сурагчид бүгд сонсдог уу?

            a. Таалагдаагүй   b. Дунд зэрэг    c. Сайн               d. Маш сайн   Хариулт   d




                                                         Хуудас 53
11




Хуудас 54
11




Хуудас 55
12



                                                            Цахим судалгаа
   Санамж: Судалгааны хариултыг бөглөхдөө латин цагаан толгойн жижиг үсгээр бичнэ.

Овог               Сүхбат                                   Нас                  11         Анги        5
Нэр              Бат­Ирээдүй                                Хүйс                 эр         Бүлэг       г
Асуулт 1:

       Та нарйин хийх дуртай хичээл Англи хэл мөн үү

             a. Тийм             b. Үгүй             c.                     d.        Хариулт       а

Асуулт 2:


       Монгол хэлний хичээлд сонирхолтой юу?

             a. Тийм             b. Үгүй             c.                     d.        Хариулт       a

Асуулт 3:


       Сургуулийнн номын сан хичээл хийх тайван орчинг бүрдүүлж чаддаг уу?

             a. Тийм             b. Үгүй             c.                     d.        Хариулт       d

Асуулт 4:


       Хичээлээс гадуурх зохиолын ном унших сонирхолтой юу?

             a. Тийм             b. Үгүй             c.                     d.        Хариулт       a

Асуулт 5:


       Та сургуулийн номын сангаас өөрт хэрэгтэй номоо авч хэрэглэдэг үү?


                                                                Хуудас 56
12
            a. Тааруухан      b. Дунд зэрэг    c. Сайн               d. Маш сайн   Хариулт   b

Асуулт 6:

       Тухайн хичээлийн цагийг үр бүтээлтэй өнгөрөөж чаддаг уу?

            a. Тийм           b. Үгүй          c.                    d.            Хариулт   a

Асуулт 7:

       Сурхад тань ямар нэгэн хүндрэлтэй асуудал байдаг уу?

            a. Тийм           b. Үгүй          c.                    d.            Хариулт   b

Асуулт 8:

       Нөхдийнхөө саналыг ангийн сурагчид бүгд сонсдог уу?

            a. Таалагдаагүй   b. Дунд зэрэг    c. Сайн               d. Маш сайн   Хариулт   d




                                                         Хуудас 57
12




Хуудас 58
12




Хуудас 59
13



                                                            Цахим судалгаа
   Санамж: Судалгааны хариултыг бөглөхдөө латин цагаан толгойн жижиг үсгээр бичнэ.

Овог            Эрдэнэбаатар                                Нас                  11         Анги        5
Нэр              Мөнхцэцэг                                  Хүйс                 эм         Бүлэг       г
Асуулт 1:

       Та нарйин хийх дуртай хичээл Англи хэл мөн үү

             a. Тийм             b. Үгүй             c.                     d.        Хариулт       a

Асуулт 2:


       Монгол хэлний хичээлд сонирхолтой юу?

             a. Тийм             b. Үгүй             c.                     d.        Хариулт       a

Асуулт 3:


       Сургуулийнн номын сан хичээл хийх тайван орчинг бүрдүүлж чаддаг уу?

             a. Тийм             b. Үгүй             c.                     d.        Хариулт       b

Асуулт 4:


       Хичээлээс гадуурх зохиолын ном унших сонирхолтой юу?

             a. Тийм             b. Үгүй             c.                     d.        Хариулт       а

Асуулт 5:


       Та сургуулийн номын сангаас өөрт хэрэгтэй номоо авч хэрэглэдэг үү?


                                                                Хуудас 60
13
            a. Тааруухан      b. Дунд зэрэг    c. Сайн               d. Маш сайн   Хариулт   a

Асуулт 6:

       Тухайн хичээлийн цагийг үр бүтээлтэй өнгөрөөж чаддаг уу?

            a. Тийм           b. Үгүй          c.                    d.            Хариулт   b

Асуулт 7:

       Сурхад тань ямар нэгэн хүндрэлтэй асуудал байдаг уу?

            a. Тийм           b. Үгүй          c.                    d.            Хариулт   b

Асуулт 8:

       Нөхдийнхөө саналыг ангийн сурагчид бүгд сонсдог уу?

            a. Таалагдаагүй   b. Дунд зэрэг    c. Сайн               d. Маш сайн   Хариулт   c




                                                         Хуудас 61
13




Хуудас 62
13




Хуудас 63
14



                                                            Цахим судалгаа
   Санамж: Судалгааны хариултыг бөглөхдөө латин цагаан толгойн жижиг үсгээр бичнэ.

Овог               Сэргэлэн                                 Нас                  12         Анги        5
Нэр                Баттуяа                                  Хүйс                 эм         Бүлэг       г
Асуулт 1:

       Та нарйин хийх дуртай хичээл Англи хэл мөн үү

             a. Тийм             b. Үгүй             c.                     d.        Хариулт       а

Асуулт 2:


       Монгол хэлний хичээлд сонирхолтой юу?

             a. Тийм             b. Үгүй             c.                     d.        Хариулт       a

Асуулт 3:


       Сургуулийнн номын сан хичээл хийх тайван орчинг бүрдүүлж чаддаг уу?

             a. Тийм             b. Үгүй             c.                     d.        Хариулт       a

Асуулт 4:


       Хичээлээс гадуурх зохиолын ном  унших сонирхолтой юу?

             a. Тийм             b. Үгүй             c.                     d.        Хариулт       а

Асуулт 5:


       Та сургуулийн номын сангаас өөрт хэрэгтэй номоо авч хэрэглэдэг үү?


                                                                Хуудас 64
14
            a. Тааруухан      b. Дунд зэрэг    c. Сайн               d. Маш сайн   Хариулт   a

Асуулт 6:

       Тухайн хичээлийн цагийг үр бүтээлтэй өнгөрөөж чаддаг уу?

            a. Тийм           b. Үгүй          c.                    d.            Хариулт   b

Асуулт 7:

       Сурхад тань ямар нэгэн хүндрэлтэй асуудал байдаг уу?

            a. Тийм           b. Үгүй          c.                    d.            Хариулт   b

Асуулт 8:

       Нөхдийнхөө саналыг ангийн сурагчид бүгд сонсдог уу?

            a. Таалагдаагүй   b. Дунд зэрэг    c. Сайн               d. Маш сайн   Хариулт   c




                                                         Хуудас 65
14




Хуудас 66
14




Хуудас 67
15



                                                            Цахим судалгаа
   Санамж: Судалгааны хариултыг бөглөхдөө латин цагаан толгойн жижиг үсгээр бичнэ.

Овог               Одбаяр                                   Нас                  11         Анги        5
Нэр                Дулмаа                                   Хүйс                 эм         Бүлэг       г
Асуулт 1:

       Та нарйин хийх дуртай хичээл Англи хэл мөн үү

             a. Тийм             b. Үгүй             c.                     d.        Хариулт       a

Асуулт 2:


       Монгол хэлний хичээлд сонирхолтой юу?

             a. Тийм             b. Үгүй             c.                     d.        Хариулт       a

Асуулт 3:


       Сургуулийнн номын сан хичээл хийх тайван орчинг бүрдүүлж чаддаг уу?

             a. Тийм             b. Үгүй             c.                     d.        Хариулт       b

Асуулт 4:


       Хичээлээс гадуурх зохиолын ном унших сонирхолтой юу?

             a. Тийм             b. Үгүй             c.                     d.        Хариулт       a

Асуулт 5:


       Та сургуулийн номын сангаас өөрт хэрэгтэй номоо авч хэрэглэдэг үү?


                                                                Хуудас 68
15
            a. Тааруухан      b. Дунд зэрэг    c. Сайн               d. Маш сайн   Хариулт   b

Асуулт 6:

       Тухайн хичээлийн цагийг үр бүтээлтэй өнгөрөөж чаддаг уу?

            a. Тийм           b. Үгүй          c.                    d.            Хариулт   a

Асуулт 7:

       Сурхад тань ямар нэгэн хүндрэлтэй асуудал байдаг уу?

            a. Тийм           b. Үгүй          c.                    d.            Хариулт   b

Асуулт 8:

       Нөхдийнхөө саналыг ангийн сурагчид бүгд сонсдог уу?

            a. Таалагдаагүй   b. Дунд зэрэг    c. Сайн               d. Маш сайн   Хариулт   c




                                                         Хуудас 69
15




Хуудас 70
15




Хуудас 71
16



                                                            Цахим судалгаа
   Санамж: Судалгааны хариултыг бөглөхдөө латин цагаан толгойн жижиг үсгээр бичнэ.

Овог                Болд                                    Нас                  11         Анги        5
Нэр              Сандагдорж                                 Хүйс                 эр         Бүлэг       г
Асуулт 1:

       Та нарйин хийх дуртай хичээл Англи хэл мөн үү

             a. Тийм             b. Үгүй             c.                     d.        Хариулт       d

Асуулт 2:


       Монгол хэлний хичээлд сонирхолтой юу?

             a. Тийм             b. Үгүй             c.                     d.        Хариулт       b

Асуулт 3:


       Сургуулийнн номын сан хичээл хийх тайван орчинг бүрдүүлж чаддаг уу?

             a. Тийм             b. Үгүй             c.                     d.        Хариулт       c

Асуулт 4:


       Хичээлээс гадуурх зохиолын ном унших сонирхолтой юу?

             a. Тийм             b. Үгүй             c.                     d.        Хариулт       a

Асуулт 5:


       Та сургуулийн номын сангаас өөрт хэрэгтэй номоо авч хэрэглэдэг үү?


                                                                Хуудас 72
16
            a. Тааруухан      b. Дунд зэрэг    c. Сайн               d. Маш сайн   Хариулт   a

Асуулт 6:

       Тухайн хичээлийн цагийг үр бүтээлтэй өнгөрөөж чаддаг уу?

            a. Тийм           b. Үгүй          c.                    d.            Хариулт   a

Асуулт 7:

       Сурхад тань ямар нэгэн хүндрэлтэй асуудал байдаг уу?

            a. Тийм           b. Үгүй          c.                    d.            Хариулт   b

Асуулт 8:

       Нөхдийнхөө саналыг ангийн сурагчид бүгд сонсдог уу?

            a. Таалагдаагүй   b. Дунд зэрэг    c. Сайн               d. Маш сайн   Хариулт   c




                                                         Хуудас 73
16




Хуудас 74
16




Хуудас 75
17



                                                            Цахим судалгаа
   Санамж: Судалгааны хариултыг бөглөхдөө латин цагаан толгойн жижиг үсгээр бичнэ.

Овог              Ганзориг                                  Нас                  12         Анги        5
Нэр                Номин                                    Хүйс                 эм         Бүлэг       г
Асуулт 1:

       Та нарйин хийх дуртай хичээл Англи хэл мөн үү

             a. Тийм             b. Үгүй             c.                     d.        Хариулт       a

Асуулт 2:


       Монгол хэлний хичээлд сонирхолтой юу?

             a. Тийм             b. Үгүй             c.                     d.        Хариулт       b

Асуулт 3:


       Сургуулийнн номын сан хичээл хийх тайван орчинг бүрдүүлж чаддаг уу?

             a. Тийм             b. Үгүй             c.                     d.        Хариулт       d

Асуулт 4:


       Хичээлээс гадуурх сургалтын ном унших сонирхолтой юу?

             a. Тийм             b. Үгүй             c.                     d.        Хариулт       a

Асуулт 5:


       Та сургуулийн номын сангаас өөрт хэрэгтэй номоо авч хэрэглэдэг үү?


                                                                Хуудас 76
17
            a. Тааруухан      b. Дунд зэрэг    c. Сайн               d. Маш сайн   Хариулт   a

Асуулт 6:

       Тухайн хичээлийн цагийг үр бүтээлтэй өнгөрөөж чаддаг уу?

            a. Тийм           b. Үгүй          c.                    d.            Хариулт   c

Асуулт 7:

       Сурхад тань ямар нэгэн хүндрэлтэй асуудал байдаг уу?

            a. Тийм           b. Үгүй          c.                    d.            Хариулт   b

Асуулт 8:

       Нөхдийнхөө саналыг ангийн сурагчид бүгд сонсдог уу?

            a. Таалагдаагүй   b. Дунд зэрэг    c. Сайн               d. Маш сайн   Хариулт   b




                                                         Хуудас 77
17




Хуудас 78
17




Хуудас 79
18



                                                            Цахим судалгаа
   Санамж: Судалгааны хариултыг бөглөхдөө латин цагаан толгойн жижиг үсгээр бичнэ.

Овог             Насан­Очир                                 Нас                  11         Анги        5
Нэр               Урангоо                                   Хүйс                 эм         Бүлэг       г
Асуулт 1:

       Та нарйин хийх дуртай хичээл Англи хэл мөн үү

             a. Тийм             b. Үгүй             c.                     d.        Хариулт       a

Асуулт 2:


       Монгол хэлний хичээлд сонирхолтой юу?

             a. Тийм             b. Үгүй             c.                     d.        Хариулт       a

Асуулт 3:


       Сургуулийнн номын сан хичээл хийх тайван орчинг бүрдүүлж чаддаг уу?

             a. Тийм             b. Үгүй             c.                     d.        Хариулт       a

Асуулт 4:


       Хичээлээс гадуурх зохиолын ном унших сонирхолтой юу?

             a. Тийм             b. Үгүй             c.                     d.        Хариулт       а

Асуулт 5:


       Та сургуулийн номын сангаас өөрт хэрэгтэй номоо авч хэрэглэдэг үү?


                                                                Хуудас 80
18
            a. Тааруухан      b. Дунд зэрэг    c. Сайн               d. Маш сайн   Хариулт   c

Асуулт 6:

       Тухайн хичээлийн цагийг үр бүтээлтэй өнгөрөөж чаддаг уу?

            a. Тийм           b. Үгүй          c.                    d.            Хариулт   b

Асуулт 7:

       Сурхад тань ямар нэгэн хүндрэлтэй асуудал байдаг уу?

            a. Тийм           b. Үгүй          c.                    d.            Хариулт   b

Асуулт 8:

       Нөхдийнхөө саналыг ангийн сурагчид бүгд сонсдог уу?

            a. Таалагдаагүй   b. Дунд зэрэг    c. Сайн               d. Маш сайн   Хариулт   c




                                                         Хуудас 81
18




Хуудас 82
18




Хуудас 83
19



                                                            Цахим судалгаа
   Санамж: Судалгааны хариултыг бөглөхдөө латин цагаан толгойн жижиг үсгээр бичнэ.

Овог             Оюунцэцэг                                  Нас                  12         Анги        5
Нэр             Шижирбаатар                                 Хүйс                 эр         Бүлэг       г
Асуулт 1:

       Та нарйин хийх дуртай хичээл Англи хэл мөн үү

             a. Тийм             b. Үгүй             c.                     d.        Хариулт       a

Асуулт 2:


       Монгол хэлний хичээлд сонирхолтой юу?

             a. Тийм             b. Үгүй             c.                     d.        Хариулт       a

Асуулт 3:


       Сургуулийнн номын сан хичээл хийх тайван орчинг бүрдүүлж чаддаг уу?

             a. Тийм             b. Үгүй             c.                     d.        Хариулт       b

Асуулт 4:


       Хичээлээс гадуурх зохиолын ном унших сонирхолтой юу?

             a. Тийм             b. Үгүй             c.                     d.        Хариулт       а

Асуулт 5:


       Та сургуулийн номын сангаас өөрт хэрэгтэй номоо авч хэрэглэдэг үү?


                                                                Хуудас 84
19
            a. Тааруухан      b. Дунд зэрэг    c. Сайн               d. Маш сайн   Хариулт   d

Асуулт 6:

       Тухайн хичээлийн цагийг үр бүтээлтэй өнгөрөөж чаддаг уу?

            a. Тийм           b. Үгүй          c.                    d.            Хариулт   a

Асуулт 7:

       Сурхад тань ямар нэгэн хүндрэлтэй асуудал байдаг уу?

            a. Тийм           b. Үгүй          c.                    d.            Хариулт   a

Асуулт 8:

       Нөхдийнхөө саналыг ангийн сурагчид бүгд сонсдог уу?

            a. Таалагдаагүй   b. Дунд зэрэг    c. Сайн               d. Маш сайн   Хариулт   a




                                                         Хуудас 85
19




Хуудас 86
19




Хуудас 87
20



                                                            Цахим судалгаа
   Санамж: Судалгааны хариултыг бөглөхдөө латин цагаан толгойн жижиг үсгээр бичнэ.

Овог              Ууганбаяр                                 Нас                  12         Анги        5
Нэр                Хүслэн                                   Хүйс                 эм         Бүлэг       г
Асуулт 1:

       Та нарйин хийх дуртай хичээл Англи хэл мөн үү

             a. Тийм             b. Үгүй             c.                     d.        Хариулт       a

Асуулт 2:


       Монгол хэлний хичээлд сонирхолтой юу?

             a. Тийм             b. Үгүй             c.                     d.        Хариулт       b

Асуулт 3:


       Сургуулийнн номын сан хичээл хийх тайван орчинг бүрдүүлж чаддаг уу?

             a. Тийм             b. Үгүй             c.                     d.        Хариулт       b

Асуулт 4:


       Хичээлээс гадуурх зохиолын ном унших сонирхолтой юу?

             a. Тийм             b. Үгүй             c.                     d.        Хариулт       a

Асуулт 5:


       Та сургуулийн номын сангаас өөрт хэрэгтэй номоо авч хэрэглэдэг үү?


                                                                Хуудас 88
20
            a. Тааруухан      b. Дунд зэрэг    c. Сайн               d. Маш сайн   Хариулт   a

Асуулт 6:

       Тухайн хичээлийн цагийг үр бүтээлтэй өнгөрөөж чаддаг уу?

            a. Тийм           b. Үгүй          c.                    d.            Хариулт   a

Асуулт 7:

       Сурхад тань ямар нэгэн хүндрэлтэй асуудал байдаг уу?

            a. Тийм           b. Үгүй          c.                    d.            Хариулт   a

Асуулт 8:

       Нөхдийнхөө саналыг ангийн сурагчид бүгд сонсдог уу?

            a. Таалагдаагүй   b. Дунд зэрэг    c. Сайн               d. Маш сайн   Хариулт   c




                                                         Хуудас 89
20




Хуудас 90
20




Хуудас 91

5 g sudalgaa

  • 1.
    Анализ  Сурагчдын хичээлийн судалгаа судалгаа БЗЦСургууль 1 2 3 4 5 6 7 8 Сургуулийнн Тухайн Хичээлээс Та сургуулийн Сурахад ямар Та нарйин хийх Монгол хэлний номын сан хичээлийн Нөхдийнхөө гадуур зохиолын номын сангаас нэгэн хүндрэл дуртай хичээл хичээлд хичээл хийх цагийг үр саналыг ном унших өөрт хэрэгтэй бэрхшээл Англи хэл мөн сонирхолтой тайван орчинг бүтээлтэй сонсож чаддаг сонирхолтой номоо авч тулгарч байна үү юу? бүрдүүлж чаддаг өнгөрөөж уу? юу? хэрэглэдэг үү? уу? Бүлэг уу? чаддаг уу? Хүйс Анги Нас № Овог Нэр Таалагдаагүй b. Дунд зэрэг b. Дунд зэрэг a. Тааруухан d. Маш сайн a. Тийм a. Тийм a. Тийм a. Тийм a. Тийм a. Тийм c. Сайн b. Үгүй b. Үгүй b. Үгүй b. Үгүй b. Үгүй b. Үгүй d. d. d. d. d. a. c. c. c. c. c. 0 0 1 Отгонбаатар Тэмүүжин 5 г 10 эр 0 1 0 0 0 1 0 0 1 0 0 0 0 0 0 0 0 0 1 0 1 0 0 0 0 1 0 0 0 0 2 Нармандах Хурбаяр 5 г 11 эр 0 1 0 0 1 0 0 0 1 0 0 0 1 0 0 0 0 1 0 0 0 0 1 0 1 0 0 0 0 0 3 Төмөрбаатар Мөнхбаатар 5 г 13 эр 0 0 1 0 0 1 0 0 0 1 0 0 0 0 0 0 0 0 0 1 1 0 0 0 0 0 0 1 0 0 4 Энхбаатар Энхжин 5 г 12 эм 0 1 0 0 0 1 1 0 0 1 0 0 1 0 0 0 1 0 0 0 1 0 0 0 0 1 0 0 0 0 5 Энхбаатар Энхжин 5 0 11 эм 1 0 0 0 1 0 0 0 0 1 0 0 0 0 0 0 0 1 0 0 0 0 1 0 0 1 0 0 0 0 6 Энхбаяр Боргилсайхан 5 0 11 эр 1 0 0 0 0 1 1 0 0 0 1 0 0 1 0 0 0 0 1 0 0 0 0 1 0 0 0 1 0 0 7 Наранцацрал Батхаан 5 0 11 эр 0 1 0 0 1 0 0 0 0 0 0 1 0 0 0 0 0 0 0 1 0 1 0 0 0 1 0 0 1 0 8 Алтангэрэл Буянтогтох 5 0 12 эр 1 0 0 0 1 0 0 0 0 1 0 0 0 0 0 0 1 0 0 0 0 1 0 0 0 1 0 0 0 0 9 Насантогтох Санчирмаа 5 0 11 эм 0 1 0 0 1 0 0 0 1 0 0 0 0 0 0 0 0 1 0 0 0 1 0 0 0 1 0 0 0 0 10 Энхбаатар Мөнхжин 5 0 11 эм 1 0 0 0 1 0 0 0 1 0 0 0 1 0 0 0 0 0 1 0 0 1 0 0 0 1 0 0 0 0 11 Түвшинбаяр Биндэрьяа 5 0 11 эм 1 0 0 0 1 0 0 0 1 0 0 0 1 0 0 0 0 0 1 0 1 0 0 0 1 0 0 0 0 0 12 Сүхбат Бат-Ирээдүй 5 0 11 эр 0 0 0 0 1 0 0 0 0 0 0 1 1 0 0 0 0 1 0 0 1 0 0 0 0 1 0 0 0 0 13 Эрдэнэбаатар Мөнхцэцэг 5 0 11 эм 1 0 0 0 1 0 0 0 0 1 0 0 0 0 0 0 1 0 0 0 0 1 0 0 0 1 0 0 0 0 14 Сэргэлэн Баттуяа 5 0 12 эм 0 0 0 0 1 0 0 0 1 0 0 0 0 0 0 0 1 0 0 0 0 1 0 0 0 1 0 0 0 0 15 Одбаяр Дулмаа 5 0 11 эм 1 0 0 0 1 0 0 0 0 1 0 0 1 0 0 0 0 1 0 0 1 0 0 0 0 1 0 0 0 0 16 Болд Сандагдорж 5 0 11 эр 0 0 0 1 0 1 0 0 0 0 1 0 1 0 0 0 1 0 0 0 1 0 0 0 0 1 0 0 0 0 17 Ганзориг Номин 5 0 12 эм 1 0 0 0 0 1 0 0 0 0 0 1 1 0 0 0 1 0 0 0 0 0 1 0 0 1 0 0 0 1 18 Насан-Очир Урангоо 5 0 11 эм 1 0 0 0 1 0 0 0 1 0 0 0 0 0 0 0 0 0 1 0 0 1 0 0 0 1 0 0 0 0 19 Оюунцэцэг Шижирбаатар 5 0 12 эр 1 0 0 0 1 0 0 0 0 1 0 0 0 0 0 0 0 0 0 1 1 0 0 0 1 0 0 0 1 0 20 Ууганбаяр Хүслэн 5 0 12 эм 1 0 0 0 0 1 0 0 0 1 0 0 1 0 0 0 1 0 0 0 1 0 0 0 1 0 0 0 0 0 Нийт 20 11 5 1 1 13 7 2 0 7 8 2 3 9 1 0 0 7 5 5 3 9 7 3 1 4 14 0 2 2 1 Хуудас 1
  • 2.
    Анализ 8 дийнхөө налыг ожчаддаг уу? d. Маш сайн c. Сайн 0 1 1 0 1 0 0 1 1 0 1 0 0 0 1 0 1 0 1 0 0 1 0 1 1 0 1 0 1 0 1 0 0 0 1 0 0 0 1 0 13 4 Хуудас 2
  • 3.
  • 4.
  • 5.
    График Судалгааны нэгтгэл Асуулт 1: Та нарйин хийх дуртай хичээл Англи хэл мөн үү Судалгаанд оролцсон нийт a. Тийм b. Үгүй 0 0 20 11 5 1 1 12 10 8 a. Тийм b. Үгүй 0 6 0 4 2 0 Асуулт 2: Монгол хэлний хичээлд сонирхолтой юу? Судалгаанд оролцсон нийт a. Тийм b. Үгүй c. d. 20 13 7 2 0 14 12 10 a. Тийм b. Үгүй Хуудас 5 8 c. d. 6
  • 6.
    График 14 12 10 a. Тийм b. Үгүй 8 c. d. 6 4 2 0 Асуулт 3: Сургуулийнн номын сан хичээл хийх тайван орчинг бүрдүүлж чаддаг уу? Судалгаанд оролцсон нийт a. Тийм b. Үгүй c. d. 20 7 8 2 3 8 7 6 a. Тийм 5 b. Үгүй c. 4 d. 3 2 1 0 Хуудас 6
  • 7.
    График Асуулт 4: Хичээлээс гадуур зохиолын ном унших сонирхолтой юу? Судалгаанд оролцсон нийт a. Тийм b. Үгүй c. d. 20 9 1 0 0 9 8 7 6 a. Тийм b. Үгүй 5 c. d. 4 3 2 1 0 Асуулт 5: Та сургуулийн номын сангаас өөрт хэрэгтэй номоо авч хэрэглэдэг үү? Судалгаанд оролцсон нийт a. Тааруухан b. Дунд зэрэг c. Сайн d. Маш сайн 20 7 5 5 3 Хуудас 7
  • 8.
    График 7 6 a. 5 Тааруухан b. Дунд 4 зэрэг c. Сайн d. Маш 3 сайн 2 1 0 Асуулт 6: Тухайн хичээлийн цагийг үр бүтээлтэй өнгөрөөж чаддаг уу? Судалгаанд оролцсон нийт a. Тийм b. Үгүй c. d. 20 9 7 3 1 Хуудас 8
  • 9.
    График 9 8 7 6 a. Тийм b. Үгүй 5 c. d. 4 3 2 1 0 Асуулт 7: 0 Судалгаанд оролцсон нийт a. Тийм b. Үгүй c. d. 20 4 14 0 2 Хуудас 9
  • 10.
    График 14 12 10 a. Тийм b. Үгүй 8 c. d. 6 4 2 0 Асуулт 8: Нөхдийнхөө саналыг ангийн сурагчид бүгд сонсдог уу? Судалгаанд оролцсон нийт a. Таалагдаагүй b. Дунд зэрэг c. Сайн d. Маш сайн 20 2 1 13 4 Хуудас 10
  • 11.
    График 14 12 a. Таалагдааг 10 үй b. Дунд 8 зэрэг c. Сайн 6 d. Маш сайн 4 2 0 Хуудас 11
  • 12.
    1 Цахим судалгаа Санамж: Судалгааны хариултыг бөглөхдөө латин цагаан толгойн жижиг үсгээр бичнэ. Овог Отгонбаатар Нас 10 Анги 5 Нэр Тэмүүжин Хүйс эр Бүлэг г Асуулт 1: Та нарйин хийх дуртай хичээл Англи хэл мөн үү a. Тийм b. Үгүй Хариулт b Асуулт 2: Монгол хэлний хичээлд сонирхолтой юу? a. Тийм b. Үгүй c. d. Хариулт b Асуулт 3: Сургуулийнн номын сан хичээл хийх тайван орчинг бүрдүүлж чаддаг уу? a. Тийм b. Үгүй c. d. Хариулт a Асуулт 4: Хичээлээс гадуур зохиолын ном унших сонирхолтой юу? a. Тийм b. Үгүй c. d. Хариулт а Асуулт 5: Та сургуулийн номын сангаас өөрт хэрэгтэй номоо авч хэрэглэдэг үү? Хуудас 12
  • 13.
    1 a. Тааруухан b. Дунд зэрэг c. Сайн d. Маш сайн Хариулт c Асуулт 6: Тухайн хичээлийн цагийг үр бүтээлтэй өнгөрөөж чаддаг уу? a. Тийм b. Үгүй c. d. Хариулт a Асуулт 7: Сурахад тань ямар нэгэн бэрхшээл тулгарч байна уу? a. Тийм b. Үгүй c. d. Хариулт b Асуулт 8: Нөхдийнхөө саналыг ангийн сурагчид бүгд сонсдог уу? a. Таалагдаагүй b. Дунд зэрэг c. Сайн d. Маш сайн Хариулт d Хуудас 13
  • 14.
  • 15.
  • 16.
    2 Цахим судалгаа Санамж: Судалгааны хариултыг бөглөхдөө латин цагаан толгойн жижиг үсгээр бичнэ. Овог Нармандах Нас 11 Анги 5 Нэр Хурбаяр Хүйс эр Бүлэг г Асуулт 1: Та нарйин хийх дуртай хичээл Англи хэл мөн үү a. Тийм b. Үгүй c. d. Хариулт b Асуулт 2: Монгол хэлний хичээлд сонирхолтой юу? a. Тийм b. Үгүй c. d. Хариулт a Асуулт 3: Сургуулийнн номын сан хичээл хийх тайван орчинг бүрдүүлж чаддаг уу? a. Тийм b. Үгүй c. d. Хариулт a Асуулт 4: Хичээлээс гадуур зохиолын ном унших сонирхолтой юу? a. Тийм b. Үгүй c. d. Хариулт а Асуулт 5: Та сургуулийн номын сангаас өөрт хэрэгтэй номоо авч хэрэглэдэг үү? Хуудас 16
  • 17.
    2 a. Тааруухан b. Дунд зэрэг c. Сайн d. Маш сайн Хариулт b Асуулт 6: Тухайн хичээлийн цагийг үр бүтээлтэй өнгөрөөж чаддаг уу? a. Тийм b. Үгүй c. d. Хариулт c Асуулт 7: Сурхад тань ямар нэгэн хүндрэлтэй асуудал байдаг уу? a. Тийм b. Үгүй c. d. Хариулт a Асуулт 8: Нөхдийнхөө саналыг ангийн сурагчид бүгд сонсдог уу? a. Таалагдаагүй b. Дунд зэрэг c. Сайн d. Маш сайн Хариулт c Хуудас 17
  • 18.
  • 19.
  • 20.
    3 Цахим судалгаа Санамж: Судалгааны хариултыг бөглөхдөө латин цагаан толгойн жижиг үсгээр бичнэ. Овог Төмөрбаатар Нас 13 Анги 5 Нэр Мөнхбаатар Хүйс эр Бүлэг г Асуулт 1: Та нарйин хийх дуртай хичээл Англи хэл мөн үү a. Тийм b. Үгүй c. d. Хариулт c Асуулт 2: Монгол хэлний хичээлд сонирхолтой юу? a. Тийм b. Үгүй c. d. Хариулт b Асуулт 3: Сургуулийнн номын сан хичээл хийх тайван орчинг бүрдүүлж чаддаг уу? a. Тийм b. Үгүй c. d. Хариулт b Асуулт 4: Хичээлээс гардуурх зохиолын ном унших сонирхолтой юу? a. Тийм b. Үгүй c. d. Хариулт а Асуулт 5: Та сургуулийн номын сангаас өөрт хэрэгтэй номоо авч хэрэглэдэг үү? Хуудас 20
  • 21.
    3 a. Тааруухан b. Дунд зэрэг c. Сайн d. Маш сайн Хариулт d Асуулт 6: Тухайн хичээлийн цагийг үр бүтээлтэй өнгөрөөж чаддаг уу? a. Тийм b. Үгүй c. d. Хариулт a Асуулт 7: Сурхад тань ямар нэгэн хүндрэлтэй асуудал байдаг уу? a. Тийм b. Үгүй c. d. Хариулт d Асуулт 8: Нөхдийнхөө саналыг ангийн сурагчид бүгд сонсдог уу? a. Таалагдаагүй b. Дунд зэрэг c. Сайн d. Маш сайн Хариулт c Хуудас 21
  • 22.
  • 23.
  • 24.
    4 Цахим судалгаа Санамж: Судалгааны хариултыг бөглөхдөө латин цагаан толгойн жижиг үсгээр бичнэ. Овог Энхбаатар Нас 12 Анги 5 Нэр Энхжин Хүйс эм Бүлэг г Асуулт 1: Та нарйин хийх дуртай хичээл Англи хэл мөн үү a. Тийм b. Үгүй c. d. Хариулт b Асуулт 2: Монгол хэлний хичээлд сонирхолтой юу? a. Тийм b. Үгүй c. d. Хариулт b Асуулт 3: Сургуулийнн номын сан хичээл хийх тайван орчинг бүрдүүлж чаддаг уу? a. Тийм b. Үгүй c. d. Хариулт b Асуулт 4: Хичээлээс гадуурх зохиолын ном унших сонирхолтой юу? a. Тийм b. Үгүй c. d. Хариулт a Асуулт 5: Та сургуулийн номын сангаас өөрт хэрэгтэй номоо авч хэрэглэдэг үү? Хуудас 24
  • 25.
    4 a. Тааруухан b. Дунд зэрэг c. Сайн d. Маш сайн Хариулт a Асуулт 6: Тухайн хичээлийн цагийг үр бүтээлтэй өнгөрөөж чаддаг уу? a. Тийм b. Үгүй c. d. Хариулт a Асуулт 7: Сурхад тань ямар нэгэн хүндрэлтэй асуудал байдаг уу? a. Тийм b. Үгүй c. d. Хариулт b Асуулт 8: Нөхдийнхөө саналыг ангийн сурагчид бүгд сонсдог уу? a. Таалагдаагүй b. Дунд зэрэг c. Сайн d. Маш сайн Хариулт d Хуудас 25
  • 26.
  • 27.
  • 28.
    5 Цахим судалгаа Санамж: Судалгааны хариултыг бөглөхдөө латин цагаан толгойн жижиг үсгээр бичнэ. Овог Энхбаатар Нас 11 Анги 5 Нэр Энхжин Хүйс эм Бүлэг г Асуулт 1: Та нарйин хийх дуртай хичээл Англи хэл мөн үү a. Тийм b. Үгүй c. d. Хариулт a Асуулт 2: Монгол хэлний хичээлд сонирхолтой юу? a. Тийм b. Үгүй c. d. Хариулт a Асуулт 3: Сургуулийнн номын сан хичээл хийх тайван орчинг бүрдүүлж чаддаг уу? a. Тийм b. Үгүй c. d. Хариулт b Асуулт 4: Хичээлээс гадуурх зохиолын ном унших сонирхолтой юу? a. Тийм b. Үгүй c. d. Хариулт а Асуулт 5: Та сургуулийн номын сангаас өөрт хэрэгтэй номоо авч хэрэглэдэг үү? Хуудас 28
  • 29.
    5 a. Тааруухан b. Дунд зэрэг c. Сайн d. Маш сайн Хариулт b Асуулт 6: Тухайн хичээлийн цагийг үр бүтээлтэй өнгөрөөж чаддаг уу? a. Тийм b. Үгүй c. d. Хариулт c Асуулт 7: Сурхад тань ямар нэгэн хүндрэлтэй асуудал байдаг уу? a. Тийм b. Үгүй c. d. Хариулт b Асуулт 8: Нөхдийнхөө саналыг ангийн сурагчид бүгд сонсдог уу? a. Таалагдаагүй b. Дунд зэрэг c. Сайн d. Маш сайн Хариулт c Хуудас 29
  • 30.
  • 31.
  • 32.
    6 Цахим судалгаа Санамж: Судалгааны хариултыг бөглөхдөө латин цагаан толгойн жижиг үсгээр бичнэ. Овог Энхбаяр Нас 11 Анги 5 Нэр Боргилсайхан Хүйс эр Бүлэг г Асуулт 1: Та нарйин хийх дуртай хичээл Англи хэл мөн үү a. Тийм b. Үгүй c. d. Хариулт a Асуулт 2: Монгол хэлний хичээлд сонирхолтой юу? a. Тийм b. Үгүй c. d. Хариулт b Асуулт 3: Сургуулийнн номын сан хичээл хийх тайван орчинг бүрдүүлж чаддаг уу? a. Тийм b. Үгүй c. d. Хариулт c Асуулт 4: Хичээлээс гадуурх зохиолын ном унших сонирхолтой юу? a. Тийм b. Үгүй c. d. Хариулт b Асуулт 5: Та сургуулийн номын сангаас өөрт хэрэгтэй номоо авч хэрэглэдэг үү? Хуудас 32
  • 33.
    6 a. Тааруухан b. Дунд зэрэг c. Сайн d. Маш сайн Хариулт c Асуулт 6: Тухайн хичээлийн цагийг үр бүтээлтэй өнгөрөөж чаддаг уу? a. Тийм b. Үгүй c. d. Хариулт d Асуулт 7: Сурхад тань ямар нэгэн хүндрэлтэй асуудал байдаг уу? a. Тийм b. Үгүй c. d. Хариулт d Асуулт 8: Нөхдийнхөө саналыг ангийн сурагчид бүгд сонсдог уу? a. Таалагдаагүй b. Дунд зэрэг c. Сайн d. Маш сайн Хариулт c Хуудас 33
  • 34.
  • 35.
  • 36.
    7 Цахим судалгаа Санамж: Судалгааны хариултыг бөглөхдөө латин цагаан толгойн жижиг үсгээр бичнэ. Овог Наранцацрал Нас 11 Анги 5 Нэр Батхаан Хүйс эр Бүлэг г Асуулт 1: Та нарйин хийх дуртай хичээл Англи хэл мөн үү a. Тийм b. Үгүй c. d. Хариулт b Асуулт 2: Монгол хэлний хичээлд сонирхолтой юу? a. Тийм b. Үгүй c. d. Хариулт a Асуулт 3: Сургуулийнн номын сан хичээл хийх тайван орчинг бүрдүүлж чаддаг уу? a. Тийм b. Үгүй c. d. Хариулт d Асуулт 4: Хичээлээс гадуурх зохиолын ном унших сонирхолтой юу? a. Тийм b. Үгүй c. d. Хариулт а Асуулт 5: Та сургуулийн номын сангаас өөрт хэрэгтэй номоо авч хэрэглэдэг үү? Хуудас 36
  • 37.
    7 a. Тааруухан b. Дунд зэрэг c. Сайн d. Маш сайн Хариулт d Асуулт 6: Тухайн хичээлийн цагийг үр бүтээлтэй өнгөрөөж чаддаг уу? a. Тийм b. Үгүй c. d. Хариулт b Асуулт 7: Сурхад тань ямар нэгэн хүндрэлтэй асуудал байдаг уу? a. Тийм b. Үгүй c. d. Хариулт b Асуулт 8: Нөхдийнхөө саналыг ангийн сурагчид бүгд сонсдог уу? a. Таалагдаагүй b. Дунд зэрэг c. Сайн d. Маш сайн Хариулт a Хуудас 37
  • 38.
  • 39.
  • 40.
    8 Цахим судалгаа Санамж: Судалгааны хариултыг бөглөхдөө латин цагаан толгойн жижиг үсгээр бичнэ. Овог Алтангэрэл Нас 12 Анги 5 Нэр Буянтогтох Хүйс эр Бүлэг г Асуулт 1: Та нарйин хийх дуртай хичээл Англи хэл мөн үү a. Тийм b. Үгүй c. d. Хариулт a Асуулт 2: Монгол хэлний хичээлд сонирхолтой юу? a. Тийм b. Үгүй c. d. Хариулт a Асуулт 3: Сургуулийнн номын сан хичээл хийх тайван орчинг бүрдүүлж чаддаг уу? a. Тийм b. Үгүй c. d. Хариулт b Асуулт 4: Хичээлээс гадуурх зохиолын ном унших сонирхолтой юу? a. Тийм b. Үгүй c. d. Хариулт а Асуулт 5: Та сургуулийн номын сангаас өөрт хэрэгтэй номоо авч хэрэглэдэг үү? Хуудас 40
  • 41.
    8 a. Тааруухан b. Дунд зэрэг c. Сайн d. Маш сайн Хариулт a Асуулт 6: Тухайн хичээлийн цагийг үр бүтээлтэй өнгөрөөж чаддаг уу? a. Тийм b. Үгүй c. d. Хариулт b Асуулт 7: Сурхад тань ямар нэгэн хүндрэлтэй асуудал байдаг уу? a. Тийм b. Үгүй c. d. Хариулт b Асуулт 8: Нөхдийнхөө саналыг ангийн сурагчид бүгд сонсдог уу? a. Таалагдаагүй b. Дунд зэрэг c. Сайн d. Маш сайн Хариулт c Хуудас 41
  • 42.
  • 43.
  • 44.
    9 Цахим судалгаа Санамж: Судалгааны хариултыг бөглөхдөө латин цагаан толгойн жижиг үсгээр бичнэ. Овог Насантогтох Нас 11 Анги 5 Нэр Санчирмаа Хүйс эм Бүлэг г Асуулт 1: Та нарйин хийх дуртай хичээл Англи хэл мөн үү a. Тийм b. Үгүй c. d. Хариулт b Асуулт 2: Монгол хэлний хичээлд сонирхолтой юу? a. Тийм b. Үгүй c. d. Хариулт a Асуулт 3: Сургуулийнн номын сан хичээл хийх тайван орчинг бүрдүүлж чаддаг уу? a. Тийм b. Үгүй c. d. Хариулт a Асуулт 4: Хичээлээс гадуурх зохиолын ном унших сонирхолтой юу? a. Тийм b. Үгүй c. d. Хариулт а Асуулт 5: Та сургуулийн номын сангаас өөрт хэрэгтэй номоо авч хэрэглэдэг үү? Хуудас 44
  • 45.
    9 a. Тааруухан b. Дунд зэрэг c. Сайн d. Маш сайн Хариулт b Асуулт 6: Тухайн хичээлийн цагийг үр бүтээлтэй өнгөрөөж чаддаг уу? a. Тийм b. Үгүй c. d. Хариулт b Асуулт 7: Сурхад тань ямар нэгэн хүндрэлтэй асуудал байдаг уу? a. Тийм b. Үгүй c. d. Хариулт b Асуулт 8: Нөхдийнхөө саналыг ангийн сурагчид бүгд сонсдог уу? a. Таалагдаагүй b. Дунд зэрэг c. Сайн d. Маш сайн Хариулт c Хуудас 45
  • 46.
  • 47.
  • 48.
    10 Цахим судалгаа Санамж: Судалгааны хариултыг бөглөхдөө латин цагаан толгойн жижиг үсгээр бичнэ. Овог Энхбаатар Нас 11 Анги 5 Нэр Мөнхжин Хүйс эм Бүлэг г Асуулт 1: Та нарйин хийх дуртай хичээл Англи хэл мөн үү a. Тийм b. Үгүй c. d. Хариулт a Асуулт 2: Монгол хэлний хичээлд сонирхолтой юу? a. Тийм b. Үгүй c. d. Хариулт a Асуулт 3: Сургуулийнн номын сан хичээл хийх тайван орчинг бүрдүүлж чаддаг уу? a. Тийм b. Үгүй c. d. Хариулт a Асуулт 4: Хичээлээс гадуурх зохиолын ном унших сонирхолтой юу? a. Тийм b. Үгүй c. d. Хариулт a Асуулт 5: Та сургуулийн номын сангаас өөрт хэрэгтэй номоо авч хэрэглэдэг үү? Хуудас 48
  • 49.
    10 a. Тааруухан b. Дунд зэрэг c. Сайн d. Маш сайн Хариулт c Асуулт 6: Тухайн хичээлийн цагийг үр бүтээлтэй өнгөрөөж чаддаг уу? a. Тийм b. Үгүй c. d. Хариулт b Асуулт 7: Сурхад тань ямар нэгэн хүндрэлтэй асуудал байдаг уу? a. Тийм b. Үгүй c. d. Хариулт b Асуулт 8: Нөхдийнхөө саналыг ангийн сурагчид бүгд сонсдог уу? a. Таалагдаагүй b. Дунд зэрэг c. Сайн d. Маш сайн Хариулт c Хуудас 49
  • 50.
  • 51.
  • 52.
    11 Цахим судалгаа Санамж: Судалгааны хариултыг бөглөхдөө латин цагаан толгойн жижиг үсгээр бичнэ. Овог Түвшинбаяр Нас 11 Анги 5 Нэр Биндэрьяа Хүйс эм Бүлэг г Асуулт 1: Та нарйин хийх дуртай хичээл Англи хэл мөн үү a. Тийм b. Үгүй c. d. Хариулт a Асуулт 2: Монгол хэлний хичээлд сонирхолтой юу? a. Тийм b. Үгүй c. d. Хариулт a Асуулт 3: Сургуулийнн номын сан хичээл хийх тайван орчинг бүрдүүлж чаддаг уу? a. Тийм b. Үгүй c. d. Хариулт a Асуулт 4: Хичээлээс гадуурх зохиолын ном унших сонирхолтой юу? a. Тийм b. Үгүй c. d. Хариулт a Асуулт 5: Та сургуулийн номын сангаас өөрт хэрэгтэй номоо авч хэрэглэдэг үү? Хуудас 52
  • 53.
    11 a. Тааруухан b. Дунд зэрэг c. Сайн d. Маш сайн Хариулт c Асуулт 6: Тухайн хичээлийн цагийг үр бүтээлтэй өнгөрөөж чаддаг уу? a. Тийм b. Үгүй c. d. Хариулт a Асуулт 7: Сурхад тань ямар нэгэн хүндрэлтэй асуудал байдаг уу? a. Тийм b. Үгүй c. d. Хариулт a Асуулт 8: Нөхдийнхөө саналыг ангийн сурагчид бүгд сонсдог уу? a. Таалагдаагүй b. Дунд зэрэг c. Сайн d. Маш сайн Хариулт d Хуудас 53
  • 54.
  • 55.
  • 56.
    12 Цахим судалгаа Санамж: Судалгааны хариултыг бөглөхдөө латин цагаан толгойн жижиг үсгээр бичнэ. Овог Сүхбат Нас 11 Анги 5 Нэр Бат­Ирээдүй Хүйс эр Бүлэг г Асуулт 1: Та нарйин хийх дуртай хичээл Англи хэл мөн үү a. Тийм b. Үгүй c. d. Хариулт а Асуулт 2: Монгол хэлний хичээлд сонирхолтой юу? a. Тийм b. Үгүй c. d. Хариулт a Асуулт 3: Сургуулийнн номын сан хичээл хийх тайван орчинг бүрдүүлж чаддаг уу? a. Тийм b. Үгүй c. d. Хариулт d Асуулт 4: Хичээлээс гадуурх зохиолын ном унших сонирхолтой юу? a. Тийм b. Үгүй c. d. Хариулт a Асуулт 5: Та сургуулийн номын сангаас өөрт хэрэгтэй номоо авч хэрэглэдэг үү? Хуудас 56
  • 57.
    12 a. Тааруухан b. Дунд зэрэг c. Сайн d. Маш сайн Хариулт b Асуулт 6: Тухайн хичээлийн цагийг үр бүтээлтэй өнгөрөөж чаддаг уу? a. Тийм b. Үгүй c. d. Хариулт a Асуулт 7: Сурхад тань ямар нэгэн хүндрэлтэй асуудал байдаг уу? a. Тийм b. Үгүй c. d. Хариулт b Асуулт 8: Нөхдийнхөө саналыг ангийн сурагчид бүгд сонсдог уу? a. Таалагдаагүй b. Дунд зэрэг c. Сайн d. Маш сайн Хариулт d Хуудас 57
  • 58.
  • 59.
  • 60.
    13 Цахим судалгаа Санамж: Судалгааны хариултыг бөглөхдөө латин цагаан толгойн жижиг үсгээр бичнэ. Овог Эрдэнэбаатар Нас 11 Анги 5 Нэр Мөнхцэцэг Хүйс эм Бүлэг г Асуулт 1: Та нарйин хийх дуртай хичээл Англи хэл мөн үү a. Тийм b. Үгүй c. d. Хариулт a Асуулт 2: Монгол хэлний хичээлд сонирхолтой юу? a. Тийм b. Үгүй c. d. Хариулт a Асуулт 3: Сургуулийнн номын сан хичээл хийх тайван орчинг бүрдүүлж чаддаг уу? a. Тийм b. Үгүй c. d. Хариулт b Асуулт 4: Хичээлээс гадуурх зохиолын ном унших сонирхолтой юу? a. Тийм b. Үгүй c. d. Хариулт а Асуулт 5: Та сургуулийн номын сангаас өөрт хэрэгтэй номоо авч хэрэглэдэг үү? Хуудас 60
  • 61.
    13 a. Тааруухан b. Дунд зэрэг c. Сайн d. Маш сайн Хариулт a Асуулт 6: Тухайн хичээлийн цагийг үр бүтээлтэй өнгөрөөж чаддаг уу? a. Тийм b. Үгүй c. d. Хариулт b Асуулт 7: Сурхад тань ямар нэгэн хүндрэлтэй асуудал байдаг уу? a. Тийм b. Үгүй c. d. Хариулт b Асуулт 8: Нөхдийнхөө саналыг ангийн сурагчид бүгд сонсдог уу? a. Таалагдаагүй b. Дунд зэрэг c. Сайн d. Маш сайн Хариулт c Хуудас 61
  • 62.
  • 63.
  • 64.
    14 Цахим судалгаа Санамж: Судалгааны хариултыг бөглөхдөө латин цагаан толгойн жижиг үсгээр бичнэ. Овог Сэргэлэн Нас 12 Анги 5 Нэр Баттуяа Хүйс эм Бүлэг г Асуулт 1: Та нарйин хийх дуртай хичээл Англи хэл мөн үү a. Тийм b. Үгүй c. d. Хариулт а Асуулт 2: Монгол хэлний хичээлд сонирхолтой юу? a. Тийм b. Үгүй c. d. Хариулт a Асуулт 3: Сургуулийнн номын сан хичээл хийх тайван орчинг бүрдүүлж чаддаг уу? a. Тийм b. Үгүй c. d. Хариулт a Асуулт 4: Хичээлээс гадуурх зохиолын ном  унших сонирхолтой юу? a. Тийм b. Үгүй c. d. Хариулт а Асуулт 5: Та сургуулийн номын сангаас өөрт хэрэгтэй номоо авч хэрэглэдэг үү? Хуудас 64
  • 65.
    14 a. Тааруухан b. Дунд зэрэг c. Сайн d. Маш сайн Хариулт a Асуулт 6: Тухайн хичээлийн цагийг үр бүтээлтэй өнгөрөөж чаддаг уу? a. Тийм b. Үгүй c. d. Хариулт b Асуулт 7: Сурхад тань ямар нэгэн хүндрэлтэй асуудал байдаг уу? a. Тийм b. Үгүй c. d. Хариулт b Асуулт 8: Нөхдийнхөө саналыг ангийн сурагчид бүгд сонсдог уу? a. Таалагдаагүй b. Дунд зэрэг c. Сайн d. Маш сайн Хариулт c Хуудас 65
  • 66.
  • 67.
  • 68.
    15 Цахим судалгаа Санамж: Судалгааны хариултыг бөглөхдөө латин цагаан толгойн жижиг үсгээр бичнэ. Овог Одбаяр Нас 11 Анги 5 Нэр Дулмаа Хүйс эм Бүлэг г Асуулт 1: Та нарйин хийх дуртай хичээл Англи хэл мөн үү a. Тийм b. Үгүй c. d. Хариулт a Асуулт 2: Монгол хэлний хичээлд сонирхолтой юу? a. Тийм b. Үгүй c. d. Хариулт a Асуулт 3: Сургуулийнн номын сан хичээл хийх тайван орчинг бүрдүүлж чаддаг уу? a. Тийм b. Үгүй c. d. Хариулт b Асуулт 4: Хичээлээс гадуурх зохиолын ном унших сонирхолтой юу? a. Тийм b. Үгүй c. d. Хариулт a Асуулт 5: Та сургуулийн номын сангаас өөрт хэрэгтэй номоо авч хэрэглэдэг үү? Хуудас 68
  • 69.
    15 a. Тааруухан b. Дунд зэрэг c. Сайн d. Маш сайн Хариулт b Асуулт 6: Тухайн хичээлийн цагийг үр бүтээлтэй өнгөрөөж чаддаг уу? a. Тийм b. Үгүй c. d. Хариулт a Асуулт 7: Сурхад тань ямар нэгэн хүндрэлтэй асуудал байдаг уу? a. Тийм b. Үгүй c. d. Хариулт b Асуулт 8: Нөхдийнхөө саналыг ангийн сурагчид бүгд сонсдог уу? a. Таалагдаагүй b. Дунд зэрэг c. Сайн d. Маш сайн Хариулт c Хуудас 69
  • 70.
  • 71.
  • 72.
    16 Цахим судалгаа Санамж: Судалгааны хариултыг бөглөхдөө латин цагаан толгойн жижиг үсгээр бичнэ. Овог Болд Нас 11 Анги 5 Нэр Сандагдорж Хүйс эр Бүлэг г Асуулт 1: Та нарйин хийх дуртай хичээл Англи хэл мөн үү a. Тийм b. Үгүй c. d. Хариулт d Асуулт 2: Монгол хэлний хичээлд сонирхолтой юу? a. Тийм b. Үгүй c. d. Хариулт b Асуулт 3: Сургуулийнн номын сан хичээл хийх тайван орчинг бүрдүүлж чаддаг уу? a. Тийм b. Үгүй c. d. Хариулт c Асуулт 4: Хичээлээс гадуурх зохиолын ном унших сонирхолтой юу? a. Тийм b. Үгүй c. d. Хариулт a Асуулт 5: Та сургуулийн номын сангаас өөрт хэрэгтэй номоо авч хэрэглэдэг үү? Хуудас 72
  • 73.
    16 a. Тааруухан b. Дунд зэрэг c. Сайн d. Маш сайн Хариулт a Асуулт 6: Тухайн хичээлийн цагийг үр бүтээлтэй өнгөрөөж чаддаг уу? a. Тийм b. Үгүй c. d. Хариулт a Асуулт 7: Сурхад тань ямар нэгэн хүндрэлтэй асуудал байдаг уу? a. Тийм b. Үгүй c. d. Хариулт b Асуулт 8: Нөхдийнхөө саналыг ангийн сурагчид бүгд сонсдог уу? a. Таалагдаагүй b. Дунд зэрэг c. Сайн d. Маш сайн Хариулт c Хуудас 73
  • 74.
  • 75.
  • 76.
    17 Цахим судалгаа Санамж: Судалгааны хариултыг бөглөхдөө латин цагаан толгойн жижиг үсгээр бичнэ. Овог Ганзориг Нас 12 Анги 5 Нэр Номин Хүйс эм Бүлэг г Асуулт 1: Та нарйин хийх дуртай хичээл Англи хэл мөн үү a. Тийм b. Үгүй c. d. Хариулт a Асуулт 2: Монгол хэлний хичээлд сонирхолтой юу? a. Тийм b. Үгүй c. d. Хариулт b Асуулт 3: Сургуулийнн номын сан хичээл хийх тайван орчинг бүрдүүлж чаддаг уу? a. Тийм b. Үгүй c. d. Хариулт d Асуулт 4: Хичээлээс гадуурх сургалтын ном унших сонирхолтой юу? a. Тийм b. Үгүй c. d. Хариулт a Асуулт 5: Та сургуулийн номын сангаас өөрт хэрэгтэй номоо авч хэрэглэдэг үү? Хуудас 76
  • 77.
    17 a. Тааруухан b. Дунд зэрэг c. Сайн d. Маш сайн Хариулт a Асуулт 6: Тухайн хичээлийн цагийг үр бүтээлтэй өнгөрөөж чаддаг уу? a. Тийм b. Үгүй c. d. Хариулт c Асуулт 7: Сурхад тань ямар нэгэн хүндрэлтэй асуудал байдаг уу? a. Тийм b. Үгүй c. d. Хариулт b Асуулт 8: Нөхдийнхөө саналыг ангийн сурагчид бүгд сонсдог уу? a. Таалагдаагүй b. Дунд зэрэг c. Сайн d. Маш сайн Хариулт b Хуудас 77
  • 78.
  • 79.
  • 80.
    18 Цахим судалгаа Санамж: Судалгааны хариултыг бөглөхдөө латин цагаан толгойн жижиг үсгээр бичнэ. Овог Насан­Очир Нас 11 Анги 5 Нэр Урангоо Хүйс эм Бүлэг г Асуулт 1: Та нарйин хийх дуртай хичээл Англи хэл мөн үү a. Тийм b. Үгүй c. d. Хариулт a Асуулт 2: Монгол хэлний хичээлд сонирхолтой юу? a. Тийм b. Үгүй c. d. Хариулт a Асуулт 3: Сургуулийнн номын сан хичээл хийх тайван орчинг бүрдүүлж чаддаг уу? a. Тийм b. Үгүй c. d. Хариулт a Асуулт 4: Хичээлээс гадуурх зохиолын ном унших сонирхолтой юу? a. Тийм b. Үгүй c. d. Хариулт а Асуулт 5: Та сургуулийн номын сангаас өөрт хэрэгтэй номоо авч хэрэглэдэг үү? Хуудас 80
  • 81.
    18 a. Тааруухан b. Дунд зэрэг c. Сайн d. Маш сайн Хариулт c Асуулт 6: Тухайн хичээлийн цагийг үр бүтээлтэй өнгөрөөж чаддаг уу? a. Тийм b. Үгүй c. d. Хариулт b Асуулт 7: Сурхад тань ямар нэгэн хүндрэлтэй асуудал байдаг уу? a. Тийм b. Үгүй c. d. Хариулт b Асуулт 8: Нөхдийнхөө саналыг ангийн сурагчид бүгд сонсдог уу? a. Таалагдаагүй b. Дунд зэрэг c. Сайн d. Маш сайн Хариулт c Хуудас 81
  • 82.
  • 83.
  • 84.
    19 Цахим судалгаа Санамж: Судалгааны хариултыг бөглөхдөө латин цагаан толгойн жижиг үсгээр бичнэ. Овог Оюунцэцэг Нас 12 Анги 5 Нэр Шижирбаатар Хүйс эр Бүлэг г Асуулт 1: Та нарйин хийх дуртай хичээл Англи хэл мөн үү a. Тийм b. Үгүй c. d. Хариулт a Асуулт 2: Монгол хэлний хичээлд сонирхолтой юу? a. Тийм b. Үгүй c. d. Хариулт a Асуулт 3: Сургуулийнн номын сан хичээл хийх тайван орчинг бүрдүүлж чаддаг уу? a. Тийм b. Үгүй c. d. Хариулт b Асуулт 4: Хичээлээс гадуурх зохиолын ном унших сонирхолтой юу? a. Тийм b. Үгүй c. d. Хариулт а Асуулт 5: Та сургуулийн номын сангаас өөрт хэрэгтэй номоо авч хэрэглэдэг үү? Хуудас 84
  • 85.
    19 a. Тааруухан b. Дунд зэрэг c. Сайн d. Маш сайн Хариулт d Асуулт 6: Тухайн хичээлийн цагийг үр бүтээлтэй өнгөрөөж чаддаг уу? a. Тийм b. Үгүй c. d. Хариулт a Асуулт 7: Сурхад тань ямар нэгэн хүндрэлтэй асуудал байдаг уу? a. Тийм b. Үгүй c. d. Хариулт a Асуулт 8: Нөхдийнхөө саналыг ангийн сурагчид бүгд сонсдог уу? a. Таалагдаагүй b. Дунд зэрэг c. Сайн d. Маш сайн Хариулт a Хуудас 85
  • 86.
  • 87.
  • 88.
    20 Цахим судалгаа Санамж: Судалгааны хариултыг бөглөхдөө латин цагаан толгойн жижиг үсгээр бичнэ. Овог Ууганбаяр Нас 12 Анги 5 Нэр Хүслэн Хүйс эм Бүлэг г Асуулт 1: Та нарйин хийх дуртай хичээл Англи хэл мөн үү a. Тийм b. Үгүй c. d. Хариулт a Асуулт 2: Монгол хэлний хичээлд сонирхолтой юу? a. Тийм b. Үгүй c. d. Хариулт b Асуулт 3: Сургуулийнн номын сан хичээл хийх тайван орчинг бүрдүүлж чаддаг уу? a. Тийм b. Үгүй c. d. Хариулт b Асуулт 4: Хичээлээс гадуурх зохиолын ном унших сонирхолтой юу? a. Тийм b. Үгүй c. d. Хариулт a Асуулт 5: Та сургуулийн номын сангаас өөрт хэрэгтэй номоо авч хэрэглэдэг үү? Хуудас 88
  • 89.
    20 a. Тааруухан b. Дунд зэрэг c. Сайн d. Маш сайн Хариулт a Асуулт 6: Тухайн хичээлийн цагийг үр бүтээлтэй өнгөрөөж чаддаг уу? a. Тийм b. Үгүй c. d. Хариулт a Асуулт 7: Сурхад тань ямар нэгэн хүндрэлтэй асуудал байдаг уу? a. Тийм b. Үгүй c. d. Хариулт a Асуулт 8: Нөхдийнхөө саналыг ангийн сурагчид бүгд сонсдог уу? a. Таалагдаагүй b. Дунд зэрэг c. Сайн d. Маш сайн Хариулт c Хуудас 89
  • 90.
  • 91.