Анализ


                                                                                       Сурагчдын сэтгэл ханамжийн судалгаа
БЗЦСургууль
                                                             1                                 2                                    3                                 4                                                                   5                                       6                                 7

                                                                                         Та өөрийгөө бие
                                                                                                                                                                                                                                                Мэргэжил бүхэ
                                                         Та нар ирээдүйн Таны сонголтонд дааж шийдвэр     Танд найз                                                                                         Стандарт хангалт хэр   Танд сурах
                                                                                                                                                                                                                                                  сайхан гэдэгт
                                                           мэргэжилээ      эцэг эхчүүд   гаргах түвшинд нөхдийн санал                                                                                        эзэмшсэн гэж үзэж   сонирхол байна
                                                                                                                                                                                                                                                санал нэг байда
                                                          сонгосон уу ?   нөлөөлдөг үү? хүрсэн гэж үздэг нөлөөлдөг үү?                                                                                            байна.               уу?
                                                                                                                                                                                                                                                      уу?
                                                                                               үү?




                                    Бүлэг


                                                  Хүйс
                             Анги


                                            Нас
№      Овог         Нэр




                                                                                                                                                                                                                          b. Дунд зэрэг
                                                                                                                                                                                                       a. Тааруухан




                                                                                                                                                                                                                                                            d. Маш сайн
                                                         a. Тийм




                                                                                           a. Тийм




                                                                                                                                a. Тийм




                                                                                                                                                                  a. Тийм




                                                                                                                                                                                                                                                                              a. Тийм




                                                                                                                                                                                                                                                                                                                a. Тийм
                                                                                                                                                                                                                                              c. Сайн
                                                                    b. Үгүй




                                                                                                         b. Үгүй




                                                                                                                                           b. Үгүй




                                                                                                                                                                                b. Үгүй




                                                                                                                                                                                                                                                                                         b. Үгүй
                                                                                  c.




                                                                                                                       c.




                                                                                                                                                         c.




                                                                                                                                                                                              c.




                                                                                                                                                                                                                                                                                                       c.
 1 Баярмаа      Алтанзул     ###     а       17   эм            1             0        0             1             0        0          1             0        0             0             1        0                  0                   0             1                 0          1             0        0          1
 2 Норжинжав    Даваацэрэн   11      а       16   эм            1             0        0             1             0        0          1             0        0             1             1        0                  0                   0             0                 1          1             0        0          1
 3 Бат-эрдэнэ   Батхүү       11      а       17   эр            1             0        0             0             1        0          1             0        0             1             0        0                  0                   1             0                 0          1             0        0          1
 4 Энхтуяа      Мөнгөнсүлд   11      а       18   эр            1             0        0             0             1        1          1             0        0             1             0        0                  0                   1             0                 0          1             0        0          1
 5 Өсөхбаяр     Бат-Итгэл    11      0       18   эр            1             0        0             1             0        0          1             0        0             0             1        0                  0                   0             0                 1          1             0        0          1
 6 Цэвээндорж   Хонгорзул    11      0       18   эм            1             0        0             1             0        0          1             0        0             0             1        0                  0                   0             0                 1          1             0        0          1
 7 Бүдээ        Очирбат      11      0       17   эр            1             0        0             0             1        1          1             0        0             1             0        0                  0                   0             1                 0          1             0        0          1
 8 Болдбат      Баярмаа      11      0       18   эм            1             0        0             0             1        1          1             0        0             1             0        0                  0                   0             1                 0          1             0        0          1
 9 Энхээ        Ганзориг     11      0       18   эр            1             0        0             0             1        1          1             0        0             1             0        0                  0                   0             1                 0          1             0        0          1
10 Долгоржав    Хүрлээ       11      0       17   эр            1             0        0             0             1        1          1             0        0             0             1        0                  0                   0             0                 1          1             0        0          1
    Нийт                                                       10             0        0             4             6        5         10             0        0             6             5        0                  0                   2             4                 4         10             0        0         10




                                                                                                               Хуудас 1
Анализ




                                                    8

ргэжил бүхэн
                Стандарт мэдлэгийн
айхан гэдэгт
               тест танд таалагдсан
 ал нэг байдаг
                        уу?
    уу?
                     Таалагдаагүй
                                    b. Дунд зэрэг




                                                                      d. Маш сайн
                                                        c. Сайн
  b. Үгүй



                          a.
                c.




            0        0        0                     0             0                 1
            0        0        0                     0             1                 0
            0        0        0                     1             0                 0
            0        0        0                     0             1                 0
            0        0        0                     1             0                 0
            0        0        0                     1             0                 0
            0        0        0                     1             0                 0
            0        0        1                     0             0                 0
            0        0        0                     0             1                 0
            0        0        0                     0             0                 1
            0        0        1                     4             3                 2




                                                                                        Хуудас 2
Анализ




Хуудас 3
Анализ




Хуудас 4
График



                                                   Судалгааны нэгтгэл
Асуулт 1:
                                         Та нар ирээдүйн мэргэжилээ сонгосон уу ?
     Судалгаанд оролцсон нийт             a. Тийм              b. Үгүй      c.                          0
                0                            10                   0                       0        #NAME?



                                    10

                                     9

                                     8

                                     7
                                                                  a. Тийм
                                     6
                                                                  b. Үгүй
                                     5                            c.
                                                                  0
                                     4

                                     3

                                     2

                                     1

                                     0




Асуулт 2:
                                         Таны сонголтонд эцэг эхчүүд нөлөөлдөг үү?
     Судалгаанд оролцсон нийт              a. Тийм             b. Үгүй               c.          0
                0                              4                  6                  5        #NAME?



                                6


                                5

                                                              Хуудас 5
                                4                              a. Тийм
                                                               b. Үгүй
График


                                6


                                5


                                4                              a. Тийм
                                                               b. Үгүй
                                3                              c.
                                                               0

                                2


                                1


                                0




Асуулт 3:
                              Та өөрийгөө бие дааж шийдвэр гаргах түвшинд хүрсэн гэж үздэг үү?
     Судалгаанд оролцсон нийт              a. Тийм              b. Үгүй                  c.         0
                0                             10                   0                     0       #NAME?




                                                              Хуудас 6
График



                                10

                                    9

                                    8

                                    7
                                                            a. Тийм
                                    6
                                                            b. Үгүй
                                    5                       c.
                                                            0
                                    4

                                    3

                                    2

                                    1

                                    0




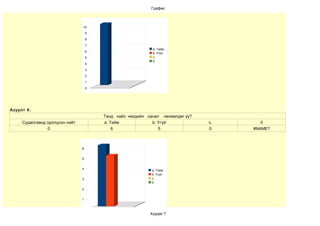
Асуулт 4:
                                        Танд найз нөхдийн санал нөлөөлдөг үү?
     Судалгаанд оролцсон нийт           a. Тийм             b. Үгүй             c.      0
                0                           6                  5                0    #NAME?



                                6


                                5


                                4                           a. Тийм
                                                            b. Үгүй
                                3                           c.
                                                            0

                                2


                                1


                                0
                                                           Хуудас 7
1
                                                                 График
                                0


Асуулт 5:
                                         Стандарт хангалт хэр эзэмшсэн гэж үзэж байна.
     Судалгаанд оролцсон нийт           a. Тааруухан           b. Дунд зэрэг             c. Сайн   d. Маш сайн
                0                             0                      2                       4          4



                                    4

                                3.5

                                    3
                                                               a.
                                                               Тааруухан
                                2.5
                                                               b. Дунд
                                                               зэрэг
                                    2
                                                               c. Сайн
                                                               d. Маш
                                1.5                            сайн

                                    1

                                0.5

                                    0




Асуулт 6:
                                              Танд сурах сонирхол байна уу?
     Судалгаанд оролцсон нийт             a. Тийм              b. Үгүй                     c.          0
                0                            10                   0                        0        #NAME?




                                                                Хуудас 8
График




                            10

                                9

                                8

                                7
                                                           a. Тийм
                                6
                                                           b. Үгүй
                                5                          c.
                                                           0
                                4

                                3

                                2

                                1

                                0




Асуулт 7:
                                    Мэргэжил бүхэн сайхан гэдэгт санал нэг байдаг уу?
     Судалгаанд оролцсон нийт          a. Тийм                b. Үгүй                   c.      0
                0                         10                     0                      0    #NAME?




                                                              Хуудас 9
График




                                10

                                 9

                                 8

                                 7
                                                            a. Тийм
                                 6
                                                            b. Үгүй
                                 5                          c.
                                                            0
                                 4

                                 3

                                 2

                                 1

                                 0




Асуулт 8:
                                        Стандарт мэдлэгийн тест танд таалагдсан уу?
     Судалгаанд оролцсон нийт        a. Таалагдаагүй         b. Дунд зэрэг            c. Сайн   d. Маш сайн
                0                           1                      4                      3          2




                                                             Хуудас 10
График




 4

3.5

 3    a.
      Таалагдааг
2.5   үй
      b. Дунд
 2    зэрэг
      c. Сайн
1.5   d. Маш
      сайн
 1

0.5

 0




          Хуудас 11
1



                                                                                     Цахим судалгаа
   Санамж: Судалгааны хариултыг бөглөхдөө латин цагаан толгойн жижиг үсгээр бичнэ.

Овог                Баярмаа                                                          Нас    17         Анги
Нэр                 Алтанзул                                                         Хүйс   эм         Бүлэг
Асуулт 1:

       Та нар ирээдүйн мэргэжилээ сонгосон уу ?

             a. Тийм               b. Үгүй                                   c.                  Хариулт       a

Асуулт 2:


       Таны сонголтонд эцэг эхчүүд нөлөөлдөг үү?

             a. Тийм               b. Үгүй                                   c.                  Хариулт       a

Асуулт 3:


       Та өөрийгөө бие дааж шийдвэр гаргах түвшинд хүрсэн гэж үздэг үү?

             a. Тийм               b. Үгүй                                   c.                  Хариулт       a

Асуулт 4:



       Танд найз нөхдийн санал          нөлөөлдөг үү?

             a. Тийм               b. Үгүй                                   c.                  Хариулт       b

Асуулт 5:


       Стандарт хангалт хэр эзэмшсэн гэж үзэж байна.

                                                                   Хуудас 12
1
             a. Тааруухан      b. Дунд зэрэг                       c. Сайн   d. Маш сайн   Хариулт   c

Асуулт 6:

       Танд сурах сонирхол байна уу?

             a. Тийм           b. Үгүй                             c.                      Хариулт   a

Асуулт 7:

       Мэргэжил бүхэн сайхан гэдэгт санал нэг байдаг уу?

             a. Тийм           b. Үгүй                             c.                      Хариулт   a

Асуулт 8:

       Стандарт мэдлэгийн тест танд таалагдсан уу?
             a. Таалагдаагүй   b. Дунд зэрэг                       c. Сайн   d. Маш сайн   Хариулт   d




                                                           Хуудас 13
1



а
    11
    а




         Хуудас 14
1




Хуудас 15
2



                                                                                     Цахим судалгаа
   Санамж: Судалгааны хариултыг бөглөхдөө латин цагаан толгойн жижиг үсгээр бичнэ.

Овог              Норжинжав                                                          Нас    16         Анги
Нэр               Даваацэрэн                                                         Хүйс   эм         Бүлэг
Асуулт 1:

       Та нар ирээдүйн мэргэжилээ сонгосон уу ?

             a. Тийм               b. Үгүй                                   c.                  Хариулт       a

Асуулт 2:


       Таны сонголтонд эцэг эхчүүд нөлөөлдөг үү?

             a. Тийм               b. Үгүй                                   c.                  Хариулт       a

Асуулт 3:


       Та өөрийгөө бие дааж шийдвэр гаргах түвшинд хүрсэн гэж үздэг үү?

             a. Тийм               b. Үгүй                                   c.                  Хариулт       a

Асуулт 4:



       Танд найз нөхдийн санал          нөлөөлдөг үү?

             a. Тийм               b. Үгүй                                   c.                  Хариулт       b

Асуулт 5:


       Стандарт хангалт хэр эзэмшсэн гэж үзэж байна.

                                                                   Хуудас 16
2
             a. Тааруухан      b. Дунд зэрэг                       c. Сайн   d. Маш сайн   Хариулт   d

Асуулт 6:

       Танд сурах сонирхол байна уу?

             a. Тийм           b. Үгүй                             c.                      Хариулт   a

Асуулт 7:

       Мэргэжил бүхэн сайхан гэдэгт санал нэг байдаг уу?

             a. Тийм           b. Үгүй                             c.                      Хариулт   a

Асуулт 8:

       Стандарт мэдлэгийн тест танд таалагдсан уу?
             a. Таалагдаагүй   b. Дунд зэрэг                       c. Сайн   d. Маш сайн   Хариулт   c




                                                           Хуудас 17
2



а
    11
    а




         Хуудас 18
2




Хуудас 19
3



                                                                                     Цахим судалгаа
   Санамж: Судалгааны хариултыг бөглөхдөө латин цагаан толгойн жижиг үсгээр бичнэ.

Овог               Бат-эрдэнэ                                                        Нас    17         Анги
Нэр                  Батхүү                                                          Хүйс   эр         Бүлэг
Асуулт 1:

       Та нар ирээдүйн мэргэжилээ сонгосон уу ?

             a. Тийм               b. Үгүй                                   c.                  Хариулт       a

Асуулт 2:


       Таны сонголтонд эцэг эхчүүд нөлөөлдөг үү?

             a. Тийм               b. Үгүй                                   c.                  Хариулт       b

Асуулт 3:


       Та өөрийгөө бие дааж шийдвэр гаргах түвшинд хүрсэн гэж үздэг үү?

             a. Тийм               b. Үгүй                                   c.                  Хариулт       a

Асуулт 4:



       Танд найз нөхдийн санал          нөлөөлдөг үү?

             a. Тийм               b. Үгүй                                   c.                  Хариулт       a

Асуулт 5:


       Стандарт хангалт хэр эзэмшсэн гэж үзэж байна.

                                                                   Хуудас 20
3
             a. Тааруухан      b. Дунд зэрэг                       c. Сайн   d. Маш сайн   Хариулт   b

Асуулт 6:

       Танд сурах сонирхол байна уу?

             a. Тийм           b. Үгүй                             c.                      Хариулт   a

Асуулт 7:

       Мэргэжил бүхэн сайхан гэдэгт санал нэг байдаг уу?

             a. Тийм           b. Үгүй                             c.                      Хариулт   a

Асуулт 8:

       Стандарт мэдлэгийн тест танд таалагдсан уу?
             a. Таалагдаагүй   b. Дунд зэрэг                       c. Сайн   d. Маш сайн   Хариулт   b




                                                           Хуудас 21
3



а
    11
    а




         Хуудас 22
3




Хуудас 23
4



                                                                                     Цахим судалгаа
   Санамж: Судалгааны хариултыг бөглөхдөө латин цагаан толгойн жижиг үсгээр бичнэ.

Овог               Энхтуяа                                                           Нас    18         Анги
Нэр               Мөнгөнсүлд                                                         Хүйс   эр         Бүлэг
Асуулт 1:

       Та нар ирээдүйн мэргэжилээ сонгосон уу ?

             a. Тийм               b. Үгүй                                   c.                  Хариулт       a

Асуулт 2:


       Таны сонголтонд эцэг эхчүүд нөлөөлдөг үү?

             a. Тийм               b. Үгүй                                   c.                  Хариулт       b

Асуулт 3:


       Та өөрийгөө бие дааж шийдвэр гаргах түвшинд хүрсэн гэж үздэг үү?

             a. Тийм               b. Үгүй                                   c.                  Хариулт       a

Асуулт 4:



       Танд найз нөхдийн санал          нөлөөлдөг үү?

             a. Тийм               b. Үгүй                                   c.                  Хариулт       a

Асуулт 5:


       Стандарт хангалт хэр эзэмшсэн гэж үзэж байна.

                                                                   Хуудас 24
4
             a. Тааруухан      b. Дунд зэрэг                       c. Сайн   d. Маш сайн   Хариулт   b

Асуулт 6:

       Танд сурах сонирхол байна уу?

             a. Тийм           b. Үгүй                             c.                      Хариулт   a

Асуулт 7:

       Мэргэжил бүхэн сайхан гэдэгт санал нэг байдаг уу?

             a. Тийм           b. Үгүй                             c.                      Хариулт   a

Асуулт 8:

       Стандарт мэдлэгийн тест танд таалагдсан уу?
             a. Таалагдаагүй   b. Дунд зэрэг                       c. Сайн   d. Маш сайн   Хариулт   c




                                                           Хуудас 25
4



а
    11
    а




         Хуудас 26
4




Хуудас 27
5



                                                                                     Цахим судалгаа
   Санамж: Судалгааны хариултыг бөглөхдөө латин цагаан толгойн жижиг үсгээр бичнэ.

Овог               Өсөхбаяр                                                          Нас    18         Анги
Нэр                Бат-Итгэл                                                         Хүйс   эр         Бүлэг
Асуулт 1:

       Та нар ирээдүйн мэргэжилээ сонгосон уу ?

             a. Тийм               b. Үгүй                                   c.                  Хариулт       a

Асуулт 2:


       Таны сонголтонд эцэг эхчүүд нөлөөлдөг үү?

             a. Тийм               b. Үгүй                                   c.                  Хариулт       a

Асуулт 3:


       Та өөрийгөө бие дааж шийдвэр гаргах түвшинд хүрсэн гэж үздэг үү?

             a. Тийм               b. Үгүй                                   c.                  Хариулт       a

Асуулт 4:



       Танд найз нөхдийн санал          нөлөөлдөг үү?

             a. Тийм               b. Үгүй                                   c.                  Хариулт       b

Асуулт 5:


       Стандарт хангалт хэр эзэмшсэн гэж үзэж байна.

                                                                   Хуудас 28
5
             a. Тааруухан      b. Дунд зэрэг                       c. Сайн   d. Маш сайн   Хариулт   d

Асуулт 6:

       Танд сурах сонирхол байна уу?

             a. Тийм           b. Үгүй                             c.                      Хариулт   a

Асуулт 7:

       Мэргэжил бүхэн сайхан гэдэгт санал нэг байдаг уу?

             a. Тийм           b. Үгүй                             c.                      Хариулт   a

Асуулт 8:

       Стандарт мэдлэгийн тест танд таалагдсан уу?
             a. Таалагдаагүй   b. Дунд зэрэг                       c. Сайн   d. Маш сайн   Хариулт   b




                                                           Хуудас 29
5



а
    11
    а




         Хуудас 30
5




Хуудас 31
6



                                                                                     Цахим судалгаа
   Санамж: Судалгааны хариултыг бөглөхдөө латин цагаан толгойн жижиг үсгээр бичнэ.

Овог              Цэвээндорж                                                         Нас    18         Анги
Нэр                Хонгорзул                                                         Хүйс   эм         Бүлэг
Асуулт 1:

       Та нар ирээдүйн мэргэжилээ сонгосон уу ?

             a. Тийм               b. Үгүй                                   c.                  Хариулт       a

Асуулт 2:


       Таны сонголтонд эцэг эхчүүд нөлөөлдөг үү?

             a. Тийм               b. Үгүй                                   c.                  Хариулт       a

Асуулт 3:


       Та өөрийгөө бие дааж шийдвэр гаргах түвшинд хүрсэн гэж үздэг үү?

             a. Тийм               b. Үгүй                                   c.                  Хариулт       a

Асуулт 4:



       Танд найз нөхдийн санал          нөлөөлдөг үү?

             a. Тийм               b. Үгүй                                   c.                  Хариулт       b

Асуулт 5:


       Стандарт хангалт хэр эзэмшсэн гэж үзэж байна.

                                                                   Хуудас 32
6
             a. Тааруухан      b. Дунд зэрэг                       c. Сайн   d. Маш сайн   Хариулт   d

Асуулт 6:

       Танд сурах сонирхол байна уу?

             a. Тийм           b. Үгүй                             c.                      Хариулт   a

Асуулт 7:

       Мэргэжил бүхэн сайхан гэдэгт санал нэг байдаг уу?

             a. Тийм           b. Үгүй                             c.                      Хариулт   a

Асуулт 8:

       Стандарт мэдлэгийн тест танд таалагдсан уу?
             a. Таалагдаагүй   b. Дунд зэрэг                       c. Сайн   d. Маш сайн   Хариулт   b




                                                           Хуудас 33
6



а
    11
    а




         Хуудас 34
6




Хуудас 35
7



                                                                                     Цахим судалгаа
   Санамж: Судалгааны хариултыг бөглөхдөө латин цагаан толгойн жижиг үсгээр бичнэ.

Овог                 Бүдээ                                                           Нас    17         Анги
Нэр                 Очирбат                                                          Хүйс   эр         Бүлэг
Асуулт 1:

       Та нар ирээдүйн мэргэжилээ сонгосон уу ?

             a. Тийм               b. Үгүй                                   c.                  Хариулт       a

Асуулт 2:


       Таны сонголтонд эцэг эхчүүд нөлөөлдөг үү?

             a. Тийм               b. Үгүй                                   c.                  Хариулт       b

Асуулт 3:


       Та өөрийгөө бие дааж шийдвэр гаргах түвшинд хүрсэн гэж үздэг үү?

             a. Тийм               b. Үгүй                                   c.                  Хариулт       a

Асуулт 4:



       Танд найз нөхдийн санал          нөлөөлдөг үү?

             a. Тийм               b. Үгүй                                   c.                  Хариулт       a

Асуулт 5:


       Стандарт хангалт хэр эзэмшсэн гэж үзэж байна.

                                                                   Хуудас 36
7
             a. Тааруухан      b. Дунд зэрэг                       c. Сайн   d. Маш сайн   Хариулт   c

Асуулт 6:

       Танд сурах сонирхол байна уу?

             a. Тийм           b. Үгүй                             c.                      Хариулт   a

Асуулт 7:

       Мэргэжил бүхэн сайхан гэдэгт санал нэг байдаг уу?

             a. Тийм           b. Үгүй                             c.                      Хариулт   a

Асуулт 8:

       Стандарт мэдлэгийн тест танд таалагдсан уу?
             a. Таалагдаагүй   b. Дунд зэрэг                       c. Сайн   d. Маш сайн   Хариулт   b




                                                           Хуудас 37
7



а
    11
    а




         Хуудас 38
7




Хуудас 39
8



                                                                                     Цахим судалгаа
   Санамж: Судалгааны хариултыг бөглөхдөө латин цагаан толгойн жижиг үсгээр бичнэ.

Овог                Болдбат                                                          Нас    18         Анги
Нэр                 Баярмаа                                                          Хүйс   эм         Бүлэг
Асуулт 1:

       Та нар ирээдүйн мэргэжилээ сонгосон уу ?

             a. Тийм               b. Үгүй                                   c.                  Хариулт       a

Асуулт 2:


       Таны сонголтонд эцэг эхчүүд нөлөөлдөг үү?

             a. Тийм               b. Үгүй                                   c.                  Хариулт       b

Асуулт 3:


       Та өөрийгөө бие дааж шийдвэр гаргах түвшинд хүрсэн гэж үздэг үү?

             a. Тийм               b. Үгүй                                   c.                  Хариулт       a

Асуулт 4:



       Танд найз нөхдийн санал          нөлөөлдөг үү?

             a. Тийм               b. Үгүй                                   c.                  Хариулт       a

Асуулт 5:


       Стандарт хангалт хэр эзэмшсэн гэж үзэж байна.

                                                                   Хуудас 40
8
             a. Тааруухан      b. Дунд зэрэг                       c. Сайн   d. Маш сайн   Хариулт   c

Асуулт 6:

       Танд сурах сонирхол байна уу?

             a. Тийм           b. Үгүй                             c.                      Хариулт   a

Асуулт 7:

       Мэргэжил бүхэн сайхан гэдэгт санал нэг байдаг уу?

             a. Тийм           b. Үгүй                             c.                      Хариулт   a

Асуулт 8:

       Стандарт мэдлэгийн тест танд таалагдсан уу?
             a. Таалагдаагүй   b. Дунд зэрэг                       c. Сайн   d. Маш сайн   Хариулт   a




                                                           Хуудас 41
8



а
    11
    а




         Хуудас 42
8




Хуудас 43
9



                                                                                     Цахим судалгаа
   Санамж: Судалгааны хариултыг бөглөхдөө латин цагаан толгойн жижиг үсгээр бичнэ.

Овог                 Энхээ                                                           Нас    18         Анги
Нэр                 Ганзориг                                                         Хүйс   эр         Бүлэг
Асуулт 1:

       Та нар ирээдүйн мэргэжилээ сонгосон уу ?

             a. Тийм               b. Үгүй                                   c.                  Хариулт       a

Асуулт 2:


       Таны сонголтонд эцэг эхчүүд нөлөөлдөг үү?

             a. Тийм               b. Үгүй                                   c.                  Хариулт       b

Асуулт 3:


       Та өөрийгөө бие дааж шийдвэр гаргах түвшинд хүрсэн гэж үздэг үү?

             a. Тийм               b. Үгүй                                   c.                  Хариулт       a

Асуулт 4:



       Танд найз нөхдийн санал          нөлөөлдөг үү?

             a. Тийм               b. Үгүй                                   c.                  Хариулт       a

Асуулт 5:


       Стандарт хангалт хэр эзэмшсэн гэж үзэж байна.

                                                                   Хуудас 44
9
             a. Тааруухан      b. Дунд зэрэг                       c. Сайн   d. Маш сайн   Хариулт   c

Асуулт 6:

       Танд сурах сонирхол байна уу?

             a. Тийм           b. Үгүй                             c.                      Хариулт   a

Асуулт 7:

       Мэргэжил бүхэн сайхан гэдэгт санал нэг байдаг уу?

             a. Тийм           b. Үгүй                             c.                      Хариулт   a

Асуулт 8:

       Стандарт мэдлэгийн тест танд таалагдсан уу?
             a. Таалагдаагүй   b. Дунд зэрэг                       c. Сайн   d. Маш сайн   Хариулт   c




                                                           Хуудас 45
9



а
    11
    а




         Хуудас 46
9




Хуудас 47
10



                                                                                     Цахим судалгаа
   Санамж: Судалгааны хариултыг бөглөхдөө латин цагаан толгойн жижиг үсгээр бичнэ.

Овог               Долгоржав                                                         Нас    17         Анги
Нэр                 Хүрлээ                                                           Хүйс   эр         Бүлэг
Асуулт 1:

       Та нар ирээдүйн мэргэжилээ сонгосон уу ?

             a. Тийм               b. Үгүй                                   c.                  Хариулт       a

Асуулт 2:


       Таны сонголтонд эцэг эхчүүд нөлөөлдөг үү?

             a. Тийм               b. Үгүй                                   c.                  Хариулт       b

Асуулт 3:


       Та өөрийгөө бие дааж шийдвэр гаргах түвшинд хүрсэн гэж үздэг үү?

             a. Тийм               b. Үгүй                                   c.                  Хариулт       a

Асуулт 4:



       Танд найз нөхдийн санал          нөлөөлдөг үү?

             a. Тийм               b. Үгүй                                   c.                  Хариулт       b

Асуулт 5:


       Стандарт хангалт хэр эзэмшсэн гэж үзэж байна.

                                                                   Хуудас 48
10
             a. Тааруухан      b. Дунд зэрэг                       c. Сайн   d. Маш сайн   Хариулт   d

Асуулт 6:

       Танд сурах сонирхол байна уу?

             a. Тийм           b. Үгүй                             c.                      Хариулт   a

Асуулт 7:

       Мэргэжил бүхэн сайхан гэдэгт санал нэг байдаг уу?

             a. Тийм           b. Үгүй                             c.                      Хариулт   a

Асуулт 8:

       Стандарт мэдлэгийн тест танд таалагдсан уу?
             a. Таалагдаагүй   b. Дунд зэрэг                       c. Сайн   d. Маш сайн   Хариулт   d




                                                           Хуудас 49
10



а
    11
    а




         Хуудас 50
10




Хуудас 51

цахим судалгаа

  • 1.
    Анализ Сурагчдын сэтгэл ханамжийн судалгаа БЗЦСургууль 1 2 3 4 5 6 7 Та өөрийгөө бие Мэргэжил бүхэ Та нар ирээдүйн Таны сонголтонд дааж шийдвэр Танд найз Стандарт хангалт хэр Танд сурах сайхан гэдэгт мэргэжилээ эцэг эхчүүд гаргах түвшинд нөхдийн санал эзэмшсэн гэж үзэж сонирхол байна санал нэг байда сонгосон уу ? нөлөөлдөг үү? хүрсэн гэж үздэг нөлөөлдөг үү? байна. уу? уу? үү? Бүлэг Хүйс Анги Нас № Овог Нэр b. Дунд зэрэг a. Тааруухан d. Маш сайн a. Тийм a. Тийм a. Тийм a. Тийм a. Тийм a. Тийм c. Сайн b. Үгүй b. Үгүй b. Үгүй b. Үгүй b. Үгүй c. c. c. c. c. 1 Баярмаа Алтанзул ### а 17 эм 1 0 0 1 0 0 1 0 0 0 1 0 0 0 1 0 1 0 0 1 2 Норжинжав Даваацэрэн 11 а 16 эм 1 0 0 1 0 0 1 0 0 1 1 0 0 0 0 1 1 0 0 1 3 Бат-эрдэнэ Батхүү 11 а 17 эр 1 0 0 0 1 0 1 0 0 1 0 0 0 1 0 0 1 0 0 1 4 Энхтуяа Мөнгөнсүлд 11 а 18 эр 1 0 0 0 1 1 1 0 0 1 0 0 0 1 0 0 1 0 0 1 5 Өсөхбаяр Бат-Итгэл 11 0 18 эр 1 0 0 1 0 0 1 0 0 0 1 0 0 0 0 1 1 0 0 1 6 Цэвээндорж Хонгорзул 11 0 18 эм 1 0 0 1 0 0 1 0 0 0 1 0 0 0 0 1 1 0 0 1 7 Бүдээ Очирбат 11 0 17 эр 1 0 0 0 1 1 1 0 0 1 0 0 0 0 1 0 1 0 0 1 8 Болдбат Баярмаа 11 0 18 эм 1 0 0 0 1 1 1 0 0 1 0 0 0 0 1 0 1 0 0 1 9 Энхээ Ганзориг 11 0 18 эр 1 0 0 0 1 1 1 0 0 1 0 0 0 0 1 0 1 0 0 1 10 Долгоржав Хүрлээ 11 0 17 эр 1 0 0 0 1 1 1 0 0 0 1 0 0 0 0 1 1 0 0 1 Нийт 10 0 0 4 6 5 10 0 0 6 5 0 0 2 4 4 10 0 0 10 Хуудас 1
  • 2.
    Анализ 8 ргэжил бүхэн Стандарт мэдлэгийн айхан гэдэгт тест танд таалагдсан ал нэг байдаг уу? уу? Таалагдаагүй b. Дунд зэрэг d. Маш сайн c. Сайн b. Үгүй a. c. 0 0 0 0 0 1 0 0 0 0 1 0 0 0 0 1 0 0 0 0 0 0 1 0 0 0 0 1 0 0 0 0 0 1 0 0 0 0 0 1 0 0 0 0 1 0 0 0 0 0 0 0 1 0 0 0 0 0 0 1 0 0 1 4 3 2 Хуудас 2
  • 3.
  • 4.
  • 5.
    График Судалгааны нэгтгэл Асуулт 1: Та нар ирээдүйн мэргэжилээ сонгосон уу ? Судалгаанд оролцсон нийт a. Тийм b. Үгүй c. 0 0 10 0 0 #NAME? 10 9 8 7 a. Тийм 6 b. Үгүй 5 c. 0 4 3 2 1 0 Асуулт 2: Таны сонголтонд эцэг эхчүүд нөлөөлдөг үү? Судалгаанд оролцсон нийт a. Тийм b. Үгүй c. 0 0 4 6 5 #NAME? 6 5 Хуудас 5 4 a. Тийм b. Үгүй
  • 6.
    График 6 5 4 a. Тийм b. Үгүй 3 c. 0 2 1 0 Асуулт 3: Та өөрийгөө бие дааж шийдвэр гаргах түвшинд хүрсэн гэж үздэг үү? Судалгаанд оролцсон нийт a. Тийм b. Үгүй c. 0 0 10 0 0 #NAME? Хуудас 6
  • 7.
    График 10 9 8 7 a. Тийм 6 b. Үгүй 5 c. 0 4 3 2 1 0 Асуулт 4: Танд найз нөхдийн санал нөлөөлдөг үү? Судалгаанд оролцсон нийт a. Тийм b. Үгүй c. 0 0 6 5 0 #NAME? 6 5 4 a. Тийм b. Үгүй 3 c. 0 2 1 0 Хуудас 7
  • 8.
    1 График 0 Асуулт 5: Стандарт хангалт хэр эзэмшсэн гэж үзэж байна. Судалгаанд оролцсон нийт a. Тааруухан b. Дунд зэрэг c. Сайн d. Маш сайн 0 0 2 4 4 4 3.5 3 a. Тааруухан 2.5 b. Дунд зэрэг 2 c. Сайн d. Маш 1.5 сайн 1 0.5 0 Асуулт 6: Танд сурах сонирхол байна уу? Судалгаанд оролцсон нийт a. Тийм b. Үгүй c. 0 0 10 0 0 #NAME? Хуудас 8
  • 9.
    График 10 9 8 7 a. Тийм 6 b. Үгүй 5 c. 0 4 3 2 1 0 Асуулт 7: Мэргэжил бүхэн сайхан гэдэгт санал нэг байдаг уу? Судалгаанд оролцсон нийт a. Тийм b. Үгүй c. 0 0 10 0 0 #NAME? Хуудас 9
  • 10.
    График 10 9 8 7 a. Тийм 6 b. Үгүй 5 c. 0 4 3 2 1 0 Асуулт 8: Стандарт мэдлэгийн тест танд таалагдсан уу? Судалгаанд оролцсон нийт a. Таалагдаагүй b. Дунд зэрэг c. Сайн d. Маш сайн 0 1 4 3 2 Хуудас 10
  • 11.
    График 4 3.5 3 a. Таалагдааг 2.5 үй b. Дунд 2 зэрэг c. Сайн 1.5 d. Маш сайн 1 0.5 0 Хуудас 11
  • 12.
    1 Цахим судалгаа Санамж: Судалгааны хариултыг бөглөхдөө латин цагаан толгойн жижиг үсгээр бичнэ. Овог Баярмаа Нас 17 Анги Нэр Алтанзул Хүйс эм Бүлэг Асуулт 1: Та нар ирээдүйн мэргэжилээ сонгосон уу ? a. Тийм b. Үгүй c. Хариулт a Асуулт 2: Таны сонголтонд эцэг эхчүүд нөлөөлдөг үү? a. Тийм b. Үгүй c. Хариулт a Асуулт 3: Та өөрийгөө бие дааж шийдвэр гаргах түвшинд хүрсэн гэж үздэг үү? a. Тийм b. Үгүй c. Хариулт a Асуулт 4: Танд найз нөхдийн санал нөлөөлдөг үү? a. Тийм b. Үгүй c. Хариулт b Асуулт 5: Стандарт хангалт хэр эзэмшсэн гэж үзэж байна. Хуудас 12
  • 13.
    1 a. Тааруухан b. Дунд зэрэг c. Сайн d. Маш сайн Хариулт c Асуулт 6: Танд сурах сонирхол байна уу? a. Тийм b. Үгүй c. Хариулт a Асуулт 7: Мэргэжил бүхэн сайхан гэдэгт санал нэг байдаг уу? a. Тийм b. Үгүй c. Хариулт a Асуулт 8: Стандарт мэдлэгийн тест танд таалагдсан уу? a. Таалагдаагүй b. Дунд зэрэг c. Сайн d. Маш сайн Хариулт d Хуудас 13
  • 14.
    1 а 11 а Хуудас 14
  • 15.
  • 16.
    2 Цахим судалгаа Санамж: Судалгааны хариултыг бөглөхдөө латин цагаан толгойн жижиг үсгээр бичнэ. Овог Норжинжав Нас 16 Анги Нэр Даваацэрэн Хүйс эм Бүлэг Асуулт 1: Та нар ирээдүйн мэргэжилээ сонгосон уу ? a. Тийм b. Үгүй c. Хариулт a Асуулт 2: Таны сонголтонд эцэг эхчүүд нөлөөлдөг үү? a. Тийм b. Үгүй c. Хариулт a Асуулт 3: Та өөрийгөө бие дааж шийдвэр гаргах түвшинд хүрсэн гэж үздэг үү? a. Тийм b. Үгүй c. Хариулт a Асуулт 4: Танд найз нөхдийн санал нөлөөлдөг үү? a. Тийм b. Үгүй c. Хариулт b Асуулт 5: Стандарт хангалт хэр эзэмшсэн гэж үзэж байна. Хуудас 16
  • 17.
    2 a. Тааруухан b. Дунд зэрэг c. Сайн d. Маш сайн Хариулт d Асуулт 6: Танд сурах сонирхол байна уу? a. Тийм b. Үгүй c. Хариулт a Асуулт 7: Мэргэжил бүхэн сайхан гэдэгт санал нэг байдаг уу? a. Тийм b. Үгүй c. Хариулт a Асуулт 8: Стандарт мэдлэгийн тест танд таалагдсан уу? a. Таалагдаагүй b. Дунд зэрэг c. Сайн d. Маш сайн Хариулт c Хуудас 17
  • 18.
    2 а 11 а Хуудас 18
  • 19.
  • 20.
    3 Цахим судалгаа Санамж: Судалгааны хариултыг бөглөхдөө латин цагаан толгойн жижиг үсгээр бичнэ. Овог Бат-эрдэнэ Нас 17 Анги Нэр Батхүү Хүйс эр Бүлэг Асуулт 1: Та нар ирээдүйн мэргэжилээ сонгосон уу ? a. Тийм b. Үгүй c. Хариулт a Асуулт 2: Таны сонголтонд эцэг эхчүүд нөлөөлдөг үү? a. Тийм b. Үгүй c. Хариулт b Асуулт 3: Та өөрийгөө бие дааж шийдвэр гаргах түвшинд хүрсэн гэж үздэг үү? a. Тийм b. Үгүй c. Хариулт a Асуулт 4: Танд найз нөхдийн санал нөлөөлдөг үү? a. Тийм b. Үгүй c. Хариулт a Асуулт 5: Стандарт хангалт хэр эзэмшсэн гэж үзэж байна. Хуудас 20
  • 21.
    3 a. Тааруухан b. Дунд зэрэг c. Сайн d. Маш сайн Хариулт b Асуулт 6: Танд сурах сонирхол байна уу? a. Тийм b. Үгүй c. Хариулт a Асуулт 7: Мэргэжил бүхэн сайхан гэдэгт санал нэг байдаг уу? a. Тийм b. Үгүй c. Хариулт a Асуулт 8: Стандарт мэдлэгийн тест танд таалагдсан уу? a. Таалагдаагүй b. Дунд зэрэг c. Сайн d. Маш сайн Хариулт b Хуудас 21
  • 22.
    3 а 11 а Хуудас 22
  • 23.
  • 24.
    4 Цахим судалгаа Санамж: Судалгааны хариултыг бөглөхдөө латин цагаан толгойн жижиг үсгээр бичнэ. Овог Энхтуяа Нас 18 Анги Нэр Мөнгөнсүлд Хүйс эр Бүлэг Асуулт 1: Та нар ирээдүйн мэргэжилээ сонгосон уу ? a. Тийм b. Үгүй c. Хариулт a Асуулт 2: Таны сонголтонд эцэг эхчүүд нөлөөлдөг үү? a. Тийм b. Үгүй c. Хариулт b Асуулт 3: Та өөрийгөө бие дааж шийдвэр гаргах түвшинд хүрсэн гэж үздэг үү? a. Тийм b. Үгүй c. Хариулт a Асуулт 4: Танд найз нөхдийн санал нөлөөлдөг үү? a. Тийм b. Үгүй c. Хариулт a Асуулт 5: Стандарт хангалт хэр эзэмшсэн гэж үзэж байна. Хуудас 24
  • 25.
    4 a. Тааруухан b. Дунд зэрэг c. Сайн d. Маш сайн Хариулт b Асуулт 6: Танд сурах сонирхол байна уу? a. Тийм b. Үгүй c. Хариулт a Асуулт 7: Мэргэжил бүхэн сайхан гэдэгт санал нэг байдаг уу? a. Тийм b. Үгүй c. Хариулт a Асуулт 8: Стандарт мэдлэгийн тест танд таалагдсан уу? a. Таалагдаагүй b. Дунд зэрэг c. Сайн d. Маш сайн Хариулт c Хуудас 25
  • 26.
    4 а 11 а Хуудас 26
  • 27.
  • 28.
    5 Цахим судалгаа Санамж: Судалгааны хариултыг бөглөхдөө латин цагаан толгойн жижиг үсгээр бичнэ. Овог Өсөхбаяр Нас 18 Анги Нэр Бат-Итгэл Хүйс эр Бүлэг Асуулт 1: Та нар ирээдүйн мэргэжилээ сонгосон уу ? a. Тийм b. Үгүй c. Хариулт a Асуулт 2: Таны сонголтонд эцэг эхчүүд нөлөөлдөг үү? a. Тийм b. Үгүй c. Хариулт a Асуулт 3: Та өөрийгөө бие дааж шийдвэр гаргах түвшинд хүрсэн гэж үздэг үү? a. Тийм b. Үгүй c. Хариулт a Асуулт 4: Танд найз нөхдийн санал нөлөөлдөг үү? a. Тийм b. Үгүй c. Хариулт b Асуулт 5: Стандарт хангалт хэр эзэмшсэн гэж үзэж байна. Хуудас 28
  • 29.
    5 a. Тааруухан b. Дунд зэрэг c. Сайн d. Маш сайн Хариулт d Асуулт 6: Танд сурах сонирхол байна уу? a. Тийм b. Үгүй c. Хариулт a Асуулт 7: Мэргэжил бүхэн сайхан гэдэгт санал нэг байдаг уу? a. Тийм b. Үгүй c. Хариулт a Асуулт 8: Стандарт мэдлэгийн тест танд таалагдсан уу? a. Таалагдаагүй b. Дунд зэрэг c. Сайн d. Маш сайн Хариулт b Хуудас 29
  • 30.
    5 а 11 а Хуудас 30
  • 31.
  • 32.
    6 Цахим судалгаа Санамж: Судалгааны хариултыг бөглөхдөө латин цагаан толгойн жижиг үсгээр бичнэ. Овог Цэвээндорж Нас 18 Анги Нэр Хонгорзул Хүйс эм Бүлэг Асуулт 1: Та нар ирээдүйн мэргэжилээ сонгосон уу ? a. Тийм b. Үгүй c. Хариулт a Асуулт 2: Таны сонголтонд эцэг эхчүүд нөлөөлдөг үү? a. Тийм b. Үгүй c. Хариулт a Асуулт 3: Та өөрийгөө бие дааж шийдвэр гаргах түвшинд хүрсэн гэж үздэг үү? a. Тийм b. Үгүй c. Хариулт a Асуулт 4: Танд найз нөхдийн санал нөлөөлдөг үү? a. Тийм b. Үгүй c. Хариулт b Асуулт 5: Стандарт хангалт хэр эзэмшсэн гэж үзэж байна. Хуудас 32
  • 33.
    6 a. Тааруухан b. Дунд зэрэг c. Сайн d. Маш сайн Хариулт d Асуулт 6: Танд сурах сонирхол байна уу? a. Тийм b. Үгүй c. Хариулт a Асуулт 7: Мэргэжил бүхэн сайхан гэдэгт санал нэг байдаг уу? a. Тийм b. Үгүй c. Хариулт a Асуулт 8: Стандарт мэдлэгийн тест танд таалагдсан уу? a. Таалагдаагүй b. Дунд зэрэг c. Сайн d. Маш сайн Хариулт b Хуудас 33
  • 34.
    6 а 11 а Хуудас 34
  • 35.
  • 36.
    7 Цахим судалгаа Санамж: Судалгааны хариултыг бөглөхдөө латин цагаан толгойн жижиг үсгээр бичнэ. Овог Бүдээ Нас 17 Анги Нэр Очирбат Хүйс эр Бүлэг Асуулт 1: Та нар ирээдүйн мэргэжилээ сонгосон уу ? a. Тийм b. Үгүй c. Хариулт a Асуулт 2: Таны сонголтонд эцэг эхчүүд нөлөөлдөг үү? a. Тийм b. Үгүй c. Хариулт b Асуулт 3: Та өөрийгөө бие дааж шийдвэр гаргах түвшинд хүрсэн гэж үздэг үү? a. Тийм b. Үгүй c. Хариулт a Асуулт 4: Танд найз нөхдийн санал нөлөөлдөг үү? a. Тийм b. Үгүй c. Хариулт a Асуулт 5: Стандарт хангалт хэр эзэмшсэн гэж үзэж байна. Хуудас 36
  • 37.
    7 a. Тааруухан b. Дунд зэрэг c. Сайн d. Маш сайн Хариулт c Асуулт 6: Танд сурах сонирхол байна уу? a. Тийм b. Үгүй c. Хариулт a Асуулт 7: Мэргэжил бүхэн сайхан гэдэгт санал нэг байдаг уу? a. Тийм b. Үгүй c. Хариулт a Асуулт 8: Стандарт мэдлэгийн тест танд таалагдсан уу? a. Таалагдаагүй b. Дунд зэрэг c. Сайн d. Маш сайн Хариулт b Хуудас 37
  • 38.
    7 а 11 а Хуудас 38
  • 39.
  • 40.
    8 Цахим судалгаа Санамж: Судалгааны хариултыг бөглөхдөө латин цагаан толгойн жижиг үсгээр бичнэ. Овог Болдбат Нас 18 Анги Нэр Баярмаа Хүйс эм Бүлэг Асуулт 1: Та нар ирээдүйн мэргэжилээ сонгосон уу ? a. Тийм b. Үгүй c. Хариулт a Асуулт 2: Таны сонголтонд эцэг эхчүүд нөлөөлдөг үү? a. Тийм b. Үгүй c. Хариулт b Асуулт 3: Та өөрийгөө бие дааж шийдвэр гаргах түвшинд хүрсэн гэж үздэг үү? a. Тийм b. Үгүй c. Хариулт a Асуулт 4: Танд найз нөхдийн санал нөлөөлдөг үү? a. Тийм b. Үгүй c. Хариулт a Асуулт 5: Стандарт хангалт хэр эзэмшсэн гэж үзэж байна. Хуудас 40
  • 41.
    8 a. Тааруухан b. Дунд зэрэг c. Сайн d. Маш сайн Хариулт c Асуулт 6: Танд сурах сонирхол байна уу? a. Тийм b. Үгүй c. Хариулт a Асуулт 7: Мэргэжил бүхэн сайхан гэдэгт санал нэг байдаг уу? a. Тийм b. Үгүй c. Хариулт a Асуулт 8: Стандарт мэдлэгийн тест танд таалагдсан уу? a. Таалагдаагүй b. Дунд зэрэг c. Сайн d. Маш сайн Хариулт a Хуудас 41
  • 42.
    8 а 11 а Хуудас 42
  • 43.
  • 44.
    9 Цахим судалгаа Санамж: Судалгааны хариултыг бөглөхдөө латин цагаан толгойн жижиг үсгээр бичнэ. Овог Энхээ Нас 18 Анги Нэр Ганзориг Хүйс эр Бүлэг Асуулт 1: Та нар ирээдүйн мэргэжилээ сонгосон уу ? a. Тийм b. Үгүй c. Хариулт a Асуулт 2: Таны сонголтонд эцэг эхчүүд нөлөөлдөг үү? a. Тийм b. Үгүй c. Хариулт b Асуулт 3: Та өөрийгөө бие дааж шийдвэр гаргах түвшинд хүрсэн гэж үздэг үү? a. Тийм b. Үгүй c. Хариулт a Асуулт 4: Танд найз нөхдийн санал нөлөөлдөг үү? a. Тийм b. Үгүй c. Хариулт a Асуулт 5: Стандарт хангалт хэр эзэмшсэн гэж үзэж байна. Хуудас 44
  • 45.
    9 a. Тааруухан b. Дунд зэрэг c. Сайн d. Маш сайн Хариулт c Асуулт 6: Танд сурах сонирхол байна уу? a. Тийм b. Үгүй c. Хариулт a Асуулт 7: Мэргэжил бүхэн сайхан гэдэгт санал нэг байдаг уу? a. Тийм b. Үгүй c. Хариулт a Асуулт 8: Стандарт мэдлэгийн тест танд таалагдсан уу? a. Таалагдаагүй b. Дунд зэрэг c. Сайн d. Маш сайн Хариулт c Хуудас 45
  • 46.
    9 а 11 а Хуудас 46
  • 47.
  • 48.
    10 Цахим судалгаа Санамж: Судалгааны хариултыг бөглөхдөө латин цагаан толгойн жижиг үсгээр бичнэ. Овог Долгоржав Нас 17 Анги Нэр Хүрлээ Хүйс эр Бүлэг Асуулт 1: Та нар ирээдүйн мэргэжилээ сонгосон уу ? a. Тийм b. Үгүй c. Хариулт a Асуулт 2: Таны сонголтонд эцэг эхчүүд нөлөөлдөг үү? a. Тийм b. Үгүй c. Хариулт b Асуулт 3: Та өөрийгөө бие дааж шийдвэр гаргах түвшинд хүрсэн гэж үздэг үү? a. Тийм b. Үгүй c. Хариулт a Асуулт 4: Танд найз нөхдийн санал нөлөөлдөг үү? a. Тийм b. Үгүй c. Хариулт b Асуулт 5: Стандарт хангалт хэр эзэмшсэн гэж үзэж байна. Хуудас 48
  • 49.
    10 a. Тааруухан b. Дунд зэрэг c. Сайн d. Маш сайн Хариулт d Асуулт 6: Танд сурах сонирхол байна уу? a. Тийм b. Үгүй c. Хариулт a Асуулт 7: Мэргэжил бүхэн сайхан гэдэгт санал нэг байдаг уу? a. Тийм b. Үгүй c. Хариулт a Асуулт 8: Стандарт мэдлэгийн тест танд таалагдсан уу? a. Таалагдаагүй b. Дунд зэрэг c. Сайн d. Маш сайн Хариулт d Хуудас 49
  • 50.
    10 а 11 а Хуудас 50
  • 51.