‫والتنمٌــة‬ ‫الهندســة‬ ‫مجلـة‬‫المجل‬‫ــ‬‫د‬ً‫الثانـــ‬‫عشــر/العدد‬‫الرابع‬-‫األول‬ ‫كانون‬2002
7822-ISSN 1813
1
‫الخرســانٌة‬ ‫للخلطــات‬ ‫والحجمٌــة‬ ‫الوزنٌــة‬ ‫الخلــط‬ ‫نســب‬ ‫بـٌن‬ ‫العالقــة‬
‫تطــوٌر‬ ‫مـع‬‫الج‬‫ــــ‬‫داو‬‫ل‬‫الخرســـانة‬ ‫مـــواد‬ ‫بتخمــٌن‬ ‫الخاصــة‬
‫الخالص‬‫ـــــــــ‬‫ة‬
‫حجمٌه‬ ‫بنسب‬ ‫الخلط‬ ‫بطرٌقة‬ ‫الخرسانة‬ ‫إنتاج‬ ً‫ف‬ ‫الداخلة‬ ‫المواد‬ ‫تقاس‬‫أو‬‫ا‬ ‫الطرٌقة‬ ‫وتعتبر‬ ‫وزنٌه‬‫دقة‬ ‫األكثر‬ ‫لوزنٌة‬
‫بالكٌل‬ ‫المحسوبة‬ ‫مثٌالتها‬ ‫عن‬ ً‫الحجم‬ ‫بالكٌل‬ ‫الخرسانة‬ ‫صناعة‬ ً‫ف‬ ‫الداخلة‬ ‫المواد‬ ‫كمٌات‬ ‫حساب‬ ‫عند‬ ‫اختالف‬ ‫ونظرا‬
:‫إلٌه‬ ‫التوصل‬ ‫تم‬ ‫ما‬ ‫أهم‬ ‫من‬ ‫وكان‬ ‫البحث‬ ‫هذا‬ ‫تم‬ ‫فقد‬ ‫الهندسٌة‬ ‫األعمال‬ ‫تنفٌذ‬ ‫عند‬ ‫مشاكل‬ ‫من‬ ‫ذلك‬ ‫عن‬ ‫ٌترتب‬ ‫وما‬ ً‫الوزن‬
‫والركام‬ ‫السمنت‬ ‫كثافات‬ ‫تحدٌد‬‫أن‬ ‫ٌمكن‬ ً‫والت‬ ‫الخرسانة‬ ‫صناعة‬ ً‫ف‬ ‫المستخدم‬ ً‫المحل‬‫تستخدم‬‫نسب‬ ‫لتحوٌل‬‫الخلط‬
‫الوزنٌة‬‫إلى‬‫حجمٌة‬‫أو‬.‫بالعكس‬
‫تطوٌر‬‫جد‬‫او‬‫ل‬‫الالزمة‬ ‫المواد‬ ‫كمٌات‬ ‫حساب‬‫إلنتاج‬‫تم‬ ‫حٌث‬ ‫الخرسانة‬ ‫من‬ ‫قٌاسٌة‬ ‫وحدة‬‫إدخال‬‫للخرسانة‬ ‫الرص‬ ‫عامل‬
‫الك‬ ‫طرٌقة‬ ‫بٌن‬ ‫الفصل‬ ‫وكذلك‬ ‫حجمها‬ ً‫ف‬ ‫نقصان‬ ‫من‬ ‫تحدثه‬ ‫وما‬‫الالزمة‬ ‫المواد‬ ‫كمٌات‬ ‫وبٌان‬ ‫والحجمٌة‬ ‫الوزنٌة‬ ‫ٌل‬
.‫حدة‬ ‫على‬ ‫منهما‬ ‫لكال‬
‫باإلضافة‬‫إلى‬‫استنتاجات‬‫أخرى‬‫عالقة‬ ‫ذات‬‫بأعمال‬‫تدوٌنها‬ ‫تم‬ ‫المنفذٌن‬ ‫المدنٌٌن‬ ‫المهندسٌن‬ ‫تخص‬ ‫الموقع‬ ً‫ف‬ ‫التنفٌذ‬
.‫المتن‬ ً‫ف‬
Abstract
The concrete works are suffered from many problems like: the selection of materials
used, mixing, placing, compacting and curing of concrete. These stages of manufacturing
concrete affect the quality of produced concrete.
Also there are many difficulties in converting the proportioning of concrete mixes by
weight to the proportioning by volume. Moreover the tables used to estimate the quantities
of materials needed to produce one cubic meter of concrete must be studied carefully to
reduce the errors in estimation.
This research aims to introduce the solution for the problems mentioned above and
provide the engineer with a guide for calculations of constructional materials.
1.‫المقدم‬‫ـــــــــ‬‫ة‬
‫ســــلمان‬ ‫مصـــلح‬ ‫محمـــد‬ .‫أ.د‬
‫قس‬‫ــ‬‫م‬‫ال‬‫هندس‬‫ــ‬‫ة‬‫الهندســـة‬ ‫كلٌـــة‬ ،‫المدنٌـــة‬
‫الجا‬‫معــــة‬،‫المســـتنصرٌة‬‫بغـــداد‬،
‫العــراق‬
‫المهنــدس‬‫مجــٌد‬ ‫ولٌــد‬ ‫مهنــد‬
‫قس‬‫ــ‬‫م‬‫ال‬‫هندس‬‫ــ‬‫ة‬‫الهندســـة‬ ‫كلٌـــة‬ ،‫المدنٌـــة‬
‫الجا‬‫معــــة‬،‫المســـتنصرٌة‬‫بغـــداد‬،
‫العــراق‬
‫جــبر‬ ‫رحٌــم‬ ‫عقــٌل‬ ‫مهندســٌن‬ .‫ر‬
‫قس‬‫ــ‬‫م‬‫ال‬‫هندس‬‫ــ‬‫ة‬‫الهندســـة‬ ‫كلٌـــة‬ ،‫المدنٌـــة‬
‫الجا‬‫معــــة‬،‫المســـتنصرٌة‬‫بغـــداد‬،
‫العــراق‬
‫المهنـدس‬‫الكرٌــم‬ ‫عبـد‬ ‫شــحاذة‬ ‫وائــل‬
‫قس‬‫ــ‬‫م‬‫ال‬‫هندس‬‫ــ‬‫ة‬‫الهندســـة‬ ‫كلٌـــة‬ ،‫المدنٌـــة‬
‫الجا‬‫معــــة‬،‫المســـتنصرٌة‬‫بغـــداد‬،
‫العــراق‬
‫والتنمٌــة‬ ‫الهندســة‬ ‫مجلـة‬‫المجل‬‫ــ‬‫د‬ً‫الثانـــ‬‫عشــر/العدد‬‫الرابع‬-‫األول‬ ‫كانون‬2002
7822-ISSN 1813
2
‫المواد‬ ‫إختٌار‬ ‫من‬ ً‫ء‬‫إبتدا‬ ‫كبٌرة‬ ‫بمشاكل‬ ‫وتمر‬ ،‫العراق‬ ً‫ف‬ ‫االستخدام‬ ‫ومتعددة‬ ‫االنتشار‬ ‫واسعة‬ ‫إنشائٌة‬ ‫مادة‬ ‫الخرسانة‬
‫األ‬‫و‬‫لٌة‬‫إلى‬‫ونوعٌة‬ ‫جودة‬ ‫على‬ ‫المراحل‬ ‫هذه‬ ‫من‬ ‫مرحلة‬ ‫كل‬ ‫وتؤثر‬ ‫واإلنضاج‬ ‫والرص‬ ‫والوضع‬ ‫الخلط‬ ‫ونسب‬ ‫الخلط‬ ‫أعمال‬
.‫المنتجة‬ ‫الخرسانة‬
)‫حجمٌة‬ ‫أم‬ ‫(وزنٌة‬ ‫الخلط‬ ‫طرٌقة‬ ‫وتحدٌد‬ ‫الخرسانة‬ ‫مواد‬ ‫خلط‬ ‫عملٌة‬ ‫على‬ ‫الضوء‬ ‫تسلٌط‬ ‫ٌتم‬ ‫سوف‬ ‫البحث‬ ‫هذا‬ ً‫ف‬
‫المق‬ ‫مع‬ ‫ذلك‬ ‫وعالقة‬‫أو‬‫الال‬ ‫المواد‬ ‫وكمٌات‬ ‫المستحصلة‬ ‫مة‬.‫منها‬ ‫مكعب‬ ‫متر‬ ‫واحد‬ ‫إلنتاج‬ ‫زمة‬
2‫ومزجهـــا‬ ‫المــواد‬ ‫كــٌل‬ .
‫حجمٌة‬ ‫بطرٌقة‬ ‫أما‬ ‫الخرسانة‬ ‫مزج‬ ً‫ف‬ ‫الداخلة‬ ‫المواد‬ ‫تقاس‬‫أو‬‫دقة‬ ‫أكثر‬ ‫الوزنٌة‬ ‫الطرٌقة‬ ‫وتعتبر‬ ،‫وزنٌة‬ ‫بطرٌقة‬
‫الكبٌرة‬ ‫والمشارٌع‬ ‫اإلنشائٌة‬ ‫األعمال‬ ً‫ف‬ ‫أعتمادها‬ ‫وٌفضل‬‫أو‬‫الدق‬ ‫عالٌة‬ ‫هندسٌة‬ ‫مواصفات‬ ‫تتطلب‬ ً‫الت‬‫ذلك‬ ً‫ف‬ ‫والسبب‬ ،‫ة‬
‫وكذلك‬ ‫والسمنت‬ ‫الركام‬ ‫رص‬ ‫طرٌقة‬ ‫عن‬ ‫تنجم‬ ً‫الت‬ ‫األخطاء‬ ً‫تحاش‬ ‫فٌه‬ ‫ٌتم‬ ‫الوزنٌة‬ ‫بالطرٌقة‬ ‫الخرسانة‬ ‫وخلط‬ ‫مزج‬ ‫إن‬
‫االنتفاخ‬ ‫ظاهرة‬ ‫ٌسبب‬ ‫والذي‬ ‫الناعم‬ ‫الركام‬ ً‫ف‬ ‫الرطوبة‬ ‫تأثٌر‬ ‫عن‬ ‫الناتجة‬ ‫األسباب‬Bulking‫(ٌزداد‬ ‫الرمل‬ ‫ٌنتفخ‬ ‫حٌث‬
‫تص‬ ‫قد‬ ‫بنسبة‬ ‫كثافته‬ ‫وتقل‬ )‫حجمه‬‫ل‬‫إلى‬‫حد‬40‫الرطوبة‬ ‫ومقدار‬ ‫لنعومة‬ ‫تبعا‬ %[1]
.
3.‫الخرســـانة‬ ‫خلـــط‬
‫والقوام‬ ‫التكوٌن‬ ‫متجانس‬ ‫خلٌط‬ ‫على‬ ‫للحصول‬ ‫البعض‬ ‫بعضها‬ ‫مع‬ ‫الخرسانة‬ ‫مواد‬ ‫تخلط‬،‫عملٌة‬ ‫من‬ ‫االنتهاء‬ ‫وعند‬
‫الكٌم‬ ‫التفاعل‬ ‫عملٌة‬ ‫بدأ‬ ‫لغرض‬ ‫االسمنت‬ ‫بعجٌنة‬ ‫مغطاة‬ ‫الركام‬ ‫حبٌبات‬ ‫سطوح‬ ‫جمٌع‬ ‫تكون‬ ‫أن‬ ‫ٌجب‬ ‫الخلط‬ٌ‫ا‬‫و‬‫حٌث‬ .‫ي‬
‫الكافٌة‬ ‫العناٌة‬ ‫إعطاءها‬ ‫ٌجب‬ ‫لذلك‬ ‫المختلفة‬ ‫خواصها‬ ‫على‬ ‫تؤثر‬ ً‫الت‬ ‫العملٌات‬ ‫أهم‬ ‫من‬ ‫الخرسانة‬ ‫خلط‬ ‫عملٌة‬ ‫تعتبر‬[2]
.
:‫وهما‬ ‫بطرٌقتٌن‬ ‫العراق‬ ً‫ف‬ ‫الخرسانة‬ ‫مواد‬ ‫تخلط‬
‫أ‬-‫حج‬ ‫قٌاس‬ ‫ٌمكن‬ ‫قٌاسٌة‬ ‫غٌر‬ ‫أوعٌة‬ ‫أو‬ ‫الحجم‬ ‫معلومة‬ ‫قٌاسٌة‬ ‫أوعٌة‬ ‫بأستخدام‬ ‫للمواد‬ ً‫الحجم‬ ‫الكٌل‬‫هذه‬ ‫مزج‬ ‫وٌتم‬ ،‫مها‬
.‫المختلفة‬ ‫السعات‬ ‫ذات‬ ‫المٌكانٌكٌة‬ ‫الخباطات‬ ‫باستخدام‬ ‫أو‬ ‫ٌدوٌا‬ ‫أما‬ ‫المواد‬
‫ب‬-‫الكٌل‬‫بواسطة‬ ‫العمل‬ ‫موقع‬ ‫إلى‬ ‫الخرسانة‬ ‫تنقل‬ ‫ثم‬ ‫متعددة‬ ‫وطاقات‬ ‫مختلفة‬ ‫أنواع‬ ‫ذات‬ ‫معامل‬ ‫باستخدام‬ ‫للمواد‬ ً‫الوزن‬
‫وٌجوز‬ ‫خلط‬ ‫دون‬ ‫تنقلها‬ ‫قد‬ ‫أو‬ ‫الخرسانة‬ ‫خلط‬ ً‫ف‬ ‫تستمر‬ ‫خاصة‬ ‫عربات‬ً‫ف‬ ‫كلٌا‬ ‫للخرسانة‬ ‫المكونة‬ ‫المواد‬ ‫تنقل‬ ‫أن‬
‫العمل‬ ‫موقع‬ ‫إلى‬ ‫الوصول‬ ‫عند‬ ‫أو‬ ‫الناقالت‬[3]
.
4.‫الج‬‫ــــ‬‫العمل‬ ‫زء‬‫ــــ‬ً
‫أ‬-‫الم‬‫ــ‬‫المس‬ ‫واد‬‫ــ‬‫تخدمة‬
( ‫مقاس‬ ‫ذو‬ )‫(حصو‬ ً‫محل‬ ‫خشن‬ ‫ركام‬ ‫إستخدام‬ ‫تم‬5-14)‫(رمل‬ ‫ناعم‬ ‫وركام‬ ،‫ملم‬ )Zone2‫للمواصفات‬ ‫مطابقٌن‬
( ‫رقم‬ ‫العراقٌة‬45‫إس‬ ‫وكذلك‬ )( ‫رقم‬ ‫العراقٌة‬ ‫للمواصفة‬ ‫ومطابق‬ ‫الرٌاض‬ ‫معمل‬ ‫إنتاج‬ ‫سعودي‬ ‫سمنت‬ ‫تخدام‬5.)
‫ب‬-‫تحدي‬‫ــ‬‫كثاف‬ ‫د‬‫ــ‬‫الم‬ ‫ات‬‫ـــ‬‫واد‬
‫تم‬‫إستخدام‬‫موضحة‬ ‫كما‬ ‫النتائج‬ ‫وكانت‬ ‫المستعمل‬ ‫والحصى‬ ‫والرمل‬ ‫للسمنت‬ ‫الرخوة‬ ‫الكثافات‬ ‫لتحدٌد‬ ‫قٌاسٌة‬ ‫أوعٌة‬
ً‫ف‬( ‫الجدول‬1)‫عند‬ ‫الكثافات‬ ‫تحدٌد‬ ‫تم‬ ‫حٌث‬‫إجراء‬‫عمل‬‫الخ‬ ‫ٌة‬ً‫ء‬‫سوا‬ ‫الخلط‬ ‫من‬ ‫نسبة‬ ‫لكل‬ ‫لط‬‫حجمٌة‬ ‫كانت‬‫أم‬.‫وزنٌة‬
‫والتنمٌــة‬ ‫الهندســة‬ ‫مجلـة‬‫المجل‬‫ــ‬‫د‬ً‫الثانـــ‬‫عشــر/العدد‬‫الرابع‬-‫األول‬ ‫كانون‬2002
7822-ISSN 1813
3
‫ج‬‫ـ‬( ‫دول‬1‫والحجمٌة‬ ‫الوزنٌة‬ ‫المزج‬ ‫نسب‬ ‫بٌن‬ ‫مقارنة‬ )
‫الخلط‬ ‫نسب‬‫كغم/م‬ ‫الكثافة‬3
‫لكل‬ ‫المواد‬ ‫أوزان‬1‫م‬3
‫م‬ ‫المواد‬ ‫كمٌات‬3
‫م‬ /3
‫سمنت‬‫رمل‬‫حصى‬
‫سمنت‬
‫كغم/م‬3
‫رمل‬
‫كغم/م‬3
‫حصى‬
‫كغم/م‬3
‫سمنت‬
‫م‬3
‫م‬ /3
‫رمل‬
‫م‬3
‫م‬ /3
‫حصى‬
‫م‬3
/‫م‬3
2:4:1‫وزنٌة‬112415241613123,32235014110,1660,4110,121
2:4:1‫حجمٌة‬11241524161313135315130,12340,4130,123
6:3:1‫وزنٌة‬116615531631233,3330014000,20,4410,252
6:3:1‫حجمٌة‬12351552163121333215450,1530,4330,143
4:2:1ٌ‫وزن‬‫ة‬1133,51465155331062012400,2640,4230.200
4:2:1‫حجمٌة‬1133,51523162026561014630,2250,4500,100
3:1.5:1
‫وزنٌة‬
112615501615444,3566313340,3350,430,226
3:1.5:1
‫حجمٌة‬
11261550161532335015630,3220,4230,166
‫ج‬-‫الخلط‬‫ـــــ‬‫ات‬
‫تم‬( ‫االستخدام‬ ‫الشائعة‬ ‫الخلطات‬ ‫إعتماد‬2:4:1( ،)6:3:1( ،)4:2:1( ‫و‬ )3:1.5:1‫بالكٌل‬ ‫الخلط‬ ‫وإعتماد‬ )
ً‫الوزن‬ ‫والكٌل‬ ً‫الحجم‬،‫وتوضح‬‫الجد‬‫ا‬‫ول‬(2،3،4،5).‫خلط‬ ‫نسبة‬ ‫كل‬ ً‫ف‬ ‫المستخدمة‬ ‫المواد‬ ‫كمٌات‬
( ‫جدول‬2‫والحجمٌة‬ ‫الوزنٌة‬ ‫الخلط‬ ‫لنسب‬ ‫المواد‬ ‫كمٌات‬ )2:4:1
‫المادة‬‫الحالة‬‫الخلط‬‫ة‬2:4:1‫وزنٌة‬‫الخلطة‬2:4:1‫حجمٌة‬
‫السمنت‬
)‫(غم‬ ‫الوزن‬33333333
‫(سم‬ ‫الحجم‬3
)30003000
‫الرمل‬
)‫(غم‬ ‫الوزن‬1341212213
‫(سم‬ ‫الحجم‬3
)225312000
‫الحصى‬
)‫(غم‬ ‫الوزن‬2612432303
‫(سم‬ ‫الحجم‬3
)1632124000
‫الماء‬
)‫(غم‬ ‫الوزن‬22004000
‫(سم‬ ‫الحجم‬3
)22004000
‫والتنمٌــة‬ ‫الهندســة‬ ‫مجلـة‬‫المجل‬‫ــ‬‫د‬ً‫الثانـــ‬‫عشــر/العدد‬‫الرابع‬-‫األول‬ ‫كانون‬2002
7822-ISSN 1813
4
‫جدول‬(3‫والحجمٌة‬ ‫الوزنٌة‬ ‫الخلط‬ ‫لنسب‬ ‫المواد‬ ‫كمٌات‬ )6:3:1
‫المادة‬‫الحالة‬‫الخلطة‬6:3:1‫وزنٌة‬‫الخلطة‬6:3:1‫حجمٌة‬
‫السمنت‬
)‫(غم‬ ‫الوزن‬32263226
‫(سم‬ ‫الحجم‬3
)30003000
‫الرمل‬
)‫(غم‬ ‫الوزن‬1143114020
‫(سم‬ ‫الحجم‬3
)33331000
‫الحصى‬
)‫(غم‬ ‫الوزن‬2215221365
‫(سم‬ ‫الحجم‬3
)1403612000
‫الماء‬
)‫(غم‬ ‫الوزن‬24003530
‫(سم‬ ‫الحجم‬3
)24003530
( ‫جدول‬4‫والحجمٌة‬ ‫الوزنٌة‬ ‫الخلط‬ ‫لنسب‬ ‫المواد‬ ‫كمٌات‬ )4:2:1
‫المادة‬‫الحالة‬‫الخلطة‬4:2:1‫وزنٌة‬‫الخلطة‬4:2:1‫حجمٌة‬
‫السمنت‬
)‫(غم‬ ‫الوزن‬35203520
‫(سم‬ ‫الحجم‬3
)30003000
‫الرمل‬
)‫(غم‬ ‫الوزن‬33411163
‫(سم‬ ‫الحجم‬3
)42026000
‫الحصى‬
)‫(غم‬ ‫الوزن‬1462211433
‫(سم‬ ‫الحجم‬3
)106112000
‫الماء‬
)‫(غم‬ ‫الوزن‬12352100
‫(سم‬ ‫الحجم‬3
)12352100
( ‫جدول‬5‫والحجمٌة‬ ‫الوزنٌة‬ ‫الخلط‬ ‫لنسب‬ ‫المواد‬ ‫كمٌات‬ )3:1,5:1
‫المادة‬‫الحالة‬‫الخلطة‬1:3:1,5‫:وزنٌة‬‫الخلطة‬3:1,5:1‫حجمٌة‬
‫السمنت‬
‫ال‬)‫(غم‬ ‫وزن‬35523552
‫(سم‬ ‫الحجم‬3
)30003000
‫الرمل‬
)‫(غم‬ ‫الوزن‬53326134
‫(سم‬ ‫الحجم‬3
)34434500
‫الحصى‬
)‫(غم‬ ‫الوزن‬1063614535
‫(سم‬ ‫الحجم‬3
)66101000
‫الماء‬
)‫(غم‬ ‫الوزن‬13341350
‫(سم‬ ‫الحجم‬3
)13341350
‫د‬-‫تح‬‫ــ‬‫ديد‬‫مقاوم‬‫ــ‬‫ة‬‫االنضغ‬‫ـــ‬‫اط‬
‫والتنمٌــة‬ ‫الهندســة‬ ‫مجلـة‬‫المجل‬‫ــ‬‫د‬ً‫الثانـــ‬‫عشــر/العدد‬‫الرابع‬-‫األول‬ ‫كانون‬2002
7822-ISSN 1813
5
‫ق‬ ‫واسطوانات‬ ‫مكعبات‬ ‫صب‬‫البرٌطانٌة‬ ‫المواصفات‬ ‫وحسب‬ ‫ٌاسٌة‬BS1881part116[4]
،‫والمواصفة‬‫األمرٌكٌة‬
ASTM C39/C39 M-02[5]
،‫وتحدٌد‬ ‫خلط‬ ‫نسبة‬ ‫ولكل‬‫مقاومتها‬‫لالنضغاط‬‫بأعمار‬3‫و‬22.‫ٌوما‬
5‫مناقش‬ .‫ـــ‬‫النتائ‬ ‫ة‬‫ــــ‬‫ج‬
‫ا‬‫ال‬‫أو‬-‫الكثاف‬‫ـــ‬:‫ة‬‫حساب‬ ‫تم‬‫كانت‬ ‫وزنٌة‬ ‫خلط‬ ‫نسبة‬ ‫لكل‬ ‫والحصى‬ ‫والرمل‬ ‫للسمنت‬ ‫الكثافة‬‫أم‬‫النتائج‬ ‫من‬ ‫وٌستدل‬ ‫حجمٌة‬
ً‫ف‬ ‫الموضحة‬( ‫الجدول‬1):ً‫ٌل‬ ‫ما‬
1.:‫السمنت‬ ‫كثافة‬‫الرخوة‬ ‫السمنت‬ ‫كثافة‬ ‫كانت‬‫تتراوح‬( ‫بٌن‬ ‫ما‬1124-1235)‫كغم/م‬3
‫وبمعدل‬1161,35‫كغم/م‬3
.
‫درجة‬ ‫اختالف‬ ‫إلى‬ ‫ٌعود‬ ‫قد‬ ‫السمنت‬ ‫كثافة‬ ‫تباٌن‬ ‫إن‬‫للنماذج‬ ‫الرص‬‫أثناء‬‫الكثافة‬ ‫قٌاس‬‫إال‬‫إن‬Taylor[6]
‫ذلك‬ ‫عزا‬
‫الضغط‬ ‫وتأثٌر‬ ‫السمنت‬ ‫نقل‬ ‫طرق‬ ‫إلى‬‫أثناء‬‫الضغط‬ ‫ومقدار‬ ‫الكثافة‬ ‫أو‬ ‫الخواص‬ ‫على‬ ‫التفرٌغ‬ ‫أو‬ ‫التحمٌل‬ ‫عملٌة‬
‫انه‬ ‫كما‬ .‫للضخ‬ ‫المستعمل‬‫أكد‬‫الكٌل‬ ‫أوعٌة‬ ً‫ف‬ ‫السمنت‬ ‫وضع‬ ‫عند‬ ‫االنتباه‬ ‫ضرورة‬ ‫على‬‫ألنه‬‫حجم‬ ‫ٌزداد‬ ‫لربما‬
‫الس‬( ‫إلى‬ ‫ٌصل‬ ‫وقد‬ ‫الحجم‬ ً‫ف‬ ‫تضخم‬ ‫له‬ ‫وٌحدث‬ ‫منت‬10-20.%)
2.:)‫(الرمل‬ ‫الناعم‬ ‫الركام‬ ‫كثافة‬‫الرخوة‬ ‫الرمل‬ ‫كثافة‬ ‫كانت‬‫تتراوح‬‫بٌن‬ ‫ما‬(1465-1552‫كغم/م‬ )3
‫وبمعدل‬
(1531,235‫كغم/م‬ )3
.‫إن‬‫بٌن‬ ‫وقد‬ ‫فٌه‬ ‫والرطوبة‬ ‫الرص‬ ‫ومقدار‬ ‫تدرجه‬ ‫إلى‬ ‫ٌعود‬ ‫قد‬ ‫الرمل‬ ‫كثافة‬ ‫تباٌن‬
Troxel‫وآخرون‬[7]
‫بأن‬‫تعتمد‬ ‫بالعكس‬ ‫أو‬ ‫حجمٌة‬ ‫إلى‬ ‫الوزنٌة‬ ‫الكٌل‬ ‫نسب‬ ‫لتحوٌل‬ ‫تستخدم‬ ً‫الت‬ ‫الركام‬ ‫كثافة‬
:‫منها‬ ‫عوامل‬ ‫عدة‬ ‫على‬
‫أ‬-‫مستمرا‬ ‫التدرج‬ ‫كان‬ ‫فكلما‬ :‫التدرج‬‫أدى‬.‫الكثافة‬ ‫تزداد‬ ً‫وبالتال‬ ‫الركام‬ ‫بٌن‬ ‫الفجوات‬ ‫تقلٌل‬ ‫إلى‬ ‫ذلك‬
‫ب‬-‫زاد‬ ‫كلما‬ ‫والذي‬ ‫بٌنها‬ ‫والتداخل‬ ‫الحبٌبات‬ ‫شكل‬‫أدى‬‫ال‬ ‫قلة‬ ‫إلى‬ ‫ذلك‬.‫الكثافة‬ ‫تزداد‬ ً‫وبالتال‬ ‫فجوات‬
‫ج‬-.‫الرص‬ ‫درجة‬
‫د‬-.‫الركام‬ ‫رطوبة‬
.‫متغٌرة‬ ‫تبقى‬ ‫الكثافة‬ ‫فان‬ ً‫وبالتال‬ ‫لها‬ ‫ثبات‬ ‫ٌوجد‬ ‫وال‬ ‫باستمرار‬ ‫تتغٌر‬ ‫وغٌرها‬ ‫العوامل‬ ‫وهذه‬
3.:)‫الخشن(الحصى‬ ‫الركام‬ ‫كثافة‬‫الرخوة‬ ‫الحصى‬ ‫كثافة‬ ‫كانت‬‫تتراوح‬( ‫بٌن‬ ‫ما‬1553-1631‫كغم/م‬ )3
‫وبمعدل‬
1611‫كغم/م‬3
.‫إن‬‫م‬‫هو‬ ‫الحصى‬ ‫كثافة‬ ‫لنتائج‬ ‫التباٌن‬ ‫عامل‬1,1‫الذي‬ ‫الرمل‬ ‫تباٌن‬ ‫لمعامل‬ ‫مشابه‬ ‫تقرٌبا‬ ‫وهو‬ %
‫مقداره‬2‫على‬ ‫ٌدل‬ ‫مما‬ %‫إن‬‫هو‬ ‫المستخدم‬ ‫الحصى‬‫أٌضا‬‫خلطة‬ ‫كل‬ ‫بٌن‬ ‫وٌتغٌر‬ ‫مختلف‬ ‫تدرج‬ ‫ذو‬‫وأخرى‬
‫باإلضافة‬‫الرص‬ ‫مقدار‬ ‫تباٌن‬ ‫إلى‬‫أثناء‬.‫الكثافة‬ ‫قٌاس‬
‫ثانيا‬-‫المواد‬ ‫كميات‬‫إلنتاج‬‫و‬ ‫مكعب‬ ‫متر‬:‫الخرسانة‬ ‫من‬ ‫احد‬‫الالزمة‬ ‫المواد‬ ‫كمٌات‬ ‫حساب‬ ‫البحث‬ ‫هذا‬ ً‫ف‬ ‫تم‬‫إلنتاج‬‫متر‬
‫واحد‬ ‫مكعب‬‫الخرسانة‬ ‫من‬‫ومعروفة‬ ‫مختلفة‬ ‫خلط‬ ‫ولنسب‬
ً‫ف‬ ‫موضحة‬ ‫المقادٌر‬ ‫وكانت‬ ‫االستخدام‬( ‫الجدول‬1)‫ٌتضح‬ ‫حٌث‬
:ً‫ٌل‬ ‫ما‬ ‫الجدول‬ ‫من‬
‫أ‬-ً‫الحجم‬ ‫بالكٌل‬ ‫تحدٌدها‬ ‫عند‬ ‫عام‬ ‫بشكل‬ ‫المواد‬ ‫كثافات‬ ‫تكون‬‫أعلى‬‫مق‬ ‫من‬ً‫الوزن‬ ‫الكٌل‬ ‫بطرقة‬ ‫تحدٌدها‬ ‫عند‬ ‫ادٌرها‬
‫للمواد‬ ‫الكثافة‬ ‫تحدٌد‬ ‫ٌفضل‬ ‫ولهذا‬‫اإلنشائٌة‬‫التحوٌل‬ ‫عملٌة‬ ً‫ف‬ ‫استخدامها‬ ‫اجل‬ ‫من‬ ‫معٌنة‬ ‫كٌل‬ ‫طرٌقة‬ ‫ولكل‬ ‫خلطة‬ ‫ولكل‬
ً‫ف‬ ‫ورد‬ ‫وكما‬ ‫وبالعكس‬ ‫الحجمٌة‬ ‫إلى‬ ‫الوزنٌة‬ ‫الكٌل‬ ‫طرٌقة‬ ‫من‬‫ا‬‫ألشكال‬(4،5،1).
‫والتنمٌــة‬ ‫الهندســة‬ ‫مجلـة‬‫المجل‬‫ــ‬‫د‬ً‫الثانـــ‬‫عشــر/العدد‬‫الرابع‬-‫األول‬ ‫كانون‬2002
7822-ISSN 1813
6
‫كثافة‬ ‫عالقة‬ ( ‫شكل‬1)
‫الخلط‬ ‫نسب‬ ‫ا‬‫مع‬ ‫لسمنت‬
‫والحجمٌة‬ ‫الوزنٌة‬
(2) ‫شكل‬
‫كثافة‬ ‫عالقة‬
‫مع‬ ‫الرمل‬
‫الخلط‬ ‫نسب‬
‫الوزنٌة‬
‫والحجمٌة‬
Proportion Type
By weight By volume
Proportion Type
By weight By volume
‫والتنمٌــة‬ ‫الهندســة‬ ‫مجلـة‬‫المجل‬‫ــ‬‫د‬ً‫الثانـــ‬‫عشــر/العدد‬‫الرابع‬-‫األول‬ ‫كانون‬2002
7822-ISSN 1813
3
(3) ‫شكل‬
‫كثافة‬ ‫عالقة‬
‫مع‬ ‫الحصى‬
‫الخلط‬ ‫نسب‬
‫الوزنٌة‬
‫والحجمٌة‬
‫ب‬-‫أي‬ ً‫الحجم‬ ‫الكٌل‬ ً‫ف‬ ‫المستعملة‬ ‫مقادٌرها‬ ‫من‬ ‫اكبر‬ ً‫الوزن‬ ‫للكٌل‬ ‫والحصى‬ ‫والرمل‬ ‫السمنت‬ ‫كمٌات‬‫إن‬‫النسب‬
‫سمنت‬ ‫محتوى‬ ‫ذات‬ ‫تكون‬ ‫للخلط‬ ‫الوزنٌة‬‫أعلى‬ً‫ف‬ ‫ورد‬ ‫وكما‬ ‫الحجمٌة‬ ‫النسب‬ ‫ذات‬ ‫الخلطات‬ ‫من‬‫ا‬‫ألشكال‬(4،2،3).
‫عالقة‬ ( ‫شكل‬4)
‫السمنت‬ ‫كمٌة‬
‫الخلط‬ ‫نسب‬ ‫مع‬
‫والحجمٌة‬ ‫الوزنٌة‬
Proportion Type
By weight By volume
Proportion Type
By weight By volume
Proportion Type
By weight By volume
‫والتنمٌــة‬ ‫الهندســة‬ ‫مجلـة‬‫المجل‬‫ــ‬‫د‬ً‫الثانـــ‬‫عشــر/العدد‬‫الرابع‬-‫األول‬ ‫كانون‬2002
7822-ISSN 1813
2
( ‫شكل‬5‫والحجمٌة‬ ‫الوزنٌة‬ ‫الخلط‬ ‫نسب‬ ‫مع‬ ‫الرمل‬ ‫كمٌة‬ ‫عالقة‬ )
(6) ‫شكل‬
‫كمٌة‬ ‫عالقة‬
‫نسب‬ ‫مع‬ ‫الحصى‬
‫الوزنٌة‬ ‫الخلط‬
‫والحجمٌة‬
‫ج‬-‫مع‬ ‫الجدول‬ ‫هذا‬ ‫نتائج‬ ‫مقارنة‬ ‫عند‬( ‫جدول‬4)‫تم‬ ‫الذي‬‫إعداده‬‫المصدر‬ ً‫ف‬ ‫والواردة‬‫هللا‬ ‫فتح‬[8]
‫تبٌن‬‫إن‬‫المواد‬ ‫كمٌات‬
‫اإلنشائٌة‬‫ذلك‬ ً‫ف‬ ‫السبب‬ ‫ٌعود‬ ‫وقد‬ ‫فٌه‬ ‫الواردة‬ ‫الكمٌات‬ ‫عن‬ ‫تختلف‬‫إن‬‫ٌرد‬ ‫ولم‬ ‫الحجمٌة‬ ‫الخلط‬ ‫لنسب‬ ‫فقط‬ ‫ْعد‬‫م‬ ‫الجدول‬
‫كما‬ ‫الوزنٌة‬ ‫الخلط‬ ‫نسب‬ ‫إلى‬ ‫ٌشٌر‬ ‫ما‬ ‫فٌه‬‫إن‬‫لربما‬ ‫السمنت‬ ‫نوعٌة‬ ‫وكذلك‬ ‫والرمل‬ ‫الحصى‬ ‫خصوصا‬ ‫المواد‬ ‫كثافات‬
‫مرور‬ ‫بعد‬ ‫تغٌرت‬‫أكثر‬‫عل‬ ‫عاما‬ ‫ثالثٌن‬ ‫من‬‫ى‬‫إعداده‬‫حٌث‬‫إن‬‫إلى‬ ‫ٌعود‬ ‫لربما‬ ‫ذلك‬‫إن‬‫المستخدمة‬ ‫الخام‬ ‫المواد‬ ‫نوعٌة‬
‫ومدة‬ ‫الحرق‬ ‫فترة‬ ‫وكذلك‬ ‫السمنت‬ ‫صناعة‬ ً‫ف‬‫اإلشباع‬‫الفترة‬ ‫تلك‬ ‫مع‬ ‫مقارنة‬ ‫تغٌرت‬ ‫قد‬ ‫الدوار‬ ‫الفرن‬ ً‫ف‬‫باإلضافة‬‫إلى‬
.‫المقالع‬ ‫من‬ ‫علٌها‬ ‫الحصول‬ ‫ٌتم‬ ً‫الت‬ ‫والحصى‬ ‫كالرمال‬ ‫المستخرجة‬ ‫المواد‬ ‫نوعٌة‬ ‫تغٌر‬
( ‫جدول‬6‫الخرسانٌة‬ ‫لألعمال‬ ‫الالزمة‬ ‫اإلنشائٌة‬ ‫المواد‬ ‫كمٌة‬ ‫ٌبٌن‬ )
[8]
‫ت‬ً‫اإلنشائ‬ ‫العمل‬ ‫نوع‬‫القٌاسٌة‬ ‫الوحدة‬‫المزٌج‬ ‫نسبة‬‫كغم‬ ‫السمنت‬‫الرمل‬‫م‬3‫الحصى‬
‫م‬3
Proportion Type
By weight By volume
‫والتنمٌــة‬ ‫الهندســة‬ ‫مجلـة‬‫المجل‬‫ــ‬‫د‬ً‫الثانـــ‬‫عشــر/العدد‬‫الرابع‬-‫األول‬ ‫كانون‬2002
7822-ISSN 1813
1
1‫لألسس‬ ‫مسلحة‬ ‫خرسانة‬
‫واألرضٌات‬
‫م‬3
2:4:11500,460,16
2‫لألسس‬ ‫مسلحة‬ ‫خرسانة‬
‫واألرضٌات‬
‫م‬3
6:3:12100,450,10
3‫خر‬‫لألسس‬ ‫مسلحة‬ ‫سانة‬
‫واألرضٌات‬
‫م‬3
4:2:13000,430,25
4‫لألسس‬ ‫مسلحة‬ ‫خرسانة‬
‫واألرضٌات‬
‫م‬3
3:1.5:13200,410,23
‫د‬-‫إن‬‫ال‬( ‫جدول‬1)‫بالطرٌقتٌن‬ ‫الكٌل‬ ‫عند‬ ‫المواد‬ ‫كمٌات‬ ‫اتضاح‬ ‫عدم‬ ‫عن‬ ‫الناجمة‬ ‫المشاكل‬ ‫من‬ ‫العدٌد‬ ‫ٌحل‬ ‫سوف‬
‫القٌام‬ ‫عند‬ ‫خصوصا‬‫بأعمال‬ً‫الكم‬ ‫المسح‬‫وإعداد‬‫جداول‬‫للعقود‬ ‫الكمٌات‬‫واألعمال‬.‫المختلفة‬ ‫الهندسٌة‬
‫هـ‬-‫الباحثون‬ ‫ٌقترح‬‫إلزام‬‫وزنٌة‬ ‫الخلط‬ ‫نسب‬ ‫بذكر‬ ‫المهندسٌن‬‫أم‬‫عند‬ ‫حجمٌة‬‫إعداد‬‫جداول‬‫تحاشٌا‬ ‫وذلك‬ ‫الكمٌات‬
‫بها‬ ‫ٌطالب‬ ً‫الت‬ ‫المطالبات‬ ‫خصوصا‬ ‫ذلك‬ ‫عن‬ ‫تنجم‬ ‫قد‬ ً‫الت‬ ‫للمشاكل‬‫المقاول‬‫تزداد‬ ً‫الت‬ ‫السمنت‬ ‫كمٌات‬ ‫فروق‬ ‫عن‬
‫ا‬ ‫استخدام‬ ‫عند‬.ً‫الوزن‬ ‫لكٌل‬
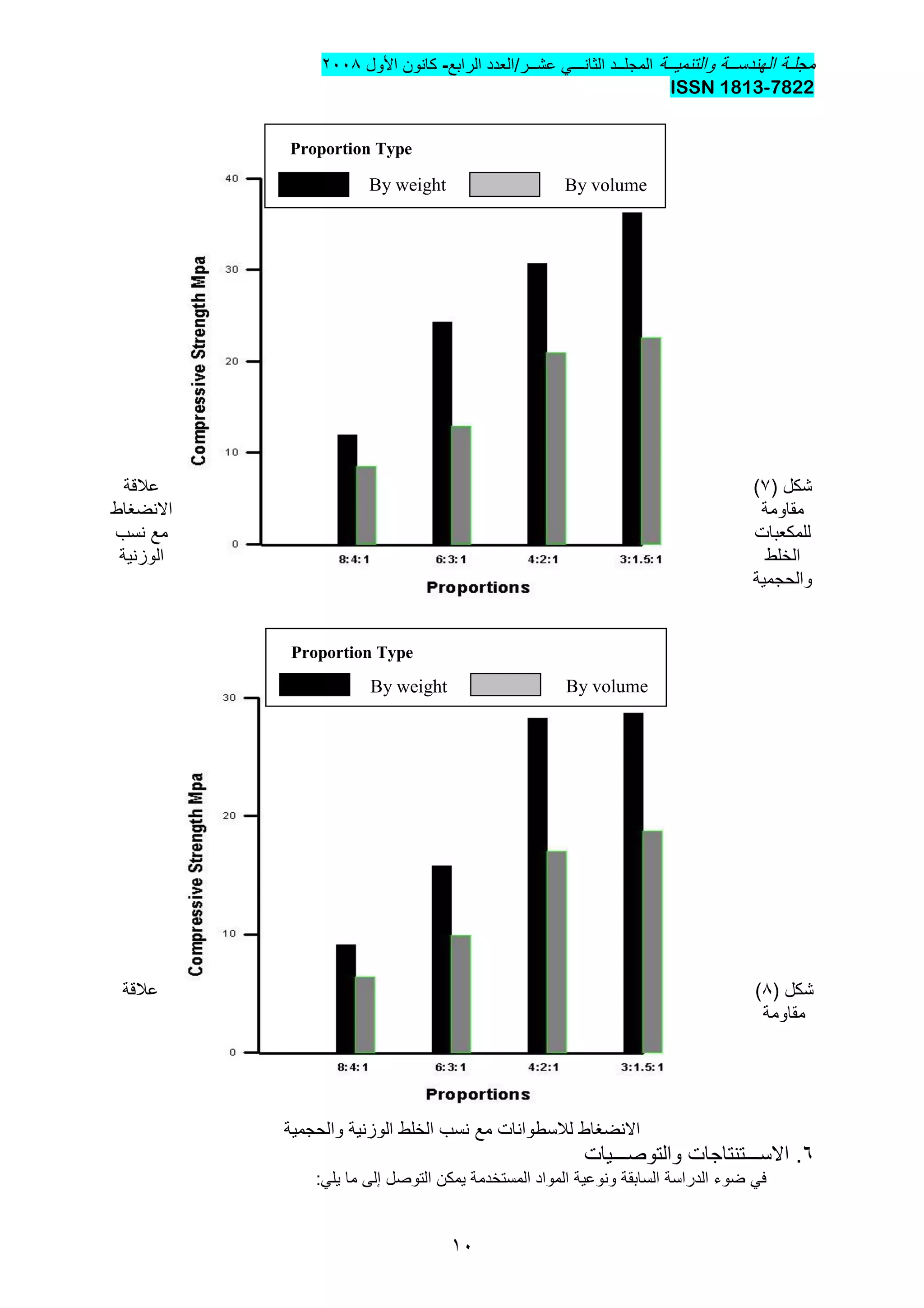
‫ثالثا‬-‫مقاومة‬:‫االنضغاط‬
‫ال‬( ‫جدول‬7)‫مقادٌر‬ ‫ٌوضح‬‫مقاومة‬‫ضلعها‬ ‫طول‬ ‫لمكعبات‬ ‫والحجمٌة‬ ‫الوزنٌة‬ ‫الخلط‬ ‫لنسب‬ ‫االنضغاط‬15‫بعمر‬ ‫سم‬
3‫و‬22‫ذات‬ ‫السطوانات‬ ‫وكذلك‬ ‫ٌوم‬‫أقطار‬15‫بارتفاع‬ ‫سم‬30‫سم‬‫بأعمار‬3‫و‬22ً‫ف‬ ‫موضح‬ ‫وكما‬ ‫أٌضا‬ ‫ٌوم‬‫ال‬‫شكل‬
(7،7).
‫الجدول‬ ‫من‬ ‫ٌستدل‬‫إن‬‫الوزنٌة‬ ‫الخلط‬ ‫نسب‬‫أعطت‬‫مقاومة‬‫وهذا‬ ‫الحجمٌة‬ ‫الخلط‬ ‫نسب‬ ‫من‬ ‫اكبر‬ ‫عام‬ ‫بشكل‬ ‫انضغاط‬
‫كون‬ ‫إلى‬ ‫ٌعود‬‫األخٌرة‬‫الوزنٌة‬ ‫من‬ ‫اقل‬ ‫السمنت‬ ‫من‬ ‫محتوى‬ ‫ذات‬‫باإلضافة‬‫محتواها‬ ‫إلى‬‫األكبر‬‫بسبب‬ ‫والركام‬ ‫الرمل‬ ‫من‬
.ً‫الوزن‬ ‫الكٌل‬ ‫مع‬ ‫مقارنة‬ ‫اكبر‬ ‫لمواد‬ ‫تسمح‬ ً‫الت‬ ‫الحجمٌة‬ ‫الكٌل‬ ‫طبٌعة‬
( ‫جدول‬3‫الخرسانٌة‬ ‫للخلطات‬ ‫االنضغاط‬ ‫مقاومة‬ )
‫الخلط‬ ‫نسب‬
‫للمكعب‬ ‫االنضغاط‬ ‫مقاومة‬‫لالسطوانة‬ ‫االنضغاط‬ ‫مقاومة‬
‫عمر‬3‫ٌوم‬‫عمر‬22‫ٌوم‬‫عمر‬3‫ٌوم‬‫عمر‬22‫ٌوم‬
2:4:1‫وزنٌة‬1,112------
2:4:1‫حجمٌة‬6,42,5---10,2
6:3:1‫وزنٌة‬15,224,3------
6:3:1‫حجمٌة‬1,112,1------
4:2:1‫وزنٌة‬22,330,32322,5
4:2:1‫حجمٌة‬13,021,016,2520
3:1.5:1‫وزنٌة‬22,336,3------
3:1.5:1‫حجمٌة‬12,3522,613,121,4
‫والتنمٌــة‬ ‫الهندســة‬ ‫مجلـة‬‫المجل‬‫ــ‬‫د‬ً‫الثانـــ‬‫عشــر/العدد‬‫الرابع‬-‫األول‬ ‫كانون‬2002
7822-ISSN 1813
10
‫عالقة‬ ( ‫شكل‬3)
‫االنضغاط‬ ‫مقاومة‬
‫نسب‬ ‫مع‬ ‫للمكعبات‬
‫الوزنٌة‬ ‫الخلط‬
‫والحجمٌة‬
‫عالقة‬ ( ‫شكل‬2)
‫مقاومة‬
‫والحجمٌة‬ ‫الوزنٌة‬ ‫الخلط‬ ‫نسب‬ ‫مع‬ ‫لالسطوانات‬ ‫االنضغاط‬
6.‫االس‬‫ـــ‬‫والتوص‬ ‫تنتاجات‬‫ـــ‬‫ٌات‬
:ً‫ٌل‬ ‫ما‬ ‫إلى‬ ‫التوصل‬ ‫ٌمكن‬ ‫المستخدمة‬ ‫المواد‬ ‫ونوعٌة‬ ‫السابقة‬ ‫الدراسة‬ ‫ضوء‬ ً‫ف‬
Proportion Type
By weight By volume
Proportion Type
By weight By volume
‫والتنمٌــة‬ ‫الهندســة‬ ‫مجلـة‬‫المجل‬‫ــ‬‫د‬ً‫الثانـــ‬‫عشــر/العدد‬‫الرابع‬-‫األول‬ ‫كانون‬2002
7822-ISSN 1813
11
1.‫الس‬ ‫وضع‬ ‫عند‬ ‫االنتباه‬ ‫وٌجب‬ ‫الشكل‬ ‫مكعبة‬ ‫صنادٌق‬ ‫وباستخدام‬ ‫الحجم‬ ‫الصغٌرة‬ ‫للخلطات‬ ً‫الحجم‬ ‫الكٌل‬ ‫ٌعمل‬ً‫ف‬ ‫منت‬
‫الكٌل‬ ‫أوعٌة‬‫ألنه‬( ‫إلى‬ ‫ٌصل‬ ‫قد‬ ‫بمقدار‬ )‫السمنت‬ ‫حجم‬ ً‫ف‬ ‫تضخم‬ ‫(ٌحصل‬ ‫الحجم‬ ‫ٌزداد‬ ‫سوف‬ ‫لربما‬10-34‫ٌجعل‬ ‫مما‬ %)
‫بالسمنت‬ ‫فقٌرة‬ ‫الخلطات‬(under cemented‫الكٌل‬ ‫ذات‬ ‫الخلطات‬ ‫كانت‬ ‫حٌث‬ ‫فعال‬ ‫حصل‬ ‫ما‬ ‫وهذا‬ )
‫ال‬ ‫ذات‬ ‫الخلطات‬ ‫مع‬ ‫مقارنة‬ ‫السمنت‬ ‫من‬ ‫محتوى‬ ‫اقل‬ ً‫الحجم‬.ً‫الوزن‬ ‫كٌل‬
2.‫على‬ ‫للتغلب‬ ‫رطب‬ ‫كونه‬ ‫حالة‬ ً‫ف‬ ‫الخلطة‬ ً‫ف‬ ‫المستخدم‬ ‫الرمل‬ ‫حجم‬ ‫زٌادة‬ ‫ٌجب‬‫تأثٌرات‬‫ال‬ ‫وحتى‬ ‫التضخم‬ ‫ظاهرة‬
( ‫بالرمل‬ ‫فقٌرة‬ ‫الخلطة‬ ‫تصبح‬under sanded‫ومقدار‬ )‫(نعومته‬ ‫الرمل‬ ‫تدرج‬ ‫على‬ ‫تعتمد‬ ‫الحجم‬ ً‫ف‬ ‫الزٌادة‬ ‫ومقدار‬ )
.‫الرص‬ ‫ودرجة‬ ‫فٌه‬ ‫الرطوبة‬
3.‫ألغراض‬‫نسب‬ ‫تحوٌل‬‫المواد‬ ‫كثافات‬ ‫تحدٌد‬ ‫ٌتم‬ ‫بالعكس‬ ‫أو‬ ‫حجمٌة‬ ‫إلى‬ ‫الوزنٌة‬ ‫الخلط‬‫اإلنشائٌة‬‫من‬ ‫نوع‬ ‫لكل‬ ‫الخلط‬ ً‫ف‬
‫على‬ ‫نماذج‬ ‫لثالثة‬ ‫معدل‬ ‫اخذ‬ ‫وٌتم‬ ‫االستشاري‬ ‫المهندس‬ ‫قناعة‬ ‫وحسب‬ ‫الرمل‬ ‫أو‬ ‫الحصو‬ ‫من‬ ‫كدس‬ ‫لكل‬ ‫أو‬ ‫الخلطات‬‫األقل‬.
4.‫بمعدل‬ ‫والحصى‬ ‫الرمل‬ ‫كثافات‬ ‫كانت‬1531‫و‬1611‫كغم/م‬3
‫التوا‬ ‫على‬ً‫الــت‬ ‫المــدٌات‬ ‫ضـمن‬ ‫تـقع‬ ً‫وه‬ ً‫ل‬
‫أوردنــا‬Olin[9]
‫و‬Mindes and Yong[10]
.
5.ً‫ف‬ ‫المواد‬ ‫استخدام‬ ‫عند‬ ‫االنتباه‬ ‫ٌجب‬‫إنتاج‬‫وال‬ ‫الرطوبة‬ ‫من‬ ‫صحٌح‬ ‫محتوى‬ ‫ذو‬ ‫ٌكون‬ ‫وان‬ ‫الركام‬ ‫خصوصا‬ ‫الخرسانة‬
‫وضرورة‬ ‫الخرسانة‬ ‫ماء‬ ‫على‬ ‫ٌؤثر‬‫إجراء‬‫ت‬‫عن‬ ‫المستخدم‬ ‫الركام‬ ‫رطوبة‬ ‫اختالف‬ ‫حالة‬ ً‫ف‬ ‫والركام‬ ‫الماء‬ ‫كمٌة‬ ‫على‬ ‫عدٌل‬
. ‫المطلوبة‬ ‫الحالة‬
6.‫ٌفضل‬‫إجراء‬‫المواد‬ ‫على‬ ‫أولٌة‬ ‫تجارب‬‫اإلنشائٌة‬‫لتحدٌد‬ ‫الموقع‬ ‫لظروف‬ ‫مشابهة‬ ‫ظروف‬ ‫وتحت‬ ‫التنفٌذ‬ ً‫ف‬ ‫المستخدمة‬
.‫وكفوء‬ ‫دقٌق‬ ‫بشكل‬ ‫المواد‬ ‫خواص‬ ‫من‬ ‫وغٌرها‬ ‫الكثافات‬
3.‫بت‬ ‫ورد‬ ‫ما‬ ‫نؤٌد‬‫وصٌة‬Neuman and choo[11]
‫الذي‬‫أكد‬‫على‬‫إن‬‫الخلطة‬ ‫تصمٌم‬ ‫بٌن‬ )‫(تداخل‬ ‫ترابط‬ ‫هنالك‬ ‫ٌكون‬
‫والتركٌب‬ ‫المواد‬ ‫وكمٌات‬ ‫الخرسانٌة‬‫الكٌمٌاوي‬‫المعدات‬ ‫ونوعٌة‬ ‫والوضع‬ ‫الخلط‬ ‫وسرعة‬ ‫المواد‬ ‫خزن‬ ‫طرق‬ ‫وبٌن‬ ‫للسمنت‬
‫وكفاءتها‬‫هذه‬ ‫كل‬ .‫والرطوبة‬ ‫الحرارة‬ ‫درجة‬ ‫حٌث‬ ‫من‬ ‫الموقع‬ ‫ظروف‬ ‫وكذلك‬‫األم‬‫ور‬‫المهندس‬ ‫على‬ ‫ٌجب‬‫أن‬‫ٌأخذها‬‫بنظر‬
.‫لها‬ ‫المثلى‬ ‫الحلول‬ ‫وٌضع‬ ‫االعتبار‬
2.ً‫ف‬ ‫المواد‬ ‫خزن‬ ‫ٌفضل‬‫أماكن‬‫تكون‬ ‫وان‬ ‫صٌفا‬ ‫العالٌة‬ ‫الحرارة‬ ‫ومن‬ ‫شتاءا‬ ‫الرطوبة‬ ‫من‬ ‫لحفظها‬ ‫مسقفة‬‫األرضٌة‬‫صلبة‬
‫وٌفضل‬ .‫المواد‬ ‫من‬ ‫غٌره‬ ‫أو‬ ‫بالتراب‬ ‫الركام‬ ‫تلوث‬ ‫عدم‬ ‫تؤمن‬ ً‫لك‬‫أن‬‫موق‬ ‫من‬ ‫قرٌبا‬ ‫الخزن‬ ‫ٌكون‬.‫العمل‬ ‫ع‬
1.ً‫ف‬ ‫المواد‬ ‫كٌل‬ ‫طرٌقة‬ ‫ذكر‬ ‫ضرورة‬ ‫الباحثون‬ ‫ٌقترح‬‫جداول‬‫الكمٌات‬‫للمقاوالت‬‫وزنٌة‬ ً‫ه‬ ‫هل‬ ‫المخططات‬ ً‫ف‬ ‫أو‬‫أم‬
‫لتحدٌد‬ ‫الفحص‬ ‫نموذج‬ ‫شكل‬ ‫ذكر‬ ‫مع‬ ‫حجمٌة‬‫مقاومة‬‫للخرسانة‬ ‫االنضغاط‬‫وأبعاده‬‫التقٌٌم‬ ‫ومواصفات‬ ‫الفحص‬ ‫ومواصفات‬
‫ال‬ ‫للمشاكل‬ ‫تحاشٌا‬ ‫ترددها‬ ‫ومقدار‬ ‫النماذج‬ ‫وعدد‬‫بٌن‬ ‫تحدث‬ ً‫ت‬‫أطراف‬‫مثل‬ ‫وضوح‬ ‫عدم‬ ‫أو‬ ‫غٌاب‬ ‫بسبب‬ ً‫الهندس‬ ‫العقد‬
.‫المعلومات‬ ‫هذه‬
10.‫ال‬( ‫جدول‬1)‫الالزمة‬ ‫المواد‬ ‫كمٌات‬ ‫عن‬ ‫معلومات‬ ً‫ٌعط‬‫إلنتاج‬‫وهو‬ ‫الخرسانة‬ ‫من‬ ‫قٌاسٌة‬ ‫وحدة‬‫أكثر‬‫من‬ ‫تطورا‬
‫الجداول‬‫تم‬ ‫حٌث‬ ‫العراق‬ ً‫ف‬ ‫المهندسٌن‬ ‫قبل‬ ‫من‬ ‫المعتمدة‬‫إدخال‬‫ٌح‬ ‫وما‬ ‫للخرسانة‬ ‫الرص‬ ‫عامل‬ً‫ف‬ ‫نقصان‬ ‫من‬ ‫دثه‬
‫لم‬ ‫والذي‬ ‫حجمها‬‫تأخذه‬‫الجداول‬‫للمواد‬ ‫المقادٌر‬ ‫كانت‬ ‫ولهذا‬ ‫االعتبار‬ ‫بنظر‬ ‫السابقة‬‫أعلى‬‫تلك‬ ً‫ف‬ ‫الواردة‬ ‫نظٌراتها‬ ‫من‬
‫المصادر‬[8]
.
11.‫إن‬‫وتغٌراتها‬ ‫والكثافات‬ ‫المواد‬ ‫كمٌات‬ ‫حساب‬ ‫بصدد‬ ‫المجال‬ ‫هذا‬ ً‫ف‬ ‫البحوث‬ ‫من‬ ‫طموح‬ ‫لمشروع‬ ‫نواة‬ ‫هو‬ ‫البحث‬ ‫هذا‬
‫عد‬ ‫حساب‬ ‫وكذلك‬‫ذرعة‬ ‫عند‬ ‫المواد‬ ‫كمٌات‬ ‫بٌن‬ ‫التوافق‬ ‫م‬‫األكداس‬ً‫ف‬ ‫المستخدمة‬ ‫المواد‬ ‫كمٌات‬ ‫وكذلك‬‫إنتاج‬.‫الخرسانة‬
3‫المص‬ .‫ــــــ‬‫ادر‬
.1‫زهٌر‬‫ساكو‬،‫و‬‫لٌفون‬ ‫آرتٌن‬،“‫المباني‬ ‫إنشاء‬"،‫بغداد‬ ‫جامعة‬،‫الهندسة‬ ‫كلٌة‬،‫الطبعة‬‫األخٌرة‬1110،
606.‫صفحة‬
.2‫نوري‬ ‫مؤٌد‬‫الخلف‬،‫عبد‬ ‫هناء‬ ‫و‬‫ٌوس‬‫ف‬،‫"تكنولوجي‬‫ا‬"‫الخرسانة‬،‫الجامعة‬‫بغداد‬ ،‫التكنولوجٌة‬1124،552
.‫صفحة‬
.3‫بشٌر‬ ‫جالل‬‫سرسم‬،‫"تكنولوجي‬‫ا‬‫الخرسانة‬"،‫الفنٌة‬ ‫المعاهد‬ ‫هٌئة‬،‫بغداد‬،‫األولى‬ ‫الطبعة‬1124،552‫صفحة‬.
‫والتنمٌــة‬ ‫الهندســة‬ ‫مجلـة‬‫المجل‬‫ــ‬‫د‬ً‫الثانـــ‬‫عشــر/العدد‬‫الرابع‬-‫األول‬ ‫كانون‬2002
7822-ISSN 1813
12
4. BS1881: Part 116, “Method for Determination of Compressive Strength of
Concrete Cubes”, British Standard Institute, 1983.
5. ASTM C39/C39M-02, “Standard Test Method for Compressive Strength of
Cylindrical Concrete Specimens”, ASTM International.
6. Taylor, W. H., “Concrete Technology and Practice”, Forth Edition, 1977,
Australia, 849 p.
7. Troxell, G. E. et. al., “Composition and Properties of Concrete”, USA, 1968,
529 p.
.8‫فضٌل‬ ‫مدحت‬‫هللا‬ ‫فتح‬،"‫والمواصفات‬ ‫التخمين‬"،‫بغداد‬ ‫جامعة‬،‫الهندسة‬ ‫كلٌة‬‫المنقحة‬ ‫الثالثة‬ ‫الطبعة‬ ،1133،
112‫صفحة‬.
9. Olin, H. B., et. al., “Construction, Principals Materials and Methods”, Sixth
Edition, 1995, USA.
10. Minds and Young, “Concrete”, USA, 1981, 671 p.
11. Newman and Choo, “Advanced Concrete Technology”, England, 2003.

النسب الوزنية والحجمية للخلطات الخرسانية

  • 1.
    ‫والتنمٌــة‬ ‫الهندســة‬ ‫مجلـة‬‫المجل‬‫ــ‬‫د‬ً‫الثانـــ‬‫عشــر/العدد‬‫الرابع‬-‫األول‬‫كانون‬2002 7822-ISSN 1813 1 ‫الخرســانٌة‬ ‫للخلطــات‬ ‫والحجمٌــة‬ ‫الوزنٌــة‬ ‫الخلــط‬ ‫نســب‬ ‫بـٌن‬ ‫العالقــة‬ ‫تطــوٌر‬ ‫مـع‬‫الج‬‫ــــ‬‫داو‬‫ل‬‫الخرســـانة‬ ‫مـــواد‬ ‫بتخمــٌن‬ ‫الخاصــة‬ ‫الخالص‬‫ـــــــــ‬‫ة‬ ‫حجمٌه‬ ‫بنسب‬ ‫الخلط‬ ‫بطرٌقة‬ ‫الخرسانة‬ ‫إنتاج‬ ً‫ف‬ ‫الداخلة‬ ‫المواد‬ ‫تقاس‬‫أو‬‫ا‬ ‫الطرٌقة‬ ‫وتعتبر‬ ‫وزنٌه‬‫دقة‬ ‫األكثر‬ ‫لوزنٌة‬ ‫بالكٌل‬ ‫المحسوبة‬ ‫مثٌالتها‬ ‫عن‬ ً‫الحجم‬ ‫بالكٌل‬ ‫الخرسانة‬ ‫صناعة‬ ً‫ف‬ ‫الداخلة‬ ‫المواد‬ ‫كمٌات‬ ‫حساب‬ ‫عند‬ ‫اختالف‬ ‫ونظرا‬ :‫إلٌه‬ ‫التوصل‬ ‫تم‬ ‫ما‬ ‫أهم‬ ‫من‬ ‫وكان‬ ‫البحث‬ ‫هذا‬ ‫تم‬ ‫فقد‬ ‫الهندسٌة‬ ‫األعمال‬ ‫تنفٌذ‬ ‫عند‬ ‫مشاكل‬ ‫من‬ ‫ذلك‬ ‫عن‬ ‫ٌترتب‬ ‫وما‬ ً‫الوزن‬ ‫والركام‬ ‫السمنت‬ ‫كثافات‬ ‫تحدٌد‬‫أن‬ ‫ٌمكن‬ ً‫والت‬ ‫الخرسانة‬ ‫صناعة‬ ً‫ف‬ ‫المستخدم‬ ً‫المحل‬‫تستخدم‬‫نسب‬ ‫لتحوٌل‬‫الخلط‬ ‫الوزنٌة‬‫إلى‬‫حجمٌة‬‫أو‬.‫بالعكس‬ ‫تطوٌر‬‫جد‬‫او‬‫ل‬‫الالزمة‬ ‫المواد‬ ‫كمٌات‬ ‫حساب‬‫إلنتاج‬‫تم‬ ‫حٌث‬ ‫الخرسانة‬ ‫من‬ ‫قٌاسٌة‬ ‫وحدة‬‫إدخال‬‫للخرسانة‬ ‫الرص‬ ‫عامل‬ ‫الك‬ ‫طرٌقة‬ ‫بٌن‬ ‫الفصل‬ ‫وكذلك‬ ‫حجمها‬ ً‫ف‬ ‫نقصان‬ ‫من‬ ‫تحدثه‬ ‫وما‬‫الالزمة‬ ‫المواد‬ ‫كمٌات‬ ‫وبٌان‬ ‫والحجمٌة‬ ‫الوزنٌة‬ ‫ٌل‬ .‫حدة‬ ‫على‬ ‫منهما‬ ‫لكال‬ ‫باإلضافة‬‫إلى‬‫استنتاجات‬‫أخرى‬‫عالقة‬ ‫ذات‬‫بأعمال‬‫تدوٌنها‬ ‫تم‬ ‫المنفذٌن‬ ‫المدنٌٌن‬ ‫المهندسٌن‬ ‫تخص‬ ‫الموقع‬ ً‫ف‬ ‫التنفٌذ‬ .‫المتن‬ ً‫ف‬ Abstract The concrete works are suffered from many problems like: the selection of materials used, mixing, placing, compacting and curing of concrete. These stages of manufacturing concrete affect the quality of produced concrete. Also there are many difficulties in converting the proportioning of concrete mixes by weight to the proportioning by volume. Moreover the tables used to estimate the quantities of materials needed to produce one cubic meter of concrete must be studied carefully to reduce the errors in estimation. This research aims to introduce the solution for the problems mentioned above and provide the engineer with a guide for calculations of constructional materials. 1.‫المقدم‬‫ـــــــــ‬‫ة‬ ‫ســــلمان‬ ‫مصـــلح‬ ‫محمـــد‬ .‫أ.د‬ ‫قس‬‫ــ‬‫م‬‫ال‬‫هندس‬‫ــ‬‫ة‬‫الهندســـة‬ ‫كلٌـــة‬ ،‫المدنٌـــة‬ ‫الجا‬‫معــــة‬،‫المســـتنصرٌة‬‫بغـــداد‬، ‫العــراق‬ ‫المهنــدس‬‫مجــٌد‬ ‫ولٌــد‬ ‫مهنــد‬ ‫قس‬‫ــ‬‫م‬‫ال‬‫هندس‬‫ــ‬‫ة‬‫الهندســـة‬ ‫كلٌـــة‬ ،‫المدنٌـــة‬ ‫الجا‬‫معــــة‬،‫المســـتنصرٌة‬‫بغـــداد‬، ‫العــراق‬ ‫جــبر‬ ‫رحٌــم‬ ‫عقــٌل‬ ‫مهندســٌن‬ .‫ر‬ ‫قس‬‫ــ‬‫م‬‫ال‬‫هندس‬‫ــ‬‫ة‬‫الهندســـة‬ ‫كلٌـــة‬ ،‫المدنٌـــة‬ ‫الجا‬‫معــــة‬،‫المســـتنصرٌة‬‫بغـــداد‬، ‫العــراق‬ ‫المهنـدس‬‫الكرٌــم‬ ‫عبـد‬ ‫شــحاذة‬ ‫وائــل‬ ‫قس‬‫ــ‬‫م‬‫ال‬‫هندس‬‫ــ‬‫ة‬‫الهندســـة‬ ‫كلٌـــة‬ ،‫المدنٌـــة‬ ‫الجا‬‫معــــة‬،‫المســـتنصرٌة‬‫بغـــداد‬، ‫العــراق‬
  • 2.
    ‫والتنمٌــة‬ ‫الهندســة‬ ‫مجلـة‬‫المجل‬‫ــ‬‫د‬ً‫الثانـــ‬‫عشــر/العدد‬‫الرابع‬-‫األول‬‫كانون‬2002 7822-ISSN 1813 2 ‫المواد‬ ‫إختٌار‬ ‫من‬ ً‫ء‬‫إبتدا‬ ‫كبٌرة‬ ‫بمشاكل‬ ‫وتمر‬ ،‫العراق‬ ً‫ف‬ ‫االستخدام‬ ‫ومتعددة‬ ‫االنتشار‬ ‫واسعة‬ ‫إنشائٌة‬ ‫مادة‬ ‫الخرسانة‬ ‫األ‬‫و‬‫لٌة‬‫إلى‬‫ونوعٌة‬ ‫جودة‬ ‫على‬ ‫المراحل‬ ‫هذه‬ ‫من‬ ‫مرحلة‬ ‫كل‬ ‫وتؤثر‬ ‫واإلنضاج‬ ‫والرص‬ ‫والوضع‬ ‫الخلط‬ ‫ونسب‬ ‫الخلط‬ ‫أعمال‬ .‫المنتجة‬ ‫الخرسانة‬ )‫حجمٌة‬ ‫أم‬ ‫(وزنٌة‬ ‫الخلط‬ ‫طرٌقة‬ ‫وتحدٌد‬ ‫الخرسانة‬ ‫مواد‬ ‫خلط‬ ‫عملٌة‬ ‫على‬ ‫الضوء‬ ‫تسلٌط‬ ‫ٌتم‬ ‫سوف‬ ‫البحث‬ ‫هذا‬ ً‫ف‬ ‫المق‬ ‫مع‬ ‫ذلك‬ ‫وعالقة‬‫أو‬‫الال‬ ‫المواد‬ ‫وكمٌات‬ ‫المستحصلة‬ ‫مة‬.‫منها‬ ‫مكعب‬ ‫متر‬ ‫واحد‬ ‫إلنتاج‬ ‫زمة‬ 2‫ومزجهـــا‬ ‫المــواد‬ ‫كــٌل‬ . ‫حجمٌة‬ ‫بطرٌقة‬ ‫أما‬ ‫الخرسانة‬ ‫مزج‬ ً‫ف‬ ‫الداخلة‬ ‫المواد‬ ‫تقاس‬‫أو‬‫دقة‬ ‫أكثر‬ ‫الوزنٌة‬ ‫الطرٌقة‬ ‫وتعتبر‬ ،‫وزنٌة‬ ‫بطرٌقة‬ ‫الكبٌرة‬ ‫والمشارٌع‬ ‫اإلنشائٌة‬ ‫األعمال‬ ً‫ف‬ ‫أعتمادها‬ ‫وٌفضل‬‫أو‬‫الدق‬ ‫عالٌة‬ ‫هندسٌة‬ ‫مواصفات‬ ‫تتطلب‬ ً‫الت‬‫ذلك‬ ً‫ف‬ ‫والسبب‬ ،‫ة‬ ‫وكذلك‬ ‫والسمنت‬ ‫الركام‬ ‫رص‬ ‫طرٌقة‬ ‫عن‬ ‫تنجم‬ ً‫الت‬ ‫األخطاء‬ ً‫تحاش‬ ‫فٌه‬ ‫ٌتم‬ ‫الوزنٌة‬ ‫بالطرٌقة‬ ‫الخرسانة‬ ‫وخلط‬ ‫مزج‬ ‫إن‬ ‫االنتفاخ‬ ‫ظاهرة‬ ‫ٌسبب‬ ‫والذي‬ ‫الناعم‬ ‫الركام‬ ً‫ف‬ ‫الرطوبة‬ ‫تأثٌر‬ ‫عن‬ ‫الناتجة‬ ‫األسباب‬Bulking‫(ٌزداد‬ ‫الرمل‬ ‫ٌنتفخ‬ ‫حٌث‬ ‫تص‬ ‫قد‬ ‫بنسبة‬ ‫كثافته‬ ‫وتقل‬ )‫حجمه‬‫ل‬‫إلى‬‫حد‬40‫الرطوبة‬ ‫ومقدار‬ ‫لنعومة‬ ‫تبعا‬ %[1] . 3.‫الخرســـانة‬ ‫خلـــط‬ ‫والقوام‬ ‫التكوٌن‬ ‫متجانس‬ ‫خلٌط‬ ‫على‬ ‫للحصول‬ ‫البعض‬ ‫بعضها‬ ‫مع‬ ‫الخرسانة‬ ‫مواد‬ ‫تخلط‬،‫عملٌة‬ ‫من‬ ‫االنتهاء‬ ‫وعند‬ ‫الكٌم‬ ‫التفاعل‬ ‫عملٌة‬ ‫بدأ‬ ‫لغرض‬ ‫االسمنت‬ ‫بعجٌنة‬ ‫مغطاة‬ ‫الركام‬ ‫حبٌبات‬ ‫سطوح‬ ‫جمٌع‬ ‫تكون‬ ‫أن‬ ‫ٌجب‬ ‫الخلط‬ٌ‫ا‬‫و‬‫حٌث‬ .‫ي‬ ‫الكافٌة‬ ‫العناٌة‬ ‫إعطاءها‬ ‫ٌجب‬ ‫لذلك‬ ‫المختلفة‬ ‫خواصها‬ ‫على‬ ‫تؤثر‬ ً‫الت‬ ‫العملٌات‬ ‫أهم‬ ‫من‬ ‫الخرسانة‬ ‫خلط‬ ‫عملٌة‬ ‫تعتبر‬[2] . :‫وهما‬ ‫بطرٌقتٌن‬ ‫العراق‬ ً‫ف‬ ‫الخرسانة‬ ‫مواد‬ ‫تخلط‬ ‫أ‬-‫حج‬ ‫قٌاس‬ ‫ٌمكن‬ ‫قٌاسٌة‬ ‫غٌر‬ ‫أوعٌة‬ ‫أو‬ ‫الحجم‬ ‫معلومة‬ ‫قٌاسٌة‬ ‫أوعٌة‬ ‫بأستخدام‬ ‫للمواد‬ ً‫الحجم‬ ‫الكٌل‬‫هذه‬ ‫مزج‬ ‫وٌتم‬ ،‫مها‬ .‫المختلفة‬ ‫السعات‬ ‫ذات‬ ‫المٌكانٌكٌة‬ ‫الخباطات‬ ‫باستخدام‬ ‫أو‬ ‫ٌدوٌا‬ ‫أما‬ ‫المواد‬ ‫ب‬-‫الكٌل‬‫بواسطة‬ ‫العمل‬ ‫موقع‬ ‫إلى‬ ‫الخرسانة‬ ‫تنقل‬ ‫ثم‬ ‫متعددة‬ ‫وطاقات‬ ‫مختلفة‬ ‫أنواع‬ ‫ذات‬ ‫معامل‬ ‫باستخدام‬ ‫للمواد‬ ً‫الوزن‬ ‫وٌجوز‬ ‫خلط‬ ‫دون‬ ‫تنقلها‬ ‫قد‬ ‫أو‬ ‫الخرسانة‬ ‫خلط‬ ً‫ف‬ ‫تستمر‬ ‫خاصة‬ ‫عربات‬ً‫ف‬ ‫كلٌا‬ ‫للخرسانة‬ ‫المكونة‬ ‫المواد‬ ‫تنقل‬ ‫أن‬ ‫العمل‬ ‫موقع‬ ‫إلى‬ ‫الوصول‬ ‫عند‬ ‫أو‬ ‫الناقالت‬[3] . 4.‫الج‬‫ــــ‬‫العمل‬ ‫زء‬‫ــــ‬ً ‫أ‬-‫الم‬‫ــ‬‫المس‬ ‫واد‬‫ــ‬‫تخدمة‬ ( ‫مقاس‬ ‫ذو‬ )‫(حصو‬ ً‫محل‬ ‫خشن‬ ‫ركام‬ ‫إستخدام‬ ‫تم‬5-14)‫(رمل‬ ‫ناعم‬ ‫وركام‬ ،‫ملم‬ )Zone2‫للمواصفات‬ ‫مطابقٌن‬ ( ‫رقم‬ ‫العراقٌة‬45‫إس‬ ‫وكذلك‬ )( ‫رقم‬ ‫العراقٌة‬ ‫للمواصفة‬ ‫ومطابق‬ ‫الرٌاض‬ ‫معمل‬ ‫إنتاج‬ ‫سعودي‬ ‫سمنت‬ ‫تخدام‬5.) ‫ب‬-‫تحدي‬‫ــ‬‫كثاف‬ ‫د‬‫ــ‬‫الم‬ ‫ات‬‫ـــ‬‫واد‬ ‫تم‬‫إستخدام‬‫موضحة‬ ‫كما‬ ‫النتائج‬ ‫وكانت‬ ‫المستعمل‬ ‫والحصى‬ ‫والرمل‬ ‫للسمنت‬ ‫الرخوة‬ ‫الكثافات‬ ‫لتحدٌد‬ ‫قٌاسٌة‬ ‫أوعٌة‬ ً‫ف‬( ‫الجدول‬1)‫عند‬ ‫الكثافات‬ ‫تحدٌد‬ ‫تم‬ ‫حٌث‬‫إجراء‬‫عمل‬‫الخ‬ ‫ٌة‬ً‫ء‬‫سوا‬ ‫الخلط‬ ‫من‬ ‫نسبة‬ ‫لكل‬ ‫لط‬‫حجمٌة‬ ‫كانت‬‫أم‬.‫وزنٌة‬
  • 3.
    ‫والتنمٌــة‬ ‫الهندســة‬ ‫مجلـة‬‫المجل‬‫ــ‬‫د‬ً‫الثانـــ‬‫عشــر/العدد‬‫الرابع‬-‫األول‬‫كانون‬2002 7822-ISSN 1813 3 ‫ج‬‫ـ‬( ‫دول‬1‫والحجمٌة‬ ‫الوزنٌة‬ ‫المزج‬ ‫نسب‬ ‫بٌن‬ ‫مقارنة‬ ) ‫الخلط‬ ‫نسب‬‫كغم/م‬ ‫الكثافة‬3 ‫لكل‬ ‫المواد‬ ‫أوزان‬1‫م‬3 ‫م‬ ‫المواد‬ ‫كمٌات‬3 ‫م‬ /3 ‫سمنت‬‫رمل‬‫حصى‬ ‫سمنت‬ ‫كغم/م‬3 ‫رمل‬ ‫كغم/م‬3 ‫حصى‬ ‫كغم/م‬3 ‫سمنت‬ ‫م‬3 ‫م‬ /3 ‫رمل‬ ‫م‬3 ‫م‬ /3 ‫حصى‬ ‫م‬3 /‫م‬3 2:4:1‫وزنٌة‬112415241613123,32235014110,1660,4110,121 2:4:1‫حجمٌة‬11241524161313135315130,12340,4130,123 6:3:1‫وزنٌة‬116615531631233,3330014000,20,4410,252 6:3:1‫حجمٌة‬12351552163121333215450,1530,4330,143 4:2:1ٌ‫وزن‬‫ة‬1133,51465155331062012400,2640,4230.200 4:2:1‫حجمٌة‬1133,51523162026561014630,2250,4500,100 3:1.5:1 ‫وزنٌة‬ 112615501615444,3566313340,3350,430,226 3:1.5:1 ‫حجمٌة‬ 11261550161532335015630,3220,4230,166 ‫ج‬-‫الخلط‬‫ـــــ‬‫ات‬ ‫تم‬( ‫االستخدام‬ ‫الشائعة‬ ‫الخلطات‬ ‫إعتماد‬2:4:1( ،)6:3:1( ،)4:2:1( ‫و‬ )3:1.5:1‫بالكٌل‬ ‫الخلط‬ ‫وإعتماد‬ ) ً‫الوزن‬ ‫والكٌل‬ ً‫الحجم‬،‫وتوضح‬‫الجد‬‫ا‬‫ول‬(2،3،4،5).‫خلط‬ ‫نسبة‬ ‫كل‬ ً‫ف‬ ‫المستخدمة‬ ‫المواد‬ ‫كمٌات‬ ( ‫جدول‬2‫والحجمٌة‬ ‫الوزنٌة‬ ‫الخلط‬ ‫لنسب‬ ‫المواد‬ ‫كمٌات‬ )2:4:1 ‫المادة‬‫الحالة‬‫الخلط‬‫ة‬2:4:1‫وزنٌة‬‫الخلطة‬2:4:1‫حجمٌة‬ ‫السمنت‬ )‫(غم‬ ‫الوزن‬33333333 ‫(سم‬ ‫الحجم‬3 )30003000 ‫الرمل‬ )‫(غم‬ ‫الوزن‬1341212213 ‫(سم‬ ‫الحجم‬3 )225312000 ‫الحصى‬ )‫(غم‬ ‫الوزن‬2612432303 ‫(سم‬ ‫الحجم‬3 )1632124000 ‫الماء‬ )‫(غم‬ ‫الوزن‬22004000 ‫(سم‬ ‫الحجم‬3 )22004000
  • 4.
    ‫والتنمٌــة‬ ‫الهندســة‬ ‫مجلـة‬‫المجل‬‫ــ‬‫د‬ً‫الثانـــ‬‫عشــر/العدد‬‫الرابع‬-‫األول‬‫كانون‬2002 7822-ISSN 1813 4 ‫جدول‬(3‫والحجمٌة‬ ‫الوزنٌة‬ ‫الخلط‬ ‫لنسب‬ ‫المواد‬ ‫كمٌات‬ )6:3:1 ‫المادة‬‫الحالة‬‫الخلطة‬6:3:1‫وزنٌة‬‫الخلطة‬6:3:1‫حجمٌة‬ ‫السمنت‬ )‫(غم‬ ‫الوزن‬32263226 ‫(سم‬ ‫الحجم‬3 )30003000 ‫الرمل‬ )‫(غم‬ ‫الوزن‬1143114020 ‫(سم‬ ‫الحجم‬3 )33331000 ‫الحصى‬ )‫(غم‬ ‫الوزن‬2215221365 ‫(سم‬ ‫الحجم‬3 )1403612000 ‫الماء‬ )‫(غم‬ ‫الوزن‬24003530 ‫(سم‬ ‫الحجم‬3 )24003530 ( ‫جدول‬4‫والحجمٌة‬ ‫الوزنٌة‬ ‫الخلط‬ ‫لنسب‬ ‫المواد‬ ‫كمٌات‬ )4:2:1 ‫المادة‬‫الحالة‬‫الخلطة‬4:2:1‫وزنٌة‬‫الخلطة‬4:2:1‫حجمٌة‬ ‫السمنت‬ )‫(غم‬ ‫الوزن‬35203520 ‫(سم‬ ‫الحجم‬3 )30003000 ‫الرمل‬ )‫(غم‬ ‫الوزن‬33411163 ‫(سم‬ ‫الحجم‬3 )42026000 ‫الحصى‬ )‫(غم‬ ‫الوزن‬1462211433 ‫(سم‬ ‫الحجم‬3 )106112000 ‫الماء‬ )‫(غم‬ ‫الوزن‬12352100 ‫(سم‬ ‫الحجم‬3 )12352100 ( ‫جدول‬5‫والحجمٌة‬ ‫الوزنٌة‬ ‫الخلط‬ ‫لنسب‬ ‫المواد‬ ‫كمٌات‬ )3:1,5:1 ‫المادة‬‫الحالة‬‫الخلطة‬1:3:1,5‫:وزنٌة‬‫الخلطة‬3:1,5:1‫حجمٌة‬ ‫السمنت‬ ‫ال‬)‫(غم‬ ‫وزن‬35523552 ‫(سم‬ ‫الحجم‬3 )30003000 ‫الرمل‬ )‫(غم‬ ‫الوزن‬53326134 ‫(سم‬ ‫الحجم‬3 )34434500 ‫الحصى‬ )‫(غم‬ ‫الوزن‬1063614535 ‫(سم‬ ‫الحجم‬3 )66101000 ‫الماء‬ )‫(غم‬ ‫الوزن‬13341350 ‫(سم‬ ‫الحجم‬3 )13341350 ‫د‬-‫تح‬‫ــ‬‫ديد‬‫مقاوم‬‫ــ‬‫ة‬‫االنضغ‬‫ـــ‬‫اط‬
  • 5.
    ‫والتنمٌــة‬ ‫الهندســة‬ ‫مجلـة‬‫المجل‬‫ــ‬‫د‬ً‫الثانـــ‬‫عشــر/العدد‬‫الرابع‬-‫األول‬‫كانون‬2002 7822-ISSN 1813 5 ‫ق‬ ‫واسطوانات‬ ‫مكعبات‬ ‫صب‬‫البرٌطانٌة‬ ‫المواصفات‬ ‫وحسب‬ ‫ٌاسٌة‬BS1881part116[4] ،‫والمواصفة‬‫األمرٌكٌة‬ ASTM C39/C39 M-02[5] ،‫وتحدٌد‬ ‫خلط‬ ‫نسبة‬ ‫ولكل‬‫مقاومتها‬‫لالنضغاط‬‫بأعمار‬3‫و‬22.‫ٌوما‬ 5‫مناقش‬ .‫ـــ‬‫النتائ‬ ‫ة‬‫ــــ‬‫ج‬ ‫ا‬‫ال‬‫أو‬-‫الكثاف‬‫ـــ‬:‫ة‬‫حساب‬ ‫تم‬‫كانت‬ ‫وزنٌة‬ ‫خلط‬ ‫نسبة‬ ‫لكل‬ ‫والحصى‬ ‫والرمل‬ ‫للسمنت‬ ‫الكثافة‬‫أم‬‫النتائج‬ ‫من‬ ‫وٌستدل‬ ‫حجمٌة‬ ً‫ف‬ ‫الموضحة‬( ‫الجدول‬1):ً‫ٌل‬ ‫ما‬ 1.:‫السمنت‬ ‫كثافة‬‫الرخوة‬ ‫السمنت‬ ‫كثافة‬ ‫كانت‬‫تتراوح‬( ‫بٌن‬ ‫ما‬1124-1235)‫كغم/م‬3 ‫وبمعدل‬1161,35‫كغم/م‬3 . ‫درجة‬ ‫اختالف‬ ‫إلى‬ ‫ٌعود‬ ‫قد‬ ‫السمنت‬ ‫كثافة‬ ‫تباٌن‬ ‫إن‬‫للنماذج‬ ‫الرص‬‫أثناء‬‫الكثافة‬ ‫قٌاس‬‫إال‬‫إن‬Taylor[6] ‫ذلك‬ ‫عزا‬ ‫الضغط‬ ‫وتأثٌر‬ ‫السمنت‬ ‫نقل‬ ‫طرق‬ ‫إلى‬‫أثناء‬‫الضغط‬ ‫ومقدار‬ ‫الكثافة‬ ‫أو‬ ‫الخواص‬ ‫على‬ ‫التفرٌغ‬ ‫أو‬ ‫التحمٌل‬ ‫عملٌة‬ ‫انه‬ ‫كما‬ .‫للضخ‬ ‫المستعمل‬‫أكد‬‫الكٌل‬ ‫أوعٌة‬ ً‫ف‬ ‫السمنت‬ ‫وضع‬ ‫عند‬ ‫االنتباه‬ ‫ضرورة‬ ‫على‬‫ألنه‬‫حجم‬ ‫ٌزداد‬ ‫لربما‬ ‫الس‬( ‫إلى‬ ‫ٌصل‬ ‫وقد‬ ‫الحجم‬ ً‫ف‬ ‫تضخم‬ ‫له‬ ‫وٌحدث‬ ‫منت‬10-20.%) 2.:)‫(الرمل‬ ‫الناعم‬ ‫الركام‬ ‫كثافة‬‫الرخوة‬ ‫الرمل‬ ‫كثافة‬ ‫كانت‬‫تتراوح‬‫بٌن‬ ‫ما‬(1465-1552‫كغم/م‬ )3 ‫وبمعدل‬ (1531,235‫كغم/م‬ )3 .‫إن‬‫بٌن‬ ‫وقد‬ ‫فٌه‬ ‫والرطوبة‬ ‫الرص‬ ‫ومقدار‬ ‫تدرجه‬ ‫إلى‬ ‫ٌعود‬ ‫قد‬ ‫الرمل‬ ‫كثافة‬ ‫تباٌن‬ Troxel‫وآخرون‬[7] ‫بأن‬‫تعتمد‬ ‫بالعكس‬ ‫أو‬ ‫حجمٌة‬ ‫إلى‬ ‫الوزنٌة‬ ‫الكٌل‬ ‫نسب‬ ‫لتحوٌل‬ ‫تستخدم‬ ً‫الت‬ ‫الركام‬ ‫كثافة‬ :‫منها‬ ‫عوامل‬ ‫عدة‬ ‫على‬ ‫أ‬-‫مستمرا‬ ‫التدرج‬ ‫كان‬ ‫فكلما‬ :‫التدرج‬‫أدى‬.‫الكثافة‬ ‫تزداد‬ ً‫وبالتال‬ ‫الركام‬ ‫بٌن‬ ‫الفجوات‬ ‫تقلٌل‬ ‫إلى‬ ‫ذلك‬ ‫ب‬-‫زاد‬ ‫كلما‬ ‫والذي‬ ‫بٌنها‬ ‫والتداخل‬ ‫الحبٌبات‬ ‫شكل‬‫أدى‬‫ال‬ ‫قلة‬ ‫إلى‬ ‫ذلك‬.‫الكثافة‬ ‫تزداد‬ ً‫وبالتال‬ ‫فجوات‬ ‫ج‬-.‫الرص‬ ‫درجة‬ ‫د‬-.‫الركام‬ ‫رطوبة‬ .‫متغٌرة‬ ‫تبقى‬ ‫الكثافة‬ ‫فان‬ ً‫وبالتال‬ ‫لها‬ ‫ثبات‬ ‫ٌوجد‬ ‫وال‬ ‫باستمرار‬ ‫تتغٌر‬ ‫وغٌرها‬ ‫العوامل‬ ‫وهذه‬ 3.:)‫الخشن(الحصى‬ ‫الركام‬ ‫كثافة‬‫الرخوة‬ ‫الحصى‬ ‫كثافة‬ ‫كانت‬‫تتراوح‬( ‫بٌن‬ ‫ما‬1553-1631‫كغم/م‬ )3 ‫وبمعدل‬ 1611‫كغم/م‬3 .‫إن‬‫م‬‫هو‬ ‫الحصى‬ ‫كثافة‬ ‫لنتائج‬ ‫التباٌن‬ ‫عامل‬1,1‫الذي‬ ‫الرمل‬ ‫تباٌن‬ ‫لمعامل‬ ‫مشابه‬ ‫تقرٌبا‬ ‫وهو‬ % ‫مقداره‬2‫على‬ ‫ٌدل‬ ‫مما‬ %‫إن‬‫هو‬ ‫المستخدم‬ ‫الحصى‬‫أٌضا‬‫خلطة‬ ‫كل‬ ‫بٌن‬ ‫وٌتغٌر‬ ‫مختلف‬ ‫تدرج‬ ‫ذو‬‫وأخرى‬ ‫باإلضافة‬‫الرص‬ ‫مقدار‬ ‫تباٌن‬ ‫إلى‬‫أثناء‬.‫الكثافة‬ ‫قٌاس‬ ‫ثانيا‬-‫المواد‬ ‫كميات‬‫إلنتاج‬‫و‬ ‫مكعب‬ ‫متر‬:‫الخرسانة‬ ‫من‬ ‫احد‬‫الالزمة‬ ‫المواد‬ ‫كمٌات‬ ‫حساب‬ ‫البحث‬ ‫هذا‬ ً‫ف‬ ‫تم‬‫إلنتاج‬‫متر‬ ‫واحد‬ ‫مكعب‬‫الخرسانة‬ ‫من‬‫ومعروفة‬ ‫مختلفة‬ ‫خلط‬ ‫ولنسب‬ ً‫ف‬ ‫موضحة‬ ‫المقادٌر‬ ‫وكانت‬ ‫االستخدام‬( ‫الجدول‬1)‫ٌتضح‬ ‫حٌث‬ :ً‫ٌل‬ ‫ما‬ ‫الجدول‬ ‫من‬ ‫أ‬-ً‫الحجم‬ ‫بالكٌل‬ ‫تحدٌدها‬ ‫عند‬ ‫عام‬ ‫بشكل‬ ‫المواد‬ ‫كثافات‬ ‫تكون‬‫أعلى‬‫مق‬ ‫من‬ً‫الوزن‬ ‫الكٌل‬ ‫بطرقة‬ ‫تحدٌدها‬ ‫عند‬ ‫ادٌرها‬ ‫للمواد‬ ‫الكثافة‬ ‫تحدٌد‬ ‫ٌفضل‬ ‫ولهذا‬‫اإلنشائٌة‬‫التحوٌل‬ ‫عملٌة‬ ً‫ف‬ ‫استخدامها‬ ‫اجل‬ ‫من‬ ‫معٌنة‬ ‫كٌل‬ ‫طرٌقة‬ ‫ولكل‬ ‫خلطة‬ ‫ولكل‬ ً‫ف‬ ‫ورد‬ ‫وكما‬ ‫وبالعكس‬ ‫الحجمٌة‬ ‫إلى‬ ‫الوزنٌة‬ ‫الكٌل‬ ‫طرٌقة‬ ‫من‬‫ا‬‫ألشكال‬(4،5،1).
  • 6.
    ‫والتنمٌــة‬ ‫الهندســة‬ ‫مجلـة‬‫المجل‬‫ــ‬‫د‬ً‫الثانـــ‬‫عشــر/العدد‬‫الرابع‬-‫األول‬‫كانون‬2002 7822-ISSN 1813 6 ‫كثافة‬ ‫عالقة‬ ( ‫شكل‬1) ‫الخلط‬ ‫نسب‬ ‫ا‬‫مع‬ ‫لسمنت‬ ‫والحجمٌة‬ ‫الوزنٌة‬ (2) ‫شكل‬ ‫كثافة‬ ‫عالقة‬ ‫مع‬ ‫الرمل‬ ‫الخلط‬ ‫نسب‬ ‫الوزنٌة‬ ‫والحجمٌة‬ Proportion Type By weight By volume Proportion Type By weight By volume
  • 7.
    ‫والتنمٌــة‬ ‫الهندســة‬ ‫مجلـة‬‫المجل‬‫ــ‬‫د‬ً‫الثانـــ‬‫عشــر/العدد‬‫الرابع‬-‫األول‬‫كانون‬2002 7822-ISSN 1813 3 (3) ‫شكل‬ ‫كثافة‬ ‫عالقة‬ ‫مع‬ ‫الحصى‬ ‫الخلط‬ ‫نسب‬ ‫الوزنٌة‬ ‫والحجمٌة‬ ‫ب‬-‫أي‬ ً‫الحجم‬ ‫الكٌل‬ ً‫ف‬ ‫المستعملة‬ ‫مقادٌرها‬ ‫من‬ ‫اكبر‬ ً‫الوزن‬ ‫للكٌل‬ ‫والحصى‬ ‫والرمل‬ ‫السمنت‬ ‫كمٌات‬‫إن‬‫النسب‬ ‫سمنت‬ ‫محتوى‬ ‫ذات‬ ‫تكون‬ ‫للخلط‬ ‫الوزنٌة‬‫أعلى‬ً‫ف‬ ‫ورد‬ ‫وكما‬ ‫الحجمٌة‬ ‫النسب‬ ‫ذات‬ ‫الخلطات‬ ‫من‬‫ا‬‫ألشكال‬(4،2،3). ‫عالقة‬ ( ‫شكل‬4) ‫السمنت‬ ‫كمٌة‬ ‫الخلط‬ ‫نسب‬ ‫مع‬ ‫والحجمٌة‬ ‫الوزنٌة‬ Proportion Type By weight By volume Proportion Type By weight By volume Proportion Type By weight By volume
  • 8.
    ‫والتنمٌــة‬ ‫الهندســة‬ ‫مجلـة‬‫المجل‬‫ــ‬‫د‬ً‫الثانـــ‬‫عشــر/العدد‬‫الرابع‬-‫األول‬‫كانون‬2002 7822-ISSN 1813 2 ( ‫شكل‬5‫والحجمٌة‬ ‫الوزنٌة‬ ‫الخلط‬ ‫نسب‬ ‫مع‬ ‫الرمل‬ ‫كمٌة‬ ‫عالقة‬ ) (6) ‫شكل‬ ‫كمٌة‬ ‫عالقة‬ ‫نسب‬ ‫مع‬ ‫الحصى‬ ‫الوزنٌة‬ ‫الخلط‬ ‫والحجمٌة‬ ‫ج‬-‫مع‬ ‫الجدول‬ ‫هذا‬ ‫نتائج‬ ‫مقارنة‬ ‫عند‬( ‫جدول‬4)‫تم‬ ‫الذي‬‫إعداده‬‫المصدر‬ ً‫ف‬ ‫والواردة‬‫هللا‬ ‫فتح‬[8] ‫تبٌن‬‫إن‬‫المواد‬ ‫كمٌات‬ ‫اإلنشائٌة‬‫ذلك‬ ً‫ف‬ ‫السبب‬ ‫ٌعود‬ ‫وقد‬ ‫فٌه‬ ‫الواردة‬ ‫الكمٌات‬ ‫عن‬ ‫تختلف‬‫إن‬‫ٌرد‬ ‫ولم‬ ‫الحجمٌة‬ ‫الخلط‬ ‫لنسب‬ ‫فقط‬ ‫ْعد‬‫م‬ ‫الجدول‬ ‫كما‬ ‫الوزنٌة‬ ‫الخلط‬ ‫نسب‬ ‫إلى‬ ‫ٌشٌر‬ ‫ما‬ ‫فٌه‬‫إن‬‫لربما‬ ‫السمنت‬ ‫نوعٌة‬ ‫وكذلك‬ ‫والرمل‬ ‫الحصى‬ ‫خصوصا‬ ‫المواد‬ ‫كثافات‬ ‫مرور‬ ‫بعد‬ ‫تغٌرت‬‫أكثر‬‫عل‬ ‫عاما‬ ‫ثالثٌن‬ ‫من‬‫ى‬‫إعداده‬‫حٌث‬‫إن‬‫إلى‬ ‫ٌعود‬ ‫لربما‬ ‫ذلك‬‫إن‬‫المستخدمة‬ ‫الخام‬ ‫المواد‬ ‫نوعٌة‬ ‫ومدة‬ ‫الحرق‬ ‫فترة‬ ‫وكذلك‬ ‫السمنت‬ ‫صناعة‬ ً‫ف‬‫اإلشباع‬‫الفترة‬ ‫تلك‬ ‫مع‬ ‫مقارنة‬ ‫تغٌرت‬ ‫قد‬ ‫الدوار‬ ‫الفرن‬ ً‫ف‬‫باإلضافة‬‫إلى‬ .‫المقالع‬ ‫من‬ ‫علٌها‬ ‫الحصول‬ ‫ٌتم‬ ً‫الت‬ ‫والحصى‬ ‫كالرمال‬ ‫المستخرجة‬ ‫المواد‬ ‫نوعٌة‬ ‫تغٌر‬ ( ‫جدول‬6‫الخرسانٌة‬ ‫لألعمال‬ ‫الالزمة‬ ‫اإلنشائٌة‬ ‫المواد‬ ‫كمٌة‬ ‫ٌبٌن‬ ) [8] ‫ت‬ً‫اإلنشائ‬ ‫العمل‬ ‫نوع‬‫القٌاسٌة‬ ‫الوحدة‬‫المزٌج‬ ‫نسبة‬‫كغم‬ ‫السمنت‬‫الرمل‬‫م‬3‫الحصى‬ ‫م‬3 Proportion Type By weight By volume
  • 9.
    ‫والتنمٌــة‬ ‫الهندســة‬ ‫مجلـة‬‫المجل‬‫ــ‬‫د‬ً‫الثانـــ‬‫عشــر/العدد‬‫الرابع‬-‫األول‬‫كانون‬2002 7822-ISSN 1813 1 1‫لألسس‬ ‫مسلحة‬ ‫خرسانة‬ ‫واألرضٌات‬ ‫م‬3 2:4:11500,460,16 2‫لألسس‬ ‫مسلحة‬ ‫خرسانة‬ ‫واألرضٌات‬ ‫م‬3 6:3:12100,450,10 3‫خر‬‫لألسس‬ ‫مسلحة‬ ‫سانة‬ ‫واألرضٌات‬ ‫م‬3 4:2:13000,430,25 4‫لألسس‬ ‫مسلحة‬ ‫خرسانة‬ ‫واألرضٌات‬ ‫م‬3 3:1.5:13200,410,23 ‫د‬-‫إن‬‫ال‬( ‫جدول‬1)‫بالطرٌقتٌن‬ ‫الكٌل‬ ‫عند‬ ‫المواد‬ ‫كمٌات‬ ‫اتضاح‬ ‫عدم‬ ‫عن‬ ‫الناجمة‬ ‫المشاكل‬ ‫من‬ ‫العدٌد‬ ‫ٌحل‬ ‫سوف‬ ‫القٌام‬ ‫عند‬ ‫خصوصا‬‫بأعمال‬ً‫الكم‬ ‫المسح‬‫وإعداد‬‫جداول‬‫للعقود‬ ‫الكمٌات‬‫واألعمال‬.‫المختلفة‬ ‫الهندسٌة‬ ‫هـ‬-‫الباحثون‬ ‫ٌقترح‬‫إلزام‬‫وزنٌة‬ ‫الخلط‬ ‫نسب‬ ‫بذكر‬ ‫المهندسٌن‬‫أم‬‫عند‬ ‫حجمٌة‬‫إعداد‬‫جداول‬‫تحاشٌا‬ ‫وذلك‬ ‫الكمٌات‬ ‫بها‬ ‫ٌطالب‬ ً‫الت‬ ‫المطالبات‬ ‫خصوصا‬ ‫ذلك‬ ‫عن‬ ‫تنجم‬ ‫قد‬ ً‫الت‬ ‫للمشاكل‬‫المقاول‬‫تزداد‬ ً‫الت‬ ‫السمنت‬ ‫كمٌات‬ ‫فروق‬ ‫عن‬ ‫ا‬ ‫استخدام‬ ‫عند‬.ً‫الوزن‬ ‫لكٌل‬ ‫ثالثا‬-‫مقاومة‬:‫االنضغاط‬ ‫ال‬( ‫جدول‬7)‫مقادٌر‬ ‫ٌوضح‬‫مقاومة‬‫ضلعها‬ ‫طول‬ ‫لمكعبات‬ ‫والحجمٌة‬ ‫الوزنٌة‬ ‫الخلط‬ ‫لنسب‬ ‫االنضغاط‬15‫بعمر‬ ‫سم‬ 3‫و‬22‫ذات‬ ‫السطوانات‬ ‫وكذلك‬ ‫ٌوم‬‫أقطار‬15‫بارتفاع‬ ‫سم‬30‫سم‬‫بأعمار‬3‫و‬22ً‫ف‬ ‫موضح‬ ‫وكما‬ ‫أٌضا‬ ‫ٌوم‬‫ال‬‫شكل‬ (7،7). ‫الجدول‬ ‫من‬ ‫ٌستدل‬‫إن‬‫الوزنٌة‬ ‫الخلط‬ ‫نسب‬‫أعطت‬‫مقاومة‬‫وهذا‬ ‫الحجمٌة‬ ‫الخلط‬ ‫نسب‬ ‫من‬ ‫اكبر‬ ‫عام‬ ‫بشكل‬ ‫انضغاط‬ ‫كون‬ ‫إلى‬ ‫ٌعود‬‫األخٌرة‬‫الوزنٌة‬ ‫من‬ ‫اقل‬ ‫السمنت‬ ‫من‬ ‫محتوى‬ ‫ذات‬‫باإلضافة‬‫محتواها‬ ‫إلى‬‫األكبر‬‫بسبب‬ ‫والركام‬ ‫الرمل‬ ‫من‬ .ً‫الوزن‬ ‫الكٌل‬ ‫مع‬ ‫مقارنة‬ ‫اكبر‬ ‫لمواد‬ ‫تسمح‬ ً‫الت‬ ‫الحجمٌة‬ ‫الكٌل‬ ‫طبٌعة‬ ( ‫جدول‬3‫الخرسانٌة‬ ‫للخلطات‬ ‫االنضغاط‬ ‫مقاومة‬ ) ‫الخلط‬ ‫نسب‬ ‫للمكعب‬ ‫االنضغاط‬ ‫مقاومة‬‫لالسطوانة‬ ‫االنضغاط‬ ‫مقاومة‬ ‫عمر‬3‫ٌوم‬‫عمر‬22‫ٌوم‬‫عمر‬3‫ٌوم‬‫عمر‬22‫ٌوم‬ 2:4:1‫وزنٌة‬1,112------ 2:4:1‫حجمٌة‬6,42,5---10,2 6:3:1‫وزنٌة‬15,224,3------ 6:3:1‫حجمٌة‬1,112,1------ 4:2:1‫وزنٌة‬22,330,32322,5 4:2:1‫حجمٌة‬13,021,016,2520 3:1.5:1‫وزنٌة‬22,336,3------ 3:1.5:1‫حجمٌة‬12,3522,613,121,4
  • 10.
    ‫والتنمٌــة‬ ‫الهندســة‬ ‫مجلـة‬‫المجل‬‫ــ‬‫د‬ً‫الثانـــ‬‫عشــر/العدد‬‫الرابع‬-‫األول‬‫كانون‬2002 7822-ISSN 1813 10 ‫عالقة‬ ( ‫شكل‬3) ‫االنضغاط‬ ‫مقاومة‬ ‫نسب‬ ‫مع‬ ‫للمكعبات‬ ‫الوزنٌة‬ ‫الخلط‬ ‫والحجمٌة‬ ‫عالقة‬ ( ‫شكل‬2) ‫مقاومة‬ ‫والحجمٌة‬ ‫الوزنٌة‬ ‫الخلط‬ ‫نسب‬ ‫مع‬ ‫لالسطوانات‬ ‫االنضغاط‬ 6.‫االس‬‫ـــ‬‫والتوص‬ ‫تنتاجات‬‫ـــ‬‫ٌات‬ :ً‫ٌل‬ ‫ما‬ ‫إلى‬ ‫التوصل‬ ‫ٌمكن‬ ‫المستخدمة‬ ‫المواد‬ ‫ونوعٌة‬ ‫السابقة‬ ‫الدراسة‬ ‫ضوء‬ ً‫ف‬ Proportion Type By weight By volume Proportion Type By weight By volume
  • 11.
    ‫والتنمٌــة‬ ‫الهندســة‬ ‫مجلـة‬‫المجل‬‫ــ‬‫د‬ً‫الثانـــ‬‫عشــر/العدد‬‫الرابع‬-‫األول‬‫كانون‬2002 7822-ISSN 1813 11 1.‫الس‬ ‫وضع‬ ‫عند‬ ‫االنتباه‬ ‫وٌجب‬ ‫الشكل‬ ‫مكعبة‬ ‫صنادٌق‬ ‫وباستخدام‬ ‫الحجم‬ ‫الصغٌرة‬ ‫للخلطات‬ ً‫الحجم‬ ‫الكٌل‬ ‫ٌعمل‬ً‫ف‬ ‫منت‬ ‫الكٌل‬ ‫أوعٌة‬‫ألنه‬( ‫إلى‬ ‫ٌصل‬ ‫قد‬ ‫بمقدار‬ )‫السمنت‬ ‫حجم‬ ً‫ف‬ ‫تضخم‬ ‫(ٌحصل‬ ‫الحجم‬ ‫ٌزداد‬ ‫سوف‬ ‫لربما‬10-34‫ٌجعل‬ ‫مما‬ %) ‫بالسمنت‬ ‫فقٌرة‬ ‫الخلطات‬(under cemented‫الكٌل‬ ‫ذات‬ ‫الخلطات‬ ‫كانت‬ ‫حٌث‬ ‫فعال‬ ‫حصل‬ ‫ما‬ ‫وهذا‬ ) ‫ال‬ ‫ذات‬ ‫الخلطات‬ ‫مع‬ ‫مقارنة‬ ‫السمنت‬ ‫من‬ ‫محتوى‬ ‫اقل‬ ً‫الحجم‬.ً‫الوزن‬ ‫كٌل‬ 2.‫على‬ ‫للتغلب‬ ‫رطب‬ ‫كونه‬ ‫حالة‬ ً‫ف‬ ‫الخلطة‬ ً‫ف‬ ‫المستخدم‬ ‫الرمل‬ ‫حجم‬ ‫زٌادة‬ ‫ٌجب‬‫تأثٌرات‬‫ال‬ ‫وحتى‬ ‫التضخم‬ ‫ظاهرة‬ ( ‫بالرمل‬ ‫فقٌرة‬ ‫الخلطة‬ ‫تصبح‬under sanded‫ومقدار‬ )‫(نعومته‬ ‫الرمل‬ ‫تدرج‬ ‫على‬ ‫تعتمد‬ ‫الحجم‬ ً‫ف‬ ‫الزٌادة‬ ‫ومقدار‬ ) .‫الرص‬ ‫ودرجة‬ ‫فٌه‬ ‫الرطوبة‬ 3.‫ألغراض‬‫نسب‬ ‫تحوٌل‬‫المواد‬ ‫كثافات‬ ‫تحدٌد‬ ‫ٌتم‬ ‫بالعكس‬ ‫أو‬ ‫حجمٌة‬ ‫إلى‬ ‫الوزنٌة‬ ‫الخلط‬‫اإلنشائٌة‬‫من‬ ‫نوع‬ ‫لكل‬ ‫الخلط‬ ً‫ف‬ ‫على‬ ‫نماذج‬ ‫لثالثة‬ ‫معدل‬ ‫اخذ‬ ‫وٌتم‬ ‫االستشاري‬ ‫المهندس‬ ‫قناعة‬ ‫وحسب‬ ‫الرمل‬ ‫أو‬ ‫الحصو‬ ‫من‬ ‫كدس‬ ‫لكل‬ ‫أو‬ ‫الخلطات‬‫األقل‬. 4.‫بمعدل‬ ‫والحصى‬ ‫الرمل‬ ‫كثافات‬ ‫كانت‬1531‫و‬1611‫كغم/م‬3 ‫التوا‬ ‫على‬ً‫الــت‬ ‫المــدٌات‬ ‫ضـمن‬ ‫تـقع‬ ً‫وه‬ ً‫ل‬ ‫أوردنــا‬Olin[9] ‫و‬Mindes and Yong[10] . 5.ً‫ف‬ ‫المواد‬ ‫استخدام‬ ‫عند‬ ‫االنتباه‬ ‫ٌجب‬‫إنتاج‬‫وال‬ ‫الرطوبة‬ ‫من‬ ‫صحٌح‬ ‫محتوى‬ ‫ذو‬ ‫ٌكون‬ ‫وان‬ ‫الركام‬ ‫خصوصا‬ ‫الخرسانة‬ ‫وضرورة‬ ‫الخرسانة‬ ‫ماء‬ ‫على‬ ‫ٌؤثر‬‫إجراء‬‫ت‬‫عن‬ ‫المستخدم‬ ‫الركام‬ ‫رطوبة‬ ‫اختالف‬ ‫حالة‬ ً‫ف‬ ‫والركام‬ ‫الماء‬ ‫كمٌة‬ ‫على‬ ‫عدٌل‬ . ‫المطلوبة‬ ‫الحالة‬ 6.‫ٌفضل‬‫إجراء‬‫المواد‬ ‫على‬ ‫أولٌة‬ ‫تجارب‬‫اإلنشائٌة‬‫لتحدٌد‬ ‫الموقع‬ ‫لظروف‬ ‫مشابهة‬ ‫ظروف‬ ‫وتحت‬ ‫التنفٌذ‬ ً‫ف‬ ‫المستخدمة‬ .‫وكفوء‬ ‫دقٌق‬ ‫بشكل‬ ‫المواد‬ ‫خواص‬ ‫من‬ ‫وغٌرها‬ ‫الكثافات‬ 3.‫بت‬ ‫ورد‬ ‫ما‬ ‫نؤٌد‬‫وصٌة‬Neuman and choo[11] ‫الذي‬‫أكد‬‫على‬‫إن‬‫الخلطة‬ ‫تصمٌم‬ ‫بٌن‬ )‫(تداخل‬ ‫ترابط‬ ‫هنالك‬ ‫ٌكون‬ ‫والتركٌب‬ ‫المواد‬ ‫وكمٌات‬ ‫الخرسانٌة‬‫الكٌمٌاوي‬‫المعدات‬ ‫ونوعٌة‬ ‫والوضع‬ ‫الخلط‬ ‫وسرعة‬ ‫المواد‬ ‫خزن‬ ‫طرق‬ ‫وبٌن‬ ‫للسمنت‬ ‫وكفاءتها‬‫هذه‬ ‫كل‬ .‫والرطوبة‬ ‫الحرارة‬ ‫درجة‬ ‫حٌث‬ ‫من‬ ‫الموقع‬ ‫ظروف‬ ‫وكذلك‬‫األم‬‫ور‬‫المهندس‬ ‫على‬ ‫ٌجب‬‫أن‬‫ٌأخذها‬‫بنظر‬ .‫لها‬ ‫المثلى‬ ‫الحلول‬ ‫وٌضع‬ ‫االعتبار‬ 2.ً‫ف‬ ‫المواد‬ ‫خزن‬ ‫ٌفضل‬‫أماكن‬‫تكون‬ ‫وان‬ ‫صٌفا‬ ‫العالٌة‬ ‫الحرارة‬ ‫ومن‬ ‫شتاءا‬ ‫الرطوبة‬ ‫من‬ ‫لحفظها‬ ‫مسقفة‬‫األرضٌة‬‫صلبة‬ ‫وٌفضل‬ .‫المواد‬ ‫من‬ ‫غٌره‬ ‫أو‬ ‫بالتراب‬ ‫الركام‬ ‫تلوث‬ ‫عدم‬ ‫تؤمن‬ ً‫لك‬‫أن‬‫موق‬ ‫من‬ ‫قرٌبا‬ ‫الخزن‬ ‫ٌكون‬.‫العمل‬ ‫ع‬ 1.ً‫ف‬ ‫المواد‬ ‫كٌل‬ ‫طرٌقة‬ ‫ذكر‬ ‫ضرورة‬ ‫الباحثون‬ ‫ٌقترح‬‫جداول‬‫الكمٌات‬‫للمقاوالت‬‫وزنٌة‬ ً‫ه‬ ‫هل‬ ‫المخططات‬ ً‫ف‬ ‫أو‬‫أم‬ ‫لتحدٌد‬ ‫الفحص‬ ‫نموذج‬ ‫شكل‬ ‫ذكر‬ ‫مع‬ ‫حجمٌة‬‫مقاومة‬‫للخرسانة‬ ‫االنضغاط‬‫وأبعاده‬‫التقٌٌم‬ ‫ومواصفات‬ ‫الفحص‬ ‫ومواصفات‬ ‫ال‬ ‫للمشاكل‬ ‫تحاشٌا‬ ‫ترددها‬ ‫ومقدار‬ ‫النماذج‬ ‫وعدد‬‫بٌن‬ ‫تحدث‬ ً‫ت‬‫أطراف‬‫مثل‬ ‫وضوح‬ ‫عدم‬ ‫أو‬ ‫غٌاب‬ ‫بسبب‬ ً‫الهندس‬ ‫العقد‬ .‫المعلومات‬ ‫هذه‬ 10.‫ال‬( ‫جدول‬1)‫الالزمة‬ ‫المواد‬ ‫كمٌات‬ ‫عن‬ ‫معلومات‬ ً‫ٌعط‬‫إلنتاج‬‫وهو‬ ‫الخرسانة‬ ‫من‬ ‫قٌاسٌة‬ ‫وحدة‬‫أكثر‬‫من‬ ‫تطورا‬ ‫الجداول‬‫تم‬ ‫حٌث‬ ‫العراق‬ ً‫ف‬ ‫المهندسٌن‬ ‫قبل‬ ‫من‬ ‫المعتمدة‬‫إدخال‬‫ٌح‬ ‫وما‬ ‫للخرسانة‬ ‫الرص‬ ‫عامل‬ً‫ف‬ ‫نقصان‬ ‫من‬ ‫دثه‬ ‫لم‬ ‫والذي‬ ‫حجمها‬‫تأخذه‬‫الجداول‬‫للمواد‬ ‫المقادٌر‬ ‫كانت‬ ‫ولهذا‬ ‫االعتبار‬ ‫بنظر‬ ‫السابقة‬‫أعلى‬‫تلك‬ ً‫ف‬ ‫الواردة‬ ‫نظٌراتها‬ ‫من‬ ‫المصادر‬[8] . 11.‫إن‬‫وتغٌراتها‬ ‫والكثافات‬ ‫المواد‬ ‫كمٌات‬ ‫حساب‬ ‫بصدد‬ ‫المجال‬ ‫هذا‬ ً‫ف‬ ‫البحوث‬ ‫من‬ ‫طموح‬ ‫لمشروع‬ ‫نواة‬ ‫هو‬ ‫البحث‬ ‫هذا‬ ‫عد‬ ‫حساب‬ ‫وكذلك‬‫ذرعة‬ ‫عند‬ ‫المواد‬ ‫كمٌات‬ ‫بٌن‬ ‫التوافق‬ ‫م‬‫األكداس‬ً‫ف‬ ‫المستخدمة‬ ‫المواد‬ ‫كمٌات‬ ‫وكذلك‬‫إنتاج‬.‫الخرسانة‬ 3‫المص‬ .‫ــــــ‬‫ادر‬ .1‫زهٌر‬‫ساكو‬،‫و‬‫لٌفون‬ ‫آرتٌن‬،“‫المباني‬ ‫إنشاء‬"،‫بغداد‬ ‫جامعة‬،‫الهندسة‬ ‫كلٌة‬،‫الطبعة‬‫األخٌرة‬1110، 606.‫صفحة‬ .2‫نوري‬ ‫مؤٌد‬‫الخلف‬،‫عبد‬ ‫هناء‬ ‫و‬‫ٌوس‬‫ف‬،‫"تكنولوجي‬‫ا‬"‫الخرسانة‬،‫الجامعة‬‫بغداد‬ ،‫التكنولوجٌة‬1124،552 .‫صفحة‬ .3‫بشٌر‬ ‫جالل‬‫سرسم‬،‫"تكنولوجي‬‫ا‬‫الخرسانة‬"،‫الفنٌة‬ ‫المعاهد‬ ‫هٌئة‬،‫بغداد‬،‫األولى‬ ‫الطبعة‬1124،552‫صفحة‬.
  • 12.
    ‫والتنمٌــة‬ ‫الهندســة‬ ‫مجلـة‬‫المجل‬‫ــ‬‫د‬ً‫الثانـــ‬‫عشــر/العدد‬‫الرابع‬-‫األول‬‫كانون‬2002 7822-ISSN 1813 12 4. BS1881: Part 116, “Method for Determination of Compressive Strength of Concrete Cubes”, British Standard Institute, 1983. 5. ASTM C39/C39M-02, “Standard Test Method for Compressive Strength of Cylindrical Concrete Specimens”, ASTM International. 6. Taylor, W. H., “Concrete Technology and Practice”, Forth Edition, 1977, Australia, 849 p. 7. Troxell, G. E. et. al., “Composition and Properties of Concrete”, USA, 1968, 529 p. .8‫فضٌل‬ ‫مدحت‬‫هللا‬ ‫فتح‬،"‫والمواصفات‬ ‫التخمين‬"،‫بغداد‬ ‫جامعة‬،‫الهندسة‬ ‫كلٌة‬‫المنقحة‬ ‫الثالثة‬ ‫الطبعة‬ ،1133، 112‫صفحة‬. 9. Olin, H. B., et. al., “Construction, Principals Materials and Methods”, Sixth Edition, 1995, USA. 10. Minds and Young, “Concrete”, USA, 1981, 671 p. 11. Newman and Choo, “Advanced Concrete Technology”, England, 2003.