‫ﺗﻨﻈﻴﻢ‬ ‫و‬ ‫ﺗﻬﻴﻪ‬:‫ﺳﻴﺪ‬‫ﺻﺪرﻧﮋاد‬ ‫ﻣﺴﻌﻮد‬ ‫ﻣﺤﻤﺪ‬ ‫ﺗﻨﻈﻴﻢ‬ ‫و‬ ‫ﺗﻬﻴﻪ‬:‫ﺳﻴﺪ‬‫ﺻﺪرﻧﮋاد‬ ‫ﻣﺴﻌﻮد‬ ‫ﻣﺤﻤﺪ‬
‫اﺣﺴﺎن‬‫رﺟﺤﺎﻧﻲ‬
‫دﺑﻴﺮ‬:‫ﺷﻬﺮاﺑﻲ‬ ‫ﻋﻠﻲ‬ ‫آﻗﺎي‬
‫دوم‬ ‫ﻛﻼس‬)‫ب‬(
‫ﻋﻨﺎوﻳﻦ‬ ‫ﻓﻬﺮﺳﺖ‬
‫ﺑﺮﺗﺮ‬ ‫ﻫﺎي‬ ‫داﻧﺸﮕﺎه‬ ‫در‬ ‫اﻧﺴﺎﻧﻲ‬ ‫ﻓﺎﻛﺘﻮرﻫﺎي‬ ‫ﺗﺤﻠﻴﻞ‬
‫ﺑﺮﺗﺮ‬ ‫ﻫﺎي‬ ‫داﻧﺸﮕﺎه‬ ‫ﺟﻐﺮاﻓﻴﺎﻳﻲ‬ ‫ﺗﻮزﻳﻊ‬ ‫ﻣﻄﺎﻟﻌﻪ‬
‫ﺑﺮﺗﺮ‬ ‫ﻫﺎي‬ ‫داﻧﺸﮕﺎه‬ ‫ﺗﻮزﻳﻊ‬ ‫ﻓﺮاواﻧﻲ‬ ‫ﺗﺎﺑﻊ‬ ‫ﻣﻄﺎﻟﻌﻪ‬
‫ﻣﻘﺪﻣﻪ‬
‫ﮔﻴﺮي‬ ‫ﻧﺘﻴﺠﻪ‬
‫ﻫﺎ‬ ‫داده‬ ‫و‬ ‫ﻓﺎﻛﺘﻮرﻫﺎ‬ ‫ﻫﻤﺒﺴﺘﮕﻲ‬
‫ﺑﺮﺗﺮ‬ ‫ﻫﺎي‬ ‫داﻧﺸﮕﺎه‬ ‫در‬ ‫اﻧﺴﺎﻧﻲ‬ ‫ﻓﺎﻛﺘﻮرﻫﺎي‬ ‫ﺗﺤﻠﻴﻞ‬
‫ﻫﺎ‬ ‫ﭘﻴﻮﺳﺖ‬ ‫و‬ ‫ﻣﻨﺎﺑﻊ‬
‫ﻣﻘﺪﻣﻪ‬
‫اﻫﻤﻴﺖ‬‫ﺑﺤﺚ‬‫و‬‫ﻣﻼك‬‫ﻫﺎي‬‫رﺗﺒﻪ‬‫ﺑﻨﺪي‬:
‫ﺑﻪ‬‫دﻟﻴﻞ‬‫ﭘﻴﺸﺮﻓﺖ‬‫روز‬‫اﻓﺰون‬‫ﻋﻠﻢ‬‫و‬‫ﺗﻜﻨﻮﻟﻮژي‬‫در‬‫ﺳﻄﺢ‬‫ﺟﻬﺎﻧﻲ‬‫ﻻزم‬‫اﺳﺖ‬‫روﺷﻬﺎﻳﻲ‬‫ﺑﺮاي‬‫ﺗﻌﻴﻴﻦ‬‫ﺳﻄﺢ‬‫ﻋﻠﻤﻲ‬‫ﻻزم‬
‫اﺳﺖ‬‫روﺷﻬﺎﻳﻲ‬‫ﺑﻪ‬‫ﺻﻮرت‬‫اﺳﺘﺎﻧﺪارد‬‫ﺑﺮاي‬‫اﻧﺪازه‬‫ﮔﻴﺮي‬‫ﻣﻮﻗﻌﻴﺖ‬‫ﻋﻠﻤﻲ‬‫ﻣﺮاﻛﺰ‬‫ﻋﻠﻤﻲ‬‫ﺗﻌﺮﻳﻒ‬‫ﻛﺮد‬.‫ﺑﻨﺪي‬‫رﺗﺒﻪ‬‫آﻛﺎدﻣﻴﻚ‬
‫ﻫﺎي‬‫داﻧﺸﮕﺎه‬‫ﺟﻬﺎن‬‫ﺑﺮ‬‫اﺳﺎس‬‫ﭘﺎراﻣﺘﺮﻫﺎي‬‫ﻣﺨﺘﻠﻔﻲ‬‫اﻧﺠﺎم‬‫ﮔﻴﺮد‬‫ﻣﻲ‬.
‫ﻫﺎ‬‫ﺑﻨﺪي‬‫رﺗﺒﻪ‬‫ﺗﻮاﻧﺪ‬‫ﻣﻲ‬‫ﺑﺮاﺳﺎس‬‫ﻛﻴﻔﻴﺖ‬‫ﺑﺮﺧﻲ‬‫ﻫﺎي‬‫ﺷﺎﺧﺺ‬‫ﻣﻮﺟﻮد‬‫اﻧﺠﺎم‬‫ﺷﻮد‬.‫از‬‫ﺟﻤﻠﻪ‬ٔ‫اﻳﻦ‬‫ﻫﺎ‬‫ﺷﺎﺧﺺ‬‫ﺗﻮان‬‫ﻣﻲ‬‫ﺑﻪ‬
‫آﻣﺎرﻫﺎي‬،‫ﺗﺠﺮﺑﻲ‬‫ﺑﺮآوردﻫﺎي‬‫ﻣﺮﺑﻮط‬‫ﺑﻪ‬‫ﻣﺪرﺳﻴﻦ‬‫و‬،‫اﺳﺎﺗﻴﺪ‬،‫ﻫﺎ‬‫ﺑﻮرﺳﻴﻪ‬،‫داﻧﺸﺠﻮﻳﺎن‬‫داوﻃﻠﺒﻴﻦ‬‫ورود‬‫ﺑﻪ‬‫داﻧﺸﮕﺎه‬‫و‬‫ﺑﺮﺧﻲ‬
‫دﻳﮕﺮ‬‫اﺷﺎره‬‫ﻛﺮد‬.‫ﺑﺮﺧﻲ‬‫از‬‫ﻫﺎ‬‫ﺑﻨﺪي‬‫رﺗﺒﻪ‬‫ﻫﻢ‬‫ﻫﺴﺘﻨﺪ‬‫ﻛﻪ‬‫ﺑﺮ‬‫اﺳﺎس‬‫ﻧﺤﻮه‬ٔ‫ﭘﺬﻳﺮش‬‫و‬‫ورود‬‫داﻧﺸﺠﻮﻳﺎن‬‫ﺑﻪ‬‫داﻧﺸﮕﺎه‬‫ﺻﻮرت‬ ‫دﻳﮕﺮ‬‫اﺷﺎره‬‫ﻛﺮد‬.‫ﺑﺮﺧﻲ‬‫از‬‫ﻫﺎ‬‫ﺑﻨﺪي‬‫رﺗﺒﻪ‬‫ﻫﻢ‬‫ﻫﺴﺘﻨﺪ‬‫ﻛﻪ‬‫ﺑﺮ‬‫اﺳﺎس‬‫ﻧﺤﻮه‬ٔ‫ﭘﺬﻳﺮش‬‫و‬‫ورود‬‫داﻧﺸﺠﻮﻳﺎن‬‫ﺑﻪ‬‫داﻧﺸﮕﺎه‬‫ﺻﻮرت‬
‫ﮔﻴﺮد‬‫ﻣﻲ‬.
‫ﻋﻼوه‬‫ﺑﺮ‬‫ﺑﻨﺪي‬‫رﺗﺒﻪ‬،‫ﻣﻮﺳﺴﺎت‬‫ﺑﺮﺧﻲ‬‫ﻫﺎي‬‫ﺑﻨﺪي‬‫رﺗﺒﻪ‬‫دﻳﮕﺮي‬‫ﻫﻢ‬‫وﺟﻮد‬‫دارد‬‫ﻛﻪ‬‫ﺑﺮاي‬‫ﻫﺎي‬‫ﺑﺮﻧﺎﻣﻪ‬،‫آﻣﻮزﺷﻲ‬‫ﻫﺎ‬‫دﭘﺎرﺗﻤﺎن‬
‫و‬‫ﻣﺪارس‬‫ﺻﻮرت‬‫ﮔﻴﺮد‬‫ﻣﻲ‬.‫ﻫﺎ‬‫ﺑﻨﺪي‬‫رﺗﺒﻪ‬‫ﺑﺮ‬‫اﺳﺎس‬‫دﻫﻲ‬‫ﺟﻬﺖ‬‫ﺑﺮﺧﻲ‬‫ﻣﺠﻼت‬‫و‬‫ﻫﺎ‬‫روزﻧﺎﻣﻪ‬‫و‬‫ﮔﺎﻫﻲ‬‫ﻫﻢ‬‫ﺗﻮﺳﻂ‬
‫داﻧﺸﮕﺎﻫﻴﺎن‬‫و‬‫ﻓﺮﻫﻨﮕﻴﺎن‬‫اﻧﺠﺎم‬‫ﮔﻴﺮد‬‫ﻣﻲ‬.
‫ﻣﻼﻛﻬﺎي‬‫ﻣﻌﺮوف‬‫در‬‫اﻳﻦ‬‫زﻣﻴﻨﻪ‬‫ﻣﺸﺘﻤﻠﻨﺪ‬‫ﺑﺮ‬:
•‫ﺟﻬﺎن‬ ‫ﻫﺎي‬‫داﻧﺸﮕﺎه‬ ‫آﻣﻮزﺷﻲ‬ ‫ﺑﻨﺪي‬‫رﺗﺒﻪ‬SJTU
•‫ﻧﺸﺮﻳﻪ‬ٔ‫ﻋﺎﻟﻲ‬ ‫آﻣﻮزش‬)‫ﺗﺎﻳﻤﺰ‬(-‫ﻣﻮﺳﺴﻪ‬ٔ‫ﺑﻨﺪي‬‫رﺗﺒﻪ‬
‫ﻫﺎ‬‫داﻧﺸﮕﺎه‬QS
•‫ﻧﺸﺮﻳﻪ‬ٔ‫ﻧﻴﻮزوﻳﻚ‬
•‫وﺑﻮﻣﺘﺮﻳﻚ‬
•‫ِﻲ‬‫ﺟ‬ ‫ﻓﺎﻛﺘﻮر‬
•‫دﻧﻴﺎ‬ ‫ﻫﺎي‬‫داﻧﺸﮕﺎه‬ ‫اي‬‫ﺣﺮﻓﻪ‬ ‫ﺑﻨﺪي‬‫رﺗﺒﻪ‬
•‫ﻋﻠﻤﻲ‬ ‫ﻣﻘﺎﻻت‬ ‫ﻋﻤﻠﻜﺮد‬ ‫ﺑﻨﺪي‬‫رﺗﺒﻪ‬
•‫ووﻫﺎن‬ ‫داﻧﺸﮕﺎه‬ ‫ﺑﻨﺪي‬‫رﺗﺒﻪ‬
•‫ﺑﻨﺪي‬‫رﺗﺒﻪ‬Global Universities Ranking
‫ﻋﻠﻤﻲ‬ ‫ﻣﺮاﻛﺰ‬ ‫ﺑﻨﺪي‬ ‫رﺗﺒﻪ‬ ‫ﻫﺎي‬ ‫ﺷﺎﺧﺺ‬
‫ﻧﺸﺮﻳﻪ‬ٔ‫ﻧﻴﻮزوﻳﻚ‬
‫آﻣﺮﻳﻜﺎ‬-‫ﻧﺸﺮﻳﻪ‬ٔ‫آﻣﺮﻳﻜﺎ‬ ‫ﻧﻴﻮزوﻳﻚ‬
‫ﻣﻼك‬:‫ﻧﺸﺮﻳﻪ‬ ‫و‬ ‫ﺷﺎﻧﮕﻬﺎي‬ ‫داﻧﺸﮕﺎه‬ ‫ﻣﻼك‬
‫ﺷﺪه‬ ‫ﻣﻨﺘﺸﺮ‬ ‫ﻣﺠﻼت‬ ‫و‬ ‫ﻛﺘﺎﺑﻬﺎ‬ ‫ﺗﻌﺪاد‬ ‫و‬ ‫ﺗﺎﻳﻤﺰ‬
‫ﻧﺸﺮﻳﻪ‬ٔ‫ﻋﺎﻟﻲ‬ ‫آﻣﻮزش‬)‫ﺗﺎﻳﻤﺰ‬(
‫اﻧﮕﻠﺴﺘﺎن‬-‫ﻧﺸﺮﻳﻪ‬ٔ‫ﻋﺎﻟﻲ‬ ‫آﻣﻮزش‬
‫ﻣﻮﺳﺴﻪ‬ ‫و‬ ‫ﻟﻨﺪن‬ ‫ﺗﺎﻳﻤﺰ‬ٔ‫ﻛﺎﻛﺎرﻟﻲ‬
‫ﺳﻴﻤﻮﻧﺰ‬
‫ﻣﻼك‬:‫آﻣﺮﻳﻜﺎﻳﻲ‬ ‫ﻏﻴﺮ‬ ‫داﻧﺸﮕﺎه‬ ‫ﻣﻄﺎﻟﻌﻪ‬
‫اﻳﻦ‬ ‫در‬ ‫ﺷﺪه‬ ‫اﺳﺘﻔﺎده‬ ‫ﻣﺪل‬
‫ﺗﺤﻘﻴﻖ‬
‫آﻣﻮزﺷﻲ‬ ‫ﺑﻨﺪي‬‫رﺗﺒﻪ‬
‫ﺟﻬﺎن‬ ‫ﻫﺎي‬‫داﻧﺸﮕﺎه‬SJTU
‫ﭼﻴﻦ‬-‫ﺟﻴﺎ‬ ‫ﺷﺎﻧﮕﻬﺎي‬ ‫داﻧﺸﮕﺎه‬
‫ﺗﺎﻧﮓ‬
‫ﻣﻼك‬:‫ﻧﻮﺑﻞ‬ ‫ﺟﻮاﻳﺰ‬ ،‫ﻋﻠﻤﻲ‬ ‫ﻣﻘﺎﻻت‬ ‫ﺗﻌﺪاد‬
‫ﻓﻴﻠﺪز‬ ‫ﺟﺎﻳﺰه‬ ‫و‬
‫وﺑﻮﻣﺘﺮﻳﻚ‬
‫اﺳﭙﺎﻧﻴﺎ‬-‫ﺳﺎﻳﺒﺮﻣﺘﺮﻳﻚ‬ ‫آزﻣﺎﻳﺸﮕﺎه‬
‫ﻣﻼك‬:‫ﺑﺮ‬ ‫ﻋﻠﻤﻲ‬ ‫دﺳﺘﺎوردﻫﺎي‬ ‫ﻗﺮاردادن‬
‫اﻳﻨﺘﺮﻧﺖ‬ ‫روي‬
‫ﻋﻠﻤﻲ‬ ‫ﻣﻘﺎﻻت‬ ‫ﻋﻤﻠﻜﺮد‬ ‫ﺑﻨﺪي‬‫رﺗﺒﻪ‬
‫ﺗﺎﻳﻮان‬-‫ارﺗﻘﺎدﻫﻲ‬ ‫و‬ ‫ارزﻳﺎﺑﻲ‬ ‫اﻧﺠﻤﻦ‬
‫ﺗﺎﻳﻮان‬ ‫ﻋﺎﻟﻲ‬ ‫آﻣﻮزش‬
‫ﻣﻼك‬:‫ﻣﻘﺎﻻت‬11‫ﻣﻘﺎﻻت‬ ،‫اﺧﻴﺮ‬ ‫ﺳﺎل‬
‫در‬ ‫ﻣﻘﺎﻻت‬ ‫و‬ ‫ﻛﺘﺐ‬ ‫ﺑﻪ‬ ‫ارﺟﺎﻋﺎت‬ ،‫ﻛﻨﻮﻧﻲ‬11
‫در‬ ‫ﻣﻘﺎﻻت‬ ‫و‬ ‫ﻛﺘﺐ‬ ‫ﺑﻪ‬ ‫ارﺟﺎﻋﺎت‬ ،‫اﺧﻴﺮ‬ ‫ﺳﺎل‬
‫ﮔﺮﻓﺘﻦ‬ ‫ﻗﺮار‬ ‫ﻣﺮﺟﻊ‬ ‫ﻣﻮرد‬ ‫ﻣﻴﺰان‬ ،‫ﺣﺎﺿﺮ‬ ‫ﺣﺎل‬
‫و‬ ‫ﻣﻘﺎﻻت‬...
‫ِﻲ‬‫ﺟ‬ ‫ﻓﺎﻛﺘﻮر‬
‫ﻣﻼك‬:‫ارﺟﺎع‬ ‫ﻣﻴﺰان‬ ‫و‬ ‫ﻣﺤﺒﻮﺑﻴﺖ‬ ‫ﻣﻴﺰان‬
‫ﻫﺎ‬ ‫داﻧﺸﮕﺎه‬ ‫دﻳﮕﺮ‬ ‫ﺳﺎﻳﺖ‬ ‫ﺗﻮﺳﻂ‬ ‫ﺷﺪن‬
‫دﻧﻴﺎ‬ ‫ﻫﺎي‬‫داﻧﺸﮕﺎه‬ ‫اي‬‫ﺣﺮﻓﻪ‬ ‫ﺑﻨﺪي‬‫رﺗﺒﻪ‬
‫ﻓﺮاﻧﺴﻪ‬-‫ﻣﺪرﺳﻪ‬ٔ‫ﻣﻌﺪن‬ ‫ﻣﻠﻲ‬ ‫ﻋﺎﻟﻲ‬
‫ﭘﺎرﻳﺲ‬
‫ﻣﻼك‬:‫ارﺷﺪ‬ ‫اﺟﺮاﻳﻲ‬ ‫ﻣﺪﻳﺮان‬ ‫ﻣﻴﺰان‬
‫ووﻫﺎن‬ ‫داﻧﺸﮕﺎه‬ ‫ﺑﻨﺪي‬‫رﺗﺒﻪ‬
‫ﭼﻴﻦ‬-‫ووﻫﺎن‬ ‫داﻧﺸﮕﺎه‬
‫ﻣﻼك‬:‫و‬ ‫ﺷﺪه‬ ‫ﭼﺎپ‬ ‫ﻣﻘﺎﻻت‬ ‫ﺗﻌﺪاد‬
‫ارﺟﺎﻋﺎت‬
‫ﺑﻨﺪي‬‫رﺗﺒﻪ‬Global Universities
‫روﺳﻴﻪ‬-‫ﻣﻮﺳﺴﻪ‬RatER
‫ﻣﻼك‬:‫دﻳﮕﺮ‬ ‫ﻫﺎي‬‫ﺷﺎﺧﺺ‬ ‫از‬ ‫ﻣﺨﻠﻮﻃﻲ‬
‫دﻧﻴﺎ‬ ‫ﺑﺮﺗﺮ‬ ‫داﻧﺸﮕﺎه‬ ‫ده‬ ‫ﺟﺪول‬
SJTU ‫ﺗﺎﻳﻤﺰ‬ ‫ﻧﺸﺮﻳﻪ‬ٔ‫ﻧﻴﻮزوﻳﻚ‬ ‫وﺑﻮﻣﺘﺮﻳﻚ‬ ‫ِﻲ‬‫ﺟ‬ ‫ﻓﺎﻛﺘﻮر‬
‫اي‬‫ﺣﺮﻓﻪ‬
‫دﻧﻴﺎ‬ ‫ﻫﺎي‬‫داﻧﺸﮕﺎه‬
‫ﻣﻘﺎﻻت‬ ‫ﻋﻤﻠﻜﺮد‬
‫ﻋﻠﻤﻲ‬
‫ووﻫﺎن‬ ‫داﻧﺸﮕﺎه‬ Global
Universities
1 ‫ﻫﺎروارد‬ ‫داﻧﺸﮕﺎه‬ ‫ﻫﺎروارد‬ ‫داﻧﺸﮕﺎه‬ ‫ﻫﺎروارد‬ ‫داﻧﺸﮕﺎه‬ ‫ﺗﻲ‬ ‫آي‬ ‫ام‬ ‫ﺗﻲ‬ ‫آي‬ ‫ام‬ ‫ﺗﻮﻛﻴﻮ‬ ‫داﻧﺸﮕﺎه‬ ‫ﻫﺎروارد‬ ‫داﻧﺸﮕﺎه‬ ‫ﻫﺎروارد‬ ‫داﻧﺸﮕﺎه‬ ‫ﺗﻲ‬ ‫آي‬ ‫ام‬
2 ‫اﺳﺘﻨﻔﻮرد‬ ‫داﻧﺸﮕﺎه‬ ‫ﻛﻤﺒﺮﻳﺞ‬ ‫داﻧﺸﮕﺎه‬ ‫اﺳﺘﻨﻔﻮرد‬ ‫داﻧﺸﮕﺎه‬ ‫اﺳﺘﻨﻔﻮرد‬ ‫ﻫﺎروارد‬ ‫داﻧﺸﮕﺎه‬ ‫ﻫﺎروارد‬ ‫داﻧﺸﮕﺎه‬
‫ﺟﺎﻧﺰ‬ ‫داﻧﺸﮕﺎه‬
‫ﻫﺎﭘﻜﻴﻨﺰ‬
‫در‬ ‫ﺗﮕﺰاس‬ ‫داﻧﺸﮕﺎه‬
‫آﺳﺘﻴﻦ‬
‫ﻛﻠﺘﻚ‬
3 ‫ﺑﺮﻛﻠﻲ‬ ‫داﻧﺸﮕﺎه‬ ‫ﻳﻴﻞ‬ ‫داﻧﺸﮕﺎه‬ ‫ﻳﻴﻞ‬ ‫داﻧﺸﮕﺎه‬ ‫ﻫﺎروارد‬ ‫داﻧﺸﮕﺎه‬
‫در‬ ‫ﻛﺎﻟﻴﻔﺮﻧﻴﺎ‬ ‫داﻧﺸﮕﺎه‬
‫ﺑﺮﻛﻠﻲ‬
‫اﺳﺘﻨﻔﻮرد‬ ‫داﻧﺸﮕﺎه‬ ‫اﺳﺘﻨﻔﻮرد‬ ‫داﻧﺸﮕﺎه‬ ‫واﺷﻨﮕﺘﻦ‬ ‫داﻧﺸﮕﺎه‬ ‫ﺗﻮﻛﻴﻮ‬ ‫داﻧﺸﮕﺎه‬
‫ﺑﺮﻛﻠﻲ‬
4 ‫ﻛﻤﺒﺮﻳﺞ‬ ‫داﻧﺸﮕﺎه‬
‫داﻧﺸﮕﺎﻫﻲ‬ ‫ﻛﺎﻟﺞ‬
‫ﻟﻨﺪن‬
‫ﻛﻠﺘﻚ‬
‫در‬ ‫ﻛﺎﻟﻴﻔﺮﻧﻴﺎ‬ ‫داﻧﺸﮕﺎه‬
‫ﺑﺮﻛﻠﻲ‬
‫اﺳﺘﻨﻔﻮرد‬ ‫داﻧﺸﮕﺎه‬ ‫واﺳﺪا‬ ‫داﻧﺸﮕﺎه‬ ‫واﺷﻨﮕﺘﻦ‬ ‫داﻧﺸﮕﺎه‬ ‫اﺳﺘﻨﻔﻮرد‬ ‫داﻧﺸﮕﺎه‬ ‫ﻛﻠﻤﺒﻴﺎ‬ ‫داﻧﺸﮕﺎه‬
5 ‫ﺗﻲ‬ ‫آي‬ ‫ام‬ ‫ﻟﻨﺪن‬ ‫ﻛﺎﻟﺞ‬ ‫اﻣﭙﺮﻳﺎل‬
‫در‬ ‫ﻛﺎﻟﻴﻔﺮﻧﻴﺎ‬ ‫داﻧﺸﮕﺎه‬
‫ﺑﺮﻛﻠﻲ‬
‫ﻛﺮﻧﻞ‬ ‫داﻧﺸﮕﺎه‬ ‫ﭘﺮﻳﻨﺴﺘﻮن‬ ‫داﻧﺸﮕﺎه‬ ‫سءول‬ ‫ﻣﻠﻲ‬ ‫داﻧﺸﮕﺎه‬
‫در‬ ‫ﻛﺎﻟﻴﻔﺮﻧﻴﺎ‬ ‫داﻧﺸﮕﺎه‬
‫آﻧﺠﻠﺲ‬ ‫ﻟﺲ‬
‫ﺟﺎﻧﺰ‬ ‫داﻧﺸﮕﺎه‬
‫ﻫﺎﭘﻜﻴﻨﺰ‬
‫دوﻟﺘﻲ‬ ‫داﻧﺸﮕﺎه‬
‫ﻣﺴﻜﻮ‬
6 ‫ﻛﻠﺘﻚ‬ ‫آﻛﺴﻔﻮرد‬ ‫داﻧﺸﮕﺎه‬ ‫ﻛﻤﺒﺮﻳﺞ‬ ‫داﻧﺸﮕﺎه‬ ‫ﻣﻴﺸﻴﮕﺎن‬ ‫داﻧﺸﮕﺎه‬ ‫ﭘﻨﺴﻴﻠﻮاﻧﻴﺎ‬ ‫داﻧﺸﮕﺎه‬ ‫ﺳﻪ‬ ‫ا‬ ‫ﻫﺎش‬ ‫ﻣﻴﺸﻴﮕﺎن‬ ‫داﻧﺸﮕﺎه‬
‫در‬ ‫ﻛﺎﻟﻴﻔﺮﻧﻴﺎ‬ ‫داﻧﺸﮕﺎه‬
‫ﺑﺮﻛﻠﻲ‬
‫ﻫﺎروارد‬ ‫داﻧﺸﮕﺎه‬
7 ‫ﻛﻠﻤﺒﻴﺎ‬ ‫داﻧﺸﮕﺎه‬ ‫ﺷﻴﻜﺎﮔﻮ‬ ‫داﻧﺸﮕﺎه‬ ‫ﺗﻲ‬ ‫آي‬ ‫ام‬ ‫ﻛﻠﺘﻚ‬ ‫واﺷﻨﮕﺘﻦ‬ ‫داﻧﺸﮕﺎه‬ ‫دوك‬ ‫داﻧﺸﮕﺎه‬ ‫ﺗﻲ‬ ‫آي‬ ‫ام‬
‫در‬ ‫ﻛﺎﻟﻴﻔﺮﻧﻴﺎ‬ ‫داﻧﺸﮕﺎه‬
‫آﻧﺠﻠﺲ‬ ‫ﻟﺲ‬
‫اﺳﺘﻨﻔﻮرد‬ ‫داﻧﺸﮕﺎه‬
8 ‫ﭘﺮﻳﻨﺴﺘﻮن‬ ‫داﻧﺸﮕﺎه‬ ‫ﭘﺮﻳﻨﺴﺘﻮن‬ ‫داﻧﺸﮕﺎه‬ ‫آﻛﺴﻔﻮرد‬ ‫داﻧﺸﮕﺎه‬ ‫ﻣﻴﻨﺴﻮﺗﺎ‬ ‫داﻧﺸﮕﺎه‬
‫در‬ ‫اﻳﻠﻴﻨﻮي‬ ‫داﻧﺸﮕﺎه‬
‫ﺷﺎﻣﭙﺎﻳﻦ‬ ‫اورﺑﺎﻧﺎ‬
‫آﻛﺴﻔﻮرد‬ ‫داﻧﺸﮕﺎه‬
‫در‬ ‫ﻛﺎﻟﻴﻔﺮﻧﻴﺎ‬ ‫داﻧﺸﮕﺎه‬
‫ﺑﺮﻛﻠﻲ‬
‫ﺗﻮﻛﻴﻮ‬ ‫داﻧﺸﮕﺎه‬ ‫ﻛﻤﺒﺮﻳﺞ‬ ‫داﻧﺸﮕﺎه‬
9 ‫ﺷﻴﻜﺎﮔﻮ‬ ‫داﻧﺸﮕﺎه‬ ‫ﺗﻲ‬ ‫آي‬ ‫ام‬
‫ﻛﺎﻟﻴﻔﺮﻧﻴﺎ‬ ‫داﻧﺸﮕﺎه‬
‫ﻓﺮاﻧﺴﻴﺴﻜﻮ‬ ‫ﺳﺎن‬ ‫در‬
‫در‬ ‫اﻳﻠﻴﻨﻮي‬ ‫داﻧﺸﮕﺎه‬
‫ﺷﺎﻣﭙﺎﻳﻦ‬ ‫اورﺑﺎﻧﺎ‬
‫ﻛﺎرﻧﮕﻲ‬ ‫داﻧﺸﮕﺎه‬
‫ﻣﻠﻮن‬
‫ﭘﻨﺴﻴﻠﻮاﻧﻴﺎ‬ ‫داﻧﺸﮕﺎه‬ ‫ﭘﻨﺴﻴﻠﻮاﻧﻴﺎ‬ ‫داﻧﺸﮕﺎه‬ ‫ﻣﻴﺸﻴﮕﺎن‬ ‫داﻧﺸﮕﺎه‬
‫ﺟﺎﻧﺰ‬ ‫داﻧﺸﮕﺎه‬
‫ﻫﺎﭘﻜﻴﻨﺰ‬
10 ‫آﻛﺴﻔﻮرد‬ ‫داﻧﺸﮕﺎه‬
‫ﻓﻨﺎوري‬ ‫ﻣﻮﺳﺴﻪ‬
‫ﻛﺎﻟﻴﻔﺮﻧﻴﺎ‬
‫ﻛﻠﻤﺒﻴﺎ‬ ‫داﻧﺸﮕﺎه‬
‫در‬ ‫ﺗﮕﺰاس‬ ‫داﻧﺸﮕﺎه‬
‫آﺳﺘﻴﻦ‬
‫راﺗﮕﺮز‬ ‫داﻧﺸﮕﺎه‬ ‫اﻧﺎ‬ ‫داﻧﺸﮕﺎه‬ ‫ﻛﻠﻤﺒﻴﺎ‬ ‫داﻧﺸﮕﺎه‬ ‫ﺗﻲ‬ ‫آي‬ ‫ام‬ ‫ﺷﻴﻜﺎﮔﻮ‬ ‫داﻧﺸﮕﺎه‬
‫ﻣﺨﺘﻠﻒ‬ ‫ﻣﻌﻴﺎرﻫﺎي‬ ‫در‬ ‫دﻧﻴﺎ‬ ‫ﺑﺮﺗﺮ‬ ‫داﻧﺸﮕﺎه‬ ‫رﺗﺒﻪ‬ ‫ﻣﻘﺎﻳﺴﻪ‬
SJTU ‫ﺗﺎﻳﻤﺰ‬ ‫ﻧﺸﺮﻳﻪ‬ٔ‫ﻧﻴﻮزوﻳﻚ‬ ‫وﺑﻮﻣﺘﺮﻳﻚ‬ ‫ِﻲ‬‫ﺟ‬ ‫ﻓﺎﻛﺘﻮر‬
‫ﻫﺎي‬‫داﻧﺸﮕﺎه‬ ‫اي‬‫ﺣﺮﻓﻪ‬
‫دﻧﻴﺎ‬
‫ﻋﻠﻤﻲ‬ ‫ﻣﻘﺎﻻت‬ ‫ﻋﻤﻠﻜﺮد‬ ‫ووﻫﺎن‬ ‫داﻧﺸﮕﺎه‬ Global
Universities
‫ﺗﻌﺪاد‬‫ﻫﺎي‬ ‫ﺑﻨﺪي‬ ‫رﺗﺒﻪ‬
‫داﺷﺘﻪ‬ ‫ﺷﺮﻛﺖ‬
‫وزﻧﻲ‬ ‫ﻣﻴﺎﻧﮕﻴﻦ‬
‫ﻫﺎروارد‬ ‫داﻧﺸﮕﺎه‬ 1 1 1 3 2 2 1 1 6 9 2
‫اﺳﺘﻨﻔﻮرد‬ ‫داﻧﺸﮕﺎه‬ 2 2 2 2 4 3 3 4 7 9 3.22222222
‫ﺗﻲ‬ ‫آي‬ ‫ام‬ 5 9 7 1 1 7 10 1 8 5.765625
‫داﻧﺸﮕﺎه‬‫ﺑﺮﻛﻠﻲ‬ ‫در‬ ‫ﻛﺎﻟﻴﻔﺮﻧﻴﺎ‬ 5 4 3 8 6 5 9.36
‫ﻛﻠﺘﻚ‬ 6 4 7 2 4 10.6875
‫ﺗﻮﻛﻴﻮ‬ ‫داﻧﺸﮕﺎه‬ 1 8 3 3 12
‫ﻳﻴﻞ‬ ‫داﻧﺸﮕﺎه‬ 3 3 2 13.5
‫واﺷﻨﮕﺘﻦ‬ ‫داﻧﺸﮕﺎه‬ 7 4 3 3 14
‫ﻫﺎﭘﻜﻴﻨﺰ‬ ‫ﺟﺎﻧﺰ‬ ‫داﻧﺸﮕﺎه‬ 2 5 9 3 16
‫اﻛﺴﻔﻮرد‬ ‫داﻧﺸﮕﺎه‬ 10 6 8 8 4 18
‫ﻛﻤﺒﺮﻳﺞ‬ ‫داﻧﺸﮕﺎه‬ 4 6 8 3 18
‫ﭘﺮﻳﻨﺴﺘﻮن‬ ‫داﻧﺸﮕﺎه‬ 8 8 5 3 21‫ﭘﺮﻳﻨﺴﺘﻮن‬ ‫داﻧﺸﮕﺎه‬ 8 8 5 3 21
‫ﻣﻴﺸﻴﮕﺎن‬ ‫داﻧﺸﮕﺎه‬ 6 6 9 3 21
‫ﭘﻨﺴﻴﻠﻮاﻧﻴﺎ‬ ‫داﻧﺸﮕﺎه‬ 6 9 9 3 24
‫ﻛﻠﻤﺒﻴﺎ‬ ‫داﻧﺸﮕﺎه‬ 10 10 4 3 24
‫ﺷﻴﻜﺎﮔﻮ‬ ‫داﻧﺸﮕﺎه‬ 9 7 10 3 26
‫ﺑﺮﻛﻠﻲ‬ ‫داﻧﺸﮕﺎه‬ 3 1 27
‫داﻧﺸﮕﺎه‬‫ﺗﮕﺰاس‬‫آﺳﺘﻴﻦ‬ 10 2 2 27
‫داﻧﺸﮕﺎه‬‫ﻟﺲ‬‫آﻧﺠﻠﺲ‬ 5 7 2 27
‫واﺳﺪا‬ ‫داﻧﺸﮕﺎه‬ 4 1 36
‫ﻟﻨﺪن‬ ‫داﻧﺸﮕﺎﻫﻲ‬ ‫ﻛﺎﻟﺞ‬ 4 1 36
‫اﻳﻠﻴﻨﻮي‬ ‫داﻧﺸﮕﺎه‬ 9 8 2 38.25
‫ﻟﻨﺪن‬ ‫ﻛﺎﻟﺞ‬ ‫اﻣﭙﺮﻳﺎل‬ 5 1 45
‫ﻛﺮﻧﻞ‬ ‫داﻧﺸﮕﺎه‬ 5 1 45
‫ﻣﺴﻜﻮ‬ ‫دوﻟﺘﻲ‬ ‫داﻧﺸﮕﺎه‬ 5 1 45
‫سءول‬ ‫ﻣﻠﻲ‬ ‫داﻧﺸﮕﺎه‬ 5 1 45
‫ﺳﻪ‬ ‫ا‬ ‫ﻫﺎش‬ 6 1 54
‫دوك‬ ‫داﻧﺸﮕﺎه‬ 7 1 63
‫ﻛﻠﻤﺒﻴﺎ‬ ‫داﻧﺸﮕﺎه‬ 7 1 63
‫ﻣﻴﻨﺴﻮﺗﺎ‬ ‫داﻧﺸﮕﺎه‬ 8 1 72
‫ﻣﻠﻮن‬ ‫ﻛﺎرﻧﮕﻲ‬ ‫داﻧﺸﮕﺎه‬ 9 1 81
‫داﻧﺸﮕﺎه‬‫ﻛﺎﻟﻴﻔﺮﻧﻴﺎ‬ 9 1 81
‫اﻧﺎ‬ ‫داﻧﺸﮕﺎه‬ 10 1 90
‫راﺗﮕﺮز‬ ‫داﻧﺸﮕﺎه‬ 10 1 90
‫ﻛﺎﻟﻴﻔﺮﻧﻴﺎ‬ ‫ﻓﻨﺎوري‬ ‫ﻣﻮﺳﺴﻪ‬ 10 1 90
‫ﻓﺮاواﻧﻲ‬ ‫ﺟﺪول‬400‫اﻣﺘﻴﺎز‬ ‫اﺳﺎس‬ ‫ﺑﺮ‬ ‫دﻧﻴﺎ‬ ‫اول‬ ‫داﻧﺸﮕﺎه‬
‫ﻫﺎ‬ ‫داﻧﺸﮕﺎه‬
‫اﻣﺘﻴﺎزي‬ ‫ﻫﺎي‬ ‫ﺑﺎزه‬ ‫اﺳﺎس‬ ‫ﺑﺮ‬ ‫را‬ ‫ﻫﺎ‬ ‫داﻧﺸﮕﺎه‬ ‫ﻓﺮاواﻧﻲ‬ ‫ﺗﻌﺪاد‬ ‫ﻧﻤﻮدار‬ ‫اﻳﻦ‬
100‫ﺗﺎ‬35‫ﮔﺎم‬ ‫ﺑﺎ‬5‫ﺑﺎﺷﺪ‬ ‫ﻣﻲ‬.‫اﻓﺰار‬ ‫ﻧﺮم‬ ‫ﺑﻪ‬ ‫ﻣﺮﺑﻮط‬ ‫رواﺑﻂ‬
spreadsheet‫از‬ ‫ﻋﺒﺎرﺗﻨﺪ‬:
=COUNTIFS(D2:D400,">"&B402,D2:D400,"<="&C402)
D2:D400 → ‫ﺳﺎل‬ ‫در‬ ‫رﺗﺒﻪ‬ ‫ﺗﺮﺗﻴﺐ‬ ‫ﺑﻪ‬ ‫ﻫﺎ‬ ‫داﻧﺸﮕﺎه‬ ‫اﻣﺘﻴﺎزات‬ ‫ﻟﻴﺴﺖ‬2009
B402 → ‫ﮔﺎم‬ ‫ﻫﺮ‬ ‫در‬ ‫ﺑﺎزه‬ ‫ﭘﺎﻳﻴﻦ‬ ‫ﻣﺤﺪوده‬
‫ﺗﻮزﻳﻊ‬ ‫ﻓﺮاواﻧﻲ‬
‫ﺑﺮﺗﺮ‬ ‫ﻫﺎي‬ ‫داﻧﺸﮕﺎه‬
‫ﺳﺎل‬2009
‫ﻋﻠﻢ‬ ‫ﺗﻮﻟﻴﺪ‬ ‫ﻧﺴﺒﺖ‬ ‫اي‬ ‫داﻳﺮه‬ ‫ﻧﻤﻮدار‬400‫اول‬ ‫داﻧﺸﮕﺎه‬
‫ﻫﺎ‬ ‫داﻧﺸﮕﺎه‬ ‫اﻣﺘﻴﺎز‬ ‫اﺳﺎس‬ ‫ﺑﺮ‬ ‫دﻧﻴﺎ‬
‫اﻣﺘﻴﺎزي‬ ‫ﻫﺎي‬ ‫ﺑﺎزه‬ ‫اﺳﺎس‬ ‫ﺑﺮ‬ ‫را‬ ‫ﻫﺎ‬ ‫داﻧﺸﮕﺎه‬ ‫ﻋﻠﻢ‬ ‫ﺗﻮﻟﻴﺪ‬ ‫ﻧﻤﻮدار‬ ‫اﻳﻦ‬100
‫ﺗﺎ‬35‫ﮔﺎم‬ ‫ﺑﺎ‬5‫ﻧﻤﺎﻳﺪ‬ ‫ﻣﻲ‬ ‫ﻣﻘﺎﻳﺴﻪ‬.‫اﻓﺰار‬ ‫ﻧﺮم‬ ‫ﺑﻪ‬ ‫ﻣﺮﺑﻮط‬ ‫رواﺑﻂ‬
spreadsheet‫از‬ ‫ﻋﺒﺎرﺗﻨﺪ‬:
=SUMIFS(D2:D400,D2:D400,">"&B402,D2:D400,"<="&C4
02)
D2:D400 → ‫ﺳﺎل‬ ‫در‬ ‫رﺗﺒﻪ‬ ‫ﺗﺮﺗﻴﺐ‬ ‫ﺑﻪ‬ ‫ﻫﺎ‬ ‫داﻧﺸﮕﺎه‬ ‫اﻣﺘﻴﺎزات‬ ‫ﻟﻴﺴﺖ‬2009
B402 → ‫ﮔﺎم‬ ‫ﻫﺮ‬ ‫در‬ ‫ﺑﺎزه‬ ‫ﭘﺎﻳﻴﻦ‬ ‫ﻣﺤﺪوده‬ B402 → ‫ﮔﺎم‬ ‫ﻫﺮ‬ ‫در‬ ‫ﺑﺎزه‬ ‫ﭘﺎﻳﻴﻦ‬ ‫ﻣﺤﺪوده‬
C402 → ‫ﮔﺎم‬ ‫ﻫﺮ‬ ‫در‬ ‫ﺑﺎزه‬ ‫ﺑﺎﻻي‬ ‫ﻣﺤﺪوده‬
11
7
11
15 16
26
31
40
31
40
57 55
59
0
10
20
30
40
50
60
70
100 95 90 85 80 75 70 65 60 55 50 45 40
95-100
5%
90-95
3% 85-90
4%
80-85
5%
75-80
6%
70-75
8%
65-70
9%
60-65
11%
55-60
8%
50-55
9%
45-50
12%
40-45
10%
35-40
10%
B402 → ‫ﮔﺎم‬ ‫ﻫﺮ‬ ‫در‬ ‫ﺑﺎزه‬ ‫ﭘﺎﻳﻴﻦ‬ ‫ﻣﺤﺪوده‬
C402 → ‫ﮔﺎم‬ ‫ﻫﺮ‬ ‫در‬ ‫ﺑﺎزه‬ ‫ﺑﺎﻻي‬ ‫ﻣﺤﺪوده‬
‫ﺗﻮزﻳﻊ‬ ‫ﻓﺮاواﻧﻲ‬
‫ﺑﺮﺗﺮ‬ ‫ﻫﺎي‬ ‫داﻧﺸﮕﺎه‬
‫ﺳﺎل‬2009
‫ﻗﺒﻠﻲ‬ ‫ﺑﺨﺶ‬ ‫ﺑﻪ‬ ‫ﻣﺮﺑﻮط‬ ‫ﺟﺪول‬:‫اﺳﺖ‬ ‫آﻣﺪه‬ ‫ﻫﺎ‬ ‫ﭘﻴﻮﺳﺖ‬ ‫در‬ ‫ﺗﻜﻤﻴﻠﻲ‬ ‫اﻃﻼﻋﺎت‬
‫ﭘﺎﻳﻴﻦ‬ ‫ﻣﺤﺪوده‬ ‫ﻣﺤﺪوده‬‫ﺑﺎﻻ‬ ‫ﺗﻌﺪاد‬‫اﻣﺘﻴﺎز‬ ‫اﻳﻦ‬ ‫داراي‬ ‫داﻧﺸﮕﺎه‬ ‫ﺗﻮﻟﻴﺪ‬ ‫ﺷﺎﺧﺺ‬‫ﮔﺮوه‬ ‫اﻳﻦ‬ ‫ﻋﻠﻢ‬ ‫اﻣﺘﻴﺎز‬‫ﮔﺮوه‬ ‫اﻳﻦ‬ ‫ﻣﺘﻮﺳﻂ‬
95959595 100100100100 11111111 1074107410741074....23232323 97979797....65727657276572765727
90909090 95959595 7777 646646646646....83838383 92929292....40429404294042940429
85858585 90909090 11111111 962962962962....28282828 87878787....48484848
80808080 85858585 15151515 1236123612361236....71717171 82828282....4473344733447334473380808080 85858585 15151515 1236123612361236....71717171 82828282....44733447334473344733
75757575 80808080 16161616 1243124312431243....99999999 77777777....74938749387493874938
70707070 75757575 26262626 1878187818781878....3333 72727272....24231242312423124231
65656565 70707070 31313131 2093209320932093....96969696 67676767....5471547154715471
60606060 65656565 40404040 2487248724872487....72727272 62626262....193193193193
55555555 60606060 31313131 1775177517751775....88888888 57575757....28645286452864528645
50505050 55555555 40404040 2106210621062106....12121212 52525252....653653653653
45454545 50505050 57575757 2713271327132713....62626262 47474747....60737607376073760737
40404040 45454545 55555555 2341234123412341....23232323 42424242....56782567825678256782
35353535 40404040 59595959 2231223122312231....7777 37373737....82542825428254282542
‫ﺑﺮﺗﺮ‬ ‫ﻫﺎي‬ ‫داﻧﺸﮕﺎه‬ ‫ﺟﻐﺮاﻓﻴﺎﻳﻲ‬ ‫ﺗﻮزﻳﻊ‬ ‫ﻣﻄﺎﻟﻌﻪ‬
United States United Kingdom Germany Japan France
Australia Canada Italy Korea South Netherlands
Spain Taiwan India Sweden Ireland
Switzerland Belgium Finland Indonesia Thailand
Austria Greece Hong Kong New Zealand Russia
Brazil Denmark Malaysia Pakistan Turkey
Argentina Chile Czech Republic Israel Norway
Philippines Portugal South Africa Mexico Poland
Hungary Iran Kingdom of Saudi Arabia Singapore Bangladesh
Colombia Egypt Estonia Kazakhstan Lebanon
Lithuania Peru Romania Slovenia United Arab Emirates
Uruguay
‫ﺑﺮﺗﺮ‬ ‫ﻫﺎي‬ ‫داﻧﺸﮕﺎه‬ ‫ﺟﻐﺮاﻓﻴﺎﻳﻲ‬ ‫ﺗﻮزﻳﻊ‬ ‫ﻣﻄﺎﻟﻌﻪ‬
‫ﻛﺎر‬ ‫روش‬:
‫ﺟﺪول‬ ‫در‬ ‫ﻣﻮﺟﻮد‬ ‫ﻫﺎ‬ ‫داﻧﺸﮕﺎه‬ ‫ﺗﻌﺪاد‬600‫داﻧﺸﮕﺎه‬
‫اﻳﻢ‬ ‫ﻛﺮده‬ ‫ﺷﻤﺎرش‬ ‫را‬ ‫ﺑﺮﺗﺮ‬.‫ﻧﺮم‬ ‫ﺑﻪ‬ ‫ﻣﺮﺑﻮط‬ ‫رواﺑﻂ‬
‫اﻓﺰار‬spreadsheet‫از‬ ‫ﻋﺒﺎرﺗﻨﺪ‬:
=COUNTIF(B:B,"="&J2)
B:B → ‫داﻧﺸﮕﺎه‬ ‫ﻣﺤﻞ‬ ‫ﻛﺸﻮر‬ ‫ﺳﺘﻮن‬
J2 → ‫ﻣﺮﺑﻮﻃﻪ‬ ‫ﻛﺸﻮر‬ ‫ﻧﺎم‬
‫ﻛﻞ‬ ‫در‬56‫رﺗﺒﻪ‬ ‫ﺑﺎ‬ ‫ﻫﺎﻳﻲ‬ ‫داﻧﺸﮕﺎه‬ ‫داراي‬ ‫ﻛﺸﻮر‬
‫ﻛﺸﻮرﻫﺎ‬ ‫از‬ ‫ﺗﻌﺪادي‬ ‫ﺑﺮﺗﺮ‬ ‫ﻫﺎي‬ ‫داﻧﺸﮕﺎه‬ ‫ﺗﻌﺪاد‬
United StatesUnited StatesUnited StatesUnited States 128128128128
United KingdomUnited KingdomUnited KingdomUnited Kingdom 53535353
GermanyGermanyGermanyGermany 42424242
JapanJapanJapanJapan 35353535 ‫ﻛﻞ‬ ‫در‬56‫رﺗﺒﻪ‬ ‫ﺑﺎ‬ ‫ﻫﺎﻳﻲ‬ ‫داﻧﺸﮕﺎه‬ ‫داراي‬ ‫ﻛﺸﻮر‬
‫از‬ ‫ﺑﻬﺘﺮ‬600‫دﻟﻴﻞ‬ ‫ﺑﻪ‬ ‫ﻛﻪ‬ ‫ﺑﺎﺷﻨﺪ‬ ‫ﻣﻲ‬ ‫اول‬ ‫داﻧﺸﮕﺎه‬
‫ﺗﻨﻬﺎ‬ ‫اﻃﻼﻋﺎت‬ ‫ﺑﺎﻻي‬ ‫ﺣﺠﻢ‬ ‫و‬ ‫ﺗﻌﺪد‬13‫اول‬ ‫ﻛﺸﻮر‬
‫اﻳﻢ‬ ‫آورده‬ ‫ﺑﺨﺶ‬ ‫اﻳﻦ‬ ‫در‬ ‫را‬ ‫اﻳﺮان‬ ‫و‬.
‫اﺳﺖ‬ ‫آﻣﺪه‬ ‫ﻫﺎ‬ ‫ﭘﻴﻮﺳﺖ‬ ‫در‬ ‫ﺗﻜﻤﻴﻠﻲ‬ ‫اﻃﻼﻋﺎت‬.
JapanJapanJapanJapan 35353535
FranceFranceFranceFrance 31313131
AustraliaAustraliaAustraliaAustralia 25252525
CanadaCanadaCanadaCanada 20202020
ItalyItalyItalyItaly 20202020
Korea SouthKorea SouthKorea SouthKorea South 17171717
NetherlandsNetherlandsNetherlandsNetherlands 13131313
SpainSpainSpainSpain 13131313
TaiwanTaiwanTaiwanTaiwan 12121212
IndiaIndiaIndiaIndia 11111111
IranIranIranIran 2222
‫ﺑﺮﺗﺮ‬ ‫ﻫﺎي‬ ‫داﻧﺸﮕﺎه‬ ‫در‬ ‫اﻧﺴﺎﻧﻲ‬ ‫ﻓﺎﻛﺘﻮرﻫﺎي‬ ‫ﺗﺤﻠﻴﻞ‬
‫ﻛﺸﻮرﻫﺎ‬ ‫از‬ ‫ﺗﻌﺪادي‬ ‫رﺗﺒﻪ‬2009 ‫رﺗﺒﻪ‬2008 ‫رﺗﺒﻪ‬2007 ‫رﺗﺒﻪ‬2006
‫ﻓﺎرغ‬ ‫دﻛﺘﺮاﻫﺎي‬ ‫ﺗﻌﺪاد‬
‫ﺳﺎﻟﻴﺎﻧﻪ‬ ‫اﻟﺘﺤﺼﻴﻞ‬
‫ﻋﻠﻤﻲ‬ ‫ﻫﻴﺌﺖ‬ ‫ﺗﻌﺪاد‬
‫وﻗﺖ‬ ‫ﺗﻤﺎم‬
HARVARD University 1 1 1 1 560 4907
University of CAMBRIDGE 2 3 2 2 951 5789
YALE University 3 2 2 4 329 3801
UCL (University College
London)
4 7 9 25 608 5460
University of OXFORD 5 4 2 3 849 6328University of OXFORD 5 4 2 3 849 6328
IMPERIAL College London 5 6 5 9 727 4467
University of CHICAGO 7 8 7 11 327 2968
PRINCETON University 8 12 6 10 273 1178
Massachusetts Institute of
Technology (MIT)
9 9 10 4 607 2912
California Institute of
Technology (CALTECH)
10 5 7 7 187 648
COLUMBIA University 11 10 11 12 603 4116
University of
PENNSYLVANIA
12 11 14 26 463 3912
JOHNS HOPKINS University 13 13 15 23 387 3918
DUKE University 14 13 13 13 277 3395
Tehran University 368 450 539 N/A 388 2720
Sharif University of
Technology
550 550 528 N/A 41 395
‫ﻫﺎ‬ ‫داده‬ ‫و‬ ‫ﻓﺎﻛﺘﻮرﻫﺎ‬ ‫ﻫﻤﺒﺴﺘﮕﻲ‬
‫ﻫﻤﺒﺴﺘﮕﻲ‬ ‫راﺑﻄﻪ‬:
‫اﻓﺰار‬ ‫ﻧﺮم‬ ‫ﻫﻤﺒﺴﺘﮕﻲ‬ ‫راﺑﻄﻪ‬spreadsheet:
=CORREL(O41:O56,Q41:Q56)=CORREL(O41:O56,Q41:Q56)
O41:O56 → ‫اول‬ ‫داده‬ ‫ﻟﻴﺴﺖ‬
Q41:Q56 → ‫دوم‬ ‫داده‬ ‫ﻟﻴﺴﺖ‬
‫داﻧﺸﮕﺎه‬ ‫رﺗﺒﻪ‬ ‫و‬ ‫اﻧﺴﺎﻧﻲ‬ ‫ﻓﺎﻛﺘﻮرﻫﺎي‬ ‫ﺑﻴﻦ‬ ‫ﻫﻤﺒﺴﺘﮕﻲ‬ ‫ﻣﻘﺪار‬:
r (‫اﻟﺘﺤﺼﻴﻼن‬ ‫ﻓﺎرغ‬ ،‫رﺗﺒﻪ‬ ) = 0.469
r (‫ﻋﻠﻤﻲ‬ ‫ﻫﻴﺌﺖ‬ ،‫)رﺗﺒﻪ‬ = 0.501
r (‫ﻋﻠﻤﻲ‬ ‫ﻫﻴﺌﺖ‬ ،‫اﻟﺘﺤﺼﻴﻼن‬ ‫)ﻓﺎرغ‬ = 0.862
‫ﮔﻴﺮي‬ ‫ﻧﺘﻴﺠﻪ‬
‫ﻣﺴﺘﻘﻴﻢ‬ ‫راﺑﻄﻪ‬ ‫داراي‬ ‫اﺳﺎﺗﻴﺪ‬ ‫ﺗﻌﺪاد‬ ‫ﺑﺎ‬ ‫دﻛﺘﺮا‬ ‫ﺗﺤﺼﻴﻼن‬ ‫ﻓﺎرغ‬ ‫ﺗﻌﺪاد‬
‫اﺳﺖ‬ ‫آﻣﺎري‬) .‫از‬ ‫ﺑﻴﺶ‬ ‫ﻫﻤﺒﺴﺘﮕﻲ‬0.8(
‫ﻛﻨﺪ‬ ‫ﻣﻲ‬ ‫ﻣﺸﺨﺺ‬ ‫را‬ ‫ﻋﻠﻤﻲ‬ ‫رﺗﺒﻪ‬ ‫از‬ ‫ﻧﻴﻤﻲ‬ ‫اﻧﺴﺎﻧﻲ‬ ‫ﻓﺎﻛﺘﻮر‬) .‫ﻫﻤﺒﺴﺘﮕﻲ‬
‫از‬ ‫ﺑﻴﺶ‬0.5( ‫از‬ ‫ﺑﻴﺶ‬0.5(
‫رﺗﺒﻪ‬ ‫در‬ ‫وﻟﻲ‬ ‫اﺳﺖ‬ ‫ﺗﺮ‬ ‫ﺳﺨﺖ‬ ‫ﺑﺮﺗﺮ‬ ‫ﻫﺎي‬ ‫رﺗﺒﻪ‬ ‫ﺑﺎ‬ ‫ي‬ ‫داﻧﺸﮕﺎه‬ ‫در‬ ‫رﻗﺎﺑﺖ‬
‫اﺳﺖ‬ ‫ﺗﺮ‬ ‫ﻓﺸﺮده‬ ‫ﺗﺮ‬ ‫ﭘﺎﻳﻴﻦ‬ ‫ﻫﺎي‬.
‫ﺑﺎﻳﺪ‬ ‫ﻫﺎ‬ ‫داﻧﺸﮕﺎه‬ ‫ﺑﺎﻻي‬ ‫ﺗﻌﺪاد‬ ‫وﺟﻮد‬ ‫ﺑﺎ‬ ‫اﻳﺮان‬‫ﺗﻮﺟﻪ‬ ‫آﻣﻮزﺷﻲ‬ ‫ﻛﻴﻔﻴﺖ‬ ‫ﺑﻪ‬
‫ﻧﻤﺎﻳﺪ‬ ‫ﺑﻴﺸﺘﺮي‬.
‫ﻣﻨﺎﺑﻊ‬:
‫وﻳﻜﻴﭙﺪﻳﺎ‬
‫ﺳﺎﻳﺖ‬‫داﻧﺸﮕﺎه‬‫ﺷﺮﻳﻒ‬ ‫ﺻﻨﻌﺘﻲ‬
‫ﻛﺘﺎﺑﺨﺎﻧﻪ‬ ‫ﺳﺎﻳﺖ‬ٔ‫آﻣﻮزﺷﻲ‬ ‫و‬ ‫اﺟﺘﻤﺎﻋﻲ‬ ‫ﻋﻠﻮم‬
‫ﻣﻮﺳﺴﻪ‬ٔ‫ﻫﺎ‬‫داﻧﺸﮕﺎه‬ ‫ﺑﻨﺪي‬‫رﺗﺒﻪ‬QS
‫ﺑﻨﺪي‬ ‫رﺗﺒﻪ‬‫ﺗﺎﻧﮓ‬ ‫ﺟﻴﺎ‬ ‫ﺷﺎﻧﮕﻬﺎي‬ ‫داﻧﺸﮕﺎه‬ ‫ﺳﺎﻳﺖ‬ ‫ﺑﻨﺪي‬ ‫رﺗﺒﻪ‬‫ﺗﺎﻧﮓ‬ ‫ﺟﻴﺎ‬ ‫ﺷﺎﻧﮕﻬﺎي‬ ‫داﻧﺸﮕﺎه‬ ‫ﺳﺎﻳﺖ‬
‫ﺳﺎﻳﺒﺮﻣﺘﺮﻳﻚ‬ ‫آزﻣﺎﻳﺸﮕﺎه‬ ‫ﺳﺎﻳﺖ‬ ‫ﺑﻨﺪي‬ ‫رﺗﺒﻪ‬
‫ﺗﺎﻳﻮان‬ ‫ﻋﺎﻟﻲ‬ ‫آﻣﻮزش‬ ‫ارﺗﻘﺎدﻫﻲ‬ ‫و‬ ‫ارزﻳﺎﺑﻲ‬ ‫اﻧﺠﻤﻦ‬ ‫ﺑﻨﺪي‬ ‫رﺗﺒﻪ‬
‫ﻣﺪرﺳﻪ‬ ‫ﺑﻨﺪي‬ ‫رﺗﺒﻪ‬ٔ‫ﭘﺎرﻳﺲ‬ ‫ﻣﻌﺪن‬ ‫ﻣﻠﻲ‬ ‫ﻋﺎﻟﻲ‬
‫ووﻫﺎن‬ ‫داﻧﺸﮕﺎه‬ ‫ﺑﻨﺪي‬ ‫رﺗﺒﻪ‬
‫ﻣﻮﺳﺴﻪ‬ ‫ﺑﻨﺪي‬ ‫رﺗﺒﻪ‬RatER‫روﺳﻴﻪ‬
‫ﻛﺎر‬ ‫ﮔﺰارش‬
‫ﻣﺴﻌﻮد‬ ‫ﻣﺤﻤﺪ‬ ‫ﺳﻴﺪ‬‫ﺻﺪرﻧﮋاد‬:‫ﺗﻬﻴﻪ‬،‫ﮔﺰارش‬‫داده‬ ‫ﺗﻬﻴﻪ‬ ‫و‬ ‫ﻣﺤﺎﺳﺒﺎت‬‫آﻣﺎري‬ ‫ﻫﺎي‬
‫اﺣﺴﺎن‬‫رﺟﺤﺎﻧﻲ‬:‫ﻫﺎي‬ ‫داده‬ ‫ﺗﻬﻴﻪ‬‫آﻣﺎري‬
sadrnezhaad.ir/smmhttp://
University Name Country 2009 Overall Score 2009 Ranking 2008 Ranking 2007 Ranking 2006 Ranking
HARVARD University United States 100 1 1 1 1
University of CAMBRIDGE United Kingdom 99.59 2 3 2 2
YALE University United States 99.08 3 2 2 4
UCL (University College London) United Kingdom 98.98 4 7 9 25
University of OXFORD United Kingdom 97.75 5 4 2 3
IMPERIAL College London United Kingdom 97.75 5 6 5 9
University of CHICAGO United States 96.83 7 8 7 11
PRINCETON University United States 96.63 8 12 6 10
Massachusetts Institute of Technology (MIT) United States 96.11 9 9 10 4
California Institute of Technology (CALTECH) United States 95.91 10 5 7 7
COLUMBIA University United States 95.6 11 10 11 12
University of PENNSYLVANIA United States 94.17 12 11 14 26
JOHNS HOPKINS University United States 94.07 13 13 15 23
DUKE University United States 92.94 14 13 13 13
CORNELL University United States 92.54 15 15 20 15
STANFORD University United States 92.23 16 17 19 6
AUSTRALIAN National University Australia 90.49 17 16 16 16
MCGILL University Canada 90.39 18 20 12 21
University of MICHIGAN United States 89.88 19 18 38 29
ETH Zurich (Swiss Federal Institute of Technology) Switzerland 89.26 20 24 42 24
University of EDINBURGH United Kingdom 89.26 20 23 23 33
The University of TOKYO Japan 88.85 22 19 17 19
KING'S College London (KCL) United Kingdom 88.45 23 22 24 46
University of HONG KONG Hong Kong 87.53 24 26 18 33
‫ﻫﺎ‬ ‫ﭘﻴﻮﺳﺖ‬ ‫ﺟﺪول‬
KYOTO University Japan 87.12 25 25 25 29
The University of MANCHESTER United Kingdom 85.69 26 29 30 40
CARNEGIE MELLON University United States 85.58 27 21 20 35
École Normale Supérieure PARIS France 85.38 28 28 26 18
University of TORONTO Canada 85.28 29 41 45 27
National University of Singapore (NUS) Singapore 84.25 30 30 33 19
BROWN University United States 83.95 31 27 32 54
University of California Los Angeles (UCLA) United States 83.54 32 30 41 31
University of California Los Angeles (UCLA) United States 83.54 32 33 29 42
University of BRISTOL United Kingdom 83.44 34 32 37 64
The HONG KONG University of Science and Technology Hong Kong 83.33 35 39 53 58
École Polytechnique France 83.13 36 34 28 37
The University of MELBOURNE Australia 83.13 36 38 27 22
The University of SYDNEY Australia 83.13 36 37 31 35
University of California BERKELEY (UCB) United States 82.72 39 36 22 8
University of BRITISH COLUMBIA Canada 81.19 40 34 33 50
The University of QUEENSLAND Australia 80.67 41 43 33 45
Ecole Polytechnique Fédérale de LAUSANNE Switzerland 80.57 42 50 117 64
OSAKA University Japan 80.06 43 44 46 70
Trinity College Dublin Ireland 80.06 43 49 53 78
MONASH University Australia 79.96 45 47 43 38
The Chinese University of HONG KONG Hong Kong 79.55 46 42 38 50
The University of NEW SOUTH WALES Australia 79.04 47 45 44 41
SEOUL National University Korea South 79.04 47 50 51 63
TSINGHUA University China 78.94 49 56 40 28
University of AMSTERDAM Netherlands 78.94 49 53 48 69
University of COPENHAGEN Denmark 78.83 51 48 93 54
NEW YORK University (NYU) United States 78.43 52 40 49 43
PEKING University China 78.43 52 50 36 14
BOSTON University United States 77.81 54 46 47 66
Technische Universität MÜNCHEN Germany 76.28 55 78 67 82
TOKYO Institute of Technology Japan 76.28 55 61 90 118
Ruprecht-Karls-Universität HEIDELBERG Germany 76.18 57 57 60 58
The University of WARWICK United Kingdom 75.66 58 69 57 73
University of ALBERTA Canada 75.36 59 74 97 133
LEIDEN University Netherlands 75.26 60 64 84 90
The University of AUCKLAND New Zealand 74.74 61 65 50 46
University of Wisconsin-Madison United States 74.74 61 55 55 79
AARHUS University Denmark 74.54 63 81 114 126
University of ILLINOIS at Urbana-Champaign United States 74.54 63 71 73 77
Katholieke Universiteit LEUVEN Belgium 74.23 65 72 61 96
University of BIRMINGHAM United Kingdom 73.93 66 75 65 90
LUND University Sweden 73.72 67 88 106 122
London School of Economics and Political Science (LSE) United Kingdom 73.72 67 66 59 17
KAIST - Korea Advanced Institute of Science & Technology Korea South 72.6 69 95 132 198
UTRECHT University Netherlands 72.39 70 67 89 95
University of YORK United Kingdom 72.39 70 81 74 124
University of GENEVA Switzerland 72.29 72 68 105 39
Nanyang Technological University (NTU) Singapore 71.98 73 77 69 61
WASHINGTON University in St. Louis United States 71.98 73 60 161 48
UPPSALA University Sweden 71.88 75 63 71 111
University of TEXAS at Austin United States 71.47 76 70 51 32
University of CALIFORNIA San Diego (UCSD) United States 71.47 76 58 58 44
University of NORTH CAROLINA Chapel Hill United States 71.27 78 102 151 123
University of GLASGOW United Kingdom 71.17 79 73 83 81
University of WASHINGTON United States 71.06 80 59 55 84
The University of ADELAIDE Australia 70.76 81 106 62 105
The University of SHEFFIELD United Kingdom 70.55 82 76 68 102
DELFT University of Technology Netherlands 70.45 83 78 63 86
The University of WESTERN AUSTRALIA Australia 70.25 84 83 64 111
DARTMOUTH College United States 70.14 85 54 71 61
GEORGIA Institute of Technology United States 70.04 86 83 97 145
PURDUE University United States 69.84 87 99 77 127
University of ST ANDREWS United Kingdom 69.84 87 83 76 109
University College DUBLIN Ireland 69.73 89 108 177 219
EMORY University United States 69.63 90 62 74 56
The University of NOTTINGHAM United Kingdom 69.43 91 86 70 85
NAGOYA University Japan 69.22 92 120 112 128
University of Zurich Switzerland 69.22 92 106 140 109
Freie Universität BERLIN Germany 69.02 94 137 146 149
NATIONAL TAIWAN University (NTU) Taiwan 68.92 95 124 102 108
University of SOUTHAMPTON United Kingdom 68.92 95 99 80 141
TOHOKU University Japan 68.61 97 112 102 168
Ludwig-Maximilians-Universität München Germany 68.4 98 93 65 98
University of LEEDS United Kingdom 68.3 99 104 80 121
RICE University United States 68.1 100 78 92 102
LOMONOSOV MOSCOW State University Russia 60.02 101 183 231 93
University of OSLO Norway 67.69 101 177 188 177
Hebrew University of JERUSALEM Israel 67.28 102 93 128 119
DURHAM University United Kingdom 67.18 103 122 109 132
FUDAN University China 67.18 103 113 85 116
University of MINNESOTA United States 67.08 105 87 142 187
University of CALIFORNIA Santa Barbara (UCSB) United States 66.56 106 98 117 141
Université de Montréal Canada 66.16 107 91 93 181
University of BASEL Switzerland 66.05 108 131 114 75
ERASMUS University Rotterdam Netherlands 66.05 108 126 163 92
University of HELSINKI Finland 66.05 108 91 100 116
University of CALIFORNIA Davis United States 66.05 108 89 96 170
University of Southern California United States 65.95 112 102 119 101
University of WATERLOO Canada 65.85 113 129 112 204
TEL AVIV University Israel 65.64 114 114 151 147
University of PITTSBURGH United States 65.64 114 97 77 88
MAASTRICHT University Netherlands 65.34 116 111 111 172
Université Pierre et Marie Curie (UPMC) France 65.03 117 149 132 93
QUEEN'S University Canada 64.72 118 117 88 176
CASE WESTERN RESERVE University United States 64.62 119 90 85 60
EINDHOVEN University of Technology Netherlands 64.42 120 128 130 67
PENNSYLVANIA STATE University United States 64.42 120 105 90 99
Universität FREIBURG Germany 64.01 122 147 144 219
University of MARYLAND College Park United States 64.01 122 122 79 111
City University of HONG KONG Hong Kong 63.91 124 147 149 154
University of OTAGO New Zealand 63.8 125 124 114 79
Université Catholique de LOUVAIN (UCL) Belgium 63.7 126 116 123 76
École Normale Supérieure de LYON France 63.7 126 140 157 72
University of VIRGINIA United States 63.5 128 96 110 130
University of ABERDEEN United Kingdom 63.39 129 153 137 195
GEORGETOWN University United States 63.39 129 110 102 102
OHIO STATE University United States 63.39 129 121 120 219
TECHNION - Israel Institute of Technology Israel 62.99 132 109 231 158
University of VIENNA Austria 62.99 132 115 85 87
POHANG University of Science And Technology (POSTECH) Korea South 62.88 134 188 233 245
CARDIFF University United Kingdom 62.78 135 133 99 141
University of GHENT Belgium 62.58 136 136 124 141
University of LIVERPOOL United Kingdom 62.37 137 133 101 139
CHULALONGKORN University Thailand 62.27 138 166 223 161
University of GRONINGEN Netherlands 62.27 138 144 173 232
VANDERBILT University United States 62.17 140 101 82 53
University of ROCHESTER United States 61.76 141 119 95 48
KEIO University Japan 61.55 142 214 161 120
MCMASTER University Canada 60.94 143 117 108 155
University of BATH United Kingdom 60.74 144 152 145 153
University of BERGEN Norway 60.74 144 227 225 277
University of CAPE TOWN South Africa 60.63 146 179 200 257
HUMBOLDT-Universität zu Berlin Germany 60.63 146 139 126 105
WASEDA University Japan 60.53 148 180 180 158
University of CALGARY Canada 60.43 149 170 166 266
Eberhard Karls Universität TÜBINGEN Germany 60.43 149 155 142 170
YONSEI University Korea South 60.33 151 203 236 484
The University of WESTERN ONTARIO Canada 60.33 151 159 126 215
SHANGHAI JIAO TONG University China 60.22 153 144 163 179
University of Science and Technology of China China 60.12 154 141 155 165
KYUSHU University Japan 60.02 155 158 136 128
WAGENINGEN University Netherlands 60.02 155 142 148 97
NEWCASTLE University United Kingdom 59.61 158 162 129 133
Technical University of DENMARK Denmark 59.51 159 133 130 194
TUFTS University United States 59.41 160 157 159 130
University of CALIFORNIA Irvine United States 59 161 132 140 198
LANCASTER University United Kingdom 58.9 162 170 147 228
Indian Institute of Technology Bombay (IITB) India 58.59 163 174 269 N/A
QUEEN MARY University of London (QMUL) United Kingdom 58.49 164 160 149 99
Vrije Universiteit AMSTERDAM Netherlands 58.28 165 155 304 183
University of ARIZONA United States 57.98 166 146 134 224
University of SUSSEX United Kingdom 57.98 166 130 121 105
University of LAUSANNE Switzerland 57.36 168 161 217 89
NANJING University China 57.36 168 143 125 180
Saint-Petersburg State University Russia 57.36 168 224 239 164
HOKKAIDO University Japan 57.16 171 174 151 133
University of BARCELONA Spain 57.16 171 186 194 190
STONY BROOK University United States 57.06 173 127 224 165
University of BOLOGNA Italy 56.85 174 192 173 207
KTH ROYAL INSTITUTE of Technology Sweden 56.85 174 173 192 172
University of TSUKUBA Japan 56.85 174 216 209 269
University of ANTWERP Belgium 56.75 177 195 187 252
University of ATHENS Greece 56.75 177 200 248 508
TEXAS A&M University United States 56.65 179 137 122 150
Universiti MALAYA (UM) Malaysia 56.54 180 230 246 192
Indian Institute of Technology Delhi (IITD) India 56.44 181 154 307 N/A
Rheinisch-Westfälische Technische Hochschule AACHEN Germany 56.34 182 216 182 172
RUTGERS The State University of New Jersey New Brunswick United States 56.24 183 151 177 215
Universität KARLSRUHE Germany 56.13 184 207 171 222
University of GOTHENBURG Sweden 55.83 185 258 276 284
University of Colorado at BOULDER United States 55.62 186 180 107 211
Georg-August-Universität GÖTTINGEN Germany 55.62 186 166 168 156
University of CANTERBURY New Zealand 55.21 188 186 188 333
MACQUARIE University Australia 54.91 189 182 168 82
Universidad Nacional Autónoma de México (UNAM) Mexico 54.81 190 150 192 74
Universite Libre de BRUXELLES (ULB) Belgium 54.7 191 183 154 165
University of READING United Kingdom 54.7 191 194 180 190
University of BERN Switzerland 54.5 193 192 214 178
INDIANA University Bloomington United States 54.5 193 170 137 232
The HONG KONG Polytechnic University Hong Kong 54.4 195 224 256 N/A
University of LEICESTER United Kingdom 53.89 196 177 185 239
SIMON FRASER University Canada 53.89 196 164 139 282
CHALMERS University of Technology Sweden 53.78 198 162 197 147
University of NOTRE DAME United States 53.58 199 168 155 152
University of TWENTE Netherlands 53.48 200 200 185 115
University of FLORIDA United States 53.37 201 165 135 226
University of INDONESIA Indonesia 53.37 201 287 395 250
Queen's University of BELFAST United Kingdom 53.37 201 202 205 206
Sciences Po PARIS France 53.17 204 207 227 52
Sapienza University of Rome Italy 53.07 205 205 183 197
Universität STUTTGART Germany 52.86 206 190 165 201
University College CORK Ireland 52.66 207 226 286 386
Universidade de São Paulo Brazil 52.66 207 196 175 284
RENSSELAER Polytechnic Institute United States 52.45 209 174 191 255
HELSINKI University of Technology TKK Finland 52.35 210 211 170 291
Universitat Autònoma de BARCELONA Spain 52.15 211 256 258 239
Technische Universität BERLIN Germany 52.15 211 188 203 203
KOREA University Korea South 52.15 211 236 243 150
DALHOUSIE University Canada 52.04 214 197 221 270
University of DUNDEE United Kingdom 51.94 215 213 171 238
Universidad Autónoma de MADRID Spain 51.94 215 254 306 261
STOCKHOLM University Sweden 51.94 215 239 246 261
Université Paris-Sud 11 France 51.74 218 266 267 258
KOBE University Japan 51.74 218 199 197 181
MAHIDOL University Thailand 51.33 220 251 284 322
Radboud University NIJMEGEN Netherlands 51.33 220 221 195 137
MICHIGAN STATE University United States 51.23 222 203 159 163
RMIT University Australia 51.12 223 206 200 146
National TSING HUA University Taiwan 51.12 223 281 334 343
University of IOWA United States 50.82 225 219 207 246
University of OTTAWA Canada 50.61 226 222 227 282
Vrije Universiteit Brussel (VUB) Belgium 50.2 227 214 229 133
Université Paris Sorbonne Paris IV France 50.1 228 239 295 200
CHARLES University Czech Republic 49.9 229 261 290 248
LOUGHBOROUGH University United Kingdom 49.9 229 230 237 266
VICTORIA University of Wellington New Zealand 49.9 229 227 234 222
University of Technology SYDNEY Australia 49.69 232 234 259 255
Universität FRANKFURT am Main Germany 49.59 233 169 209 187
SOAS - School of Oriental and African Studies University of London United Kingdom 49.49 234 253 243 70
ATENEO de Manila University Philippines 49.49 234 254 451 484
BRANDEIS University United States 49.49 234 185 208 187
Rheinische Friedrich-Wilhelms-Universität BONN Germany 49.39 237 264 276 217
Indian Institute of Technology KANPUR (IITK) India 49.39 237 242 492 N/A
University of MASSACHUSETTS Amherst United States 49.39 237 191 175 124
WAKE FOREST University United States 49.39 237 218 203 111
LA TROBE University Australia 49.28 241 242 205 207
University of VICTORIA Canada 49.28 241 244 213 399
National University of Ireland GALWAY Ireland 49.08 243 368 484 437
QUEENSLAND University of Technology Australia 48.98 244 212 195 192
University of MIAMI United States 48.98 244 237 202 211
CURTIN University of Technology Australia 48.98 244 232 235 156
ZHEJIANG University China 48.88 247 229 209 239
University of SURREY United Kingdom 48.77 249 223 190 258
Universitas GADJAH MADA Indonesia 48.57 250 316 360 270
University of WOLLONGONG Australia 48.16 251 207 199 196
University of CALIFORNIA Santa Cruz United States 47.75 252 235 259 311
University Complutense MADRID Spain 47.75 252 306 426 239
University of STRATHCLYDE United Kingdom 47.65 254 270 252 307
Université de Strasbourg France 47.65 254 207 184 161
FLINDERS University Australia 47.65 254 273 351 N/A
STOCKHOLM School of Economics Sweden 47.55 257 280 273 207
LAVAL University Canada 47.44 258 268 280 412
HIROSHIMA University Japan 47.34 259 267 212 244
Universität MANNHEIM Germany 47.34 259 349 392 499
University of UTAH United States 47.34 259 246 261 265
GEORGE WASHINGTON University United States 47.03 262 246 229 168
University of the PHILIPPINES Philippines 47.03 262 276 398 299
VIENNA University of Technology Austria 46.83 264 244 166 138
University of TURKU Finland 46.83 264 246 237 317
University of EXETER United Kingdom 46.63 266 237 220 224
KING FAHD University of Petroleum & Minerals Kingdom of Saudi Arabia 46.63 266 338 Â Â
University of NEWCASTLE Australia 46.63 266 286 215 207
NORTH CAROLINA STATE University United States 46.52 269 219 248 274
NORWEGIAN University of Science And Technology Norway 46.42 270 328 301 289
École des Ponts ParisTech France 46.32 271 294 472 314
Universität HAMBURG Germany 46.22 272 274 216 228
YORK University Canada 46.11 273 252 248 326
University of HAWAII at MÄÂnoa United States 46.11 273 262 255 274
University of ESSEX United Kingdom 46.11 273 258 272 N/A
École Normale Supérieure Lettres et Sciences Humaines France 46.11 273 293  Â
Pontificia Universidad Católica de CHILE Chile 45.91 277 241 239 228
Université Paris 1 Panthéon-Sorbonne France 45.91 277 288 369 264
DUBLIN City University Ireland 45.81 279 302 300 441
Universität ULM Germany 45.81 279 276 263 158
Université Grenoble Joseph Fourier France 45.71 281 282 275 228
Technische Universität DRESDEN Germany 45.71 281 271 243 386
National CHENG KUNG University Taiwan 45.71 281 354 336 386
Indian Institute of Technology Madras (IITM) India 45.6 284 303 489 N/A
University of CALIFORNIA Riverside United States 45.4 285 262 298 412
Politecnico di MILANO Italy 45.09 286 291 343 311
ASTON University United Kingdom 44.99 287 316 266 N/A
Université MONTPELLIER 2 Sciences et Techniques France 44.79 288 290 301 424
Technische Universität DARMSTADT Germany 44.79 288 284 239 261
University of CINCINNATI United States 44.79 288 268 219 367
Universiti Kebangsaan Malaysia (UKM) Malaysia 44.48 291 250 309 185
University of LIEGE Belgium 44.48 291 271 262 201
GRIFFITH University Australia 44.48 291 325 309 N/A
University of DELHI India 44.48 291 274 254 307
Universidade Estadual de CAMPINAS (Unicamp) Brazil 44.38 295 249 177 448
University of SOUTH AUSTRALIA Australia 44.38 295 303 291 299
TULANE University United States 44.38 295 233 218 243
Universidad de BUENOS AIRES Argentina 44.27 298 197 264 276
MASSEY University New Zealand 43.97 299 283 242 213
University of SOUTHERN DENMARK Denmark 43.87 300 295 317 273
Universität KÖLN Germany 43.76 301 318 319 292
University of EAST ANGLIA (UEA) United Kingdom 43.66 302 309 356 N/A
JAGIELLONIAN University Poland 43.66 302 300 331 287
University of Tromso Norway 43.66 302 320 292 401-500
Universidad AUSTRAL Argentina 43.35 305 309 416 289
National YANG MING University Taiwan 43.25 306 341 495 392
HONG KONG Baptist University Hong Kong 43.15 307 Â Â Â
CHIBA University Japan 43.15 307 298 284 303
ARIZONA STATE University United States 43.05 309 260 221 270
Julius-Maximilians-Universität WÜRZBURG Germany 43.05 309 276 270 296
VIRGINIA POLYTECHNIC Institute (Virginia Tech) United States 42.94 311 276 248 248
NOVOSIBIRSK STATE University Russia 42.84 312 401-500 440 346
University of PADUA Italy 42.84 312 296 312 370
Universiti Sains Malaysia (USM) Malaysia 42.64 314 313 307 277
University of WAIKATO New Zealand 42.64 314 378 319 340
ROYAL HOLLOWAY University of London United Kingdom 42.54 316 311 401-500 354
Universität ERLANGEN-NÜRNBERG Germany 42.43 317 320 270 232
BRUNEL University United Kingdom 42.23 318 296 292 305
Umeå University Sweden 42.23 318 299 299 311
Universiti Teknologi Malaysia (UTM) Malaysia 42.02 320 356 416 N/A
University of The WITWATERSRAND South Africa 41.82 321 319 282 322
University of PISA Italy 41.72 322 333 325 326
BEN GURION University of The Negev Israel 41.62 323 264 286 329
Universität DÜSSELDORF Germany 41.51 324 303 312 386
Universitat POMPEU FABRA Spain 41.51 324 342 339 321
DUBLIN Institute of Technology Ireland 41.41 326 328 351 370
University of TASMANIA Australia 41.41 326 291 264 232
Universität LEIPZIG Germany 41.31 328 312 292 340
University of EASTERN FINLAND Finland 41.31 328 313 267 353
IOWA STATE University United States 41.21 330 289 276 386
Johannes Gutenberg Universität MAINZ Germany 40.9 331 332 330 370
University of OULU Finland 40.9 331 372 354 454
Université Lille 1 Sciences et Technologie France 40.8 333 382 403 432
Université Paris Diderot - PARIS 7 France 40.7 334 362 429 296
Indian Institute of Technology Kharagpur (IITKGP) India 40.49 335 501-600 534 N/A
Karl-Franzens-Universitaet GRAZ Austria 40.39 336 284 279 284
University of ST GALLEN (HSG) Switzerland 40.18 337 325 362 214
University of ALABAMA United States 40.18 337 354 282 217
University of CONNECTICUT United States 40.08 339 359 328 383
HANYANG University Korea South 40.08 339 344 416 491
Tecnológico de MONTERREY (ITESM) Mexico 40.08 339 328 433 299
Universität BIELEFELD Germany 39.98 342 328 312 329
BOSTON College United States 39.88 343 401-500 Â Â
Universidad de CHILE Chile 39.88 343 320 312 277
Universiti Putra Malaysia (UPM) Malaysia 39.78 345 320 364 292
Universität KONSTANZ Germany 39.57 346 325 311 317
HOWARD University United States 39.57 346 345 Â Â
Ruhr-Universität BOCHUM Germany 39.57 346 349 333 431
WARSAW University Poland 39.26 349 342 345 326
National University of Sciences And Technology (NUST) Islamabad Pakistan 39.16 350 376 470 N/A
American University of BEIRUT (AUB) Lebanon 39.06 351 401-500 Â Â
BANDUNG Institute of Technology (ITB) Indonesia 39.06 351 315 369 258
NATIONAL TAIWAN University of Science And Technology Taiwan 39.06 351 401-500 459 454
Philipps-Universität MARBURG Germany 38.85 354 368 341 310
JAMES COOK University Australia 38.65 355 401-500 Â Â
DEAKIN University Australia 38.65 355 396 374 N/A
Universität des SAARLANDES Germany 38.55 357 357 345 333
Sungkyunkwan University Korea South 38.55 357 370 380 520
SWANSEA University United Kingdom 38.55 357 347 408 383
BILKENT University Turkey 38.45 360 374 425 401-500
GOLDSMITHS University of London United Kingdom 38.34 361 394 426 407
Universität INNSBRUCK Austria 38.34 361 256 225 186
COLORADO STATE University United States 38.24 363 340 326 450
Université PARIS DESCARTES France 38.14 364 401-500 391 432
HITOTSUBASHI University Japan 38.14 364 378 420 314
University of COIMBRA Portugal 37.93 366 387 319 266
WASHINGTON STATE University United States 37.93 366 365 286 299
University of TEHRAN Iran 37.83 368 401-500 539 N/A
SHOWA University Japan 37.83 368 359 318 407
The University of GEORGIA United States 37.83 368 361 295 314
FLORIDA STATE University United States 37.73 371 300 253 294
PUSAN National University Korea South 37.73 371 501-600 459 489
Université TOULOUSE III Paul Sabatier France 37.73 371 401-500 360 401-500
UNITED ARAB EMIRATES University United Arab Emirates 37.53 374 401-500 Â Â
KYUNG HEE University Korea South 37.53 374 401-500 504 506
Heriot-watt University United Kingdom 37.53 374 401-500 566 N/A
University of FLORENCE Italy 37.42 377 349 329 338
YOKOHAMA NATIONAL University Japan 37.42 377 390 354 N/A
SOGANG University Korea South 37.32 379 501-600 398 531
University of TENNESSEE United States 37.12 380 308 289 370
University of NAVARRA Spain 37.01 381 401-500 319 288
City University of NEW YORK United States 37.01 381 320 358 380
Universidade Federal do RIO DE JANEIRO Brazil 36.91 383 334 338 416
University of NEW MEXICO United States 36.91 383 337 358 360
University of BRADFORD United Kingdom 36.91 383 391 349 307
ABERYSTWYTH University United Kingdom 36.81 386 401-500 490 370
Universität BAYREUTH Germany 36.81 386 347 297 346
CARLETON University Canada 36.81 386 346 345 410
YESHIVA University United States 36.71 389 366 381 172
University of MANITOBA Canada 36.71 389 307 304 424
National CHIAO TUNG University Taiwan 36.71 389 401-500 401-500 441
ILLINOIS Institute of Technology United States 36.61 392 401-500 Â Â
NAGASAKI University Japan 36.61 392 362 273 277
Université du Québec Canada 36.5 394 334 336 482
CZECH TECHNICAL University In Prague Czech Republic 36.5 394 401-500 520 N/A
BANGOR University United Kingdom 36.5 394 400 493 491
DREXEL University United States 36.2 397 338 256 365
EWHA WOMANS University Korea South 36.2 397 401-500 552 535
Universität BREMEN Germany 35.79 399 375 364 380
OSAKA CITY University Japan 35.79 399 401-500 364 232
Pontificia Universidade Católica do RIO DE JANEIRO Brazil N/A 401-500 401-500 475 441
KOç University Turkey N/A 401-500 401-500  Â
SMITH College United States N/A 401-500 401-500 430 354
University of NAPLES - Federico Ii Italy N/A 401-500 398 420 376
XI'AN JIAOTONG University China N/A 401-500 401-500 447 465
Leibniz Universität HANNOVER Germany N/A 401-500 401-500 383 360
University of MUMBAI India N/A 401-500 501-600 480 432
Universität DUISBURG-ESSEN Germany N/A 401-500 401-500 447 396
University of SIENA Italy N/A 401-500 401-500 394 478
VIRGINIA Commonwealth University United States N/A 401-500 401-500 412 396
University of TRENTO Italy N/A 401-500 401-500 412 512
University of NEBRASKA United States N/A 401-500 501-600 Â Â
Universität DORTMUND Germany N/A 401-500 401-500 436 465
AIRLANGGA University Indonesia N/A 401-500 501-600 502 526
Politecnico di TORINO Italy N/A 401-500 501-600 506 449
CHIANG MAI University Thailand N/A 401-500 401-500 463 418
Indian Institute of Technology Roorkee (IITR) India N/A 401-500 401-500 479 N/A
Aristotle University of THESSALONIKI Greece N/A 401-500 401-500 430 495
University of VERMONT United States N/A 401-500 401-500 Â Â
NATIONAL CENTRAL University Taiwan N/A 401-500 401-500 398 497
CAIRO University Egypt N/A 401-500 401-500 508 445
ISTANBUL University Turkey N/A 401-500 401-500 423 358
MURDOCH University Australia N/A 401-500 401-500 Â Â
Université de RENNES 1 France N/A 401-500 401-500 457 333
University of LIMERICK Ireland N/A 401-500 394 442 512
WARSAW University of Technology Poland N/A 401-500 401-500 371 350
BRNO University of Technology Czech Republic N/A 401-500 501-600 518 428
University of GRANADA Spain N/A 401-500 501-600 453 484
Johannes Kepler University LINZ Austria N/A 401-500 401-500 368 404
LOYOLA University Chicago United States N/A 401-500 370 350 343
NORTHEASTERN University United States N/A 401-500 401-500 386 468
Università degli Studi di ROMA - Tor Vergata Italy N/A 401-500 401-500 416 423
OCHANOMIZU University Japan N/A 401-500 501-600 484 362
Universidad Torcuato Di TELLA Argentina N/A 401-500 401-500 453 493
Martin-Luther-Universität HALLE-WITTENBERG Germany N/A 401-500 401-500 396 378
RITSUMEIKAN University Japan N/A 401-500 501-600 505 528
University of PRETORIA South Africa N/A 401-500 501-600 469 509
The OPEN University United Kingdom N/A 401-500 401-500 502 410
Université Henri Poincaré Nancy 1 France N/A 401-500 401-500 537 386
Universidad del BELGRANO Argentina N/A 401-500 401-500 403 541
JILIN University China N/A 401-500 501-600 461 380
University of HULL United Kingdom N/A 401-500 401-500 495 N/A
Universidad de LOS ANDES Colombia N/A 401-500 401-500 444 418
NIIGATA University Japan N/A 401-500 401-500 451 395
KASETSART University Thailand N/A 401-500 400 447 404
CITY University London United Kingdom N/A 401-500 Â Â Â
University of HOUSTON United States N/A 401-500 401-500 411 482
INHA University Korea South N/A 401-500 501-600 508 N/A
University of LJUBLJANA Slovenia N/A 401-500 401-500 483 362
TOKAI University Japan N/A 401-500 401-500 434 322
Indian Institute of Technology Guwahati (IITG) India N/A 401-500 501-600 554 N/A
University of DELAWARE United States N/A 401-500 366 343 428
GUNMA University Japan N/A 401-500 396 331 252
University of SOUTH CAROLINA United States N/A 401-500 391 362 464
KUMAMOTO University Japan N/A 401-500 378 386 232
THAMMASAT University Thailand N/A 401-500 401-500 447 317
Technische Universität BRAUNSCHWEIG Germany N/A 401-500 401-500 383 392
ISTANBUL Technical University Turkey N/A 401-500 376 390 349
TIANJIN University China N/A 401-500 386 324 407
University of TRIESTE Italy N/A 401-500 401-500 374 454
Universität JENA Germany N/A 401-500 382 316 343
SWINBURNE University of Technology Australia N/A 401-500 401-500 Â Â
Università degli Studi di PAVIA Italy N/A 401-500 401-500 388 432
OKAYAMA University Japan N/A 401-500 401-500 377 450
KANAZAWA University Japan N/A 401-500 401-500 403 303
Université Paris Dauphine France N/A 401-500 401-500 472 412
National Technical University of ATHENS Greece N/A 401-500 401-500 356 468
Westfälische Wilhelms-Universitat MÜNSTER Germany N/A 401-500 398 339 354
Universidad ORT Uruguay Uruguay N/A 401-500 387 466 329
CONCORDIA University Canada N/A 401-500 357 383 370
University of KANSAS United States N/A 401-500 349 281 305
University of MISSOURI Columbia United States N/A 401-500 389 381 246
Universität REGENSBURG Germany N/A 401-500 401-500 378 358
Heriot-Watt University United Kingdom N/A 401-500 378 364 468
YOKOHAMA CITY University Japan N/A 401-500 362 403 354
TOMSK STATE University Russia N/A 401-500 401-500 466 296
DE LA SALLE University Philippines N/A 401-500 401-500 519 392
EÖTVÖS LORÃND University Hungary N/A 401-500 401-500 511 376
University at BUFFALO SUNY United States N/A 401-500 501-600 Â Â
GIFU University Japan N/A 401-500 401-500 345 332
LEHIGH University United States N/A 401-500 401-500 Â Â
Christian-Albrechts-Universität zu KIEL Germany N/A 401-500 401-500 388 226
University of OKLAHOMA United States N/A 401-500 382 373 418
TONGJI University China N/A 401-500 401-500 445 447
University of CRETE Greece N/A 401-500 401-500 437 507
MIE University Japan N/A 401-500 501-600 432 250
TOKYO METROPOLITAN University Japan N/A 401-500 349 335 346
University of CALCUTTA India N/A 401-500 401-500 461 441
University of KENTUCKY United States N/A 401-500 401-500 378 450
College of WILLIAM & MARY United States N/A 401-500 382 303 336
Université Claude Bernard Lyon 1 France N/A 401-500 401-500 407 350
National SUN YAT-SEN University Taiwan N/A 401-500 401-500 455 505
University of Jyväskylä Finland N/A 401-500 391 374 404
Universidade Nova de LISBOA Portugal N/A 401-500 401-500 341 277
University of OREGON United States N/A 401-500 373 351 437
University of TAMPERE Finland N/A 401-500 336 319 383
Universitat de VALENCIA Spain N/A 401-500 401-500 393 398
University of KENT United Kingdom N/A 401-500 401-500 441 N/A
Linköping University Sweden N/A 401-500 401-500 371 322
National University of Ireland MAYNOOTH Ireland N/A 401-500 501-600 Â Â
University of TULSA United States N/A 501-600 501-600 Â Â
Quaid-i-azam University Pakistan N/A 501-600 Â 564 N/A
ATHENS University of Economy And Business Greece N/A 501-600 501-600 472 520
Université Lyon 2 Louis Lumière France N/A 501-600 501-600 542 468
University of Engineering & Technology (UET) Lahore Pakistan N/A 501-600 501-600 Â Â
Universidad de ZARAGOZA Spain N/A 501-600 501-600 499 465
FORDHAM University United States N/A 501-600 501-600 Â Â
University of SANTO TOMAS Philippines N/A 501-600 401-500 535 500
University at ALBANY SUNY United States N/A 501-600 501-600 Â Â
University of TARTU Estonia N/A 501-600 Â Â Â
National CHUNG HSING University Taiwan N/A 501-600 501-600 499 536
KAZAN State University Russia N/A 501-600 501-600 528 476
Université Lyon 3 Jean Moulin France N/A 501-600 501-600 540 428
Université Montpellier 1 France N/A 501-600 501-600 532 350
Universidade Estadual PAULISTA "Júlio de Mesquita Filho" Brazil N/A 501-600 401-500 507 478
SYRACUSE University United States N/A 501-600 401-500 Â Â
BAYLOR University United States N/A 501-600 501-600 Â Â
Universidad IBEROAMERICANA (UIA) Mexico N/A 501-600 501-600 530 478
Université de CAEN Basse-Normandie France N/A 501-600 501-600 522 436
Université de Cergy-Pontoise France N/A 501-600 501-600  Â
KAGOSHIMA University Japan N/A 501-600 501-600 466 378
Pontificia Universidad Católica del Perú Peru N/A 501-600 401-500 495 418
University of PUNE India N/A 501-600 401-500 463 472
CHUNGNAM National University Korea South N/A 501-600 501-600 515 518
University of Kwazulu-Natal South Africa N/A 501-600 401-500 487 484
University of DHAKA Bangladesh N/A 501-600 501-600 527 365
Universidad ADOLFO IBANEZ Chile N/A 501-600 501-600 550 504
CHUNG-ANG University Korea South N/A 501-600 Â Â Â
BINGHAMTON University SUNY United States N/A 501-600 501-600 Â Â
MASARYK University Czech Republic N/A 501-600 501-600 557 N/A
State University Higher School of Economics (HSE) Russia N/A 501-600 Â Â Â
DIPONEGORO University Indonesia N/A 501-600 501-600 553 495
University of BRAWIJAYA Indonesia N/A 501-600 501-600 Â Â
Universidad de SANTIAGO de Chile Chile N/A 501-600 501-600 551 539
CATANIA University Italy N/A 501-600 501-600 515 516
Université Pierre-Mendès-France (UPMF) France N/A 501-600 501-600 545 515
Alpen-Adria-Universität KLAGENFURT Austria N/A 501-600 501-600  Â
Université Grenoble 3 Stendhal France N/A 501-600 501-600 548 540
Université TOULOUSE II Le Mirail France N/A 501-600 501-600 543 531
MISSOURI University of Science and Technology United States N/A 501-600 501-600 Â Â
Université Lille 2 France N/A 501-600 501-600 541 502
AOYAMA GAKUIN University Japan N/A 501-600 501-600 521 459
University of SALFORD United Kingdom N/A 501-600 Â Â Â
CLEMSON University United States N/A 501-600 501-600 Â Â
University of WESTERN SYDNEY Australia N/A 501-600 Â Â Â
SOUTHERN METHODIST University United States N/A 501-600 501-600 Â Â
STEVENS Institute of Technology United States N/A 501-600 501-600 Â Â
MARQUETTE University United States N/A 501-600 501-600 Â Â
SAITAMA University Japan N/A 501-600 501-600 515 520
University of ILLINOIS Chicago (UIC) United States N/A 501-600 Â Â Â
Justus-Liebig-Universität Gießen Germany N/A 501-600 401-500 409 368
PRINCE OF SONGKLA University Thailand N/A 501-600 501-600 525 481
SOUTHEAST University China N/A 501-600 401-500 443 399
TILBURG University Netherlands N/A 501-600 501-600 Â Â
AALBORG University Denmark N/A 501-600 Â Â Â
University of PORTO Portugal N/A 501-600 501-600 Â Â
National CHENGCHI University Taiwan N/A 501-600 501-600 522 511
FU JEN Catholic University Taiwan N/A 501-600 501-600 514 417
GEORGIA STATE University United States N/A 501-600 401-500 396 422
University of SZEGED Hungary N/A 501-600 501-600 438 497
NATIONAL TAIWAN Normal University Taiwan N/A 501-600 501-600 525 446
TEMPLE University United States N/A 501-600 401-500 420 458
SHANDONG University China N/A 501-600 401-500 409 412
University of PATRAS Greece N/A 501-600 501-600 457 459
BRIGHAM YOUNG University United States N/A 501-600 401-500 412 450
SABANCI University Turkey N/A 501-600 401-500 475 454
SHARIF University of Technology Iran N/A 501-600 501-600 528 N/A
Université Toulouse 1 Capitole France N/A 501-600 501-600 533 462
KYUNGPOOK National University Korea South N/A 501-600 501-600 493 537
LOUISIANA STATE University United States N/A 501-600 401-500 415 336
University of SALAMANCA Spain N/A 501-600 401-500 445 368
AMERICAN University United States N/A 501-600 501-600 Â Â
University of ARKANSAS United States N/A 501-600 501-600 426 437
Universidade Catolica Portuguesa LISBOA Portugal N/A 501-600 401-500 463 338
University of TURIN Italy N/A 501-600 501-600 434 424
University of BUCHAREST Romania N/A 501-600 501-600 513 472
University of MODENA Italy N/A 501-600 501-600 486 534
University of the PACIFIC United States N/A 501-600 501-600 Â Â
Universidad Politecnica de VALENCIA Spain N/A 501-600 501-600 538 518
L.N. GUMILYOV Eurasian National University Kazakhstan N/A 501-600 Â Â Â
BOGOR Agricultural University Indonesia N/A 501-600 501-600 545 N/A
DOSHISHA University Japan N/A 501-600 501-600 544 472
KHON KAEN University Thailand N/A 501-600 501-600 531 475
VILNIUS University Lithuania N/A 501-600 501-600 Â Â
Universidad de SEVILLA Spain N/A 501-600 501-600 490 424
WORCESTER Polytechnic Institute United States N/A 501-600 501-600 Â Â
CHONNAM National University Korea South N/A 501-600 501-600 512 526
University of SOUTH FLORIDA United States N/A 501-600 501-600 480 524
PERUGIA University Italy N/A 501-600 501-600 470 517
CLARK University United States N/A 501-600 501-600 Â Â
Universidade de SANTIAGO DE COMPOSTELA Spain N/A 501-600 501-600 477 476
University of MILANO Italy N/A 501-600 501-600 Â Â
University of LAHORE Pakistan N/A 501-600 401-500 455 459
Catholic University of The SACRED HEART Italy N/A 501-600 401-500 501-600 462
University of GENOA Italy N/A 501-600 501-600 480 484
CHONBUK National University Korea South N/A 501-600 401-500 423 437
OREGON State University United States N/A 501-600 Â Â Â
KING ABDUL AZIZ University (KAU) Kingdom of Saudi Arabia N/A 501-600 Â Â Â
University of KARACHI Pakistan N/A 501-600 501-600 559 N/A
University of DENVER United States N/A 501-600 501-600 Â Â

مطالعه آماری دانشگاه‌های برتر جهان

  • 2.
    ‫ﺗﻨﻈﻴﻢ‬ ‫و‬ ‫ﺗﻬﻴﻪ‬:‫ﺳﻴﺪ‬‫ﺻﺪرﻧﮋاد‬‫ﻣﺴﻌﻮد‬ ‫ﻣﺤﻤﺪ‬ ‫ﺗﻨﻈﻴﻢ‬ ‫و‬ ‫ﺗﻬﻴﻪ‬:‫ﺳﻴﺪ‬‫ﺻﺪرﻧﮋاد‬ ‫ﻣﺴﻌﻮد‬ ‫ﻣﺤﻤﺪ‬ ‫اﺣﺴﺎن‬‫رﺟﺤﺎﻧﻲ‬ ‫دﺑﻴﺮ‬:‫ﺷﻬﺮاﺑﻲ‬ ‫ﻋﻠﻲ‬ ‫آﻗﺎي‬ ‫دوم‬ ‫ﻛﻼس‬)‫ب‬(
  • 3.
    ‫ﻋﻨﺎوﻳﻦ‬ ‫ﻓﻬﺮﺳﺖ‬ ‫ﺑﺮﺗﺮ‬ ‫ﻫﺎي‬‫داﻧﺸﮕﺎه‬ ‫در‬ ‫اﻧﺴﺎﻧﻲ‬ ‫ﻓﺎﻛﺘﻮرﻫﺎي‬ ‫ﺗﺤﻠﻴﻞ‬ ‫ﺑﺮﺗﺮ‬ ‫ﻫﺎي‬ ‫داﻧﺸﮕﺎه‬ ‫ﺟﻐﺮاﻓﻴﺎﻳﻲ‬ ‫ﺗﻮزﻳﻊ‬ ‫ﻣﻄﺎﻟﻌﻪ‬ ‫ﺑﺮﺗﺮ‬ ‫ﻫﺎي‬ ‫داﻧﺸﮕﺎه‬ ‫ﺗﻮزﻳﻊ‬ ‫ﻓﺮاواﻧﻲ‬ ‫ﺗﺎﺑﻊ‬ ‫ﻣﻄﺎﻟﻌﻪ‬ ‫ﻣﻘﺪﻣﻪ‬ ‫ﮔﻴﺮي‬ ‫ﻧﺘﻴﺠﻪ‬ ‫ﻫﺎ‬ ‫داده‬ ‫و‬ ‫ﻓﺎﻛﺘﻮرﻫﺎ‬ ‫ﻫﻤﺒﺴﺘﮕﻲ‬ ‫ﺑﺮﺗﺮ‬ ‫ﻫﺎي‬ ‫داﻧﺸﮕﺎه‬ ‫در‬ ‫اﻧﺴﺎﻧﻲ‬ ‫ﻓﺎﻛﺘﻮرﻫﺎي‬ ‫ﺗﺤﻠﻴﻞ‬ ‫ﻫﺎ‬ ‫ﭘﻴﻮﺳﺖ‬ ‫و‬ ‫ﻣﻨﺎﺑﻊ‬
  • 4.
    ‫ﻣﻘﺪﻣﻪ‬ ‫اﻫﻤﻴﺖ‬‫ﺑﺤﺚ‬‫و‬‫ﻣﻼك‬‫ﻫﺎي‬‫رﺗﺒﻪ‬‫ﺑﻨﺪي‬: ‫ﺑﻪ‬‫دﻟﻴﻞ‬‫ﭘﻴﺸﺮﻓﺖ‬‫روز‬‫اﻓﺰون‬‫ﻋﻠﻢ‬‫و‬‫ﺗﻜﻨﻮﻟﻮژي‬‫در‬‫ﺳﻄﺢ‬‫ﺟﻬﺎﻧﻲ‬‫ﻻزم‬‫اﺳﺖ‬‫روﺷﻬﺎﻳﻲ‬‫ﺑﺮاي‬‫ﺗﻌﻴﻴﻦ‬‫ﺳﻄﺢ‬‫ﻋﻠﻤﻲ‬‫ﻻزم‬ ‫اﺳﺖ‬‫روﺷﻬﺎﻳﻲ‬‫ﺑﻪ‬‫ﺻﻮرت‬‫اﺳﺘﺎﻧﺪارد‬‫ﺑﺮاي‬‫اﻧﺪازه‬‫ﮔﻴﺮي‬‫ﻣﻮﻗﻌﻴﺖ‬‫ﻋﻠﻤﻲ‬‫ﻣﺮاﻛﺰ‬‫ﻋﻠﻤﻲ‬‫ﺗﻌﺮﻳﻒ‬‫ﻛﺮد‬.‫ﺑﻨﺪي‬‫رﺗﺒﻪ‬‫آﻛﺎدﻣﻴﻚ‬ ‫ﻫﺎي‬‫داﻧﺸﮕﺎه‬‫ﺟﻬﺎن‬‫ﺑﺮ‬‫اﺳﺎس‬‫ﭘﺎراﻣﺘﺮﻫﺎي‬‫ﻣﺨﺘﻠﻔﻲ‬‫اﻧﺠﺎم‬‫ﮔﻴﺮد‬‫ﻣﻲ‬. ‫ﻫﺎ‬‫ﺑﻨﺪي‬‫رﺗﺒﻪ‬‫ﺗﻮاﻧﺪ‬‫ﻣﻲ‬‫ﺑﺮاﺳﺎس‬‫ﻛﻴﻔﻴﺖ‬‫ﺑﺮﺧﻲ‬‫ﻫﺎي‬‫ﺷﺎﺧﺺ‬‫ﻣﻮﺟﻮد‬‫اﻧﺠﺎم‬‫ﺷﻮد‬.‫از‬‫ﺟﻤﻠﻪ‬ٔ‫اﻳﻦ‬‫ﻫﺎ‬‫ﺷﺎﺧﺺ‬‫ﺗﻮان‬‫ﻣﻲ‬‫ﺑﻪ‬ ‫آﻣﺎرﻫﺎي‬،‫ﺗﺠﺮﺑﻲ‬‫ﺑﺮآوردﻫﺎي‬‫ﻣﺮﺑﻮط‬‫ﺑﻪ‬‫ﻣﺪرﺳﻴﻦ‬‫و‬،‫اﺳﺎﺗﻴﺪ‬،‫ﻫﺎ‬‫ﺑﻮرﺳﻴﻪ‬،‫داﻧﺸﺠﻮﻳﺎن‬‫داوﻃﻠﺒﻴﻦ‬‫ورود‬‫ﺑﻪ‬‫داﻧﺸﮕﺎه‬‫و‬‫ﺑﺮﺧﻲ‬ ‫دﻳﮕﺮ‬‫اﺷﺎره‬‫ﻛﺮد‬.‫ﺑﺮﺧﻲ‬‫از‬‫ﻫﺎ‬‫ﺑﻨﺪي‬‫رﺗﺒﻪ‬‫ﻫﻢ‬‫ﻫﺴﺘﻨﺪ‬‫ﻛﻪ‬‫ﺑﺮ‬‫اﺳﺎس‬‫ﻧﺤﻮه‬ٔ‫ﭘﺬﻳﺮش‬‫و‬‫ورود‬‫داﻧﺸﺠﻮﻳﺎن‬‫ﺑﻪ‬‫داﻧﺸﮕﺎه‬‫ﺻﻮرت‬ ‫دﻳﮕﺮ‬‫اﺷﺎره‬‫ﻛﺮد‬.‫ﺑﺮﺧﻲ‬‫از‬‫ﻫﺎ‬‫ﺑﻨﺪي‬‫رﺗﺒﻪ‬‫ﻫﻢ‬‫ﻫﺴﺘﻨﺪ‬‫ﻛﻪ‬‫ﺑﺮ‬‫اﺳﺎس‬‫ﻧﺤﻮه‬ٔ‫ﭘﺬﻳﺮش‬‫و‬‫ورود‬‫داﻧﺸﺠﻮﻳﺎن‬‫ﺑﻪ‬‫داﻧﺸﮕﺎه‬‫ﺻﻮرت‬ ‫ﮔﻴﺮد‬‫ﻣﻲ‬. ‫ﻋﻼوه‬‫ﺑﺮ‬‫ﺑﻨﺪي‬‫رﺗﺒﻪ‬،‫ﻣﻮﺳﺴﺎت‬‫ﺑﺮﺧﻲ‬‫ﻫﺎي‬‫ﺑﻨﺪي‬‫رﺗﺒﻪ‬‫دﻳﮕﺮي‬‫ﻫﻢ‬‫وﺟﻮد‬‫دارد‬‫ﻛﻪ‬‫ﺑﺮاي‬‫ﻫﺎي‬‫ﺑﺮﻧﺎﻣﻪ‬،‫آﻣﻮزﺷﻲ‬‫ﻫﺎ‬‫دﭘﺎرﺗﻤﺎن‬ ‫و‬‫ﻣﺪارس‬‫ﺻﻮرت‬‫ﮔﻴﺮد‬‫ﻣﻲ‬.‫ﻫﺎ‬‫ﺑﻨﺪي‬‫رﺗﺒﻪ‬‫ﺑﺮ‬‫اﺳﺎس‬‫دﻫﻲ‬‫ﺟﻬﺖ‬‫ﺑﺮﺧﻲ‬‫ﻣﺠﻼت‬‫و‬‫ﻫﺎ‬‫روزﻧﺎﻣﻪ‬‫و‬‫ﮔﺎﻫﻲ‬‫ﻫﻢ‬‫ﺗﻮﺳﻂ‬ ‫داﻧﺸﮕﺎﻫﻴﺎن‬‫و‬‫ﻓﺮﻫﻨﮕﻴﺎن‬‫اﻧﺠﺎم‬‫ﮔﻴﺮد‬‫ﻣﻲ‬. ‫ﻣﻼﻛﻬﺎي‬‫ﻣﻌﺮوف‬‫در‬‫اﻳﻦ‬‫زﻣﻴﻨﻪ‬‫ﻣﺸﺘﻤﻠﻨﺪ‬‫ﺑﺮ‬: •‫ﺟﻬﺎن‬ ‫ﻫﺎي‬‫داﻧﺸﮕﺎه‬‫آﻣﻮزﺷﻲ‬ ‫ﺑﻨﺪي‬‫رﺗﺒﻪ‬SJTU •‫ﻧﺸﺮﻳﻪ‬ٔ‫ﻋﺎﻟﻲ‬ ‫آﻣﻮزش‬)‫ﺗﺎﻳﻤﺰ‬(-‫ﻣﻮﺳﺴﻪ‬ٔ‫ﺑﻨﺪي‬‫رﺗﺒﻪ‬ ‫ﻫﺎ‬‫داﻧﺸﮕﺎه‬QS •‫ﻧﺸﺮﻳﻪ‬ٔ‫ﻧﻴﻮزوﻳﻚ‬ •‫وﺑﻮﻣﺘﺮﻳﻚ‬ •‫ِﻲ‬‫ﺟ‬ ‫ﻓﺎﻛﺘﻮر‬ •‫دﻧﻴﺎ‬ ‫ﻫﺎي‬‫داﻧﺸﮕﺎه‬ ‫اي‬‫ﺣﺮﻓﻪ‬ ‫ﺑﻨﺪي‬‫رﺗﺒﻪ‬ •‫ﻋﻠﻤﻲ‬ ‫ﻣﻘﺎﻻت‬ ‫ﻋﻤﻠﻜﺮد‬ ‫ﺑﻨﺪي‬‫رﺗﺒﻪ‬ •‫ووﻫﺎن‬ ‫داﻧﺸﮕﺎه‬ ‫ﺑﻨﺪي‬‫رﺗﺒﻪ‬ •‫ﺑﻨﺪي‬‫رﺗﺒﻪ‬Global Universities Ranking
  • 5.
    ‫ﻋﻠﻤﻲ‬ ‫ﻣﺮاﻛﺰ‬ ‫ﺑﻨﺪي‬‫رﺗﺒﻪ‬ ‫ﻫﺎي‬ ‫ﺷﺎﺧﺺ‬ ‫ﻧﺸﺮﻳﻪ‬ٔ‫ﻧﻴﻮزوﻳﻚ‬ ‫آﻣﺮﻳﻜﺎ‬-‫ﻧﺸﺮﻳﻪ‬ٔ‫آﻣﺮﻳﻜﺎ‬ ‫ﻧﻴﻮزوﻳﻚ‬ ‫ﻣﻼك‬:‫ﻧﺸﺮﻳﻪ‬ ‫و‬ ‫ﺷﺎﻧﮕﻬﺎي‬ ‫داﻧﺸﮕﺎه‬ ‫ﻣﻼك‬ ‫ﺷﺪه‬ ‫ﻣﻨﺘﺸﺮ‬ ‫ﻣﺠﻼت‬ ‫و‬ ‫ﻛﺘﺎﺑﻬﺎ‬ ‫ﺗﻌﺪاد‬ ‫و‬ ‫ﺗﺎﻳﻤﺰ‬ ‫ﻧﺸﺮﻳﻪ‬ٔ‫ﻋﺎﻟﻲ‬ ‫آﻣﻮزش‬)‫ﺗﺎﻳﻤﺰ‬( ‫اﻧﮕﻠﺴﺘﺎن‬-‫ﻧﺸﺮﻳﻪ‬ٔ‫ﻋﺎﻟﻲ‬ ‫آﻣﻮزش‬ ‫ﻣﻮﺳﺴﻪ‬ ‫و‬ ‫ﻟﻨﺪن‬ ‫ﺗﺎﻳﻤﺰ‬ٔ‫ﻛﺎﻛﺎرﻟﻲ‬ ‫ﺳﻴﻤﻮﻧﺰ‬ ‫ﻣﻼك‬:‫آﻣﺮﻳﻜﺎﻳﻲ‬ ‫ﻏﻴﺮ‬ ‫داﻧﺸﮕﺎه‬ ‫ﻣﻄﺎﻟﻌﻪ‬ ‫اﻳﻦ‬ ‫در‬ ‫ﺷﺪه‬ ‫اﺳﺘﻔﺎده‬ ‫ﻣﺪل‬ ‫ﺗﺤﻘﻴﻖ‬ ‫آﻣﻮزﺷﻲ‬ ‫ﺑﻨﺪي‬‫رﺗﺒﻪ‬ ‫ﺟﻬﺎن‬ ‫ﻫﺎي‬‫داﻧﺸﮕﺎه‬SJTU ‫ﭼﻴﻦ‬-‫ﺟﻴﺎ‬ ‫ﺷﺎﻧﮕﻬﺎي‬ ‫داﻧﺸﮕﺎه‬ ‫ﺗﺎﻧﮓ‬ ‫ﻣﻼك‬:‫ﻧﻮﺑﻞ‬ ‫ﺟﻮاﻳﺰ‬ ،‫ﻋﻠﻤﻲ‬ ‫ﻣﻘﺎﻻت‬ ‫ﺗﻌﺪاد‬ ‫ﻓﻴﻠﺪز‬ ‫ﺟﺎﻳﺰه‬ ‫و‬ ‫وﺑﻮﻣﺘﺮﻳﻚ‬ ‫اﺳﭙﺎﻧﻴﺎ‬-‫ﺳﺎﻳﺒﺮﻣﺘﺮﻳﻚ‬ ‫آزﻣﺎﻳﺸﮕﺎه‬ ‫ﻣﻼك‬:‫ﺑﺮ‬ ‫ﻋﻠﻤﻲ‬ ‫دﺳﺘﺎوردﻫﺎي‬ ‫ﻗﺮاردادن‬ ‫اﻳﻨﺘﺮﻧﺖ‬ ‫روي‬ ‫ﻋﻠﻤﻲ‬ ‫ﻣﻘﺎﻻت‬ ‫ﻋﻤﻠﻜﺮد‬ ‫ﺑﻨﺪي‬‫رﺗﺒﻪ‬ ‫ﺗﺎﻳﻮان‬-‫ارﺗﻘﺎدﻫﻲ‬ ‫و‬ ‫ارزﻳﺎﺑﻲ‬ ‫اﻧﺠﻤﻦ‬ ‫ﺗﺎﻳﻮان‬ ‫ﻋﺎﻟﻲ‬ ‫آﻣﻮزش‬ ‫ﻣﻼك‬:‫ﻣﻘﺎﻻت‬11‫ﻣﻘﺎﻻت‬ ،‫اﺧﻴﺮ‬ ‫ﺳﺎل‬ ‫در‬ ‫ﻣﻘﺎﻻت‬ ‫و‬ ‫ﻛﺘﺐ‬ ‫ﺑﻪ‬ ‫ارﺟﺎﻋﺎت‬ ،‫ﻛﻨﻮﻧﻲ‬11 ‫در‬ ‫ﻣﻘﺎﻻت‬ ‫و‬ ‫ﻛﺘﺐ‬ ‫ﺑﻪ‬ ‫ارﺟﺎﻋﺎت‬ ،‫اﺧﻴﺮ‬ ‫ﺳﺎل‬ ‫ﮔﺮﻓﺘﻦ‬ ‫ﻗﺮار‬ ‫ﻣﺮﺟﻊ‬ ‫ﻣﻮرد‬ ‫ﻣﻴﺰان‬ ،‫ﺣﺎﺿﺮ‬ ‫ﺣﺎل‬ ‫و‬ ‫ﻣﻘﺎﻻت‬... ‫ِﻲ‬‫ﺟ‬ ‫ﻓﺎﻛﺘﻮر‬ ‫ﻣﻼك‬:‫ارﺟﺎع‬ ‫ﻣﻴﺰان‬ ‫و‬ ‫ﻣﺤﺒﻮﺑﻴﺖ‬ ‫ﻣﻴﺰان‬ ‫ﻫﺎ‬ ‫داﻧﺸﮕﺎه‬ ‫دﻳﮕﺮ‬ ‫ﺳﺎﻳﺖ‬ ‫ﺗﻮﺳﻂ‬ ‫ﺷﺪن‬ ‫دﻧﻴﺎ‬ ‫ﻫﺎي‬‫داﻧﺸﮕﺎه‬ ‫اي‬‫ﺣﺮﻓﻪ‬ ‫ﺑﻨﺪي‬‫رﺗﺒﻪ‬ ‫ﻓﺮاﻧﺴﻪ‬-‫ﻣﺪرﺳﻪ‬ٔ‫ﻣﻌﺪن‬ ‫ﻣﻠﻲ‬ ‫ﻋﺎﻟﻲ‬ ‫ﭘﺎرﻳﺲ‬ ‫ﻣﻼك‬:‫ارﺷﺪ‬ ‫اﺟﺮاﻳﻲ‬ ‫ﻣﺪﻳﺮان‬ ‫ﻣﻴﺰان‬ ‫ووﻫﺎن‬ ‫داﻧﺸﮕﺎه‬ ‫ﺑﻨﺪي‬‫رﺗﺒﻪ‬ ‫ﭼﻴﻦ‬-‫ووﻫﺎن‬ ‫داﻧﺸﮕﺎه‬ ‫ﻣﻼك‬:‫و‬ ‫ﺷﺪه‬ ‫ﭼﺎپ‬ ‫ﻣﻘﺎﻻت‬ ‫ﺗﻌﺪاد‬ ‫ارﺟﺎﻋﺎت‬ ‫ﺑﻨﺪي‬‫رﺗﺒﻪ‬Global Universities ‫روﺳﻴﻪ‬-‫ﻣﻮﺳﺴﻪ‬RatER ‫ﻣﻼك‬:‫دﻳﮕﺮ‬ ‫ﻫﺎي‬‫ﺷﺎﺧﺺ‬ ‫از‬ ‫ﻣﺨﻠﻮﻃﻲ‬
  • 6.
    ‫دﻧﻴﺎ‬ ‫ﺑﺮﺗﺮ‬ ‫داﻧﺸﮕﺎه‬‫ده‬ ‫ﺟﺪول‬ SJTU ‫ﺗﺎﻳﻤﺰ‬ ‫ﻧﺸﺮﻳﻪ‬ٔ‫ﻧﻴﻮزوﻳﻚ‬ ‫وﺑﻮﻣﺘﺮﻳﻚ‬ ‫ِﻲ‬‫ﺟ‬ ‫ﻓﺎﻛﺘﻮر‬ ‫اي‬‫ﺣﺮﻓﻪ‬ ‫دﻧﻴﺎ‬ ‫ﻫﺎي‬‫داﻧﺸﮕﺎه‬ ‫ﻣﻘﺎﻻت‬ ‫ﻋﻤﻠﻜﺮد‬ ‫ﻋﻠﻤﻲ‬ ‫ووﻫﺎن‬ ‫داﻧﺸﮕﺎه‬ Global Universities 1 ‫ﻫﺎروارد‬ ‫داﻧﺸﮕﺎه‬ ‫ﻫﺎروارد‬ ‫داﻧﺸﮕﺎه‬ ‫ﻫﺎروارد‬ ‫داﻧﺸﮕﺎه‬ ‫ﺗﻲ‬ ‫آي‬ ‫ام‬ ‫ﺗﻲ‬ ‫آي‬ ‫ام‬ ‫ﺗﻮﻛﻴﻮ‬ ‫داﻧﺸﮕﺎه‬ ‫ﻫﺎروارد‬ ‫داﻧﺸﮕﺎه‬ ‫ﻫﺎروارد‬ ‫داﻧﺸﮕﺎه‬ ‫ﺗﻲ‬ ‫آي‬ ‫ام‬ 2 ‫اﺳﺘﻨﻔﻮرد‬ ‫داﻧﺸﮕﺎه‬ ‫ﻛﻤﺒﺮﻳﺞ‬ ‫داﻧﺸﮕﺎه‬ ‫اﺳﺘﻨﻔﻮرد‬ ‫داﻧﺸﮕﺎه‬ ‫اﺳﺘﻨﻔﻮرد‬ ‫ﻫﺎروارد‬ ‫داﻧﺸﮕﺎه‬ ‫ﻫﺎروارد‬ ‫داﻧﺸﮕﺎه‬ ‫ﺟﺎﻧﺰ‬ ‫داﻧﺸﮕﺎه‬ ‫ﻫﺎﭘﻜﻴﻨﺰ‬ ‫در‬ ‫ﺗﮕﺰاس‬ ‫داﻧﺸﮕﺎه‬ ‫آﺳﺘﻴﻦ‬ ‫ﻛﻠﺘﻚ‬ 3 ‫ﺑﺮﻛﻠﻲ‬ ‫داﻧﺸﮕﺎه‬ ‫ﻳﻴﻞ‬ ‫داﻧﺸﮕﺎه‬ ‫ﻳﻴﻞ‬ ‫داﻧﺸﮕﺎه‬ ‫ﻫﺎروارد‬ ‫داﻧﺸﮕﺎه‬ ‫در‬ ‫ﻛﺎﻟﻴﻔﺮﻧﻴﺎ‬ ‫داﻧﺸﮕﺎه‬ ‫ﺑﺮﻛﻠﻲ‬ ‫اﺳﺘﻨﻔﻮرد‬ ‫داﻧﺸﮕﺎه‬ ‫اﺳﺘﻨﻔﻮرد‬ ‫داﻧﺸﮕﺎه‬ ‫واﺷﻨﮕﺘﻦ‬ ‫داﻧﺸﮕﺎه‬ ‫ﺗﻮﻛﻴﻮ‬ ‫داﻧﺸﮕﺎه‬ ‫ﺑﺮﻛﻠﻲ‬ 4 ‫ﻛﻤﺒﺮﻳﺞ‬ ‫داﻧﺸﮕﺎه‬ ‫داﻧﺸﮕﺎﻫﻲ‬ ‫ﻛﺎﻟﺞ‬ ‫ﻟﻨﺪن‬ ‫ﻛﻠﺘﻚ‬ ‫در‬ ‫ﻛﺎﻟﻴﻔﺮﻧﻴﺎ‬ ‫داﻧﺸﮕﺎه‬ ‫ﺑﺮﻛﻠﻲ‬ ‫اﺳﺘﻨﻔﻮرد‬ ‫داﻧﺸﮕﺎه‬ ‫واﺳﺪا‬ ‫داﻧﺸﮕﺎه‬ ‫واﺷﻨﮕﺘﻦ‬ ‫داﻧﺸﮕﺎه‬ ‫اﺳﺘﻨﻔﻮرد‬ ‫داﻧﺸﮕﺎه‬ ‫ﻛﻠﻤﺒﻴﺎ‬ ‫داﻧﺸﮕﺎه‬ 5 ‫ﺗﻲ‬ ‫آي‬ ‫ام‬ ‫ﻟﻨﺪن‬ ‫ﻛﺎﻟﺞ‬ ‫اﻣﭙﺮﻳﺎل‬ ‫در‬ ‫ﻛﺎﻟﻴﻔﺮﻧﻴﺎ‬ ‫داﻧﺸﮕﺎه‬ ‫ﺑﺮﻛﻠﻲ‬ ‫ﻛﺮﻧﻞ‬ ‫داﻧﺸﮕﺎه‬ ‫ﭘﺮﻳﻨﺴﺘﻮن‬ ‫داﻧﺸﮕﺎه‬ ‫سءول‬ ‫ﻣﻠﻲ‬ ‫داﻧﺸﮕﺎه‬ ‫در‬ ‫ﻛﺎﻟﻴﻔﺮﻧﻴﺎ‬ ‫داﻧﺸﮕﺎه‬ ‫آﻧﺠﻠﺲ‬ ‫ﻟﺲ‬ ‫ﺟﺎﻧﺰ‬ ‫داﻧﺸﮕﺎه‬ ‫ﻫﺎﭘﻜﻴﻨﺰ‬ ‫دوﻟﺘﻲ‬ ‫داﻧﺸﮕﺎه‬ ‫ﻣﺴﻜﻮ‬ 6 ‫ﻛﻠﺘﻚ‬ ‫آﻛﺴﻔﻮرد‬ ‫داﻧﺸﮕﺎه‬ ‫ﻛﻤﺒﺮﻳﺞ‬ ‫داﻧﺸﮕﺎه‬ ‫ﻣﻴﺸﻴﮕﺎن‬ ‫داﻧﺸﮕﺎه‬ ‫ﭘﻨﺴﻴﻠﻮاﻧﻴﺎ‬ ‫داﻧﺸﮕﺎه‬ ‫ﺳﻪ‬ ‫ا‬ ‫ﻫﺎش‬ ‫ﻣﻴﺸﻴﮕﺎن‬ ‫داﻧﺸﮕﺎه‬ ‫در‬ ‫ﻛﺎﻟﻴﻔﺮﻧﻴﺎ‬ ‫داﻧﺸﮕﺎه‬ ‫ﺑﺮﻛﻠﻲ‬ ‫ﻫﺎروارد‬ ‫داﻧﺸﮕﺎه‬ 7 ‫ﻛﻠﻤﺒﻴﺎ‬ ‫داﻧﺸﮕﺎه‬ ‫ﺷﻴﻜﺎﮔﻮ‬ ‫داﻧﺸﮕﺎه‬ ‫ﺗﻲ‬ ‫آي‬ ‫ام‬ ‫ﻛﻠﺘﻚ‬ ‫واﺷﻨﮕﺘﻦ‬ ‫داﻧﺸﮕﺎه‬ ‫دوك‬ ‫داﻧﺸﮕﺎه‬ ‫ﺗﻲ‬ ‫آي‬ ‫ام‬ ‫در‬ ‫ﻛﺎﻟﻴﻔﺮﻧﻴﺎ‬ ‫داﻧﺸﮕﺎه‬ ‫آﻧﺠﻠﺲ‬ ‫ﻟﺲ‬ ‫اﺳﺘﻨﻔﻮرد‬ ‫داﻧﺸﮕﺎه‬ 8 ‫ﭘﺮﻳﻨﺴﺘﻮن‬ ‫داﻧﺸﮕﺎه‬ ‫ﭘﺮﻳﻨﺴﺘﻮن‬ ‫داﻧﺸﮕﺎه‬ ‫آﻛﺴﻔﻮرد‬ ‫داﻧﺸﮕﺎه‬ ‫ﻣﻴﻨﺴﻮﺗﺎ‬ ‫داﻧﺸﮕﺎه‬ ‫در‬ ‫اﻳﻠﻴﻨﻮي‬ ‫داﻧﺸﮕﺎه‬ ‫ﺷﺎﻣﭙﺎﻳﻦ‬ ‫اورﺑﺎﻧﺎ‬ ‫آﻛﺴﻔﻮرد‬ ‫داﻧﺸﮕﺎه‬ ‫در‬ ‫ﻛﺎﻟﻴﻔﺮﻧﻴﺎ‬ ‫داﻧﺸﮕﺎه‬ ‫ﺑﺮﻛﻠﻲ‬ ‫ﺗﻮﻛﻴﻮ‬ ‫داﻧﺸﮕﺎه‬ ‫ﻛﻤﺒﺮﻳﺞ‬ ‫داﻧﺸﮕﺎه‬ 9 ‫ﺷﻴﻜﺎﮔﻮ‬ ‫داﻧﺸﮕﺎه‬ ‫ﺗﻲ‬ ‫آي‬ ‫ام‬ ‫ﻛﺎﻟﻴﻔﺮﻧﻴﺎ‬ ‫داﻧﺸﮕﺎه‬ ‫ﻓﺮاﻧﺴﻴﺴﻜﻮ‬ ‫ﺳﺎن‬ ‫در‬ ‫در‬ ‫اﻳﻠﻴﻨﻮي‬ ‫داﻧﺸﮕﺎه‬ ‫ﺷﺎﻣﭙﺎﻳﻦ‬ ‫اورﺑﺎﻧﺎ‬ ‫ﻛﺎرﻧﮕﻲ‬ ‫داﻧﺸﮕﺎه‬ ‫ﻣﻠﻮن‬ ‫ﭘﻨﺴﻴﻠﻮاﻧﻴﺎ‬ ‫داﻧﺸﮕﺎه‬ ‫ﭘﻨﺴﻴﻠﻮاﻧﻴﺎ‬ ‫داﻧﺸﮕﺎه‬ ‫ﻣﻴﺸﻴﮕﺎن‬ ‫داﻧﺸﮕﺎه‬ ‫ﺟﺎﻧﺰ‬ ‫داﻧﺸﮕﺎه‬ ‫ﻫﺎﭘﻜﻴﻨﺰ‬ 10 ‫آﻛﺴﻔﻮرد‬ ‫داﻧﺸﮕﺎه‬ ‫ﻓﻨﺎوري‬ ‫ﻣﻮﺳﺴﻪ‬ ‫ﻛﺎﻟﻴﻔﺮﻧﻴﺎ‬ ‫ﻛﻠﻤﺒﻴﺎ‬ ‫داﻧﺸﮕﺎه‬ ‫در‬ ‫ﺗﮕﺰاس‬ ‫داﻧﺸﮕﺎه‬ ‫آﺳﺘﻴﻦ‬ ‫راﺗﮕﺮز‬ ‫داﻧﺸﮕﺎه‬ ‫اﻧﺎ‬ ‫داﻧﺸﮕﺎه‬ ‫ﻛﻠﻤﺒﻴﺎ‬ ‫داﻧﺸﮕﺎه‬ ‫ﺗﻲ‬ ‫آي‬ ‫ام‬ ‫ﺷﻴﻜﺎﮔﻮ‬ ‫داﻧﺸﮕﺎه‬
  • 7.
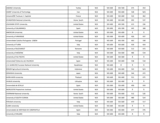
    ‫ﻣﺨﺘﻠﻒ‬ ‫ﻣﻌﻴﺎرﻫﺎي‬ ‫در‬‫دﻧﻴﺎ‬ ‫ﺑﺮﺗﺮ‬ ‫داﻧﺸﮕﺎه‬ ‫رﺗﺒﻪ‬ ‫ﻣﻘﺎﻳﺴﻪ‬ SJTU ‫ﺗﺎﻳﻤﺰ‬ ‫ﻧﺸﺮﻳﻪ‬ٔ‫ﻧﻴﻮزوﻳﻚ‬ ‫وﺑﻮﻣﺘﺮﻳﻚ‬ ‫ِﻲ‬‫ﺟ‬ ‫ﻓﺎﻛﺘﻮر‬ ‫ﻫﺎي‬‫داﻧﺸﮕﺎه‬ ‫اي‬‫ﺣﺮﻓﻪ‬ ‫دﻧﻴﺎ‬ ‫ﻋﻠﻤﻲ‬ ‫ﻣﻘﺎﻻت‬ ‫ﻋﻤﻠﻜﺮد‬ ‫ووﻫﺎن‬ ‫داﻧﺸﮕﺎه‬ Global Universities ‫ﺗﻌﺪاد‬‫ﻫﺎي‬ ‫ﺑﻨﺪي‬ ‫رﺗﺒﻪ‬ ‫داﺷﺘﻪ‬ ‫ﺷﺮﻛﺖ‬ ‫وزﻧﻲ‬ ‫ﻣﻴﺎﻧﮕﻴﻦ‬ ‫ﻫﺎروارد‬ ‫داﻧﺸﮕﺎه‬ 1 1 1 3 2 2 1 1 6 9 2 ‫اﺳﺘﻨﻔﻮرد‬ ‫داﻧﺸﮕﺎه‬ 2 2 2 2 4 3 3 4 7 9 3.22222222 ‫ﺗﻲ‬ ‫آي‬ ‫ام‬ 5 9 7 1 1 7 10 1 8 5.765625 ‫داﻧﺸﮕﺎه‬‫ﺑﺮﻛﻠﻲ‬ ‫در‬ ‫ﻛﺎﻟﻴﻔﺮﻧﻴﺎ‬ 5 4 3 8 6 5 9.36 ‫ﻛﻠﺘﻚ‬ 6 4 7 2 4 10.6875 ‫ﺗﻮﻛﻴﻮ‬ ‫داﻧﺸﮕﺎه‬ 1 8 3 3 12 ‫ﻳﻴﻞ‬ ‫داﻧﺸﮕﺎه‬ 3 3 2 13.5 ‫واﺷﻨﮕﺘﻦ‬ ‫داﻧﺸﮕﺎه‬ 7 4 3 3 14 ‫ﻫﺎﭘﻜﻴﻨﺰ‬ ‫ﺟﺎﻧﺰ‬ ‫داﻧﺸﮕﺎه‬ 2 5 9 3 16 ‫اﻛﺴﻔﻮرد‬ ‫داﻧﺸﮕﺎه‬ 10 6 8 8 4 18 ‫ﻛﻤﺒﺮﻳﺞ‬ ‫داﻧﺸﮕﺎه‬ 4 6 8 3 18 ‫ﭘﺮﻳﻨﺴﺘﻮن‬ ‫داﻧﺸﮕﺎه‬ 8 8 5 3 21‫ﭘﺮﻳﻨﺴﺘﻮن‬ ‫داﻧﺸﮕﺎه‬ 8 8 5 3 21 ‫ﻣﻴﺸﻴﮕﺎن‬ ‫داﻧﺸﮕﺎه‬ 6 6 9 3 21 ‫ﭘﻨﺴﻴﻠﻮاﻧﻴﺎ‬ ‫داﻧﺸﮕﺎه‬ 6 9 9 3 24 ‫ﻛﻠﻤﺒﻴﺎ‬ ‫داﻧﺸﮕﺎه‬ 10 10 4 3 24 ‫ﺷﻴﻜﺎﮔﻮ‬ ‫داﻧﺸﮕﺎه‬ 9 7 10 3 26 ‫ﺑﺮﻛﻠﻲ‬ ‫داﻧﺸﮕﺎه‬ 3 1 27 ‫داﻧﺸﮕﺎه‬‫ﺗﮕﺰاس‬‫آﺳﺘﻴﻦ‬ 10 2 2 27 ‫داﻧﺸﮕﺎه‬‫ﻟﺲ‬‫آﻧﺠﻠﺲ‬ 5 7 2 27 ‫واﺳﺪا‬ ‫داﻧﺸﮕﺎه‬ 4 1 36 ‫ﻟﻨﺪن‬ ‫داﻧﺸﮕﺎﻫﻲ‬ ‫ﻛﺎﻟﺞ‬ 4 1 36 ‫اﻳﻠﻴﻨﻮي‬ ‫داﻧﺸﮕﺎه‬ 9 8 2 38.25 ‫ﻟﻨﺪن‬ ‫ﻛﺎﻟﺞ‬ ‫اﻣﭙﺮﻳﺎل‬ 5 1 45 ‫ﻛﺮﻧﻞ‬ ‫داﻧﺸﮕﺎه‬ 5 1 45 ‫ﻣﺴﻜﻮ‬ ‫دوﻟﺘﻲ‬ ‫داﻧﺸﮕﺎه‬ 5 1 45 ‫سءول‬ ‫ﻣﻠﻲ‬ ‫داﻧﺸﮕﺎه‬ 5 1 45 ‫ﺳﻪ‬ ‫ا‬ ‫ﻫﺎش‬ 6 1 54 ‫دوك‬ ‫داﻧﺸﮕﺎه‬ 7 1 63 ‫ﻛﻠﻤﺒﻴﺎ‬ ‫داﻧﺸﮕﺎه‬ 7 1 63 ‫ﻣﻴﻨﺴﻮﺗﺎ‬ ‫داﻧﺸﮕﺎه‬ 8 1 72 ‫ﻣﻠﻮن‬ ‫ﻛﺎرﻧﮕﻲ‬ ‫داﻧﺸﮕﺎه‬ 9 1 81 ‫داﻧﺸﮕﺎه‬‫ﻛﺎﻟﻴﻔﺮﻧﻴﺎ‬ 9 1 81 ‫اﻧﺎ‬ ‫داﻧﺸﮕﺎه‬ 10 1 90 ‫راﺗﮕﺮز‬ ‫داﻧﺸﮕﺎه‬ 10 1 90 ‫ﻛﺎﻟﻴﻔﺮﻧﻴﺎ‬ ‫ﻓﻨﺎوري‬ ‫ﻣﻮﺳﺴﻪ‬ 10 1 90
  • 8.
    ‫ﻓﺮاواﻧﻲ‬ ‫ﺟﺪول‬400‫اﻣﺘﻴﺎز‬ ‫اﺳﺎس‬‫ﺑﺮ‬ ‫دﻧﻴﺎ‬ ‫اول‬ ‫داﻧﺸﮕﺎه‬ ‫ﻫﺎ‬ ‫داﻧﺸﮕﺎه‬ ‫اﻣﺘﻴﺎزي‬ ‫ﻫﺎي‬ ‫ﺑﺎزه‬ ‫اﺳﺎس‬ ‫ﺑﺮ‬ ‫را‬ ‫ﻫﺎ‬ ‫داﻧﺸﮕﺎه‬ ‫ﻓﺮاواﻧﻲ‬ ‫ﺗﻌﺪاد‬ ‫ﻧﻤﻮدار‬ ‫اﻳﻦ‬ 100‫ﺗﺎ‬35‫ﮔﺎم‬ ‫ﺑﺎ‬5‫ﺑﺎﺷﺪ‬ ‫ﻣﻲ‬.‫اﻓﺰار‬ ‫ﻧﺮم‬ ‫ﺑﻪ‬ ‫ﻣﺮﺑﻮط‬ ‫رواﺑﻂ‬ spreadsheet‫از‬ ‫ﻋﺒﺎرﺗﻨﺪ‬: =COUNTIFS(D2:D400,">"&B402,D2:D400,"<="&C402) D2:D400 → ‫ﺳﺎل‬ ‫در‬ ‫رﺗﺒﻪ‬ ‫ﺗﺮﺗﻴﺐ‬ ‫ﺑﻪ‬ ‫ﻫﺎ‬ ‫داﻧﺸﮕﺎه‬ ‫اﻣﺘﻴﺎزات‬ ‫ﻟﻴﺴﺖ‬2009 B402 → ‫ﮔﺎم‬ ‫ﻫﺮ‬ ‫در‬ ‫ﺑﺎزه‬ ‫ﭘﺎﻳﻴﻦ‬ ‫ﻣﺤﺪوده‬ ‫ﺗﻮزﻳﻊ‬ ‫ﻓﺮاواﻧﻲ‬ ‫ﺑﺮﺗﺮ‬ ‫ﻫﺎي‬ ‫داﻧﺸﮕﺎه‬ ‫ﺳﺎل‬2009 ‫ﻋﻠﻢ‬ ‫ﺗﻮﻟﻴﺪ‬ ‫ﻧﺴﺒﺖ‬ ‫اي‬ ‫داﻳﺮه‬ ‫ﻧﻤﻮدار‬400‫اول‬ ‫داﻧﺸﮕﺎه‬ ‫ﻫﺎ‬ ‫داﻧﺸﮕﺎه‬ ‫اﻣﺘﻴﺎز‬ ‫اﺳﺎس‬ ‫ﺑﺮ‬ ‫دﻧﻴﺎ‬ ‫اﻣﺘﻴﺎزي‬ ‫ﻫﺎي‬ ‫ﺑﺎزه‬ ‫اﺳﺎس‬ ‫ﺑﺮ‬ ‫را‬ ‫ﻫﺎ‬ ‫داﻧﺸﮕﺎه‬ ‫ﻋﻠﻢ‬ ‫ﺗﻮﻟﻴﺪ‬ ‫ﻧﻤﻮدار‬ ‫اﻳﻦ‬100 ‫ﺗﺎ‬35‫ﮔﺎم‬ ‫ﺑﺎ‬5‫ﻧﻤﺎﻳﺪ‬ ‫ﻣﻲ‬ ‫ﻣﻘﺎﻳﺴﻪ‬.‫اﻓﺰار‬ ‫ﻧﺮم‬ ‫ﺑﻪ‬ ‫ﻣﺮﺑﻮط‬ ‫رواﺑﻂ‬ spreadsheet‫از‬ ‫ﻋﺒﺎرﺗﻨﺪ‬: =SUMIFS(D2:D400,D2:D400,">"&B402,D2:D400,"<="&C4 02) D2:D400 → ‫ﺳﺎل‬ ‫در‬ ‫رﺗﺒﻪ‬ ‫ﺗﺮﺗﻴﺐ‬ ‫ﺑﻪ‬ ‫ﻫﺎ‬ ‫داﻧﺸﮕﺎه‬ ‫اﻣﺘﻴﺎزات‬ ‫ﻟﻴﺴﺖ‬2009 B402 → ‫ﮔﺎم‬ ‫ﻫﺮ‬ ‫در‬ ‫ﺑﺎزه‬ ‫ﭘﺎﻳﻴﻦ‬ ‫ﻣﺤﺪوده‬ B402 → ‫ﮔﺎم‬ ‫ﻫﺮ‬ ‫در‬ ‫ﺑﺎزه‬ ‫ﭘﺎﻳﻴﻦ‬ ‫ﻣﺤﺪوده‬ C402 → ‫ﮔﺎم‬ ‫ﻫﺮ‬ ‫در‬ ‫ﺑﺎزه‬ ‫ﺑﺎﻻي‬ ‫ﻣﺤﺪوده‬ 11 7 11 15 16 26 31 40 31 40 57 55 59 0 10 20 30 40 50 60 70 100 95 90 85 80 75 70 65 60 55 50 45 40 95-100 5% 90-95 3% 85-90 4% 80-85 5% 75-80 6% 70-75 8% 65-70 9% 60-65 11% 55-60 8% 50-55 9% 45-50 12% 40-45 10% 35-40 10% B402 → ‫ﮔﺎم‬ ‫ﻫﺮ‬ ‫در‬ ‫ﺑﺎزه‬ ‫ﭘﺎﻳﻴﻦ‬ ‫ﻣﺤﺪوده‬ C402 → ‫ﮔﺎم‬ ‫ﻫﺮ‬ ‫در‬ ‫ﺑﺎزه‬ ‫ﺑﺎﻻي‬ ‫ﻣﺤﺪوده‬
  • 9.
    ‫ﺗﻮزﻳﻊ‬ ‫ﻓﺮاواﻧﻲ‬ ‫ﺑﺮﺗﺮ‬ ‫ﻫﺎي‬‫داﻧﺸﮕﺎه‬ ‫ﺳﺎل‬2009 ‫ﻗﺒﻠﻲ‬ ‫ﺑﺨﺶ‬ ‫ﺑﻪ‬ ‫ﻣﺮﺑﻮط‬ ‫ﺟﺪول‬:‫اﺳﺖ‬ ‫آﻣﺪه‬ ‫ﻫﺎ‬ ‫ﭘﻴﻮﺳﺖ‬ ‫در‬ ‫ﺗﻜﻤﻴﻠﻲ‬ ‫اﻃﻼﻋﺎت‬ ‫ﭘﺎﻳﻴﻦ‬ ‫ﻣﺤﺪوده‬ ‫ﻣﺤﺪوده‬‫ﺑﺎﻻ‬ ‫ﺗﻌﺪاد‬‫اﻣﺘﻴﺎز‬ ‫اﻳﻦ‬ ‫داراي‬ ‫داﻧﺸﮕﺎه‬ ‫ﺗﻮﻟﻴﺪ‬ ‫ﺷﺎﺧﺺ‬‫ﮔﺮوه‬ ‫اﻳﻦ‬ ‫ﻋﻠﻢ‬ ‫اﻣﺘﻴﺎز‬‫ﮔﺮوه‬ ‫اﻳﻦ‬ ‫ﻣﺘﻮﺳﻂ‬ 95959595 100100100100 11111111 1074107410741074....23232323 97979797....65727657276572765727 90909090 95959595 7777 646646646646....83838383 92929292....40429404294042940429 85858585 90909090 11111111 962962962962....28282828 87878787....48484848 80808080 85858585 15151515 1236123612361236....71717171 82828282....4473344733447334473380808080 85858585 15151515 1236123612361236....71717171 82828282....44733447334473344733 75757575 80808080 16161616 1243124312431243....99999999 77777777....74938749387493874938 70707070 75757575 26262626 1878187818781878....3333 72727272....24231242312423124231 65656565 70707070 31313131 2093209320932093....96969696 67676767....5471547154715471 60606060 65656565 40404040 2487248724872487....72727272 62626262....193193193193 55555555 60606060 31313131 1775177517751775....88888888 57575757....28645286452864528645 50505050 55555555 40404040 2106210621062106....12121212 52525252....653653653653 45454545 50505050 57575757 2713271327132713....62626262 47474747....60737607376073760737 40404040 45454545 55555555 2341234123412341....23232323 42424242....56782567825678256782 35353535 40404040 59595959 2231223122312231....7777 37373737....82542825428254282542
  • 10.
    ‫ﺑﺮﺗﺮ‬ ‫ﻫﺎي‬ ‫داﻧﺸﮕﺎه‬‫ﺟﻐﺮاﻓﻴﺎﻳﻲ‬ ‫ﺗﻮزﻳﻊ‬ ‫ﻣﻄﺎﻟﻌﻪ‬ United States United Kingdom Germany Japan France Australia Canada Italy Korea South Netherlands Spain Taiwan India Sweden Ireland Switzerland Belgium Finland Indonesia Thailand Austria Greece Hong Kong New Zealand Russia Brazil Denmark Malaysia Pakistan Turkey Argentina Chile Czech Republic Israel Norway Philippines Portugal South Africa Mexico Poland Hungary Iran Kingdom of Saudi Arabia Singapore Bangladesh Colombia Egypt Estonia Kazakhstan Lebanon Lithuania Peru Romania Slovenia United Arab Emirates Uruguay
  • 11.
    ‫ﺑﺮﺗﺮ‬ ‫ﻫﺎي‬ ‫داﻧﺸﮕﺎه‬‫ﺟﻐﺮاﻓﻴﺎﻳﻲ‬ ‫ﺗﻮزﻳﻊ‬ ‫ﻣﻄﺎﻟﻌﻪ‬ ‫ﻛﺎر‬ ‫روش‬: ‫ﺟﺪول‬ ‫در‬ ‫ﻣﻮﺟﻮد‬ ‫ﻫﺎ‬ ‫داﻧﺸﮕﺎه‬ ‫ﺗﻌﺪاد‬600‫داﻧﺸﮕﺎه‬ ‫اﻳﻢ‬ ‫ﻛﺮده‬ ‫ﺷﻤﺎرش‬ ‫را‬ ‫ﺑﺮﺗﺮ‬.‫ﻧﺮم‬ ‫ﺑﻪ‬ ‫ﻣﺮﺑﻮط‬ ‫رواﺑﻂ‬ ‫اﻓﺰار‬spreadsheet‫از‬ ‫ﻋﺒﺎرﺗﻨﺪ‬: =COUNTIF(B:B,"="&J2) B:B → ‫داﻧﺸﮕﺎه‬ ‫ﻣﺤﻞ‬ ‫ﻛﺸﻮر‬ ‫ﺳﺘﻮن‬ J2 → ‫ﻣﺮﺑﻮﻃﻪ‬ ‫ﻛﺸﻮر‬ ‫ﻧﺎم‬ ‫ﻛﻞ‬ ‫در‬56‫رﺗﺒﻪ‬ ‫ﺑﺎ‬ ‫ﻫﺎﻳﻲ‬ ‫داﻧﺸﮕﺎه‬ ‫داراي‬ ‫ﻛﺸﻮر‬ ‫ﻛﺸﻮرﻫﺎ‬ ‫از‬ ‫ﺗﻌﺪادي‬ ‫ﺑﺮﺗﺮ‬ ‫ﻫﺎي‬ ‫داﻧﺸﮕﺎه‬ ‫ﺗﻌﺪاد‬ United StatesUnited StatesUnited StatesUnited States 128128128128 United KingdomUnited KingdomUnited KingdomUnited Kingdom 53535353 GermanyGermanyGermanyGermany 42424242 JapanJapanJapanJapan 35353535 ‫ﻛﻞ‬ ‫در‬56‫رﺗﺒﻪ‬ ‫ﺑﺎ‬ ‫ﻫﺎﻳﻲ‬ ‫داﻧﺸﮕﺎه‬ ‫داراي‬ ‫ﻛﺸﻮر‬ ‫از‬ ‫ﺑﻬﺘﺮ‬600‫دﻟﻴﻞ‬ ‫ﺑﻪ‬ ‫ﻛﻪ‬ ‫ﺑﺎﺷﻨﺪ‬ ‫ﻣﻲ‬ ‫اول‬ ‫داﻧﺸﮕﺎه‬ ‫ﺗﻨﻬﺎ‬ ‫اﻃﻼﻋﺎت‬ ‫ﺑﺎﻻي‬ ‫ﺣﺠﻢ‬ ‫و‬ ‫ﺗﻌﺪد‬13‫اول‬ ‫ﻛﺸﻮر‬ ‫اﻳﻢ‬ ‫آورده‬ ‫ﺑﺨﺶ‬ ‫اﻳﻦ‬ ‫در‬ ‫را‬ ‫اﻳﺮان‬ ‫و‬. ‫اﺳﺖ‬ ‫آﻣﺪه‬ ‫ﻫﺎ‬ ‫ﭘﻴﻮﺳﺖ‬ ‫در‬ ‫ﺗﻜﻤﻴﻠﻲ‬ ‫اﻃﻼﻋﺎت‬. JapanJapanJapanJapan 35353535 FranceFranceFranceFrance 31313131 AustraliaAustraliaAustraliaAustralia 25252525 CanadaCanadaCanadaCanada 20202020 ItalyItalyItalyItaly 20202020 Korea SouthKorea SouthKorea SouthKorea South 17171717 NetherlandsNetherlandsNetherlandsNetherlands 13131313 SpainSpainSpainSpain 13131313 TaiwanTaiwanTaiwanTaiwan 12121212 IndiaIndiaIndiaIndia 11111111 IranIranIranIran 2222
  • 12.
    ‫ﺑﺮﺗﺮ‬ ‫ﻫﺎي‬ ‫داﻧﺸﮕﺎه‬‫در‬ ‫اﻧﺴﺎﻧﻲ‬ ‫ﻓﺎﻛﺘﻮرﻫﺎي‬ ‫ﺗﺤﻠﻴﻞ‬ ‫ﻛﺸﻮرﻫﺎ‬ ‫از‬ ‫ﺗﻌﺪادي‬ ‫رﺗﺒﻪ‬2009 ‫رﺗﺒﻪ‬2008 ‫رﺗﺒﻪ‬2007 ‫رﺗﺒﻪ‬2006 ‫ﻓﺎرغ‬ ‫دﻛﺘﺮاﻫﺎي‬ ‫ﺗﻌﺪاد‬ ‫ﺳﺎﻟﻴﺎﻧﻪ‬ ‫اﻟﺘﺤﺼﻴﻞ‬ ‫ﻋﻠﻤﻲ‬ ‫ﻫﻴﺌﺖ‬ ‫ﺗﻌﺪاد‬ ‫وﻗﺖ‬ ‫ﺗﻤﺎم‬ HARVARD University 1 1 1 1 560 4907 University of CAMBRIDGE 2 3 2 2 951 5789 YALE University 3 2 2 4 329 3801 UCL (University College London) 4 7 9 25 608 5460 University of OXFORD 5 4 2 3 849 6328University of OXFORD 5 4 2 3 849 6328 IMPERIAL College London 5 6 5 9 727 4467 University of CHICAGO 7 8 7 11 327 2968 PRINCETON University 8 12 6 10 273 1178 Massachusetts Institute of Technology (MIT) 9 9 10 4 607 2912 California Institute of Technology (CALTECH) 10 5 7 7 187 648 COLUMBIA University 11 10 11 12 603 4116 University of PENNSYLVANIA 12 11 14 26 463 3912 JOHNS HOPKINS University 13 13 15 23 387 3918 DUKE University 14 13 13 13 277 3395 Tehran University 368 450 539 N/A 388 2720 Sharif University of Technology 550 550 528 N/A 41 395
  • 13.
    ‫ﻫﺎ‬ ‫داده‬ ‫و‬‫ﻓﺎﻛﺘﻮرﻫﺎ‬ ‫ﻫﻤﺒﺴﺘﮕﻲ‬ ‫ﻫﻤﺒﺴﺘﮕﻲ‬ ‫راﺑﻄﻪ‬: ‫اﻓﺰار‬ ‫ﻧﺮم‬ ‫ﻫﻤﺒﺴﺘﮕﻲ‬ ‫راﺑﻄﻪ‬spreadsheet: =CORREL(O41:O56,Q41:Q56)=CORREL(O41:O56,Q41:Q56) O41:O56 → ‫اول‬ ‫داده‬ ‫ﻟﻴﺴﺖ‬ Q41:Q56 → ‫دوم‬ ‫داده‬ ‫ﻟﻴﺴﺖ‬ ‫داﻧﺸﮕﺎه‬ ‫رﺗﺒﻪ‬ ‫و‬ ‫اﻧﺴﺎﻧﻲ‬ ‫ﻓﺎﻛﺘﻮرﻫﺎي‬ ‫ﺑﻴﻦ‬ ‫ﻫﻤﺒﺴﺘﮕﻲ‬ ‫ﻣﻘﺪار‬: r (‫اﻟﺘﺤﺼﻴﻼن‬ ‫ﻓﺎرغ‬ ،‫رﺗﺒﻪ‬ ) = 0.469 r (‫ﻋﻠﻤﻲ‬ ‫ﻫﻴﺌﺖ‬ ،‫)رﺗﺒﻪ‬ = 0.501 r (‫ﻋﻠﻤﻲ‬ ‫ﻫﻴﺌﺖ‬ ،‫اﻟﺘﺤﺼﻴﻼن‬ ‫)ﻓﺎرغ‬ = 0.862
  • 14.
    ‫ﮔﻴﺮي‬ ‫ﻧﺘﻴﺠﻪ‬ ‫ﻣﺴﺘﻘﻴﻢ‬ ‫راﺑﻄﻪ‬‫داراي‬ ‫اﺳﺎﺗﻴﺪ‬ ‫ﺗﻌﺪاد‬ ‫ﺑﺎ‬ ‫دﻛﺘﺮا‬ ‫ﺗﺤﺼﻴﻼن‬ ‫ﻓﺎرغ‬ ‫ﺗﻌﺪاد‬ ‫اﺳﺖ‬ ‫آﻣﺎري‬) .‫از‬ ‫ﺑﻴﺶ‬ ‫ﻫﻤﺒﺴﺘﮕﻲ‬0.8( ‫ﻛﻨﺪ‬ ‫ﻣﻲ‬ ‫ﻣﺸﺨﺺ‬ ‫را‬ ‫ﻋﻠﻤﻲ‬ ‫رﺗﺒﻪ‬ ‫از‬ ‫ﻧﻴﻤﻲ‬ ‫اﻧﺴﺎﻧﻲ‬ ‫ﻓﺎﻛﺘﻮر‬) .‫ﻫﻤﺒﺴﺘﮕﻲ‬ ‫از‬ ‫ﺑﻴﺶ‬0.5( ‫از‬ ‫ﺑﻴﺶ‬0.5( ‫رﺗﺒﻪ‬ ‫در‬ ‫وﻟﻲ‬ ‫اﺳﺖ‬ ‫ﺗﺮ‬ ‫ﺳﺨﺖ‬ ‫ﺑﺮﺗﺮ‬ ‫ﻫﺎي‬ ‫رﺗﺒﻪ‬ ‫ﺑﺎ‬ ‫ي‬ ‫داﻧﺸﮕﺎه‬ ‫در‬ ‫رﻗﺎﺑﺖ‬ ‫اﺳﺖ‬ ‫ﺗﺮ‬ ‫ﻓﺸﺮده‬ ‫ﺗﺮ‬ ‫ﭘﺎﻳﻴﻦ‬ ‫ﻫﺎي‬. ‫ﺑﺎﻳﺪ‬ ‫ﻫﺎ‬ ‫داﻧﺸﮕﺎه‬ ‫ﺑﺎﻻي‬ ‫ﺗﻌﺪاد‬ ‫وﺟﻮد‬ ‫ﺑﺎ‬ ‫اﻳﺮان‬‫ﺗﻮﺟﻪ‬ ‫آﻣﻮزﺷﻲ‬ ‫ﻛﻴﻔﻴﺖ‬ ‫ﺑﻪ‬ ‫ﻧﻤﺎﻳﺪ‬ ‫ﺑﻴﺸﺘﺮي‬.
  • 15.
    ‫ﻣﻨﺎﺑﻊ‬: ‫وﻳﻜﻴﭙﺪﻳﺎ‬ ‫ﺳﺎﻳﺖ‬‫داﻧﺸﮕﺎه‬‫ﺷﺮﻳﻒ‬ ‫ﺻﻨﻌﺘﻲ‬ ‫ﻛﺘﺎﺑﺨﺎﻧﻪ‬ ‫ﺳﺎﻳﺖ‬ٔ‫آﻣﻮزﺷﻲ‬‫و‬ ‫اﺟﺘﻤﺎﻋﻲ‬ ‫ﻋﻠﻮم‬ ‫ﻣﻮﺳﺴﻪ‬ٔ‫ﻫﺎ‬‫داﻧﺸﮕﺎه‬ ‫ﺑﻨﺪي‬‫رﺗﺒﻪ‬QS ‫ﺑﻨﺪي‬ ‫رﺗﺒﻪ‬‫ﺗﺎﻧﮓ‬ ‫ﺟﻴﺎ‬ ‫ﺷﺎﻧﮕﻬﺎي‬ ‫داﻧﺸﮕﺎه‬ ‫ﺳﺎﻳﺖ‬ ‫ﺑﻨﺪي‬ ‫رﺗﺒﻪ‬‫ﺗﺎﻧﮓ‬ ‫ﺟﻴﺎ‬ ‫ﺷﺎﻧﮕﻬﺎي‬ ‫داﻧﺸﮕﺎه‬ ‫ﺳﺎﻳﺖ‬ ‫ﺳﺎﻳﺒﺮﻣﺘﺮﻳﻚ‬ ‫آزﻣﺎﻳﺸﮕﺎه‬ ‫ﺳﺎﻳﺖ‬ ‫ﺑﻨﺪي‬ ‫رﺗﺒﻪ‬ ‫ﺗﺎﻳﻮان‬ ‫ﻋﺎﻟﻲ‬ ‫آﻣﻮزش‬ ‫ارﺗﻘﺎدﻫﻲ‬ ‫و‬ ‫ارزﻳﺎﺑﻲ‬ ‫اﻧﺠﻤﻦ‬ ‫ﺑﻨﺪي‬ ‫رﺗﺒﻪ‬ ‫ﻣﺪرﺳﻪ‬ ‫ﺑﻨﺪي‬ ‫رﺗﺒﻪ‬ٔ‫ﭘﺎرﻳﺲ‬ ‫ﻣﻌﺪن‬ ‫ﻣﻠﻲ‬ ‫ﻋﺎﻟﻲ‬ ‫ووﻫﺎن‬ ‫داﻧﺸﮕﺎه‬ ‫ﺑﻨﺪي‬ ‫رﺗﺒﻪ‬ ‫ﻣﻮﺳﺴﻪ‬ ‫ﺑﻨﺪي‬ ‫رﺗﺒﻪ‬RatER‫روﺳﻴﻪ‬
  • 16.
    ‫ﻛﺎر‬ ‫ﮔﺰارش‬ ‫ﻣﺴﻌﻮد‬ ‫ﻣﺤﻤﺪ‬‫ﺳﻴﺪ‬‫ﺻﺪرﻧﮋاد‬:‫ﺗﻬﻴﻪ‬،‫ﮔﺰارش‬‫داده‬ ‫ﺗﻬﻴﻪ‬ ‫و‬ ‫ﻣﺤﺎﺳﺒﺎت‬‫آﻣﺎري‬ ‫ﻫﺎي‬ ‫اﺣﺴﺎن‬‫رﺟﺤﺎﻧﻲ‬:‫ﻫﺎي‬ ‫داده‬ ‫ﺗﻬﻴﻪ‬‫آﻣﺎري‬ sadrnezhaad.ir/smmhttp://
  • 17.
    University Name Country2009 Overall Score 2009 Ranking 2008 Ranking 2007 Ranking 2006 Ranking HARVARD University United States 100 1 1 1 1 University of CAMBRIDGE United Kingdom 99.59 2 3 2 2 YALE University United States 99.08 3 2 2 4 UCL (University College London) United Kingdom 98.98 4 7 9 25 University of OXFORD United Kingdom 97.75 5 4 2 3 IMPERIAL College London United Kingdom 97.75 5 6 5 9 University of CHICAGO United States 96.83 7 8 7 11 PRINCETON University United States 96.63 8 12 6 10 Massachusetts Institute of Technology (MIT) United States 96.11 9 9 10 4 California Institute of Technology (CALTECH) United States 95.91 10 5 7 7 COLUMBIA University United States 95.6 11 10 11 12 University of PENNSYLVANIA United States 94.17 12 11 14 26 JOHNS HOPKINS University United States 94.07 13 13 15 23 DUKE University United States 92.94 14 13 13 13 CORNELL University United States 92.54 15 15 20 15 STANFORD University United States 92.23 16 17 19 6 AUSTRALIAN National University Australia 90.49 17 16 16 16 MCGILL University Canada 90.39 18 20 12 21 University of MICHIGAN United States 89.88 19 18 38 29 ETH Zurich (Swiss Federal Institute of Technology) Switzerland 89.26 20 24 42 24 University of EDINBURGH United Kingdom 89.26 20 23 23 33 The University of TOKYO Japan 88.85 22 19 17 19 KING'S College London (KCL) United Kingdom 88.45 23 22 24 46 University of HONG KONG Hong Kong 87.53 24 26 18 33 ‫ﻫﺎ‬ ‫ﭘﻴﻮﺳﺖ‬ ‫ﺟﺪول‬
  • 18.
    KYOTO University Japan87.12 25 25 25 29 The University of MANCHESTER United Kingdom 85.69 26 29 30 40 CARNEGIE MELLON University United States 85.58 27 21 20 35 École Normale Supérieure PARIS France 85.38 28 28 26 18 University of TORONTO Canada 85.28 29 41 45 27 National University of Singapore (NUS) Singapore 84.25 30 30 33 19 BROWN University United States 83.95 31 27 32 54 University of California Los Angeles (UCLA) United States 83.54 32 30 41 31 University of California Los Angeles (UCLA) United States 83.54 32 33 29 42 University of BRISTOL United Kingdom 83.44 34 32 37 64 The HONG KONG University of Science and Technology Hong Kong 83.33 35 39 53 58 École Polytechnique France 83.13 36 34 28 37 The University of MELBOURNE Australia 83.13 36 38 27 22 The University of SYDNEY Australia 83.13 36 37 31 35 University of California BERKELEY (UCB) United States 82.72 39 36 22 8 University of BRITISH COLUMBIA Canada 81.19 40 34 33 50 The University of QUEENSLAND Australia 80.67 41 43 33 45 Ecole Polytechnique Fédérale de LAUSANNE Switzerland 80.57 42 50 117 64 OSAKA University Japan 80.06 43 44 46 70 Trinity College Dublin Ireland 80.06 43 49 53 78 MONASH University Australia 79.96 45 47 43 38 The Chinese University of HONG KONG Hong Kong 79.55 46 42 38 50 The University of NEW SOUTH WALES Australia 79.04 47 45 44 41 SEOUL National University Korea South 79.04 47 50 51 63 TSINGHUA University China 78.94 49 56 40 28 University of AMSTERDAM Netherlands 78.94 49 53 48 69 University of COPENHAGEN Denmark 78.83 51 48 93 54
  • 19.
    NEW YORK University(NYU) United States 78.43 52 40 49 43 PEKING University China 78.43 52 50 36 14 BOSTON University United States 77.81 54 46 47 66 Technische Universität MÜNCHEN Germany 76.28 55 78 67 82 TOKYO Institute of Technology Japan 76.28 55 61 90 118 Ruprecht-Karls-Universität HEIDELBERG Germany 76.18 57 57 60 58 The University of WARWICK United Kingdom 75.66 58 69 57 73 University of ALBERTA Canada 75.36 59 74 97 133 LEIDEN University Netherlands 75.26 60 64 84 90 The University of AUCKLAND New Zealand 74.74 61 65 50 46 University of Wisconsin-Madison United States 74.74 61 55 55 79 AARHUS University Denmark 74.54 63 81 114 126 University of ILLINOIS at Urbana-Champaign United States 74.54 63 71 73 77 Katholieke Universiteit LEUVEN Belgium 74.23 65 72 61 96 University of BIRMINGHAM United Kingdom 73.93 66 75 65 90 LUND University Sweden 73.72 67 88 106 122 London School of Economics and Political Science (LSE) United Kingdom 73.72 67 66 59 17 KAIST - Korea Advanced Institute of Science & Technology Korea South 72.6 69 95 132 198 UTRECHT University Netherlands 72.39 70 67 89 95 University of YORK United Kingdom 72.39 70 81 74 124 University of GENEVA Switzerland 72.29 72 68 105 39 Nanyang Technological University (NTU) Singapore 71.98 73 77 69 61 WASHINGTON University in St. Louis United States 71.98 73 60 161 48 UPPSALA University Sweden 71.88 75 63 71 111 University of TEXAS at Austin United States 71.47 76 70 51 32 University of CALIFORNIA San Diego (UCSD) United States 71.47 76 58 58 44 University of NORTH CAROLINA Chapel Hill United States 71.27 78 102 151 123
  • 20.
    University of GLASGOWUnited Kingdom 71.17 79 73 83 81 University of WASHINGTON United States 71.06 80 59 55 84 The University of ADELAIDE Australia 70.76 81 106 62 105 The University of SHEFFIELD United Kingdom 70.55 82 76 68 102 DELFT University of Technology Netherlands 70.45 83 78 63 86 The University of WESTERN AUSTRALIA Australia 70.25 84 83 64 111 DARTMOUTH College United States 70.14 85 54 71 61 GEORGIA Institute of Technology United States 70.04 86 83 97 145 PURDUE University United States 69.84 87 99 77 127 University of ST ANDREWS United Kingdom 69.84 87 83 76 109 University College DUBLIN Ireland 69.73 89 108 177 219 EMORY University United States 69.63 90 62 74 56 The University of NOTTINGHAM United Kingdom 69.43 91 86 70 85 NAGOYA University Japan 69.22 92 120 112 128 University of Zurich Switzerland 69.22 92 106 140 109 Freie Universität BERLIN Germany 69.02 94 137 146 149 NATIONAL TAIWAN University (NTU) Taiwan 68.92 95 124 102 108 University of SOUTHAMPTON United Kingdom 68.92 95 99 80 141 TOHOKU University Japan 68.61 97 112 102 168 Ludwig-Maximilians-Universität München Germany 68.4 98 93 65 98 University of LEEDS United Kingdom 68.3 99 104 80 121 RICE University United States 68.1 100 78 92 102 LOMONOSOV MOSCOW State University Russia 60.02 101 183 231 93 University of OSLO Norway 67.69 101 177 188 177 Hebrew University of JERUSALEM Israel 67.28 102 93 128 119 DURHAM University United Kingdom 67.18 103 122 109 132 FUDAN University China 67.18 103 113 85 116
  • 21.
    University of MINNESOTAUnited States 67.08 105 87 142 187 University of CALIFORNIA Santa Barbara (UCSB) United States 66.56 106 98 117 141 Université de Montréal Canada 66.16 107 91 93 181 University of BASEL Switzerland 66.05 108 131 114 75 ERASMUS University Rotterdam Netherlands 66.05 108 126 163 92 University of HELSINKI Finland 66.05 108 91 100 116 University of CALIFORNIA Davis United States 66.05 108 89 96 170 University of Southern California United States 65.95 112 102 119 101 University of WATERLOO Canada 65.85 113 129 112 204 TEL AVIV University Israel 65.64 114 114 151 147 University of PITTSBURGH United States 65.64 114 97 77 88 MAASTRICHT University Netherlands 65.34 116 111 111 172 Université Pierre et Marie Curie (UPMC) France 65.03 117 149 132 93 QUEEN'S University Canada 64.72 118 117 88 176 CASE WESTERN RESERVE University United States 64.62 119 90 85 60 EINDHOVEN University of Technology Netherlands 64.42 120 128 130 67 PENNSYLVANIA STATE University United States 64.42 120 105 90 99 Universität FREIBURG Germany 64.01 122 147 144 219 University of MARYLAND College Park United States 64.01 122 122 79 111 City University of HONG KONG Hong Kong 63.91 124 147 149 154 University of OTAGO New Zealand 63.8 125 124 114 79 Université Catholique de LOUVAIN (UCL) Belgium 63.7 126 116 123 76 École Normale Supérieure de LYON France 63.7 126 140 157 72 University of VIRGINIA United States 63.5 128 96 110 130 University of ABERDEEN United Kingdom 63.39 129 153 137 195 GEORGETOWN University United States 63.39 129 110 102 102 OHIO STATE University United States 63.39 129 121 120 219
  • 22.
    TECHNION - IsraelInstitute of Technology Israel 62.99 132 109 231 158 University of VIENNA Austria 62.99 132 115 85 87 POHANG University of Science And Technology (POSTECH) Korea South 62.88 134 188 233 245 CARDIFF University United Kingdom 62.78 135 133 99 141 University of GHENT Belgium 62.58 136 136 124 141 University of LIVERPOOL United Kingdom 62.37 137 133 101 139 CHULALONGKORN University Thailand 62.27 138 166 223 161 University of GRONINGEN Netherlands 62.27 138 144 173 232 VANDERBILT University United States 62.17 140 101 82 53 University of ROCHESTER United States 61.76 141 119 95 48 KEIO University Japan 61.55 142 214 161 120 MCMASTER University Canada 60.94 143 117 108 155 University of BATH United Kingdom 60.74 144 152 145 153 University of BERGEN Norway 60.74 144 227 225 277 University of CAPE TOWN South Africa 60.63 146 179 200 257 HUMBOLDT-Universität zu Berlin Germany 60.63 146 139 126 105 WASEDA University Japan 60.53 148 180 180 158 University of CALGARY Canada 60.43 149 170 166 266 Eberhard Karls Universität TÜBINGEN Germany 60.43 149 155 142 170 YONSEI University Korea South 60.33 151 203 236 484 The University of WESTERN ONTARIO Canada 60.33 151 159 126 215 SHANGHAI JIAO TONG University China 60.22 153 144 163 179 University of Science and Technology of China China 60.12 154 141 155 165 KYUSHU University Japan 60.02 155 158 136 128 WAGENINGEN University Netherlands 60.02 155 142 148 97 NEWCASTLE University United Kingdom 59.61 158 162 129 133 Technical University of DENMARK Denmark 59.51 159 133 130 194
  • 23.
    TUFTS University UnitedStates 59.41 160 157 159 130 University of CALIFORNIA Irvine United States 59 161 132 140 198 LANCASTER University United Kingdom 58.9 162 170 147 228 Indian Institute of Technology Bombay (IITB) India 58.59 163 174 269 N/A QUEEN MARY University of London (QMUL) United Kingdom 58.49 164 160 149 99 Vrije Universiteit AMSTERDAM Netherlands 58.28 165 155 304 183 University of ARIZONA United States 57.98 166 146 134 224 University of SUSSEX United Kingdom 57.98 166 130 121 105 University of LAUSANNE Switzerland 57.36 168 161 217 89 NANJING University China 57.36 168 143 125 180 Saint-Petersburg State University Russia 57.36 168 224 239 164 HOKKAIDO University Japan 57.16 171 174 151 133 University of BARCELONA Spain 57.16 171 186 194 190 STONY BROOK University United States 57.06 173 127 224 165 University of BOLOGNA Italy 56.85 174 192 173 207 KTH ROYAL INSTITUTE of Technology Sweden 56.85 174 173 192 172 University of TSUKUBA Japan 56.85 174 216 209 269 University of ANTWERP Belgium 56.75 177 195 187 252 University of ATHENS Greece 56.75 177 200 248 508 TEXAS A&M University United States 56.65 179 137 122 150 Universiti MALAYA (UM) Malaysia 56.54 180 230 246 192 Indian Institute of Technology Delhi (IITD) India 56.44 181 154 307 N/A Rheinisch-Westfälische Technische Hochschule AACHEN Germany 56.34 182 216 182 172 RUTGERS The State University of New Jersey New Brunswick United States 56.24 183 151 177 215 Universität KARLSRUHE Germany 56.13 184 207 171 222 University of GOTHENBURG Sweden 55.83 185 258 276 284 University of Colorado at BOULDER United States 55.62 186 180 107 211
  • 24.
    Georg-August-Universität GÖTTINGEN Germany55.62 186 166 168 156 University of CANTERBURY New Zealand 55.21 188 186 188 333 MACQUARIE University Australia 54.91 189 182 168 82 Universidad Nacional Autónoma de México (UNAM) Mexico 54.81 190 150 192 74 Universite Libre de BRUXELLES (ULB) Belgium 54.7 191 183 154 165 University of READING United Kingdom 54.7 191 194 180 190 University of BERN Switzerland 54.5 193 192 214 178 INDIANA University Bloomington United States 54.5 193 170 137 232 The HONG KONG Polytechnic University Hong Kong 54.4 195 224 256 N/A University of LEICESTER United Kingdom 53.89 196 177 185 239 SIMON FRASER University Canada 53.89 196 164 139 282 CHALMERS University of Technology Sweden 53.78 198 162 197 147 University of NOTRE DAME United States 53.58 199 168 155 152 University of TWENTE Netherlands 53.48 200 200 185 115 University of FLORIDA United States 53.37 201 165 135 226 University of INDONESIA Indonesia 53.37 201 287 395 250 Queen's University of BELFAST United Kingdom 53.37 201 202 205 206 Sciences Po PARIS France 53.17 204 207 227 52 Sapienza University of Rome Italy 53.07 205 205 183 197 Universität STUTTGART Germany 52.86 206 190 165 201 University College CORK Ireland 52.66 207 226 286 386 Universidade de São Paulo Brazil 52.66 207 196 175 284 RENSSELAER Polytechnic Institute United States 52.45 209 174 191 255 HELSINKI University of Technology TKK Finland 52.35 210 211 170 291 Universitat Autònoma de BARCELONA Spain 52.15 211 256 258 239 Technische Universität BERLIN Germany 52.15 211 188 203 203 KOREA University Korea South 52.15 211 236 243 150
  • 25.
    DALHOUSIE University Canada52.04 214 197 221 270 University of DUNDEE United Kingdom 51.94 215 213 171 238 Universidad Autónoma de MADRID Spain 51.94 215 254 306 261 STOCKHOLM University Sweden 51.94 215 239 246 261 Université Paris-Sud 11 France 51.74 218 266 267 258 KOBE University Japan 51.74 218 199 197 181 MAHIDOL University Thailand 51.33 220 251 284 322 Radboud University NIJMEGEN Netherlands 51.33 220 221 195 137 MICHIGAN STATE University United States 51.23 222 203 159 163 RMIT University Australia 51.12 223 206 200 146 National TSING HUA University Taiwan 51.12 223 281 334 343 University of IOWA United States 50.82 225 219 207 246 University of OTTAWA Canada 50.61 226 222 227 282 Vrije Universiteit Brussel (VUB) Belgium 50.2 227 214 229 133 Université Paris Sorbonne Paris IV France 50.1 228 239 295 200 CHARLES University Czech Republic 49.9 229 261 290 248 LOUGHBOROUGH University United Kingdom 49.9 229 230 237 266 VICTORIA University of Wellington New Zealand 49.9 229 227 234 222 University of Technology SYDNEY Australia 49.69 232 234 259 255 Universität FRANKFURT am Main Germany 49.59 233 169 209 187 SOAS - School of Oriental and African Studies University of London United Kingdom 49.49 234 253 243 70 ATENEO de Manila University Philippines 49.49 234 254 451 484 BRANDEIS University United States 49.49 234 185 208 187 Rheinische Friedrich-Wilhelms-Universität BONN Germany 49.39 237 264 276 217 Indian Institute of Technology KANPUR (IITK) India 49.39 237 242 492 N/A University of MASSACHUSETTS Amherst United States 49.39 237 191 175 124 WAKE FOREST University United States 49.39 237 218 203 111
  • 26.
    LA TROBE UniversityAustralia 49.28 241 242 205 207 University of VICTORIA Canada 49.28 241 244 213 399 National University of Ireland GALWAY Ireland 49.08 243 368 484 437 QUEENSLAND University of Technology Australia 48.98 244 212 195 192 University of MIAMI United States 48.98 244 237 202 211 CURTIN University of Technology Australia 48.98 244 232 235 156 ZHEJIANG University China 48.88 247 229 209 239 University of SURREY United Kingdom 48.77 249 223 190 258 Universitas GADJAH MADA Indonesia 48.57 250 316 360 270 University of WOLLONGONG Australia 48.16 251 207 199 196 University of CALIFORNIA Santa Cruz United States 47.75 252 235 259 311 University Complutense MADRID Spain 47.75 252 306 426 239 University of STRATHCLYDE United Kingdom 47.65 254 270 252 307 Université de Strasbourg France 47.65 254 207 184 161 FLINDERS University Australia 47.65 254 273 351 N/A STOCKHOLM School of Economics Sweden 47.55 257 280 273 207 LAVAL University Canada 47.44 258 268 280 412 HIROSHIMA University Japan 47.34 259 267 212 244 Universität MANNHEIM Germany 47.34 259 349 392 499 University of UTAH United States 47.34 259 246 261 265 GEORGE WASHINGTON University United States 47.03 262 246 229 168 University of the PHILIPPINES Philippines 47.03 262 276 398 299 VIENNA University of Technology Austria 46.83 264 244 166 138 University of TURKU Finland 46.83 264 246 237 317 University of EXETER United Kingdom 46.63 266 237 220 224 KING FAHD University of Petroleum & Minerals Kingdom of Saudi Arabia 46.63 266 338   University of NEWCASTLE Australia 46.63 266 286 215 207
  • 27.
    NORTH CAROLINA STATEUniversity United States 46.52 269 219 248 274 NORWEGIAN University of Science And Technology Norway 46.42 270 328 301 289 École des Ponts ParisTech France 46.32 271 294 472 314 Universität HAMBURG Germany 46.22 272 274 216 228 YORK University Canada 46.11 273 252 248 326 University of HAWAII at MÄÂnoa United States 46.11 273 262 255 274 University of ESSEX United Kingdom 46.11 273 258 272 N/A École Normale Supérieure Lettres et Sciences Humaines France 46.11 273 293   Pontificia Universidad Católica de CHILE Chile 45.91 277 241 239 228 Université Paris 1 Panthéon-Sorbonne France 45.91 277 288 369 264 DUBLIN City University Ireland 45.81 279 302 300 441 Universität ULM Germany 45.81 279 276 263 158 Université Grenoble Joseph Fourier France 45.71 281 282 275 228 Technische Universität DRESDEN Germany 45.71 281 271 243 386 National CHENG KUNG University Taiwan 45.71 281 354 336 386 Indian Institute of Technology Madras (IITM) India 45.6 284 303 489 N/A University of CALIFORNIA Riverside United States 45.4 285 262 298 412 Politecnico di MILANO Italy 45.09 286 291 343 311 ASTON University United Kingdom 44.99 287 316 266 N/A Université MONTPELLIER 2 Sciences et Techniques France 44.79 288 290 301 424 Technische Universität DARMSTADT Germany 44.79 288 284 239 261 University of CINCINNATI United States 44.79 288 268 219 367 Universiti Kebangsaan Malaysia (UKM) Malaysia 44.48 291 250 309 185 University of LIEGE Belgium 44.48 291 271 262 201 GRIFFITH University Australia 44.48 291 325 309 N/A University of DELHI India 44.48 291 274 254 307 Universidade Estadual de CAMPINAS (Unicamp) Brazil 44.38 295 249 177 448
  • 28.
    University of SOUTHAUSTRALIA Australia 44.38 295 303 291 299 TULANE University United States 44.38 295 233 218 243 Universidad de BUENOS AIRES Argentina 44.27 298 197 264 276 MASSEY University New Zealand 43.97 299 283 242 213 University of SOUTHERN DENMARK Denmark 43.87 300 295 317 273 Universität KÖLN Germany 43.76 301 318 319 292 University of EAST ANGLIA (UEA) United Kingdom 43.66 302 309 356 N/A JAGIELLONIAN University Poland 43.66 302 300 331 287 University of Tromso Norway 43.66 302 320 292 401-500 Universidad AUSTRAL Argentina 43.35 305 309 416 289 National YANG MING University Taiwan 43.25 306 341 495 392 HONG KONG Baptist University Hong Kong 43.15 307    CHIBA University Japan 43.15 307 298 284 303 ARIZONA STATE University United States 43.05 309 260 221 270 Julius-Maximilians-Universität WÜRZBURG Germany 43.05 309 276 270 296 VIRGINIA POLYTECHNIC Institute (Virginia Tech) United States 42.94 311 276 248 248 NOVOSIBIRSK STATE University Russia 42.84 312 401-500 440 346 University of PADUA Italy 42.84 312 296 312 370 Universiti Sains Malaysia (USM) Malaysia 42.64 314 313 307 277 University of WAIKATO New Zealand 42.64 314 378 319 340 ROYAL HOLLOWAY University of London United Kingdom 42.54 316 311 401-500 354 Universität ERLANGEN-NÜRNBERG Germany 42.43 317 320 270 232 BRUNEL University United Kingdom 42.23 318 296 292 305 Umeå University Sweden 42.23 318 299 299 311 Universiti Teknologi Malaysia (UTM) Malaysia 42.02 320 356 416 N/A University of The WITWATERSRAND South Africa 41.82 321 319 282 322 University of PISA Italy 41.72 322 333 325 326
  • 29.
    BEN GURION Universityof The Negev Israel 41.62 323 264 286 329 Universität DÜSSELDORF Germany 41.51 324 303 312 386 Universitat POMPEU FABRA Spain 41.51 324 342 339 321 DUBLIN Institute of Technology Ireland 41.41 326 328 351 370 University of TASMANIA Australia 41.41 326 291 264 232 Universität LEIPZIG Germany 41.31 328 312 292 340 University of EASTERN FINLAND Finland 41.31 328 313 267 353 IOWA STATE University United States 41.21 330 289 276 386 Johannes Gutenberg Universität MAINZ Germany 40.9 331 332 330 370 University of OULU Finland 40.9 331 372 354 454 Université Lille 1 Sciences et Technologie France 40.8 333 382 403 432 Université Paris Diderot - PARIS 7 France 40.7 334 362 429 296 Indian Institute of Technology Kharagpur (IITKGP) India 40.49 335 501-600 534 N/A Karl-Franzens-Universitaet GRAZ Austria 40.39 336 284 279 284 University of ST GALLEN (HSG) Switzerland 40.18 337 325 362 214 University of ALABAMA United States 40.18 337 354 282 217 University of CONNECTICUT United States 40.08 339 359 328 383 HANYANG University Korea South 40.08 339 344 416 491 Tecnológico de MONTERREY (ITESM) Mexico 40.08 339 328 433 299 Universität BIELEFELD Germany 39.98 342 328 312 329 BOSTON College United States 39.88 343 401-500   Universidad de CHILE Chile 39.88 343 320 312 277 Universiti Putra Malaysia (UPM) Malaysia 39.78 345 320 364 292 Universität KONSTANZ Germany 39.57 346 325 311 317 HOWARD University United States 39.57 346 345   Ruhr-Universität BOCHUM Germany 39.57 346 349 333 431 WARSAW University Poland 39.26 349 342 345 326
  • 30.
    National University ofSciences And Technology (NUST) Islamabad Pakistan 39.16 350 376 470 N/A American University of BEIRUT (AUB) Lebanon 39.06 351 401-500   BANDUNG Institute of Technology (ITB) Indonesia 39.06 351 315 369 258 NATIONAL TAIWAN University of Science And Technology Taiwan 39.06 351 401-500 459 454 Philipps-Universität MARBURG Germany 38.85 354 368 341 310 JAMES COOK University Australia 38.65 355 401-500   DEAKIN University Australia 38.65 355 396 374 N/A Universität des SAARLANDES Germany 38.55 357 357 345 333 Sungkyunkwan University Korea South 38.55 357 370 380 520 SWANSEA University United Kingdom 38.55 357 347 408 383 BILKENT University Turkey 38.45 360 374 425 401-500 GOLDSMITHS University of London United Kingdom 38.34 361 394 426 407 Universität INNSBRUCK Austria 38.34 361 256 225 186 COLORADO STATE University United States 38.24 363 340 326 450 Université PARIS DESCARTES France 38.14 364 401-500 391 432 HITOTSUBASHI University Japan 38.14 364 378 420 314 University of COIMBRA Portugal 37.93 366 387 319 266 WASHINGTON STATE University United States 37.93 366 365 286 299 University of TEHRAN Iran 37.83 368 401-500 539 N/A SHOWA University Japan 37.83 368 359 318 407 The University of GEORGIA United States 37.83 368 361 295 314 FLORIDA STATE University United States 37.73 371 300 253 294 PUSAN National University Korea South 37.73 371 501-600 459 489 Université TOULOUSE III Paul Sabatier France 37.73 371 401-500 360 401-500 UNITED ARAB EMIRATES University United Arab Emirates 37.53 374 401-500   KYUNG HEE University Korea South 37.53 374 401-500 504 506 Heriot-watt University United Kingdom 37.53 374 401-500 566 N/A
  • 31.
    University of FLORENCEItaly 37.42 377 349 329 338 YOKOHAMA NATIONAL University Japan 37.42 377 390 354 N/A SOGANG University Korea South 37.32 379 501-600 398 531 University of TENNESSEE United States 37.12 380 308 289 370 University of NAVARRA Spain 37.01 381 401-500 319 288 City University of NEW YORK United States 37.01 381 320 358 380 Universidade Federal do RIO DE JANEIRO Brazil 36.91 383 334 338 416 University of NEW MEXICO United States 36.91 383 337 358 360 University of BRADFORD United Kingdom 36.91 383 391 349 307 ABERYSTWYTH University United Kingdom 36.81 386 401-500 490 370 Universität BAYREUTH Germany 36.81 386 347 297 346 CARLETON University Canada 36.81 386 346 345 410 YESHIVA University United States 36.71 389 366 381 172 University of MANITOBA Canada 36.71 389 307 304 424 National CHIAO TUNG University Taiwan 36.71 389 401-500 401-500 441 ILLINOIS Institute of Technology United States 36.61 392 401-500   NAGASAKI University Japan 36.61 392 362 273 277 Université du Québec Canada 36.5 394 334 336 482 CZECH TECHNICAL University In Prague Czech Republic 36.5 394 401-500 520 N/A BANGOR University United Kingdom 36.5 394 400 493 491 DREXEL University United States 36.2 397 338 256 365 EWHA WOMANS University Korea South 36.2 397 401-500 552 535 Universität BREMEN Germany 35.79 399 375 364 380 OSAKA CITY University Japan 35.79 399 401-500 364 232 Pontificia Universidade Católica do RIO DE JANEIRO Brazil N/A 401-500 401-500 475 441 KOç University Turkey N/A 401-500 401-500   SMITH College United States N/A 401-500 401-500 430 354
  • 32.
    University of NAPLES- Federico Ii Italy N/A 401-500 398 420 376 XI'AN JIAOTONG University China N/A 401-500 401-500 447 465 Leibniz Universität HANNOVER Germany N/A 401-500 401-500 383 360 University of MUMBAI India N/A 401-500 501-600 480 432 Universität DUISBURG-ESSEN Germany N/A 401-500 401-500 447 396 University of SIENA Italy N/A 401-500 401-500 394 478 VIRGINIA Commonwealth University United States N/A 401-500 401-500 412 396 University of TRENTO Italy N/A 401-500 401-500 412 512 University of NEBRASKA United States N/A 401-500 501-600   Universität DORTMUND Germany N/A 401-500 401-500 436 465 AIRLANGGA University Indonesia N/A 401-500 501-600 502 526 Politecnico di TORINO Italy N/A 401-500 501-600 506 449 CHIANG MAI University Thailand N/A 401-500 401-500 463 418 Indian Institute of Technology Roorkee (IITR) India N/A 401-500 401-500 479 N/A Aristotle University of THESSALONIKI Greece N/A 401-500 401-500 430 495 University of VERMONT United States N/A 401-500 401-500   NATIONAL CENTRAL University Taiwan N/A 401-500 401-500 398 497 CAIRO University Egypt N/A 401-500 401-500 508 445 ISTANBUL University Turkey N/A 401-500 401-500 423 358 MURDOCH University Australia N/A 401-500 401-500   Université de RENNES 1 France N/A 401-500 401-500 457 333 University of LIMERICK Ireland N/A 401-500 394 442 512 WARSAW University of Technology Poland N/A 401-500 401-500 371 350 BRNO University of Technology Czech Republic N/A 401-500 501-600 518 428 University of GRANADA Spain N/A 401-500 501-600 453 484 Johannes Kepler University LINZ Austria N/A 401-500 401-500 368 404 LOYOLA University Chicago United States N/A 401-500 370 350 343
  • 33.
    NORTHEASTERN University UnitedStates N/A 401-500 401-500 386 468 Università degli Studi di ROMA - Tor Vergata Italy N/A 401-500 401-500 416 423 OCHANOMIZU University Japan N/A 401-500 501-600 484 362 Universidad Torcuato Di TELLA Argentina N/A 401-500 401-500 453 493 Martin-Luther-Universität HALLE-WITTENBERG Germany N/A 401-500 401-500 396 378 RITSUMEIKAN University Japan N/A 401-500 501-600 505 528 University of PRETORIA South Africa N/A 401-500 501-600 469 509 The OPEN University United Kingdom N/A 401-500 401-500 502 410 Université Henri Poincaré Nancy 1 France N/A 401-500 401-500 537 386 Universidad del BELGRANO Argentina N/A 401-500 401-500 403 541 JILIN University China N/A 401-500 501-600 461 380 University of HULL United Kingdom N/A 401-500 401-500 495 N/A Universidad de LOS ANDES Colombia N/A 401-500 401-500 444 418 NIIGATA University Japan N/A 401-500 401-500 451 395 KASETSART University Thailand N/A 401-500 400 447 404 CITY University London United Kingdom N/A 401-500    University of HOUSTON United States N/A 401-500 401-500 411 482 INHA University Korea South N/A 401-500 501-600 508 N/A University of LJUBLJANA Slovenia N/A 401-500 401-500 483 362 TOKAI University Japan N/A 401-500 401-500 434 322 Indian Institute of Technology Guwahati (IITG) India N/A 401-500 501-600 554 N/A University of DELAWARE United States N/A 401-500 366 343 428 GUNMA University Japan N/A 401-500 396 331 252 University of SOUTH CAROLINA United States N/A 401-500 391 362 464 KUMAMOTO University Japan N/A 401-500 378 386 232 THAMMASAT University Thailand N/A 401-500 401-500 447 317 Technische Universität BRAUNSCHWEIG Germany N/A 401-500 401-500 383 392
  • 34.
    ISTANBUL Technical UniversityTurkey N/A 401-500 376 390 349 TIANJIN University China N/A 401-500 386 324 407 University of TRIESTE Italy N/A 401-500 401-500 374 454 Universität JENA Germany N/A 401-500 382 316 343 SWINBURNE University of Technology Australia N/A 401-500 401-500   Università degli Studi di PAVIA Italy N/A 401-500 401-500 388 432 OKAYAMA University Japan N/A 401-500 401-500 377 450 KANAZAWA University Japan N/A 401-500 401-500 403 303 Université Paris Dauphine France N/A 401-500 401-500 472 412 National Technical University of ATHENS Greece N/A 401-500 401-500 356 468 Westfälische Wilhelms-Universitat MÜNSTER Germany N/A 401-500 398 339 354 Universidad ORT Uruguay Uruguay N/A 401-500 387 466 329 CONCORDIA University Canada N/A 401-500 357 383 370 University of KANSAS United States N/A 401-500 349 281 305 University of MISSOURI Columbia United States N/A 401-500 389 381 246 Universität REGENSBURG Germany N/A 401-500 401-500 378 358 Heriot-Watt University United Kingdom N/A 401-500 378 364 468 YOKOHAMA CITY University Japan N/A 401-500 362 403 354 TOMSK STATE University Russia N/A 401-500 401-500 466 296 DE LA SALLE University Philippines N/A 401-500 401-500 519 392 EÖTVÖS LORÃND University Hungary N/A 401-500 401-500 511 376 University at BUFFALO SUNY United States N/A 401-500 501-600   GIFU University Japan N/A 401-500 401-500 345 332 LEHIGH University United States N/A 401-500 401-500   Christian-Albrechts-Universität zu KIEL Germany N/A 401-500 401-500 388 226 University of OKLAHOMA United States N/A 401-500 382 373 418 TONGJI University China N/A 401-500 401-500 445 447
  • 35.
    University of CRETEGreece N/A 401-500 401-500 437 507 MIE University Japan N/A 401-500 501-600 432 250 TOKYO METROPOLITAN University Japan N/A 401-500 349 335 346 University of CALCUTTA India N/A 401-500 401-500 461 441 University of KENTUCKY United States N/A 401-500 401-500 378 450 College of WILLIAM & MARY United States N/A 401-500 382 303 336 Université Claude Bernard Lyon 1 France N/A 401-500 401-500 407 350 National SUN YAT-SEN University Taiwan N/A 401-500 401-500 455 505 University of Jyväskylä Finland N/A 401-500 391 374 404 Universidade Nova de LISBOA Portugal N/A 401-500 401-500 341 277 University of OREGON United States N/A 401-500 373 351 437 University of TAMPERE Finland N/A 401-500 336 319 383 Universitat de VALENCIA Spain N/A 401-500 401-500 393 398 University of KENT United Kingdom N/A 401-500 401-500 441 N/A Linköping University Sweden N/A 401-500 401-500 371 322 National University of Ireland MAYNOOTH Ireland N/A 401-500 501-600   University of TULSA United States N/A 501-600 501-600   Quaid-i-azam University Pakistan N/A 501-600  564 N/A ATHENS University of Economy And Business Greece N/A 501-600 501-600 472 520 Université Lyon 2 Louis Lumière France N/A 501-600 501-600 542 468 University of Engineering & Technology (UET) Lahore Pakistan N/A 501-600 501-600   Universidad de ZARAGOZA Spain N/A 501-600 501-600 499 465 FORDHAM University United States N/A 501-600 501-600   University of SANTO TOMAS Philippines N/A 501-600 401-500 535 500 University at ALBANY SUNY United States N/A 501-600 501-600   University of TARTU Estonia N/A 501-600    National CHUNG HSING University Taiwan N/A 501-600 501-600 499 536
  • 36.
    KAZAN State UniversityRussia N/A 501-600 501-600 528 476 Université Lyon 3 Jean Moulin France N/A 501-600 501-600 540 428 Université Montpellier 1 France N/A 501-600 501-600 532 350 Universidade Estadual PAULISTA "Júlio de Mesquita Filho" Brazil N/A 501-600 401-500 507 478 SYRACUSE University United States N/A 501-600 401-500   BAYLOR University United States N/A 501-600 501-600   Universidad IBEROAMERICANA (UIA) Mexico N/A 501-600 501-600 530 478 Université de CAEN Basse-Normandie France N/A 501-600 501-600 522 436 Université de Cergy-Pontoise France N/A 501-600 501-600   KAGOSHIMA University Japan N/A 501-600 501-600 466 378 Pontificia Universidad Católica del Perú Peru N/A 501-600 401-500 495 418 University of PUNE India N/A 501-600 401-500 463 472 CHUNGNAM National University Korea South N/A 501-600 501-600 515 518 University of Kwazulu-Natal South Africa N/A 501-600 401-500 487 484 University of DHAKA Bangladesh N/A 501-600 501-600 527 365 Universidad ADOLFO IBANEZ Chile N/A 501-600 501-600 550 504 CHUNG-ANG University Korea South N/A 501-600    BINGHAMTON University SUNY United States N/A 501-600 501-600   MASARYK University Czech Republic N/A 501-600 501-600 557 N/A State University Higher School of Economics (HSE) Russia N/A 501-600    DIPONEGORO University Indonesia N/A 501-600 501-600 553 495 University of BRAWIJAYA Indonesia N/A 501-600 501-600   Universidad de SANTIAGO de Chile Chile N/A 501-600 501-600 551 539 CATANIA University Italy N/A 501-600 501-600 515 516 Université Pierre-Mendès-France (UPMF) France N/A 501-600 501-600 545 515 Alpen-Adria-Universität KLAGENFURT Austria N/A 501-600 501-600   Université Grenoble 3 Stendhal France N/A 501-600 501-600 548 540
  • 37.
    Université TOULOUSE IILe Mirail France N/A 501-600 501-600 543 531 MISSOURI University of Science and Technology United States N/A 501-600 501-600   Université Lille 2 France N/A 501-600 501-600 541 502 AOYAMA GAKUIN University Japan N/A 501-600 501-600 521 459 University of SALFORD United Kingdom N/A 501-600    CLEMSON University United States N/A 501-600 501-600   University of WESTERN SYDNEY Australia N/A 501-600    SOUTHERN METHODIST University United States N/A 501-600 501-600   STEVENS Institute of Technology United States N/A 501-600 501-600   MARQUETTE University United States N/A 501-600 501-600   SAITAMA University Japan N/A 501-600 501-600 515 520 University of ILLINOIS Chicago (UIC) United States N/A 501-600    Justus-Liebig-Universität Gießen Germany N/A 501-600 401-500 409 368 PRINCE OF SONGKLA University Thailand N/A 501-600 501-600 525 481 SOUTHEAST University China N/A 501-600 401-500 443 399 TILBURG University Netherlands N/A 501-600 501-600   AALBORG University Denmark N/A 501-600    University of PORTO Portugal N/A 501-600 501-600   National CHENGCHI University Taiwan N/A 501-600 501-600 522 511 FU JEN Catholic University Taiwan N/A 501-600 501-600 514 417 GEORGIA STATE University United States N/A 501-600 401-500 396 422 University of SZEGED Hungary N/A 501-600 501-600 438 497 NATIONAL TAIWAN Normal University Taiwan N/A 501-600 501-600 525 446 TEMPLE University United States N/A 501-600 401-500 420 458 SHANDONG University China N/A 501-600 401-500 409 412 University of PATRAS Greece N/A 501-600 501-600 457 459 BRIGHAM YOUNG University United States N/A 501-600 401-500 412 450
  • 38.
    SABANCI University TurkeyN/A 501-600 401-500 475 454 SHARIF University of Technology Iran N/A 501-600 501-600 528 N/A Université Toulouse 1 Capitole France N/A 501-600 501-600 533 462 KYUNGPOOK National University Korea South N/A 501-600 501-600 493 537 LOUISIANA STATE University United States N/A 501-600 401-500 415 336 University of SALAMANCA Spain N/A 501-600 401-500 445 368 AMERICAN University United States N/A 501-600 501-600   University of ARKANSAS United States N/A 501-600 501-600 426 437 Universidade Catolica Portuguesa LISBOA Portugal N/A 501-600 401-500 463 338 University of TURIN Italy N/A 501-600 501-600 434 424 University of BUCHAREST Romania N/A 501-600 501-600 513 472 University of MODENA Italy N/A 501-600 501-600 486 534 University of the PACIFIC United States N/A 501-600 501-600   Universidad Politecnica de VALENCIA Spain N/A 501-600 501-600 538 518 L.N. GUMILYOV Eurasian National University Kazakhstan N/A 501-600    BOGOR Agricultural University Indonesia N/A 501-600 501-600 545 N/A DOSHISHA University Japan N/A 501-600 501-600 544 472 KHON KAEN University Thailand N/A 501-600 501-600 531 475 VILNIUS University Lithuania N/A 501-600 501-600   Universidad de SEVILLA Spain N/A 501-600 501-600 490 424 WORCESTER Polytechnic Institute United States N/A 501-600 501-600   CHONNAM National University Korea South N/A 501-600 501-600 512 526 University of SOUTH FLORIDA United States N/A 501-600 501-600 480 524 PERUGIA University Italy N/A 501-600 501-600 470 517 CLARK University United States N/A 501-600 501-600   Universidade de SANTIAGO DE COMPOSTELA Spain N/A 501-600 501-600 477 476 University of MILANO Italy N/A 501-600 501-600  Â
  • 39.
    University of LAHOREPakistan N/A 501-600 401-500 455 459 Catholic University of The SACRED HEART Italy N/A 501-600 401-500 501-600 462 University of GENOA Italy N/A 501-600 501-600 480 484 CHONBUK National University Korea South N/A 501-600 401-500 423 437 OREGON State University United States N/A 501-600 Â Â Â KING ABDUL AZIZ University (KAU) Kingdom of Saudi Arabia N/A 501-600 Â Â Â University of KARACHI Pakistan N/A 501-600 501-600 559 N/A University of DENVER United States N/A 501-600 501-600 Â Â